Revista Mexicana de Ciencias Forestales Vol. 17 (93)
Enero - Febrero (2026)
DOI: https://doi.org/10.29298/rmcf.v17i93.1568 Research article Stem volume models for Cordia alliodora (Ruiz & Pav.) Oken in an altitudinal gradient of Veracruz Modelos volumétricos fustales para Cordia alliodora (Ruiz & Pav.) Oken en un gradiente altitudinal de Veracruz
Rolando Misael Tlaxcala Méndez1*, Martín Aquino Ramírez2, Ángel Ventura Contreras Martínez3, Jerónimo Sepúlveda Vásquez2, María del Carmen Pablo Mendoza4 |
Fecha de recepción/Reception date: 19 de marzo de 2025.
Fecha de aceptación/Acceptance date: 27 de noviembre de 2025.
_______________________________
1Campo Experimental El Palmar. Instituto Nacional de Investigaciones Forestales, Agrícolas y Pecuarias. México.
2Campo Experimental Edzná. Instituto Nacional de Investigaciones Forestales, Agrícolas y Pecuarias. México.
3Instituto Tecnológico Superior de Zongolica. Campus Tezonapa. México.
4Campo Experimental Ixtacuaco. Instituto Nacional de Investigaciones Forestales, Agrícolas y Pecuarias. México.
*Autor para correspondencia; correo-e: tlaxcala.rolando@inifap.gob.mx
*Correponding author; e-mail: tlaxcala.rolando@inifap.gob.mx
Abstract
Coffee agroforestry systems (CAFS) are associated with various timber species of high economic importance requiring quantitative tools to reliably estimate their volume for commercialization. The objective was to compare the form factor (ff) and develop stem volume equations for Cordia alliodora under CAFS across an altitudinal gradient in central Veracruz. In a non-destructive sampling, diameter-height data were obtained from 220 trees located in populations at three altitude intervals: (P1) lower (60 to 150 m), (P2) intermediate (405 to 750 m), and (P3) higher (950 to 1 150 m). Eight allometric stem volume models were fitted; the best one was selected based on a rating system using six goodness-of-fit statistics. An additionality test on the intercepts and slopes of the weighted Spurr model determined that the stem volumes of the three populations can be modeled together. The ff was 0.51, 0.52, and 0.53 for populations P1, P2, and P3, respectively; therefore, it can be inferred that the evaluated stems are geometrically similar to the paraboloid. This behavior is attributed to the ability to self-prune. The model with the best fit was Takata's , which was corrected for heteroscedasticity with a potency structure for the variance of the residuals as a weighting factor, accounting for 95.7 % of the variability in the observed stem volume.
Keywords: Agroforestry, self-pruning, form factor, Takata, Tezonapa, Zongolica.
Resumen
En los sistemas agroforestales de café (SAFC) se asocian diversas especies maderables con alta importancia económica, por lo que se requieren herramientas cuantitativas para estimar, de manera confiable, su volumen para comercializarlas. El objetivo fue comparar el factor de forma (ff) y desarrollar ecuaciones de volumen fustal para Cordia alliodora bajo SAFC en un gradiente altitudinal de la zona centro de Veracruz. En un muestreo no destructivo, se obtuvieron datos de diámetro-altura en 220 árboles, localizados en poblaciones de tres intervalos altitudinales: (P1) inferior (60 a 150 m), (P2) intermedio (405 a 750 m) y (P3) superior (950 a 1 150 m). Se ajustaron ocho modelos alométricos de volumen fustal; el mejor se seleccionó a partir de un sistema de calificación basado en seis estadísticos de bondad de ajuste. Mediante una prueba de adicionalidad en los interceptos y pendientes del modelo Spurr ponderado, se determinó que los volúmenes del fuste de las tres poblaciones pueden modelarse de forma conjunta. El ff fue de 0.51, 0.52 y 0.53 para las poblaciones P1, P2 y P3, respectivamente; por lo que se infiere que los fustes evaluados son geométricamente semejantes al paraboloide, tal comportamiento es atribuido a la capacidad de autopoda. El modelo con mejor bondad de ajuste fue el de Takata , al cual se le corrigió la heterocedasticidad con una estructura de potencia para la varianza de los residuos como factor de ponderación, logrando explicar 95.7 % de la variabilidad del volumen fustal observado.
Palabras clave: Agroforestería, autopoda, factor de forma, Takata, Tezonapa, Zongolica.
Introduction
In coffee agroforestry systems (CAFS), producers promote the growth of timber and non-timber species through natural regeneration in order to obtain multiple environmental goods and services such as wood, firewood, fruit, fodder, and resin production, as well as contribute to the maintenance of the microclimate, soil, and biodiversity (Farfán, 2014).
In the CAFS of the central region of Veracruz, Mexico, producers conserve timber species of high commercial and ecological importance, such as Cordia alliodora (Ruiz & Pav.) Oken, Cedrela odorata L., Cupania dentata DC., Ocotea puberula (Rich.) Nees and Trichospermum mexicanum (DC.) Baill (García-Mayoral et al., 2015). Timber production provides producers with an additional source of income in the medium and long term, enabling them to offset economic losses when coffee prices are low (Andrade et al., 2023).
