Revista Mexicana de Ciencias Forestales Vol. 13 (71)

Mayo – Junio (2022)

Logotipo, nombre de la empresa

Descripción generada automáticamente

DOI: https://doi.org/10.29298/rmcf.v13i71.1238

Research Article

 

Modelación hidráulica en Iber para prevención de inundaciones en la cuenca Tesechoacán

Hydraulic modeling in Iber for flood prevention in the Tesechoacán river basin

 

Jesús Valentín Gutiérrez García1, Juan Enrique Rubiños Panta2*, Demetrio Salvador Fernández Reynoso2, Carlos Ramírez Ayala2, Rodrigo Roblero Hidalgo3, Francisco Gerardo Gutiérrez García4, Martín Enrique Romero Sánchez1

 

Fecha de recepción/Reception date: 4 de diciembre de 2021

Fecha de aceptación/Acceptance date: 5 de abril de 2022

_______________________________

1Centro Nacional de Investigaciones Disciplinarias en Conservación y Mejoramiento de Ecosistemas Forestales, INIFAP. México.

2Hidrociencias, Colegio de Postgraduados, Campus Montecillo. México.

3Instituto Mexicano de Tecnología del Agua, IMTA. México.

4Universidad Autónoma Chapingo. México.

 

*Autor para correspondencia; correo-e: jerpkike@colpos.mx

*Corresponding author; e-mail: jerpkike@colpos.mx

Resumen

La modelación de cuencas para el análisis hidráulico requiere estimar o contar con información de hidrogramas para utilizarlos como herramientas fundamentales para el estudio de inundaciones en épocas de crecidas o eventos extremos. En ese sentido, en el presente trabajo se realizó una modelación hidráulica 2D en Iber, con datos del huracán Matthew en el periodo del 26 de septiembre al 1 de octubre del 2010, para identificar y cuantificar las zonas con alta peligrosidad de inundación en la subcuenca Tesechoacán y, con ello, generar propuestas que ayuden a mitigar el impacto de acontecimiento futuros. Los resultados indicaron una superficie de 29 027.24 ha inundadas, con tirantes de hasta 7.45 m. También, se identificó que las zonas de mayor superficie con presencia de escurrimientos fueron las de pastizal cultivado y de agricultura, las cuales representaron 80.89 % del área total. En el mapa de peligrosidad, se observaron 33 localidades afectadas; de ellas, 56.9 % se catalogaron como zonas de peligrosidad alta. Debido a la poca información disponible, la validación del modelo se realizó mediante la comparación espacial de la llanura de inundación que se obtuvo en el modelo Iber, con una imagen SPOT 4 (HRVIR 1). El resultado fue una buena concordancia entre el modelo y la imagen de satélite. Finalmente, se propone para el control de inundaciones, el desazolve y la construcción de bordos marginales. Con base en la simulación realizada, la primera es una opción para disminuir hasta en 71 % el impacto de inundaciones en la subcuenca Tesechoacán.

Palabras clave: Avenidas, cuenca, hidrogramas, Iber, modelo, peligrosidad.

Abstract

Watershed modelling for hydraulic analysis is necessary to estimate or have information from hydrographs to be used as basic tools for studying floods in particular times or extreme events. In the present work, a 2D hydraulic modelling was carried out in Iber with data of the Hurricane Matthew event from September 26th to October 1st, 2010, seeking to identify and quantify the areas with a high risk of flooding in the Tesechoacán river basin, and providing some proposals that could reduce the impact for future events. Results show a surface area of 29 027.24 ha was flooded with tie rods up to 7.45 m. The areas with the largest runoff surface area are cultivated pasture and agriculture, representing 80.89 % of the total area. According to the generated hazard map, 33 localities were affected, with 56.9 % classified as highly hazardous areas. Due to the little information available, the validation of the model was carried out using the spatial comparison of the margins of the floodplain obtained in Iber with a SPOT 4 image (HRVIR 1), observing good agreement between the model and the satellite image. The following measures are proposed for flood control: dredging and the construction of marginal borders. This last concept was an option to consider because it reduces up to 71 % of the impact of floods in the Tesechoacán sub-basin.

