Revista Mexicana de Ciencias Forestales Vol. 17 (93)
Enero - Febrero (2026)
DOI: https://doi.org/10.29298/rmcf.v17i93.1568 Artículo de investigación
Modelos volumétricos fustales para Cordia alliodora (Ruiz & Pav.) Oken en un gradiente altitudinal de Veracruz Stem volume models for Cordia alliodora (Ruiz & Pav.) Oken in an altitudinal gradient of Veracruz
Rolando Misael Tlaxcala Méndez1*, Martín Aquino Ramírez2, Ángel Ventura Contreras Martínez3, Jerónimo Sepúlveda Vásquez2, María del Carmen Pablo Mendoza4 |
Fecha de recepción/Reception date: 19 de marzo de 2025.
Fecha de aceptación/Acceptance date: 27 de noviembre de 2025.
_______________________________
1Campo Experimental El Palmar. Instituto Nacional de Investigaciones Forestales, Agrícolas y Pecuarias. México.
2Campo Exprimental Edzná. Instituto Nacional de Investigaciones Forestales, Agrícolas y Pecuarias. México.
3Instituto Tecnológico Superior de Zongolica. Campus Tezonapa. Mexico.
4Campo Experimental Ixtacuaco. Instituto Nacional de Investigaciones Forestales, Agrícolas y Pecuarias. México.
*Autor para correspondencia; correo-e: tlaxcala.rolando@inifap.gob.mx
*Correponding author; e-mail: tlaxcala.rolando@inifap.gob.mx
Resumen
En los sistemas agroforestales de café (SAFC) se asocian diversas especies maderables con alta importancia económica, por lo que se requieren herramientas cuantitativas para estimar, de manera confiable, su volumen para comercializarlas. El objetivo fue comparar el factor de forma (ff) y desarrollar ecuaciones de volumen fustal para Cordia alliodora bajo SAFC en un gradiente altitudinal de la zona centro de Veracruz. En un muestreo no destructivo, se obtuvieron datos de diámetro-altura en 220 árboles, localizados en poblaciones de tres intervalos altitudinales: (P1) inferior (60 a 150 m), (P2) intermedio (405 a 750 m) y (P3) superior (950 a 1 150 m). Se ajustaron ocho modelos alométricos de volumen fustal; el mejor se seleccionó a partir de un sistema de calificación basado en seis estadísticos de bondad de ajuste. Mediante una prueba de adicionalidad en los interceptos y pendientes del modelo Spurr ponderado, se determinó que los volúmenes del fuste de las tres poblaciones pueden modelarse de forma conjunta. El ff fue de 0.51, 0.52 y 0.53 para las poblaciones P1, P2 y P3, respectivamente; por lo que se infiere que los fustes evaluados son geométricamente semejantes al paraboloide, tal comportamiento es atribuido a la capacidad de autopoda. El modelo con mejor bondad de ajuste fue el de Takata , al cual se le corrigió la heterocedasticidad con una estructura de potencia para la varianza de los residuos como factor de ponderación, logrando explicar 95.7 % de la variabilidad del volumen fustal observado.
Palabras clave: Agroforestería, autopoda, factor de forma, Takata, Tezonapa, Zongolica.
Abstract
Coffee agroforestry systems (CAFS) are associated with various timber species of high economic importance requiring quantitative tools to reliably estimate their volume for commercialization. The objective was to compare the form factor (ff) and develop stem volume equations for Cordia alliodora under CAFS across an altitudinal gradient in central Veracruz. In a non-destructive sampling, diameter-height data were obtained from 220 trees located in populations at three altitude intervals: (P1) lower (60 to 150 m), (P2) intermediate (405 to 750 m), and (P3) higher (950 to 1 150 m). Eight allometric stem volume models were fitted; the best one was selected based on a rating system using six goodness-of-fit statistics. An additionality test on the intercepts and slopes of the weighted Spurr model determined that the stem volumes of the three populations can be modeled together. The ff was 0.51, 0.52, and 0.53 for populations P1, P2, and P3, respectively; therefore, it can be inferred that the evaluated stems are geometrically similar to the paraboloid. This behavior is attributed to the ability to self-prune. The model with the best fit was Takata's , which was corrected for heteroscedasticity with a potency structure for the variance of the residuals as a weighting factor, accounting for 95.7 % of the variability in the observed stem volume.
Keywords: Agroforestry, self-pruning, form factor, Takata, Tezonapa, Zongolica.
Introducción
En los sistemas agroforestales de café (SAFC), los productores promueven el crecimiento de especies maderables y no maderables mediante la regeneración natural, para así obtener múltiples bienes y servicios ambientales como la producción de madera, leña, fruta, forraje y resina; además de contribuir al mantenimiento del microclima, suelo y biodiversidad (Farfán, 2014).
En los SAFC de la región central de Veracruz, México los productores conservan especies maderables de alta importancia comercial y ecológica, como Cordia alliodora (Ruiz & Pav.) Oken, Cedrela odorata L., Cupania dentata DC., Ocotea puberula (Rich.) Nees y Trichospermum mexicanum (DC.) Baill (García-Mayoral et al., 2015). La producción de madera ofrece una fuente adicional de ingresos al productor en el mediano y largo plazo, lo que permite compensar las pérdidas económicas cuando los precios del café son bajos (Andrade et al., 2023).
Cordia alliodora es preferida por los productores debido al mínimo control silvícola requerido, su alta capacidad de regeneración natural, autopoda eficiente (aun en condiciones aisladas), fuste recto con un solo eje y copa compacta (González-Luna & Cruz-Castillo, 2021); además, es apreciada y presenta una elevada demanda entre los carpinteros de la región debido a la buena calidad de su madera, destacan sus propiedades estéticas de color, veteado y brillo, así como su facilidad para la elaboración de muebles, puertas y ventanas.