Cordia alliodora is preferred by producers because it requires minimal silvicultural control and exhibits a high natural regeneration capacity and efficient self-pruning (even in isolated conditions), a straight stem with a single axis, and a compact crown (González-Luna & Cruz-Castillo, 2021); furthermore, it is highly valued and in high demand among carpenters in the region due to the good quality of its wood. Its aesthetic properties of color, grain, and shine are noteworthy, as is its suitability for use in the manufacture of furniture, doors, and windows.
Generally, CAFS owners sell timber trees by assigning them a value through direct appraisal, without using instruments or tools to quantify the actual standing volume. Therefore, they may underestimate this volume, which may result in economic loss for the producers (Aquino-Ramírez et al., 2023). Given this situation, biometric tools are needed to quantify the timber volume of standing trees with sufficient accuracy for commercialization purposes (West, 2009). In this regard, dimensional allometric models are an alternative, since the utilized variables, such as normal diameter and total height, are easy to measure; these models can have a linear, nonlinear, or intrinsically linear structure.
On the other hand, when estimating volume, it is also essential to consider that tree species respond differently in terms of the geometric development of the stem (Garate-Quispe & Florez-Castillo, 2023), since the cambial activity responsible for secondary tree growth is sensitive to genetic and physiological variations, site conditions, and silvicultural treatments (Reyes-Cortés et al., 2020). Therefore, evaluating the shape of the stem allows us to indirectly determine these variations. In view of the above, the objective of this study was to compare the geometry of the trunks of three populations of C. alliodora growing in CAFS across an altitudinal gradient and to develop an allometric stem volume model as a tool for agroforestry coffee producers in the central region of Veracruz, Mexico.
Materials and Methods
Study area
Data were collected from C. alliodora trees associated with CAFS located within an altitudinal gradient in the municipalities of Tezonapa and Zongolica, Veracruz, Mexico. The study area comprised flat and sloping terrain, with altitudes ranging from 60 to 1 150 m. In the highlands, the average temperature is 20 °C, with an annual rainfall of 1 500 to 2 000 mm and Acrisol soils; in the intermediate areas, the mean temperature is 22 °C, with a rainfall of 2 000 to 2 500 mm, and predominant Luvisol and Acrisol soils. In low-lying areas, the average temperature is 26 °C, with rainfall ranging from 2 500 to 4 000 mm and Luvisol soil (Instituto Nacional de Estadística, Geografía e Informática [INEGI], 2010a, 2010b).
Tree sampling
When fitting stem volume models, it is recommended to consider the greatest diversity of sizes in terms of normal diameter and total height of trees, with a minimum of 50 individuals per species, and to include all diameter categories existing in the study area in order to achieve a distribution that will be close to the standard normal (Ramírez-Martínez et al., 2016). Given the variation in altitudes in the study area and the abundance of the species in each agroforestry production unit, targeted sampling was conducted with the producers’ authorization to collect data on 220 C. alliodora trees. To this end, a similar number of individuals were sampled in each altitude interval: (a) Lower (60 to 150 m), for population 1 (P1), with 78 individuals; (b) Intermediate (405 to 750 m), for population 2 (P2), with 72 individuals; and (c) Higher (950 to 1 150 m), for population 3 (P3), with 70 individuals (Figure 1). The specimens appeared healthy and covered the diameter categories present in the CAFS; therefore, at least five individuals were selected per diameter category, ranging from 15 cm to >45 cm.
Figure 1. Altitude map of sampling in Cordia alliodora (Ruiz & Pav.) Oken trees in coffee agroforestry systems.
Using non-destructive sampling, pairs of diameter-height data were obtained directly for each tree from the base of the tree, at heights of 0 m, 0.30 m, 0.60 m, 1.30 m, and 2.80 m, using a model 283D Forestry Suppliers® diameter tape and a model FH-5M Truper® flexometer. The rest of the measurements were taken indirectly every 1.5 m in length up to the top of the stems, using a model RD1000 Criterion® laser dendrometer and a model 360 TruPulse® laser hypsometer. A total of 4 235 pairs of diameter-height data were recorded.
The volume of each section (Vsection) was calculated using Smalian's formula, while the cone formula (Vpoint) was applied to the points (Quiñonez-Barraza et al., 2014). The stem volume (Vf) was obtained by adding up the sections of the tree. The expressions utilized were as follows:
(1)
(2)
Where:
Ba0 = Basal area of the thick end of the section (m2)
Ba1 = Basal area of the thin end of the section (m2)
Ban = Basal area of the tip base (m2)
LS = Length of the section (m)
LP = Length of the point (m)
V = Volume (m3)
Comparison of population groups
Assuming that the volume of a C. alliodora tree with the same normal diameter and total height, located at different altitudes, may vary in terms of trunk geometry due to the variability in environmental conditions, soil type, and management in the CAFS, an additionality test was performed using indicator variables in a linear regression model (Ramírez-Vargas et al., 2024). This test was applied to Spurr's linear model (Spurr, 1952) to determine whether to group the volume data as a single population or into groups of C. alliodora populations in general and by diameter category. This model evaluates the geometry of the stems, because the form factor is derived from the slope parameter and the minimum inventoried volume of the intercept parameter (Torres-Ávila et al., 2020). In order to meet the assumptions of normality and homoscedasticity and increase sensitivity in hypothesis testing, the model was weighted by dividing the model variables by a proportion identical to the regressor variable ―in this case, the combined variable Nd2tH―, redefining the model as follows (Gujarati & Porter, 2010):
(3)
(4)
(5)
(6)
(7)
Where:
Vf = Stem volume (m3)
Nd = Normal diameter (cm)
tH = Total height (m)
Vi= Disturbance term
a0 = Slope parameter (implicit form factor)
a1 = Intercept parameter (minimum inventoried volume)
I = Corresponding to the indicator variables
If it is not the base population P1 (largest number of observations), then:
(8)
(9)
The equality of intercepts and slopes was considered (Ho: a11=a12=a01=a02=0 vs. HA: at least one population group is different from zero) in order to determine whether C. alliodora populations can be integrated into a single group or distributed across several groups (populations). The form factor compared to a theoretical cylinder was determined as follows (Ramírez-Vargas et al., 2024):
(10)
Where:
ff = Form factor
= Slope parameter
Fitting of the stem volume models
Once the populations had been grouped, eight classic allometric models of stem volume were fitted in the forestry literature (Hernández-Ramos et al., 2017; Pereira-Miguel et al., 2015) to include normal diameter and total height as predictor variables (Table 1); they also integrate indicator variables that determine the effect of previously defined population groups.
