Revista Mexicana de Ciencias Forestales Vol. 12 (68)
Noviembre - Diciembre (2021)
DOI: 10.29298/rmcf.v12i68.898 Article Estimación del crecimiento de dos especies de Pinus de la Región Centro de Guerrero, México Growth estimation of two pine species from the Central Region of Guerrero state México |
Francisco Javier Hernández1*
Brenda Mireya Bretado Medrano2
Ezequiel Márquez Bernal2
Juan Abel Nájera Luna1
Benedicto Vargas Larreta1
Fecha de recepción/Reception date: 8 de octubre de 2020
Fecha de Aceptación/Acceptance date: 18 de agosto de 2021
_______________________________
1Tecnológico Nacional de México. Instituto Tecnológico de El Salto. División de Estudios de Posgrado e Investigación. México.
2Tecnológico Nacional de México. Instituto Tecnológico de El Salto. Ingeniería Forestal. México.
*Autor para correspondencia: correo-e: fcojhernan@yahoo.com.mx
Resumen
La aplicación de modelos de crecimiento para árboles individuales en bosques mezclados permite realizar estimaciones a nivel de la unidad de manejo. El objetivo del presente estudio fue evaluar los modelos de crecimiento en diámetro normal, área basal, altura total y volumen fustal de Chapman-Richards, Schumacher, Hossfeld I y Weibull para árboles individuales de Pinus pseudostrobus y Pinus oocarpa de Guerrero, México. Mediante muestreo selectivo se recolectaron 27 árboles dominantes y 28 codominantes para reconstruir los perfiles de árboles ordenados en grupos de diez años, por medio de la técnica de análisis troncales. La selección de los mejores modelos para cada variable se realizó con base en el coeficiente de determinación ajustado, la raíz del error medio cuadrático, las propiedades de los parámetros y las tendencias lógicas de crecimiento. Los resultados indican que el modelo de Schumacher fue el mejor para estimar el crecimiento en diámetro normal y la altura en ambas especies, así como el área basal de Pinus pseudostrobus y el volumen de Pinus oocarpa; mientras que, el modelo de Chapman-Richards fue el mejor para estimar el área basal de Pinus oocarpa y el volumen para Pinus pseudostrobus. Las edades estimadas del turno para volumen en Pinus oocarpa fueron de 62 años y para Pinus pseudostrobus de 82 años.
Palabras clave: Altura total, área basal, crecimiento en diámetro, modelos de crecimiento, Pinus, volumen
Abstract
The application of growth models for individual trees in mixed forests allows estimates to be made at the management unit level. The objective of the present study was to evaluate the growth models in normal diameter, basimetric area, total height and stem volume of Chapman-Richards, Schumacher, Hossfeld I and Weibull for individual Pinus pseudostrobus and Pinus oocarpa trees from the state of Guerrero, Mexico. Through selective sampling, 27 dominant and 28 codominant trees were collected to reconstruct the profiles of trees arranged in groups of ten years, by means of the stem analysis technique. The selection of the best models for each variable was made based on the adjusted coefficient of determination, the root mean square error, the properties of the parameters and the logical growth trends. The results indicate that the Schumacher model was the best to estimate growth in normal diameter and height in both species, the basal area of Pinus pseudostrobus and the volume of Pinus oocarpa, while the Chapman-Richards model was the best for estimate the basal area for Pinus oocarpa and the volume for Pinus pseudostrobus. The estimated turn ages for volume in Pinus oocarpa were 62 years and for Pinus pseudostrobus, 82 years.
Key words: Total height, basimetric area, diameter growth, growth models, Pinus, stem volume.
Introduction
The timber volume to be harnessed is a function of the growth and yield of the species that make up the forest stands. In this context, it is common practice to predict the normal diameter, basimetric area, total height or the volume as a function of predictor variables such as age, density, station quality, competition indexes or others that allometrically or biological explain tree growth (Briseño et al., 2020).
For several decades, several models have been generated that simulate in a logical and precise way the growth at the individual or stand level over time (Clutter et al., 1983; Corral and Návar, 2005; McCullagh et al., 2017); Chapman-Richards, Schumacher, Weibull and Hosffeld I models in particular, have the property of simulating the sigmoidal growth of timber forest species and reflect the antagonistic dynamics that occur between the intrinsic physiological factors that stimulate growth and those of the environment that limit it (Kiviste et al., 2002). From a practical point of view, the equations that result from the adjustment of the parameters of these models are used to estimate the growth of trees, an essential knowledge in making efficient forestry decisions that ensure sustainable timber harvesting (Santiago-García et al., 2013; Vargas-Larreta et al., 2013).
The modeling and prediction of stand growth in mixed and irregular forests is a difficult task, since these forests, in addition to gathering a variety of species, are irregular in structure. In them, each species has a different rate of biological growth in response to genetic inheritance and adaptation to the environmental conditions where it develops (Diéguez et al., 2009; Fien et al., 2019). Based on the above, growth models for individual trees facilitate prediction at the unit area level since the sum of the growths of the individual trees that make up a unit area results in total growth (Torres and Magaña, 2001). The technique used to obtain information and the type of model to be used depends on the type of forest: pure, mixed, contemporary, non-even aged, homogeneous or heterogeneous, and the projection interval (Diéguez et al., 2009; Hernández et al., 2018; Briseño et al., 2020).
Pinus pseudostrobus Lindl. and Pinus oocarpa Schiede ex Schltdl. are widely distributed throughout the forest territory of the central region of the state of Guerrero; they form patches of a single species or of several species of the Pinus genus associated with oaks and some broadleaves and are considered within the six species of the genus of greatest commercial importance. They have good characteristics to be used in the manufacture of plywood, sheet metal, packing boxes, moldings, construction and furniture manufacturing (Conafor, 2015).
In order to generate tools that help decision-making to contribute to achieving sustainable use of timber species in the central region of the state of Guerrero, the aim of this study was to assess the goodness of fit of four growth models in normal diameter, basimetric area, total height and stem volume of Pinus pseudostrobus and Pinus oocarpa, and select the most efficient one.
