Revista Mexicana de Ciencias Forestales Vol. 17 (94)

Marzo - Abril (2026)

Logotipo, nombre de la empresa

Descripción generada automáticamente

DOI: https://doi.org/10.29298/rmcf.v17i94.1608

Artículo de investigación

 

Cambio de uso del suelo y cobertura vegetal en la subcuenca del río San Pedro Mártir, Tabasco, México

Land-use change and vegetation cover in the San Pedro Mártir River sub-basin, Tabasco state, Mexico

Miguel Ángel Palomeque De la Cruz1, Silvia del Carmen Ruiz Acosta2, Alex Ricardo Ramírez García3, Manuel Fidel Domínguez Azueta1, Tania Gudelia Núñez Magaña1, Adalberto Galindo Alcántara1*

 

Fecha de recepción/Reception date: 7 de octubre de 2025.

Fecha de aceptación/Acceptance date: 6 de marzo de 2026.

_______________________________

1División Académica de Ciencias Biológicas. Universidad Juárez Autónoma de Tabasco. México.

2Tecnológico Nacional de México, IT Campus Zona Olmeca. México.

3Universidad Nacional Autónoma de Chiapas. México.

 

*Autor para correspondencia; correo-e: adalberto.galindo@ujat.mx

*Correponding author; e-mail: adalberto.galindo@ujat.mx

 

 

Resumen

El objetivo del estudio que se describe a continuación fue analizar la dinámica del cambio de uso del suelo y la cobertura vegetal en la subcuenca del río San Pedro Mártir, Tabasco, México durante el periodo 1984-2024 mediante técnicas de teledetección y sistemas de información geográfica. Se utilizaron imágenes Landsat correspondientes a los años 1984, 2000 y 2024, las cuales fueron clasificadas en ocho categorías de uso del suelo y cobertura vegetal. A partir de estas se estimaron superficies, transiciones entre coberturas y tasas de cambio anuales para dos periodos de análisis. Los resultados evidenciaron una transformación territorial caracterizada por la consolidación de los pastizales como la cobertura dominante del paisaje, al pasar de 33.7 % de la superficie en 1984 a 45.4 % en 2024. La vegetación secundaria presentó un comportamiento muy dinámico, con pérdidas y recuperaciones parciales, lo que confirmó su papel como cobertura transicional dentro de ciclos recurrentes de uso del suelo. La selva baja inundable y los ecosistemas asociados a ambientes inundables registraron una reducción neta hacia el final del periodo analizado. A partir del año 2000 se identificó la emergencia y rápida expansión de plantaciones forestales, principalmente sobre áreas agrícolas, pastizales y vegetación secundaria que alcanzó 6.2 % del territorio en 2024. Las trayectorias de cambio identificadas reflejan una reconfiguración productiva del paisaje caracterizada por la simplificación estructural y la fragmentación de las coberturas forestales. El estudio proporciona una línea base espacial y temporal para el análisis de la dinámica territorial en regiones tropicales húmedas.

Palabras clave: Análisis multitemporal, cambio de uso del suelo, cobertura vegetal, dinámica del paisaje, regiones tropicales, teledetección.

Abstract

The aim of this study was to analyze the dynamics of land-use and vegetation cover change in the San Pedro Mártir River sub-basin, Tabasco state, Mexico, for the 1984-2024 period using remote sensing techniques and geographic information systems. Landsat images corresponding to the 1984, 2000 and 2024 years were classified into eight land-use and vegetation cover categories. Based on these classifications, surface areas, vegetation cover transitions and annual rates of change were estimated for two analysis periods. The results reveal a territorial transformation characterized by the consolidation of pastures as the dominant vegetation cover, increasing from 33.7 % of the surface area in 1984 to 45.4 % in 2024. Secondary vegetation exhibited highly dynamic behavior, with phases of loss and partial recovery, confirming its role as a transitional cover within recurrent land-use cycles. Flooded lowland forest and ecosystems associated with inundated environments highlight a net reduction toward the end of the analyzed period. From 2000 onward, the emergence and rapid expansion of forest plantations were identified, mainly over agricultural areas, pastures, and secondary vegetation, reaching 6.2 % of the territory in 2024. The identified change trajectories reflect a productive reconfiguration of the landscape characterized by structural simplification and fragmentation of forest cover. The study provides a spatial and temporal baseline for analyzing territorial dynamics in humid tropical regions.

Keywords: Multitemporal analysis, land-use change, vegetation cover, landscape dynamics, tropical regions, remote sensing.

 

  

Introducción

 

 

La subcuenca del río San Pedro Mártir, ubicada en la región de los Ríos, Tabasco, México presenta una elevada heterogeneidad ambiental característica de las planicies tropicales húmedas, donde coexisten selva baja inundable, vegetación secundaria, humedales y áreas transformadas por actividades agropecuarias (Megia-Vera et al., 2025). Este territorio posee relevancia ambiental y productiva, e incluye áreas naturales protegidas de importancia regional y nacional, como el Área Natural Estatal Cascadas de Reforma, la Reserva de la Biosfera Wanha’ y una porción del Área de Protección de Flora y Fauna Cañón del Usumacinta (Gobierno del Estado de Tabasco, 2002; Secretaría de Gobernación, 2008, 2023).

