Revista Mexicana de Ciencias Forestales Vol. 9 (48)
Julio-Agosto (2018)
DOI: https://doi.org/10.29298/rmcf.v8i48.123 Artículo Crecimiento y estado nutrimental de una plantación de Pinus cooperi Blanco fertilizada con N-P-K Nutritional status and growth of a Pinus cooperi Blanco plantation fertilized with N-P-K Rafael Ricardo Hernández Valera1, Miguel Ángel López López2* y Patricia Flores Nieves2 |
Fecha de recepción/Reception date: 18 de octubre de 2017
Fecha de aceptación/Acceptance date: 31 de mayo de 2018
_______________________________
1División de Ingeniería Forestal, Instituto Superior de Zacapoaxtla. México.
2Posgrado en Ciencias Forestales, Colegio de Postgraduados. México.
*Autor por correspondencia; correo-e: lopezma@colpos.mx
Abstract
Timber production in Mexico has decreased dramatically, while demand has increased in recent years. The productivity of the forest depends on various environmental factors, including solar radiation, temperature, water and nutrient availability. The present research studied the effect of chemical fertilization (N, P and K) on the growth of seedlings of Pinus cooperi two years after its establishment in field. We included three doses of urea (N: 0.0, 4.0, 8.0), three of simple calcium superphosphate (P: 0.0, 3.5, 7.0), and three of potassium sulphate (K: 0.0, 3.28, 6.5) grams tree-1. The combination of the levels of the three tested nutrients corresponded to 27 treatments, which were applied to the seedlings with an average height of 80 cm. It was determined that the nitrogen probably limits the growth of Pinus cooperi in the plantation site. The application of phosphorus generated the largest increase in basal diameter, indicating that it is the most deficient nutrient in the area. It was determined that potassium has no positive effect on the diameter or the height of the trees, which suggests a satisfactory level of availability.
Key words: Nutritional diagnosis, basal diameter, nutritional status, chemical fertilization, nutrient, pine.
Resumen
La producción de madera en México ha disminuido drásticamente, mientras la demanda se ha incrementado en los últimos años. La productividad del bosque depende de varios factores ambientales, como la radiación solar, temperatura, agua y disponibilidad de nutrimentos, entre otros. En la presente investigación se estudió el efecto de la fertilización química (N, P y K) sobre el crecimiento de brinzales de Pinus cooperi, a dos años de su establecimiento en campo. Se incluyeron tres dosis de urea (N: 0.0, 4.0, 8.0); tres de superfosfato simple de calcio (P: 0.0, 3.5, 7.0); y tres de sulfato de potasio (K: 0.0, 3.28, 6.5) gramos árbol-1. La combinación de los niveles de los tres nutrimentos probados produjo 27 tratamientos, mismos que se aplicaron a los brinzales, con una altura promedio de 80 cm. Se determinó que el nitrógeno, probablemente, limita el crecimiento de Pinus cooperi en el sitio de plantación. La aplicación de fósforo generó el mayor incremento de diámetro basal, lo que indica que es el nutrimento más deficiente en el área de estudio. Se determinó que el potasio no tiene efecto positivo en el diámetro ni en la altura de los árboles, lo cual implica que este presenta un nivel satisfactorio de disponibilidad.
Palabras claves: Diagnóstico nutrimental, diámetro basal, estado nutrimental, fertilización química, nutrimento, pino.
Introducción
En los últimos años la producción de madera en México ha disminuido drásticamente debido, al menos parcialmente, a la amplia extensión de los turnos de corta, así como a fallas en el manejo de los bosques (Semarnat, 2010). Hay varias opciones para mejorar dicha situación, una de ellas es la fertilización química.
Con un buen sistema de fertilización se obtienen efectos positivos, ya que al mejorar la nutrición de las plantas se incrementan el crecimiento y el rendimiento (Kozlowski y Pallardi, 1997; Lambers et al., 1998). En los últimos años se ha optado por la fertilización química en las plantaciones, ya que mediante esta práctica se pueden reducir los turnos de corta en especies de lento y rápido crecimiento, y con ello se obtienen mayores rendimientos maderables y financieros (Fox et al., 2007).
