Revista Mexicana de Ciencias Forestales Vol. 16 (89)
Mayo - Junio (2025)
DOI: https://doi.org/10.29298/rmcf.v16i89.1518 Artículo de investigación Crecimiento en diámetro normal y área basal para Pinus durangensis Martínez en Madera, Chihuahua Diameter at breast height and basal area growth for Pinus durangensis Martínez in Madera, Chihuahua State
Rosa Isela Delgado Espinoza1, Francisco Cruz Cobos1, Gerónimo Quiñones Barraza2*, Francisco Javier Hernández1, Juan Abel Najera Luna1 |
Fecha de recepción/Reception date: 25 de septiembre de 2024
Fecha de aceptación/Acceptance date: 18 de febrero de 2025.
_______________________________
1Instituto Tecnológico de El Salto. México.
2Instituto Nacional de Investigaciones Forestales, Agrícolas y Pecuarias, Centro de Investigación Regional Norte Centro-Campo Experimental Valle del Guadiana. México.
*Autor por correspondencia; correo-e: quinonez.geronimo@inifap.gob.mx
*Corresponding author; e-mail: quinonez.geronimo@inifap.gob.mx
Resumen
Los modelos de crecimiento son una herramienta eficiente que ayuda a planear la aplicación de los tratamientos silvícolas en el manejo de bosques. El objetivo del presente estudio fue ajustar ecuaciones con efectos fijos y aleatorios para predecir el crecimiento en diámetro normal y área basal de Pinus durangensis en el ejido Cebadilla de Dolores, municipio Madera, Chihuahua, México. Para ello se utilizaron datos de análisis troncales de 27 árboles medidos en 2021, de los que se obtuvieron rodajas a 1.30 m de altura y medidas comerciales. Se ajustaron siete modelos de crecimiento, y se seleccionó el mejor mediante 10 estadísticos de ajuste (e. g., R2, RMSE, AIC); además, se siguió el procedimiento de modelos de efectos mixtos con parámetros fijos y aleatorios a nivel de árbol individual. El uso de modelos de efectos mixtos proporcionó estimaciones que permitieron modelar la variabilidad de los diámetros y el área basal con respecto a la edad. Los resultados indican que la edad explicó más de 98 % de la variabilidad del diámetro normal y del área basal, con RMSE de 0.91 cm y 0.002 m2, respectivamente. El modelo Chapman-Richards fue el más efectivo para modelar el crecimiento de las variables estudiadas, con estadísticas de ajuste muy eficientes. Además, los efectos mixtos mejoraron las predicciones a nivel de árbol individual, al incorporar parámetros fijos y aleatorios.
Palabras clave: Análisis troncales, Chapman-Richards, crecimiento, diferencia algebraica, modelos de efectos mixtos, parámetros fijos y aleatorios.
Abstract
Growth models are an efficient tool that helps to plan the application of silvicultural treatments in forest management. This study focused on fitting equations with fixed and random effects to predict the growth in diameter at breast height and basal area of Pinus durangensis in a forest community called Cebadilla de Dolores ejido, Madera municipality, state of Chihuahua, Mexico. Data from stem analysis of 27 trees were used (measured in 2021), obtaining slices at 1.30 m height and commercial measurements. Seven growth models were fitted, selecting the best one using 10 fitting statistics (e. g., R2, RMSE, AIC); in addition, the mixed-effects model procedure with fixed and random parameters at the individual tree level was used. The use of mixed-effects models provided estimates that allowed modeling the variability of diameters and basal area in terms of age. The results showed that age explained more than 98 % of the variability in diameter and basal area, with RMSE of 0.91 cm and 0.002 m2, respectively. The Chapman-Richards model was the most effective for modeling the growth of the variables studied, with very efficient fitting statistics. In addition, mixed effects improved predictions at the individual tree level, incorporating fixed and random parameters.
Key words: Stem analysis, Chapman-Richards, growth, algebraic difference approach, mixed-effects models, fixed and random parameters.
Introducción
Los modelos de crecimiento facilitan la toma de decisiones y la planificación de tratamientos silvícolas en el manejo forestal (von Gadow et al., 2004). El crecimiento puede ser medido a nivel de árbol individual o a nivel de rodal, mediante el diámetro, área basal, altura, volumen y biomasa, calidad de estación e indicadores de densidad y competencia (Monserud, 2003). La información del crecimiento es importante para estimar la edad de rotación y la intensidad de los tratamientos según el potencial productivo del bosque (Hasenauer, 2006).
A través del tiempo se han desarrollado diversos modelos de crecimiento forestal, que incluyen los de árbol individual y los de rodal, estos últimos son los más adecuados para rodales coetáneos y regulares, ya que son difíciles de aplicar en rodales complejos por la diversidad de especies, edades, alturas y diámetros (Porté & Bartelink, 2002; Vanclay, 1994). Los modelos de árbol individual son aplicables tanto a bosques puros como a mezclados; la predicción del crecimiento a nivel rodal se facilita al sumar los crecimientos individuales de cada especie (Hernández et al., 2021).
Independientemente de modelar el crecimiento a nivel de árbol individual o nivel de rodal, se ha buscado incrementar la precisión en el ajuste de los modelos al aplicar diversas técnicas tales como Diferencia Algebraica (ADA), Diferencia Algebraica Generalizada (GADA) y Modelos de Efectos Mixtos (MEM) (Bailey & Clutter, 1974; Castillo-López et al., 2018; Corral et al., 2019).