Durante las últimas décadas, la subcuenca ha tenido una transformación significativa en el uso del suelo y la cobertura vegetal, asociada a la expansión de la ganadería extensiva, la agricultura y, más recientemente, al establecimiento de plantaciones forestales comerciales; procesos que han modificado la distribución espacial de las coberturas forestales nativas, la vegetación secundaria y los humedales, lo que ha configurado un paisaje dominado por usos productivos y transiciones recurrentes entre coberturas naturales y antropizadas (Gobierno del Estado de Tabasco, 2024; Manjarrez-Muñoz et al., 2007; Ramírez-García et al., 2022).

A escala global, la conversión de bosques tropicales hacia usos agropecuarios y plantaciones constituye uno de los principales motores del cambio de uso del suelo. Estudios clásicos y recientes coinciden en que los bosques tropicales han sido la principal fuente de nuevas tierras agrícolas desde finales del siglo XX, particularmente para la expansión de pastizales y cultivos comerciales, que ha generado transformaciones territoriales de carácter permanente (Gibbs et al., 2010; Hansen et al., 2013). Análisis globales basados en imágenes Landsat han demostrado que la deforestación por conversión a actividades agrícolas y forestales explica una proporción significativa de la pérdida reciente de cobertura arbórea a nivel mundial (Curtis et al., 2018).

En este contexto, la expansión de plantaciones forestales en regiones tropicales representa un proceso diferenciado que, aunque incrementa la cobertura arbórea, no es funcionalmente equivalente a los bosques nativos. Diversos estudios han señalado que estas plantaciones presentan estructuras ecológicas simplificadas y efectos ambientales distintos, por lo que su interpretación como recuperación forestal puede resultar equívoca cuando se analizan dinámicas de paisaje, biodiversidad y procesos ecosistémicos (Fagan et al., 2022; Kotowska et al., 2023).

El análisis multitemporal del cambio de uso del suelo mediante técnicas de teledetección y sistemas de información geográfica ha demostrado ser una herramienta robusta para identificar patrones espaciales, cuantificar transiciones entre coberturas y estimar tasas de ganancia y pérdida en distintos periodos (Agudelo-Hz et al., 2023; Eastman, 2012). En regiones tropicales como el sureste de México, donde convergen selvas inundables, humedales y paisajes agropecuarios, este enfoque resulta particularmente útil para documentar la sustitución de coberturas forestales nativas, la dinámica de la vegetación secundaria como cobertura transicional y la emergencia de nuevos usos productivos.

En ese sentido, el presente estudio tuvo como objetivo analizar la dinámica del cambio de uso del suelo y la cobertura vegetal en la subcuenca del río San Pedro Mártir, Tabasco, México, durante el periodo 1984-2024, mediante el uso de técnicas de teledetección y sistemas de información geográfica. Dicho enfoque permite identificar no solo los cambios en superficie, sino también las trayectorias de transformación del paisaje, entendidas como las secuencias de conversión entre coberturas que configuran la dinámica territorial a lo largo del tiempo.

 

 

Materiales y Métodos

 

 

La subcuenca del río San Pedro Mártir se localiza en la Región de los Ríos, en el estado de Tabasco, México, y forma parte de la cuenca del río Usumacinta (Figura 1). Fisiográficamente, pertenece a la provincia de la Llanura Costera del Golfo Sur, caracterizada por el predominio de llanuras aluviales y fluvio-palustres con superficies planas a ligeramente onduladas y altitudes generalmente inferiores a los 30 m (Instituto Nacional de Estadística, Geografía e Informática [INEGI], 1986). Estas condiciones geomorfológicas favorecen la presencia de zonas inundables, humedales y depresiones interfluviales. El clima es cálido húmedo con lluvias en verano (Am), que contribuye al desarrollo de ecosistemas tropicales y extensos sistemas de humedales propios de la planicie tabasqueña (INEGI, 1986).

 

Figura 1. Ubicación del área de estudio.

 

El análisis del cambio de uso del suelo y la cobertura vegetal se realizó con un enfoque multitemporal para los años 1984, 2000 y 2024, mediante imágenes Landsat 5 TM y Landsat 8 OLI con resolución espacial de 30 m, obtenidas del United States Geological Survey (USGS, 2024).

El preprocesamiento se efectuó con el Semi-Automatic Classification Plugin (SCP) de Congedo (2023) en QGIS versión 3.36 (QGIS Development Team, 2024), y se hizo la corrección radiométrica y atmosférica de las imágenes Landsat 5 TM y Landsat 8 OLI, conversión a reflectancia de superficie, enmascaramiento de nubes y estandarización espacial para garantizar la comparabilidad temporal. La delimitación del área de estudio se realizó mediante el polígono disponible en el Simulador de Flujos de Agua de Cuencas Hidrográficas del Instituto Nacional de Estadística y Geografía (Inegi, 2021).

La clasificación supervisada se llevó a cabo mediante el algoritmo de Máxima Verosimilitud (Congedo, 2023), se definieron ocho categorías de uso del suelo y vegetación: selva baja inundable, vegetación hidrófita, vegetación secundaria, cuerpos de agua, áreas agrícolas, pastizales, plantaciones forestales y asentamientos humanos. Las muestras de entrenamiento se seleccionaron a partir de la interpretación visual de las imágenes, apoyada en cartografía temática e información secundaria.

La verificación en campo se hizo con recorridos de reconocimiento en sitios representativos, utilizados como apoyo para la interpretación y validación de las clases. La precisión de la clasificación se evaluó mediante matrices de confusión, comparando puntos de referencia independientes obtenidos a partir de verificación en campo e interpretación visual de las imágenes con las clases asignadas. A partir de esta matriz, se estimaron la precisión global y el coeficiente Kappa.