La disponibilidad de los nutrimentos es factible modificarla en forma directa, con tratamientos como la fertilización, o bien, indirectamente, por medio de prácticas silvícolas (Binkley, 1993). La fertilización no solo tiene efectos en la productividad o tasas de crecimiento; cuando se diseñan programas bien balanceados se obtiene un mejoramiento del estado nutrimental de los árboles, por lo que adquieren mayor vigor y resistencia a plagas (López-López y Estañol-Botello, 2007; Pérez-Camacho et al., 2013; Calixto et al., 2015). Para un buen crecimiento, las plantas necesitan, sobre todo, macronutrimentos; aunque, los micronutrimentos son imprescindibles.
Pinus cooperi Blanco es un árbol de 20 a 30 metros de altura y 40 a 75 cm de diámetro normal (Perry, 1991). Se distribuye, ampliamente, en el estado de Durango y la región suroeste de Chihuahua (Martínez, 1992). Sus turnos absolutos de corta varían de 30 a 50 años (Vargas-Larreta et al., 2010). Con un régimen de fertilización balanceada es posible reducirlos, al aumentarse las tasas de crecimiento (Pérez-Camacho et al., 2013).
La presente investigación se realizó con el fin de determinar los efectos de la fertilización química en el crecimiento de brinzales de Pinus cooperi a dos años de establecida la plantación. Se evaluaron los efectos de N, P y K sobre el crecimiento en altura y diámetro, y se identificó el nutrimento más limitante del crecimiento; es decir, aquel cuya aplicación lo mejora.
Materiales y Métodos
El experimento se realizó de octubre de 2012 a enero de 2014, en la localidad Molinillos, Durango, Dgo., dentro de una plantación de P. cooperi de dos años de edad. El predio se encuentra en las coordenadas geográficas 23°38'10.75" N y 105°3'1.07" O.
Se utilizó un diseño experimental completamente al azar, con un arreglo factorial 33. Los tres factores probados correspondieron a los nutrimentos N, P y K, y cada uno se aplicó en tres dosis (niveles). La combinación de los niveles de los tres factores probados produjo un total de 27 tratamientos (Cuadro 1), los cuales se replicaron 10 veces. Los nutrimentos y dosis fueron nitrógeno (N: 0, 4, 8 g de urea), fósforo (P: 0, 3.5, 7 g de superfosfato simple de calcio), y potasio (K: 0, 3.28, 6.5 g de sulfato de potasio) por árbol. La determinación de las dosis se hizo con el método racional de Rodríguez-Suppo (Opazo et al., 2008), adaptado para concentraciones foliares.
Cuadro 1. Tratamientos aplicados en el experimento de fertilización química en Molinillos, Durango, Dgo.
Tratamiento | Urea (g árbol-1) | SFS (g árbol-1) | Sulfato de potasio (g árbol-1) |
1 | 0.0 | 0.0 | 0.00 |
2 | 0.0 | 0.0 | 3.28 |
3 | 0.0 | 0.0 | 6.50 |
4 | 0.0 | 3.5 | 0.00 |
5 | 0.0 | 3.5 | 3.28 |
6 | 0.0 | 3.5 | 6.50 |
7 | 0.0 | 7.0 | 0.00 |
8 | 0.0 | 7.0 | 3.28 |
9 | 0.0 | 7.0 | 6.50 |
10 | 4.0 | 0.0 | 0.00 |
11 | 4.0 | 0.0 | 3.28 |
12 | 4.0 | 0.0 | 6.50 |
13 | 4.0 | 3.5 | 0.00 |
14 | 4.0 | 3.5 | 3.28 |
15 | 4.0 | 3.5 | 6.50 |
16 | 4.0 | 7.0 | 0.00 |
17 | 4.0 | 7.0 | 3.28 |
18 | 4.0 | 7.0 | 6.50 |
19 | 8.0 | 0.0 | 0.00 |
20 | 8.0 | 0.0 | 3.28 |
21 | 8.0 | 0.0 | 6.50 |
22 | 8.0 | 3.5 | 0.00 |
23 | 8.0 | 3.5 | 3.28 |
24 | 8.0 | 3.5 | 6.50 |
25 | 8.0 | 7.0 | 0.00 |
26 | 8.0 | 7.0 | 3.28 |
27 | 8.0 | 7.0 | 6.50 |
SFS = Superfosfato simple de calcio.