Los modelos de efectos mixtos permiten analizar datos con mediciones repetidas, en los que se consideran los dos tipos de variabilidad existente en los datos longitudinales y la relación no lineal entre la variable respuesta y el tiempo. Son flexibles para representar heterogeneidad y manejar datos incompletos y no balanceados que son comunes en los datos longitudinales y en análisis troncales de bosques mezclados (García et al., 2013), además proporcionan estimaciones consistentes de parámetros fijos y sus errores estándar (Castedo et al., 2006); así como para la definición de los parámetros aleatorios a nivel de árbol, de rodal, o de región ecológica.
La inclusión de parámetros aleatorios, los cuales son específicos para cada unidad de muestreo, permite modelar la variabilidad de un fenómeno dado entre diferentes localidades, luego de definir una estructura funcional fija común (Lindstrom & Bates, 1990). Además, pueden mejorar las predicciones obtenidas si es posible estimar el valor de los parámetros aleatorios para una ubicación que no ha sido muestreada, a través de un proceso de calibración de parámetros aleatorios. Este enfoque se conoce como localización o calibración y se aplica cuando se dispone de observaciones complementarias de la variable dependiente, en este caso el diámetro normal y el área basal de árboles individuales (Castedo et al., 2006).
La comprensión del crecimiento en diámetro y área basal de los bosques es esencial para analizar su dinámica y evaluar alternativas silviculturales (Donoso et al., 2018). El desarrollo de funciones de crecimiento en bosques mixtos mejora la precisión de las estimaciones y favorece la reducción de tiempo y costos en inventarios, al medir una submuestra en campo (Guerra-De la Cruz et al., 2019).
Con base en lo anterior, el objetivo del presente estudio fue ajustar ecuaciones de crecimiento para describir la relación diámetro normal-edad y área basal-edad mediante modelos de efectos mixtos para Pinus durangensis Martínez, en un bosque del municipio Madera, Chihuahua, México.
Materiales y Métodos
Área de estudio
El estudio se realizó en varios bosques templados del ejido Cebadilla de Dolores, ubicado en la cordillera de la Sierra Madre Occidental, 56 km al suroeste del municipio Madera, en el estado de Chihuahua (Figura 1). El predio tiene una superficie de 38 442.77 ha, de las cuales 4 895.22 son terrenos forestales y 4 573.15 ha se destinan al aprovechamiento maderable. El clima corresponde al templado subhúmedo con lluvias en verano, la altitud fluctúa de 1 175 a 2 510 m (García, 2004). Las comunidades vegetales más importantes están constituidas por bosques mezclados con especies del género Pinus y Quercus, además de algunas especies arbustivas (Consultoría Ambiental Agropecuaria Forestal y Financiera [CAAFF], 2015).

Figura 1. Localización geográfica del ejido Cebadilla de Dolores, Madera, Chihuahua, México.
Variables utilizadas
Las variables utilizadas fueron el diámetro normal y el área basal que se relacionaron con la edad. Para estimar el diámetro normal se midieron los radios en cada rodaja con una regla Nobrand® graduada en mm y se multiplicaron por dos (Ecuación 1). A partir de los diámetros normales, se obtuvieron las áreas basales (Ecuación 2) (Buendía-Rodríguez et al., 2019).
Donde:
= Diámetro normal a la edad i (cm)
= Radio de las secciones
= Área basal a la edad i (m2)
Datos
Los datos se tomaron de 27 árboles de Pinus durangensis mediante un muestreo selectivo y destructivo en diferentes condiciones de sitio. Por árbol se obtuvieron rodajas a 1.30 m de la base con una motosierra STIHL® MS 172, 3/8"P y el número de árbol se etiquetó como información de control (Klepac, 1983). Además, se contabilizó el número de anillos desde el centro hacia la periferia; con la información se generó una base de datos de diámetros normales para todas las edades. Debido a que los análisis troncales son un método de muestreo destructivo, solo se consideraron 27 árboles por la disposición para su derribo. Sin embargo, al utilizar las series de tiempo de crecimiento, se logró tener información suficiente para modelar el crecimiento del diámetro normal y el área basal.
Modelos utilizados
Para describir el crecimiento en diámetro normal y área basal de Pinus durangensis, basado en los anillos de crecimiento de la rodaja de 1.3 m, se realizó un primer ajuste con siete modelos de crecimiento mediante la técnica de Modelos No Lineales Generalizados. La estructura de los modelos utilizados (ecuaciones 3 a 9) fue empleada por Zeide (1993):

Donde:
= Diámetro normal o área basal j en el árbol i
= Parámetros para estimar
= Función exponencial
= Edad j en el árbol i
= Error aleatorio j en el árbol i
Dado que las edades de los árboles a los cuales se les realizaron los análisis troncales variaron entre 29 y 67 años, los diámetros y áreas basales de todos los árboles se proyectaron a la edad máxima registrada, con la finalidad de obtener una base de datos simétrica y que la modelación se basara en el mismo intervalo de la variable dependiente como una serie de tiempo equilibrada (Harvey & Shephard, 1993; Parzen, 1961). La proyección de cada una de las variables mencionadas se hizo mediante los modelos anamórfico y polimórfico en diferencias algebraicas y derivados del modelo de Chapman-Richards (M1; Ecuación 3) (Richards, 1959), ya que en un análisis preliminar fue el más eficiente, de acuerdo con los estadísticos de ajuste utilizados (Ecuación 10 y 11):
Donde:
= Parámetros para estimar
= Función exponencial
= Diámetro normal o área basal en el estado 1 y 2
= Edad en el estado 1 y 2
= Logaritmo natural
Posteriormente, el modelo ajustado con el rendimiento más eficiente del sistema de jerarquización (Kozak & Smith, 1993) fue reparametrizado con efectos fijos y aleatorios, esto con el fin de representar la variabilidad del crecimiento en diámetro normal y área basal del árbol a través de modelos no lineales con efectos mixtos (Pinheiro & Bates, 2006; Pinheiro et al., 2009). Los modelos mixtos se recomiendan cuando hay datos correlacionados como en este caso.