Table 1. Fitted models for estimating stem volume in Cordia alliodora (Ruiz & Pav.) Oken populations in the CAFS.
No. |
Model |
Expression |
Form |
1 |
Spurr’s potency |
|
Non-linear |
2 |
Schumacher-Hall |
|
Non-linear |
3 |
Honner |
|
Non-linear |
4 |
Thornber |
|
Non-linear |
5 |
Meyer |
|
Non-linear |
6 |
Takata |
|
Non-linear |
7 |
Potency |
|
Non-linear |
8 |
Spurr’s linear |
|
Linear |
Indicator variables: |
|||
Vf = Total stem volume (m3); Nd = Normal diameter (cm); tH = Total height (m); ai = Parameters to be estimated; e = Model error.
The allometric models were compared taking into account the following set of goodness-of-fit statistics: Akaike information criterion (AIC), Root mean square error (RMSE), Coefficient of variation in % (CV), Mean relative error in % (), Mean bias (), and Adjusted coefficient of determination (R2Adj) (Hernández-Ramos et al., 2021; Tlaxcala-Méndez et al., 2016), which were calculated as follows:
(11)
(12)
(13)
(14)
(15)
(16)
Where:
= Observed stem volume
= Estimated stem volume
= Average stem volume
n = Number of observations
p = Number of parameters of the model
The best model was selected based on the development of a rating system that consisted in ranking the goodness-of-fit statistics for each model, assigning values from 1 to 8 according to order of importance, where 1 corresponds to the best value, and 8 to the least suitable statistic. The sum of all criteria per model constituted the total score for that model. The lowest value represented the model with the best fit and was selected (Telles-Antonio et al., 2018).
Generally, for biological tree data such as biomass or volume, the heteroscedasticity of the residuals regularly corresponds to a potency relationship between the residual variance and tree size (typically tree diameter). Thus, in order to comply with the assumption of homogeneity of variances, a power structure for the variance of the residuals was explicitly generated for the selected model as a weighting factor [], where k and c are the parameters of the variance model to be estimated, and D is the diameter.
The model adjustments were performed using the SAS® OnDemand for Academics cloud platform with the Proc Model procedure (SAS Institute Inc., 2025), whereas the model selected with heteroscedasticity correction was fitted using the maximum likelihood method (Picard et al., 2012).
Results and Discussion
Descriptive statistics of the data
Table 2 shows a descriptive statistical summary of the individuals evaluated in the three C. alliodora populations studied. In the study areas, the average stem volume ranged between 1.02 m3 and 1.46 m3, with maximums ranging from 4.52 m3 to 5.09 m3, and minimums, from 0.01 m3 to 0.14 m3.
Table 2. Descriptive statistics from the Cordia alliodora (Ruiz & Pav.) Oken database on an altitudinal gradient in the central region of Veracruz.
Group |
Altitude |
N |
Variable |
Average |
S. D. |
Min. |
Max. |
P1 |
Lower (60 a 150 m) |
78 |
Nd |
27.73 |
8.49 |
14.20 |
56.30 |
tH |
26.10 |
6.04 |
14.80 |
39.50 |
|||
Vf |
1.02 |
0.86 |
0.14 |
4.52 |
|||
P2 |
Intermediate (405 a 750 m) |
72 |
Nd |
31.14 |
10.37 |
14.80 |
66.00 |
tH |
23.21 |
6.22 |
12.40 |
39.00 |
|||
Vf |
1.17 |
1.00 |
0.13 |
5.09 |
|||
P3 |
Higher (950 a 1 150 m) |
70 |
Nd |
35.59 |
12.26 |
13.53 |
73.52 |
tH |
24.17 |
5.48 |
10.40 |
36.00 |
|||
Vf |
1.46 |
1.02 |
0.01 |
4.95 |
Nd = Normal diameter (cm); tH = Total height (m); Vf = Stem volume (m3); N = Number of individuals; S. D. = Standard deviation; Min. = Minimum value; Max. = Maximum value.
Population groups and form factors
The results of the additionality test using covariance analysis suggest that the stem volume data for the three populations can be grouped as a single population and modeled globally, given that there are no significant differences in the intercept and slope parameters of P2 and P3 when added to P1 (p>0.05) (Table 3).
Table 3. Additionality test to define the grouping of the Cordia alliodora (Ruiz & Pav.) Oken altitudinal populations.
