Revista Mexicana de Ciencias Forestales Vol. 15 (85)

Septiembre - Octubre (2024)

Logotipo, nombre de la empresa

Descripción generada automáticamente

DOI: https://doi.org/10.29298/rmcf.v15i85.1461

Artículo de investigación

Estructura arbórea en dos exposiciones de un bosque de pino en Cochoapa El Grande, Guerrero

Tree structure in two exposures of a pine forest in Cochoapa El Grande, state of Guerrero

 

Beatriz Calleja-Peláez1,2*, Bernardo López-López1, Eduardo Alanís-Rodriguez2, Ricardo Telles-Antonio3, Marco Aurelio González-Tagle2, Josafat Cano-Abad1

 

Fecha de recepción/Reception date: 24 de enero de 2024.

Fecha de aceptación/Acceptance date: 24 de junio de 2024.

_______________________________

1Universidad Intercultural del Estado de Guerrero, México.

2Facultad de Ciencias Forestales. Universidad Autónoma de Nuevo León. México.

3Universidad Mexiquense del Bicentenario, México.

 

*Autor para correspondencia; correo-e: beatriz.calleja07@gmail.com

*Corresponding autor; e-mail: beatriz.calleja07@gmail.com

 

Resumen

El objetivo de la presente investigación fue evaluar la estructura, composición y similitud de especies arbóreas en dos exposiciones: Noroeste (NO) y Sureste (SE) de un bosque templado en la comunidad Cochoapa El Grande, Guerrero, México. En cada una de las exposiciones se establecieron de manera aleatoria seis parcelas de 500 m2 cada una; las variables dasométricas evaluadas fueron altura total (m) y diámetro normal (DN, d1.30m, cm). Con ello se determinó la distribución dasométrica, Índice de Valor de Importancia (IVI), el Índice de Pretzsch y el Índice de similitud de Sørensen. La densidad promedio del área fue de 810 ind ha-1, con cuatro especies del género Pinus; en la exposición SE se presentó la mayor abundancia (1 040 ind ha-1), con 25.30 m2 ha-1 en área basal y un volumen de 225.21 m3 ha-1. En la exposición NO se registraron tres especies, con 580 ind ha-1, 39.80 m2 ha-1 y un volumen de 415.15 m3 ha-1. La especie con el valor de IVI más alto fue P. pseudostrobus (NO=86.86 % y SE=68.65 %). A través del Índice de Pretzsch se definieron tres estratos: NO tuvo A=1.30, Amáx=2.20 y Arel=59.08 %; en la exposición SE los registros fueron de A=1.26, Amáx=2.48 y Arel=50.69 %. La composición arbórea entre exposiciones mostró una similitud alta (86 %). La exposición y las condiciones climáticas contribuyen a la distribución y adaptación de diversas especies, ya que se modifican los parámetros de altura y área basal.

Palabras clave: Área basal, Índice de Pretzsch, Índice de Similitud de Sørensen, Índice de Valor de Importancia, Pinus pseudostrobus Lindl., volumen.

Abstract

The objective of this research was to evaluate the structure, composition and similarity of tree species in two exposures: Northwest (NW) and Southeast (SE) of a temperate forest in the community of Cochoapa El Grande, Guerrero, Mexico. In each of the exposures, six plots of 500 m2 each were randomly established. The assessed mensuration variables were total height (m) and normal diameter (m) (ND, d1.30m, cm); the mensuration distribution, Importance Value Index (IVI), Pretzsch Index, and Sørensen's similarity index were determined based on those variables. The average density of the area was 810 ind ha-1, with four Pinus species; the SE exposure had the highest abundance (1 040 ind ha-1), with a basimetric area of 25.30 m2 ha-1 and a volume of 225.21 m3 ha-1. In the NW exposure, three species were recorded, with 580 ind ha-1, 39.80 m2 ha-1, and a volume of 415.15 m3 ha-1. The species with the highest IVI value was P. pseudostrobus (NW=86.86 % and SE=68.65 %). Three strata were defined by means of the Pretzsch Index: The values for the NW exposure were A=1.30, Amax=2.20, and Arel=59.08 %; in the SE exposure, the recorded values were A=1.26, Amax=2.48, and Arel=50.69 %. The tree composition exhibited a high similarity (86 %) between the two exposures. Exposure and climatic conditions contribute to the distribution and adaptation of various species, as height and basimetric area parameters are modified.

Key words: Basimetric area, Pretzsch Index, Sørensen's Similarity Index, Importance Value Index, Pinus pseudostrobus Lindl., volume.

 

 

Introducción

 

 

La importancia de los bosques en el ámbito mundial radica en su biodiversidad (flora y fauna), que cubre 31 % de la superficie terrestre, donde casi la mitad del área forestal está intacta y más de una tercera parte corresponde a bosques primarios (ONUAA y PNUMA, 2020). Otro papel importante de esos ecosistemas es disminuir los problemas de la variabilidad climática por el efecto de diferentes actividades antropogénicas (ONUAA y PNUMA, 2020), que a su vez conllevan una acelerada disminución de la cubierta forestal.