Key words: Avenues, basin, hydrographs, Iber, model, dangerousness.

 

Introduction

 

 

Global climate circulation models project more intense temperature and rainfall events than observed (Trenberth, 2011). The effects of climate change are more noticeable in developing countries, particularly in communities located in at-risk areas (González-Gaudiano, 2007). Natural disasters pose a threat to both short-term economic stability and sustainable development (Benson et al., 2007).

Mexico is located in an intertropical region with orographic conditions that render it vulnerable to climatic conditions; of these, disasters of hydro-meteorological origin cause the greatest damage amount and losses (Cenapred, 2019), and among them, floods are responsible for the most damage in the history of mankind (Galbán, 2020).

The World Bank (2017), points out that in exceptional years such as 1998 and 2010, flood damages exceeded US$ 40 billion. In addition, with climate change, urbanization and population growth, the impact of coastal, riverine and pluvial flooding is expected to increase significantly in the coming decades. However, there is a growing global tendency to occupy flood-prone areas for urban settlements (Borzi et al., 2020).

Flood control measures are classified as structural and nonstructural. The aim of the former is to prevent or reduce the damage caused by a flood, through the construction of carefully planned and designed works. The latter are based on the planning, organization, coordination and execution of a series of Civil Protection exercises that seek to prevent or reduce the damage caused by floods (Salas-Salinas, 2014).

Historical learning shows that it is important to know in a timely manner, the behavior of runoff to avoid catastrophic hydrological events. Models that assess water resources and the degree of environmental protection are used to quantify the impacts of watershed management strategies (Mankin et al., 1999; Rudra et al., 1999).

In recent years, numerical modeling of free surface flows has undergone rapid development through the use of several models for the simulation of free surface flows (Hafnaoui and Debabeche, 2021); such is the case of FLO-2D, DSS-WISE, TELEMAC, INFO Works, LISFLOOD-FP, and Flood Modeller Pro, described in a timely manner with their limitations and advantages in Teng et al. (2017).

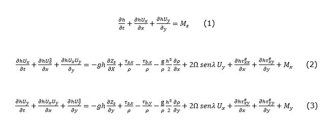
There are some models in growing supply, such as HEC RAS 2D and Iber 2D, which stand out for their accessibility and operation under the open access software scheme. Iber is described as a two-dimensional mathematical model for the simulation of flow in rivers and estuaries, in which the finite volume method is used to solve the 2D equations of Saint Venant (Bladé et al., 2014). To solve it, a geometry with background roughness, initial conditions and boundary conditions are required (Iber, 2014). Iber is a numerical simulation model of turbulent free sheet flow in an unsteady state and environmental processes in river hydraulics. Its range of application covers river hydrodynamics, dam break simulation, flood zone assessment, sediment transport calculation, and tidal flow in estuaries (Bladé et al., 2014; Cea and Bladé, 2015).

The Iber model allows to define geometries of structures and channel sections in a relatively simple way in order to exemplify, in a direct way, one and two-dimensional flow situations in class with the advantage of relying on numerical methods, which allows to start using computational fluid dynamics (CFD) tools in a pleasant and very intuitive way (Cueva-Portal et al., 2021). Part of the information required for modeling includes the determination of the Manning's coefficient, which represents the resistance to water flow in channels over floodplains; the value is higher when there is more roughness on the flow contact surface (Kumar-Parhi, 2013). In this context, the present study evaluates the Tesechoacán river sub-basin using 2D hydrodynamic modeling in Iber 2.5 version (Iber, 2019); to identify and quantify the areas with high flood hazards, and to indicate some proposals to prevent and reduce their impact.

 

 

Materials and Methods

 

 

Study area

 

 

The Tesechoacán river is one of the main tributaries of the Papaloapan river basin, which is part of Hydrological Region 28-B and is divided into 24 sub-basins; that of the Tesechoacán river includes the confluence of the Playa Vicente and Manso river, up hydrometric station 28 136 (Garro). It is located in the states of Veracruz (90.8 %) and Oaxaca (9.2 %) and encompasses seven municipalities (Figure 1), with a population of 355 250 inhabitants.

 

Figure 1. Location of the Tesechoacán sub-basin.