La aplicación de los materiales fertilizantes, cuya presentación es granulada, se realizó en forma localizada sobre el suelo de la zona de goteo de los brinzales. Las variables evaluadas incluyeron el diámetro basal (DB) y la altura total (AT) de los árboles. El diámetro basal se midió al inicio y al final del experimento en la base del tallo a menos de cuatro centímetros de altura, con un vernier digital Truper, sobre una señal hecha, previamente, con un marcador indeleble. La altura total se obtuvo en las mismas fechas que el diámetro basal, con una regla graduada Tlefix MT751, desde la superficie del suelo hasta la punta del brote principal. A partir de las variables anteriores, se estimaron los incrementos de diámetro basal (IDB) y altura (IAT) alcanzados entre los años 2012 y 2014.
Para el estado nutrimental de los brinzales, en respuesta a los tratamientos, se hizo el análisis gráfico de vectores (Timmer y Stone, 1978). Para ello, se obtuvo el peso seco de 100 acículas (PS 100), provenientes de la parte media de la ramilla de cada muestra, las cuales correspondieron a tres de las 10 repeticiones de cada tratamiento, y se recolectaron el 15 de enero del 2014, de ramillas totalmente maduras, no senescentes, localizadas en el tercio superior de la copa de los brinzales (Wells y Allen, 1985).
Los grupos de 100 acículas fueron secados en una estufa de circulación forzada marca FELISA, a 70 oC por 48 horas, posteriormente se enviaron al laboratorio Salvador Alcalde Blanco del Colegio de Postgraduados, para determinar el nitrógeno (N) por el método micro-Kjeldahl; el fósforo (P) y el potasio (K) a partir de una digestión diácida, y un espectrofotómetro de plasma inductivamente acoplado (ICP).
Para el análisis de datos, las variables diámetro, altura total y los respectivos incrementos, así como el peso seco de 100 acículas se interpretaron mediante análisis de varianza (ANOVA) y pruebas de Tukey. Las concentraciones de nitrógeno, fósforo y potasio se sometieron a un ANOVA y análisis de vectores (Timmer y Stone, 1978).
Resultados y Discusión
Diámetro basal (DB 2014)
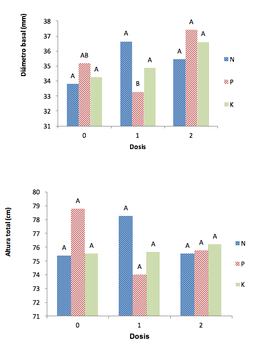
El análisis de varianza ANOVA para el diámetro basal 2014 evidenció efectos significativos de P y de la interacción P*K (Cuadro 2). Esto se confirmó con la prueba de Tukey (α=0.05), la cual indicó que no hubo efectos significativos de la aplicación de N y K (Figura 1). Lo anterior permite concluir que el P es un nutrimento limitante del crecimiento de la especie en la zona de estudio (Garrison-Jhonston et al., 2005).
Cuadro 2. Análisis de varianza para el Diámetro Basal (DB) 2014 en el experimento de fertilización de Pinus cooperi Blanco en Molinillos, Durango, Dgo.
Tratamiento | Grados de libertad | Suma de cuadrados | Cuadrados medios | F tabulada | Pr > F |
Modelo | 26 | 5 455.415 | 209.82365 | 1.89 | 0.0076 |
N | 2 | 325.03462 | 162.51731 | 1.46 | 0.2334 |
P | 2 | 720.6114 | 360.3057 | 3.25 | 0.0408 |
K | 2 | 189.45361 | 94.726804 | 0.85 | 0.4272 |
N*P | 4 | 478.3622 | 119.59055 | 1.08 | 0.3683 |
N*K | 4 | 969.09733 | 242.27433 | 2.18 | 0.0718 |
P*K | 4 | 1 695.9106 | 423.97765 | 3.82 | 0.005 |
N*P*K | 8 | 1 076.9453 | 134.61816 | 1.21 | 0.2922 |
Error | 218 | 24 185.966 | 110.9448 | ||
Total | 244 | 29 641.381 |
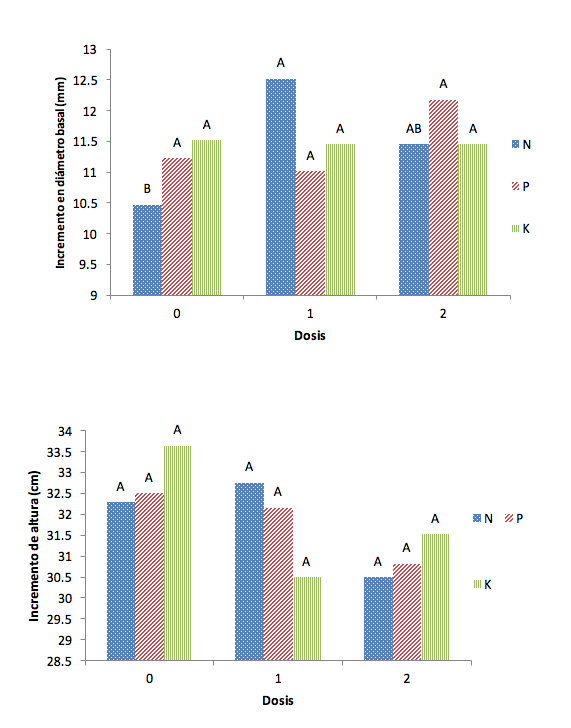
Para un nutrimento, letras iguales significan medias estadísticamente iguales.
