Revista Mexicana de Ciencias Forestales Vol. 17 (94)

Marzo - Abril (2026)

Logotipo, nombre de la empresa

Descripción generada automáticamente

DOI: https://doi.org/10.29298/rmcf.v17i94.1562

Research article

Multitemporal analysis using high-resolution images in a Tamaulipan Thornscrub

Análisis multitemporal mediante imágenes de alta resolución en un Matorral Espinoso Tamaulipeco

 

Alejandro Alcalá-Rojas1, Eduardo Alanís-Rodríguez1, Rufino Sandoval-García2*, Oscar Alberto Aguirre-Calderón1, Gerardo Cuéllar-Rodríguez1, Israel Yerena-Yamallel1

 

Fecha de recepción/Reception date: 12 de marzo de 2025.

Fecha de aceptación/Acceptance date: 20 de enero de 2026.

_______________________________

1Facultad de Ciencias Forestales, Universidad Autónoma de Nuevo León. México.

2Tecnológico Nacional de México, Instituto Tecnológico del Valle de Oaxaca, México.

 

*Autor para correspondencia; correo-e: rufino.sadoval.garcia@gmail.com

*Correponding author; e-mail: rufino.sandoval.garcia@gmail.com

 

 

Abstract

In Northeastern Mexico, a biodiversity conservation area was established within an industrial complex, where a reforestation program with native species was implemented in 2010. The objective of this paper was to quantitatively assess, through multitemporal analysis of high-resolution images, the effectiveness of an ecological restoration project in the Tamaulipan Thornscrub, based on spatial changes in vegetation cover and land use recorded between 1995 and 2024. The results indicated a linear increase (R2=0.92) in vegetation cover over time. In 1995, it occupied 32.22 % of the conservation area, and in 2024, 62.67 %. In contrast, the area used for agriculture decreased from 38.5 % in 1995 to 12.6 % in 2008, and was zero from 2014 onwards. Likewise, the grassland cover decreased from 27.1 % in 1995 to 17.1 % in 2024. The results of the study show a recovery in vegetation cover as a result of the implementation of the ecological restoration program over an area of 83 ha. This included the planting of 69 537 individuals from rescues and 18 500 individuals from local nurseries, with a survival rate of 85 % by 2024 for at least 10 species of ecological interest. The findings confirm the effectiveness of these strategies in restoring vegetation, which can serve as a basis for the design and implementation of larger-scale restoration projects.

Keywords: Agriculture, land use change, supervised classification, biodiversity conservation, reforestation, ecological restoration.

Resumen

En el noreste de México, se estableció un área de conservación de la biodiversidad dentro de un complejo industrial, donde a partir del año 2010 se implementó un programa de reforestación con especies nativas. El objetivo fue evaluar cuantitativamente, mediante análisis multitemporal de imágenes de alta resolución, la efectividad de un proyecto de restauración ecológica en el Matorral Espinoso Tamaulipeco, en función de los cambios espaciales en la cobertura vegetal y el uso de suelo registrados entre 1995 y 2024. Los resultados indicaron un aumento lineal (R2=0.92) de la cobertura de la vegetación conforme transcurrió el tiempo. En 1995 ocupaba 32.22 % del área de conservación y en 2024, 62.67 %. En contraste, la superficie con agricultura disminuyó de 38.5 % en 1995 a 12.6 % en 2008, y fue nula a partir de 2014. Asimismo, la cobertura de pastizal se redujo de 27.1 % en 1995 a 17.1 % en 2024. Los resultados del estudio evidencian una recuperación de la cobertura vegetal como consecuencia de la implementación del programa de restauración ecológica en una superficie de 83 ha. Este incluyó la plantación de 69 537 individuos provenientes de rescates, 18 500 individuos de viveros locales; con una supervivencia de 85 % al año 2024, para al menos 10 especies de interés ecológico. Los hallazgos confirman la efectividad de dichas estrategias en el restablecimiento de la vegetación, que puede servir como base para el diseño e implementación de proyectos de restauración a mayor escala.

Palabras claves: Agricultura, cambio de uso del suelo, clasificación supervisada, conservación de la biodiversidad, reforestación, restauración ecológica.