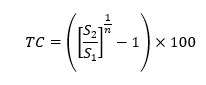
La dinámica del cambio de uso del suelo se analizó con el módulo Land Change Modeler de TerrSet 2020® (Center for Geospatial Analytics, 2020), se estimaron ganancias, pérdidas, cambios netos y tasas de cambio para los periodos 1984-2000 y 2000-2024. La tasa de cambio se calculó mediante la siguiente fórmula:

 

 

Donde:

TC = Tasa de cambio anual (%)

S1 = Área cubierta al inicio del periodo (ha)

S2 = Área cubierta al final del periodo (ha)

n = Número de años del periodo (Palacio-Prieto et al., 2004)

 

 

Resultados

 

 

El análisis multitemporal del uso del suelo y la cobertura vegetal en la subcuenca del río San Pedro Mártir mostró cambios significativos en la composición y configuración del paisaje entre 1984 y 2000 (Kappa=0.6044, Precisión≈88) y 2000-2024 (Kappa=0.5127, Precisión≈84). Se identificaron variaciones en la superficie de las principales coberturas, así como transiciones espaciales diferenciadas entre coberturas forestales, seminaturales y usos productivos.

 

 

Cambios generales en el uso del suelo y la cobertura vegetal (1984-2024)

 

 

En 1984, el paisaje estuvo dominado por la vegetación secundaria (36.4 %) y los pastizales (33.7 %), seguidos por áreas agrícolas (13.0 %), vegetación hidrófita (8.0 %) y selva baja inundable (6.2 %). Los cuerpos de agua y los asentamientos humanos representaron proporciones menores a 3 % del área total (Cuadro 1; Figura 2).

 

Cuadro 1. Superficie y proporción de las categorías de uso del suelo y cobertura vegetal en la subcuenca del río San Pedro Mártir para los años 1984, 2000 y 2024.

Categoría

1984

2000

2024

ha

%

ha

%

ha

%

Selva baja inundable

13 063

6.2

17 946.0

8.5

11 494.2

5.5

Vegetación hidrófita

16 734

8.0

17 803.7

8.5

15 135.0

7.2

Vegetación secundaria

76 588

36.4

55 669.1

26.5

57 582.2

27.4

Cuerpos de agua

4 748

2.3

5 386.5

2.6

2 894.5

1.4

Área agrícola

27 357

13.0

50 010.2

23.8

8 998.5

4.3

Pastizales

70 772

33.7

61 655.2

29.3

95 476.6

45.4

Plantaciones forestales

0

0.0

99.5

0.04

13 052.4

6.2

Asentamientos humanos

899

0.4

1 591.0

0.8

5 527.6

2.6

Total

210 161

100.0

210 161

100.0

210 161

100.0

 

Figura 2. Distribución espacial de las categorías de uso del suelo y cobertura vegetal en la subcuenca del río San Pedro Mártir, Tabasco, México, para los años 1984, 2000 y 2024.

 

En el año 2000 se registraron cambios en la distribución de las coberturas. La superficie agrícola aumentó hasta 23.8 % del territorio, mientras que la vegetación secundaria se redujo a 26.5 % y los pastizales a 29.3 %. La selva baja inundable y la vegetación hidrófita incrementaron su superficie, y ambas alcanzaron 8.5 % del área de estudio. En este periodo se identificó por primera vez la presencia de plantaciones forestales, aunque con una superficie marginal (0.1 %).

En 2024 el patrón espacial del paisaje presentó una nueva reconfiguración. Los pastizales se consolidaron como la cobertura dominante, al ocupar 45.4 % de la subcuenca, seguidos por la vegetación secundaria (27.4 %). La selva baja inundable disminuyó a 5.5 %, la vegetación hidrófita a 7.2 % y los cuerpos de agua a 1.4 %. Las plantaciones forestales alcanzaron 6.2 % del territorio, mientras que las áreas agrícolas se redujeron a 4.3 % (Cuadro 1).

 

 

Dinámica de las transformaciones de uso del suelo

 

 

El análisis de transiciones permitió identificar las principales trayectorias de cambio entre coberturas para los periodos 1984-2000 y 2000-2024 (Cuadro 2). Durante el primer periodo, las mayores conversiones se registraron de vegetación secundaria hacia áreas agrícolas y pastizales, así como modificaciones desde pastizales a vegetación secundaria y áreas agrícolas (Cuadro 3).

 

Cuadro 2. Ganancias y pérdidas en el cambio de uso del suelo de la subcuenca del río San Pedro Mártir (1984-2000 y 2000-2024).

Categoría

1984-2000

2000-2024

TC

G

P

GN

G

P

GN

1984-2000

2000-2024

ha

ha

ha

ha

ha

ha

Selva baja inundable

11 966

7 083

4 883

7 259

13 711

-6 451

1.97

-1.87

Vegetación hidrófita

7 020

5 950

1 069

5 662

8 331

-2 668

0.39

-0.68

Vegetación secundaria

18 568

39 487

-20 918

37 031

35 118

1 913

-2.01

0.14

Cuerpos de agua

1 810

1 171

638

503

2 995

-2 491

0.79

-2.62

Superficie agrícola

41 381

18 728

22 653

6 738

47 750

-41 011

3.70

-7.41

Pastizales

25 007

34 123

-9 116

58 349

24 527

33 821

-0.87

1.81

Plantaciones forestales

99.5

0.0

99.5

13 038

85.8

12 953

100

18.39

Asentamientos humanos

692

0.0

692

4 098

0

4 098

3.50

5.06

G = Superficie que se modificó hacia la categoría; P = Superficie que transicionó desde la categoría; GN = G-P; TC = Tasa de cambio anual, calculada a partir del cambio neto y la duración del periodo.