 

 

Geomorphological characteristics of the sub-basin

 

 

The delimitation of the sub-basin was carried out using digital elevation models from the Mexican Elevation Continuum 3.0 (CEM 3.0) of the Instituto Nacional de Estadística y Geografía (National Institute of Statistics and Geography,Inegi). Vector information from maps E15A72, E15A81, E15A82, E15C11, E15C12, and E15C21 was used at a 1:10 000 scale (Inegi, 2018). The 1:50 000 scale drainage network was obtained from Inegi's Watershed Water Flows Simulator SIATL (Inegi, 2019). The raster data were processed within the ArcGIS software environment 10. version 1 with the ArcSwat tool 2012 version.

Watershed information. The polygon, as well as the area, perimeter and drainage network information of the sub-basins were obtained automatically with the ArcSwat tool in ArcGIS 10.1. The Vectorial Data Sets of Land Use and Vegetation Scale 1:250 000 - Series V (National Set) of Inegi were processed in order to generate the cover map which served as the basis for obtaining the Manning's coefficient parameter for the simulation in the Iber model as part of the required input parameters.

Bathymetric information of the main riverbed. This was provided by the Organismo de Cuenca Golfo Centro (Central Gulf Basin Organization), with topographic surveys commissioned by Conagua for the "Topographic study of the Papaloapan, Obispo, San Juan Evangelista and Tesechoacán rivers" in 2011.

Hydrometric information. Information was obtained from hydrometric station 28 143 (San José Chilapa), located in the upper part of the sub-basin (17°47'60.00"N, 95°51'20.03"W). The data used for the scenario of interest corresponds to the Hurricane Matthew event from September 26th to October 1st, 2010. The hydrograph was superimposed on the upstream river for the main riverbed inflow. Data from station 28 143 corresponding to the period 1974-2014 were used in order to know the impacts of runoff on the middle and lower part of the watershed, and to compare them with the available satellite image.

 

Hydraulic modeling in Iber

 

 

The hydraulic modeling of the sub-basin was carried out with the support of Iber software 2.5 version. In the hydrodynamic module, which forms the basis of Iber, the two-dimensional depth-averaged shallow-water equations are solved (St. Venant 2D equations) (Bladé et al., 2014; Cea and Bladé, 2015).

 

 

 

 

Mesh geometry in Iber. As a first step, the polygon delimiting the basin and the riverbeds and main tributaries of the Tesechoacán river generated in Qgis 3.6 were imported. It was then collapsed by merging those lines and points that were duplicated.

Boundary conditions. An inflow boundary condition was assigned to the upper part of the main riverbed based on the total flow and the values of the base hydrograph (Figure 2), with a total of 134 hours for the simulation in Iber. In addition, the water outlet was identified, and the "supercritical/critical" flow condition was selected (Bladé, 2014).

 

Figure 2. Hydrograph recorded during Hurricane Matthew in 2010 in the San José Chilapa station.

 

Initial conditions. The initial condition was assigned based on a zero-valued tie rod.

Roughness. The Manning coefficients and keys used in the assignment in the Iber model were those proposed by Chow et al. (1994), as shown in Table 1.

 

Table 1. Manning's Roughness Coefficients.

Land use

Code

Manning's Coefficient

Cultivated pasture

PC

0.030

Rainfed agriculture

TA

0.035

Watercourses

CA

0.025

Tular

VT

0.070

Water accumulations

Ac

0.040

Semi-permanent agriculture

TS

0.040

Secondary vegetation

VS

0.035

Human settlements

AH

0.020

Urban areas

ZU

0.015

 

Mesh generation. In order to carry out the simulation, it was necessary to create a calculation mesh based on the geometry. The allocation size per area was 7 m for the main channel and 70 m for the floodplain for an unstructured geometry. Once the mesh was generated, the altitude was assigned from the digital elevation model. For the topography and a better definition of the main riverbed, the bathymetric information from the study carried out by the National Water Commission (Conagua) was used in 2011.

Simulation data. A 31-hour simulation was entered with results every 15 minutes. In the same section, the indication was given that the software should provide the risk in the results section in order to generate the corresponding maps. Figure 3 (Iber, 2019) shows the criterion used for the present investigation and on which the Iber model was based to plot the risk map using the Spanish ACA methodology (BOE, 2008).