 

   

Introduction

 

 

Globally, various categories of protected natural areas have been established in order to conserve biodiversity and restore degraded plant communities (Arneth et al., 2023). In Mexico, at the federal level, there are biosphere reserves, national parks, natural monuments, areas designated for the protection of resources, flora, and fauna, as well as sanctuaries (Reyna-Rojas et al., 2021). In addition to these areas under government protection, there are conservation areas on privately owned land, where those responsible implement strategies to protect the country's biological capital (Cámara de Diputados, 1988; Patiño-Flores et al., 2019).

In Northeastern Mexico, in the state of Nuevo León, a Wildlife Conservation Area is designated to conserve biodiversity and restore degraded plant communities (Patiño-Flores et al., 2019). Since 2010, various reforestation programs with woody species have been implemented in this area to restore the vegetation cover (Alanís-Rodríguez et al., 2016).

Previous studies have evaluated the plantation planting density and canopy cover in the area (Alanís-Rodríguez et al., 2016, 2021; Alcalá-Rojas et al., 2025). Although specific reforestation actions have been documented in these areas, no multitemporal monitoring and analysis have been conducted to assess the dynamics of vegetation-cover recovery over time. Only the number of individuals planted has been recorded, but the behavior of land-use change over time has not.

In multitemporal studies, vegetation indices derived from high-resolution multispectral images acquired by satellites and unmanned aerial vehicles (UAVs) have proven to be effective tools for monitoring ecosystems (Gutiérrez-Barrientos et al., 2022; Mao et al., 2020). This methodology allows data to be obtained quickly, consistently, and in a manner applicable to areas that are difficult to access, thereby reducing the time and costs associated with efficient field assessments for ecosystem monitoring (Doi, 2021).

Within this context, it was proposed to quantitatively evaluate, through multitemporal analysis of high-resolution images, the effectiveness of an ecological restoration project in the Tamaulipan Thornscrub, based on the spatial changes in vegetation cover and land use recorded between 1995 and 2024. The aim is to provide information on the dynamics of vegetation cover recovery resulting from the ecological restoration project in this type of vegetation and to generate inputs for the management and planning of strategies focused on its conservation.

 

 

Materials and Methods

 

 

Study area

 

 

The study area covered 83.72 ha and was located in Pesquería tmunicipality, state of Nuevo León, Mexico (Figure 1), at 25°45′94.99″ N and 99°57′43.61″ W, with an altitude of 305 m. The region's climate is classified as dry-semi-warm (BWhw) under the Köppen classification modified by García (García & Comisión Nacional para el Conocimiento y Uso de la Biodiversidad [Conabio], 1998). The predominant soil type is pelic Vertisol (Instituto Nacional de Estadística, Geografía e Informática [INEGI], 2014). The characteristic vegetation corresponds to the Tamaulipan Thornscrub (MET by its Spanish acronym) (Alanís-Rodríguez et al., 2021).

 

Figure 1. Location of the study area in Pesquería municipality, state of Nuevo León, Mexico.

 

 

Image acquisition

 

 

The classification of land cover used a 2 m pixel orthophoto (year 1995) and a 1.5 m pixel orthophoto (year 2004), both obtained from the Espacios y Datos de México platform (Instituto Nacional de Estadística y Geografía [Inegi], 2024), as well as six high-resolution satellite images from Airbus Defence and Space with a pixel size of 1.14 m (year 2008), 22 images from GeoEye-1 with a pixel size of 0.28 m (year 2014), and 22 Birdseye images with a resolution of 0.28 m (year 2020) from the SASPlanet platform (SASPlanet Development Team, 2024). Both sources are freely accessible and open source. The images from 2022, 2023, and 2024 were obtained from one flight per year with a Wingtra® One RGB61 Unmanned Aerial Vehicle (UAV), in autopilot mode at an altitude of 120 m, which generated approximately 446 images of 0.05 m pixels with a 70/60 % overlap and processed with Pix4D version 4.8.4 software (Pix4D, 2023) (Figure 2).

 

Simbología = Key; Reserva Ecológica Ternium = Ternium Ecological Reserve.

Figure 2. Orthomosaics of the conservation area located in Pesquería municipality, state of Nuevo León, Mexico (1995-2024).

 

 

Cover classification

 

 

Prior to processing and using the satellite images, including the orthophotos obtained by the UAV, a geometric correction was performed by taking identifiable control points. In order to do this, a mathematical transformation (polynomial or similar) was applied, and a digital elevation model was used for orthorectification, followed by resampling to assign new pixel values using methods such as nearest neighbor or cubic convolution. The result was a georeferenced image ready for analysis.