México tiene una superficie forestal de 137 millones de hectáreas, de las cuales más de 94 millones son de vegetación primaria; dichas zonas están en posesión de ejidos y comunidades indígenas, con alto grado de conservación (Conafor, 2020). Los principales géneros que se distribuyen en esas comunidades vegetales son Pinus L., Abies Mill., Pseudotsuga Carrière, Cupressus L., Juniperus L. y Quercus L., además de algunas comunidades mixtas (Challenger y Soberón, 2008).

El conocimiento sobre la estructura y composición de los bosques ha sido un tema fundamental para el personal dedicado al manejo de los recursos naturales (Aguirre-Calderón, 2015; Manzanilla et al., 2020), ya que este es fundamental para proponer estrategias que contribuyan a la conservación o aprovechamiento forestal sostenible (Pretzsch, 1998; Aguirre et al., 2003).

Se ha registrado que diversos factores como la altitud, inclinación y exposición de laderas influyen significativamente en la composición, estructura y riqueza de las comunidades vegetales del hemisferio Norte (Silva-García et al., 2022), en donde las especies presentan ciertas particularidades de adaptación para establecerse en hábitats definidos (Hernández-Salas et al., 2013; Delgado et al., 2016); asimismo, López-Gómez et al. (2012) indican que la exposición de ladera modifica las condiciones microclimáticas para el establecimiento de las especies, y la exposición NE es la de mayor humedad; no obstante, existe poca información sobre el comportamiento de estas.

En diversos estados de México se han realizado estudios sobre la estructura, diversidad y composición de los bosques (Graciano-Ávila et al., 2017; Manzanilla et al., 2020; Caballero et al., 2022; García-García et al., 2023); sin embargo, en el estado de Guerrero aún son escasas. El objetivo del presente estudio fue evaluar el efecto de la exposición de ladera (NO vs. SE) en la estructura arbórea de un bosque de Pinus en Cochoapa El Grande. La hipótesis planteada fue que el arbolado en la exposición NO presenta mayores valores de diámetro normal, altura total, área basal y volumen.

 

 

Materiales y Métodos

 

 

Ubicación del área de estudio

 

 

El trabajo se realizó en el paraje Los Pinos, localizado en el municipio Cochoapa El Grande al Sureste del estado de Guerrero, en la provincia fisiográfica Sierra Madre del Sur entre 98°28’14.86’’ longitud Oeste y 17°11’47.79’’ latitud Norte a 2 184 msnm (Figura 1); el tipo de vegetación predominante es bosque de Pinus (INEGI,2010).

 

Figura 1. Ubicación de los sitios de muestreo en el área de estudio.

 

Los suelos dominantes son Leptosol (78.28 %), Regosol (21.35 %) y Phaeozem (0.32 %). El tipo de clima corresponde al templado húmedo C(m)(w), con una temperatura media anual de 12-26 °C y una precipitación que oscila de 110-3 000 mm (INEGI, 2008).

 

 

Obtención y análisis de datos

 

 

En el paraje Los Pinos se establecieron seis sitios de muestreo de 500 m2 de manera aleatoria en exposiciones Sureste (SE) y Noroeste (NO), basado en los parámetros del Inventario Nacional Forestal y de Suelos (Infys) (Figura 1). Las variables dasométricas registradas en cada unidad de muestreo fueron diámetro normal (DN, d1.30m, cm) a los individuos con diámetro >7.5 cm, a una altura de 1.30 m sobre el nivel del suelo, para ello se utilizó una cinta diamétrica Forestry Suppliers® 283D/5M; la altura (h) se registró con un clinómetro Suunto® PM5/360PC. El nombre científico se corroboró con la guía de campo de los Pinos de México y América Central (Farjon et al., 1997).

A partir de las variables de cada exposición (SE y NO) se calculó el Índice de Valor de Importancia Ecológica (IVI) (Ecuación 1) con valores porcentuales de 0 a 100 % por especie, los cuales se obtuvieron mediante la sumatoria de los valores de abundancia (densidad), dominancia en área basal (m2 ha-1) y frecuencia relativa (presencia en cada sitio) (Mostacedo y Fredericksen, 2000; Alanís et al., 2020). 