Por lo general, los propietarios de los SAFC realizan la venta de los árboles maderables asignándoles un valor mediante apreciación directa, sin usar instrumentos o herramientas que permitan cuantificar el volumen real en pie. Debido a ello, existe la posibilidad de subestimarlo, lo cual podría representar una pérdida económica para los productores (Aquino-Ramírez et al., 2023). Frente a esta situación, se requiere el uso de herramientas biométricas para cuantificar el volumen maderable de los árboles en pie con una precisión aceptable para su comercialización (West, 2009). Al respecto, los modelos alométricos dimensionales son una alternativa, ya que las variables utilizadas son fáciles de medir, como el diámetro normal y la altura total; estos pueden tener una estructura lineal, no lineal o intrínsecamente lineal.
Por otro lado, para la estimación del volumen también es fundamental considerar que una especie arbórea presenta una respuesta diferente en el desarrollo geométrico del fuste (Garate-Quispe & Florez-Castillo, 2023), ya que la actividad cambial, responsable del crecimiento secundario de los árboles, es sensible a las variaciones genéticas, fisiológicas, condiciones del sitio y tratamientos silvícolas (Reyes-Cortés et al., 2020). Por lo tanto, la evaluación de la forma del fuste permite conocer de manera indirecta estas variaciones. En virtud de lo anterior, el objetivo del presente trabajo fue comparar la geometría de los fustes de tres poblacionales de C. alliodora que crecen en SAFC a través de un gradiente altitudinal y desarrollar un modelo alométrico de volumen fustal como herramienta para los productores agroforestales de café de la región centro de Veracruz, México.
Materiales y Métodos
Área de estudio
Los datos se recolectaron en árboles de C. alliodora asociados a SAFC, localizados en un gradiente altitudinal en los municipios Tezonapa y Zongolica, Veracruz, México. El área de estudio comprendió terrenos planos y de ladera, con altitudes de 60 a 1 150 m. En las zonas altas, la temperatura promedio es de 20 °C, con una precipitación anual de 1 500 a 2 000 mm y suelo Acrisol; para las zonas intermedias, la temperatura media es de 22 °C, con un registro de precipitación de 2 000 a 2 500 mm, predominan suelos de tipo Luvisol y Acrisol. En las zonas bajas, la temperatura promedio es de 26 °C, con precipitación de 2 500 a 4 000 mm y suelo tipo Luvisol (Instituto Nacional de Estadística, Geografía e Informática [INEGI], 2010a, 2010b).
Muestreo del arbolado
Para el ajuste de modelos de volumen fustal se recomienda considerar la mayor diversidad de tamaños en diámetro normal y altura total de los árboles, como mínimo 50 individuos por especie e incluir todas las categorías diamétricas existentes en el área de estudio para lograr una distribución cercana a la normal estándar (Ramírez-Martínez et al., 2016). En este contexto, dada la variación de los niveles altitudinales del área de estudio, la abundancia de la especie en cada unidad de producción agroforestal y la autorización de los productores, se realizó un muestreo dirigido para la toma de datos en 220 árboles de C. alliodora. Para ello, en cada intervalo altitudinal se muestreó una cantidad similar de individuos: (a) Inferior (60 a 150 m) para la población 1 (P1) con 78 individuos; (b) Intermedio (405 a 750 m) para la población 2 (P2), con 72 individuos; y (c) Superior (950 a 1 150 m) para la población 3 (P3), con 70 individuos (Figura 1). Los ejemplares presentaron una apariencia sana y se cubrieron los intervalos de las categorías diamétricas presentes en los SAFC; por lo tanto, al menos se eligieron cinco individuos por categoría diamétrica, desde 15 cm hasta >45 cm.
Figura 1. Mapa altitudinal del muestreo en árboles de Cordia alliodora (Ruiz & Pav.) Oken en sistemas agroforestales de café.
Mediante un muestreo no destructivo, se obtuvieron por árbol pares de datos diámetro-altura de forma directa, a partir de la base del árbol a alturas de 0 m, 0.30 m, 0.60 m, 1.30 m y 2.80 m, con cinta diamétrica Forestry Suppliers® modelo 283D y un flexómetro Truper® modelo FH-5M; el resto de las mediciones se hicieron de forma indirecta cada 1.5 m de longitud hasta la punta de los fustes; se usó un dendrómetro laser Criterionâ modelo RD1000 y un hipsómetro laser TruPulseâ modelo 360. En total se registraron 4 235 pares de datos diámetro-altura.