Figura 1. Pruebas de Tukey (α=0.05) para diámetro basal y altura total 2014 en el experimento de fertilización de Pinus cooperi Blanco en Molinillos, Durango, Dgo.
Altura total 2014 (AT 2014)
En el caso de la altura total 2014, los análisis mostraron que no existen efectos significativos de los factores probados (Cuadro 3, Figura 1). Lo anterior puede deberse a una alta variabilidad de la altura de los brinzales entre unidades experimentales, a su vez, resultado del sistema de reproducción de la especie en el vivero (por semilla); puesto que, el germoplasma utilizado en los viveros locales carece de un control de calidad estricto, en términos generales (Gülcü y Bilir, 2017). Aun cuando no hubo efectos significativos, la prueba de Tukey para la variable altura total 2014 presentó una tendencia que indica (Figura 1) que la dosis media de N fue la que generó mayor altura; es decir, que el N es un nutrimento deficiente, al menos ligeramente, en esta zona, ya que con su aplicación la altura de los brinzales respondió de manera favorable, aunque en forma no significativa.
Cuadro 3. Análisis de varianza para la Altura Total (AT) 2014 en el experimento de fertilización de Pinus cooperi Blanco en Molinillos, Durango, Dgo.
Tratamiento | Grados de libertad | Suma de cuadrados | Cuadrados medios | F tabulada | Pr > F |
Modelo | 26 | 20 314.299 | 781.3192 | 1.17 | 0.2706 |
N | 2 | 419.30035 | 209.65018 | 0.31 | 0.7316 |
P | 2 | 939.50653 | 469.75326 | 0.7 | 0.497 |
K | 2 | 103.67143 | 51.835714 | 0.08 | 0.9256 |
N*P | 4 | 1 840.8895 | 460.22238 | 0.69 | 0.6016 |
N*K | 4 | 5 142.222 | 1 285.5555 | 1.92 | 0.1082 |
P*K | 4 | 5 426.4853 | 1 356.6213 | 2.03 | 0.0919 |
N*P*K | 8 | 6 442.224 | 805.278 | 1.2 | 0.2987 |
Error | 218 | 146 008.9 | 669.7656 | ||
Total | 244 | 166 323.2 |
Peso seco de 100 acículas (PS 100)
El peso seco de 100 acículas (PS 100) no fue afectado significativamente por la aplicación de los fertilizantes, excepto en el caso del K (Cuadro 4). Se esperaba un aumento en peso de las acículas con la aplicación de algunos de los tratamientos de fertilización, debido a que un árbol con adecuada nutrición tiende a crecer más rápidamente en comparación con los árboles deficientes en nutrimentos; y el incremento en el crecimiento se refleja, principalmente, en la altura y el diámetro basal o a la altura del pecho; aunque, por lo general, se presenta un aumento en el tamaño de las acículas (Weetman, 1989).
Cuadro 4. Análisis de varianza para el peso seco de acículas (PS) 2014 en el experimento de fertilización química de Pinus cooperi Blanco en Molinillos, Durango, Dgo.
