Revista Mexicana de Ciencias Forestales Vol. 16 (89)
Mayo - Junio (2025)
DOI: https://doi.org/10.29298/rmcf.v16i89.1518 Research Artcile
Diameter at breast height and basal area growth for Pinus durangensis Martínez in Madera, Chihuahua State Crecimiento en diámetro normal y área basal para Pinus durangensis Martínez en Madera, Chihuahua
Rosa Isela Delgado Espinoza1, Francisco Cruz Cobos1, Gerónimo Quiñones Barraza2*, Francisco Javier Hernández1, Juan Abel Najera Luna1 |
Fecha de recepción/Reception date: 25 de septiembre de 2024
Fecha de aceptación/Acceptance date: 18 de febrero de 2025.
_______________________________
1Instituto Tecnológico de El Salto. México.
2Instituto Nacional de Investigaciones Forestales, Agrícolas y Pecuarias, Centro de Investigación Regional Norte Centro-Campo Experimental Valle del Guadiana. México.
*Autor por correspondencia; correo-e: quinonez.geronimo@inifap.gob.mx
*Corresponding author; e-mail: quinonez.geronimo@inifap.gob.mx
Abstract
Growth models are an efficient tool that helps to plan the application of silvicultural treatments in forest management. This study focused on fitting equations with fixed and random effects to predict the growth in diameter at breast height and basal area of Pinus durangensis in a forest community called Cebadilla de Dolores ejido, Madera municipality, state of Chihuahua, Mexico. Data from stem analysis of 27 trees were used (measured in 2021), obtaining slices at 1.30 m height and commercial measurements. Seven growth models were fitted, selecting the best one using 10 fitting statistics (e. g., R2, RMSE, AIC); in addition, the mixed-effects model procedure with fixed and random parameters at the individual tree level was used. The use of mixed-effects models provided estimates that allowed modeling the variability of diameters and basal area in terms of age. The results showed that age explained more than 98 % of the variability in diameter and basal area, with RMSE of 0.91 cm and 0.002 m2, respectively. The Chapman-Richards model was the most effective for modeling the growth of the variables studied, with very efficient fitting statistics. In addition, mixed effects improved predictions at the individual tree level, incorporating fixed and random parameters.
Key words: Stem analysis, Chapman-Richards, growth, algebraic difference approach, mixed-effects models, fixed and random parameters.
Resumen
Los modelos de crecimiento son una herramienta eficiente que ayuda a planear la aplicación de los tratamientos silvícolas en el manejo de bosques. El objetivo del presente estudio fue ajustar ecuaciones con efectos fijos y aleatorios para predecir el crecimiento en diámetro normal y área basal de Pinus durangensis en el ejido Cebadilla de Dolores, municipio Madera, Chihuahua, México. Para ello se utilizaron datos de análisis troncales de 27 árboles medidos en 2021, de los que se obtuvieron rodajas a 1.30 m de altura y medidas comerciales. Se ajustaron siete modelos de crecimiento, y se seleccionó el mejor mediante 10 estadísticos de ajuste (e. g., R2, RMSE, AIC); además, se siguió el procedimiento de modelos de efectos mixtos con parámetros fijos y aleatorios a nivel de árbol individual. El uso de modelos de efectos mixtos proporcionó estimaciones que permitieron modelar la variabilidad de los diámetros y el área basal con respecto a la edad. Los resultados indican que la edad explicó más de 98 % de la variabilidad del diámetro normal y del área basal, con RMSE de 0.91 cm y 0.002 m2, respectivamente. El modelo Chapman-Richards fue el más efectivo para modelar el crecimiento de las variables estudiadas, con estadísticas de ajuste muy eficientes. Además, los efectos mixtos mejoraron las predicciones a nivel de árbol individual, al incorporar parámetros fijos y aleatorios.
Palabras clave: Análisis troncales, Chapman-Richards, crecimiento, diferencia algebraica, modelos de efectos mixtos, parámetros fijos y aleatorios.
Introduction
Growth models facilitate decision-making and the planning of forestry treatments in forest management (von Gadow et al., 2004). Growth can be measured at the individual tree or stand level, using diameter, basal area, height, volume and biomass, stand quality, and density and competition indicators (Monserud, 2003). Growth information is important for estimating rotation age and treatment intensity based on the forest's productive potential (Hasenauer, 2006).
Over time, several forest growth models have been developed, including individual-tree and stand-based ones. The latter are the most appropriate for even-aged and regular stands, as they are difficult to apply in complex stands due to the diversity of species, ages, heights, and diameters (Porté & Bartelink, 2002; Vanclay, 1994). Individual-tree models are applicable to both pure and mixed forests. Growth prediction at the stand level is facilitated by summing the individual growth of each species (Hernández et al., 2021).
Regardless of whether growth is modeled at the individual tree or stand level, attempts have been made to increase the accuracy of model fitting by applying various techniques such as Algebraic difference (ADA), Generalized algebraic difference (GADA), and Mixed-effects models (MEM) (Bailey & Clutter, 1974; Castillo-López et al., 2018; Corral et al., 2019).