Materials and Methods
Study area
The study area was Forest Management Unit 1205 (UMAFOR-1205), which is located within the Sierra Madre del Sur mountain system in the central region of the state of Guerrero (Figure 1).
Figure 1. Location of the study area.
Climate types in coniferous forest areas vary from temperate to semi-warm with different humidity graduations. However, the predominant type of climate is (A) C (w) (García, 2004).
Soils are classified as Leptosols, Luvisols, Regosols and Cambisols, of which Leptosols have the highest distribution within the study area (Inegi, 2016).
Sampling
The selective sampling method was applied in the low, medium and high season qualities of UMAFOR-1205 to collect 27 dominant trees and 28 codominant trees, without physical damage, with ages from 20 to 100 years. Slices were obtained from the stem of each tree at 0.30 m, 0.60 m and 1.30 m high and subsequently at every 2.60 m until reaching the tip to reconstruct 102 and 152 profiles of Pinus pseudostrobus and Pinus oocarpa trees, respectively, starting from the collected trees and applying the methodology to perform the trunk analysis described by Klepac (1983).
Variables
The initial measurements that were taken per tree of each species were normal diameter with bark obtained at 1.30 m height with a 283D LufkingTM 5M diametric tape; barkless diameter of each slice measured with a LufkingTM rule and estimated as the average of two measurements taken in the cross. The rings from each slice were divided into groups of ten to measure radial growth at different heights. The age of each of the reconstructed trees was determined on the largest diameter of the slice obtained at 30 cm high of the stem. To measure the normal diameter and estimate the basimetric area of each reconstructed tree, growth rings were grouped in ages of 10 years from the center to the periphery (Klepac, 1983). The estimation of the true height was carried out using the Carmean (1972) formula modified by Newberry (1991), whose expression is:
Where:
= Estimated total height in the i-th slice, corresponding to j growth rings
= Cumulative height to top cut of each -th slice
= Cumulative height to top cut of each next -th slice
= Number of growth rings of the -th slice
= Number of growth rings of the next -th slice
j = Number of growth rings from the core of each slice
The basimetric area was determined by the following equation:
Where:
= Basimetric area
=3.14159
= Normal diameter measured at 1.30 high from the surface of the ground
The volumes of each log were estimated with the Smalian equation and that of the cone, respectively.
Where:
= Largest diameter of each log
= Smallest diameter of each log
= Diameter at the base of the tip (m)
= Log’s length (m)
The sum of the volumes of the logs of each tree was equal to the total volume without bark of the stem.
Table 1 shows the basic descriptive statistics of the variables analyzed by species.
Table 1. Descriptive statistics of the analyzed variables.
Species | Variable | N | Minimum | Average | Maximum | Standard deviation |
Pinus pseudostrobus Lindl. | Diameter (cm) | 102 | 1.3 | 19.84 | 41.5 | 10.65 |
Basimetric area (m2) | 102 | 0.00013 | 0.03976 | 0.13526 | 0.03584 | |
Height (m) | 282 | 0.17 | 12.26 | 38.28 | 8.84 | |
Volume (m3) | 102 | 0.00042 | 0.45 | 2.32 | 0.5075 | |
Pinus oocarpa Schiede ex Schltdl. | Diameter (cm) | 152 | 1.3 | 20.23 | 45.5 | 10.0061 |
Basimetric area (m2) | 152 | 0.00013 | 0.03999 | 0.16259 | 0.03305 | |
Height (m) | 257 | 0.17 | 10.05 | 28.3 | 6.90207 | |
Volume (m3) | 152 | 0.00022 | 0.37325 | 1.84337 | 0.35941 |
Analysis
To the growth data in normal diameter, basal area, height and volume, the growth models of Chapman-Richards (M1), Hossfeld I (M2), Weibull (M3) and Schumacher I (M4) mentioned by Kiviste et al., (2002) using nonlinear regression (Table 2). In addition, their respective expressions were generated to determine the annual current increase (ICA, for its acronym in Spanish) and the average annual increase (IMA, for its acronym in Spanish). The adjustments were made by applying the PROC MODEL procedure of the SAS statistical program (SAS, 2002). The analytical criterion to select the goodness of fit of the models considered the root mean square error (REMC), the adjusted coefficient of determination (R2adj) and the statistical properties of the estimated parameters.
Where:
= Valor observado y valor predicho de cada variable, así como el promedio estimado de la variable observada
= Number of observations
= Number of the parameters of the mode
Table 2. Assessed growth models and their ICA and IMA expressions.
Model | Expression | ICA | IMA |
Chapman-Richards | |||
Hossfeld I | |||
Weibull | |||
Schumacher |
= Normal diameter growth (cm), basimetric area (m2), total height (m) and barkless stem volume (m3); = Age (years); and = Parameters of the model; = Annual current increase of the normal diameter (cm), basimetric area (m2), total height (m) and stem volume (m3); = Average annual increase of the normal diameter (cm), basimetric area (m2), total height (m) and stem volume (m3).
Finally, as a determining factor to select the best model, the graphical analysis of the growth curves was considered.
Since the growth measurements over time of each assessed variable within each tree are correlated, the significance of the autocorrelation of the selected models was evaluated as the best using the Durbin-Watson (DW) test (Sharma et al., 2011; Quiñonez et al., 2018).
Where:
= residual of each observation
= residual of each observation before the residual
When this test was significant, the CAR (X) autoregressive model (Zimmerman et al., 2001) was applied to correct the autocorrelation problem and generate parameters and standard errors consistent with the models. The structure of the autoregressive model is:
Where:
= ordinary residual in observation i
= 1 for >k and 0 for j=k (k=1, 2, 3,…, x)
= Autoregressive parameter of the order
, = Separation distances of the th to the observation
= Independent error that follows a normal distribution with zero mean and constant variance
Once the best model was selected, the maximum ICA (ICAmáx) and maximum IMA (IMAmáx) were estimated for each of the variables and species. Both increases correspond to the highest values estimated with the ICA and IMA equations.