Tratamiento | Grados de libertad | Suma de cuadrados | Cuadrados medios | F tabulada | Pr > F |
Modelo | 26 | 83.200989 | 3.200038 | 1.58 | 0.079 |
N | 2 | 1.9018056 | 0.9509028 | 0.47 | 0.6278 |
P | 2 | 0.7640489 | 0.3820245 | 0.19 | 0.8286 |
K | 2 | 14.381933 | 7.1909666 | 3.55 | 0.0357 |
N*P | 4 | 15.709195 | 3.9272988 | 1.94 | 0.1173 |
N*K | 4 | 11.868496 | 2.9671239 | 1.47 | 0.2258 |
P*K | 4 | 15.508375 | 3.8770938 | 1.92 | 0.1215 |
N*P*K | 8 | 23.067135 | 2.8833919 | 1.42 | 0.2082 |
Error | 53 | 107.30225 | 2.0245707 | ||
Total | 79 | 190.50324 |
La prueba de Tukey (α=0.05) evidenció que las dosis de N y P no tuvieron un efecto significativo sobre el peso seco de 100 acículas (Figura 2). En cambio, el K generó diferencias entre la dosis cero y uno; de ellas la primera fue mejor, lo cual significa que para el crecimiento de las acículas, la aplicación de potasio tuvo un impacto negativo; es decir, el potasio es un nutrimento suficiente en el sitio de estudio y su aplicación, probablemente, genera un desbalance (exceso) con respecto a los nutrimentos más deficientes (López-López y Alvarado-López, 2010).
Para un nutrimento, letras iguales significan medias estadísticamente iguales.
Figura 2. Prueba de Tukey (α =0.05) para el PS de 100 acículas en el experimento de fertilización química de Pinus cooperi Blanco en Molinillos, Durango, Dgo.
Incremento de diámetro basal (IDB) y altura total (IAT)
El análisis para el incremento en diámetro basal entre fechas de evaluación (2012-2014) mostró efectos significativos de los nutrimentos probados, especialmente de N y de las interacciones N*P y P*K (Cuadro 5). El N promovió diferencias significativas de los IDB entre los niveles cero y uno. El P no tuvo efectos significativos en ninguno de los tres niveles probados, lo que también sucedió para el K (Figura 3), el cual probablemente tuvo efectos negativos en el incremento del diámetro basal.
Cuadro 5. Análisis de varianza para el incremento del diámetro basal (IDB) 2014 en el experimento de fertilización química de Pinus cooperi Blanco en Molinillos, Durango, Dgo.
Tratamiento | Grados de libertad | Suma de cuadrados | Cuadrados medios | F tabulada | Pr > F |
Modelo | 26 | 317.53597 | 12.212922 | 3.21 | 0.0001 |
N | 2 | 58.402417 | 29.201208 | 7.67 | 0.0011 |
P | 2 | 21.318751 | 10.659376 | 2.8 | 0.0688 |
K | 2 | 0.8707197 | 0.4353598 | 0.11 | 0.8921 |
N*P | 4 | 66.933676 | 16.733419 | 4.4 | 0.0035 |
N*K | 4 | 33.625564 | 8.4063911 | 2.21 | 0.0788 |
P*K | 4 | 81.482436 | 20.370609 | 5.35 | 0.0009 |
N*P*K | 8 | 54.902402 | 6.8628003 | 1.8 | 0.0942 |
Error | 60 | 228.39283 | 3.8065472 | ||
Total | 86 | 545.9288 |
Para un nutrimento, letras iguales significan medias estadísticamente iguales.
Figura 3. Pruebas de Tukey (α =0.05) para los incrementos entre 2012 y 2014, en el experimento de fertilización de Pinus cooperi Blanco en Molinillos, Durango, Dgo.
El incremento en altura total no presentó diferencias significativas de los factores probados (nutrimentos), excepto en las interacciones (Cuadro 6). El N con la dosis uno fue el único que superó al nivel cero. La altura de los árboles es muy variable y esta característica pudo ser la razón de la confusión de los efectos de los tratamientos probados. Resultados similares, en cuanto al incremento de altura registraron López-López y Flores-Nieves (2016).
Cuadro 6. Análisis de varianza para el incremento de altura total (IAT) 2014 en el experimento de fertilización de Pinus cooperi Blanco en Molinillos, Durango, Dgo.