 

Cuadro 3. Transiciones de uso del suelo en la subcuenca del río San Pedro Mártir para los períodos 1984-2000 y 2000-2024.

 

Categorías de usos del suelo

 

Periodo 1984-2000

Categoría

Sb

Vh

Vs

Ca

Ag

Pz

Pf

Ah

P

Sb

0

1 829

2 634

238

1 538

842

0

0

7 083

Vh

1 759

0

472

1 120

1 601

997

0

0

5 950

Vs

7 980

1 268

0

133

16 575

13 123

99.5

307

39 487

Ca

225

855

90

0

0

0

0

0

1 171

Ag

1 430

2 559

4 267

317

0

10 043

0

108

18 728

Pz

570

508

11 103

0

21 666

0

0

275

34 123

Pf

0

0

0

0

0

0

0

0

0

Ah

0

0

0

0

0

0

0

0

0

G

11 966

7 020

18 568

1 810

41 381

25 007

99

692

 

Periodo 2000-2024

Categoría

Sb

Vh

Vs

Ca

Ag

Pz

Pf

Ah

P

Sb

0

1 364

5 109

97

513

5 553

917

155

13 711

Vh

1 095

0

1 783

267

572

4 050

354

206

8 331

Vs

3 966

822

0

87

2 248

22 341

4 336

1 316

35 118

Ca

263

2 113

226

0

65

245

80

0

2 995

Ag

1 301

890.6

14 764

0

0

25 996

3 613

1 183

47 750

Pz

633

470.9

15 061

50

3 337

0

3 736

1 236

24 527

Pf

0

0

85

0

0

0

0

0

85.8

Ah

0

0

0

0

0

0

0

0

0

G

7 259

5 662

37 031

503

6 738

58 187

13 038

4 098

Sb = Selva baja inundable; Vh = Vegetación hidrófita; Vs = Vegetación secundaria; Ca = Cuerpos de agua; Ag = Áreas agrícolas; Pz = Pastizales; Pf = Plantaciones forestales; Ah = Asentamientos humanos; G = Ganancias por categoría; P = Pérdidas por categoría.

 

Entre 2000 y 2024, las transiciones predominantes se orientaron hacia la expansión de los pastizales y las plantaciones forestales. Las áreas agrícolas y la vegetación secundaria constituyeron las principales fuentes de conversión hacia estos usos, mientras que la selva baja inundable y la vegetación hidrófita presentaron pérdidas netas asociadas a su transformación en coberturas productivas.

El detalle de las principales trayectorias de cambio entre coberturas se muestra en el Cuadro 3. Destacan las modificaciones desde áreas agrícolas y vegetación secundaria hacia pastizales, así como la conversión de estas coberturas a vegetación secundaria en el periodo 2000-2024.

 

 

Cambios en la selva baja inundable

 

 

La selva baja inundable ocupaba 13 063 ha (6.2 %) en 1984. Para el año 2000, su superficie aumentó a 17 946 ha (8.5 %), con una ganancia neta de 4 883 ha. Las transformaciones provinieron, principalmente, de la vegetación secundaria, vegetación hidrófita y áreas agrícolas.

En 2024, la superficie de selva baja inundable se redujo a 11 494 ha (5.5 %), y se registró una pérdida neta de 6 451 ha entre 2000 y 2024, con una tasa de cambio anual de -1.87 %. Las principales conversiones de pérdida se dirigieron hacia pastizales y vegetación secundaria.

 

 

Dinámica de la vegetación secundaria

 

 

En 1984 la vegetación secundaria fue la cobertura dominante, con 76 588 ha (36.4 %). Para el año 2000, disminuyó a 55 669 ha, lo que representó una pérdida neta de 20 918 ha con una tasa de cambio anual de -2.01 %. Durante ese periodo, las transiciones más importantes ocurrieron hacia áreas agrícolas, pastizales y selva baja inundable.

En 2024, la vegetación secundaria alcanzó 57 582 ha, con una ganancia neta de 1 913 ha, respecto al año 2000. Las modificaciones hacia esta cobertura procedieron, en esencia, de los pastizales y las áreas agrícolas; aunque también se registraron pérdidas superiores a 35 000 ha hacia otros usos del suelo, que resultó en una tasa neta de cambio cercana a cero (Cuadro 2).

 

 

Expansión de los pastizales

 

 

Los pastizales cubrían 70 772 ha (33.7 %) en 1984. Para el año 2000, su superficie se redujo a 61 655 ha (29.3 %), con una pérdida neta de 9 116 ha, asociada, básicamente, a conversiones hacia áreas agrícolas y vegetación secundaria.

Entre 2000 y 2024, los pastizales registraron la mayor expansión entre todas las coberturas, alcanzaron 95 476 ha (45.4 %) en 2024. La ganancia neta fue de 33 821 ha, con transformaciones predominantes desde áreas agrícolas, vegetación secundaria, selva baja inundable y vegetación hidrófita (Cuadro 3).