Group |
P |
Estimation |
Form factor |
t-value |
Pr>|t| |
Normality |
Heteroscedasticity |
||
D |
P-value |
BP |
P-value |
||||||
P1 |
a10 |
0.0128300 |
0.515 |
1.93 |
0.0549 |
0.035 |
0.939 |
0.0012 |
0.971 |
a00 |
0.0000405 |
59.09 |
<2e-16 |
||||||
P2 |
a11 |
0.0127800 |
0.520 |
1.26 |
0.2066 |
||||
a01 |
0.0000004 |
0.41 |
0.6767 |
||||||
P3 |
a12 |
-0.007270 |
0.538 |
-0.72 |
0.4704 |
||||
a02 |
0.0000018 |
1.76 |
0.0794 |
||||||
P = Parameter; a10 and a00 = Regression parameters of P1; a11, a12, a01, and a02 = Additionality parameters due to P2 and P3; D = Kolmogorov-Smirnov test score; BP = Value of the Breusch-Pagan statistic.
Specific additionality tests by diameter classes (DC) in the three populations showed no significant differences (p>0.05) in the parameters of the intercepts and slopes of P2 and P3 by addition to P1 (Table 4).
Table 4. Additionality test to define the grouping of Cordia alliodora (Ruiz & Pav.) Oken populations by diameter category.
DC |
Group |
P |
Estimator |
Form factor |
t-value |
Pr>|t| |
Normality |
Heteroscedasticity |
||
D |
P-value |
BP |
P-value |
|||||||
15 |
P1 |
a10 |
-0.0195 |
0.471 |
-0.91 |
0.39 |
0.25 |
0.34 |
0.34 |
0.56 |
a00 |
3.7E-05 |
6.57 |
3E-04 |
|||||||
P2 |
a11 |
0.0307 |
0.455 |
0.58 |
0.58 |
|||||
a01 |
-1.2E-06 |
-0.32 |
0.76 |
|||||||
P3 |
a12 |
0.0244 |
0.454 |
0.56 |
0.59 |
|||||
a02 |
-1.3E-06 |
-0.42 |
0.69 |
|||||||
20 |
P1 |
a10 |
0.0511 |
0.501 |
0.92 |
0.37 |
0.09 |
0.83 |
0.03 |
0.86 |
a00 |
3.9E-05 |
5.10 |
1E-05 |
|||||||
P2 |
a11 |
-0.0081 |
0.503 |
-0.13 |
0.90 |
|||||
a01 |
1.8E-07 |
0.02 |
0.98 |
|||||||
P3 |
a12 |
-0.0871 |
0.535 |
-1.32 |
0.20 |
|||||
a02 |
2.7E-06 |
1.13 |
0.07 |
|||||||
25 |
P1 |
a10 |
-0.6580 |
0.546 |
-1.11 |
0.27 |
0.09 |
0.87 |
2.46 |
0.12 |
a00 |
4.3E-05 |
2.06 |
0.05 |
|||||||
P2 |
a11 |
0.8333 |
0.520 |
1.37 |
0.18 |
|||||
a01 |
-2.0E-06 |
-1.32 |
0.20 |
|||||||
P3 |
a12 |
0.5603 |
0.536 |
0.94 |
0.35 |
|||||
a02 |
-7.6E-07 |
-0.98 |
0.34 |
|||||||
30 |
P1 |
a10 |
-0.1187 |
0.562 |
-1.08 |
0.29 |
0.10 |
0.74 |
0.03 |
0.86 |
a00 |
4.4E-05 |
8.90 |
6E-11 |
|||||||
P2 |
a11 |
0.1622 |
0.541 |
1.17 |
0.25 |
|||||
a01 |
-1.7E-06 |
-1.31 |
0.20 |
|||||||
P3 |
a12 |
0.2091 |
0.530 |
1.12 |
0.27 |
|||||
a02 |
-2.6E-06 |
-1.37 |
0.07 |
|||||||
35 |
P1 |
a10 |
0.6491 |
0.567 |
2.20 |
0.04 |
0.11 |
0.84 |
0.63 |
0.43 |
a00 |
4.5E-05 |
2.20 |
0.04 |
|||||||
P2 |
a11 |
-0.5561 |
0.569 |
-1.59 |
0.13 |
|||||
a01 |
1.0E-07 |
1.59 |
0.13 |
|||||||
P3 |
a12 |
-1.0060 |
0.597 |
-2.09 |
0.06 |
|||||
a02 |
2.3E-06 |
2.15 |
0.06 |
|||||||
40 |
P1 |
a10 |
-0.2154 |
0.544 |
-0.57 |
0.58 |
0.11 |
0.93 |
0.08 |
0.78 |
a00 |
4.3E-05 |
4.95 |
1E-04 |
|||||||
P2 |
a11 |
-0.6437 |
0.560 |
-0.98 |
0.34 |
|||||
a01 |
1.3E-06 |
0.83 |
0.42 |
|||||||
P3 |
a12 |
0.0367 |
0.541 |
0.06 |
0.95 |
|||||
a02 |
-2.0E-07 |
0.20 |
0.99 |
|||||||
>45 |
P1 |
a10 |
0.4813 |
0.470 |
0.61 |
0.06 |
0.08 |
0.96 |
1.38 |
0.24 |
a00 |
3.7E-05 |
7.12 |
1E-07 |
|||||||
P2 |
a11 |
0.0091 |
0.498 |
0.02 |
0.99 |
|||||
a01 |
2.2E-06 |
0.31 |
0.76 |
|||||||
P3 |
a12 |
-0.0960 |
0.507 |
-0.16 |
0.87 |
|||||
a02 |
2.9E-06 |
0.61 |
0.06 |
|||||||
DC = Diameter category (cm); P = Parameter; a10 and a00 = Regression parameters of P1; a11, a12, a01, and a02 = Additionality parameters due to P2 and P3; D = Kolmogorov-Smirnov test; BP = Value of the Breusch-Pagan statistic.
