Revista Mexicana de Ciencias Forestales Vol. 12 (64)

Marzo – Abril (2021)

DOI: https://doi.org/10.29298/rmcf.v12i64.797

Research note

Especies del género Quercus, su distribución y volumen de madera en Tlaquilpa, Veracruz

Species of the Quercus genus, its distribution and timber volume in Tlaquilpa, Veracruz 

Andrés Flores1* y Jesús Octavio Romero García2

Fecha de recepción/Reception date: 6 de junio de 2020.

Fecha de aceptación/Acceptance date: 9 de noviembre de 2020.

_______________________________

1Centro Nacional de Investigación Disciplinaria en Conservación y Mejoramiento de Ecosistemas Forestales. INIFAP. México.

2 Asesoría Forestal Especializada, A.C. México.

*Autor por correspondencia; correo-e: flores.andres@inifap.gob.mx

Resumen

La conservación de los bosques de encino en Veracruz demanda programas basados en el conocimiento de la ecología y distribución de las especies. Saber cuáles son los sitios que albergan a este género es una necesidad para seleccionar y priorizar las poblaciones por mantener. No obstante, aún se requiere de un esfuerzo más amplio en campo que permita identificar las localidades en las que crece cada taxón. El presente trabajo se realizó con el propósito de definir cuáles son las especies de encino que se distribuyen en el municipio Tlaquilpa, localizado en la Sierra de Zongolica, Veracruz, así como determinar sus volúmenes de producción maderable (m3). Los resultados indicaron la presencia de seis taxa: Quercus laurina, Q. crassifolia, Q. rugosa que son de amplia distribución en el área de estudio, y alto volumen de producción maderable; mientras que, Q. candicans, Q. glabrescens y Q. scytophylla son de distribución más restringida y reúnen menor volumen. Los taxones identificados en el municipio tienen constante participación en las actividades productivas. No obstante, requieren de un programa de conservación para garantizar su continuidad ante las actividades humanas que disminuyen su potencial. Esta información es relevante no solo en los programas de conservación, sino también en las actividades de gestión forestal.

Palabras clave: Conservación de recursos forestales, encino, gestión forestal sostenible, producción maderable, Semarnat, Sierra de Zongolica.

Abstract

The conservation of oak forests in the state of Veracruz demands programs based on information about their species ecology and their distribution. Knowing which are the sites that harbor this genus is a necessity to select and prioritize the populations that must be protected. However, a broader effort is still required in the field to identify the locations where each species grows. The present work was carried out with the aim of defining which are the oak species that are distributed in the Tlaquilpa municipality at the Sierra de Zongolica, Veracruz, and their volumes of timber production (m3). Results indicate that there are six species of oak: Quercus laurina, Q. crassifolia, Q. rugosa, which are widely distributed, and have a high volume of timber production; while Q. candicans, Q. glabrescens and Q. scytophylla have a more restricted distribution and gather less volume. The oak species identified in the municipality have constant participation in productive activities. However, they must have a conservation program to guarantee their permanence in the face of human activities that diminish their potential. This information is relevant not only in conservation programs, but also in forest management activities.

Key words: Forest resources conservation, oak, forest management sustainable, forest production, Semarnat, Sierra of Zongolica.

Around a third of the world's oaks are recorded in Mexico, 161 species, 109 off which are endemic; thus, this country is considered the largest center of Quercus diversity (Valencia-Á. and Gual-Díaz, 2004; Wehenkel et al., 2017). They are distributed in a wide altitudinal range, from 0 to 3 100 m (Rzedowski, 1978), and make up oak, oak-pine and pine-oak forests in temperate, warm and semi-humid climates (Rodríguez and Romero, 2007); they are also present in the tropical evergreen forest, the mesophilic mountain forest and in the semi-arid zones (Rzedowski, 1978).

In the state of Veracruz, forests with oak species cover 55 974.9 ha (Márquez and Márquez, 2009). Although samplings have been made of this type of vegetation, in recent years new records have been made for the state, such as Quercus furfuracea (Liebm.) Oerst. (Castillo-Hernández and Flores-Olvera, 2017); therefore, it is necessary to continue with the determination of the species and their distribution sites. In the Orizaba and Zongolica mountain ranges there are extensive continuous areas, and fragments of important pine, oak and pine-oak forests (Gerez-Fernández and Pineda-López, 2011). This makes forest management important in these areas, and is part of the use of natural resources, which benefit the inhabitants through the extraction of wood and the production of ecosystem services.