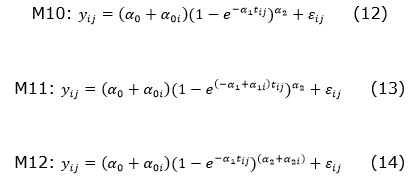
Con el modelo base más eficiente en un análisis preliminar y comparativo (estadísticos del sistema de jerarquización), se formularon tres modelos no lineales con efectos mixtos (MEM) basados en la formulación de modelos no lineales con efectos fijos y aleatorios (Pinheiro et al., 2009). En el primer modelo solo se consideró el efecto aleatorio del parámetro de la asíntota “” (M10; Ecuación 12), mientras que en el segundo se incluyeron los efectos aleatorios del parámetro de la asíntota combinado con el parámetro de escala “
,
” (M11; Ecuación 13) y en el tercero, los efectos aleatorios del parámetro de la asíntota combinado con el parámetro de forma “
,
” (M12; Ecuación 14).
Donde:
= Diámetro normal o área basal j en el árbol i
= Parámetros fijos
= Función exponencial
= Edad j en el árbol i
= Parámetros aleatorios a nivel árbol
= Error aleatorio j en el árbol i
Los modelos no lineales de efectos mixtos consideraron el término del error de acuerdo con Pinheiro y Bates (2006) y la unidad de estudio fue el árbol. Para cada variable, la formulación genérica fue la siguiente (Ecuación 15) (Corral et al., 2019):
Donde:
= Diámetro normal o área basal j en el árbol i
= Función del modelo de crecimiento (Richards, 1959) de 1×p covariables
= Vector de parámetros para el árbol i
= Término del error, el cual se asume independiente y normalmente distribuido con media cero y varianza σ2
= Vector de parámetros r×1 (r es el número de parámetros en el modelo) específico para el árbol i
= Vector p×1 de los parámetros fijos
= Vector de parámetros aleatorios asociados con el árbol i
= Matrices de diseño r×p y r×q para los efectos fijos y aleatorios específicos para el árbol i, respectivamente
Ajuste de modelos
La estimación de los parámetros para los modelos base se realizó a través de modelos lineales generalizados en el paquete “gnls” del software R versión 4.3.3 (R Core Team, 2024), mientras que los MEM fueron ajustados a través de máxima verosimilitud en el paquete “nlme” del software R versión 4.3.3 (R Core Team, 2024) bajo los algoritmos desarrollados por Pinheiro y Bates (2006). Estos procedimientos han sido estudiados con éxito en modelos de altura-diámetro (Corral et al., 2019).
Estadísticos de ajuste
La bondad de ajuste de los modelos se midió con el Coeficiente de Determinación ajustado (R2), el Índice de Ajuste (FI), la Raíz del Error Cuadrático Medio (RMSE), el Error Estándar de la Estimación (SEE), el Error Estándar Relativo de la Estimación (RSEE), el Error Promedio (E), el Error Promedio Relativo (RE), el Criterio de Información de Akaike (AIC), el Criterio de Información Bayesiano (BIC) y el logaritmo de la verosimilitud (LogLik). Estos estadísticos han sido utilizados en sistemas de ecuaciones de ahusamiento y volumen de manera satisfactoria (Quiñonez-Barraza et al., 2019; Zhao et al., 2018). Además, los modelos base fueron evaluados con un sistema de jerarquización con los estadísticos propuestos por Kozak y Smith (1993) y aplicado por Quiñonez-Barraza et al. (2019) en la evaluación de ecuaciones de ahusamiento y volumen.
Normalidad de los efectos aleatorios
La normalidad de los estimadores de los parámetros aleatorios fue evaluada con la prueba de normalidad de Shapiro-Wilk (Hanusz et al., 2016; Shapiro & Wilk, 1965) a un nivel de significancia de 1 %. Esto se relaciona con la teoría de MEM (Pinheiro et al., 2009).
Resultados y Discusión
Proyección de tendencias de crecimiento
La proyección de los datos y la simetría de las tendencias de crecimiento se realizó con el modelo base M1 (Ecuación 3), las ecuaciones anamórfica (M8; Ecuación 10) y polimórfica (M9; Ecuación 11); aunque ambos modelos mostraron proyecciones aceptables, el modelo polimórfico (M9; Ecuación 11) generó mejores representaciones para las dos variables estudiadas, el cual asume que las tasas de crecimiento en los diferentes sitios donde se desarrollaron los árboles fueron diferentes, y se relaciona con las bases de las ecuaciones en diferencia algebraica (Bailey & Clutter, 1974).
En la Figura 2 se ilustran las tendencias para el diámetro normal y el área basal. La generación de bases de datos asimétricas ofreció la posibilidad de modelar el crecimiento para una serie de tiempo equilibrada y simétrica (Harvey & Shephard, 1993). Las tendencias evidenciaron los ritmos de crecimiento en las variables de estudio. Los hallazgos son similares a los referidos por Tamarit-Urias et al. (2021) en el crecimiento en diámetro para Pinus montezumae Lamb. en bosques del estado de Puebla, México.
Figura 2. Proyección de las trayectorias de crecimiento del diámetro normal y área basal a los 67 años con la ecuación anamórfica y polimórfica del modelo M1.
Relación diámetro normal-edad y área basal-edad
En el Cuadro 1 se ordenan los estimadores de los parámetros para los siete modelos de crecimiento que se ajustaron a la relación diámetro normal-edad y área basal-edad. Se observa que todos los parámetros fueron significativamente diferentes de cero a un nivel de significancia de 1 %, tanto para el diámetro normal como para el área basal. Por ello, los modelos estudiados por Zeide (1993) y utilizados en otras investigaciones (Aguirre-Bravo y Smith, 1986; Quiñonez et al., 2015) permitieron modelar el crecimiento del diámetro normal y el área basal de manera satisfactoria para Pinus durangensis.