 

 

Cambios en el uso agrícola

 

 

En 1984, las áreas agrícolas ocupaban 27 357 ha (13.0 %); para el año 2000, aumentó a 50 010 ha (23.8 %), con una ganancia neta de 22 653 ha. Las principales transiciones hacia agricultura provinieron de pastizales y vegetación secundaria.

En 2024, el uso agrícola se redujo drásticamente a 8 998 ha (4.3 %), con una pérdida neta de 41 011 ha entre 2000 y 2024 y una tasa de cambio anual de -7.41 % (Cuadro 2). Las conversiones de pérdida se dirigieron, sobre todo, a pastizales, vegetación secundaria y plantaciones forestales.

 

 

Dinámica de las plantaciones forestales

 

 

Las plantaciones forestales estuvieron ausentes en 1984 y se identificaron por primera vez en el año 2000, con una superficie de 99.5 ha (0.04 % del territorio). Para 2024, se incrementó a 13 052 ha (6.2 %), con una ganancia neta de 12 953 ha con una tasa anual de cambio de 18.39 %.

Las principales modificaciones hacia plantaciones forestales se derivaron de vegetación secundaria, áreas agrícolas, pastizales y selva baja inundable, lo cual evidenció su expansión sobre coberturas previamente transformadas y, en menor medida, sobre coberturas forestales nativas.

 

 

Cambios en cuerpos de agua y vegetación hidrófita

 

 

En 1984, los cuerpos de agua cubrían 4 748 ha; para el año 2000, aumentó a 5 386 ha, con una ganancia neta de 638 ha. Entre 2000 y 2024, disminuyeron a 2 894 ha, con una pérdida neta de 2 491 ha.

La vegetación hidrófita presentó variaciones temporales moderadas. Entre 1984 y 2000, se registró una ganancia neta de 1 069 ha, mientras que entre 2000 y 2024 se observó una pérdida neta de 2 668 ha, asociada principalmente a transiciones hacia pastizales y vegetación secundaria (Cuadro 3).

Las tasas de cambio anuales para cada categoría y periodo se presentan en el Cuadro 2.

 

 

Discusión

 

 

Los resultados evidencian una transformación territorial sostenida en la subcuenca del río San Pedro Mártir durante el periodo 1984-2024, caracterizada por la sustitución progresiva de coberturas nativas y seminaturales por otras de usos productivos, principalmente pastizales y, en años recientes, plantaciones forestales. En este sentido, la dinámica observada no representa solo un proceso de cambio de cobertura vegetal, sino una reconfiguración productiva del paisaje, en la que los diferentes usos del suelo compiten y se reorganizan espacialmente en función de condiciones económicas, ambientales y de accesibilidad. Ese patrón concuerda con procesos documentados en regiones tropicales, donde la expansión agropecuaria y forestal constituye uno de los principales motores del cambio de uso del suelo (Curtis et al., 2018; Gibbs et al., 2010; Hansen et al., 2013).

La consolidación de los pastizales como cobertura dominante hacia 2024, con una ganancia neta de más de 33 000 ha y una tasa anual de cambio positiva de 1.81 % para el periodo 2000-2024, refleja la persistencia de la ganadería extensiva como actividad estructurante del paisaje. Este comportamiento ha sido ampliamente documentado en América Latina, donde los pastizales representan una de las coberturas de mayor permanencia temporal tras la conversión del bosque, lo que genera paisajes homogéneos y con menor complejidad estructural (Maza-Villalobos et al., 2023; Von Thaden et al., 2020).

En el sureste de México, en estudios regionales se han descrito dinámicas similares asociadas a la expansión ganadera, con tasas de cambio comparables a las observadas en la subcuenca del río San Pedro Mártir (Hernández-Pérez et al., 2022; Manjarrez-Muñoz et al., 2007; Ramírez-García et al., 2022; Von Thaden et al., 2020). Al respecto, los resultados confirman que la ganadería extensiva continúa siendo un motor dominante del cambio de uso del suelo en paisajes tropicales húmedos.

La vegetación secundaria mostró un comportamiento muy dinámico, con tasas anuales de cambio contrastantes entre periodos, lo que confirma su papel como cobertura transicional dentro de ciclos recurrentes de uso, abandono y reconversión del suelo. La pérdida registrada entre 1984 y 2000 (TC=-2.01 %) y la recuperación marginal posterior (TC=0.14 % entre 2000 y 2024) indican que su presencia no responde a un proceso estable de regeneración forestal, sino a fluctuaciones en las actividades productivas, tal como se ha documentado en otros paisajes tropicales considerablemente transformados (Estacio et al., 2022; Maza-Villalobos et al., 2023; Ramos-Reyes & Palomeque-de la Cruz, 2023).

La reducción neta de la selva baja inundable, asociada principalmente a su conversión en pastizales y plantaciones forestales con una tasa anual de cambio negativa de -1.87 % entre 2000 y 2024, evidencia la vulnerabilidad de estos ecosistemas frente a la expansión de usos productivos en paisajes de planicie baja. Resultados similares han sido referidos en regiones tropicales donde los ecosistemas inundables presentan alta susceptibilidad a la conversión por su accesibilidad y potencial agropecuario (Alarcón-Aguirre et al., 2021; Osorio-Olvera et al., 2023).