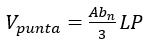
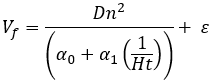
El volumen de cada sección (Vsección) se calculó con la fórmula de Smalian, mientras que para las puntas se aplicó la fórmula del cono (Vpunta) (Quiñonez-Barraza et al., 2014). El volumen de fuste (Vf) se obtuvo con la suma de las secciones del árbol. Las expresiones utilizadas fueron las siguientes:
(1)
(2)
Donde:
Ab0= Área basal del extremo grueso de la sección (m2)
Ab1= Área basal del extremo delgado de la sección (m2)
Abn = Área basal de la base de la punta (m2)
LS = Longitud de sección (m)
LP = Longitud de la punta (m)
V = Volumen (m3)
Comparación de grupos poblacionales
Bajo el supuesto de que el volumen de un árbol de C. alliodora con las mismas dimensiones de diámetro normal y altura total, ubicado en diferentes poblaciones altitudinales puede variar, expresado en la geometría de fuste debido a la variabilidad de las condiciones ambientales, tipo de suelo y manejo en los SAFC, se realizó una prueba de adicionalidad mediante variables indicadoras en un modelo de regresión lineal (Ramírez-Vargas et al., 2024). Esta prueba se aplicó al modelo de Spurr lineal (Spurr, 1952) para determinar, si agrupar los datos de volumen como una sola población o en grupos de poblaciones de C. alliodora de forma general y por categoría diamétrica. Con ese modelo se valora la geometría de los fustes, porque el factor de forma se deduce del parámetro de la pendiente y el volumen mínimo inventariado del parámetro del intercepto (Torres-Ávila et al., 2020). Para cumplir con los supuestos de normalidad, homocedasticidad y aumentar la sensibilidad en las pruebas de hipótesis, al modelo se le asignó una ponderación que consistió en dividir las variables del modelo a través de una proporción idéntica a la variable regresora, en este caso la variable combinada Dn2Ht, redefiniendo al modelo de la manera siguiente (Gujarati & Porter, 2010):
(3)
(4)
(5)
(6)
(7)
Donde:
Vf = Volumen fustal (m3)
Dn = Diámetro normal (cm)
Ht = Altura total (m)
Vi= Término de perturbación
= Parámetro de la pendiente (factor de forma implícito)
= Parámetro del intercepto (volumen mínimo inventariado)
= Corresponde a las variables indicadoras
De no ser la población base P1 (mayor número de observaciones) entonces:
(8)
(9)
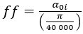
Para determinar si las poblaciones de C. alliodora pueden integrarse dentro de un solo grupo o distribuirse en varios grupos (poblaciones) se consideró la igualdad de interceptos y de pendientes (Ho: a11=a12=a01=a02=0 vs. HA: al menos un grupo poblacional es diferente de cero). El factor de forma comparado con un cilindro teórico se determinó como sigue (Ramírez-Vargas et al., 2024):
(10)
Donde:
ff = Factor de forma
= Parámetro de la pendiente
Ajuste de los modelos de volumen fustal
Una vez agrupadas las poblaciones, se ajustaron ocho modelos alométricos de volumen fustal clásicos en la literatura forestal (Hernández-Ramos et al., 2017; Pereira-Miguel et al., 2015) que incluyen como variables predictoras al diámetro normal y la altura total (Cuadro 1); además, integran variables indicadoras que definen el efecto de los grupos poblacionales previamente definidos.
Cuadro 1. Modelos ajustados para la estimación del volumen fustal en poblaciones de Cordia alliodora (Ruiz & Pav.) Oken de SAFC.
Núm. |
Modelo |
Expresión |
Forma |
1 |
Spurr potencial |
|
No lineal |
2 |
Schumacher-Hall |
|
No lineal |
3 |
Honner |
|
No lineal |
4 |
Thornber |
|
No lineal |
5 |
Meyer |
|
No lineal |
6 |
Takata |
|
No lineal |
7 |
Potencial |
|
No lineal |
8 |
Spurr lineal |
|
Lineal |
Variables indicadoras: |
|||
Vf = Volumen del fuste total (m3); Dn = Diámetro normal (cm); Ht = Altura total (m); ai = Parámetros a estimar; e = Error del modelo.
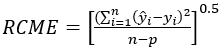
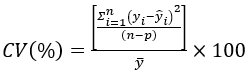
Para comparar los modelos alométricos se consideró el siguiente grupo de estadísticos de bondad de ajuste: Criterio de información de Akaike (AIC), Raíz del cuadrado medio del error (RCME), Coeficiente de variación en % (CV), Error medio relativo en % (), Sesgo promedio (
) y el Coeficiente de determinación ajustado (R2Adj) (Hernández-Ramos et al., 2021; Tlaxcala-Méndez et al., 2016), los cuales se calcularon de la forma siguiente:
(11)
(12)
(13)
(14)
(15)
(16)
Donde:
= Volumen fustal observado
= Volumen fustal estimado
= Volumen fustal promedio
n = Número de observaciones
p = Número de parámetros del modelo
El mejor modelo se seleccionó a partir del desarrollo de un sistema de calificación que consistió en jerarquizar los estadísticos de bondad de ajuste de cada modelo, asignando valores de 1 al 8 según el orden de importancia; donde 1 corresponde al mejor valor y 8 al estadístico menos adecuado. La sumatoria de todos los criterios por modelo conformó la calificación total del mismo; el valor más bajo representó al modelo con mejor ajuste y fue el seleccionado (Telles-Antonio et al., 2018).
Generalmente, para datos biológicos de árboles tales como la biomasa o volumen, la heterocedasticidad de los residuos corresponde regularmente a una relación de potencia entre la varianza residual y el tamaño del árbol (típicamente el diámetro del árbol); en este sentido, para cumplir con el supuesto de homogeneidad de varianzas, al modelo seleccionado se le generó explícitamente una estructura de potencia para la varianza de los residuos como un factor de ponderación [], donde k y c son los parámetros del modelo de varianza por estimar y D es el diámetro.
El ajuste de los modelos se realizó mediante la plataforma en la nube de SAS® OnDemand for Academics con el procedimiento Proc Model (SAS Institute Inc., 2025); en tanto que el modelo seleccionado con corrección por heterocedasticidad se ajustó por el método de máxima verosimilitud (Picard et al., 2012).
Resultados y Discusión
Estadística descriptiva de los datos
En el Cuadro 2 se muestra un resumen estadístico descriptivo de los individuos evaluados en las tres poblaciones estudiadas de C. alliodora. En las áreas de estudio, el volumen fustal promedio osciló de 1.02 m3 a 1.46 m3, los máximos fueron de 4.52 m3 a 5.09 m3 y mínimos de 0.01 m3 a 0.14 m3.
Cuadro 2. Estadísticos descriptivos de la base de datos de Cordia alliodora (Ruiz & Pav.) Oken en un gradiente altitudinal de la región centro de Veracruz.