Cuadro 1. Estimadores de los parámetros para los modelos ajustados para el diámetro normal y área basal.
En el Cuadro 2 se muestran los estadísticos de ajuste y la calificación que obtuvo cada uno de los modelos de crecimiento en diámetro normal y área basal en su forma básica, en la cual el menor valor de calificación corresponde al modelo con mejor ajuste (Kozak & Smith, 1993). Con base en lo anterior, el modelo de Weibull (M4; C=25) fue el de mejor ajuste en diámetro, seguido de los modelos de Chapman-Richards (M1; C=28), Hossfeld IV (M2; C=30), Logístico (M5; C=36), Gompertz (M3; C=40), Monomolecular (M6; C=59), y Korf (M7; C=61). Independientemente del mejor ajuste del modelo de Weibull, se decidió, dada la flexibilidad y amplio uso, aplicar el modelo M1 para representar las estimaciones del diámetro normal.
Cuadro 2. Estadísticos de ajuste para el diámetro normal y área basal.
Diámetro normal |
|||||||||||
M |
R2 |
FI |
RMSE |
SEE |
RSEE |
E |
RE |
AIC |
BIC |
LogLik |
C |
M1 |
0.80 |
0.80 |
3.83 |
3.83 |
22.17 |
-0.02 |
-0.11 |
6 617 |
6 637 |
-3 304 |
39 |
M2 |
0.80 |
0.80 |
3.83 |
3.84 |
22.14 |
-0.01 |
-0.06 |
6 613 |
6 633 |
-3 302 |
28 |
M3 |
0.80 |
0.80 |
3.83 |
3.84 |
22.16 |
-0.02 |
-0.12 |
6 616 |
6 636 |
-3 304 |
38 |
M4 |
0.80 |
0.80 |
3.82 |
3.83 |
22.12 |
0.009 |
0.05 |
6 611 |
6 631 |
-3 301 |
18 |
M5 |
0.80 |
0.80 |
3.84 |
3.83 |
22.21 |
-1x10-7 |
-7x10-7 |
6 621 |
6 641 |
-3 306 |
37 |
M6 |
0.79 |
0.79 |
3.93 |
3.93 |
22.75 |
-0.04 |
-0.28 |
6 678 |
6 698 |
-3 335 |
56 |
M7 |
0.78 |
0.78 |
4.03 |
4.03 |
23.32 |
-0.08 |
-0.51 |
6 738 |
6 758 |
-3 365 |
64 |
Área basal |
|||||||||||
M |
R2 |
FI |
RMSE |
SEE |
RSEE |
E |
RE |
AIC |
BIC |
LogLik |
C |
M1 |
0.71 |
0.71 |
0.01 |
0.01 |
43.66 |
-3x10-4 |
-0.10 |
-7 013 |
-6 992 |
3 510 |
24 |
M2 |
0.71 |
0.71 |
0.01 |
0.01 |
43.66 |
-3x10-4 |
-0.12 |
-7 013 |
-6 992 |
3 510 |
30 |
M3 |
0.71 |
0.71 |
0.01 |
0.01 |
43.67 |
-7x10-4 |
-0.24 |
-7 012 |
-6 992 |
3 510 |
38 |
M4 |
0.71 |
0.71 |
0.01 |
0.01 |
43.67 |
4x104 |
0.16 |
-7 012 |
-6 992 |
3 510 |
40 |
M5 |
0.70 |
0.71 |
0.01 |
0.01 |
43.85 |
2x10-9 |
1x10-5 |
-7 003 |
-6 982 |
3 505 |
42 |
M6 |
0.70 |
0.71 |
0.01 |
0.01 |
43.82 |
-1x10-4 |
-0.57 |
-7 004 |
-6 984 |
3 506 |
48 |
M7 |
0.70 |
0.70 |
0.01 |
0.01 |
44.31 |
-3x10-4 |
-1.23 |
-6 978 |
-6 957 |
3 493 |
58 |
M = Modelo; R2 = Coeficiente de determinación ajustado; FI = Índice de ajuste; RMSE = Raíz del cuadrado medio del error; SEE = Error estándar; RSEE = Error relativo; E = Sesgo promedio absoluto; RE = Sesgo en porcentaje; AIC = Criterio de Información de Akaike; BIC = Criterio de Información Bayesiano; LogLik = Logaritmo de la verosimilitud; C = Calificación del modelo.
Por otro lado, el modelo de Chapman-Richards (M1; C=24) fue el que tuvo el mejor ajuste en área basal, seguido de los modelos de Hossfeld IV (M2; C=30), Gompertz (M3; C=38), Weibull (M4; C=40), Logístico (M5; C=42), Monomolecular (M6; C=48), y Korf (M7; C=58). También, se optó por utilizar el modelo M1 para representar las estimaciones del área basal.
Los resultados de este estudio son semejantes a los registrados por Hernández et al. (2020), quienes evaluaron los modelos de crecimiento en diámetro normal, área basal, altura total y volumen fustal con los modelos de Chapman-Richards, Schumacher, Hossfeld I y Weibull para árboles individuales de Pinus pseudostrobus Lindl. y Pinus oocarpa Schiede ex Schltdl.en Guerrero y Estado de México. En su investigación definieron al modelo de Chapman-Richards como el mejor para estimar el área basal de Pinus oocarpa con una R2 de 0.9154 y una RMSE de 0.0096 m2. De igual forma, Corral y Návar (2005) ajustaron ecuaciones de crecimiento e incremento en diámetro normal para especies de Pinus en la región de El Salto, estado de Durango, México; concluyeron que el modelo de Chapman-Richards presentó los crecimientos e incrementos mayores a nivel grupo de árboles e individualmente para Pinus durangensis, con una R2 de 0.70 y RMSE de 3.29 cm.