La emergencia y rápida expansión de las plantaciones forestales a partir del año 2000, con una tasa de cambio anual de 18.39 % para el periodo 2000-2024, constituye uno de los cambios más relevantes del periodo analizado. Este crecimiento refleja transformaciones recientes en las estrategias productivas del territorio, impulsadas por incentivos económicos y políticas sectoriales, un patrón observado en diversos paisajes tropicales (Fagan et al., 2022).

No obstante, en diversos estudios se ha señalado que las plantaciones forestales no son funcionalmente equivalentes a los bosques nativos. Si bien, incrementan la cobertura arbórea, presentan estructuras ecológicas simplificadas y menor diversidad biológica, lo que limita su capacidad para sustituir los servicios ecosistémicos de las coberturas forestales naturales (Kotowska et al., 2023; Maza-Villalobos et al., 2023). En este contexto, la expansión de plantaciones forestales en la subcuenca del río San Pedro Mártir representa una reconfiguración productiva del paisaje, sin revertir la tendencia general de reducción de las coberturas forestales nativas.

En conjunto, las trayectorias de cambio identificadas reflejan una simplificación estructural del paisaje, caracterizada por la consolidación de una matriz dominada por pastizales, la fragmentación de las coberturas forestales y la coexistencia de múltiples usos productivos. Este tipo de configuración ha sido ampliamente documentado en paisajes tropicales sometidos a presiones agropecuarias persistentes, donde la fragmentación surge como consecuencia directa de conversiones reiteradas del uso del suelo (Chan et al., 2025; Curtis et al., 2018; Mello et al., 2023).

 

 

Conclusiones

 

 

El análisis multitemporal del cambio de uso del suelo y la cobertura vegetal en la subcuenca del río San Pedro Mártir, Tabasco, durante el periodo 1984-2024 evidencia una transformación territorial caracterizada por la sustitución progresiva de coberturas forestales nativas y seminaturales por usos productivos. En este periodo, los pastizales se consolidaron como la cobertura dominante del paisaje, pues pasaron de 70 772 ha (33.7 %) en 1984 a 95 476 ha (45.4 %) en 2024, con una ganancia neta de 33 821 ha entre 2000 y 2024 y una tasa de cambio anual de 1.81 %, lo que confirma la persistencia de la ganadería extensiva como actividad estructurante del territorio. Paralelamente, la selva baja inundable disminuyó de 17 946 ha (8.5 %) en 2000 a 11 494 ha (5.5 %) en 2024, registrando una pérdida neta de 6 451 ha y una tasa anual de -1.87 %, lo que refleja la presión ejercida por los usos productivos sobre los ecosistemas asociados a ambientes inundables.

La vegetación secundaria presentó un comportamiento muy dinámico, se redujo de 76 588 ha en 1984 a 55 669 ha en 2000 (-20 918 ha), y se recuperó parcialmente hasta 57 582 ha en 2024, lo que confirma su papel como cobertura transicional dentro de ciclos recurrentes de uso, abandono y reconversión del suelo. A partir del año 2000, las plantaciones forestales emergieron como un uso relevante en la subcuenca, de 99.5 ha (0.04 % del territorio) a 13 052 ha en 2024 (6.2 %) con una ganancia neta de 12 953 ha y una tasa de cambio anual de 18.39 %, lo que constituye uno de los procesos de transformación más acelerados del periodo analizado. Su crecimiento se produjo, en esencia, sobre áreas previamente transformadas (superficies agrícolas, pastizales y vegetación secundaria), lo que evidencia una reconfiguración reciente de las estrategias productivas del territorio. No obstante, este incremento de la cobertura arbórea no implica, necesariamente, una recuperación de las coberturas forestales nativas, ya que estas plantaciones presentan estructuras ecológicas simplificadas y menor diversidad biológica. En conjunto, las trayectorias de cambio identificadas evidencian una reconfiguración productiva del paisaje caracterizada por la consolidación de una matriz dominada por pastizales, la reducción de ecosistemas inundables y la coexistencia de múltiples usos productivos que contribuyen a la simplificación estructural y fragmentación de las coberturas forestales. Estos resultados subrayan la importancia de incorporar la dinámica histórica del cambio de uso del suelo en los procesos de ordenamiento territorial y gestión del paisaje en regiones tropicales húmedas del sureste de México.

 

Agradecimientos

 

Los autores agradecen al Consejo de Ciencia y Tecnología del Estado de Tabasco por el financiamiento del proyecto “Estado de conservación y restauración en la zona de influencia del Río San Pedro (Región de los Ríos, Tabasco)”; clave PRODECTI-2023-01/003, MODALIDAD “A” que hizo posible el desarrollo de este artículo.

 

Conflicto de intereses

 

Los autores declaran no tener ningún conflicto de intereses

 

Contribución por autor

 

Miguel Ángel Palomeque De la Cruz: conceptualización y redacción del primer borrador; Silvia del Carmen Ruiz Acosta: conceptualización, redacción y análisis; Alex Ricardo Ramírez García: clasificación de imágenes y verificación de datos; Manuel Fidel Domínguez Azueta: clasificación de imágenes y verificación de datos; Tania Gudelia Núñez Magaña: verificación de datos; Adalberto Galindo Alcántara: conceptualización, redacción y corrección, adaptación.