The sites are systematically distributed in areas with a high degree of confusion due to image reflectance, exposure, noise and cloud cover (Figure 3).

 

A = Resolution of 0.28 m pixel; B = Resolution of 0.05 m pixel.

Figure 3. Example of resolution of 0.28 m pixel and 0.05 m pixel.

 

The detection of changes was performed with the Quantum GIS QGIS 3.36.0 software “Maidenhead” using the open-source SAGA (System for Automated Geoscientific Analyses) processing toolbox (QGIS Development Team, 2024), through unsupervised classification with the K-Means Cluster Analysis module, which performs cluster grouping using the iterative refinement technique (Jumb et al., 2014). Subsequently, a supervised classification method was applied, based on converting raster-format files to vector format, using training sites derived from field data, with a total of six land-use and vegetation classes (Rashmi et al., 2016).

 

 

Information validation

 

 

To calculate the concordance and accuracy of the classification of high-resolution satellite images and UAV-derived images, the r.kappa module of the GRASS 7.6.0 extension for QGIS 3.36.0 was used (QGIS Development Team, 2024). An error matrix was generated, and the Kappa coefficient was determined using the following Equation (Quezada et al., 2022):

 

     (1)

 

Where:

K = Kappa coefficient

Po = Observed agreement

Pe = Expected random agreement

1–Pe = Maximum non-random potential agreement

 

The Kappa coefficient was 0.85, which, according to Landis and Koch (1977), indicates that the images match almost perfectly, guaranteeing a high degree of similarity when replicating the study. The information was validated against land-use records and field surveys, from which 40 control points were obtained.

 

 

Multitemporal analysis

 

 

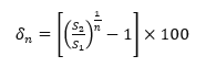
Changes (increases or losses) in forest cover and land use were estimated by cross-tabulating eight different periods: 1995-2004, 2004-2008, 2008-2014, 2014-2020, 2020-2022, 2022-2023, 2023-2024, and 1995-2024. For this purpose, Equation 2 was used as developed by the Food and Agriculture Organization of the United Nations (FAO, 1993) and adapted by Palacio-Prieto et al. (2004).

 

     (2)

 

Where:

δn = Exchange rate expressed as a percentage

S1 = Surface area on date 1

S2 = Surface area on date 2

n = Number of years between the two dates

 

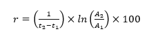
Using the data obtained from the classification of the images, the annual deforestation rate was calculated by comparing the land cover of the same site in two different periods. Equation 3, proposed by Puyravaud (2003), was used for this purpose, where a positive “r” value indicates an increase in vegetation cover, while a negative value indicates a loss of cover.

 

     (3)

 

Where:

A1 = Vegetation cover or land use in the initial period

A2 = Vegetation cover or land use at the end of the period

t1 = Initial period

t2 = Final period

 

 

Restoration actions in the area

 

 

The ecological restoration process began in April 2010, when the area was excluded from livestock grazing and reforested by stages with native woody species between 2010 and 2024. Individuals from local forest nurseries and specimens rescued from areas undergoing land-use change were utilized. A triangular layout was used for planting, with a distance of 1.5 m between individuals and rows to achieve a density of 992 plants per hectare (n ha-1).

In addition, maintenance actions were implemented to eliminate exotic grasses, with the aim of reducing competition for resources and promoting the establishment of native vegetation. Over time, the success of the removal of exotic grasses became apparent, as by 2024, their presence was scarce, occurring only under the cover of the plantation, where they reached heights of up to 3 m. Support irrigation was also applied using a tanker truck once a week for the first four months after planting and once every two weeks for the following eight months (Alanís-Rodríguez et al., 2021).

Finally, dead seedlings were replaced in the years following planting, with the aim of ensuring the establishment and formation of the plant community and maintaining a survival rate of 85 % by 2024. To this end, 88 106 specimens of at least 10 different native species were planted.

 

 

Results

 

 

Multitemporal processing of high-resolution images allowed us to quantify land use and vegetation cover transitions in the study area during the period 1995-2024, as a basis for evaluating the effectiveness of the ecological restoration project (Figure 4).