Regarding the form factors (ff) of the stems, the analysis suggests geometries similar to paraboloids with an average ff of 0.51 (P1), 0.52 (P2), and 0.53 (P3). The average ff per DC were: 0.460 (15 cm DC), 0.513 (20 cm DC), 0.534 (25 cm DC), 0.544 (30 cm DC); 0.578 (35 cm DC), 0.549 (40 cm DC), and 0.492 (>45 cm DC).
The analysis showed that the stem volume of trees with the same normal diameter and total height did not differ significantly, even when growing at different altitudes within the study region. Furthermore, it has been documented that the growth of C. alliodora is quite similar across a wide range of ecological conditions (Somarriba & Beer, 1987).
The ff values obtained in this study are higher than those recorded for other broadleaf species; for example, Swietenia macrophylla King (ff=0.49) (Hernández-Ramos et al., 2018), Manilkara zapota (L.) P. Royen (ff=0.48) (Hernández-Ramos et al., 2021), Eucalyptus urophylla S. T. Blake (ff=0.34 to 0.45) (Hernández-Ramos et al., 2017), and Cedrela odorata (ff=0.30 to 0.44) (Tlaxcala-Méndez et al., 2016). These differences may stem from the fact that the species C. alliodora has efficient self-pruning to develop more cylindrical stems, because removing the lower branches reduces the size of the crown and causes a shift in cambial activity that stimulates greater radial growth in the upper part of the stem (Reyes-Cortes et al., 2020). Furthermore, there is evidence that removing the lower living branches reduces the growth of the lower stem diameter, while the upper part is not affected, resulting in a more cylindrical stem (Mäkinen et al., 2014). This characteristic is favorable for producing greater usable volume per tree in the CAFS.
The Kolmogorov-Smirnov tests on the residuals yielded p-values>0.05; therefore, Spurr’s weighted linear model complies with the assumption of normality. On the other hand, the Breusch-Pagan test on the residuals yielded p-values>0.05, also indicating compliance with the assumption of homoscedasticity. This last assumption is important, since the presence of heteroscedasticity produces inefficient estimators, and this lack of efficiency undermines the credibility of standard hypothesis testing procedures (Gujarati & Porter, 2010). Thus, the corrective weighting measure was appropriate for making more robust comparisons between the parameters of the intercepts and slopes.
Stem volume models
The fitted models presented low values in AIC, RMSE, CV, Ē, , and values in the R2Adj>0.94 (Table 5). All model parameters were significant (p≤0.05).
Table 5. Parameter values and goodness of fit of the models adjusted to estimate stem volume in Cordia alliodora (Ruiz & Pav.) Oken.
Model |
Goodness of fit |
Parameters |
|||||||
AIC |
RMSE |
CV |
|
|
R2Adj |
P |
Estimator |
Pr>|t| |
|
Spurr’s potency |
-315.77 |
0.188 |
15.565 |
7.316 |
-0.014 |
0.963 |
a0 |
0.000174 |
<0.0001 |
a1 |
0.863319 |
<0.0001 |
|||||||
Schumacher-Hall |
-316.55 |
0.186 |
15.377 |
6.864 |
-0.015 |
0.964 |
a0 |
0.00014 |
<0.0001 |
a1 |
1.664373 |
<0.0001 |
|||||||
a2 |
0.997416 |
<0.0001 |
|||||||
Honner |
-283.96 |
0.223 |
18.384 |
-2.175 |
0.035 |
0.948 |
a0 |
263.2547 |
<0.0001 |
a1 |
18 082.9 |
<0.0001 |
|||||||
Thornber |
-297.82 |
0.208 |
17.158 |
-1.535 |
0.017 |
0.955 |
a0 |
0.000044 |
<0.0001 |
a1 |
0.311142 |
<0.0001 |
|||||||
Meyer |
-316.55 |
0.186 |
15.377 |
6.864 |
-0.015 |
0.964 |
a0 |
0.00014 |
<0.0001 |
a1 |
-0.33046 |
0.0122 |
|||||||
a2 |
0.997416 |
<0.0001 |
|||||||
Takata |
-324.16 |
0.180 |
14.896 |
4.861 |
-0.010 |
0.966 |
a0 |
16 640.1 |
<0.0001 |
a1 |
200.7852 |
<0.0001 |
|||||||
Potency |
-227.93 |
0.228 |
18.648 |
10.626 |
-0.040 |
0.940 |
a0 |
0.000979 |
<0.0001 |
a1 |
2.036972 |
<0.0001 |
|||||||
Spurr’s linear |
-291.95 |
0.214 |
17.674 |
9.103 |
0.011 |
0.952 |
a0 |
0.151103 |
<0.0001 |
a1 |
0.000035 |
<0.0001 |
|||||||
AIC = Akaike information criterion; RMSE = Root mean square error (m3); CV = Coefficient of variation (%); = Relative mean error (%);
= Average bias (m3); R2Adj= Adjusted coefficient of determination; P = Parameter.