Grupo |
Altitud |
N |
Variable |
Promedio |
D. E. |
Mín. |
Máx. |
P1 |
Inferior (60 a 150 m) |
78 |
Dn |
27.73 |
8.49 |
14.20 |
56.30 |
Ht |
26.10 |
6.04 |
14.80 |
39.50 |
|||
Vf |
1.02 |
0.86 |
0.14 |
4.52 |
|||
P2 |
Intermedio (405 a 750 m) |
72 |
Dn |
31.14 |
10.37 |
14.80 |
66.00 |
Ht |
23.21 |
6.22 |
12.40 |
39.00 |
|||
Vf |
1.17 |
1.00 |
0.13 |
5.09 |
|||
P3 |
Superior (950 a 1 150 m) |
70 |
Dn |
35.59 |
12.26 |
13.53 |
73.52 |
Ht |
24.17 |
5.48 |
10.40 |
36.00 |
|||
Vf |
1.46 |
1.02 |
0.01 |
4.95 |
Dn = Diámetro normal (cm); Ht = Altura total (m); Vf = Volumen del fuste (m3); N = Número de individuos; D. E. = Desviación estándar; Mín. = Valor mínimo; Máx. = Valor máximo.
Grupos poblacionales y factores de forma
Los resultados de la prueba de adicionalidad mediante el análisis de covarianza sugieren que los datos de volumen fustal de las tres poblaciones pueden agruparse como una sola población y modelar de forma global, dado que en los parámetros de los interceptos y de las pendientes de la P2 y P3 por adición a la P1 no existen diferencias significativas (p>0.05) (Cuadro 3).
Cuadro 3. Prueba de adicionalidad para definir la agrupación de las poblaciones altitudinales de Cordia alliodora (Ruiz & Pav.) Oken.
Grupo |
P |
Estimación |
Factor de forma |
Valor t |
Pr>|t| |
Normalidad |
Heterocedasticidad |
||
D |
Valor P |
BP |
Valor P |
||||||
P1 |
a10 |
0.0128300 |
0.515 |
1.93 |
0.0549 |
0.035 |
0.939 |
0.0012 |
0.971 |
a00 |
0.0000405 |
59.09 |
<2e-16 |
||||||
P2 |
a11 |
0.0127800 |
0.520 |
1.26 |
0.2066 |
||||
a01 |
0.0000004 |
0.41 |
0.6767 |
||||||
P3 |
a12 |
-0.007270 |
0.538 |
-0.72 |
0.4704 |
||||
a02 |
0.0000018 |
1.76 |
0.0794 |
||||||
P = Parámetro; a10 y a00 = Parámetros de regresión de la P1; a11, a12, a01 y a02 = Parámetros de adicionalidad debido a la P2 y P3; D = Puntuación de la prueba de Kolmogorov-Smirnov; BP = Valor del estadístico Breusch-Pagan.
Al realizar pruebas de adicionalidad específicas por categorías diamétricas (CD) en las tres poblaciones, tampoco se observaron diferencias significativas (p>0.05) en los parámetros de los interceptos y de las pendientes de la P2 y P3 por adición a la P1 (Cuadro 4).
Cuadro 4. Prueba de adicionalidad para definir la agrupación de las poblaciones altitudinales de Cordia alliodora (Ruiz & Pav.) Oken por categoría diamétrica.
CD |
Grupo |
P |
Estimador |
Factor de forma |
Valor t |
Pr>|t| |
Normalidad |
Heterocedasticidad |
||
D |
Valor P |
BP |
Valor P |
|||||||
15 |
P1 |
a10 |
-0.0195 |
0.471 |
-0.91 |
0.39 |
0.25 |
0.34 |
0.34 |
0.56 |
a00 |
3.7E-05 |
6.57 |
3E-04 |
|||||||
P2 |
a11 |
0.0307 |
0.455 |
0.58 |
0.58 |
|||||
a01 |
-1.2E-06 |
-0.32 |
0.76 |
|||||||
P3 |
a12 |
0.0244 |
0.454 |
0.56 |
0.59 |
|||||
a02 |
-1.3E-06 |
-0.42 |
0.69 |
|||||||
20 |
P1 |
a10 |
0.0511 |
0.501 |
0.92 |
0.37 |
0.09 |
0.83 |
0.03 |
0.86 |
a00 |
3.9E-05 |
5.10 |
1E-05 |
|||||||
P2 |
a11 |
-0.0081 |
0.503 |
-0.13 |
0.90 |
|||||
a01 |
1.8E-07 |
0.02 |
0.98 |
|||||||
P3 |
a12 |
-0.0871 |
0.535 |
-1.32 |
0.20 |
|||||
a02 |
2.7E-06 |
1.13 |
0.07 |
|||||||
25 |
P1 |
a10 |
-0.6580 |
0.546 |
-1.11 |
0.27 |
0.09 |
0.87 |
2.46 |
0.12 |
a00 |
4.3E-05 |
2.06 |
0.05 |
|||||||
P2 |
a11 |
0.8333 |
0.520 |
1.37 |
0.18 |
|||||
a01 |
-2.0E-06 |
-1.32 |
0.20 |
|||||||
P3 |
a12 |
0.5603 |
0.536 |
0.94 |
0.35 |
|||||
a02 |
-7.6E-07 |
-0.98 |
0.34 |
|||||||
30 |
P1 |
a10 |
-0.1187 |
0.562 |
-1.08 |
0.29 |
0.10 |
0.74 |
0.03 |
0.86 |
a00 |
4.4E-05 |
8.90 |
6E-11 |
|||||||
P2 |
a11 |
0.1622 |
0.541 |
1.17 |
0.25 |
|||||
a01 |
-1.7E-06 |
-1.31 |
0.20 |
|||||||
P3 |
a12 |
0.2091 |
0.530 |
1.12 |
0.27 |
|||||
a02 |
-2.6E-06 |
-1.37 |
0.07 |
|||||||
35 |
P1 |
a10 |
0.6491 |
0.567 |
2.20 |
0.04 |
0.11 |
0.84 |
0.63 |
0.43 |
a00 |
4.5E-05 |
2.20 |
0.04 |
|||||||
P2 |
a11 |
-0.5561 |
0.569 |
-1.59 |
0.13 |
|||||
a01 |
1.0E-07 |
1.59 |
0.13 |
|||||||
P3 |
a12 |