 

Land use: A = 1995; B = 2004; C = 2008; D = 2014; E = 2020; F = 2022; G = 2023; H = 2024.

Figure 4. Land use change from 1995 to 2024.

 

The results indicated that the cover of the MET (Tamaulipan Thornscrub) was dominant and stable, while agriculture and grassland were more dynamic, mainly due to conversion processes to MET.

Figure 5 shows the change in land use by comparing between 1995 and 2024; it shows the conservation of 26.98 ha of the MET; the 32.25 ha of agriculture became 20.2 ha of MET, 8.22 ha of grassland, 1.11 ha of human settlements, and 2.72 ha of roads; 22.73 ha of grassland became 5.29 ha of MET, 2.15 ha without vegetation cover while 14.29 ha remained as grassland, 0.21 ha of roads, and 0.29 ha of human settlements. Finally, of the 1.77 hectares of roads, 1.7 hectares were preserved, and the rest was added as a result of the change from grassland to agriculture.

 

MET = Tamaulipan Thornscrub; P = Grassland; A = Agriculture; C = Roads; AH = Human settlements; SCV = Without vegetation cover.

Figure 5. Sankey diagram for the period 1995 to 2024

 

When analyzing the rate of change and permanence by period, it was evident that, from 2020 onwards, land-use permanence remained unchanged, with the greatest change occurring in the 2008-2014 and 2014-2020 periods, which corresponded to the start of restoration, reforestation, and plantation establishment. Table 1 shows the behavior of these changes.

 

Table 1. Rate of change/permanence of land use from 1995 to 2024.

Period

Changed surface area (ha)

Permanente area (ha)

% change

% permanece

19952004

11.61

72.12

13.87

86.13

20042008

10.10

73.62

12.07

87.93

20082014

15.58

68.14

18.61

81.39

20142020

16.35

67.37

19.53

80.47

20202022

3.47

80.26

4.14

95.86

20222023

1.10

82.63

1.31

98.69

20232024

1.55

82.18

1.85

98.15

 

Land uses with positive changes in all periods were the MET, roads, and human settlements, with average values of 2.45 %, 5.25 %, and 3.18 %, respectively. The largest negative changes were observed in agriculture for the 2004-2008 period, with -15.48 %, and pastureland with -10.03 % in the 2014-2020 period (Figure 6).

 

Figure 6. Rate of change in the area assessed during the 1995-2024 period.

 

The analysis of the information for the MET shows a linear increase (R2=0.91) over time. In 1995, it occupied 32.22 % of the 83 ha conservation area, and by 2024, it had grown to 62.67 %. The area of grassland increased from 1995 to 2008, but after restoration it decreased from 2008 to 2024; agriculture declined from 1995 to 2008, reaching zero by 2014.

The MET area remained virtually stable from 1995 to 2008 and began to increase from 2014 onward, owing to reforestation efforts undertaken in 2010. The greatest increase was observed from 2020 onward, as planting continued from 2010 to 2024 and the specimens grew larger, thereby increasing the vegetation cover. These changes in vegetation cover were the result of restoration actions, and not of the natural regeneration process. Alcalá-Rojas et al. (2025) evaluated natural regeneration in 18 ha, which are within the 83 ha where this study was conducted, and, although the plantation has created the conditions for natural regeneration, its growth has not been significant, amounting merely to 3.8 m3 ha-1, while the plantation has values of 15 m3 ha-1.

Agricultural activity ceased in the study area and was replaced by exotic grass cover. Subsequently, this cover was removed from the site to begin the restoration process by establishing native species. While there was no intervention, the grassland area showed an upward trend. However, starting in 2009, when restoration activities began, this cover began to decline. Since 2020, this reduction has remained stable; as a result, the grassland is preserved only in specific areas designated for soil protection and conservation.

 

 

Discussion

 

 

To evaluate the effectiveness of ecological restoration projects, it is essential to adopt a systematic, comprehensive approach that enables monitoring of plant community dynamics (León & Vargas-Ríos, 2021). However, traditional monitoring based on on-site assessments has limitations, especially in hard-to-reach locations or large-scale restoration projects (Gutiérrez-Barrientos et al., 2022; Mao et al., 2020). Within this context, the use of remote sensing images offers significant advantages, as it enables the assessment of the recovery of vegetation cover over time and across large areas, facilitating the detection of changes that would be difficult to observe through field sampling (Doi, 2020; Liu et al., 2019).