 

Figure 3. Risk criteria based on water flow and velocity (Iber, 2019).

 

Based on the simulations thus generated, the results were analyzed to identify the flood zones, flood flow, velocity, and overflow zones.

 

 

Validation of the model

 

 

The flooding surface was validated with satellite images available for the period to be simulated. A SPOT 4 image (HRVIR 1) of four multispectral bands (R, G, NIR and MIR), with resolution at 20 m, was obtained for October 10, 2010. A geometric correction was made to this image in Qgis 3.6 in order to transpose it to the required cartographic projection.

 

 

Results and Discussion

 

 

Geomorphological characteristics of the sub-basin

 

 

Table 3 shows the results of the sub-basin delimitation with the ArcSwat tool in Arcgis 10.1.

 

Table 3. Geomorphological characteristics of the sub-basin.

Characteristics of the watershed

Tesechoacán river

Area of the watershed (Ac) (km2)

1 591.56

Perimeter of the watershed (Pc) (km)

408.48

Length of the main riverbed (Lc) (km)

143.97

Average slope of the watershed (%)

8.98

Average altitude of the watershed (Em) (masl)

52.09

Average slope of the riverbed (S) (%)

0.04

 

 

Hydraulic modeling in Iber

 

 

Figure 4 shows the results of the simulation of Hurricane Matthew for the period from September 26th to October 1st, 2010.

 

Figure 4. Flooded areas (a) and hazard map of the sub-basin (b).

 

The total area with runoff (Figure 4a) was 29 027.24 ha with recorded flood depths of up to 7.45 m in the main riverbed and, to a lesser extent, in the floodplain. Regarding the hazard map (Figure 4b), 6.1 % of the area was classified as low hazard, 37 % as medium hazard, and 56.9 % as high hazard.

Damage by surface area is shown in Table 3, using Inegi's classification as a frame of reference. The year 2010 was characterized by the presence of three hurricanes: Alex, Karland Matthew, with economic damages of US$ 7 253 million, 64 deaths and one million people affected in the states where it had an impact (Rodríguez, 2013; Cenapred, 2019). In recent years, these hydrometeorological phenomena have caused the disasters with the greatest impact in terms of loss of human lives (Guha-Sapir et al., 2015) and economic costs (Larios-Tlalli et al., 2015).

 

Table 3. Surface with presence of runoff by category.

Description

Code

Surface area (ha)

Percentage (%)

Cultivated grassland

PC

12 909.36

44.47

Semi-permanent rainfed agriculture

TS

6 964.04

23.99

Secondary arboreal vegetation of tall evergreen forest

VSA/SAP

3 795.5

13.08

Annual and semi-permanent rainfed agriculture

TAP

1 707.5

5.88

Secondary shrubby vegetation of high evergreen rainforest

VSa/SAP

1 357.39

4.68

Semi-permanent and permanent rainfed agriculture

TSP

775.86

2.67

Permanent rainfed agriculture

TP

515.76

1.78

Annual rainfed agriculture

TA

344.64

1.19

Annual moisture agriculture

HA

263.04

0.91

Water bodies

H2O

257.47

0.89

Human settlements

AH

136.69

0.47

Total

 

29 027.24

100

 

 

Of the 136.69 ha corresponding to human settlements, runoff was present in 33 localities; those with the largest surface area were Playa Vicente (19.68 ha), El Marcial (El Coyolar; 17.31 ha), El Maguey (15.61 ha), El Mosquito (10.57 ha), La Candelaria (10.04 ha), El Carrizal (Majahual; 7.29 ha) and Villa Azueta (7.25 ha). 

 

 

 

Validation of the model

 

 

As pointed out by Alarcón et al. (2020), the main problem with this type of model is that it requires specific information that is difficult to access in Mexico. However, spatial validation was sought by comparing some of the flooded areas of the simulation in the Iber model with respect to the floodplain from the only satellite image (SPOT4) available close to the date of the event.

 

 

Figure 5. Spatial validation of the model with the support of satellite imagery.