 

    

 

Donde:

IVI = Índice de Valor de Importancia

AR = Abundancia relativa

DR = Dominancia relativa

FR = Frecuencia relativa

 

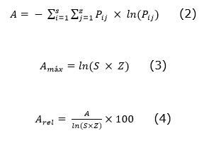
La estructura vertical del arbolado se determinó a partir del Índice de Pretzsch (A) (Pretzsch, 1998), que clasifica una población en tres estratos: Estrato I (80-100 %) en el cual el individuo más alto pertenece a 100 %, Estrato II (50-80 %) y Estrato III (0-50 %). Este índice genera desde un valor de cero hasta uno máximo; el valor cero (A=0) indica que la población está compuesta por una sola especie y un solo piso, Amáx es el valor máximo para cada una de las especies por estrato y se alcanza cuando la totalidad de los taxones están presentes en la misma proporción en un estrato o rodal (Corral et al., 2005; Manzanilla et al., 2020). Para el cálculo del índice se empleó la siguiente Ecuación:

 

    

 

Donde:

A = Índice de distribución vertical

Pij = Porcentaje de especies en cada zona, se estima mediante (ni;)

ni;j = Número de individuos de la especie i en el estrato j

Amáx= Deriva del Índice A, corresponde al valor máximo de A, dado por el número de especies y zonas de altura

S = Número de especies presentes

Z = Número de estratos respecto a la altura

N = Número total de individuos

Arel = Estandarización en porcentaje del índice A

 

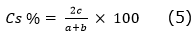
Para determinar la semejanza de la composición de las especies, se determinó la similitud de los taxa presentes por exposición con el Índice de similitud cualitativa de Sørensen (Cs) (Ecuación 5) propuesto por Magurran (2004).

 

    

 

Donde:

Cs % = Coeficiente de similitud

a y b= Número de especies únicas en cada sitio

c = Número de especies en común entre los dos sitios

 

El volumen se estimó con la Ecuación descrita en el Sistema Biométrico Forestal para el manejo de los bosques de México (Sibifor) del estado de Guerrero (Ecuación 6), para ello se aplicaron los estimadores establecidos en cada especie (Cuadro 1). Este sistema se considera como un portafolio de ecuaciones confiables para el cálculo de las existencias volumétricas (Vargas-Larreta et al., 2017).

 

    

 

Donde:

V = Volumen en rollo total árbol con corteza

a0, a1 y a2 = Parámetros del modelo

d = Diámetro

h = Altura

 

Cuadro 1. Parámetros de los modelos aplicados para la estimación del volumen por especie.

Parámetro

Estimador

Pinus pseudostrobus Lindl.

Pinus douglasiana Martínez

Pinus herrerae Martínez

Pinus teocote Schltdl. & Cham.

a0

0.0000594

0.0000333

0.0000531

0.0000822

a1

1.7990181

1.8478799

1.898198

1.9270973

a2

1.0437044

1.1923615

0.972669

0.7849548

 

Los análisis de datos recabados en campo se procesaron en una hoja de cálculo en Excel®, y para detectar las diferencias entre variables por exposición se realizó una prueba t de Student, procedimiento ejecutado en el software IBM SPSS Statistics 20.0 (SPSS, 2011).

 

 

Resultados y Discusión

 

 

El bosque de pino de la comunidad Cochoapa El Grande, Guerrero, está dominado por cuatro especies de la familia Pinaceae: Pinus douglasiana Martínez, P. herrerae Martínez, P. pseudostrobus Lindl.y P. teocote Schltdl. & Cham. En diversos estudios, el género Pinus se ha citado como uno de los que tienen más amplia distribución en los bosques de México (López-Hernández et al., 2017; Rendón-Pérez et al., 2021; Caballero et al., 2022; García-García et al., 2023).

El número de especies de Pinus registrados en esta investigación concuerdan con los resultados de Caballero et al. (2022), quienes identificaron cinco taxones en bosques templados del centro del país, y con Rendón-Pérez et al. (2021) que mencionan solo tres especies en el Sureste del estado de Hidalgo.

 

 

Estructura horizontal

 

 

En el bosque se estimó una densidad promedio de 810 ind ha-1; la exposición SE presentó 1 040 ind ha-1 de cuatro taxones del género Pinus, mientras que en la exposición NO hubo 580 ind ha-1 con tres especies (Cuadro 1). P. pseudostrobus fue el más abundante en las dos exposiciones con 520 y 830 ind ha-1, respectivamente; seguido de P. douglasiana (113 ind ha-1) y P. herrerae (57 ind ha-1); estos valores son superiores a los estimados por Silva-García et al. (2022), quienes documentaron una densidad alta de 600 y 344 ind ha-1 para P. arizonica Engelm. en dos exposiciones (Norte y Sur) en un bosque templado del estado de Durango; Barrios-Calderón et al. (2022) consignaron 533 ind ha-1 para P. maximinoi H. E. Moore en un bosque de Pinus-Quercus en Chiapas. En la localidad de Pueblo Nuevo, Durango, Silva-García et al. (2021) registran a P. durangensis Martínez, P. herrerae y P. douglasiana con 40, 23 y 22 ind ha-1, respectivamente; los cuales son bajos con respecto a los obtenidos en la presente investigación.