Although this research did not cover a large area, the objective was to establish a methodological approach that would lay the foundation for its application at a larger scale, thereby improving the monitoring of ecological restoration projects and generating more robust information for decision-making in ecosystem management.

The results of this research indicate that vegetation cover in the Tamaulipan Thornscrub has increased over time. This increase is attributed to reforestation actions implemented as part of the ecological restoration project in the study area (Alanís-Rodríguez et al., 2021; Molina-Guerra et al., 2023). In these areas, Alanís-Rodríguez et al. (2021) documented that recovery was reflected in a canopy cover of 9 298 m2 ha-1, with a density of 1 033 individuals ha-1, and Alcalá-Rojas et al. (2025) cited a density of 1 129 individuals ha-1. In addition, Alcalá-Rojas et al. (2025) evaluated natural regeneration of woody plants under the canopies of reforested species and recorded 1 513 small seedlings, indicating that natural regeneration is underway. Similar findings have been reported by Sandoval-García et al. (2021), who documented a 6.6 % increase in forest cover in the Mixteca Alta Oaxaqueña region between 1995 and 2016 attributable to ecological restoration strategies. In a similar way, Hernández-Cavazos et al. (2023) recorded a 12.83 % recovery in the cover of the Tamaulipan Thornscrub in Linares municipality, state of Nuevo León, during the 1995-2021 period. This information suggests that ecological restoration strategies can be effective in recovering vegetation cover in semi-arid ecosystems, although monitoring must continue in order to assess their long-term stability.

The results indicate that the area devoted to agriculture decreased between 1995 and 2008, with 0.00 ha in 2014. This change is attributed, in principle, to the fact that agricultural activities ceased after the ecological restoration actions implemented in these areas, which have been transformed into plant communities in the Tamaulipan Thornscrub. In contrast, Alanís-Rodríguez et al. (2021) evaluated a community without restoration treatment in the same locality and observed limited recovery of canopy cover, attributed to slow natural regeneration under conditions of high competition with exotic herbaceous plants.

The area without vegetation cover increased in 2014 as a result of the establishment of a zone designated for the accumulation of soil material generated by land use change activities. This process involved the removal of existing vegetation, which created bare areas that altered the continuity of vegetation cover in the study area.

As for the area occupied by induced grassland, it is mainly dominated by the invasive alien species Cenchrus ciliaris L. Between 1995 and 2008, its coverage increased from 22.73 % to 39.86 %, indicating its high invasiveness. Subsequently, as a result of restoration efforts, this coverage was reduced to 14.29 %. In the study area, work was carried out to remove this grass and replace it with Cynodon dactylon (L.) Pers. to prevent soil erosion. Currently, Cenchrus ciliaris is found only in isolated patches under vegetation cover. However, the natural recovery of the native plant community under conditions of competition with C. ciliaris tends to be slow, due to the strong interspecific competition exerted by this grass, which monopolizes the cover and limits the establishment of native species (Alanís-Rodríguez et al., 2023; Arriaga et al., 2004; Marshall et al., 2012).

One of the fundamental objectives of ecological restoration projects is to assist areas devoid of native vegetation in developing functional communities composed of native taxa (Pequeño-Ledezma et al., 2016). This approach seeks to halt the causes of degradation, restore the ecosystem's native vegetation and fauna, and facilitate ecological succession processes that promote natural regeneration (Alcalá-Rojas et al., 2025).

 

 

Conclusions

 

 

Analysis of the collected data indicates that restoration activities have been effective: vegetation cover has increased, and conditions for natural regeneration have been established; over time, these conditions will contribute to further increases in cover. It is advisable to continue monitoring these conditions. Multitemporal analysis using high-resolution images made it possible to quantitatively evaluate the effectiveness of the ecological restoration project in the Tamaulipan Thornscrub, based on spatial changes in vegetation cover and land use between 1995 and 2024. The most significant result is the sustained increase in scrub cover from 32.22 % to 62.67 %, with a positive linear trend (R2=0.91), demonstrating a significant recovery attributable to the restoration actions initiated in 2009. In addition, the conversion of agricultural and induced grassland areas to communities dominated by native vegetation and the reduction of grassland associated with Cenchrus ciliaris reinforce the effectiveness of reforestation strategies, disturbance exclusion, and exotic species control. Taken together, these results confirm that high-resolution remote sensing is a robust tool for evaluating the effectiveness of ecological restoration projects in semi-arid ecosystems and establish a replicable methodological basis for monitoring, planning, and decision-making in larger-scale restoration initiatives.