For the Quercus genus, the Tlaquilpa region in the Sierra de Zongolicais an example of how illegal human actions affect forested areas, which are constantly altered by agricultural and livestock activities. In order to achieve its recovery, implementation of ecological restoration programs is necessary (Uribe-Salas et al., 2018), based on the identification of species, distribution and other ecological characteristics, such as size structure, spatial distribution or regeneration. The natural interspecific distribution of the Quercus genus is not fully known in the area and there are areas that have not been studied. For this reason, the objectives that were proposed in this work consisted of determining the oak species and their distribution in farms of Tlaquilpa, Veracruz, and estimating the biomass per hectare of the forests in the sampled lands.

Field work was carried out in five properties in Tlaquila, Veracruz, a municipality located between 18°34' and 18°39' N and 97°02' and 97°09' W, at an elevation between 1 840 and 2 700 m. They cover 57.2 km2, of which 29.6 km2 are for agriculture, 13.3 km2 for forest and 14.4 km2 for secondary vegetation (Figure 1); the climate is temperate humid with abundant rains in summer (94 %), temperate sub-humid with rains in summer (5 %) and semi-warm humid with rains all year round (1 %) (Sefiplan, 2016).

C:\Users\Andres\Downloads\PAPER_12_BS_POLI\Quercus_zongolica3.tif

Simbología = Symbology; Predio = Property; Tipos de vegetación = Types of vegetation; Agricultura de temporal anual = Annual seasonal agriculture; Bosque de pino = Pine forest; Bosque de pino-encino = Pine-oak forest; Veg. sec. arbustiva de bosque de pino = Shrubby secondary vegetation of pine forest; Veg. sec. arbórea de bosque de pino = Secondary arboreal vegetation of pine forest; Sistema de coordenadas = Coordinate system; Poyección = Projection.

Figure 1. Geographical location of the sampled lands of the Quercus genus.

The collection of botanical samples was carried out in the properties located within the natural distribution of the Quercus genus, at different elevations (Table 1), for which it was considered that they were representative of the species that exist in the study area. The selected sites did not present severe forestry interventions and impacts on the vegetation, since they have been cared for by the owners of the land. The collected materials were labeled, dried and taken to the XAL Herbarium of the Instituto de Ecología, A. C. in Xalapa, Veracruz for their taxonomic identification.

Table 1. Collection sites for samples for Quercus in Tlaquilpa, Veracruz.

Property

Latitude N

Longitude O

Elevation (m)

Atipexqui

18°36’16”

97°06’20”

2 135

Atezcatl

18°36’23”

97°06’17”

2 186

Cuixapa

18°36’02”

97°05’22”

2 275

Frac. Lote 63

18°37’39”

97°07’21”

2 504

Cacalotepec

18°37’26”

97°05’47”

2 536

In each property the wooded area was calculated and sampling sites of variable dimensions were distributed in a systematic way [i.e. the site area depends, mainly, on the mean diameter of the trees to be inventoried and the basimetric area factor (SARH, 1985)], with a basimetric area factor of 1. At these sites, with the use of a simplified relascope the number of individuals that fulfilled the Bitterlich condition was counted, that is, only the trees whose normal diameter was fully or tangentially covered by the angle projection (SARH, 1985); total height was measured with a Haga altimeter, and the normal diameter (1.3 m from the base of the ground) and the basimetric area of each species, with a tree caliper. Based on this information, the timber stocks (m3) were determined in a traditional way by cubing each tree from the height, diameter, basimetric area and morphic coefficient data. The latter were previously calculated by Asesoría Forestal Especializada, A. C.