Mixed-effects models allow for the analysis of data with repeated measurements, considering both types of variability existing in longitudinal data and the nonlinear relationship between the response variable and time. They are flexible in representing heterogeneity and handling incomplete and unbalanced data, which are common in longitudinal data and trunk analyses of mixed forests (García et al., 2013), and provide consistent estimates of fixed parameters and their standard errors (Castedo et al., 2006), as well as the definition of random parameters at the tree, stand, or ecological region level.
The inclusion of random parameters, which are specific to each sampling unit, allows for modeling the variability of a given phenomenon across different locations after defining a common fixed functional structure (Lindstrom & Bates, 1990). Furthermore, they can improve predictions if the value of the random parameters can be estimated for an unsampled location through a random parameter calibration process. This approach is known as localization or calibration and can be applied if complementary observations of the dependent variable are available, in this case, the diameter at breast height and basal area of individual trees (Castedo et al., 2006).
Understanding forest diameter and basal area growth is essential for analyzing their dynamics and evaluating forestry alternatives (Donoso et al., 2018). Developing growth functions in mixed-species forests improves the accuracy of estimates and helps reduce inventory time and costs by measuring a subsample in the field (Guerra-De la Cruz et al., 2019).
Based on the above, the objective of this study was to fit growth equations to describe the diameter at breast height-age and basal area-age relationships using Mixed-effects models for Pinus durangensis Martínez in a forest in Madera, Chihuahua, Mexico.
Materials and Methods
Study area
The study was conducted in several temperate forests in the Cebadilla de Dolores ejido, located in the Sierra Madre Occidental mountain range, 56 km Southwest of Madera municipality, in the state of Chihuahua (Figure 1). The property covers 38 442.77 ha, of which 4 895.22 ha are forested land and 4 573.15 ha are used for timber harvesting. The climate is temperate subhumid with summer rainfall, and the altitude ranges from 1 175 to 2 510 m (García, 2004). The most important plant communities are made up of mixed forests with species of the Pinus and Quercus genera, in addition to some shrub species (Consultoría Ambiental Agropecuaria Forestal y Financiera [CAAFF], 2015).
Madera = Madera municipality.
Figure 1. Geographic location of the Cebadilla de Dolores ejido, Madera municipality, State of Chihuahua, Mexico.
Used Variables
The variables used were diameter at breast height and basal area, which were related to age. To estimate the diameter at breast height, the radii of each slice were measured with a Nobrand® ruler graduated in mm and multiplied by two (Equation 1). The basal areas were obtained from the diameter at breast height (Equation 2) (Buendía-Rodríguez et al., 2019).
Where:
= Diameter at breast height at age i (cm)
= Radius of the sections
= Basal area at age i (m2)
Data
The data were collected from 27 trees using selective and destructive sampling under different site conditions. Slices were obtained from each tree at 1.30 m from the base using a model MS 172 STIHL®, 3/8"P chainsaw and the tree number was labeled as control information (Klepac, 1983). In addition, the number of rings was counted from the center to the periphery, generating a database of diameter at breast height for all ages. Because stem analysis is a destructive sampling method, only 27 trees were considered due to their disposition for felling. However, by using the growth time series, enough information was obtained to model the growth of the diameter at breast height and the basal area.
Used Models
To describe the growth in diameter at breast height and basal area of Pinus durangensis, based on the growth rings of the 1.3 m log, a first fit was performed with seven growth models using the Generalized nonlinear modeling technique. The structure of the models used (equations 3 to 9) was adopted by Zeide (1993):
Where:
= Diameter at breast height or j basal area in the i tree
= Parameters to estimate
= Exponential function
= j age in the i tree
= j random error in the i tree
Since the ages of the trees undergoing trunk analysis ranged from 29 to 67 years, the diameters and basal areas of all trees were projected to the maximum recorded age, in order to obtain a symmetrical dataset and for the modeling to be based on the same range of the dependent variable as a balanced time series (Harvey & Shephard, 1993; Parzen, 1961). The projection of each of the aforementioned variables was carried out using the anamorphic and polymorphic models in algebraic differences and derivatives of the Chapman-Richards model (M1; Equation 3) (Richards, 1959), since in a preliminary analysis it was the most efficient, according to the fit statistics used (Equation 10 and 11):
Where:
= Parameters to estimate
= Exponential function
= Diameter at breast height or basal area in states 1 and 2
= Age in states 1 and 2
= Natural logarithm
Subsequently, the model fitted with the most efficient fit statistics of the ranking system (Kozak & Smith, 1993) was reparameterized with fixed and random effects, in order to represent the variability of growth in diameter at breast height and basal area of the tree through nonlinear models with mixed effects (Pinheiro & Bates, 2006; Pinheiro et al., 2009). Mixed models are recommended when there are correlated data as in this case.
Using the most efficient baseline model in a preliminary and comparative analysis (ranking system statistics), three nonlinear mixed-effects models (MEMs) were formulated based on the formulation of nonlinear models with fixed and random effects (Pinheiro et al., 2009). In the first model, only the random effect of the asymptote parameter “” was considered (M10; Equation 12), while in the second, the random effects of the asymptote parameter combined with the shape parameter “
,
” were considered (M11; Equation 13), and in the third, the random effects of the asymptote parameter combined with the shape parameter “
,
” (M12; Equation 14).