Tratamiento | Grados de libertad | Suma de cuadrados | Cuadrados medios | F tabulada | Pr > F |
Modelo | 26 | 4 437.7514 | 170.68275 | 4.48 | <.0001 |
N | 2 | 81.773058 | 40.886529 | 1.07 | 0.3486 |
P | 2 | 41.959632 | 20.979816 | 0.55 | 0.5794 |
K | 2 | 130.32988 | 65.164941 | 1.71 | 0.1898 |
N*P | 4 | 725.21243 | 181.30311 | 4.76 | 0.0022 |
N*K | 4 | 1 140.5218 | 285.13046 | 7.49 | <.0001 |
P*K | 4 | 909.61082 | 227.40271 | 5.97 | 0.0004 |
N*P*K | 8 | 1 408.3437 | 176.04297 | 4.62 | 0.0002 |
Error | 56 | 2 131.7667 | 38.067262 | ||
Total | 82 | 6 569.5181 |
Análisis foliares
La mayoría (excepto tres) de los tratamientos aplicados generaron menor peso seco de acículas que el testigo (Figura 4). Esto resalta la importancia de definir, cuidadosamente, los nutrimentos y dosis de fertilización antes de aplicarlas, ya que no cualquier tratamiento genera resultados positivos (Sumner, 1977; Moreno et al., 2002).
Se desconocen las concentraciones críticas de Pinus cooperi, pero la Figura 4 muestra concentraciones de N superiores (aproximadamente 1.7 % en el tratamiento testigo) a la media de coníferas en vivero (0.87 %), según los datos presentados por Hernández y Torres (2009). No obstante que las concentraciones de nutrimentos en los tejidos de las plantas en vivero son mayores que los de individuos en los sitios definitivos, debido al manejo intensivo proporcionado en la etapa de vivero.
Figura 4. Diagrama de Timmer para el análisis de N en el experimento de fertilización química de Pinus cooperi Blanco en Molinillos, Durango, Dgo.
Lo anterior significa que, probablemente, el N no es un nutrimento deficiente en el área de estudio o su deficiencia es leve. Es digno de puntualizarse que aun con la aplicación de N, sus concentraciones en el follaje se mantuvieron en niveles similares o inferiores a las plantas testigo. Lo anterior indica que existió pérdida de N del suelo, posiblemente por vaporización o lixiviación. El fertilizante nitrogenado fue la urea, que en el suelo se convierte en amonio, el cual es un radical proclive a la vaporización (Binkley, 1993; Schlesinger, 1997). Respecto al fósforo (Figura 5), las concentraciones foliares en la mayoría de los tratamientos fueron bajas (0.096 %). que las concentraciones críticas promedio registradas por Hernández y Torres (2009) para coníferas mexicanas en vivero (0.16 %).
Figura 5. Diagrama de Timmer para el análisis de P en el experimento de fertilización química de Pinus cooperi Blanco en Molinillos, Durango, Dgo.
Por lo tanto, el P es un nutrimento limitante del crecimiento en el sitio de estudio. Esto coincide con el efecto positivo descrito de la aplicación de P sobre el crecimiento de diámetro basal. En congruencia con dicho hallazgo, todos los tratamientos que produjeron pesos secos de acículas superiores a los del testigo recibieron alguna dosis de P (Figura 5), lo que de acuerdo con López-López y Alvarado-López (2010) corresponde a vectores de Timmer (Timmer y Stone, 1978) del tipo +,+,+ o bien, +,-,+. López-López y Alvarado-López (2010) señalan que este tipo de vectores corresponden a deficiencia del nutrimento antes de ser aplicado.
Figura 6. Diagrama de Timmer para el análisis de K en el experimento de fertilización química de Pinus cooperi Blanco en Molinillos, Durango, Dgo.
No obstante que las concentraciones de K fueron más bajas (<0.2237 %) que las concentraciones medias de K en el follaje de coníferas (0.55 %) (Hernández y Torres, 2009); en general, las concentraciones foliares de K en el presente experimento se incrementaron al aplicarlo (Figura 6). Esto implica que el K no es limitante del crecimiento y que existe otro factor, que propicia que dicho elemento presente un efecto de concentración en el follaje (López-López y Alvarado-López, 2010). Ese diagnóstico coincide con el impacto negativo y significativo del K sobre el peso seco de 100 acículas (Figura 2).