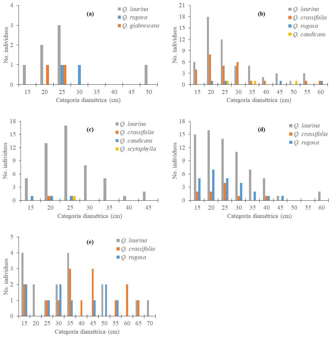
Six oak species were identified, from which Quercus laurina Bonpl. (thin oak), Q. crassifolia Bonpl. (black oak) and Q. rugosa Née (yellow oak) recorded a greater range of distribution; while Q. candicans Née (oak oak), Q. glabrescens Benth. (ahuehuete oak) and Q. scytophylla Liebm. (ash oak) had a more restricted distribution (Figure 2). It was observed that Q. laurina was present in all the properties (trees of 15 to 70 cm in diameter), while Q. rugosa and Q. crassifolia in four (trees of 15 to 60 and 15 to 65 cm in diameter, respectively); on the other hand, Q. candicans was identified in two (trees of 15 to 50 cm in diameter), and Q. glabrescens and Q. scytophylla only in one (trees of 20 to 25 and 25 cm in diameter, respectively).

E:\Descargas\TRABAJOS_2008-2019\ARTICLES\PAPER_12_BS\Figura1bis.jpg

No. de individuos = Number of individuals; Categoría diamétrica = Diameter category.

Figure 2. Density of individuals by diameter category of Quercus species in sites in Tlaquilpa, Veracruz: (a) Atipexqui, (b) Atezcatl, (c) Cuixapa, (d) Frac. Lot 63 and (e) Cacalotepec.

In Figure 2 is observed that there are individuals of Q. laurina, Q. rugosa and Q. crassifolia in the defined diameter categories (15 to 70 cm) but most were concentrated in the first four (15 to 30 cm), while Q. candicans, Q. glabrescens and Q. scytophylla remained in the minor categories (15 to 35 cm); therefore, small diameter classes predominated in the sampled properties. This implies that the sampled oak populations have regenerated more trees, and are currently characterized by the population pyramid of natural forests (Morgenstern, 1996) which corresponds to more young trees and fewer mature trees.

The species had different volumes per hectare (Table 2), being Q. laurina, Q. rugosa and Q. crassifolia the ones with the highest total production (476.047, 245.016 and 143.147 m3, respectively), and Q. candicans, Q. glabrescens and Q scytophylla the smallest (26.881, 10.784 and 3.210 m3, respectively).

Table 2. Biomass of Quercus species in five farms in Tlaquilpa, Veracruz.

Property

Stand-Substand

Area

(ha)

Species

A.B.

(m2 ha-1)

ERT

(m3)

Atipexqui

I-1

0.7200

Q. laurina

7.000

41.460

Q. rugosa

2.000

12.873

Q. glabrescens

2.000

10.784

Atezcatl

II-1

0.5872

Q. laurina

3.000

24.095

Q. rugosa

1.333

7.380

Q. crassifolia

8.500

63.637

Q. candicans

0.833

3.146

II-2

0.6672

Q. rugosa

22.000

158.974

Cuixapa

III-1

0.6834

Q. laurina

13.500

106.656

Q. crassifolia

1.000

7.088

Q. candicans

2.000

15.062

III-2

1.0032

Q. laurina

14.500

103.960

Q. candicans

1.000

8.673

Q. scytophylla

1.000

3.210

Frac. Lote 63

IV-1

0.4563

Q. laurina

13.330

75.266

Q. rugosa

4.167

20.370

Q. crassifolia

4.667

25.009

IV-2

1.4356

Q. laurina

13.000

86.499

Q. rugosa

5.500

36.832

Q. crassifolia

2.000

13.257

Cacalotepec

V-1

0.8557

Q. laurina

3.125

11.759

Q. rugosa

2.000

8.587

Q. crassifolia

3.250

20.380

V-2

0.6755

Q. laurina

3.000

26.352

Q. crassifolia

2.000

13.776

ERT = Timber production, estimated from the hight, diameter, basimetric area and morphic coefficient data.