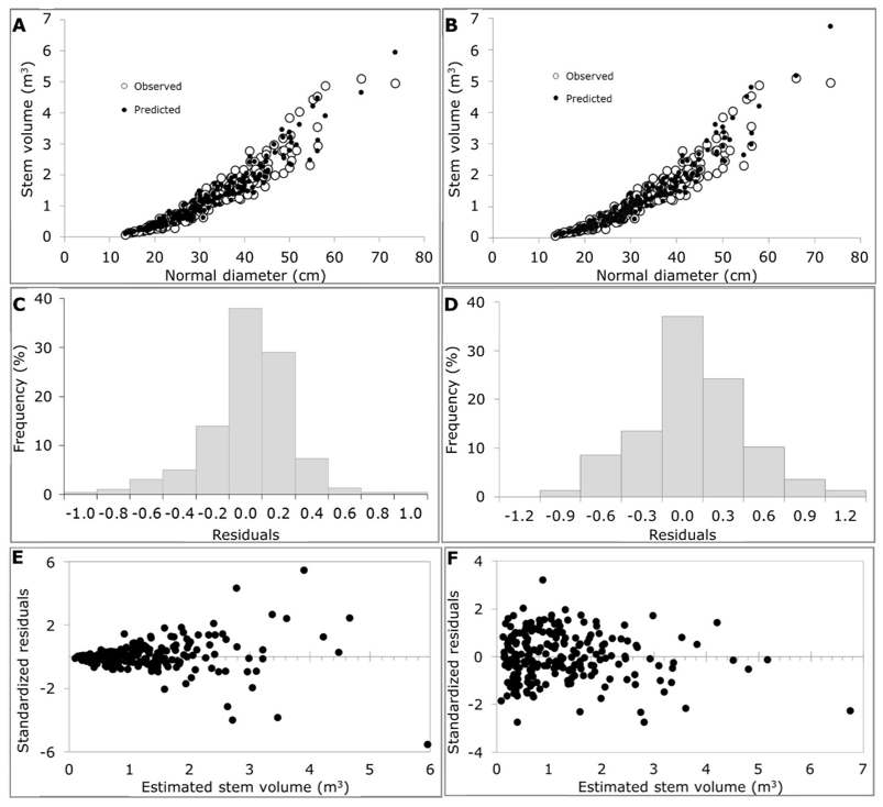
The model rating system showed that Takata's model obtained the best goodness-of-fit statistics compared to the other models, as well as the best rating, with 13 points (Table 6). This model explains 96.6 % of the variability in the stem volume of C. alliodora in the CAFS. Considering the principle of parsimony, Takata's model has a simple mathematical structure capable of efficiently estimating the variable of interest (Figures 2A and 2B). Secondly, the models with the best fit were Schumacher-Hall and Meyer, both with a total of 17 points. Some studies highlight the efficiency of Takata's model for estimating volume in Apuleia leiocarpa (Vogel) J. F. Macbr. (Garate-Quispe & Florez-Castillo, 2023), and Eucalyptus sp. trees (Pereira-Miguel et al., 2015).
Table 6. Rating system for stem volume models in Cordia alliodora (Ruiz & Pav.) Oken.
Model |
Goodness-of-fit criteria |
Score |
||||||
AIC |
RMSE |
CV |
|
|
R2Adj |
P |
||
Spurr’s potency |
3 |
3 |
3 |
5 |
3 |
3 |
2 |
22 |
Schumacher-Hall |
2 |
2 |
2 |
4 |
2 |
2 |
3 |
17 |
Honner |
6 |
6 |
6 |
1 |
7 |
6 |
2 |
34 |
Thornber |
4 |
4 |
4 |
2 |
6 |
4 |
2 |
26 |
Meyer |
2 |
2 |
2 |
4 |
2 |
2 |
3 |
17 |
Takata |
1 |
1 |
1 |
3 |
4 |
1 |
2 |
13 |
Potency |
7 |
7 |
7 |
7 |
1 |
7 |
2 |
38 |
Spurr’s linear |
5 |
5 |
5 |
6 |
5 |
5 |
2 |
33 |
AIC = Akaike information criterion; RMSE = Root mean square error (m3); CV = Coefficient of variation (%); = Relative mean error (%);
= Average bias (m3); R2Adj= Adjusted coefficient of determination; P = Parameter.
A, C, and E = Takata’s model without variance structure; B, D, and F = Takata’s model with variance structure.
Figure 2. Estimated stem volume and distribution of residues using Takata's model without variance structure and with variance structure.
Takata’s model with variance structure
The residuals of the selected Takata’s model tend toward a normal distribution, but their variance is not stable; therefore, heteroscedasticity is assumed (Figures 2C and 2E). However, applying the structure as a weighting factor successfully corrected the heteroscedasticity and resulted in a homogeneous distribution of the residuals, preserving their normal distribution (Figures 2D and 2F). The estimated value of the exponent was c=2.660; the goodness-of-fit statistics for the corrected model were: R2Adj=0.957, RMSE=0.204 m3, AIC=-433.02, CV=16.7 %,
=-0.012 m3, and
=1.203 %, and all parameters were significant (p<0.001).Takata without heteroscedasticity correction:
(17)
Where:
Vf = Stem volume (m3)
Nd = Normal diameter (cm)
tH = Total heigth (m)
Takata with heteroscedasticity correction via variance structure:
(18)
Where:
Vf = Stem volume (m3)
Nd = Normal diameter (cm)
tH = Total heigth (m)
The corrected Takata’s model provides more efficient estimators that satisfy the minimum variance property, facilitating the practical quantification of the stem volume of standing C. allidora trees under the CAFS in the central region of Veracruz.