Domínguez-Calleros et al. (2017) ajustaron los modelos de crecimiento Log Normal, Chapman-Richards, von Bertalanfy, Logístico y Gompertz, también basados en las formulaciones de Zeide (1993) con ecuaciones integrables en tiempo, y determinaron que el mejor ajuste fue el de Chapman-Richards; aunque concluyeron que es necesario realizar nuevas investigaciones para revisar los límites en los que se aplican las suposiciones con el ajuste de los modelos a series de tiempo.
Los resultados del estudio aquí descrito también concuerdan con los presentados por Ramirez et al. (2014), quienes compararon modelos de crecimiento en diámetro normal para Eucalyptus urophylla S. T. Blake, usaron datos de 55 árboles y concluyeron que el modelo de crecimiento de Chapman-Richards presentó un menor error estándar, con base en el AIC determinaron que este modelo fue el mejor.
Relación diámetro normal-edad y área basal-edad con efectos mixtos
En el Cuadro 3 se listan los estimadores de los parámetros y las propiedades estadísticas para las tres combinaciones de modelos de crecimiento con efectos mixtos ajustados a la relación diámetro normal-edad y área basal-edad, con base en la formulación de modelos no lineales con efectos mixtos (Corral et al., 2019; Pinheiro et al., 2009). Para este caso, todos los estimadores de los parámetros fueron significativamente diferentes de cero a un nivel de significancia de 1 %. También, se muestran los parámetros asociados a la varianza de los efectos aleatorios y del término del error para las combinaciones de parámetros mixtos y variables de estudio.
Cuadro 3. Estimadores de los parámetros para los modelos con efectos mixtos para el diámetro normal y área basal.
En el Cuadro 4 se resumen los valores de los estadísticos de ajuste de los MEM para predecir el crecimiento en diámetro y área basal. En general, los tres modelos ajustados para la especie de interés mostraron bondad estadística satisfactoria, aunque la mejor explicación resultó del ajuste del modelo M12 (Ecuación 14) al asociar los parámetros fijos y
con los aleatorios
y
de forma aditiva (
+
) y (
+
) para predecir el crecimiento en diámetro normal y área basal en función de la edad, respectivamente. Estos estadísticos demostraron que los MEM son superiores a los modelos con solo efectos fijos (Corral et al., 2019). Y son mejores porque consideran la variabilidad dentro de árboles y entre árboles.
Cuadro 4. Estadísticos de ajuste de los modelos con efectos mixtos para las variables diámetro normal y área basal.
Diámetro normal |
||||||||||
M |
R2 |
FI |
RMSE |
SEE |
RSEE |
E |
RE |
AIC |
BIC |
LogLik |
M10 |
0.96 |
0.96 |
1.71 |
1.72 |
8.02 |
-0.13 |
-0.02 |
7 265 |
7 292 |
-3 627 |
M11 |
0.97 |
0.97 |
1.36 |
1.38 |
6.45 |
-0.39 |
-0.08 |
4 879 |
4 918 |
-2 432 |
M12 |
0.99 |
0.99 |
0.91 |
0.93 |
4.32 |
0.01 |
0.07 |
5 204 |
5 243 |
-2 595 |
Área basal |
||||||||||
M |
R2 |
FI |
RMSE |
SEE |
RSEE |
E |
RE |
AIC |
BIC |
LogLik |
M10 |
0.96 |
0.96 |
0.005 |
0.005 |
12.26 |
0.002 |
-0.41 |
-13 644 |
-13 617 |
6 827 |
M11 |
0.98 |
0.98 |
0.003 |
0.003 |
8.15 |
0.002 |
-0.46 |
-16 610 |
-16 572 |
8 312 |
M12 |
0.99 |
0.99 |
0.002 |
0.002 |
5.73 |
0.001 |
0.27 |
-16 206 |
-16 167 |
8 110 |
R2 = Coeficiente de determinación ajustado; FI = Índice de ajuste; RMSE = Raíz del cuadrado medio del error; SEE = Error estándar; RSEE = Error relativo; E = Sesgo promedio absoluto; RE = Error en porcentaje; AIC = Criterio de información de Akaike; BIC = Criterio de información Bayesiano; LogLik = Logaritmo de la verosimilitud.
En la Figura 3 se observa el comportamiento gráfico de las estimaciones y los datos observados del diámetro normal y el área basal contra la edad para cada una de las combinaciones del ajuste de modelos de efectos mixtos. Con la inclusión de efectos aleatorios, en todos los casos se asume la variabilidad en las series de crecimiento a nivel árbol individual.
Figura 3. Comportamiento del diámetro normal y área basal para cada una de las combinaciones del ajuste de modelos de efectos mixtos.
Los resultados del mejor ajuste para el modelo de crecimiento en diámetro normal coinciden con los referidos por Quiñonez-Barraza et al. (2015), quienes evaluaron tres modelos de crecimiento en Diferencia Algebraica (ADA) y tres en Diferencia Algebraica Generalizada (GADA) para predecir el crecimiento en diámetro normal, en función de la edad para seis de las principales especies comerciales de pino en Durango, con información de 44 302 virutas de crecimiento, recolectadas en 15 609 sitios del inventario forestal. Sus resultados indican que el modelo polimórfico de Chapman-Richards (Richards, 1959) predice mejor el crecimiento en diámetro de Pinus lumholtzii B. L. Rob. & Fernald con una R2 de 0.99 y una RMSE de 0.63 cm, mientras que para Pinus ayacahuite C. Ehrenb. ex Schltdl., un modelo GADA basado en Verhulst-Logística predice mejor el crecimiento en diámetro normal con una R2 de 0.99 y una RMSE de 0.64 cm.