-1.0060 |
0.597 |
-2.09 |
0.06 |
|||||
a02 |
2.3E-06 |
2.15 |
0.06 |
|||||||
40 |
P1 |
a10 |
-0.2154 |
0.544 |
-0.57 |
0.58 |
0.11 |
0.93 |
0.08 |
0.78 |
a00 |
4.3E-05 |
4.95 |
1E-04 |
|||||||
P2 |
a11 |
-0.6437 |
0.560 |
-0.98 |
0.34 |
|||||
a01 |
1.3E-06 |
0.83 |
0.42 |
|||||||
P3 |
a12 |
0.0367 |
0.541 |
0.06 |
0.95 |
|||||
a02 |
-2.0E-07 |
0.20 |
0.99 |
|||||||
>45 |
P1 |
a10 |
0.4813 |
0.470 |
0.61 |
0.06 |
0.08 |
0.96 |
1.38 |
0.24 |
a00 |
3.7E-05 |
7.12 |
1E-07 |
|||||||
P2 |
a11 |
0.0091 |
0.498 |
0.02 |
0.99 |
|||||
a01 |
2.2E-06 |
0.31 |
0.76 |
|||||||
P3 |
a12 |
-0.0960 |
0.507 |
-0.16 |
0.87 |
|||||
a02 |
2.9E-06 |
0.61 |
0.06 |
|||||||
CD = Categoría diamétrica (cm); P = Parámetro; a10 y a00 = Parámetros de regresión de la P1; a11, a12, a01 y a02 = Parámetros de adicionalidad debido a la P2 y P3; D = Puntuación de la prueba de Kolmogorov-Smirnov; BP = Valor del estadístico Breusch-Pagan.
En cuanto a los factores de forma (ff) de los fustes, el análisis sugiere geometrías semejantes al paraboloide con un ff promedio de 0.51 (P1), 0.52 (P2) y 0.53 (P3). Los ffpromedio por CD fueron: 0.460 (CD 15 cm), 0.513 (CD 20 cm), 0.534 (CD 25 cm), 0.544 (CD 30 cm), 0.578 (CD 35 cm), 0.549 (CD 40 cm) y 0.492 (CD >45 cm).
El análisis evidenció que el volumen fustal de un árbol con las mismas dimensiones de diámetro normal y altura total no tuvo diferencias significativas, aun cuando se desarrolle en diferentes niveles altitudinales de la región de estudio; además, se ha documentado que el crecimiento de C. alliodora es bastante similar en un amplio intervalo de condiciones ecológicas (Somarriba & Beer, 1987).
Los ff obtenidos en este estudio son superiores a los registrados en otras especies latifoliadas; por ejemplo, en Swietenia macrophylla King (ff=0.49) (Hernández-Ramos et al., 2018), Manilkara zapota (L.) P. Royen (ff=0.48) (Hernández-Ramos et al., 2021), Eucalyptus urophylla S. T. Blake (ff=0.34 a 0.45) (Hernández-Ramos et al., 2017) y Cedrela odorata (ff=0.30 a 0.44) (Tlaxcala-Méndez et al., 2016). Estas diferencias podrían deberse a que la especie C. alliodora tiene autopoda eficiente para desarrollar fustes más cilíndricos, porque al eliminarse las ramas inferiores se reduce el tamaño de la copa y genera un desplazamiento de la actividad cambial, lo cual estimula un mayor crecimiento radial en la parte superior del fuste (Reyes-Cortes et al., 2020). Además, existe evidencia de que la eliminación de las ramas vivas inferiores reduce el crecimiento del diámetro de la parte inferior del tallo, mientras que la parte superior no es afectada, ello resulta en un tallo más cilíndrico (Mäkinen et al., 2014); esta característica es favorable para producir un mayor volumen aprovechable por árbol en los SAFC.
Las pruebas de Kolmogorov-Smirnov en los residuales estimaron valores en los p-value>0.05; por consiguiente, el modelo Spurr lineal ponderado cumple con el supuesto de normalidad. Por otro lado, la prueba de Breusch-Pagan en los residuales calculó valores en los p-value>0.05, indicando también el cumplimiento del supuesto de homocedasticidad. Este último supuesto es importante, ya que la presencia de heterocedasticidad produce estimadores ineficientes, esa falta de eficiencia resta credibilidad a los procedimientos habituales de pruebas de hipótesis (Gujarati & Porter, 2010). Por lo tanto, la medida correctiva de ponderación fue adecuada para realizar comparaciones más contundentes entre los parámetros de los interceptos y pendientes.
Modelos volumétricos fustales
Los modelos ajustados presentaron valores bajos en el AIC, RCME, CV, , y valores en el R2Adj>0.94 (Cuadro 5). Todos los parámetros de los modelos fueron significativos (p≤0.05).
Cuadro 5. Valores de parámetros y bondad de ajuste de los modelos ajustados para estimar el volumen fustal en Cordia alliodora (Ruiz & Pav.) Oken.