Con respecto a la dominancia estimada por medio del área basal, a la exposición Noroeste correspondió el valor más alto (39.80 m2 ha-1) (Cuadro 2). P. pseudostrobus tuvo cifras superiores a 38.18 m2 ha-1, que resulta mayor a lo citado en otros estudios para la misma especie: Graciano-Ávila et al. (2017) al Suroeste del estado de Durango; Ramos et al. (2017) y Manzanilla et al. (2020) estiman en bosques de pino y pino-encino del municipio Galeana, Nuevo León, 23.54, 4.94 y 10.25 m2 ha-1, respectivamente. La exposición Sureste presentó 25.30 m2 ha-1 de dominancia, con 19.26 m2 ha-1 para P. pseudostrobus, que fue la especie más dominante para dicha exposición; mientras que P. douglasiana tuvo 3.98 m2 ha-1, superior a 1.10 m2 ha-1 estimado por Silva-García et al. (2021) al Sur del estado de Durango. 

 

Cuadro 2. Parámetros estructurales estimados para cada especie por exposición (NO y SE).

Exp.

Especies

Abundancia

Dominancia

Frecuencia

IVI

Absoluta N ha-1

Relativa Ar %

Absoluta m2 ha-1

Relativa Dr i %

Absoluta sitios

Relativa %

NO

Pinus pseudostrobus Lindl.

520

89.66

38.18

95.93

6

75

86.86

Pinus herrerae Martínez

57

9.77

1.25

3.13

1

12.5

8.47

Pinus teocote Schltdl. & Cham.

3

0.57

0.37

0.94

1

12.5

4.67

Total

580

100

39.80

100

8

100

100

SE

Pinus pseudostrobus Lindl.

830

79.81

19.26

76.13

5

50

68.65

Pinus douglasiana Martínez

113

10.90

3.98

15.72

2

20

15.54

Pinus herrerae Martínez

90

8.65

1.27

5.04

2

20

11.23

Pinus teocote Schltdl. & Cham.

7

0.64

0.79

3.10

1

10

4.58

Total

1 040

100

25.30

100

10

100

100

Exp. = Exposición.

 

La especie con menor dominancia fue P. teocote con 0.37 y 0.79 m2 ha-1 en las dos exposiciones del presente estudio (Cuadro 2), pero mayor a lo señalado por Caballero et al. (2022) para bosque de pino (0.02) y bosque de aile-pino (0.07) en el estado de Puebla.

La especie con menor Índice de Valor de Importancia (IVI) fue P. teocote con 4.67 a 4.58 %, mientras que el mayor IVI correspondió a P. pseudostrobus con 86.86 % en la exposición Noroeste y para la Sureste de 68.65 % (Cuadro 2); los cuales son valores cercanos a los registrados por Ramos et al. (2017) de 78 % para la misma especie en un área incendiada y Mora-Donjuán et al. (2017) para Quercus elliptica Née en un bosque de encino en Guerrero. Manzanilla et al. (2020) consignan para dos sitios un IVI de 27.67 y 12.18 % para P. pseudostrobus en exposición Noreste, cifras superiores con respecto a 7 % considerado para bosque de P. patula Schltdl. & Cham. en Ixtlán de Juárez, Oaxaca (Castellanos-Bolaños et al., 2008).

 

 

Estructura vertical (Pretzsch)

 

 

A partir del Índice de Distribución vertical de Pretzsch se definieron tres estratos de altura en las dos exposiciones: Estrato I o superior (>80 % de la altura máxima), Estrato II o medio (entre 50-80 %) y Estrato III o bajo (hasta 50 %).

Exposición NO. La altura máxima fue de 26.7 a 33 m, con dominancia de P. pseudostrobus (especie presente en los tres estratos) con 36 individuos; P. teocote solo registró un individuo de 28.5 m. El Estrato medio estuvo conformado por P. pseudostrobus y P. herrerae, con alturas de 17 a 26.4 m; y en el Estrato bajo se presentaron alturas de 11.3 a 16.5 m (Cuadro 3).

 

Cuadro 3. Valores del Índice Vertical de Pretzsch para el área de estudio.

Exposición

Estrato

Especie

Núm. Ind.

H (m)

Índice de Pretzsch

Máx

Mín

x̅

A

Amáx

Arel %

NO

I

Pinus pseudostrobus Lindl.

36

33

26.7

29.9

1.30

2.20

59.08

Pinus teocote Schltdl. & Cham.

1

28.5

28.5

II

Pinus pseudostrobus Lindl.

87

26.4

17

21.7

Pinus herrerae Martínez

13

25

17

21

III

Pinus pseudostrobus Lindl.

33

16.5

6

11.3

Pinus herrerae Martínez

4

16

11.2

13.6

Total

174

145.4

106.4

97.4

SE

I

Pinus douglasiana Martínez

3

29.7

28.4

29.1

1.26

2.48

50.69

Pinus pseudostrobus Lindl.

3

34

27.5

30.8

II

Pinus douglasiana Martínez

7

26.3

18.2

22.3

Pinus herrerae Martínez

1

18

18

18

Pinus pseudostrobus Lindl.