Results
The estimation of the parameters of the models without considering the autoregressive structure of the error for Pinus pseudostrobus presented DW values for the diametric growth between 0.9518 and 1.0028, basimetric area 0.6188 and 0.9390, height 0.3057 and 0.3324 and volume 0.9896 and 1.0343; while for Pinus oocarpa, the DW values for diameter growth ranged from 0.5095 to 0.5912, basimetric area from 0.5814 to 0.6621, height 0.3437 to 0.3655 and volume 0.6211 to 0.6966, figures that indicate autocorrelation. The DW values estimated after adjusting the growth models with the autoregressive model CAR (1), CAR (2) and CAR (3) allow us to deduce that the autocorrelation of the residuals improved significantly (Table 3). In turn, the estimators of the parameters ( were significant for the growth models in diameter, height and volume in both species (Pr> 0.0001), from which it is inferred that the estimate of the parameters and standard errors are consistent in these growth models, but not for those with basal area (Pr> 0.05) (tables 4 and 5). The independence of the errors favors the estimation of efficient and unbiased parameters and prevents the underestimation of the covariance matrix of the parameters (González et al., 2016).
Table 3. Adjustment statistics of the growth models in the analyzed variables.
Model | Pinus pseudostrobus Lindl. | Pinus oocarpa Schiede ex Schltdl. | ||||
R2adj | RCME | DW | R2adj | RCME | DW | |
Normal diameter | ||||||
M1 | 0.7403 | 5.427 | 1.653 | 0.8654 | 3.671 | 1.162 |
M2 | 0.7230 | 5.605 | 1.746 | 0.9001 | 3.162 | 1.649 |
M3 | 0.7831 | 4.960 | 1.480 | 0.8640 | 3.690 | 1.182 |
M4 | 0.7400 | 5.431 | 1.654 | 0.8648 | 3.679 | 1.117 |
Basimetric area | ||||||
M1 | 0.7063 | 0.0194 | 1.489 | 0.9154 | 0.0096 | 1.590 |
M2 | 0.6962 | 0.0197 | 1.591 | 0.9096 | 0.0096 | 1.660 |
M3 | 0.7019 | 0.0196 | 1.514 | 0.9120 | 0.0097 | 1.509 |
M4 | 0.7105 | 0.0193 | 1.500 | 0.9079 | 0.0100 | 1.515 |
Height | ||||||
M1 | 0.9650 | 1.6093 | 1.661 | 0.9460 | 1.603 | 1.220 |
M2 | 0.9338 | 2.2315 | 1.770 | 0.9441 | 1.631 | 1.300 |
M3 | 0.9645 | 1.6224 | 1.692 | 0.9688 | 1.231 | 1.597 |
M4 | 0.9275 | 2.3167 | 1.652 | 0.9695 | 1.204 | 1.598 |
Volume | ||||||
M1 | 0.8544 | 0.1977 | 1.735 | 0.9321 | 0.0936 | 1.635 |
M2 | 0.7426 | 0.2574 | 1.626 | 0.9240 | 0.0990 | 1.621 |
M3 | 0.9338 | 0.0924 | 1.361 | 0.9338 | 0.0924 | 1.361 |
M4 | 0.8500 | 0.1964 | 1.737 | 0.9305 | 0.0947 | 1.608 |
M1= Chapman-Richards; M2=Hossfeld I; M3=Weibull; M4=Schumacher; R2adj = Adjusted coefficient of determination; RCME = Mean square root of error; DW = Durbin-Watson.
Table 4. Estimators of the parameters and standard errors of the evaluated models for Pinus pseudostrobus Lindl.
Pinus pseudostrobus | Parameters | ||||||||||
Model | Statistic | ||||||||||
Diameter | |||||||||||
M1 | Estimator | 32.96137 | 0.07249 | 3.197013 | 1.00368 | ||||||
E. E. | 2.86740 | 0.01540 | 0.83570 | 0.01100 | |||||||
M2 | Estimator | 2.81260 | 0.12419 | 0.99036 | |||||||
E. E. | 0.33320 | 0.00931 | 0.01450 | ||||||||
M3 | Estimator | 30.8810 | 0.00095 | 2.09730 | 1.01299 | 0.97076 | 0.32513 | ||||
E. E. | 2.58110 | 0.00063 | 0.2283 | 0.00954 | 0.01740 | 0.21780 | |||||
M4 | Estimator | 49.14015 | 24.38972 | 0.99762 | |||||||
E. E. | 4.18750 | 2.49430 | 0.01210 | ||||||||
Basimetric area | |||||||||||
M1 | Estimator | 0.08711 | 0.06955 | 4.85097 | 1.72976 | ||||||
E. E. | 0.01440 | 0.02710 | 2.73200 | 8.73230 | |||||||
M2 | Estimator | 92.12886 | 1.84175 | 0.09097 | |||||||
E. E. | 15.33660 | 0.34970 | 0.45990 | ||||||||
M3 | Estimator | 0.081866 | 0.000242 | 2.37926 | 0.878077 | ||||||
E. E. | 0.0111 | 0.000388 | 0.51580 | 4.26000 | |||||||
M4 | Estimator | 0.16539 | 40.21302 | 3.05171 | |||||||
E. E. | 0.0267 | 5.8208 | 15.43200 | ||||||||
Height | |||||||||||
M1 | Estimator | 26.26966 | 0.06274 | 1.77583 | 1.146894 | 0.97393 | |||||
E. E. | 1.01290 | 0.00689 | 0.16550 | 0.01310 | 0.01190 | ||||||
M2 | Estimator | 2.221376 | 0.15547 | 1.03211 | |||||||
E. E. | 0.11780 | 0.00404 | 0.01310 | ||||||||
M3 | Estimator | 25.82468 | 0.01108 | 1.43804 | 1.14903 | 0.97225 | |||||
E. E. | 0.95930 | 0.00222 | 0.07600 | 0.01310 | 0.0119 | ||||||
M4 | Estimator | 33.64891 | 16.64891 | 1.00452 | |||||||
E. E. | 1.17250 | 0.83290 | 0.01420 | ||||||||
Volume | |||||||||||
M1 | Estimator | 2.20766 | 0.02989 | 4.80571 | 4.203409 | ||||||
E. E. | 1.54900 | 0.0185 | 2.27560 | 0.4316 | |||||||
M2 | Estimator | -46.1913 | -0.14897 | 1.95681 | |||||||
E. E. | 8.03150 | 0.14610 | 0.42170 | ||||||||
M3 | Estimator | 0.81488 | 8.30x10-8 | 4.12430 | 10.62855 | 3.36962 | |||||
E. E. | 0.06390 | 1.15x10-7 | 0.36980 | 1.33610 | 0.34480 | ||||||
M4 | Estimator | 3.66476 | 82.53542 | 4.06032 | 2.38687 | ||||||
E. E. | 0.90860 | 11.30020 | 0.39320 | 0.27590 | |||||||
M1 = Chapman-Richards; M2 = Hossfeld I; M3 = Weibull; M4 = Schumacher; E.E. = Standard error; = Parameters of the model; = Parameters of the autoregressive model CAR(x).