El hecho de que el K, aun en concentraciones bajas en el follaje, no tuvo efectos positivos sobre el crecimiento, cuando se aplicó; esto significa que el estado nutrimental de los árboles debe basarse en un análisis integral de varios nutrimentos. Un análisis individual de las concentraciones de K en el follaje de Pinus cooperi hubiese conducido a concluir que es deficiente en el sitio de estudio, y que su aplicación derivaría en incrementos del crecimiento; sin embargo, debido a la presencia de otra deficiencia, probablemente, más severa que la de K, como la de P, tal recomendación sería incorrecta.
De acuerdo con los resultados de la presente investigación, es posible recomendar la aplicación de una dosis alta de P, una media de N y una baja de potasio K. Esa estrategia enmendaría la deficiencia del nutrimento más limitante (P); se aumentaría la disponibilidad del que resultó ligeramente deficiente (N) y se incrementaría la disponibilidad del menos deficiente (K); toda vez que, con la aplicación de P, tanto N como K podrían tornarse deficientes, de acuerdo con la ley del mínimo de Liebig.
Conclusiones
El nutrimento que más incrementó el diámetro basal fue el fósforo con la dosis alta. El sitio de estudio presenta deficiencia de P, ya que al aumentar su dosis se incrementa el diámetro basal. La aplicación de nitrógeno en la dosis media (4 g árbol-1) genera mayor incremento de altura en los brinzales de Pinus cooperi. El potasio no tiene ningún efecto positivo en las variables evaluadas. Los nutrimentos deficientes son fósforo y nitrógeno. La fertilización no siempre garantiza un mejoramiento de las tasas de crecimiento del árbol; por el contrario, esta práctica puede reducir los rendimientos, cuando se aplica el nutrimento no limitante.
Conflicto de intereses
Los autores declaran no tener conflicto de intereses.
Contribución por autor
Rafael Ricardo Hernández Valera: toma de datos de campo, análisis de datos y escritura del artículo científico; Miguel Ángel López López: dirección general del proyecto, planeación, instalación y seguimiento del experimento, así como de los análisis de datos y revisión del manuscrito; Patricia Flores Nieves: planeación, instalación, seguimiento del experimento en campo, análisis de datos y escritura del manuscrito.
Referencias
Binkley, D. 1993. Nutrición forestal: Prácticas de manejo. Editorial Limusa. Grupo Noriega Editores. México, D.F., México. 340 p.
Calixto, C. G., M. Á. López, A. Equihua, D. E. Lira y V. M. Cetina. 2015. Crecimiento de Cedrela odorata e incidencia de Hypsipyla grandella en respuesta al manejo nutrimental. Bosque 36(2): 265-273. doi: 10.4067/50717-92002015000200012.
Fox, T. R., H. L. Allen, T. J. Albaugh, R. Rubilar and C. A. Carlson. 2007. Tree nutrition and forest fertilization of pine plantations in the Southern United States. Southern Journal of Applied Forestry 31(1): 5-11.
Garrison-Johnston, M. T., T. M. Shaw, P. G. Mika and L. R. Johnson. 2005. Management of ponderosa pine nutrition through fertilization. USDA Forest Service Gen. Tech. Rep. PSW-GTR-198.Albany, CA USA. pp. 123-143.
Gülcü, S. and N. Bilir. 2017. Growth and survival variation among scots pine (Pinus sylvestris L.) provenances. Intrnational Journal of Genomics (1):1-7.
Hernández, P. F. y Torres, L. S. (2009). Niveles críticos nutrimentales preliminares para especies forestales de México a nivel de vivero. Tesis Profesional, DICIFO, Universidad Autónoma Chapingo. 151 p.
Kozlowski, T. T. and S. G. Pallardi. 1997. Physiology of woody plants. 2nd ed. Academic Press. San Diego, CA USA. 411 p.
Lambers, H., F. S. Chapin III and T. L. Pons. 1998. Physiological Plant Ecology. Springer. New York, NY USA. 540 p.
López-López, M. Á. y J. Alvarado-López. 2010. Interpretación de nomogramas de análisis de vectores para diagnóstico nutrimental de especies forestales. Madera y Bosques 16(1): 99-108. http://www.scielo.org.mx/scielo.php?script=sci_arttext&pid=S1405-04712010000100007&lng=es&nrm=iso>. ISSN 1405-0471 (20 de octubre de 2016).