60

27

17.4

22.2

Pinus teocote Schltdl. & Cham.

1

23.5

11.8

III

Pinus douglasiana Martínez

24

16.5

3.6

10.1

Pinus herrerae Martínez

26

16

3.7

9.9

Pinus pseudostrobus Lindl.

186

17

3

10

Pinus teocote Schltdl. & Cham.

1

16.3

16.3

16.3

Total

312

224.3

136.1

180.2

 

Exposición SE. En el Estrato I se registró a P. pseudostrobus y P. douglasiana con alturas que oscilan de 27.5 a 34 m (seis individuos), mientras que el Estrato medio lo integraron cuatro taxones: P. pseudostrobus, P. douglasiana, P. herrerae y P. teocote con un intervalo de 17.4 a 27 m; y en el Estrato bajo (3 a 17 m) se contabilizaron 237 individuos de las mismas especies (Cuadro 3). 

Lamprecht (1990) sustenta que existen taxa con un comportamiento de distribución continua, es decir, que se localizan en todos los estratos, un claro ejemplo es P. pseudostrobus, especie con distribución vertical en los tres estratos para las dos exposiciones estudiadas; y en la ladera SE, P. douglasiana mostró un comportamiento continuo. De acuerdo con los resultados, dichos taxones tienen asegurada su permanencia en la composición y estructura, por distribuirse en los tres estratos del bosque (Acosta et al., 2006).

La exposición NO presentó valores relativamente superiores para el Índice de Pretzsch A=1.30, 2.20 Amáx y 59.08 % de Arel, con respecto a la SE cuyos registros fueron A=1.26, 2.48 Amáx y 50.60 % Arel(Cuadro 3). Dichos valores son cercanos a los estimados por Mora-Donjuán et al. (2017) para un bosque de encino en la Sierra Madre del Sur del estado de Guerrero y a los de Rubio et al. (2014), con A=2.01-1.86, Amáx=3.74-3.30 y Arel=54-56 % en P-1 y P-2, respectivamente, en bosque de pino-encino en el Sureste de Nuevo León. Por ello, Flores-Morales et al. (2022) señalan que Arelcercanas a 100 % indican que todas las especies se distribuyen de forma equitativa en los tres estratos de altura; lo anterior es similar con el resultado obtenido en la presente investigación.

 

 

Caracterización diamétrica

 

 

Con base en la caracterización diamétrica (cm) en las dos exposiciones, la exposición SE presentó un alto valor de R2=0.99 con 310 ind ha-1 para la categoría <15 cm; para DN<55 cm solo se observaron siete individuos (Figura 2B); asimismo, en la exposición NO (R2=0.91) se obtuvo mayor número de individuos en la clase diamétrica <15 cm (190 ind ha-1) y únicamente tres árboles tuvieron valores de 65 cm (Figura 2A). Con base en el análisis de datos se observó un comportamiento asimétrico hacia la izquierda, es decir, una estructura en forma de J invertida, con dominancia de árboles jóvenes y un descenso para los árboles de gran diámetro (por causas antrópicas), lo cual muestra una tasa alta de regeneración del bosque, que en su momento reemplazarán a los árboles de diámetros mayores. El valor de R2es similar a lo registrado por López-Hernández et al. (2017) en un bosque del estado de Puebla (R2=0.96). En otros estudios se ha documentado que el comportamiento de la curva es característico de bosques templados en diversos estados del país (Manzanilla et al., 2020; Caballero et al., 2022; García-García et al., 2023).

 

A = Exposición NO; B = Exposición SE.

Figura 2. Distribución de clases diamétricas por exposición en un bosque de pino en Cochoapa El Grande, Guerrero, México.

 

Las variables dasométricas resultaron mayores en la exposición NO con DN=28.76 cm, H=21.6 m, G=39.8 m2 ha-1 y V=415.15 m3 ha-1; en la exposición SE se registraron valores de DN=16.9 cm, H=14.7 m, G=25.3 m2 ha-1 y V=225.21 m3 ha-1, con valores de p<0.05 de acuerdo con la prueba de comparación de medias t de Student (Figura 3). Los resultados concuerdan con el supuesto de que la exposición Noreste proporciona condiciones favorables de temperatura y humedad para el desarrollo de las especies (Manzanilla et al., 2020) y un menor déficit hídrico y evapotranspiración de las plantas (López-Gómez et al., 2012).

 

A = Diámetro y altura; B = Área basal y volumen de dos exposiciones. Valores promedios±desviación estándar. Letras distintas indican diferencias significativas.

Figura 3. Comparación de medias de t para variables dasométricas.

 

El Índice de similitud cualitativa de Sørensen estimó 85.71 % de especies compartidas en ambas exposiciones (NO y SE), lo que indica 86 % de similitud en su composición vegetal. Este valor se asemeja a lo descrito por Buendía-Rodríguez et al. (2019) con >80 % en una exposición Noreste para un bosque de pino-encino en el estado de Nuevo León.