Table 5. Estimators of the parameters and standard errors of the evaluated models for Pinus oocarpa Schiede ex Schltdl.
Pinus oocarpa | Parameters | ||||||
Model | Statistic | ||||||
Diameter | |||||||
M1 | Estimator | 33.30371 | 0.05272 | 2.78622 | 0.97376 | ||
E. E. | 1.91760 | 0.00869 | 0.54060 | 0.01280 | |||
M2 | Estimator | 3.53210 | 0.12302 | 0.98023 | 0.97631 | 0.93747 | |
E. E. | 0.25640 | 0.00556 | 0.01490 | 0.01180 | 0.01910 | ||
M3 | Estimator | 32.19344 | 0.00184 | 1.77252 | 0.97084 | ||
E. E. | 1.71310 | 0.00092 | 0.16090 | 0.01300 | |||
M4 | Estimator | 48.59111 | 30.57237 | 0.97336 | |||
E. E. | 2.46550 | 2.04540 | 0.01310 | ||||
Basimetric area | |||||||
M1 | Estimator | 0.11168 | 0.03658 | 3.81223 | 182509.8 | 1700.225 | 0.03670 |
E. E. | 0.01520 | 0.00706 | 0.72260 | 642673.0 | 4436.2 | 0.12610 | |
M2 | Estimator | 134.7345 | 1.65843 | 1.8093x108 | 101.28700 | 3.93x10-10 | |
E. E. | 14.3358 | 0.23650 | 5.1302x108 | 278.70000 | 2.79x10-9 | ||
M3 | Estimator | 0.08803 | 0.00010 | 2.36525 | 1.1768x108 | 13.08743 | |
E. E. | 0.00915 | 0.00008 | 0.23610 | 3.07x108 | 34.40770 | ||
M4 | Estimator | 48.59111 | 30.57237 | 0.97336 | |||
E. E. | 2.46550 | 2.04540 | 0.01310 | ||||
Height | |||||||
M1 | Estimator | 19.2500 | 0.01592 | 1.34003 | 1.05532 | 0.97638 | 0.90647 |
E. E. | 0.54760 | 0.00334 | 0.07240 | 0.02130 | 0.01850 | 0.02060 | |
M2 | Estimator | 2.17484 | 0.18839 | 0.96258 | |||
E. E. | 0.10580 | 0.00343 | 0.01970 | ||||
M3 | Estimator | 19.25000 | 0.01592 | 1.34003 | 1.05532 | 0.97638 | 0.90647 |
E. E. | 0.54760 | 0.00334 | 0.07240 | 0.02130 | 0.01850 | 0.02060 | |
M4 | Estimator | 23.34795 | 14.04075 | 1.06527 | 0.99418 | 0.93053 | |
E. E. | 0.66200 | 0.69910 | 0.01990 | 0.01670 | 0.01650 | ||
Volume | |||||||
M1 | Estimator | 0.90389 | 0.05058 | 6.86763 | 6.84513 | 4.00005 | 1.26232 |
E. E. | 0.10200 | 0.00685 | 1.33010 | 1.32240 | 0.64170 | 0.33180 | |
M2 | Estimator | -55.2519 | -0.39983 | 10.48295 | 2.96807 | 0.33751 | |
E. E. | 6.34390 | 0.09880 | 1.63760 | 0.46260 | 0.16290 | ||
M3 | Estimator | 0.81488 | 8.3x10-8 | 4.12430 | 10.62855 | 3.36962 | 0.33751 |
E. E. | 0.06390 | 1.15x10-7 | 0.36980 | 1.33610 | 0.34480 | 0.16290 | |
M4 | Estimator | 2.33633 | 80.82759 | 7.09319 | 4.19346 | 1.35311 | |
E. E. | 0.30240 | 6.66230 | 1.35920 | 0.67930 | 0.36270 | ||
M1= Chapman-Richards; M2=Hossfeld I; M3=Weibull; M4=Schumacher; E.E.= Standard Error; = Parameters of the model; = Parameters of the autoregressive model CAR(x).
Goodness of fit of models
The R2adj and RCME statistics indicated that in Pinus pseudostrobus, the Weibull model was the one that best adjusted to estimate growth in diameter and volume and those of Chapman-Richard and Weibull in height; in turn, all models were adjusted in a similar way in estimating the basal area. In Pinus oocarpa, the Hossfeld I model was the one that registered the best fit in diameter, those of Chapman-Richard and Weibull in basimetric area, those of Schumacher and Weibull in height, as well as those of Chapman-Richard, Weibull and Schumacher in volume (Table 3).