 

The comparison was made with the flood margin delineated in the image, with respect to the model results on the estimated flooding (Figure 6). Based on the delimitation of the flooded area from the satellite image, a total of 34 276.05 ha with runoff was found, with a difference of 5 248.81 ha (15.31 %) with respect to the simulated area.

 

Figure 6. Observed floodplain versus simulated flooding.

 

A high percentage of cloud cover was observed in the reference image; however, the margins of the floodplain in relation to the simulation in Iber showed great similarity (84.69 %). In the lower part, there was a notable difference between the flooding area in the image and the simulated area, mainly due to the fact that, at the time of delimiting the watershed in ArcSwat, a road was considered as a reference for the highest part of the area; the above caused the polygon to present the shape observed at the closure of the lower sub-basin (Figure 6).

Measures for flood control

 

 

Based on the results of the hydraulic modeling and the structural and non-structural solution alternatives classified by Conagua (2011), the generation of hazard maps and areas susceptible to flooding is suggested as a non-structural measure. In regard to structural measures, it is proposed to clear and clean riverbeds in the main eroded areas. For this purpose, a simulation was carried out in which the modification of the riverbed was proposed, with a 2-meter channel clearance and a 50 % widening of the banks along 113.250 km of the riverbed. In addition, it was suggested to make a dike with a rectangular crown. Figure 7a shows the result.

 

  

Figure 7. Drainage proposals (a) and marginal curbs and gutters (b).

 

 

 

The total area with runoff with the modification of the riverbed was 8 268.81 ha, resulting in a 71 % reduction of the flooded area in the simulation of Hurricane Matthew in 2010, making it an alternative to reduce flooding in low-lying areas.

  1. As a complementary measure to dewatering, the construction of marginal curbs was proposed in the areas located on the banks of the channel. The drawing tool of the Iber model was used to generate the polygon of the intense drainage way (VID) as shown in Figure 7b; this action was applied in the towns of Playa Vicente, Villa Azueta, Tesechoacán, Garro, Isla, Matilla de Caña, Cujuliapan, Las Cadenas, La Gloria, San Jerónimo, and towns located on the banks of the Tesechoacán river, since in these areas it was not possible to widen the banks to 50 % of the river bed width. It is also recommended to maintain and protect the embankments established after the 2010 floods.
  2.  
  3.  

Conclusions

 

 

The Iber model was used to generate maps of areas vulnerable to flooding, showing a variation in water depth, with water depths of up to 7.45 m, mainly where the slope is less than 3 %. The risk map shows a maximum value of 29 027.24 ha affected by flooding; 56.9 % of these belong to areas classified as high hazard.

The modification of the riverbed was carried out directly in the mesh generated with the Iber model through the "dike" option, in which unclogging was considered as a feasible option, given that the simulation for Hurricane Matthew in 2010 with the expansion of the margins by 50 %, resulted in a reduction of 71 % of the flooded area, in addition, it can work at the same time as the construction of banks, given the disposition of the natural material.

In regard to validation, the comparison of flood plains coincides with 84.69 % of the surface area with simulated runoff observed in the reference image. The use of satellite images proved to be a viable option to observe the floodplain when there was not enough information to perform the corresponding statistical validation.

An important recommendation is to consider reforestation and soil conservation works in the upper watershed as prevention alternatives; however, prior to this, it is crucial to carry out studies on the changes in the forest ecosystem cover and their effects on hydrological regulation services in the upper Papaloapan watershed. The purpose of this is to determine the impacts generated by such modifications.

 

 

Acknowledgments

 

The authors would like to thank Conacyt, Colpos, Conagua and the Organismo de Cuenca Golfo Centro for the bathymetric information provided for the Tesechoacán River.

 

Conflict of interests

 

The authors declare no conflict of interest.

 

Contribution by author

 

Jesús Valentín Gutiérrez García: supervision of data analysis and drafting of original manuscript; Juan Enrique Rubiños Panta: review of methodology and drafting of the manuscript; Demetrio Salvador Fernández Reynoso: data analysis and drafting of the manuscript; Carlos Ramírez Ayala: review of the information and drafting of the manuscript; Rodrigo Roblero Hidalgo: follow-up and analysis of results, and review of the manuscript; Francisco Gerardo Gutiérrez García: review and drafting of the manuscript; Martín Enrique Romero Sánchez: review and editing of the manuscript.