 

 

Conclusión

 

 

Los resultados para el bosque de Pinus en Cochoapa El Grande, Guerrero, evidencian un mejor diámetro normal, altura total y área basal en la exposición Noroeste debido a la presencia de condiciones favorables de temperatura y humedad, que propician un menor déficit hídrico de las especies. Pinus pseudostrobus presenta el mayor Índice de Valor de Importancia, con 86.86 y 68.85 % en la exposición Noroeste y Sureste, respectivamente. La composición de especies presenta valores muy similares.

El Índice de Pretzsch permite visualizar la distribución de la altura en los árboles presentes en el área. La distribución diamétrica indica que el bosque está conformado por árboles jóvenes o de regeneración, que con el tiempo reemplazarán a los individuos longevos del sitio. Realizar trabajos enfocados a la estructura y composición de los bosques, permitirá conocer los cambios a través del tiempo y favorecerá la implementación de estrategias para el manejo sustentable de los recursos forestales.

 

Agradecimientos

 

Un sincero agradecimiento al Comisario y pobladores de la comunidad Cochoapa El Grande por el acceso y disponibilidad para realizar el trabajo de campo, así como a la brigada de campo.

 

Conflicto de interés

 

Los autores declaran no tener conflicto de interés. Eduardo Alanís-Rodríguez declara no haber participado en el proceso editorial del manuscrito.

 

Contribución por autor

 

Beatriz Calleja-Peláez: diseño del estudio, análisis y redacción del manuscrito; Bernardo López-López: planeación del trabajo de campo, análisis estadísticos y revisión del manuscrito; Eduardo Alanís-Rodríguez: diseño del estudio y revisión del manuscrito; Ricardo Telles-Antonio y Marco Aurelio González-Tagle: revisión del manuscrito; Josafat Cano-Abad: recolección de información de campo.

 

 

Referencias

Acosta, V. H., P. A. Araujo y M. C. Iturre. 2006. Caracteres estructurales de las masas. Facultad de Ciencias Forestales de la Universidad Autónoma de Santiago del Estero. Santiago del Estero, JFB, Argentina. 35 p. https://fcf.unse.edu.ar/archivos/series-didacticas/SD-22-Caracteres-estructurales-ACOSTA.pdf. (15 de noviembre de 2023).

Aguirre, O., G. Hui, K. von Gadow and J. Jiménez. 2003. An analysis of spatial forest structure using neighbourhood-based variables. Forest Ecology and Management 183(1-3):137-145. Doi: 10.1016/S0378-1127(03)00102-6.

Aguirre-Calderón, O. A. 2015. Manejo Forestal en el Siglo XXI. Madera y Bosques 21:17-28. Doi: 10.21829/myb.2015.210423.

Alanís R., E., A. Mora O. y J. S. Marroquín de la F. 2020. Muestreo ecologico de la vegetacion. Universidad Autónoma de Nuevo León. Monterrey, NL, México. 204 p.

Barrios-Calderón, R. de J., J. E. Pérez P., J. R. Torres V. y J. F. Aguirre-Cadena. 2022. Estructura y composición florística de un bosque de Pinus-Quercus en El Porvenir, Chiapas. Revista Mexicana de Ciencias Forestales 13(73):50-74. Doi: 10.29298/rmcf.v13i73.1252.

Buendía-Rodríguez, E., E. J. Treviño-Garza, E. Alanís-Rodríguez, O. A. Aguirre-Calderón, M. A. González-Tagle y M. Pompa-García. 2019. Estructura de un ecosistema forestal y su relación con el contenido de carbono en el noreste de México. Revista Mexicana de Ciencias Forestales 10(54):4-25. Doi: 10.29298/rmcf.v10i54.149.

Caballero C., P., E. J. Treviño G., J. M. Mata B., E. Alanís R., J. I. Yerena Y. y L. G. Cuéllar R. 2022. Análisis de la estructura y diversidad arbórea de bosques templados en la ladera oriental del volcan Iztaccihuatl, Mexico. Revista Mexicana de Ciencias Forestales 13(71):76-102. Doi: 10.29298/rmcf.v13i71.1253.

Castellanos-Bolaños, J. F., E. J. Treviño-Garza, Ó. A. Aguirre-Calderón, J. Jiménez-Pérez, M. Musalem-Santiago y R. López-Aguillón. 2008. Estructura de bosques de pino pátula bajo manejo en Ixtlán de Juárez, Oaxaca, México. Madera y Bosques 14(2):51-63. Doi: 10.21829/myb.2008.1421212.

Challenger, A. y J. Soberón. 2008. Los ecosistemas terrestres. In: Sarukhán, J. (Comp.). Capital Natural de México, vol. 1. Conocimiento actual de la biodiversidad. Comisión Nacional para el Conocimiento y Uso de la Biodiversidad (Conabio). Tlalpan, D. F., México. pp. 87-108.