De forma semejante a los resultados de este estudio, Arteaga-Martínez (2000) identificó que el modelo de Chapman-Richards fue el que mejor se ajustó y representó el crecimiento en diámetro de Pinus pseudostrobus, con un ajuste estadístico regular, pero aceptable para su utilización práctica (R2=0.8870).
Los resultados de este estudio también fueron similares a los de Hernández et al. (2020), quienes ajustaron cuatro modelos de crecimiento en diámetro normal para tres especies de Pinus en Chihuahua, México. Para ello, usaron una muestra de 82 árboles, y determinaron que los ajustes de los cuatro modelos (Chapman-Richards, Hossfeld I, Schumacher y Weibull) probados para el crecimiento en área basal fueron buenos, con coeficientes de determinación de 0.96 a 0.98, respectivamente y la RMSE de 0.004 a 0.006.
Calvillo et al. (2005) describieron el crecimiento e incremento en diámetro normal y área basal de Pinus herrerae Martínez a través de análisis troncales de 34 árboles recolectados en la región de Ciudad Hidalgo, Michoacán, México; probaron los modelos de crecimiento de Chapman-Richards, Gompertz, Logístico, Schumacher, Weibull y Exponencial; definieron que el mejor modelo para describir el crecimiento en diámetro fue el de Gompertz (RMSE=26.8730 y R2=0.9697) y para el área basal el Logístico (RMSE=0.00037 y R2=0.9374).
Las formulaciones de MEM hicieron posible identificar la variabilidad del crecimiento de diámetro normal y área basal para la fuente de árbol de cada serie de tiempo simétrica y se asumió la variación por medio de efectos fijos y aleatorios para las combinaciones de los parámetros del modelo base de Chapman-Richards (Richards, 1959), y asociado a la teoría de MEM (Corral et al., 2019).
Pruebas de normalidad a los parámetros aleatorios
Las pruebas de normalidad efectuadas a los parámetros aleatorios de los modelos de diámetro normal y área basal, ajustados como MEM, indicaron que el parámetro aleatorio que representa a la asíntota a nivel árbol para las dos variables de estudio fue normal, con valores superiores al nivel de significancia de 1 %. Para el modelo del diámetro normal se calculó un valor de 0.15, mientras que para el de área basal fue de 0.14 (Cuadro 5). En ambos casos no se rechaza la hipótesis nula y se asume que los parámetros aleatorios correspondientes a para los 27 árboles estudiados siguen una distribución normal teórica con media igual a cero y varianza conocida (Pinheiro et al., 2009). Además, las series de tiempo de los análisis troncales y la asimetría en tiempo permitieron la obtención de resultados satisfactorios.
Cuadro 5. Prueba de normalidad de Shapiro-Wilks para las variables diámetro normal y área basal.
M = Modelo; Par. = Parámetro; SD = Desviación estándar; W = Prueba de Shapiro-Wilk; p-val = Valor de p.
El análisis gráfico de los residuales contra los valores predichos corroboró el nivel de desempeño del modelo M12 para predecir el crecimiento en diámetro normal y área basal (Figura 4). La tendencia de los residuales se reconoció sensiblemente simétrica alrededor de la línea del cero. Tales residuales se presentan como series de tiempo para cada árbol y se asume la variabilidad del sitio de muestreo.
A = Diámetro normal; B = Área basal.
Figura 4. Valores residuales frente a valores predichos de crecimiento del diámetro normal y del área basal con la inclusión de efectos mixtos.
Conclusiones
Todos los modelos de crecimiento en diámetro y área basal probados en este estudio presentan buenos ajustes; sin embargo, el modelo que sugiere los mejores estadísticos de ajuste es el de Chapman-Richards. A su vez, los modelos de efectos mixtos (MEM) mejoran las predicciones del diámetro normal y área basal, a través de parámetros fijos y aleatorios para mostrar información de la variabilidad entre los árboles para series de tiempo simétricas a partir de análisis troncales. Los efectos aleatorios permiten evaluar de manera implícita la suma de variables ambientales en las que se desarrolla la especie de estudio.
Agradecimientos
El autor principal desea agradecer al ejido Cebadilla de Dolores, en Madera, Chihuahua, por la disposición para la colecta de datos.
Conflicto de intereses
Los autores declaran no tener conflicto de intereses. Gerónimo Quiñones-Barraza declara no haber participado en ninguna de las etapas del proceso editorial del manuscrito.
Contribución por autor
Rosa Isela Delgado Espinoza: análisis de datos, ajuste de modelos, elaboración y revisión del manuscrito; Francisco Cruz Cobos, Gerónimo Quiñones Barraza, Francisco Javier Hernández y Juan Abel Najera Luna: análisis de datos y elaboración y revisión del manuscrito.