Modelo |
Bondad de ajuste |
Parámetros |
|||||||
AIC |
RCME |
CV |
|
|
R2Adj |
P |
Estimador |
Pr>|t| |
|
Spurr potencial |
-315.77 |
0.188 |
15.565 |
7.316 |
-0.014 |
0.963 |
a0 |
0.000174 |
<0.0001 |
a1 |
0.863319 |
<0.0001 |
|||||||
Schumacher-Hall |
-316.55 |
0.186 |
15.377 |
6.864 |
-0.015 |
0.964 |
a0 |
0.00014 |
<0.0001 |
a1 |
1.664373 |
<0.0001 |
|||||||
a2 |
0.997416 |
<0.0001 |
|||||||
Honner |
-283.96 |
0.223 |
18.384 |
-2.175 |
0.035 |
0.948 |
a0 |
263.2547 |
<0.0001 |
a1 |
18 082.9 |
<0.0001 |
|||||||
Thornber |
-297.82 |
0.208 |
17.158 |
-1.535 |
0.017 |
0.955 |
a0 |
0.000044 |
<0.0001 |
a1 |
0.311142 |
<0.0001 |
|||||||
Meyer |
-316.55 |
0.186 |
15.377 |
6.864 |
-0.015 |
0.964 |
a0 |
0.00014 |
<0.0001 |
a1 |
-0.33046 |
0.0122 |
|||||||
a2 |
0.997416 |
<0.0001 |
|||||||
Takata |
-324.16 |
0.180 |
14.896 |
4.861 |
-0.010 |
0.966 |
a0 |
16 640.1 |
<0.0001 |
a1 |
200.7852 |
<0.0001 |
|||||||
Potencial |
-227.93 |
0.228 |
18.648 |
10.626 |
-0.040 |
0.940 |
a0 |
0.000979 |
<0.0001 |
a1 |
2.036972 |
<0.0001 |
|||||||
Spurr lineal |
-291.95 |
0.214 |
17.674 |
9.103 |
0.011 |
0.952 |
a0 |
0.151103 |
<0.0001 |
a1 |
0.000035 |
<0.0001 |
|||||||
AIC = Criterio de información de Akaike; RCME = Raíz del cuadrado medio del error (m3); CV = Coeficiente de variación (%); S= Error medio relativo (%);
= Sesgo promedio (m3); R2Adj= Coeficiente de determinación ajustado; P = Parámetro.
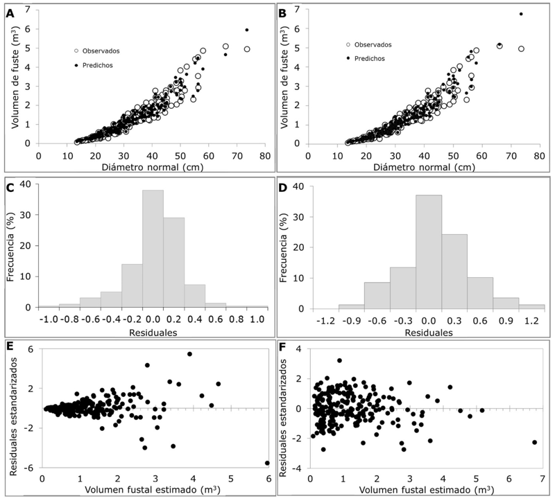
El sistema de calificación de modelos evidenció que el modelo de Takata obtuvo los mejores estadísticos de bondad de ajuste en comparación al resto de los modelos, así como la mejor calificación con 13 puntos (Cuadro 6). Este modelo explica 96.6 % de la variabilidad del volumen fustal de C. alliodora en SAFC. Si se considera el principio de parsimonia, el modelo de Takata tiene una estructura matemática sencilla capaz de estimar en forma eficiente la variable de interés (Figura 2A y 2B). En segundo lugar, los modelos con mejor ajuste fueron Schumacher-Hall y Meyer ambos con 17 puntos totales. Algunos estudios destacan la eficiencia del modelo de Takata para estimar el volumen en árboles de Apuleia leiocarpa (Vogel) J. F. Macbr. (Garate-Quispe & Florez-Castillo, 2023) y de Eucalyptus sp. (Pereira-Miguel et al., 2015).
Cuadro 6. Sistema de calificación para los modelos de volumen fustal en Cordia alliodora (Ruiz & Pav.) Oken.
Modelo |
Criterios de bondad de ajuste |
Puntuación |
||||||
AIC |
RCME |
CV |
|
|
R2Adj |
P |
||
Spurr potencial |
3 |
3 |
3 |
5 |
3 |
3 |
2 |
22 |
Schumacher-Hall |
2 |
2 |
2 |
4 |
2 |
2 |
3 |
17 |
Honner |
6 |
6 |
6 |
1 |
7 |
6 |
2 |
34 |
Thornber |
4 |
4 |
4 |
2 |
6 |
4 |
2 |
26 |
Meyer |
2 |
2 |
2 |
4 |
2 |
2 |
3 |
17 |
Takata |
1 |
1 |
1 |
3 |
4 |
1 |
2 |
13 |
Potencial |
7 |
7 |
7 |
7 |
1 |
7 |
2 |
38 |
Spurr lineal |
5 |
5 |
5 |
6 |
5 |
5 |
2 |
33 |
AIC = Criterio de información de Akaike; RCME = Raíz del cuadrado medio del error (m3); CV = Coeficiente de variación (%); = Error medio relativo (%);
= Sesgo promedio (m3); R2Adj= Coeficiente de determinación ajustado; P = Parámetros.
A, C y E = Modelo de Takata sin estructura de varianza; B, D y F = Modelo de Takata con estructura de varianza.
Figura 2. Volumen de fuste estimado y distribución de los residuos con el modelo de Takata sin estructura de varianza y con estructura de varianza.
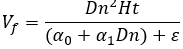
Modelo de Takata con estructura de varianza
Los residuos del modelo seleccionado de Takata tienden a una distribución normal, pero su varianza no es estable; por lo tanto, se asume heterocedasticidad (Figura 2C y 2E). Por el contrario, al aplicarle la estructura como factor de ponderación se logró corregir satisfactoriamente la heterocedasticidad y se obtuvo una distribución homogénea de los residuos, conservando su distribución normal (Figura 2D y 2F). El valor estimado del exponente fue c=2.660; los estadísticos de bondad de ajuste del modelo corregido fueron: R2Adj=0.957, RCME=0.204 m3, AIC=-433.02, CV=16.7 %,
, y todos los parámetros fueron significativos (p<0.001).