Comisión Nacional Forestal (Conafor). 2020. México con alto grado de vegetación nativa. https://www.gob.mx/conafor/articulos/mexico-con-alto-grado-de-vegetacion-nativa?idiom=es#:~:text=Datos%20del%20Inventario%20Nacional%20Forestal,pertenecen%20a%20la%20vegetaci%C3%B3n%20primaria. (3 de noviembre de 2023).

Corral R., J. J., O. A. Aguirre C., J. Jiménez P. y S. Corral R. 2005. Un análisis del efecto del aprovechamiento forestal sobre la diversidad estructural en el bosque mesófilo de montaña «El Cielo», Tamaulipas, México. Investigación Agraria: Sistemas y Recursos Forestales 14(2):217-228. Doi: 10.5424/srf/2005142-00885.

Delgado Z., D. A., S. A. Heynes S., M. D. Mares Q., N. L. Piedra L., … y L. Ruacho-González. 2016. Diversidad y estructura arbórea de dos rodales en Pueblo Nuevo, Durango. Revista Mexicana de Ciencias Forestales 7(33):94-107. https://www.scielo.org.mx/scielo.php?script=sci_arttext&pid=S2007-11322016000100094. (13 de diciembre de 2023).

Farjon, A., J. A. Pérez de la R. and B. T. Styles. 1997. A field guide to the pines of Mexico and Central America. Royal Botanic Gardens. Richmond, LDN, England. 147 p.

Flores-Morales, E. A., O. A. Aguirre-Calderón, E. J. Treviño-Garza, M. A. González-Tagle, ... y F. Huizar-Amezcua. 2022. Diversidad y estructura arbórea de un bosque templado bajo manejo en el municipio de Pueblo Nuevo, Durango, México. Polibotánica (54):11-26. Doi: 10.18387/polibotanica.54.2.

García-García, S. A., E. Alanís-Rodríguez, Ó. A. Aguirre C., E. J. Treviño-Garza, L. G. Cuéllar-Rodríguez y A. Collantes C. 2023. Composición, estructura y estado de la regeneración arbórea en un gradiente altitudinal en un bosque templado de Guadalupe y Calvo, Chihuahua. Polibotánica (56):81-100. Doi: 10.18387/polibotanica.56.5.

Graciano-Ávila, G., Ó. A. Aguirre-Calderón, E. Alanís-Rodríguez y J. E. Lujan-Soto. 2017. Composición, estructura y diversidad de especies arbóreas en un bosque templado del Noroeste de México. Ecosistemas y Recursos Agropecuarios 4(12):535-542. Doi: 10.19136/era.a4n12.1114.

Hernández-Salas, J., Ó. A. Aguirre-Calderón, E. Alanís-Rodríguez, J. Jiménez-Pérez, … y L. A. Domínguez-Pereda. 2013. Efecto del manejo forestal en la diversidad y composición arbórea de un bosque templado del noroeste de México. Revista Chapingo Serie Ciencias Forestales y del Ambiente 19(2):189-199. Doi: 10.5154/r.rchscfa.2012.08.052.

Instituto Nacional de Estadística y Geografía (INEGI). 2008. Conjunto de datos vectoriales escala 1:1 000 000. Unidades climáticas (2008). https://www.inegi.org.mx/app/biblioteca/ficha.html?upc=702825267568. (28 de noviembre 2023).

Instituto Nacional de Estadística y Geografía (INEGI). 2010. Compendio de información geográfica municipal de los Estados Unidos Mexicanos, Cochoapa el Grande, Guerrero. Clave geoestadística 12078. INEGI. Aguascalientes, Ags., México. 9 p. https://www.inegi.org.mx/contenidos/app/mexicocifras/datos_geograficos/12/12078.pdf. (28 de noviembre de 2023).

Lamprecht, H. 1990. Silvicultura en los trópicos. Los ecosistemas forestales en los bosques tropicales y sus especies arbóreas. Posibilidades para un aprovechamiento sostenido. Deutsche Gesellschaft für Technische Zusammenarbeit (GTZ). Eschborn, HE, Alemania. 335 p.

López-Gómez, V., P. Zedillo-Avelleyra, S. Anaya-Hong, E. González-Lozada y Z. Cano-Santana. 2012. Efecto de la orientación de la ladera sobre la estructura poblacional y ecomorfología de Neobuxbaumia tetetzo (Cactaceae). Botanical Sciences 90(4):453-457. https://www.scielo.org.mx/scielo.php?script=sci_arttext&pid=S2007-42982012000400005. (20 de enero de 2024).

López-Hernández, J. A., O. A. Aguirre-Calderón, E. Alanís-Rodríguez, J. C. Monarrez-González, M. A. González-Tagle y J. Jiménez-Pérez. 2017. Composicion y diversidad de especies forestales en bosques templados de Puebla, México. Maderas y Bosques 23(1):39-51. Doi: 10.21829/myb.2017.2311518.