Referencias
Aguirre-Bravo, C., & Smith, F. W. (1986). Site index and volume equations for Pinus patula in Mexico. The Commonwealth Forestry Review, 65(1), 51-60. https://www.jstor.org/stable/42609964
Arteaga-Martínez, B. (2000). Evaluación dasométrica de plantaciones de cuatro especies de pinos en Ayotoxtla, Guerrero. Revista Chapingo. Serie Ciencias Forestales y del Ambiente, 6(2), 151-157. https://biblat.unam.mx/fr/revista/revista-chapingo-serie-ciencias-forestales-y-del-ambiente/articulo/evaluacion-dasometrica-de-plantaciones-de-cuatro-especies-de-pinos-en-ayotoxtla-guerrero
Bailey, R. L., & Clutter, J. L. (1974). Base-age invariant polymorphic site curves. Forest Science, 20(2), 155-159. https://academic.oup.com/forestscience/article/20/2/155/4675554
Buendía-Rodríguez, E., Treviño-Garza, E. J., Alanís-Rodríguez, E., Aguirre-Calderón, O. A., González-Tagle, M. A., y Pompa-García, M. (2019). Estructura de un ecosistema forestal y su relación con el contenido de carbono en el noreste de México. Revista Mexicana de Ciencias Forestales, 10(54), 4-25. https://doi.org/10.29298/rmcf.v10i54.149
Calvillo G., J. C., Cornejo O., E. H., Valencia M., S., y Flores L., C. (2005). Estudio epidométrico para Pinus herrerae Martínez en la región de Cd. Hidalgo, Michoacán, México. Foresta Veracruzana, 7(1), 5-10. http://www.redalyc.org/articulo.oa?id=49770102
Castedo D., F., Diéguez-Aranda, U., Barrio A., M., Sánchez R., M., & von Gadow, K. (2006). A generalized height–diameter model including random components for radiata pine plantations in northwestern Spain. Forest Ecology and Management, 229(1-3), 202-213. https://doi.org/10.1016/j.foreco.2006.04.028
Castillo-López, A., Santiago-García, W., Vargas-Larreta, B., Quiñonez-Barraza, G., Solis-Moreno, R., y Corral R., J. J. (2018). Modelos dinámicos de índice de sitio para cuatro especies de pino en Oaxaca. Revista Mexicana de Ciencias Forestales, 9(49), 4-27. https://doi.org/10.29298/rmcf.v9i49.185
Consultoría Ambiental Agropecuaria Forestal y Financiera. (2015). Programa de Manejo Forestal Sustentable para el Ejido Cebadilla de Dolores, Municipio de Madera, Chihuahua. Consultoría Ambiental Agropecuaria Forestal y Financiera.
Corral R., S., Silva A., A. M., y Quiñonez B., G. (2019). Modelo generalizado no-lineal altura-diámetro con efectos mixtos para siete especies de Pinus en Durango, México. Revista Mexicana de Ciencias Forestales, 10(53), 86-117. https://doi.org/10.29298/rmcf.v10i53.500
Corral R., S., y Návar C., J. de. J. (2005). Análisis del crecimiento e incremento de cinco pináceas de los bosques de Durango, México. Madera y Bosques, 11(1), 29-47. https://doi.org/10.21829/myb.2005.1111260
Domínguez-Calleros, P. A., Rodríguez-Flores, F. de J., Lizárraga-Mendiola, L., Jiménez-Gómez, M. A., y Navar, J. (2017). Aplicaciones y ejemplos de modelos de crecimiento diamétrico para árboles tropicales. Ecosistemas y Recursos Agropecuarios, 4(11), 265-274. https://doi.org/10.19136/era.a4n11.1060
Donoso, P. J., Promis, Á., y Soto, D. P. (Edits.). (2018). Silvicultura en bosques nativos. Experiencias en silvicultura y restauración en Chile, Argentina y el oeste de Estados Unidos. The Chile Initiative y OSU College of Forestry. https://repositorio.uchile.cl/handle/2250/174736
García, E. (2004). Modificaciones al sistema de clasificación climática de Köppen (para adaptarlo a las condiciones de la República Mexicana). Instituto de Geografía de la Universidad Nacional Autónoma de México. https://publicaciones.geografia.unam.mx/index.php/ig/catalog/book/83
García, M. del C., Chiapella, L., Rapelli, C., y Castellana, N. (2013). Estudio comparativo de métodos de estimación en un modelo no lineal mixto. En Universidad Nacional del Rosario (Comp.), Actas Jornadas Anuales, Décimoctavas Investigaciones en la Facultad de Ciencias Económicas y Estadística (pp. 4-14). Universidad Nacional del Rosario. http://hdl.handle.net/2133/7554
Guerra-De la Cruz, V., Islas-Gutiérrez, F., Flores-Ayala, E., Acosta-Mireles, M., Buendía-Rodríguez, E., Carrillo-Anzures, F., Tamarit-Urias, J. C., y Pineda-Ojeda, T. (2019). Modelos locales altura-diámetro para Pinus montezumae Lamb. y Pinus teocote Schiede ex Schltdl. en Nanacamilpa, Tlaxcala. Revista Mexicana de Ciencias Forestales, 10(51), 133-156. https://doi.org/10.29298/rmcf.v10i51.407
Hanusz, Z., Tarasinska, J., & Zielinski, W. (2016). Shapiro–Wilk test with known mean. REVSTAT–Statistical Journal, 14(1), 89-100. https://doi.org/10.57805/revstat.v14i1.180
Harvey, A. C., & Shephard, N. (1993). 10 Structural time series models. In G. S. Maddala, C. R. Rao & H. D. Vinod (Edits.) Handbook of Statistics Econometrics (Vol. 11, pp. 261-302). Elsevier. https://doi.org/10.1016/S0169-7161(05)80045-8
Hasenauer, H. (2006). Concepts within tree growth modeling. In H. Hasenauer (Ed.), Sustainable Forest Management: Growth Models for Europe (pp. 3-17). Springer. https://doi.org/10.1007/3-540-31304-4_1