Where:
= Diameter at breast height or basal area j in the i tree
,
and
= Fixed parameters
= Exponential function
= Age j in the i tree
= Random parameters at the tree level
= Random error j in the i tree
The nonlinear mixed-effects models considered the error term according to Pinheiro and Bates (2006), and the unit of study was the tree. For each variable, the generic formulation was as follows (Equation 15) (Corral et al., 2019):
![]()
Where:
= Diameter at breast height or basal area j in the i tree
= 1×p covariate growth model function (Richards, 1959)
= Parameter vector for the i tree
= Error term, assumed to be independent and normally distributed with zero mean and σ2 variance
= r×1 parameter vector (r is the number of parameters in the model) specific to the i tree
= p×1 vector of fixed parameters
= Vector of random parameters associated with the i tree
= r×p and r×qdesign matrices for the fixed and random effects specific to the i tree, respectively
Model fitting
Parameter estimation for the base models was performed using generalized linear models in the "gnls" package of R software version 4.3.3 (R Core Team, 2024), while the MEMs were fitted using maximum likelihood in the "nlme" package of R software version 4.3.3 (R Core Team, 2024) using the algorithms developed by Pinheiro and Bates (2006). These procedures have been successfully studied in height-diameter models (Corral et al., 2019).
Fit statistics
The fitting performance of the models was measured using the Adjusted coefficient of determination (R2), the Fit index (FI), the Root mean square error (RMSE), the Standard error of the estimate (SEE), the Relative standard error of the estimate (RSEE), the Mean error (E), the Relative mean error (RE), the Akaike information criterion (AIC), the Bayesian information criterion (BIC), and the log likelihood (LogLik). These statistics have been successfully used in systems of taper and volume equations (Quiñonez-Barraza et al., 2019; Zhao et al., 2018). In addition, the base models were evaluated using a ranking system with the statistics proposed by Kozak and Smith (1993) and applied by Quiñonez-Barraza et al. (2019) in the evaluation of taper and volume equations.
Test normality of random effects
The normality of the random parameter estimates was assessed using Shapiro-Wilk normality tests (Hanusz et al., 2016; Shapiro & Wilk, 1965) at a significance level of 1 %. This is consistent with the theory of MEM (Pinheiro et al., 2009).
Results and Discussion
Growth trend projection
Data projections and symmetry of growth trends were performed using the base model M1 (Equation 3), with the anamorphic (M8; Equation 10) and polymorphic (M9; Equation 11) equations. Although both models showed acceptable projections, the polymorphic model (M9; Equation 11) generated better representations for the two variables studied. This model assumes that growth rates at different tree sites were different and is related to the bases of algebraic difference equations (Bailey & Clutter, 1974).
Figure 2 illustrates the trends for diameter at breast height and basal area. The generation of asymmetric datasets offered the possibility of modeling growth for a balanced and symmetric time series (Harvey & Shephard, 1993). The trends showed the growth rates in the study variables. The findings are similar to those reported by Tamarit-Urias et al. (2021) on diameter growth for Pinus montezumae Lamb. in forests of the state of Puebla, Mexico.
Figure 2. Projection of growth trajectories for diameter at breast height and basal area at age 67 using the anamorphic and polymorphic equations of the M1 model.
Diameter at breast height-age and basal area-age relationships
Table 1 lists the estimated parameters for the seven growth models fitted to the diameter at breast height-age and basal area-age relationships. It can be seen that all parameters were significantly different from zero at the 1 % significance level, for both diameter at breast height and basal area. Therefore, the models studied by Zeide (1993) and used in other research performed by Aguirre-Bravo and Smith (1986) and Quiñonez et al. (2015) satisfactorily modeled growth in diameter at breast height and basal area for Pinus durangensis.
Table 1. Parameter estimators for the models fitted for diameter at breast height and basal area.
Table 2 shows the fit statistics and the score obtained for each of the growth models in diameter at breast height and basal area in their basic form, in which the lowest score corresponds to the model with the best performance (Kozak & Smith, 1993). Based on the above, the Weibull model (M4; C=25) was the one with the best fitting in diameter, followed by the Chapman-Richards (M1; C=28), Hossfeld IV (M2; C=30), Logistic (M5; C=36), Gompertz (M3; C=40), Monomolecular (M6; C=59), and Korf (M7; C=61) models. Regardless of the better fit of the Weibull model, it was decided, given its flexibility and wide use, to apply the M1 model to represent the estimates of diameter at breast height.
Table 2. Fit statistics for diameter at breast height and basal area.