 

 

References

 

Alarcón N., A., J. Chávez M., O. L. Palacios V. y L. A. Ibáñez C. 2020. Estimación de áreas vulnerables a inundaciones en zonas urbanas: Morelia, Michoacán, México. Tecnología y Ciencias del Agua 11(3):01-26. Doi: 10.24850/j-tyca-2020-03-01.

Banco Mundial. 2017. Medidas de protección contra inundaciones basadas en la naturaleza: Principios y orientaciones para la implementación. Ed. Banco Mundial. Washington, DC, USA. 32 p.

Benson, C., J. Twigg y R. Tiziana. 2007. Herramientas para la integración de la reducción del riesgo de desastres: notas de orientación para organizaciones de desarrollo. Ed. Federación Internacional de Sociedades de la Cruz Roja y de la Media Luna Roja y ProVention Consortium. Ginebra, Suiza. 200 p.

Bladé, E., L. Cea, G. Corestein, E. Escolano, J. Puertas, E. Vázquez-Cendón, J. Dolz y A. Coll. 2014. Iber: herramienta de simulación numérica del flujo en ríos. Revista Internacional de Métodos Numéricos para Cálculo y Diseño en Ingeniería 30(1):1-10. DOI: 10.1016/j.rimni.2012.07.004.

Boletín Oficial del Estado (BOE). 2008. Real Decreto 9/2008, de 11 de enero, por el que se modifica el Reglamento del Dominio Público Hidráulico, aprobado por el Real Decreto 849/1986, de 11 de abril. Ministerio de la Presidencia. Madrid, España. https://www.boe.es/eli/es/rd/2008/01/11/9. (15 de diciembre de 2020).

Borzi, G. E., F. Cellone, C. Tanjal, E. Melendi y E. Carol. 2020. Propuesta metodológica para el estudio de inundaciones en áreas de llanura con escasez de información. Revista DYNA 87(215):221–228. Doi: 10.15446/dyna.v87n215.85140.

Cea, L. and E. Bladé. 2015. A simple and efficient unstructured finite volume scheme for solving the shallow water equations in overland flow applications. Water Resources Research 51(7):5464-5486. Doi: 10.1002/2014WR016547.

Centro Nacional de Prevención de Desastres (Cenapred). 2019. Impactos socioeconómicos de los principales desastres ocurridos en México. Secretaría de seguridad y protección ciudadana. Ed. Centro Nacional de Prevención de Desastres. México, D. F., México. 232 p.

Chow, V., D. R. Maidment y L. W. Mays. 1994. Hidrología Aplicada. Ed. Mc Graw Hill. Santafé de Bogotá, Colombia. 584 p.

Comisión Nacional del Agua (Conagua). 2011. Manual para el control de inundaciones. Ed. Secretaría de Medio Ambiente y Recursos Naturales. Tlalpan, D. F., México. 388 p.

Cueva-Portal, M. H., J. E. Cañon-Barriga and L. Cea. 2021. The use of Iber as learning tool for two-dimensional channel flow analysis. Revista Educación En Ingeniería 16(31):72-78. Doi: 10.26507/rei.v16n31.1126.

Galbán R., L. 2020. Inundaciones. Desafío de la naturaleza. Elementos teórico metodológicos sobre las inundaciones y su evaluación de riesgos. Serie: Prevención de riesgos y desastres (Núm.2). Ed. Kobo Writing Life. Santiago de Cuba, Cuba. 539p.

González-Gaudiano, E. 2007. Educación y cambio climático: un desafío inexorable. Trayectorias IX(25):33-44. https://www.redalyc.org/articulo.oa?id=60715120005. (5 de octubre de 2021).

Guha-Sapir, D., P. Hoyois and R. Below. 2015. Annual Disaster Statistical Review 2014. The numbers and trends. Ed. Centre for Research on the Epidemiology of Disasters (CRED), Institute of Health and Society (IRSS) and Université Catholique de Louvain. Bruselas, Bélgica. 54 p.