Magurran, A. E. 2004. Measuring biological diversity. Blackwell Publishing Company. Oxford, OX, United Kingdom. 256 p.

Manzanilla Q., G. E., J. M. Mata B., E. J. Treviño G., Ó. A. Aguirre C., E. Alanís R. y J. I. Yerena Y. 2020. Diversidad, estructura y composición florística de bosques templados del sur de Nuevo León. Revista Mexicana de Ciencias Forestales 11(61):94-123. Doi: 10.29298/rmcf.v11i61.703.

Mora-Donjuán, C. A., O. N. Burbano-Vargas, C. Méndez-Osorio y D. F. Castro-Rojas. 2017. Evaluación de la biodiversidad y caracterización estructural de un Bosque de Encino (Quercus L.) en la Sierra Madre del Sur, México. Revista Forestal Mesoamericana Kurú 14(35):68-75. https://revistas.tec.ac.cr/index.php/kuru/article/view/3154. (25 de noviembre de 2023).

Mostacedo, B. y T. S. Fredericksen. 2000. Manual de métodos básicos de muestreo y análisis en Ecología Vegetal. El País y Proyecto de Manejo Forestal Sostenible (Bolfor). Santa Cruz de la Sierra, S, Bolivia. 87 p. http://www.bio-nica.info/biblioteca/mostacedo2000ecologiavegetal.pdf. (26 de noviembre de 2023).

Organización de las Naciones Unidas para la Aimentacion y la Agricultura (ONUAA) y Programa de las Naciones Unidas para el Medio Ambiente (PNUMA). 2020. El estado de los bosques del mundo 2020. Los bosques, la biodiversidad y las personas. ONUAA y PNUMA. Roma, RM, Italia. 197 p.

Pretzsch, H. 1998. Structural diversity as a result of silvicultural operations. Lesnictví-Forestry 44(10):429-439. https://www.waldwachstum.wzw.tum.de/fileadmin/publications/457.pdf. (25 de septiembre de 2023).

Ramos R., J. C., E. J. Treviño G., E. Buendía R., O. A. Aguirre C. y J. I. López M. 2017. Productividad y estructura vertical de un bosque templado con incidencia de incendios forestales. Revista Mexicana de Ciencias Forestales 8(43):64-88. https://cienciasforestales.inifap.gob.mx/index.php/forestales/article/view/66. (25 de noviembre de 2023).

Rendón-Pérez, M. A., P. Hernández-de la Rosa, A. Velázquez-Martínez, J. L. Alcántara-Carbajal y V. J. Reyes-Hernández. 2021. Composición, diversidad y estructura de un bosque manejado del centro de México. Madera y Bosques 27(1):1-19. Doi: 10.21829/myb.2021.2712127.

Rubio C., E. A., M. A. González T., J. Jiménez P., E. Alanís R. y D. Y. Ávila F. 2014. Diversidad y distribución vertical de especies vegetales mediante el Índice de Pretzsch. Ciencia UANL 17(65):34-41. https://cienciauanl.uanl.mx/?p=799. (25 de noviembre de 2023).

Silva-García, J. E., O. A. Aguirre-Calderón, E. Alanís-Rodríguez, E. Jurado-Ybarra, J. Jiménez-Pérez y B. Vargas-Larreta. 2021. Estructura y diversidad de especies arbóreas en un bosque templado del Noroeste de México. Polibotánica (52):89-102. Doi: 10.18387/polibotanica.52.7.

Silva-García, J. E., O. A. Aguirre-Calderón, E. Alanís-Rodríguez, E. Jurado-Ybarra, … y J. J. Corral R. 2022. Influencia de la altitud y exposición en la estructura y composición de un bosque templado en Durango. Revista Mexicana de Ciencias Forestales 13(70):64-84. Doi: 10.29298/rmcf.v13i70.1163.

Statistical Package for the Social Science (SPSS). 2011. IBM SPSS Statistics for Windows. Version 20.0. IBM Corp. New York, NY, United States of America.

Vargas-Larreta, B., J. J. Corral-Rivas, O. A. Aguirre-Calderón, J. O. López-Martínez, … and C. G. Aguirre-Calderón. 2017. SiBiFor: Forest Biometric System for forest management in Mexico. Revista Chapingo Serie Ciencias Forestales y del Ambiente 23(3):437-455. Doi: 10.5154/r.rchscfa.2017.06.040.

 

 

        

Todos los textos publicados por la Revista Mexicana de Ciencias Forestales sin excepción– se distribuyen amparados bajo la licencia Creative Commons 4.0 Atribución-No Comercial (CC BY-NC 4.0 Internacional), que permite a terceros utilizar lo publicado siempre que mencionen la autoría del trabajo y a la primera publicación en esta revista.