Takata sin corrección de heterocedasticidad:
(17)
Donde:
Vf = Volumen del fuste (m3)
Dn = Diámetro normal (cm)
Ht = Altura total (m)
Takata con corrección de heterocedasticidad vía estructura de varianza:
(18)
Donde:
Vf = Volumen del fuste (m3)
Dn = Diámetro normal (cm)
Ht = Altura total (m)
El modelo de Takata corregido presenta estimadores más eficientes cumpliendo con la propiedad de la mínima varianza que facilitará de forma práctica la cuantificación del volumen fustal de los árboles en pie de C. alliodorabajo SAFC en la zona centro de Veracruz.
Conclusiones
Los factores de forma en C. alliodora dentro de los sistemas agroforestales de café en altitud inferior (60 a 150 m), intermedia (405 a 750 m) y superior (950 a 1 150 m) no presentan diferencias significativas con la prueba de adicionalidad, lo que sugiere su modelación de forma conjunta. Los fustes se adaptan a una geometría semejante al paraboloide, característica atribuida a la capacidad eficiente de autopoda de la especie. De ocho modelos evaluados, el modelo de Takata presenta los mejores estadisticos de bondad de ajuste y al corregirlo con una estructura de varianza, permite obtener estimadores eficientes cumpliendo con los supuestos de normalidad y homocedasticidad. Este modelo será una herramienta práctica que facilitará estimar el volumen fustal de los árboles en pie en los SAFC.
Agradecimientos
Al INIFAP a traves de los recursos fiscales con el proyecto “Evaluación de la producción y rentabilidad financiera de un sistema agroforestal de Coffea arábica L.-Musa sp. con barreras vivas en la región de Zongolica, Veracruz” con número de proyecto SIGI 13405036178.
Conflicto de intereses
Los autores declaran no tener conflicto de interés.
Contribución por autor
Rolando Misael Tlaxcala Méndez: organización de la investigación, análisis estadístico y redacción; Martín Aquino Ramírez: interpretación de resultados y correcciones; Ángel Ventura Contreras Martínez: trabajo de campo y redacción; Jerónimo Sepúlveda Vásquez: revisión del manuscrito y correcciones finales; María del Carmen Pablo Mendoza: supervisión de la investigación y corrección del texto.
Referencias
Andrade, H. J., Segura, M. A., & Suárez, J. C. (2023). Growth and carbon sequestration in biomass of Cordia alliodora in Andean agroforestry systems with coffee. Agroforestry Systems, 97, 1435-1446. https://doi.org/10.1007/s10457-023-00868-6
Aquino-Ramírez, M., Tlaxcala-Méndez, R. M., Maya-Martínez, A., Medina-Hernández, R. G., & Ríos-Saucedo, J. C. (2023). Modelos de volumen fustal para Inga punctata en un sistema agroforestal. Agrofaz–Journal of Environmental and Agroecological Sciences, 5, 51-58. https://agrofaz.net/index.php/agrofaz/issue/view/11/9.fustal%20para%20Inga%20punctata
Farfán, V. F. (2014). Agroforestería y Sistemas Agroforestales con Café. Centro Nacional de Investigaciones de Café. https://www.researchgate.net/publication/394660030_Agroforesteria_y_sistemas_agroforestales_con_cafe
Garate-Quispe, J. S., & Florez-Castillo, L. (2023). Coeficiente mórfico de Apuleia leiocarpa (Vogel) J. F. Macbr. por tipo de bosque, Amazonía peruana. Revista Mexicana de Ciencias Forestales, 14(78), 4-33. https://doi.org/10.29298/rmcf.v14i78.1336
García-Mayoral, L. E., Valdez-Hernández, J. I., Luna-Cavazos, M., & López Morgado, R. (2015). Estructura y diversidad arbórea en sistemas agroforestales de café en la Sierra de Atoyac, Veracruz. Madera y Bosques, 21(3), 69-82. https://doi.org/10.21829/myb.2015.213457
González-Luna, H. M., & Cruz-Castillo, J. B. (2021). Anatomía y propiedades físicas de dos especies forestales comerciales Cedro (Cedrela odorata L.) y Laurel (Cordia alliodora (Ruiz & Pav.) Oken) en Nicaragua. La Calera, 21(37), 81-86. https://doi.org/10.5377/calera.v21i37.12532
Gujarati, D. N., & Porter, D. C. (2010). Econometría (5ta ed.). McGrawHill. https://gc.scalahed.com/recursos/files/r161r/w25589w/(2010)Econometria.pdf
Hernández-Ramos, J., De los Santos-Posadas, H. M., Valdéz-Lazalde, J. R., Tamarit-Urias, J. C., Ángeles-Pérez, G., Hernández-Ramos, A., Méndez-López, B., & Peduzzi, A. (2017). Estimación del volumen comercial en plantaciones de Eucalyptus urophylla con modelos de volumen total y de razón. Agrociencia, 51(5), 561-580. https://agrociencia-colpos.org/index.php/agrociencia/article/view/1311
Hernández-Ramos, J., García-Cuevas, X., Hernández-Ramos, A., Tamarit-Urias, J. C., & Buendía-Rodríguez, E. (2021). Modelos para estimar volumen fustal y ahusamiento para Manilkara zapota (L.) P. Royen en Quintana Roo, México. Acta Universitaria, 31, Artículo e3067. https://doi.org/10.15174/au.2021.3067
Hernández-Ramos, J., Hernández-Ramos, A., García-Cuevas, X., Tamarit-Urias, J. C., Martínez-Ángel, L., & García-Magaña, J. (2018). Ecuaciones de volumen total y de razón para estimar el volumen comercial de Swietenia macrophylla King. Colombia Forestal, 21(1), 34-46. https://doi.org/10.14483/2256201X.11965