 

Acknowledgments

 

The authors are grateful to the National Council for Science and Technology (now the Ministry of Science, Humanities, Technology, and Innovation) for the graduate studies scholarship awarded to the first author, to the Graduate School of Forest Sciences of the Universidad Autónoma de Nuevo León (Autonomous University of Nuevo León), and to the Instituto Tecnológico del Valle de Oaxaca (Technological Institute of the Valley of Oaxaca) for the facilities provided for the completion of this research.

 

Conflict of interest

 

The authors declare that they have no conflict of interest. Eduardo Alanís-Rodríguez declares that he did not participate in the editorial process of the manuscript.

 

Contribution by author

 

Alejandro Alcalá-Rojas and Eduardo Alanís-Rodríguez: research design, fieldwork, integration, and first draft of the manuscript; Rufino Sandoval-García: image acquisition, information analysis and table generation; Oscar Aguirre-Calderón and Gerardo Cuéllar-Rodríguez: validation of information and drafting of the Introduction and Conclusions; Israel Yerena-Yamallel: validation of information and drafting of the Results. All the authors revised and approved the final version of the manuscript.

 

 

References

Alanís-Rodríguez, E., Martínez-Adriano, C. A., Sánchez-Castillo, L., Rubio-Camacho, E. A., & Valdecantos, A. (2023). Land abandonment as driver of woody vegetation dynamics in Tamaulipan thornscrub at Northeastern Mexico. PeerJ, 11, Article e15438. https://doi.org/10.7717/peerj.15438

Alanís-Rodríguez, E., Molina-Guerra, V. M., Collantes-Chavéz-Costa, A., Buendía-Rodríguez, E., Mora-Olivo, A., Sánchez-Castillo, L., & Alcalá-Rojas, A. G. (2021). Structure, composition and carbon stocks of woody plant community in assisted and unassisted ecological succession in a Tamaulipan thornscrub, Mexico. Revista Chilena de Historia Natural, 94, Article 6. https://doi.org/10.1186/s40693-021-00102-6

Alanís-Rodríguez, E., Molina-Guerra, V. M., Rechy-Palmeros, L., Alcalá-Rojas, A. G., Marín-Solís, J. D., & Pequeño-Ledezma, M. Á. (2016). Composición, diversidad y supervivencia de un área restaurada en el Complejo Siderúrgico de Ternium, Pesquería, Nuevo León. En E. Ceccon & C. Martínez-Garza (Coords.), Experiencias mexicanas en la restauración de los ecosistemas (pp. 255-272). Universidad Nacional Autónoma de México. https://doi.org/10.22201/crim.9786070294778e.2017

Alcalá-Rojas, A., Alanís-Rodríguez, E., Aguirre-Calderón, O., Cuellar-Rodríguez, G., Yerena-Yamellel, I., Martínez-Adriano, C. A., & Sandoval-García, R. (2025). Análisis de la regeneración natural en un área restaurada de 11 años en el matorral espinoso tamaulipeco. Revista Forestal Mesoamericana Kurú, 22(50), 80-88. https://doi.org/10.18845/rfmk.v22i50.7756

Arneth, A., Leadley, P., Claudet, J., Coll, M., Rondinini, C., Rounsevell, M. D. A., Shin, Y.-J., Alexander, P., & Fuchs, R. (2023). Making protected areas effective for biodiversity, climate and food. Global Change Biology, 29(14), 3883-3894. https://doi.org/10.1111/gcb.16664

Arriaga, L., Castellanos, A. E., Moreno, E., & Alarcón, J. (2004). Potential ecological distribution of alien invasive species and risk assessment: A case study of buffel grass in arid regions of Mexico. Conservation Biology, 18(6), 1504-1514. https://doi.org/10.1111/j.1523-1739.2004.00166.x

Cámara de Diputados. (1988). Ley General del Equilibrio Ecológico y la Protección del Ambiente. Diario Oficial de la Federación. https://www.diputados.gob.mx/LeyesBiblio/pdf/LGEEPA.pdf

