Revista Mexicana de Ciencias Forestales Vol. 17 (94)

Marzo - Abril (2026)

Logotipo, nombre de la empresa

Descripción generada automáticamente

DOI: https://doi.org/10.29298/rmcf.v17i94.1612

Research Note

 

Treatments to increase the survival and initial growth of Pinus greggii Engelm. ex Parl.

Tratamientos para aumentar la supervivencia y el crecimiento inicial de Pinus greggii Engelm. ex Parl.

 

Anayetzi Badillo-Hernández1, Yenifer Eliseo-Quintero1, Fabián Islas-Gutiérrez2*, Tomás Pineda-Ojeda2, Carlos Leopoldo Cíntora-González1, Juan Uriel Avelar Roblero1

 

Fecha de recepción/Reception date: 13 de ocrubre de 2025.

Fecha de aceptación/Acceptance date: 23 de enero de 2026.

_______________________________

1Universidad Autónoma Chapingo, División de Ciencias Forestales. México.

2Instituto Nacional de Investigaciones Forestales, Agrícolas y Pecuarias (INIFAP), Campo Experimental Valle de México. México.

 

*Autor para correspondencia; correo-e: islas.fabian@inifap.gob.mx

*Correponding author; e-mail: islas.fabian@inifap.gob.mx

 

 

Abstract

Forest plantations stand out among the most frequent activities in Mexico to combat deforestation and restore degraded forest areas. However, the results of these efforts, measured in terms of plant survival, have not exceeded 70 %. The objective of this study was to evaluate the effect of applying an antitranspirant (AT), a moisture retainer (RH), a fertilizer (F), and their different combinations (AT-RH, AT-F, RH-F, AT-RH-F) on the initial survival and growth in height and root collar diameter of Pinus greggii plants. The study was conducted at the Valle de México Experimental Field of the National Institute of Forest, Agriculture and Livestock Research, Mexico. The experimental design was completely randomized with four replicates and the experimental units consisted of nine plants. The variables were measured monthly from August 2023 to February 2024. Survival data were analyzed using a Generalized linear model. Growth in height and root collar diameter was analyzed using Mixed models with a repeated measures approach. Regarding survival, AT was statistically different from F. As for height growth, AT was different from RH. Finally, in root collar diameter growth, F was different from AT. It is concluded that the application of AT has the best effect on survival and growth in root collar diameter and height. The application of F can have a negative effect on survival, a crucial variable in forest plantations.

Keywords: Plant height, antitranspirant, root collar diameter, fertilization, reforestation, water retainer.

Resumen

Las plantaciones forestales sobresalen entre los trabajos más frecuentes en México para combatir la deforestación y recuperar las áreas degradadas. Sin embargo, los resultados de esos esfuerzos, medidos en la supervivencia de las plantas, no superan 70 %. El objetivo de este trabajo fue evaluar el efecto de la aplicación de un antitranspirante (AT), un retenedor de humedad (RH), un fertilizante (F) y sus diferentes combinaciones (AT-RH, AT-F, RH-F, AT-RH-F) sobre la supervivencia, crecimiento en altura total y diámetro del cuello iniciales en Pinus greggii. El experimento se estableció en el Campo Experimental Valle de México del Instituto Nacional de Investigaciones Forestales, Agrícolas y Pecuarias, México. El diseño experimental fue completamente al azar, con cuatro repeticiones y las unidades experimentales se conformaron de nueve plantas. Las variables se midieron mensualmente de agosto de 2023 a febrero de 2024. Los datos de supervivencia se analizaron con un Modelo lineal generalizado. El crecimiento en altura y diámetro de cuello se analizó mediante Modelos mixtos con un enfoque de medidas repetidas. Respecto a la supervivencia, AT resultó estadísticamente diferente a F. En cuanto al crecimiento en altura, AT es diferente a RH. Finalmente, en el crecimiento en diámetro de cuello, F resultó diferente a AT. Se concluye que la aplicación de AT tiene el mejor efecto en la supervivencia, y el crecimiento en diámetro de cuello y altura. La aplicación de F puede tener un efecto negativo en la sobrevivencia, variable que es fundamental en plantaciones forestales.

Palabras clave: Altura de planta, antitranspirante, diámetro de cuello, fertilización, reforestación, retenedor de agua.

 

 

 

Development of the topic

 

 

In Mexico, reforestation of degraded areas has been a constant in forestry activity since the last century (Prieto-Ruíz et al., 2016a); however, survival rates remain low (Torres-Rojo, 2021). Several factors explain this, one of the main ones being drought (Prieto-Ruíz et al., 2016b). This phenomenon affects root function, which is crucial for soil exploration and water absoption, by altering cellular hydraulic conductivity and modifying root growth (Maurel & Nacry, 2020).