Diameter at breast height |
|||||||||||
M |
R2 |
FI |
RMSE |
SEE |
RSEE |
E |
RE |
AIC |
BIC |
LogLik |
C |
M1 |
0.80 |
0.80 |
3.83 |
3.83 |
22.17 |
-0.02 |
-0.11 |
6 617 |
6 637 |
-3 304 |
39 |
M2 |
0.80 |
0.80 |
3.83 |
3.84 |
22.14 |
-0.01 |
-0.06 |
6 613 |
6 633 |
-3 302 |
28 |
M3 |
0.80 |
0.80 |
3.83 |
3.84 |
22.16 |
-0.02 |
-0.12 |
6 616 |
6 636 |
-3 304 |
38 |
M4 |
0.80 |
0.80 |
3.82 |
3.83 |
22.12 |
0.009 |
0.05 |
6 611 |
6 631 |
-3 301 |
18 |
M5 |
0.80 |
0.80 |
3.84 |
3.83 |
22.21 |
-1x10-7 |
-7x10-7 |
6 621 |
6 641 |
-3 306 |
37 |
M6 |
0.79 |
0.79 |
3.93 |
3.93 |
22.75 |
-0.04 |
-0.28 |
6 678 |
6 698 |
-3 335 |
56 |
M7 |
0.78 |
0.78 |
4.03 |
4.03 |
23.32 |
-0.08 |
-0.51 |
6 738 |
6 758 |
-3 365 |
64 |
Basal area |
|||||||||||
M |
R2 |
FI |
RMSE |
SEE |
RSEE |
E |
RE |
AIC |
BIC |
LogLik |
C |
M1 |
0.71 |
0.71 |
0.01 |
0.01 |
43.66 |
-3x10-4 |
-0.10 |
-7 013 |
-6 992 |
3 510 |
24 |
M2 |
0.71 |
0.71 |
0.01 |
0.01 |
43.66 |
-3x10-4 |
-0.12 |
-7 013 |
-6 992 |
3 510 |
30 |
M3 |
0.71 |
0.71 |
0.01 |
0.01 |
43.67 |
-7x10-4 |
-0.24 |
-7 012 |
-6 992 |
3 510 |
38 |
M4 |
0.71 |
0.71 |
0.01 |
0.01 |
43.67 |
4x104 |
0.16 |
-7 012 |
-6 992 |
3 510 |
40 |
M5 |
0.70 |
0.71 |
0.01 |
0.01 |
43.85 |
2x10-9 |
1x10-5 |
-7 003 |
-6 982 |
3 505 |
42 |
M6 |
0.70 |
0.71 |
0.01 |
0.01 |
43.82 |
-1x10-4 |
-0.57 |
-7 004 |
-6 984 |
3 506 |
48 |
M7 |
0.70 |
0.70 |
0.01 |
0.01 |
44.31 |
-3x10-4 |
-1.23 |
-6 978 |
-6 957 |
3 493 |
58 |
M = Model; R2 = Adjusted coefficient of determination; FI = Fit index; RMSE = Root mean square error; SEE = Standard error of estimate; RSEE = Relative standard error of estimate; E = Absolute mean error; RE = Relative mean error; AIC = Akaike information criterion; BIC = Bayesian information criterion; LogLik = Logarithm of the likelihood; C = Model score.
On the other hand, the Chapman-Richards model (M1; C=24) had the best fit in basal area, followed by the Hossfeld IV (M2; C=30), Gompertz (M3; C=38), Weibull (M4; C=40), Logistic (M5; C=42), Monomolecular (M6; C=48), and Korf (M7; C=58) models. Model M1 was also used to represent basal area estimates.
The results of this study are similar to those reported by Hernández et al. (2020), who evaluated growth models for diameter at breast height, basal area, total height and stem volume using the Chapman-Richards, Schumacher, Hossfeld I and Weibull models for individual Pinus pseudostrobus Lindl. and Pinus oocarpa Schiede ex Schltdl trees in the state of Guerrero, Mexico. In their research, they identified the Chapman-Richards model as the best for estimating the basal area of Pinus oocarpa, with an R2 of 0.9154 and an RMSE of 0.0096 m2. In a similar way, Corral and Návar (2005) fitted growth and diameter at breast height increase equations for Pinus species in the El Salto region, Durango state, Mexico; they concluded that the Chapman-Richards model showed the greatest growth and increments at the tree group level and individually for Pinus durangensis, with an R2of 0.70 and RMSE of 3.29 cm.
On the other hand, Domínguez-Calleros et al. (2017) adjusted the Log Normal, Chapman-Richards, von Bertalanfy, Logistic and Gompertz growth models, also based on Zeide's (1993) formulations, with time-integrable equations. They determined that the Chapman-Richards model provided the best fit, although they concluded that further research is needed to review the limits within which the assumptions apply when fitting models to time series.
The results of the study described here also agree with those presented by Ramirez et al. (2014), who compared diameter at breast height growth models for Eucalyptus urophylla S. T. Blake, used data from 55 trees and concluded that the Chapman-Richards growth model had a lower standard error; based on the AIC, they determined that this model was the best.
Diameter at breast height-age and basal area-age relationships with mixed effects
Table 3 lists the parameter estimators and statistical properties for the three combinations of mixed-effects growth models fitted to the diameter at breast height-age and basal area-age relationships, based on the formulation of nonlinear mixed-effects models (Corral et al., 2019; Pinheiro et al., 2009). In this case, all estimated parameters were significantly different from zero at a significance level of 1 %. The parameters associated with the variance of the random effects and the error term for the combinations of mixed parameters and study variables are also shown.