Doi, R. (2021). Assessing the reforestation effects of plantation plots in the Thai savanna based on 45 cm resolution true-color images and machine learning. Environmental Research Letters, 16, Article 014030. https://doi.org/10.1088/1748-9326/abcfe3

Food and Agriculture Organization of the United Nations. (1993). Forest Resources Assessment 1990. Survey of tropical forest cover and study of change processes-Tropical countries. Food and Agriculture Organization of the United Nations. https://www.fao.org/4/t0830e/t0830e00.htm

García, E., & Comisión Nacional para el Conocimiento y Uso de la Biodiversidad. (1998). Climas [Catálogo de metadatos geográficos]. Comisión Nacional para el Conocimiento y Uso de la Biodiversidad. http://geoportal.conabio.gob.mx/metadatos/doc/html/clima1mgw.html

Gutiérrez-Barrientos, M., Marín-Solís, J. D., Alanís-Rodríguez, E., & Buendía-Rodríguez, E. (2022). Evaluación de una restauración mediante dron en el matorral espinoso tamaulipeco. Polibotánica, (54), 71-85. https://doi.org/10.18387/polibotanica.54.5

Hernández-Cavazos, M. C., Sandoval-García, R., Molina-Guerra, V. M., & Alanís-Rodríguez, E. (2023). Análisis multitemporal del cambio de uso de suelo en el municipio de Linares, Nuevo León. Ecosistemas y Recursos Agropecuarios, 10(2), Artículo e3743. https://doi.org/10.19136/era.a10n2.3743

Instituto Nacional de Estadística y Geografía. (2024). Geografía y Medio Ambiente. Ortoimágenes [Banco de ortoimágenes]. Instituto Nacional de Estadística y Geografía. https://www.inegi.org.mx/temas/imagenes/ortoimagenes/#Descargas

Instituto Nacional de Estadística, Geografía e Informática. (2014). Conjunto de datos vectoriales de información topográfica G14C17 Doctor González escala 1:50 000, serie III [Conjunto de datos vectoriales]. Instituto Nacional de Estadística, Geografía e Informática. https://www.inegi.org.mx/app/biblioteca/ficha.html?upc=702825279127

Jumb, V., Sohani, M., & Shrivas, A. (2014). Color image segmentation using K-means clustering and Otsu’s adaptive thresholding. International Journal of Innovative Technology and Exploring Engineering, 3(9), 72-76. http://www.ijitee.org/wp-content/uploads/papers/v3i9/I1495023914.pdf

Landis, J. R., & Koch, G. G. (1977). The measurement of observer agreement for categorical data. Biometrics, 33(1), 159-174. https://pubmed.ncbi.nlm.nih.gov/843571/

León, O. A., & Vargas-Ríos, O. (2021). El monitoreo en la restauración ecológica: ¿por qué, para qué y cómo? En M. Aguilar-Garavito & W. Ramírez Hernández (Eds.), Evaluación y seguimiento de la restauración ecológica en el páramo andino (pp. 42-54). Instituto de Investigación de Recursos Biológicos Alexander von Humboldt. https://www.researchgate.net/publication/358088024_El_monitoreo_en_la_restauracion_ecologica_porque_para_que_y_como

Liu, C.-C., Chen, Y.-H., Wu, M.-H. M., Wei, C., & Ko, M.-H. (2019). Assessment of forest restoration with multitemporal remote sensing imagery. Scientific Reports, 9, Article 7279. https://doi.org/10.1038/s41598-019-43544-5

Mao, L., Li, M., & Shen, W. (2020). Remote sensing applications for monitoring terrestrial protected areas: Progress in the last decade. Sustainability, 12(12), Article 5016. https://doi.org/10.3390/su12125016

Marshall, V. M., Lewis, M. M., & Ostendorf, B. (2012). Buffel grass (Cenchrus ciliaris) as an invader and threat to biodiversity in arid environments: A review. Journal of Arid Environments, 78, 1-12. https://doi.org/10.1016/j.jaridenv.2011.11.005

Molina-Guerra, V. M., Alanís-Rodríguez, E., Collantes-Chávez-Costa, A., Mora-Olivo, A., Buendía-Rodríguez, E., & de la Rosa-Manzano, E. (2023). Restauración de un fragmento de matorral espinoso tamaulipeco: respuesta de ocho especies leñosas. Colombia Forestal, 26(1), 36-47. https://doi.org/10.14483/2256201x.19056