Instituto Nacional de Estadística, Geografía e Informática. (2010a). Compendio de información geográfica municipal 2010. Tezonapa. Veracruz de Ignacio de la Llave. Instituto Nacional de Estadística, Geografía e Informática. https://www.inegi.org.mx/contenidos/app/mexicocifras/datos_geograficos/30/30173.pdf
Instituto Nacional de Estadística, Geografía e Informática. (2010b). Compendio de información geográfica municipal 2010. Zongolica, Veracruz de Ignacio de la Llave. Instituto Nacional de Estadística, Geografía e Informática. https://www.inegi.org.mx/contenidos/app/mexicocifras/datos_geograficos/30/30201.pdf
Mäkinen, H., Verkasalo, E., & Tuimala, A. (2014). Effects of pruning in Norway spruce on tree growth and grading of sawn boards in Finland. Forestry, 87(3), 417-424. https://doi.org/10.1093/forestry/cpt062
Pereira-Miguel, E., Noce-Cerdeira, A. L., Brito-de Azevedo, G., de Oliveira Sousa-Azevedo, G. T., Angelo, H., Pereira, R. S., & Rezende, A. V. (2015). Compatibility between wood volume estimation methods in a eucalyptus stand. Australian Journal of Basic and Applied Sciences, 9(35), 371−376. http://www.ajbasweb.com/old/ajbas/2015/November/371-376.pdf
Picard, N., Saint-André, L., & Henry, M. (2012). Manual de construcción de ecuaciones alométricas para estimar el volumen y la biomasa de los árboles. Del trabajo de campo a la predicción. Centre de Coopération Internationale en Recherche Agronomique pour le Développement y Organización de las Naciones Unidas para la Alimentación y la Agricultura. https://www.fao.org/4/i3058s/i3058s.pdf
Quiñonez-Barraza, G., De los Santos-Posadas, H. M., Álvarez-González, J. G., & Velázquez-Martínez, A. (2014). Sistema compatible de ahusamiento y volumen comercial para las principales especies de Pinus en Durango, México. Agrociencia, 48(5), 553-567. https://agrociencia-colpos.org/index.php/agrociencia/article/view/1102
Ramírez-Martínez, A., Santiago-García, W., Quiñonez-Barraza, G., Ruiz-Aquino, F., & Martínez-Antúnez, P. (2016). Modelos de volumen fustal para Pinus ayacahuite Ehren. Revista Mexicana de Agroecosistemas, 3(2), 61-74. https://revistaremaeitvo.mx/index.php/remae/issue/view/25/23
Ramírez-Vargas, M. R., De los Santos-Posadas, H. M., Valdez-Lazalde, J. R., Reyes-Hernández, V. J., & Ayala-Sosa, J. C. (2024). Does resin tapping affect the tapering and accumulation of merchantable timber volume in pine trees? Agrociencia, 58(7), 853-868. https://doi.org/10.47163/agrociencia.v58i7.2964
Reyes-Cortés, L. M., Vargas-Hernández, J. J., Aldrete, A., & Honorato-Salazar, J. A. (2020). Crecimiento radial y conicidad del fuste en plantaciones con aclareo de Pinus patula Schiede ex Schlechtendal & Chamisso. Revista Fitotecnia Mexicana, 43(2), 205-214. https://doi.org/10.35196/rfm.2020.2.205
SAS Institute Inc. (2025). SAS OnDemand for Academics [Software]. SAS Institute Inc. https://welcome.oda.sas.com/
Somarriba, E. J., & Beer, J. W. (1987). Dimensions, volumes and growth of Cordia alliodora in agroforestry systems. Forest Ecology and Management, 18(2), 113-126. https://doi.org/10.1016/0378-1127(87)90138-1
Spurr, S. H. (1952). Forest Inventory. The Ronald Press Company. https://books.google.com.mx/books/about/Forest_Inventory.html?id=zNssAQAAMAAJ&redir_esc=y
Telles-Antonio, R., Gómez-Cárdenas, M., Alanís-Rodríguez, E., Aguirre-Calderón, O. A., & Jiménez-Pérez, J. (2018). Ajuste y selección de modelos matemáticos para predecir el volumen fustal de Tectona grandis L. f. en Nuevo Urecho, Michoacán, México. Madera y Bosques, 24(3), Artículo e2431544. https://doi.org/10.21829/myb.2018.2431544
Tlaxcala-Méndez, R. M., De los Santos-Posadas, H. M., Hernández-de la Rosa, P., & López-Ayala, J. L. (2016). Variación del factor de forma y el ahusamiento en procedencias de cedro rojo (Cedrela odorata L.). Agrociencia, 50(1), 89-105. https://www.scielo.org.mx/pdf/agro/v50n1/1405-3195-agro-50-01-89-en.pdf
Torres-Ávila, D., De los Santos-Posadas, H. M., Velázquez-Martínez, A., & Tamarit-Urias, J. C. (2020). Ahusamiento y volumen comercial de tres procedencias de pinos tropicales en plantaciones forestales de Veracruz, México. Madera y Bosques, 26(3), Artículo e263189. https://doi.org/10.21829/myb.2020.2631890
West, P. W. (2009). Tree and forest measurement (2nd ed). Springer Verlag. https://link.springer.com/book/10.1007/978-3-540-95966-3
Todos los textos publicados por la Revista Mexicana de Ciencias Forestales –sin excepción– se distribuyen amparados bajo la licencia Creative Commons 4.0 Atribución-No Comercial (CC BY-NC 4.0 Internacional), que permite a terceros utilizar lo publicado siempre que mencionen la autoría del trabajo y a la primera publicación en esta revista.