Table 3. Parameter estimators for the mixed-effects models for diameter at breast height and basal area.
Table 4 summarizes the fitting statistics for the mixed-effects models for predicting growth in diameter and basal area. Overall, the three models fitted to the species showed satisfactory statistical goodness of fit, although the best explanation resulted from the fit of the M12 model (Equation 14) by associating the fixed parameters and
with the random parameters
and
additively (
) and (
) to predict growth in diameter at breast height and basal area as a function of age, respectively. These statistics demonstrated that the mixed-effects models are superior to models with only fixed effects (Corral et al., 2019). They are better because they consider variability within and between trees.
Table 4. Fitting statistics of the mixed-effects models for the diameter at breast height and basal area variables.
Diameter at breast height |
||||||||||
M |
R2 |
FI |
RMSE |
SEE |
RSEE |
E |
RE |
AIC |
BIC |
LogLik |
M10 |
0.96 |
0.96 |
1.71 |
1.72 |
8.02 |
-0.13 |
-0.02 |
7 265 |
7 292 |
-3 627 |
M11 |
0.97 |
0.97 |
1.36 |
1.38 |
6.45 |
-0.39 |
-0.08 |
4 879 |
4 918 |
-2 432 |
M12 |
0.99 |
0.99 |
0.91 |
0.93 |
4.32 |
0.01 |
0.07 |
5 204 |
5 243 |
-2 595 |
Basal area |
||||||||||
M |
R2 |
FI |
RMSE |
SEE |
RSEE |
E |
RE |
AIC |
BIC |
LogLik |
M10 |
0.96 |
0.96 |
0.005 |
0.005 |
12.26 |
0.002 |
-0.41 |
-13 644 |
-13 617 |
6 827 |
M11 |
0.98 |
0.98 |
0.003 |
0.003 |
8.15 |
0.002 |
-0.46 |
-16 610 |
-16 572 |
8 312 |
M12 |
0.99 |
0.99 |
0.002 |
0.002 |
5.73 |
0.001 |
0.27 |
-16 206 |
-16 167 |
8 110 |
R2 = Adjusted coefficient of determination; FI = Fit index; RMSE = Root mean square error; SEE = Standard error of estimate; RSEE = Relative standard error of estimate; E = Absolute mean error; RE = Relative mean error; AIC = Akaike information criterion; BIC = Bayesian information criterion; LogLik = Log likelihood.
Figure 3 shows the graphical behavior of estimates and observed data for diameter at breast height and basal area versus age for each combination of mixed-effects model fitting. By including random effects, variability in growth series at the individual tree level is assumed in all cases.

Figure 3. Behavior of diameter at breast height and basal area for each of the combinations of the mixed-effects model fit.
The results of the best fit for the diameter at breast height growth model coincide with those reported by Quiñonez-Barraza et al. (2015), who evaluated three Algebraic difference approach (ADA) and three Generalized algebraic difference (GADA) growth models to predict diameter at breast height growth as a function of age for six of the main commercial pine species in the state of Durango, with data from 44 302 growth cores collected from 15 609 forest inventory sites. Their results indicate that the Chapman-Richards polymorphic model (Richards, 1959) best predicted diameter growth for Pinus lumholtzii B. L. Rob. & Fernald with an R2 of 0.99 and an RMSE of 0.63 cm, while for Pinus ayacahuite C. Ehrenb. ex Schltdl., a Verhulst-Logistic GADA model best predicted diameter at breast height growth with an R2=0.99 and an RMSE of 0.64 cm.
Similar to the results of this study, Arteaga-Martínez (2000) identified the Chapman-Richards model as the best fitting, representing diameter growth in Pinus pseudostrobus with a fair statistical fit, but acceptable for practical use (R2=0.8870).
The results of this study were also similar to those of Hernández et al. (2020), who fitted four diameter at breast height growth models for three Pinus species in the state of Chihuahua, Mexico. They used a sample of 82 trees and determined that the fits of the four models (Chapman-Richards, Hossfeld I, Schumacher, and Weibull) tested for basal area growth were good, with coefficients of determination of 0.96 to 0.98, respectively, and RMSE of 0.004 to 0.006.
Calvillo et al. (2005) described, in a similar way, the growth and increase in diameter at breast height and basal area of Pinus herrerae Martínez through stem analyses of 34 trees collected in the Ciudad Hidalgo region, state of Michoacán, Mexico. They tested the Chapman-Richards, Gompertz, Logistic, Schumacher, Weibull, and Exponential growth models. They found that the Gompertz model was the best model to describe diameter growth (RMSE=26.8730 and R2=0.9697) and the Logistic model for basal area (RMSE=0.00037 and R2=0.9374).
The MEM formulations made it possible to identify the variability of diameter at breast height and basal area growth for the tree source in each symmetric time series, and variation was assumed through fixed and random effects for combinations of parameters in the base Chapman-Richards model (Richards, 1959), and associated with MEM theory (Corral et al., 2019).