Conclusions
The form factors in C. alliodora within coffee agroforestry systems at lower (60 to 150 m), intermediate (405 to 750 m), and higher (950 to 1 150 m) altitudes do not show significant differences with the additionality test, suggesting that they can be modeled together. The stems adapt to a geometry similar to a paraboloid, a characteristic attributed to the species' efficient self-pruning ability. Of the eight models assessed, Takata's model shows the best goodness-of-fit statistics and, when corrected with a variance structure, yields efficient estimators that satisfy the assumptions of normality and homoscedasticity. This model will be a practical tool that will facilitate estimating the stem volume of standing trees in the CAFS.
Acknowledgments
The authors are grateful to INIFAP for providing fiscal resources through the project No. SIGI 13405036178, “Evaluation of the production and financial profitability of an agroforestry system of Coffea arabica L.-Musa sp. with living barriers in the region of Zongolica, Veracruz”.
Conflict of interest
The authors declare that they have no conflict of interest.
Contributions by author
Rolando Misael Tlaxcala Méndez: research organization, statistical analysis, and drafting of the manuscript; Martín Aquino Ramírez: interpretation of the results and editing; Ángel Ventura Contreras Martínez: fieldwork and drafting of the manuscript; Jerónimo Sepúlveda Vásquez: revision of the manuscript and final editing; María del Carmen Pablo Mendoza: supervision of the research and editing of the manuscript.
References
Andrade, H. J., Segura, M. A., & Suárez, J. C. (2023). Growth and carbon sequestration in biomass of Cordia alliodora in Andean agroforestry systems with coffee. Agroforestry Systems, 97, 1435-1446. https://doi.org/10.1007/s10457-023-00868-6
Aquino-Ramírez, M., Tlaxcala-Méndez, R. M., Maya-Martínez, A., Medina-Hernández, R. G., & Ríos-Saucedo, J. C. (2023). Modelos de volumen fustal para Inga punctata en un sistema agroforestal. Agrofaz–Journal of Environmental and Agroecological Sciences, 5, 51-58. https://agrofaz.net/index.php/agrofaz/issue/view/11/9.fustal%20para%20Inga%20punctata
Farfán, V. F. (2014). Agroforestería y Sistemas Agroforestales con Café. Centro Nacional de Investigaciones de Café. https://www.researchgate.net/publication/394660030_Agroforesteria_y_sistemas_agroforestales_con_cafe
Garate-Quispe, J. S., & Florez-Castillo, L. (2023). Coeficiente mórfico de Apuleia leiocarpa (Vogel) J. F. Macbr. por tipo de bosque, Amazonía peruana. Revista Mexicana de Ciencias Forestales, 14(78), 4-33. https://doi.org/10.29298/rmcf.v14i78.1336
García-Mayoral, L. E., Valdez-Hernández, J. I., Luna-Cavazos, M., & López Morgado, R. (2015). Estructura y diversidad arbórea en sistemas agroforestales de café en la Sierra de Atoyac, Veracruz. Madera y Bosques, 21(3), 69-82. https://doi.org/10.21829/myb.2015.213457
González-Luna, H. M., & Cruz-Castillo, J. B. (2021). Anatomía y propiedades físicas de dos especies forestales comerciales Cedro (Cedrela odorata L.) y Laurel (Cordia alliodora (Ruiz & Pav.) Oken) en Nicaragua. La Calera, 21(37), 81-86. https://doi.org/10.5377/calera.v21i37.12532
Gujarati, D. N., & Porter, D. C. (2010). Econometría (5ta ed.). McGrawHill. https://gc.scalahed.com/recursos/files/r161r/w25589w/(2010)Econometria.pdf
Hernández-Ramos, J., De los Santos-Posadas, H. M., Valdéz-Lazalde, J. R., Tamarit-Urias, J. C., Ángeles-Pérez, G., Hernández-Ramos, A., Méndez-López, B., & Peduzzi, A. (2017). Estimación del volumen comercial en plantaciones de Eucalyptus urophylla con modelos de volumen total y de razón. Agrociencia, 51(5), 561-580. https://agrociencia-colpos.org/index.php/agrociencia/article/view/1311
Hernández-Ramos, J., García-Cuevas, X., Hernández-Ramos, A., Tamarit-Urias, J. C., & Buendía-Rodríguez, E. (2021). Modelos para estimar volumen fustal y ahusamiento para Manilkara zapota (L.) P. Royen en Quintana Roo, México. Acta Universitaria, 31, Artículo e3067. https://doi.org/10.15174/au.2021.3067
Hernández-Ramos, J., Hernández-Ramos, A., García-Cuevas, X., Tamarit-Urias, J. C., Martínez-Ángel, L., & García-Magaña, J. (2018). Ecuaciones de volumen total y de razón para estimar el volumen comercial de Swietenia macrophylla King. Colombia Forestal, 21(1), 34-46. https://doi.org/10.14483/2256201X.11965
Instituto Nacional de Estadística, Geografía e Informática. (2010a). Compendio de información geográfica municipal 2010. Tezonapa. Veracruz de Ignacio de la Llave. Instituto Nacional de Estadística, Geografía e Informática. https://www.inegi.org.mx/contenidos/app/mexicocifras/datos_geograficos/30/30173.pdf