Hafnaoui, M. A. and M. Debabeche. 2021. Numerical modeling of the hydraulic jump location using 2D Iber software. Modeling Earth Systems and Environment 7(3):1939-1946. Doi: 10.1007/s40808-020-00942-3.

Iber. 2014. Modelización bidimensional del flujo en lámina libre en aguas poco profundas: Manual de referencia hidráulico. Ed. Ministerio de Medio Ambiente y Medio Rural y Marino, Grupo de Ingeniería del Agua y del Medio Ambiente, Dinámica Fluvial e Ingeniería Hidrológica (Flumen), Centro de estudios y experimentación de obras públicas (CEDEX) y Centro Internacional de Métodos Numéricos en Ingeniería (CIMNE). España. 59 p. https://iberaula.es/space/54/downloads. (1 de marzo de 2018).

Iber. 2019. Modelo Iber 2.5.2. España. http://www.Iberaula.es (15 de abril de 2019).

Instituto Nacional de Estadística y Geografía (Inegi) 2018. Modelos Digitales de Elevación (MDE). México. https://www.inegi.org.mx/temas/relieve/continental. (28 de marzo de 2021).

Instituto Nacional de Estadística y Geografía (Inegi). 2019. Simulador de Flujos de Agua de cuencas Hidrográficas (SIATL). México. https://antares.inegi.org.mx/analisis/red_hidro/siatl/. (1 de enero de 2021).

Kumar-Parhi, P. 2013. HEC-RAS Model for Manning´s Roughness: A case study. Open Journal of Modern Hydrology 3(3):97-101. Doi: 10.4236/ojmh.2013.33013.

Larios-Tlali, H., E. Torres-Benites, A. Quevedo-Nolasco, M. R. Martínez-Menes y J. A. Salgado-Tránsito. 2015. Riesgo de inundación en la subcuenca del río La Antigua, Veracruz, México. Tecnología y ciencias del agua 6(3):39-56. http://www.scielo.org.mx/scielo.php?script=sci_arttext&pid=S2007-24222015000300004&lng=es&tlng=es. (5 de junio de 2021).

Mankin, K. R., J. K. Koelliker and P. K. Kalita. 1999. Watershed and lake water quality assessment: An integrated modeling approach. JAWRA Journal of the American Water Resources Association 35(5):1069-1080. Doi: 10.1111/j.1752-1688.1999.tb04194.x.

Rodríguez V., H. G. 2012. Inundaciones en zonas urbanas, medidas preventivas y correctivas, acciones estructurales y no estructurales. Tesis de Maestría. Facultad de Ingeniería, Universidad Nacional Autónoma de México. Cuernavaca, Morelos, México. 364 p.

Rudra, R. P., W. T. Dickinson, M. J. Abedini and G. J. Wall. 1999. A Multi-Tier Approach for Agricultural Watershed Management. JAWRA Journal of the American Water Resources Association 35(5):1159–1170. Doi: 10.1111/j.1752-1688.1999.tb04203.x.

Teng, J., A. J. Jakeman, J. Vaze, B. F. W. Croke, D. Dutta and S. Kim. 2017. Flood inundation modelling: A review of methods, recent advances and uncertainty Analysis. Environmental Modelling and Software 90:201-216. Doi: 10.1016/j.envsoft.2017.01.006.

Salas-Salinas, M. A. 2014. Cuadernos de investigación: Obras de protección contra inundaciones. Ed. Secretaría de Gobernación y Centro Nacional de Prevención de Desastes. México, D. F., México. 65 p. http://www.cenapred.gob.mx/es/Publicaciones/archivos/127-CUADERNODEINVESTIGACINOBRASDEPROTECCINCONTRAINUNDACIONES.PDF. (5 de junio de 2021).

Trenberth, K. E. 2011. Changes in precipitation with climate change. Climate Research 47(1-2):123-138. Doi: 10.3354/cr00953.

 

        

Todos los textos publicados por la Revista Mexicana de Ciencias Forestales sin excepción– se distribuyen amparados bajo la licencia Creative Commons 4.0 Atribución-No Comercial (CC BY-NC 4.0 Internacional), que permite a terceros utilizar lo publicado siempre que mencionen la autoría del trabajo y a la primera publicación en esta revista.