However, when considering the level of significance of the parameter estimators (α <0.05), the Weibull model was rejected to predict growth in diameter, basimetric area, height and volume in Pinus pseudostrobus, and growth in basimetric area. and volume for Pinus oocarpa. In a similar way, the Chapman-Richards and Hossfeld I volume growth models showed non-significant parameters in Pinus pseudostrobus. For this species, only the Schumacher model recorded estimators of the significant parameters in the four growth variables studied. In relation to Pinus oocarpa, all the estimators of the Chapman-Richard, Hossfeld I and Schumacher models were significant (Pr <0.0001) in the four variables studied. Based on the previous context, the graphical assessment in the estimation of the growth of each variable by species carried out with the models whose parameters were all significant, allowed to define the best model.
Growth curve trends
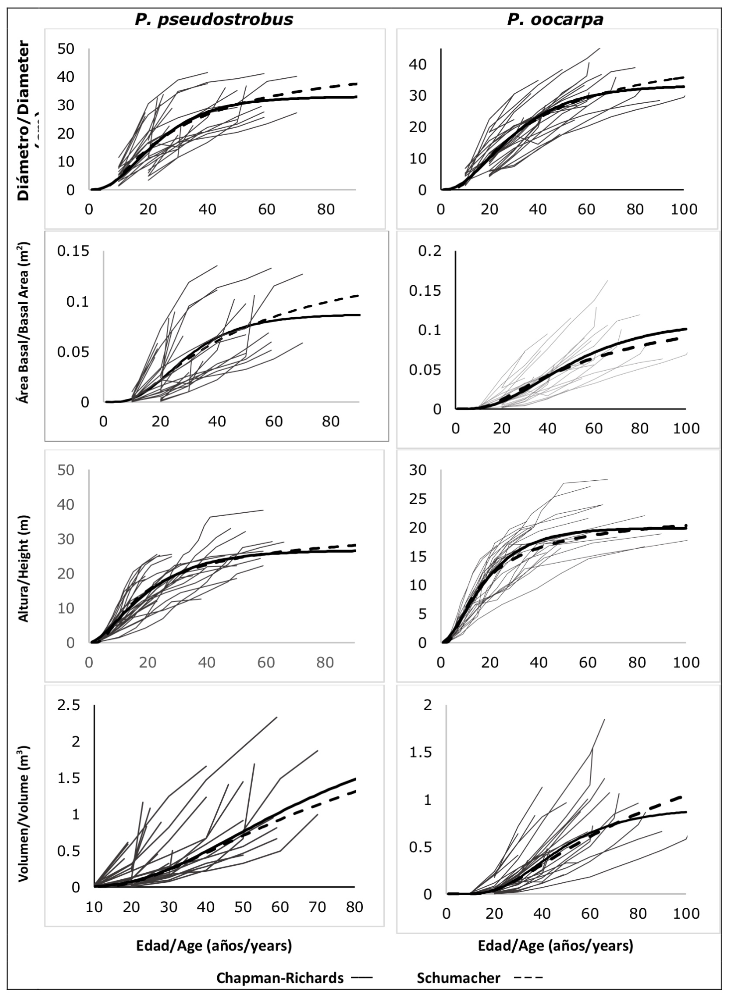
Figure 2 shows that both the Chapman-Richards and Schumacher models predict very similar normal diameter growths for both species up to 50 and 65 years. From these ages, the growth rate predicted with the Chapman-Richards model tends to zero, while, with the Schumacher model, growth continues upward until reaching the asymptote. The maximum growth in diameter estimated with the Chapman-Richards model in Pinus pseudostrobus and Pinus oocarpa were lower than those predicted with the Schumacher model; the latter presented more plausible growth rates at ages over 60 years and was selected to make the predictions of the growth in diameter of both species.
Figure 2. Comparison of the trends of the growth curves generated by the Schumacher and Chapman-Richards models with respect to the growth series observed for the variables analyzed.
In reference to the basimetric area, the Schumacher model was the one that best showed the trend in Pinus pseudostrobus, while the Chapman-Richards model did so in Pinus oocarpa during the evaluated period. In the first species, the Schumacher model predicted minor growths in the basimetric area up to an approximate age of 70 years, while in Pinus oocarpa, the same happens over the entire growth period evaluated.
In the graphical analysis of the growth in total height, the Schumacher model is the one that best predicts this growth. The Hossfeld I model exhibits a higher growth rate after 40 years in Pinus pseudostrobus and after 60 years in Pinus oocarpa, while the Chapman-Richards and Weibull models decrease it drastically after 50 years, and showed the asymptotes at an early age.
On the other hand, the predictions of volume growth with the Schumacher model in Pinus pseudostrobus and Pinus oocarpa are lower than those calculated with the Chapman-Richards model throughout the evaluation period, in which the intermediate fellings are programmed, Therefore, if it is desired to avoid overestimating the usable volume, the Schumacher model is considered the most appropriate for such predictions. In turn, the Chapman-Richards model presents the asymptote after 60 years of age, and reflects the lower estimates after that age.
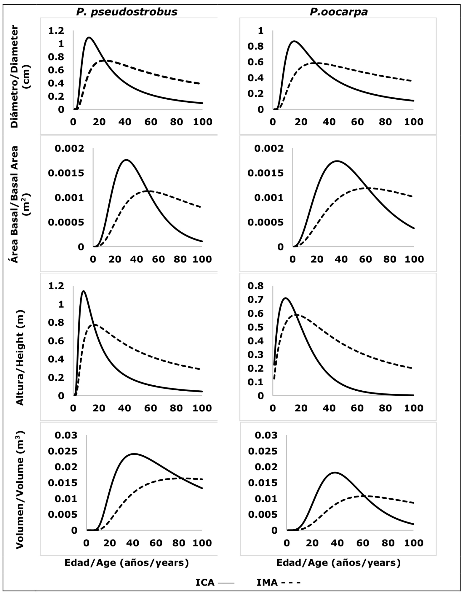
Maximum Annual and Shift Current Increases
The estimates made with the equation derived from the Schumacher normal diameter growth model indicated that the ICAmáx in diameter in Pinus pseudostrobus and Pinus oocarpa were recorded at 12 (1.09 cm) and 15 years (0.86 cm), while those in the area baseline predicted with the equation derived from the Chapman-Richards model were obtained at 30 and 37 years (0.0017 cm), respectively. The ICAmáx in total height determined with the equation derived from the Schumacher model occurred at 8 (1.15 m) and 7 years (0.90 m). In turn, the ICAmáx in stem volume predicted with the equations derived from the Chapman-Richards and Schumacher models were apparent at 38 (0.024 m3) and 41 years old (0.018 m3) in Pinus oocarpa and Pinus pseudostrobus, respectively. The age of the physical shift of the volume estimated with the Schumacher equation was determined at 82 years in Pinus pseudostrobus and 62 years in Pinus oocarpa (Figure 3).