Normality tests for random parameters
The normality tests performed on the random parameters of the diameter at breast height and basal area models, fitted as MEM, indicated that the random parameter representing the asymptote at the tree level for both study variables was normal, with values above the 1 % significance level. A value of 0.15 was calculated for the diameter at breast height model, while for the basal area model, it was 0.14 (Table 5). In both cases, the null hypothesis was not rejected, and it was assumed that the random parameters corresponding to for the 27 trees studied follow a theoretical normal distribution with a mean equal to zero and a known variance (Pinheiro et al., 2009). Furthermore, the time series of the stem analyses and the skewness in time allowed for satisfactory results.
Table 5. Shapiro-Wilks normality test for the diameter at breast height and basal area variables.
M = Model; Par. = Parameter; SD = Standard deviation; W = Shapiro-Wilk test; p-val = p-value.
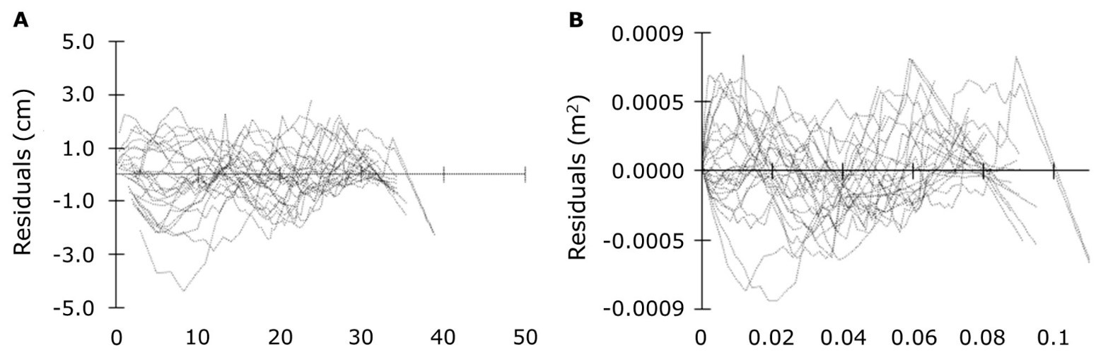
Graphical analysis of the residuals against predicted values corroborated the performance of the M12 model in predicting growth in diameter at breast height and basal area (Figure 4). The trend in the residuals was found to be substantially symmetrical around the zero line. These residuals are presented as time series for each tree, assuming sampling site variability.
A = Diameter at breast height; B = Basal area.
Figure 4. Residual values versus predicted values of diameter at breast height and basal area growth with the inclusion of mixed effects.
Conclusions
All diameter and basal area growth models tested in this study showed good well performance; however, the model that suggested the best fitting statistics was the Chapman-Richards model. In turn, mixed-effects models (MEMs) improved predictions of diameter at breast height and basal area, using fixed and random parameters to reveal information about variability among trees for symmetrical time series from stem analyses. Random effects allowed for an implicit assessment of the sum of environmental variables in which the study species thrives.
Acknowledgments
The lead author would like to thank the Cebadilla de Dolores ejido in Madera, Chihuahua, for their willingness to collect data.
Conflicts of Interest
The authors declare no conflicts of interest. Gerónimo Quiñones- Barraza declares not having participated in any of the phases of the editorial process of the manuscript.
Contribution by author
Rosa Isela Delgado Espinoza: data analysis, model fitting, manuscript preparation and review; Francisco Cruz Cobos, Gerónimo Quiñones Barraza, Francisco Javier Hernández and Juan Abel Najera Luna: data analysis, manuscript preparation and review.
References
Aguirre-Bravo, C., & Smith, F. W. (1986). Site index and volume equations for Pinus patula in Mexico. The Commonwealth Forestry Review, 65(1), 51-60. https://www.jstor.org/stable/42609964
Arteaga-Martínez, B. (2000). Evaluación dasométrica de plantaciones de cuatro especies de pinos en Ayotoxtla, Guerrero. Revista Chapingo. Serie Ciencias Forestales y del Ambiente, 6(2), 151-157. https://biblat.unam.mx/fr/revista/revista-chapingo-serie-ciencias-forestales-y-del-ambiente/articulo/evaluacion-dasometrica-de-plantaciones-de-cuatro-especies-de-pinos-en-ayotoxtla-guerrero
Bailey, R. L., & Clutter, J. L. (1974). Base-age invariant polymorphic site curves. Forest Science, 20(2), 155-159. https://academic.oup.com/forestscience/article/20/2/155/4675554
Buendía-Rodríguez, E., Treviño-Garza, E. J., Alanís-Rodríguez, E., Aguirre-Calderón, O. A., González-Tagle, M. A., y Pompa-García, M. (2019). Estructura de un ecosistema forestal y su relación con el contenido de carbono en el noreste de México. Revista Mexicana de Ciencias Forestales, 10(54), 4-25. https://doi.org/10.29298/rmcf.v10i54.149
Calvillo G., J. C., Cornejo O., E. H., Valencia M., S., y Flores L., C. (2005). Estudio epidométrico para Pinus herrerae Martínez en la región de Cd. Hidalgo, Michoacán, México. Foresta Veracruzana, 7(1), 5-10. http://www.redalyc.org/articulo.oa?id=49770102
Castedo D., F., Diéguez-Aranda, U., Barrio A., M., Sánchez R., M., & von Gadow, K. (2006). A generalized height–diameter model including random components for radiata pine plantations in northwestern Spain. Forest Ecology and Management, 229(1-3), 202-213. https://doi.org/10.1016/j.foreco.2006.04.028
Castillo-López, A., Santiago-García, W., Vargas-Larreta, B., Quiñonez-Barraza, G., Solis-Moreno, R., y Corral R., J. J. (2018). Modelos dinámicos de índice de sitio para cuatro especies de pino en Oaxaca. Revista Mexicana de Ciencias Forestales, 9(49), 4-27. https://doi.org/10.29298/rmcf.v9i49.185
Consultoría Ambiental Agropecuaria Forestal y Financiera. (2015). Programa de Manejo Forestal Sustentable para el Ejido Cebadilla de Dolores, Municipio de Madera, Chihuahua. Consultoría Ambiental Agropecuaria Forestal y Financiera.