Palacio-Prieto, J. L., Sánchez-Salazar, M. T., Casado-Izquierdo, J. M., Propin-Frejomil, E., Delgado-Campos, J., Velázquez-Montes, A., Chias-Becerril, L., Ortiz-Álvarez, M. I., González-Sánchez, J., Negrete-Fernández, G., Gabriel-Morales, J., & Márquez-Huitzil, R. (2004). Indicadores para la caracterización y Ordenamiento del Territorio. Universidad Nacional Autónoma de México, Secretaría de Desarrollo Social, Secretaría de Medio Ambiente y Recursos Naturales e Instituto Nacional de Ecología. https://unidadesdepaisaje.unam.mx/sites/default/files/2022-06/Palacio%20et%20al%2C%202004_0.pdf

Patiño-Flores, A. M., Alanís-Rodríguez, E., Molina-Guerra, V. M., González-Rodríguez, H., Jurado, E., & Aguirre-Calderón, O. A. (2019). Almacenamiento de carbono en la reserva ecológica de Ternium en Pesquería, Nuevo León. Revista Mexicana de Ciencias Forestales, 10(54), 39-57. https://doi.org/10.29298/rmcf.v10i54.498

Pequeño-Ledezma, M., Alanís-Rodríguez, E., Jiménez-Pérez, J., Aguirre-Calderón, O., González-Tagle, M., & Molina-Guerra, V. (2016). Criterios a considerar para desarrollar proyectos de restauración ecológica. Revista Iberoamericana de Ciencias, 3(2), 94-105. http://reibci.org/publicados/2016/jun/1600108.pdf

Pix4D. (2023). Pix4Dmapper (Versión 4.8.4) [Photogrammetry computer software]. Pix4D SA. https://www.pix4d.com/es/producto/pix4dmapper-fotogrametria-software/

Puyravaud, J.-P. (2003). Standardizing the calculation of the annual rate of deforestation. Forest Ecology and Management, 177(1-3), 593-596. https://doi.org/10.1016/S0378-1127(02)00335-3

QGIS Development Team. (2024). QGIS Geographic Information System (version 3.36.0 “Maidenhead”) [Software]. Open Source Geospatial Foundation Project. https://qgis.org

Quezada, A. S., Sevilla-Tapia, J. D., & Avilés-Sacoto, E. C. (2022). Estimación de la tasa de deforestación en Pastaza y Orellana-Ecuador mediante el análisis multitemporal de imágenes satelitales durante el período 2000-2020. Revista de Investigación en Ciencias Agronómicas y Veterinarias, 6(17), 282-299. https://doi.org/10.33996/revistaalfa.v6i17.168

Rashmi, C., Chaluvaiah, S., & Kumar, G. H. (2016). An efficient parallel block processing approach for K-means algorithm for high resolution orthoimagery satellite images. Procedia Computer Science, 89, 623-631. https://doi.org/10.1016/j.procs.2016.06.025

Reyna-Rojas, M. A., Saldaña-Fernández, M. C., García-Flores, A., Monroy-Ortiz, C., Valenzuela-Aguilera, A., & Valenzuela-Galván, D. (2021). El panorama actual de las Áreas Naturales Protegidas (ANP) de México. Ecosistemas, 30(1), Artículo 2068. https://doi.org/10.7818/ECOS.2068

Sandoval-García, R., González-Cubas, R., & Jiménez-Pérez, J. (2021). Multitemporal analysis of the change in land cover in the Mixteca Alta Oaxaqueña. Revista Mexicana de Ciencias Forestales, 12(66), 96-121. https://doi.org/10.29298/rmcf.v12i66.816

SASPlanet Development Team. (2024). SASPlanet (Stable) (version 200606.10075)[Software]. https://sasplanet.geojamal.com/

 

 

 

        

Todos los textos publicados por la Revista Mexicana de Ciencias Forestales sin excepción– se distribuyen amparados bajo la licencia Creative Commons 4.0 Atribución-No Comercial (CC BY-NC 4.0 Internacional), que permite a terceros utilizar lo publicado siempre que mencionen la autoría del trabajo y a la primera publicación en esta revista.