Figure 3. Trends of the ICA-IMA curves generated by the evaluated models in relation to the growth series.
If both species are associated in the same type of forest, the difference in growth patterns, the time in which the maximum increases are recorded and the turn, it is possible to assume that these species respond differently to the same environmental conditions and levels. productivity prevailing in this ecosystem. The growth predictions made with the selected models suggest that the Pinus pseudostrobus individuals reached greater dimensions in diameter, height and volume than those of Pinus oocarpa during the studied period.
Discussion
The R2adj and RCME statistics were very similar between the adjusted models, so the analysis of the trends in the growth curves that each model generates compared to the observed growth trends was essential to select the model that best represented growth. of normal diameter, basimetric area, total height and stem volume in both studied species. The Chapman-Richards and Schumacher models, selected as the best, in addition to being simple and parsimonious (Vanclay, 1994; Vanclay and Skovsgaard 1997), have asymptotic behavior and represent biologically realistic curves (Alder, 1980; Salas et al., 2016).
Similar to the results of this study, Arteaga (2000) recorded that the Schumacher model had the best fit and represented the growth in height and volume of Pinus pseudostrobus while the Chapman-Richards model did for the diameter.
Monárrez and Ramírez (2003) indicated that the best model to estimate diametric growth for Pinus durangensis Martínez was Schumacher’s and for volume that of Chapman-Richards, while Corral and Návar (2005), when evaluating the behavior of several models, determined that the Chapman-Richards model was properly adjusted to estimate growth in diameter, height and volume in five Pinus species from the state of Durango.
Martínez et al. (2014), when adjusting the Chapman-Richards and Schumacher models to assess Pinus hartwegii Lindl. diameter growth, height and volume reported that, although both models presented good fit, Schumacher’s had the best predictive quality. Pacheco et al. (2016), when adjusting the Schumacher, Chapman-Richards and Weibull models, decided to apply the second one to estimate growth, ICA and IMA in height of Pinus montezumae Lamb.
Quiñonez et al. (2015) established the Chapman-Richards model as the most suitable for generating families of diameter growth curves of Pinus lumholtzii Robins & Ferns, while De Almeida et al. (2019) reported that the Chapman-Richards, together with the Weibull model, showed the best adjustments to generate diameter growth curves of five pine species. In turn, Hernández et al. (2018) indicated that the Chapman-Richards growth model was the best fit to generate site index curves in Pinus ayacahuite Ehren.
Recently, Hernández et al. (2020), when working with the same models that were applied in this study to three pine species from the state of Chihuahua, concluded that the Chapman-Richards and Schumacher models best represented growth in diameter, basimetric area, height and volume.
From the standpoint that the normal diameter is an indicator of the growth phases of the studied species (Imaña and Encinas, 2008), the age at which the ICAmáx value was calculated suggests that the juvenile period of Pinus pseudostrobus and of Pinus oocarpa culminated naturally at 12 and 14 years, and reached diameters of 7.5 and 6.3 cm, respectively. From these ages, both species begin their maturity period, which reaches 24 and 31 years, temporalities related to average growth in diameter of 17.5 and 18.1 cm and intersections of the ICA-IMA of 0.752 and 0.575 cm, respectively. The senile stage begins when the last age of maturity is accomplished and extends until the individuals achieve their maximum growth, which is equal to the value of the asymptote. When projecting the diameter growth estimates with the Schumacher model, both Pinus pseudostrobus and Pinus oocarpa would reach maximum growth (49 and 48 cm, respectively) after 200 years.
The intersection of the ICA curves with the IMA indicates the time when the best returns occur. Based on what was mentioned by Martínez et al. (2014), the ages at which the ICAmáx of the diameter and height are recorded serve as a reference to start the intermediate treatment program, which ends a cutting cycle before the application of regeneration cutting, age of intersection of the ICA and IMA curves in volume (physical shift). Therefore, if you want to apply a regular management system, it is suggested to start the application of intermediate fellings when the individuals of the studied species are on average between 10 and 15 years old in order to promote the redistribution of water, light and nutrients. in residual trees to favor their growth and initiate the regulation of the dimensional structure of the forest (Novák, et al., 2017).
Conclusions
The results of the study indicated that the Schumacher model was the best to predict the growth in diameter and height of both, Pinus pseudostrobus and Pinus oocarpa, the basimetric area of Pinus pseudostrobus and the volume of Pinus oocarpa, while the Chapman- Richards was the best predictor of Pinus oocarpa basimetric area growth and Pinus pseudostrobus volume growth. In turn, Pinus pseudostrobus has better growths in diameter, height and volume than Pinus oocarpa. The physical turn of the volume predicted in Pinus oocarpa and Pinus pseudostrobus was 65 and 85 years, respectively.
Acknowledgements
The authors thank the Fondo Sectorial Conacyt- Conafor for the financial support for the data collection during the performance of the entitled project Sistema Biométrico para la Planeación del Manejo Forestal Sustentable de los ecosistemas con potencial maderable en México (CONAFOR 2013-CO1-209772) as well as to the Tecnológico Nacional de México by means of the Instituto Tecnológico de El Salto for the help provided during the accomplishment of this work.