Pinus greggii Engelm. ex Parl. is a tree endemic to Mexico, valuable for its multiple ecological and economic benefits (Ramírez-Herrera et al., 2005). It is one of the most widely used conifer species in reforestation programs (Flores et al., 2021). However, drought conditions hinder its growth (Hernández-Pérez et al., 2001). This motivates research on the use of water-retaining agents, antitranspirants, and initial fertilization, given the problem of water scarcity in Mexico.

The objective of this study was to evaluate the effects of an antitranspirant, a water-retaining agent, and a fertilizer on the survival, root collar diameter growth, and initial total height of Pinus greggii.

The study was conducted at the Valle de México Experimental Field of the National Institute of Forestry, Agriculture and Livestock Research (INIFAP, for its acronym in Spanish), located in Coatlinchán, Texcoco, Mexico, at 19°26’41.7” N and 98°53’6.1” E, and at 2 275 m above sea level. The plantation is located in a rectangular plot measuring 72×36 m, with an area of 2 592 m2.

An antitranspirant (Vapor Gard®, Miller Chemical & Fertilizer, USA), a fertilizer (diammonium phosphate, generic), and a water-retaining agent (Terra Sorb®, Bioiberica S. A. U., Spain), as well as their combinations, were evaluated and constituted the treatments (Table 1). The antitranspirant was applied by via foliar spray (10 mL L-1) one day before planting; while the diammonium phosphate fertilizer (16 g plant-1) and the water-retaining agent (5 g plant-1) were applied to the bottom of the planting hole.

 

Table 1. Treatments applied in the evaluation of the survival and initial growth of Pinus greggii Engelm. ex Parl.

Treatment

Description

Key

1

Antitranspirant

AT

2

Water-retainer

RH

3

Fertilizer

F

4

Antitranspirant+Water-retainer

AT-RH

5

Antitranspirant+Fertilizer

AT-F

6

Antitranspirant+Water-retainer+Fertilizer

AT-RH-F

7

Water-retainer+Fertilizer

RH-F

8

Control

T

 

The experiment followed a completely randomized design, with eight treatments and four replicates. Each experimental unit consisted of nine plants in a 4.5×4.5 m square area.

Evaluations were conducted monthly, beginning six days after planting in August 2023 and concluding in February 2024. Survival was assessed by direct counting (live or dead). Root collar diameter (mm) was measured with a model HER-411 Steren® digital caliper, and plant height (cm) with a 50 cm ruler.

A generalized linear model was used for the survival analysis. In this case, the response variable Y was considered a Bernoulli random variable with a probability of Success=p and of Failure=1-p, where Success represented the survival of the plant of interest at the end of the experiment, and Failure represented non-survival. Under this consideration, the set of responses Yijk was modeled using a generalized linear model with a binary response Yijk, a linear component associated with the treatment effect, and an identity link function; that is, it was considered that Yi~Bin(ni,ϖi), i=1,…,8. In the above expression, niis the sample size associated with the observations under the i-th treatment, while ni is the probability of Success, conditioned by the indicated treatment level. The estimation of parameters and effects was performed using the maximum likelihood method with the GENMOD procedure of the SAS system version 9.4 (SAS Institute Inc., 2023).

The Generalized likelihood ratio statistic indicates a differentiated treatment effect (p<0.0174), such that the experimental evidence suggests that at least one estimate  is statistically different from the others. To determine which estimates  can be considered statistically different from each other, a pairwise comparison was made using the Likelihood ratio criterion for the reduced and full models; the estimation in the reduced model assumes parametric equality of the compared pair, while the full model assumes that the parameters  are different.

Treatment AT (86.1 %) showed the highest survival rate, followed by treatment RH (80.6 %), although there was no significant difference between the two. Treatment F registered the lowest percentage (55.6 %) (Table 2), but there were no significant differences compared to AT or RH in combination with F and AT. These results agree with those obtained by Albaugh et al. (2004) in Pinus radiata D. Don plantations. The low survival rate of the AT-RH-F treatment may be attributed to negative interactions between the treatments, which generate physiological stress.

 

Table 2. Grouping of estimates according to the Generalized likelihood ratio criterion (α=0.05).

Treatment

Estimation

Group

AT

0.8611

a

 

 

 

RH

0.8056

a

b

 

 

AT-F

0.7778

a

b

c

 

AT-RH

0.6944

a

b

c

d

RH-F

0.6111

 

b

c

d

AT-RH-F

0.5833

 

 

c

d

T

0.5833

 

 

c

d

F

0.5556

 

 

 

d

AT = Antitranspirant; RH = Moisture retainer; F = Fertilizer; T = Control. Treatments with different letters indicate significant differences (α<0.05).