Corral R., S., Silva A., A. M., y Quiñonez B., G. (2019). Modelo generalizado no-lineal altura-diámetro con efectos mixtos para siete especies de Pinus en Durango, México. Revista Mexicana de Ciencias Forestales, 10(53), 86-117. https://doi.org/10.29298/rmcf.v10i53.500
Corral R., S., y Návar C., J. de. J. (2005). Análisis del crecimiento e incremento de cinco pináceas de los bosques de Durango, México. Madera y Bosques, 11(1), 29-47. https://doi.org/10.21829/myb.2005.1111260
Domínguez-Calleros, P. A., Rodríguez-Flores, F. de J., Lizárraga-Mendiola, L., Jiménez-Gómez, M. A., y Navar, J. (2017). Aplicaciones y ejemplos de modelos de crecimiento diamétrico para árboles tropicales. Ecosistemas y Recursos Agropecuarios, 4(11), 265-274. https://doi.org/10.19136/era.a4n11.1060
Donoso, P. J., Promis, Á., y Soto, D. P. (Edits.). (2018). Silvicultura en bosques nativos. Experiencias en silvicultura y restauración en Chile, Argentina y el oeste de Estados Unidos. The Chile Initiative y OSU College of Forestry. https://repositorio.uchile.cl/handle/2250/174736
García, E. (2004). Modificaciones al sistema de clasificación climática de Köppen (para adaptarlo a las condiciones de la República Mexicana). Instituto de Geografía de la Universidad Nacional Autónoma de México. https://publicaciones.geografia.unam.mx/index.php/ig/catalog/book/83
García, M. del C., Chiapella, L., Rapelli, C., y Castellana, N. (2013). Estudio comparativo de métodos de estimación en un modelo no lineal mixto. En Universidad Nacional del Rosario (Comp.), Actas Jornadas Anuales, Décimoctavas Investigaciones en la Facultad de Ciencias Económicas y Estadística (pp. 4-14). Universidad Nacional del Rosario. http://hdl.handle.net/2133/7554
Guerra-De la Cruz, V., Islas-Gutiérrez, F., Flores-Ayala, E., Acosta-Mireles, M., Buendía-Rodríguez, E., Carrillo-Anzures, F., Tamarit-Urias, J. C., y Pineda-Ojeda, T. (2019). Modelos locales altura-diámetro para Pinus montezumae Lamb. y Pinus teocote Schiede ex Schltdl. en Nanacamilpa, Tlaxcala. Revista Mexicana de Ciencias Forestales, 10(51), 133-156. https://doi.org/10.29298/rmcf.v10i51.407
Hanusz, Z., Tarasinska, J., & Zielinski, W. (2016). Shapiro–Wilk test with known mean. REVSTAT–Statistical Journal, 14(1), 89-100. https://doi.org/10.57805/revstat.v14i1.180
Harvey, A. C., & Shephard, N. (1993). 10 Structural time series models. In G. S. Maddala, C. R. Rao & H. D. Vinod (Edits.) Handbook of Statistics Econometrics (Vol. 11, pp. 261-302). Elsevier. https://doi.org/10.1016/S0169-7161(05)80045-8
Hasenauer, H. (2006). Concepts within tree growth modeling. In H. Hasenauer (Ed.), Sustainable Forest Management: Growth Models for Europe (pp. 3-17). Springer. https://doi.org/10.1007/3-540-31304-4_1
Hernández, F. J., Bretado M., B. M., Márquez B., E., Nájera L., J. A., y Vargas L., B. (2021). Estimación del crecimiento de dos especies de Pinus de la Región Centro de Guerrero, México. Revista Mexicana de Ciencias Forestales, 12(68), 30-57. https://doi.org/10.29298/rmcf.v12i68.898
Hernández, F. J., Meraz A., J. C., Vargas L., B., & Nájera L., J. A. (2020). Diameter, height, basal area and volume growth of three pine species from Chihuahua, Mexico. Revista Mexicana de Ciencias Forestales, 11(60), 120-143. https://doi.org/10.29298/rmcf.v11i60.711
Klepac, D. (1983). Crecimiento e incremento de árboles y masas forestales. Universidad Autónoma Chapingo. https://dicifo.chapingo.mx/pdf/publicaciones/crecimiento_e_incremento_klepac_dusan.pdf
Kozak, A., & Smith, J. H. G. (1993). Standards for evaluating taper estimating systems. The Forestry Chronicle, 69(4), 438-444. https://doi.org/10.5558/tfc69438-4
Lindstrom, M. J., & Bates, D. M. (1990). Nonlinear mixed effects models for repeated measures data. Biometrics, 46(3), 673-687. https://doi.org/10.2307/2532087