Hernández, F. J., Bretado M., B. M., Márquez B., E., Nájera L., J. A., y Vargas L., B. (2021). Estimación del crecimiento de dos especies de Pinus de la Región Centro de Guerrero, México. Revista Mexicana de Ciencias Forestales, 12(68), 30-57. https://doi.org/10.29298/rmcf.v12i68.898
Hernández, F. J., Meraz A., J. C., Vargas L., B., & Nájera L., J. A. (2020). Diameter, height, basal area and volume growth of three pine species from Chihuahua, Mexico. Revista Mexicana de Ciencias Forestales, 11(60), 120-143. https://doi.org/10.29298/rmcf.v11i60.711
Klepac, D. (1983). Crecimiento e incremento de árboles y masas forestales. Universidad Autónoma Chapingo. https://dicifo.chapingo.mx/pdf/publicaciones/crecimiento_e_incremento_klepac_dusan.pdf
Kozak, A., & Smith, J. H. G. (1993). Standards for evaluating taper estimating systems. The Forestry Chronicle, 69(4), 438-444. https://doi.org/10.5558/tfc69438-4
Lindstrom, M. J., & Bates, D. M. (1990). Nonlinear mixed effects models for repeated measures data. Biometrics, 46(3), 673-687. https://doi.org/10.2307/2532087
Monserud, R. A. (2003). Evaluating forest models in a sustainable forest management context. Forest Biometry, Modelling and Information Sciences, 1, 35-47. https://citeseerx.ist.psu.edu/document?repid=rep1&type=pdf&doi=4c41ac5094a3b4aabc1f6c82ea6dbb489d47f2c5
Parzen, E. (1961). An Approach to time series analysis. The Annals of Mathematical Statistics, 32(4), 951-989. https://doi.org/10.1214/aoms/1177704840
Pinheiro, J. C., & Bates, D. M. (2006). Mixed-effects models in S and S-PLUS. Springer. https://doi.org/10.1007/b98882
Pinheiro, J., Bates, D., DebRoy, S., Sarkar, D., & R Core Team. (2009). Linear and nonlinear mixed effects models (version 3.1-96) [Software]. https://scholar.google.com/citations?view_op=view_citation&hl=en&user=z3KmA0sAAAAJ&citation_for_view=z3KmA0sAAAAJ:Kqc1aDSOPooC
Porté, A., & Bartelink, H. H. (2002). Modelling mixed forest growth: a review of models for forest management. Ecological Modelling, 150(1-2), 141-188. https://doi.org/10.1016/S0304-3800(01)00476-8
Quiñonez B., G., De los Santos P., H. M., y Álvarez G., J. G. (2015). Crecimiento en diámetro normal para Pinus en Durango. Revista Mexicana de Ciencias Forestales, 6(29), 108-125. https://doi.org/10.29298/rmcf.v6i29.220
Quiñonez-Barraza, G., De los Santos-Posadas, H. M., Cruz-Cobos, F., Velázquez-Martínez, A., Ángeles-Pérez, G., y Ramírez-Valverde, G. (2015). Índice de sitio con polimorfismo complejo para masas forestales de Durango, México. Agrociencia, 49(4), 439-454. https://agrociencia-colpos.org/index.php/agrociencia/article/view/1157
Quiñonez-Barraza, G., Zhao, D., & De los Santos-Posadas, H. M. (2019). Compatible taper and stem volume equations for five pine species in mixed-species forests in Mexico. Forest Science, 65(5), 602-613. https://doi.org/10.1093/forsci/fxz030
R Core Team. (2024). The R Project for Statistical Computing (version 4.3.3) [Software]. R Foundation for Statistical Computing. https://www.R-project.org
Ramirez M., C., Arizapana A., M. A., y Tomazello F., M. (2014). Comparación entre dos métodos de evaluación de crecimiento en diámetro de Eucalyptus urophylla en Itamarandiba (Minas Gerais–Brasil). Xilema, 27, 43-48. https://www.academia.edu/15517210/Revista_Xilema_Vol_27
Richards, F. J. (1959). A flexible growth function for empirical use. Journal of Experimental Botany, 10(2), 290-301. https://doi.org/10.1093/jxb/10.2.290
Shapiro, S. S., & Wilk, M. B. (1965). An analysis of variance test for normality (complete samples). Biometrika, 52(3-4), 591-611. https://doi.org/10.1093/biomet/52.3-4.591
Tamarit-Urias, J. C., Quiñonez-Barraza, G., García-Cuevas, X., Hernández-Ramos, J., y Monárrez-González, J. C. (2021). Ecuación dinámica para estimar el crecimiento en diámetro de Pinus montezumae Lamb. en Puebla, México. Madera y Bosques, 27(3), Artículo e2732180. https://doi.org/10.21829/myb.2021.2732180
Vanclay, J. K. (1994). Modelling forest growth and yield. Applications to mixed tropical forests. CAB International. https://www.researchgate.net/publication/228768502_Modelling_Forest_Growth_and_Yield_Applications_to_Mixed_Tropical_Forests
von Gadow, K., Sánchez O., S., y Aguirre C., O. A. (2004). Manejo forestal con bases científicas. Madera y Bosques, 10(2), 3-16. https://doi.org/10.21829/myb.2004.1021271
Zeide, B. (1993). Analysis of growth equations. Forest Science, 39(3), 594-616. https://doi.org/10.1093/forestscience/39.3.594
Zhao, D., Lynch, T. B., Westfall, J., Coulston, J., Kane, M., & Adams, D. E. (2018). Compatibility, development, and estimation of taper and volume equation systems. Forest Science, 65(1), 1-13. https://doi.org/10.1093/forsci/fxy036
Todos los textos publicados por la Revista Mexicana de Ciencias Forestales –sin excepción– se distribuyen amparados bajo la licencia Creative Commons 4.0 Atribución-No Comercial (CC BY-NC 4.0 Internacional), que permite a terceros utilizar lo publicado siempre que mencionen la autoría del trabajo y a la primera publicación en esta revista.