Instituto Nacional de Estadística, Geografía e Informática. (2010b). Compendio de información geográfica municipal 2010. Zongolica, Veracruz de Ignacio de la Llave. Instituto Nacional de Estadística, Geografía e Informática. https://www.inegi.org.mx/contenidos/app/mexicocifras/datos_geograficos/30/30201.pdf
Mäkinen, H., Verkasalo, E., & Tuimala, A. (2014). Effects of pruning in Norway spruce on tree growth and grading of sawn boards in Finland. Forestry, 87(3), 417-424. https://doi.org/10.1093/forestry/cpt062
Pereira-Miguel, E., Noce-Cerdeira, A. L., Brito-de Azevedo, G., de Oliveira Sousa-Azevedo, G. T., Angelo, H., Pereira, R. S., & Rezende, A. V. (2015). Compatibility between wood volume estimation methods in a eucalyptus stand. Australian Journal of Basic and Applied Sciences, 9(35), 371−376. http://www.ajbasweb.com/old/ajbas/2015/November/371-376.pdf
Picard, N., Saint-André, L., & Henry, M. (2012). Manual de construcción de ecuaciones alométricas para estimar el volumen y la biomasa de los árboles. Del trabajo de campo a la predicción. Centre de Coopération Internationale en Recherche Agronomique pour le Développement y Organización de las Naciones Unidas para la Alimentación y la Agricultura. https://www.fao.org/4/i3058s/i3058s.pdf
Quiñonez-Barraza, G., De los Santos-Posadas, H. M., Álvarez-González, J. G., & Velázquez-Martínez, A. (2014). Sistema compatible de ahusamiento y volumen comercial para las principales especies de Pinus en Durango, México. Agrociencia, 48(5), 553-567. https://agrociencia-colpos.org/index.php/agrociencia/article/view/1102
Ramírez-Martínez, A., Santiago-García, W., Quiñonez-Barraza, G., Ruiz-Aquino, F., & Martínez-Antúnez, P. (2016). Modelos de volumen fustal para Pinus ayacahuite Ehren. Revista Mexicana de Agroecosistemas, 3(2), 61-74. https://revistaremaeitvo.mx/index.php/remae/issue/view/25/23
Ramírez-Vargas, M. R., De los Santos-Posadas, H. M., Valdez-Lazalde, J. R., Reyes-Hernández, V. J., & Ayala-Sosa, J. C. (2024). Does resin tapping affect the tapering and accumulation of merchantable timber volume in pine trees? Agrociencia, 58(7), 853-868. https://doi.org/10.47163/agrociencia.v58i7.2964
Reyes-Cortés, L. M., Vargas-Hernández, J. J., Aldrete, A., & Honorato-Salazar, J. A. (2020). Crecimiento radial y conicidad del fuste en plantaciones con aclareo de Pinus patula Schiede ex Schlechtendal & Chamisso. Revista Fitotecnia Mexicana, 43(2), 205-214. https://doi.org/10.35196/rfm.2020.2.205
SAS Institute Inc. (2025). SAS OnDemand for Academics [Software]. SAS Institute Inc. https://welcome.oda.sas.com/
Somarriba, E. J., & Beer, J. W. (1987). Dimensions, volumes and growth of Cordia alliodora in agroforestry systems. Forest Ecology and Management, 18(2), 113-126. https://doi.org/10.1016/0378-1127(87)90138-1
Spurr, S. H. (1952). Forest Inventory. The Ronald Press Company. https://books.google.com.mx/books/about/Forest_Inventory.html?id=zNssAQAAMAAJ&redir_esc=y
Telles-Antonio, R., Gómez-Cárdenas, M., Alanís-Rodríguez, E., Aguirre-Calderón, O. A., & Jiménez-Pérez, J. (2018). Ajuste y selección de modelos matemáticos para predecir el volumen fustal de Tectona grandis L. f. en Nuevo Urecho, Michoacán, México. Madera y Bosques, 24(3), Artículo e2431544. https://doi.org/10.21829/myb.2018.2431544
Tlaxcala-Méndez, R. M., De los Santos-Posadas, H. M., Hernández-de la Rosa, P., & López-Ayala, J. L. (2016). Variación del factor de forma y el ahusamiento en procedencias de cedro rojo (Cedrela odorata L.). Agrociencia, 50(1), 89-105. https://www.scielo.org.mx/pdf/agro/v50n1/1405-3195-agro-50-01-89-en.pdf
Torres-Ávila, D., De los Santos-Posadas, H. M., Velázquez-Martínez, A., & Tamarit-Urias, J. C. (2020). Ahusamiento y volumen comercial de tres procedencias de pinos tropicales en plantaciones forestales de Veracruz, México. Madera y Bosques, 26(3), Artículo e263189. https://doi.org/10.21829/myb.2020.2631890
West, P. W. (2009). Tree and forest measurement (2nd ed). Springer Verlag. https://link.springer.com/book/10.1007/978-3-540-95966-3
Todos los textos publicados por la Revista Mexicana de Ciencias Forestales –sin excepción– se distribuyen amparados bajo la licencia Creative Commons 4.0 Atribución-No Comercial (CC BY-NC 4.0 Internacional), que permite a terceros utilizar lo publicado siempre que mencionen la autoría del trabajo y a la primera publicación en esta revista.