Monserud, R. A. (2003). Evaluating forest models in a sustainable forest management context. Forest Biometry, Modelling and Information Sciences, 1, 35-47. https://citeseerx.ist.psu.edu/document?repid=rep1&type=pdf&doi=4c41ac5094a3b4aabc1f6c82ea6dbb489d47f2c5
Parzen, E. (1961). An Approach to time series analysis. The Annals of Mathematical Statistics, 32(4), 951-989. https://doi.org/10.1214/aoms/1177704840
Pinheiro, J. C., & Bates, D. M. (2006). Mixed-effects models in S and S-PLUS. Springer. https://doi.org/10.1007/b98882
Pinheiro, J., Bates, D., DebRoy, S., Sarkar, D., & R Core Team. (2009). Linear and nonlinear mixed effects models (version 3.1-96) [Software]. https://scholar.google.com/citations?view_op=view_citation&hl=en&user=z3KmA0sAAAAJ&citation_for_view=z3KmA0sAAAAJ:Kqc1aDSOPooC
Porté, A., & Bartelink, H. H. (2002). Modelling mixed forest growth: a review of models for forest management. Ecological Modelling, 150(1-2), 141-188. https://doi.org/10.1016/S0304-3800(01)00476-8
Quiñonez B., G., De los Santos P., H. M., y Álvarez G., J. G. (2015). Crecimiento en diámetro normal para Pinus en Durango. Revista Mexicana de Ciencias Forestales, 6(29), 108-125. https://doi.org/10.29298/rmcf.v6i29.220
Quiñonez-Barraza, G., De los Santos-Posadas, H. M., Cruz-Cobos, F., Velázquez-Martínez, A., Ángeles-Pérez, G., y Ramírez-Valverde, G. (2015). Índice de sitio con polimorfismo complejo para masas forestales de Durango, México. Agrociencia, 49(4), 439-454. https://agrociencia-colpos.org/index.php/agrociencia/article/view/1157
Quiñonez-Barraza, G., Zhao, D., & De los Santos-Posadas, H. M. (2019). Compatible taper and stem volume equations for five pine species in mixed-species forests in Mexico. Forest Science, 65(5), 602-613. https://doi.org/10.1093/forsci/fxz030
R Core Team. (2024). The R Project for Statistical Computing (version 4.3.3) [Software]. R Foundation for Statistical Computing. https://www.R-project.org
Ramirez M., C., Arizapana A., M. A., y Tomazello F., M. (2014). Comparación entre dos métodos de evaluación de crecimiento en diámetro de Eucalyptus urophylla en Itamarandiba (Minas Gerais–Brasil). Xilema, 27, 43-48. https://www.academia.edu/15517210/Revista_Xilema_Vol_27
Richards, F. J. (1959). A flexible growth function for empirical use. Journal of Experimental Botany, 10(2), 290-301. https://doi.org/10.1093/jxb/10.2.290
Shapiro, S. S., & Wilk, M. B. (1965). An analysis of variance test for normality (complete samples). Biometrika, 52(3-4), 591-611. https://doi.org/10.1093/biomet/52.3-4.591
Tamarit-Urias, J. C., Quiñonez-Barraza, G., García-Cuevas, X., Hernández-Ramos, J., y Monárrez-González, J. C. (2021). Ecuación dinámica para estimar el crecimiento en diámetro de Pinus montezumae Lamb. en Puebla, México. Madera y Bosques, 27(3), Artículo e2732180. https://doi.org/10.21829/myb.2021.2732180
Vanclay, J. K. (1994). Modelling forest growth and yield. Applications to mixed tropical forests. CAB International. https://www.researchgate.net/publication/228768502_Modelling_Forest_Growth_and_Yield_Applications_to_Mixed_Tropical_Forests
von Gadow, K., Sánchez O., S., y Aguirre C., O. A. (2004). Manejo forestal con bases científicas. Madera y Bosques, 10(2), 3-16. https://doi.org/10.21829/myb.2004.1021271
Zeide, B. (1993). Analysis of growth equations. Forest Science, 39(3), 594-616. https://doi.org/10.1093/forestscience/39.3.594
Zhao, D., Lynch, T. B., Westfall, J., Coulston, J., Kane, M., & Adams, D. E. (2018). Compatibility, development, and estimation of taper and volume equation systems. Forest Science, 65(1), 1-13. https://doi.org/10.1093/forsci/fxy036
Todos los textos publicados por la Revista Mexicana de Ciencias Forestales –sin excepción– se distribuyen amparados bajo la licencia Creative Commons 4.0 Atribución-No Comercial (CC BY-NC 4.0 Internacional), que permite a terceros utilizar lo publicado siempre que mencionen la autoría del trabajo y a la primera publicación en esta revista.