 

 

Referencias

 

Agudelo-Hz, W. J., Castillo-Barrera, N. C., & Murcia-García, U. (2023). Scenarios of land use and land cover change in the Colombian Amazon to evaluate alternative post-conflict pathways. Scientific Reports, 13, Article 2152. https://doi.org/10.1038/s41598-023-29243-2

Alarcón-Aguirre, G., Canahuire-Robles, R. R., Guevara-Duarez, F. M., Rodríguez-Achata, L., Gallegos-Chacón, L. E., & Garate-Quispe, J. (2021). Dinámica de la pérdida de bosques en el sureste de la Amazonia peruana. Ecosistemas, 30(2), Artículo 2175. https://doi.org/10.7818/ECOS.2175

Center for Geospatial Analytics. (2020). Land Change Modeler in TerrSet. Clark University. https://clarklabs.org/terrset/land-change-modeler/

Chan, K. K. Y., Ren, Z., Liu, Y., Song, H., Bai, Y., & Xu, B. (2025). Land cover change and fragmentation within China’s Ramsar sites. Remote Sensing, 17(5), Article 896. https://doi.org/10.3390/rs17050896

Congedo, L. (2023, October 8). Semi-Automatic Classification Plugin (Versión 8.01) [Software]. QGIS Development Team. https://plugins.qgis.org/plugins/SemiAutomaticClassificationPlugin/?utm_source=chatgpt.com#plugin-versions

Curtis, P. G., Slay, C. M., Harris, N. L., Tyukavina, A., & Hansen, M. C. (2018). Classifying drivers of global forest loss. Science, 361(6407), 1108-1111. https://doi.org/10.1126/science.aau3445

Eastman, J. R. (2012). IDRISI Selva: Guide to GIS and image processing. Clark University. https://clarklabs.org/wp-content/uploads/2016/10/IDRISI-Selva-Spanish-Manual.pdf

Estacio, I., Basu, M., Sianipar, C. P. M., Onitsuka, K., & Hoshino, S. (2022). Dynamics of land cover transitions and agricultural abandonment in a mountainous agricultural landscape: Case of Ifugao rice terraces, Philippines. Landscape and Urban Planning, 222, Article 104394. https://doi.org/10.1016/j.landurbplan.2022.104394

Fagan, M. E., Kim, D.-H., Settle, W., Ferry, L., Drew, J., Carlson, H., Slaughter, J., Schaferbien, J., Tyukavina, A., Harris, N. L., Goldman, E., & Ordway, E. M. (2022). The expansion of tree plantations across tropical biomes. Nature Sustainability, 5, 681-688. https://www.nature.com/articles/s41893-022-00904-w

Gibbs, H. K., Ruesch, A. S., Achard, F., Clayton, M. K., Holmgren, P., Ramankutty, N., & Foley, J. A. (2010). Tropical forests were the primary sources of new agricultural land in the 1980s and 1990s. Proceedings of the National Academy of Sciences, 107(38), 16732-16737. https://doi.org/10.1073/pnas.0910275107

Gobierno del Estado de Tabasco. (2002). Acuerdo en el que se declara Área Natural Protegida de Jurisdicción Estatal clasificada como Reserva Ecológica, en el municipio de Balancán, Tabasco y cuya denominación es «Cascadas de Reforma». Periódico Oficial del Estado de Tabasco [No. 17432]. https://tabasco.gob.mx/sites/default/files/users/sbstabasco/DRE-CR-Reserva%20Ecol%C3%B3gica%20Cascadas%20de%20Reforma.pdf

Gobierno del Estado de Tabasco. (2024, 15 de julio). El sector forestal en el Estado de Tabasco. Gobierno del Estado de Tabasco. https://tabasco.gob.mx/el-sector-forestal-en-el-estado-de-tabasco

Hansen, M. C., Potapov, P. V., Moore, R., Hancher, M., Turubanova, S. A., Tyukavina, A., Thau, D., Stehman, S. V., Goetz, S. J., Loveland, T. R., Kommareddy, A., Egorov, A., Chini, L., Justice, C. O., & Townshend, J. R. G. (2013). High-resolution global maps of 21st-century forest cover change. Science, 342(6160), 850-853. https://www.science.org/doi/10.1126/science.1244693

Hernández-Pérez, E., García-Franco, J. G., Vázquez, G., & Cantellano-de Rosas, E. (2022). Cambio de uso de suelo y fragmentación del paisaje en el centro de Veracruz, México (1989-2015). Madera y Bosques, 28(1), Artículo e2812294. https://doi.org/10.21829/myb.2022.2812294

Instituto Nacional de Estadística, Geografía e Informática. (1986). Síntesis geográfica, nomenclátor y anexo cartográfico del estado de Tabasco. Síntesis Geográfica de Tabasco. Instituto Nacional de Estadística, Geografía e Informática. https://www.inegi.org.mx/contenidos/productos/prod_serv/contenidos/espanol/bvinegi/productos/historicos/2104/702825221256/702825221256_1.pdf#[14,{%22name%22:%22Fit%22}

Instituto Nacional de Estadística y Geografía. (2021). SIATL v4, Simulador de Flujos de Agua de Cuencas Hidrográficas [Mapa interactivo]. Instituto Nacional de Estadística y Geografía. https://antares.inegi.org.mx/analisis/red_hidro/siatl/

Kotowska, M. M., Samhita, S., Hertel, D., Triadiati, T., Beyer, F., Allen, K., Link, R. M., & Leuschner, C. (2023). Consequences of tropical rainforest conversion to tree plantations on fine root dynamics and functional traits.Oikos, 2023(1), Article e08898. https://doi.org/10.1111/oik.08898