Conflict of interest
The authors declare no conflict of interest.
Contribution by author
Francisco Javier Hernández, Brenda Mireya Bretado Medrano and Ezequiel Márquez Bernal: study design, preparation and quantitative analysis of the data and preliminary and final writing of the manuscript; Juan Abel Nájera Luna and Benedicto Vargas Larreta: review of the quantitative analysis as well as the final writing of the manuscript.
References
Alder D., E. 1980. Estimación del volumen forestal y predicción del rendimiento, con referencia especial a los trópicos. Roma, Italia: FAO. 80 p. http://www.fao.org/3/a-ap354s.pdf (12 de agosto de 2020).
Arteaga M., B. 2000. Evaluación dasométrica de plantaciones de cuatro especies de pino en Ayotoxtla, Guerrero. Revista Chapingo, Serie Ciencias Forestales y del Ambiente 6(2): 151-157. https://chapingo-cori.mx/revistas/articulos/doc/rchscfaVI335.pdf (4 de agosto de 2020).
Briseño R., J., J. J. Corral R., R. Solis M., J. R. Padilla M., D. J. Vega N., P. M. López S., B. Vargas L., U. Diéguez A., G. Quiñonez B. and C. A. López S. 2020. Individual tree diameter and height growth models for 30 tree species in mixed-species and uneven-aged forest of Mexico. Forest 11(4): 1-429. Doi: 10.3390/f11040429.
Carmean, W. H. 1972. Site index curves for upland oaks in Central States. Forest Science 18: 109-120. Doi: 10.1093/forestscience/18.2.109.
Clutter, J. L., J. C. Fortson, L. V. Piennar, G. H. Brister and R. L. Bailey. 1983. Timber management: A quantitative approach. John Wiley & Sons, Inc. New York, NY, USA. 333 p.
Comisión Nacional Forestal (Conafor). 2015. Caracterización y estrategías de desarrollo industrial de la Cuenca de Abasto “Centro Sur” del estado de Guerrero. Comisión Nacional Forestal, México. 166 p. https://www.gob.mx/cms/uploads/attachment/file/506494/Estudio_de_cuenca_de_abasto_Centro-Sur_Guerrero.pdf (11 de febrero de 2021).
Corral R., S. y J. de J. Návar C. 2005. Análisis de crecimiento e incremento de cinco pináceas de los bosques de Durango, México. Madera y Bosques. 11(1): 29-47. Doi:10.21829/myb.2005.1111260.
De Almeida S., M., M. R. Hernández V., J. M. Brazāo P., J. G. Escobar F., C. A. López S., J. C. Hernández D. and C. Wehenkel. 2019. Sistema dinámico de crecimiento diamétrico para cinco especies de pinos en Durango, México. Revista Mexicana de Agroecosistemas 6(2): 145-156. https://www.voaxaca.tecnm.mx/revista/docs/RMAE%20vol%206_2_2019/02-RMAE_2019-22-Pinos-ToEdit.pdf (14 de septiembre de 2020).
Diéguez A., U., A. Rojo A., F. Castelo D., J. G. Álvarez G., M. Barrio A., F. Crecente C., J. M. González G., C. Pérez C., R. Rodríguez S., C. A. López S., M. A. Balboa M., J. J. Gorgoso V. y F. Sánchez R. 2009. Herramientas selvícolas para la gestión forestal sostenible de Galicia. Unidad de Gestión Forestal Sostenible (UXFS). Escuela Politécnica Superior, Universidad de Santiago de Compostela. Xunta de Galicia, España. 259 p. https://mediorural.xunta.gal/sites/default/files/publicacions/2019-10/herramientas_selvicolas.pdf (13 de septiembre de 2020).
Fien E., K. P., S. Fravera, A. Teets, A. R. Weiskittel and D. Y. Hollinger. 2019. Drivers of individual tree growth and mortality in an uneven-aged, mixed-species conifer forest. Forest Ecology and Management 499: 1-40. Doi: 10.1016/j.foreco.2019.06.043.
García, E. 2004. Modificaciones al sistema de clasificación climática de Köppen. Instituto de Geografía, Universidad Nacional Autónoma de México. 5ª Edición. México, D.F., México. México. 90 p.
González M., M., F. Cruz C., G. Quiñonez B., B. Vargas L. y J. A. Nájera L. 2016. Modelo de crecimiento en altura dominante para Pinus pseudostrobus Lindl. en el estado de Guerrero. Revista Mexicana de Ciencias Forestales 7(37): 7-20. Doi:10.29298/rmcf.v7i37.48.
Hernández C., M., W. Santiago G., H. M. de los Santos P., P. Martínez A. y F. Ruíz A. 2018. Modelos de crecimiento en altura dominante e índices de sitio para Pinus ayacahuite Ehren. Agrociencia 52(3): 437-452. https://agrociencia-colpos.mx/index.php/agrociencia/article/view/1680 (11 de febrero de 2011).
Hernández, F. J., J. C. Meráz A., B. Vargas L. y J. A. Nájera L. 2020. Diameter, height, basal area and volume growth of three pine species from Chihuahua, Mexico. Revista Mexicana de Ciencias Forestales 11(60): 120-143. Doi: 10.29298/rmcf.v11i60.711.
Imaña E., J. y B. Encinas O. 2008. Epidometría Forestal. Brasilia: Universidade de Brasilia, Departamento de Engenharia Forestal Mérida; Universidad de Los Andes, Facultad de Ciencias Forestales. Brasilia, Brasil. 66 p. http://www.monografias.com/trabajos-pdf2/epidometria-forestal/epidometria-forestal.pdf (13 de septiembre de 2020).
Instituto Nacional de Estadística, Geografía e Informatica (Inegi). 2016. Anuario estadístico y geográfico de Guerrero 2016. Instituto Nacional de Estadística Geografía e Información. Toluca, Estado de México, México. 1-34. http://www.diputados.gob.mx/sedia/biblio/usieg/mapas2016/gro_mapas.pdf (13 de septiembre de 2020).