Based on Table 1, Q. laurina, Q. rugosa, Q. crassifolia and Q. candicans are distributed in most of the gradient analyzed (2 135 to 2 536 m asl), while Q. glabrescens and Q. scytophylla only in one part of it (2 135 and 2 275 m asl, respectively). It has been determined that the distribution of the genus is positively associated with topographic heterogeneity (Uribe-Salas et al., 2018), in particular Q. laurina has the greater abundance at higher elevations (Huerta et al., 2014). Oak species are also influenced by latitude, which has been shown to have a correlation with their morphological traits, such as leaf size reduction (Uribe-Salas et al., 2008). Despite the importance of elevation and latitude on the occurrence and variation of oak species, the climatic variables of the place also play a relevant role and, consequently, significantly influence the presence of the genus in different sites.

From the distribution potential that it has in the state of Veracruz, it is possible that Q. laurina recognizes favorable conditions to be maintained in places of low humidity due to the effect of climate change, which will allow it to be preserved in the future (Estrada-Contreras et al., 2015). Other species with this ability to adapt are Q. crassifolia and Q. rugosa, since they are moderately sensitive to this phenomenon (Galicia et al., 2015).

The study area stands out for being included within the states of the country and the regions with the greatest wealth of oaks of the Transverse Neovolcanic Axis (i.e., region V) (Luna-José et al., 2003; Valencia-Á. and Gual-Díaz, 2014). The number of oak species and their density of individuals, influence the ecosystem processes of the site where they grow and allow a high diversity of epiphytic plant species, such as lichens (Pérez-Pérez and Guzmán, 2015), animals such as arthropods (Maldonado-López et al., 2018), fungi and bacteria (Valencia-Á. and Gual-Díaz, 2014). However, this potential is constantly threatened by anthropogenic activities such as the agricultural crops (Pérez-Pérez and Guzmán, 2015) or the change of land use for urban purposes (Flores et al., 2018).

On the other hand, the oak species identified in this work are also very important in the production of other types of goods that are carried out legally in the evaluated properties. For example, Q. laurina and Q. crassifolia provide firewood and raw material for the elaboration of charcoal, and their wood has adequate chemical properties as a fuel source, due to its high heating value (Ruiz-Aquino et al., 2015). It has been estimated that the consumption of charcoal in the country will increase from 1 to 158 % in 2030 (Serrano-Medrano et al., 2014), so one option could be to increase the wooded areas of oak species and promote their sustainable in Tlaquilpa, Sierra de Zongolica, Veracruz. Other general management characteristics that highlight the importance of oaks are their medicinal and edible use (Q. candicans, Q. crassifolia and Q. rugosa), leather tanning (Q. candicans and Q. crassifolia), handicrfts (Q. candicans) and forage (Q. candicans, Q. glabrescens, Q. laurina and Q. rugosa) (Luna-José et al., 2003).

In the state of Veracruz, vegetation samples have been carried out to identify oak species, which are of ecological importance in the regions where they are distributed. However, there are still records that have found unregistered species, so it is necessary to continue this work in areas that have not been fully sampled. In Tlaquilpa there are six taxa, of which Quercus laurina, Q. crassifolia and Q. rugosa have a wider distribution and greater biomass than Q. candicans, Q. glabrescens and Q. scytophylla. These species participate in forest production in the area differently, so it is a priority to propose programs for their conservation in the face of human activities that diminish their potential, e.g. ex. change of land use for the production of agricultural crops.

The knowledge generated in this work is relevant for the formulation of conservation programs and for the direction of forest management activities. It is recommended to carry out further studies on different ecological aspects (i.e., regeneration, demographics) of the six determined species in order to understand the viability of their present and future populations.

Acknowledgements

The authors thank the Program for Forest Development (Prodefor), in the state of Veracruz of the Department of the Environment and Natural Resources (formerly SEMARNAP), for financing this research.

Conflict of interest

The authors declare no conflict of interest.

Contribution by author

Andrés Flores: work planning, structuring, data analysis and writing of the manuscript; Jesús Octavio Romero García: work planning and supervision of the investigation.

References

Castillo-Hernández, L. A. and H. Flores-Olvera. 2017. Floristic composition of the cloud forest of the Bicentenario Reserve, Zongolica, Veracruz, México. Botanical Sciences 95(3): 1–25. Doi: 10.17129/botsci.1223.