López-López, M. Á. y E. Estañol-Botello. 2007. Detección de deficiencias de hierro en Pinus leiophylla a partir de los efectos de dilución y concentración nutrimental. Terra Latinoamericana 25(1): 9-15. https://www.researchgate.net/publication/262560735_ (17 de septiembre de 2017).
López-López, M. A. y P. Flores-Nieves. 2016. Captura de carbono en bosques, en relación con la densidad de arbolado y fertilización química. In: Paz, P. F. y A. R. Torres (eds.). Estado actual del conocimiento del ciclo del carbono y sus interacciones en México: Síntesis a 2016. Programa Mexicano del Carbono-Universidad Autónoma del Estado de Hidalgo. Texcoco, Edo. de Méx., México. pp. 716-723.
Martínez, M. 1992. Los Pinos Mexicanos. 3a ed. Ediciones Botas. México, D.F., México. 361 p.
Moreno Ch., L. R., M. Á. López L., E. Estañol B. y A. Velázquez M. 2002. Diagnóstico de necesidades de fertilización de Abies religiosa (H. B. K.) Schl. et Cham. en vivero mediante el DRIS. Madera y Bosques 8(1): 51-60. http://www.redalyc.org/pdf/617/61789904.pdf (24 de mayo de 2017).
Opazo A., J. D., A. Luchsinger L. y O. Neira V. 2008. Factores de suelo y planta para determinar la fertilización nitrogenada en maíz dulce en la zona central de Chile. IDESIA (Chile) 26(2): 53-58. http://www.scielo.cl/pdf/idesia/v26n2/art07.pdf (24 de mayo de 2017).
Pérez-Camacho, M., M. Á. López-López, A. Equihua-Martínez, V. M. Cetina-Alcalá and J. T. Méndez-Montiel. 2013. Relationships between site factors and bark beetle attack on pine trees. Journal of Biological Sciences 13(7): 621-627. doi: 10.3923/jbs.2013.621.627.
Perry, P. J. 1991. The Pines of Mexico and Central America. Timber Press. Portland, OR USA. 107 p.
Schlesinger, W. H. 1997. Biogeochemistry: An analysis of global change. 2nd ed. Academic Press. San Diego, CA, USA. 588 p.
Secretaría del Medio Ambiente y Recursos Naturales (Semarnat). 2010. Anuario estadístico de la producción forestal 2010. http://www.semarnat.gob.mx/archivosanteriores/temas/gestionambiental/forestalsuelos/Anuarios/ANUARIO_2010.pdf (15 de octubre de 2014).
Sumner, M. E. 1977. Preliminary N P K foliar diagnostic norms for wheat. Communications in Soil Science and Plant Analysis 8(2): 148-167. doi: 10.1080/00103627709366709.
Timmer, V. R. and E. L. Stone. 1978. Comparative foliar analysis of young balsam fir fertilized with nitrogen, phosphorus, potassium, and lime. Soil Science Society of America Journal 42: 125-130.
Vargas-Larreta, B., J. G. Álvarez-González, J. J. Corral-Rivas y O. A. Aguirre-Calderón. 2010. Construcción de curvas dinámicas de índice de sitio para Pinus cooperi Blanco. Revista Fitotecnia Mexicana 33(4): 343-351. http://www.redalyc.org/articulo.oa?id=61015520008 (17 de octubre de 2016).
Weetman, G. F. 1989. Graphical vector analysis technique for testing stand nutritional status. In: Dyck, W. J. and C. A. Mees (eds.). Research Strategies for Long-term Site Productivity. Research Institute, New Zealand Bulletin. Proceedings, IEA/BE A3 Workshop. IEA/BE A3 Report No. 8. Forest. Seattle, WA USA. pp. 93-109.
Wells, C. and L. Allen. 1985. When and where apply fertilizer? A loblolly pine management guide. USDA Forest Service. Gen. Tech. Rep. SE-36. http://www.srs.fs.usda.gov/pubs/gtr/gtr_se036.pdf (17 de octubre de 2016).
Todos los textos publicados por la Revista Mexicana de Ciencias Forestales–sin excepción– se distribuyen amparados bajo la licencia Creative Commons 4.0 Atribución-No Comercial (CC BY-NC 4.0 Internacional), que permite a terceros utilizar lo publicado siempre que mencionen la autoría del trabajo y a la primera publicación en esta revista.