Kiviste, A., J. G. Álvarez, G., A. Rojo A. y A. D. Ruíz G. 2002. Funciones de crecimiento de aplicación en el ámbito forestal. Monografía INIA Forestal Núm. 4. Ministerio de Ciencia y Tecnología. Instituto Nacional de Investigación y Tecnología Agraria y Alimentaria (INIA). Madrid, España. 190 p.
Klepac, D. 1983. Incremento de árboles y masas forestales. Universidad Autónoma de Chapingo. Chapingo. Edo. de México, México. 279 p.
Martínez S., M., S. Madrigal H., I. Vázquez C., E. Velazco B., C. R. Morales N. y F. Villarreal G. 2014. Efecto de Arceuthobium vaginatum (Willd.) Presl. subsp. vaginatum en Pinus hartwegii Lindl. en Colima. Revista Mexicana de Ciencias Forestales 6(29): 44-55. Doi: 10.29298/rmcf.v6i29.215.
McCullagh, A., K. Black and M. Nieuwenhuis. 2017. Evaluation of tree and stand-level growth models using national forest inventory data. European Journal Forest Research 136(2): 1-9. Doi: 10.1007/s10342-017-1025-8.
Monárrez G., J. C. y H. Ramírez M. (2003). Predicción del rendimiento en masas de densidad excesiva de Pinus durangensis Mtz. Revista Chapingo Serie de Ciencias Forestales y del Ambiente, 9(1): 45-56. https://biblat.unam.mx/es/revista/revista-chapingo-serie-ciencias-forestales-y-del-ambiente/21 (13 de septiembre de 2020).
Newberry, J. D. 1991. A note on Carmean´s estimate of height from stem analysis data. Forest Science 37(1): 368-369. Doi:10.1093/forestscience/37.1.368.
Novák, J., D. Dušek, M. Slodičák and D. Kacálek. 2017. Importance of the first thinning in young mixed Norway spruce and European beech stands. Journal of Forest Science 63(6): 254-262. Doi: 10.17221/5/2017-JFS.
Pacheco A., G., W. Santiago J., D. Martínez S. y R. Ortíz B. 2016. Análisis del crecimiento e incremento y estimación de índice de sitio para P. montezumae Lamb. en Santiago Textitlán, Sola Vega, Oaxaca. Foresta Veracruzana 18(2): 21-28. https://www.redalyc.org/articulo.oa?id=49748829003 (11 de febrero de 2021).
Quiñonez B., G., H. M. de los Santos P. y J. G. Álvarez G. 2015. Crecimiento en diámetro para Pinus en Durango. Revista Mexicana de Ciencias Forestales 6(29): 108-125. doi:10.29298/rmcf.v6i29.220.
Quiñonez B., G., G. G. García E. y O. A. Aguirre C. 2018. ¿Cómo corregir heterocedasticidad y autocorrelación de residuales en modelos de ahusamiento y crecimiento en altura? Revista Mexicana de Ciencias Forestales 9(49): 28-59. Doi:10.29298/rmcf.v9i49.151.
Salas C., T. G. Gregoire, D. J. Craven y H. Gilabert. 2016. Modelación del crecimiento: estado de arte. Bosque 37(1): 3-12: Doi: 10.4067/S0717-92002016000100001.
Santiago-García, W., H. M. de los Santos-Posadas, G. Ángeles-Pérez, J. R. Valdez-Lazalde y G. Ramírez-Valverde. 2013. Sistema compatible de crecimiento y rendimiento para rodales coetáneos de Pinus patula. Revista Fitotecnia Mexicana 36(2):163-172. https://www.revistafitotecniamexicana.org/documentos/36-2/8a.pdf (26 de enero de 2021).
Sharma, R. P., A. Brunner, T. Eid and B. H. Øyen. 2011. Modelling dominant height growth from national forest inventory individual tree data with short time series and large age errors. Forest Ecology and Management 262(12): 2162–2175. Doi:10.1016/j.foreco.2011.07.037.
Statistical Analysis System (SAS). 2002. SAS/ETS User´s Guide Version 8. SAS Institute Inc. Cary, NC. USA. n/p.
Torres R., J. M. y O. S. Magaña T. 2001. Evaluación de plantaciones forestales. CIDE, Limusa, Noriega Editores. México, D. F., México. 472 p.
Vanclay, J. K. 1994. Modelling forest growth and yield: applications to mixed tropical forest. CAB International, Wallingford, UK. 312. file:///Users/franciscojavier/Downloads/Modelling_forest_growth_and_yield_Applic.pdf (15 de septiembre de 2020).
Vanclay, J. K. and J. P. Skovsgaard. 1997. Evaluating forest growth models. Ecological Modelling 98: 1-12. http://citeseerx.ist.psu.edu/viewdoc/download?doi=10.1.1.186.589&rep=rep1&type=pdf (15 de septiembre de 2020).
Vargas-Larreta, B., O. A. Aguirre-Calderón, J. J. Corral-Rivas, F. Crecente-Campos and U. Diéguez-Aranda. 2013. A dominant height growth and site index model for P. pseudostrobus Lindl. in Northeastern Mexico. Agrociencia 47: 91-106. https://agrociencia-colpos.mx/index.php/agrociencia/article/view/1004/1004 (15 de septiembre de 2020).
Zimmerman, D. L., V. Núñez A., T. G. Gregoire, O. Schabenberger, J. D. Hart, M. G. Kenward, G. Molenberghs, G. Verbeke, M. Pourahmadi and P. Vieu. 2001. Parametric modelling of growth curve data: An overview. Test 10(1): 1-73. Doi:10.1007/BF02595823.
Todos los textos publicados por la Revista Mexicana de Ciencias Forestales –sin excepción– se distribuyen amparados bajo la licencia Creative Commons 4.0 Atribución-No Comercial (CC BY-NC 4.0 Internacional), que permite a terceros utilizar lo publicado siempre que mencionen la autoría del trabajo y a la primera publicación en esta revista.