 

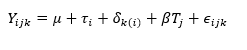
To determine whether the studied treatments had an effect on diameter and height growth, a repeated measures analysis was performed using the linear mixed-effects model approach (Diggle et al., 2002). Accordingly, the following linear mixed-effects model was considered:

 

 

Where:

 = Value of the observed response variable of interest, diameter or height, in month j and in experimental unit k

 = Effect of the i-th treatment

 = Random variable associated with experimental unit j under the i-th treatment

= Linear regression coefficient

 = Month j

 Error term

 

In this case, i=1,…,8; j=1,…,7; k=1,..,4, and in matrix form, the mixed model considered is of the form Y=Xβ+ZU+ε, in which the treatment and time effects are fixed and represented by the component , while the random vector U has components δk(i) and is normally distributed with a mean vector of 0 and a variance-covariance matrix Σ associated with an autoregressive process of order 1, that is, AR(1). The error vector ε is considered to be normally distributed with a mean vector of 0 and a variance-covariance matrix σ2In, which is independent of the random effects vector U.

The choice of the AR(1) covariance structure resulted from comparing the Akaike information criterion (AIC) value for several covariance structures. In both cases, diameter and height, this value was lower for the AR(1) model compared to the value associated with the compound and unstructured symmetry covariance structures.

The estimates were obtained using the MIXED procedure of the SAS system version 9.4 (SAS Institute Inc., 2023), based on restricted maximum likelihood (REML) estimation.

Regarding height, the estimation results indicate a significant difference between the fixed effects  (p<0.0001). The comparison of least squares means,, associated with the estimated effects implies that the differences  are statistically different from zero, p=0.04. The Autoregressive coefficient estimate =0.91 is statistically different from zero (p<0.0001), while the linear regression coefficient estimate =0.53 is also statistically non-zero (p<0.0001).

The treatments that showed the greatest height growth were AT (37.5 cm) and F (37.48 cm), although they were not statistically different from the other treatments, except for RH (34.94 cm), which reached the lowest height (Table 3). This is likely because the moisture retainer helps keep the plant hydrated, thus promoting survival. However, growth is related to the availability of soil nutrients that promote root development (Hernández et al., 2021). The results of this study are consistent with the insignificant effect of various doses of hydrogel on the growth of Pinus oocarpa Schiede ex Schltdl. during the dry season (Fuentes-Sandoval & Rodríguez-Méndez, 2024).

 

Table 3. Least squares means for height and root collar diameter of the evaluated treatments and grouping according to the minimum significant difference.

Treatment

Height

(cm)

Group

Root collar diameter

(mm)

Group

AT

37.50

a

6.01

a b

RH

34.95

b

5.89

a b

F

37.48

a

6.72

a

AT-RH

35.92

a b

5.78

b

AT-F

35.82

a b

5.94

a b

AT-RH-F

37.03

a b

5.95

a b

RH-F

35.57

a b

6.00

a b

T

36.04

a b

5.72

b

AT = Antitranspirant; RH = Moisture retainer; F = Fertilizer; T = Control. Treatments with different letters indicate significant differences (α<0.05).

 

Regarding root collar diameter, the results indicate significant differences between means associated with fixed effects (p<0.0001), that the linear regression effect of diameter on age is significant (p<0.0001), and that the autoregression coefficient =0.35 is also statistically non-zero (p<0.0001). In this case, the statistically non-zero least squares mean differences are , with 0.0375 and 0.0288 p values, respectively. That is, the effect of treatment F was different from the effects of treatments T and AT-RH, a result similar to that reported by Mason (2004) in Pinus radiata plants.

The obtained results make it possible to conclude that the application of antitranspirant has a positive effect on survival, root collar diameter and height. The fertilizer did not have a positive effect on the survival of the seedlings; however, there was a positive effect on the growth of root collar diameter and plant height.

 

Acknowledgments

 

The authors thank the Instituto Nacional de Investigaciones Forestales, Agrícolas y Pecuarias (INIFAP) (National Institute of Forestry, Agricultural and Livestock Research) for its support in carrying out the described research project.

 

Conflict of interest

 

The authors declare no conflict of interest.