Manjarrez-Muñoz, B., Hernández-Daumás, S., De Jong, B., Nahed-Toral, J., de Dios-Vallejo, O. O., & Salvatierra-Zaba, E. B. (2007). Configuración territorial y perspectivas de ordenamiento de la ganadería bovina en los municipios de Balancán y Tenosique, Tabasco. Investigaciones Geográficas, Boletín del Instituto de Geografía, (64), 90-115. https://www.investigacionesgeograficas.unam.mx/index.php/rig/article/view/17968

Maza-Villalobos, S., Alvarado-Sosa, E., Arriaza-Rodríguez, A. D., Infante, F., & Castillo-Santiago, M. Á. (2023). Dinámica del uso de suelo y vegetación en paisajes altamente modificados por actividades agropecuarias en el sur de México. Botanical Sciences, 101(2), 374-386. https://doi.org/10.17129/botsci.3148

Megia-Vera, H. J., Peralta-Carreta, C., Medrano-Pérez, O., Palomeque-De la Cruz, M. Á., Ramos-Reyes, R., & Galindo-Alcantara, A. (2025). Análisis de la cobertura y uso de suelo de la Cuenca Baja del Río Usumacinta mediante técnicas de teledetección. Terra Latinoamericana, 43, 1-15. https://doi.org/10.28940/terralatinoamericana.v43i.2075

Mello, A. L., Lezama, F., & Baeza, S. (2023). Patrones y controles regionales de la fragmentación de pastizales naturales en Uruguay. Ecosistemas, 32(2), Article 2534. https://doi.org/10.7818/ECOS.2534

Osorio-Olvera, L., Rioja-Nieto, R., Torres-Irineo, E., & Guerra-Martínez, F. (2023). Natural Protected Areas effect on the cover change rate of mangrove forests in the Yucatan Peninsula, Mexico. Wetlands, 43, Article 52. https://doi.org/10.1007/s13157-023-01697-0

Palacio-Prieto, J. L., Sánchez-Salazar, M. T., Casado-Izquierdo, J. M., Propin-Frejomil, E., Delgado-Campos, J., Velázquez-Montes, A., Chias-Becerril, J., Ortiz-Álvarez, M. I., González-Sánchez, J., Negrete-Fernández, G., Gabriel-Morales, J., & Márquez-Huitzil, R. (Coord.). (2004). Indicadores para la caracterización y ordenamiento del territorio. Universidad Nacional Autónoma de México, Secretaría de Desarrollo Social, Secretaría de Medio Ambiente y Recursos Naturales e Instituto Nacional de Ecología. https://unidadesdepaisaje.unam.mx/sites/default/files/2022-06/Palacio%20et%20al%2C%202004_0.pdf

QGIS Development Team. (2024). QGIS Geographic Information System (Version 3.36) [Software]. QGIS Association. https://www.qgis.org/

Ramírez-García, A. R., Zavala-Cruz, J., Rincón-Ramírez, J. A., Guerrero-Peña, A., García-López, E., Sánchez-Hernández, R., Castillo-Acosta, O., Alfaro-Sánchez, G., & Ortiz-Pérez, M. A. (2022). Vegetation cover and land use change (1947-2019) in the region of Los Ríos, Tabasco, México. Revista Chapingo Serie Ciencias Forestales y del Ambiente, 28(3), 465-481. http://doi.org/10.5154/r.rchscfa.2022.01.001

Ramos-Reyes, R., & Palomeque-de la Cruz, M. Á. (2023). Cambio de uso del suelo y escenarios prospectivos en el Estado de Tabasco (México). Anales de Geografía de la Universidad Complutense, 43(1), 185-209. https://doi.org/10.5209/aguc.85944

Secretaría de Gobernación. (2008). DECRETO por el que se declara área natural protegida con la categoría de área de protección de flora y fauna, la región conocida como Cañón del Usumacinta, localizada en el Municipio de Tenosique, en el Estado de Tabasco. Diario Oficial de la Federación. https://www.dof.gob.mx/nota_detalle.php?codigo=5060691&fecha=22/09/2008#gsc.tab=0

Secretaría de Gobernación. (2023). DECRETO por el que se declara área natural protegida Wanha’, con el carácter de reserva de la biosfera, la superficie de 38,255-64-17.76 hectáreas, ubicada en los municipios de Balancán y Tenosique, estado de Tabasco. Diario Oficial de la Federación. https://www.dof.gob.mx/nota_detalle_popup.php?codigo=5700586

United States Geological Survey. (2024). EarthExplorer [Interactive compendium of maps]. United States Geological Survey. https://earthexplorer.usgs.gov/

Von Thaden, J. J., Laborde, J., Guevara, S., & Mokondoko-Delgadillo, P. (2020). Dinámica de los cambios en el uso del suelo y cobertura vegetal en la Reserva de la Biosfera Los Tuxtlas (2006-2016). Revista Mexicana de Biodiversidad, 91, Artículo e913190. https://doi.org/10.22201/ib.20078706e.2020.91.3190

 

 

 

        

Todos los textos publicados por la Revista Mexicana de Ciencias Forestales sin excepción– se distribuyen amparados bajo la licencia Creative Commons 4.0 Atribución-No Comercial (CC BY-NC 4.0 Internacional), que permite a terceros utilizar lo publicado siempre que mencionen la autoría del trabajo y a la primera publicación en esta revista.