 

Contribution by author

 

Anayetzi Badillo-Hernández and Yenifer Eliseo-Quintero: research conceptualization and writing of the manuscript; Fabián Islas-Gutiérrez: data collection and analysis, writing and review of the manuscript; Tomás Pineda-Ojeda: research conceptualization, data collection and review of the manuscript; Carlos Leopoldo Cíntora-González: statistical data analysis and review of the manuscript; Juan Uriel Avelar-Roblero: review of the manuscript

 

 

References

Albaugh, T. J., Rubilar, R., Álvarez, J., & Allen, H. L. (2004). Radiata pine response to tillage, fertilization, and weed control in Chile. Bosque, 25(2), 5-15. https://www.scielo.cl/pdf/bosque/v25n2/Art02.pdf

Diggle, P. J., Heagerty, P. J., Liang, K.-Y., & Zeger, S. L. (2002). Analysis of longitudinal data. Oxford University Press. https://books.google.com.mx/books?id=mntoAgAAQBAJ&printsec=frontcover&hl=es&source=gbs_ge_summary_r&cad=0#v=onepage&q&f=false

Flores, A., Romero-Sánchez, M. E., Pérez-Miranda, R., Pineda-Ojeda, T., & Moreno-Sánchez, F. (2021). Potencial de restauración de bosques de coníferas en zonas de movimiento de germoplasma en México. Revista Mexicana de Ciencias Forestales, 12(63), 4-27. https://doi.org/10.29298/rmcf.v12i63.813

Fuentes-Sandoval, L. A., & Rodríguez-Méndez, J. A. (2024). Efecto del hidrogel como retenedor de agua en el establecimiento de una plantación de Pinus oocarpa durante 6 meses en el sector 1 del bosque universitario de UNACIFOR, Honduras. TATASCÁN, 32(1), 40-48. https://doi.org/10.5377/tatascn.v32i1.19311

Hernández, J., Quiroz, I., Pincheira, M., & Gacitúa, S. (2021). Efecto de la fertilización nitrogenada y fosforada en plantas de Raulí sobre su respuesta fisiológica, crecimiento, producción de brotes y enraizamiento de estacas. Ciencia & Investigación Forestal, 27(2), 69-83. https://doi.org/10.52904/0718-4646.2021.550

Hernández-Pérez, C., Vargas-Hernández, J. J., Ramírez-Herrera, C., & Muñoz-Orozco, A. (2001). Variación geográfica en la respuesta a la sequía en plántulas de Pinus greggii Engelm. Revista Ciencia Forestal en México, 26(89), 61-79. https://cienciasforestales.inifap.gob.mx/index.php/forestales/article/view/919

Mason, E. G. (2004). Effects of soil cultivation, fertilisation, initial seedling diameter and plant handling on the development of maturing Pinus radiata D. Don on Kaingaroa gravelly sand in the Central North Island of New Zealand. Bosque, 25(2), 43-55. http://dx.doi.org/10.4067/S0717-92002004000200005

Maurel, C., & Nacry, P. (2020). Root architecture and hydraulics converge for acclimation to changing water availability. Nature Plants, 6, 744-749. https://doi.org/10.1038/s41477-020-0684-5

Prieto-Ruíz, J. Á., Aldrete, A., Sánchez-Velázquez, J. R., & Hernández-Díaz, J. C. (2016a). Antecedentes de la reforestación en México. En J. Á. Prieto-Ruíz & J. R. Goche-Télles (Comps.), Las reforestaciones en México. Problemática y alternativas de solución (pp. 13-25). Universidad Juárez del Estado de Durango. https://forestales.ujed.mx/forestales/es/contenido/eventos_documentos/LIBRO_REFORESTACIONES_EN_MEXICO.pdf

Prieto-Ruíz, J. Á., Aldrete, A., Hernández-Díaz, J. C., & Goche-Télles., J. R. (2016b). Causas de la mortalidad de las reforestaciones y propuestas de mejora. En J. Á. Prieto-Ruíz & J. R. Goche-Télles (Comps.), Las reforestaciones en México. Problemática y alternativas de solución (pp. 55-65). Universidad Juárez del Estado de Durango. https://forestales.ujed.mx/forestales/es/contenido/eventos_documentos/LIBRO_REFORESTACIONES_EN_MEXICO.pdf

Ramírez-Herrera, C., Vargas-Hernández, J. J., & López-Upton, J. (2005). Distribución y conservación de las poblaciones naturales de Pinus greggii. Acta Botánica Mexicana, (72), 1-16. https://doi.org/10.21829/abm72.2005.997

SAS Institute Inc. (2023). SAS 9.4 [Software]. SAS Institute Inc. https://support.sas.com/software/94/

Torres-Rojo, J. M. (2021). Factores ambientales y físicos que afectan la supervivencia de siete especies forestales en el Estado de México. Revista Mexicana de Ciencias Forestales, 12(64), 66-91. https://doi.org/10.29298/rmcf.v12i64.831

 

 

        

Todos los textos publicados por la Revista Mexicana de Ciencias Forestales sin excepción– se distribuyen amparados bajo la licencia Creative Commons 4.0 Atribución-No Comercial (CC BY-NC 4.0 Internacional), que permite a terceros utilizar lo publicado siempre que mencionen la autoría del trabajo y a la primera publicación en esta revista.