Estrada-Contreras, I., M. Equihua, G. Castillo-Campos and O. Rojas-Soto. 2015. Climate change and effects on vegetation in Veracruz, Mexico: an approach using ecological niche modelling. Acta Botánica Mexicana 112: 73–93.                        Doi: 10.21829/abm112.2015.1090.

Flores, A., M. V. Velasco G., L. Muñoz G., T. Martínez T., M. Gómez C. y C. R. Castillo M. 2018. Especies arbóreas para conservar la biodiversidad en zonas urbanas. Mitigación del Daño Ambiental Agroalimentario y Forestal de México 4(5): 136–151. https://www.researchgate.net/publication/329859297_TREE_SPECIES_FOR_BIODIVERSITY_CONSERVATION_IN_URBAN_ZONES (5 de febrero de 2020).

Galicia, L., C. Potvin and C. Messier. 2015. Maintaining the high diversity of pine and oak species in Mexican temperate forests: a new management approach combining functional zoning and ecosystem adaptability. Canadian Journal of Forest Research, 45(10): 1358–1368. Doi: 10.1139/cjfr-2014-0561.

Gerez-Fernández, P. y M. del R. Pineda-López. 2011. Los bosques de Veracruz en el contexto de una estrategia estatal REDD+. Madera y Bosques 17(3): 7–27.              Doi: 10.21829/myb.2011.1731140.

Huerta M., F. M., J. E. Briones T., C. Neri L., A. Muñoz U. y V. C. Rosas E. 2014. Relaciones entre comunidades arbóreas, suelo y el gradiente altitudinal en el volcán de Tequila, Jalisco. Revista Mexicana de Ciencias Forestales 5(24): 202–215. Doi:10.29298/rmcf.v5i24.329.

Luna-José, A. de L., L. Montalvo-Espinosa y B. Rendón-Aguilar. 2003. Los usos no leñosos de los encinos en México. Botanical Sciences 72: 107–117. Doi:10.17129/botsci.1671.

Maldonado-López, Y., M. S. Vaca-Sánchez, A. González-Rodríguez, K. Oyama, E. López-Barbosa, M. Fagundes and P. Cuevas-Reyes. 2018. Hybridization increases canopy arthropod diversity in the Quercus affinis × Quercus laurina complex. Journal of Insect Conservation 22(5–6): 781–793. Doi: 10.1007/s10841-018-0103-7.

Márquez R., W. y J. Márquez R. 2009. Municipios con mayor biodiversidad en Veracruz. Foresta Veracruzana, 11(2): 43–50. https://www.semanticscholar.org/paper/MUNICIPIOS-CON-MAYOR-BIODIVERSIDAD-EN-VERACRUZ-Ram%C3%ADrez-Ram%C3%ADrez/214fde3d7c208d1e50b4fc65842f733fa7284f84 (5 de febrero de 2020).

Morgenstern, E. K. 1996. Geographic variation in forest trees: genetic basis and application of knowdlege in silviculture. UBC Press. Vancouver, BC, Canada. 209 p.

Pérez-Pérez, R. E. and G. Guzmán. 2015. Parmotrema species in a cloud forest region turned into an urban zone in Xalapa, Veracruz, Mexico. Bosque (Valdivia) 36(3): 357–362. Doi: 10.4067/S0717-92002015000300003.

Rodríguez R., I. S., y S. Romero R. 2007. Arquitectura foliar de diez especies de encino (Quercus, Fagaceae) de México. Acta Botánica Mexicana 81: 9–34. Doi: 10.21829/abm81.2007.1049.

Ruiz-Aquino, F., M. M. González-Peña, J. I. Valdez-Hernández, U. S. Revilla and A. Romero-Manzanares. 2015. Chemical characterization and fuel properties of wood and bark of two oaks from Oaxaca, Mexico. Industrial Crops and Products, 65: 90–95. Doi: 10.1016/j.indcrop.2014.11.024.

Rzedowski, J. 1978. Vegetación de Mexico. Ed. Limusa, México, D. F., México. 432 p.

Secretaría de Agricultura y Recursos Hidráulicos (SARH). 1985. Normas mínimas de calidad para la formulación de estudios dasonómicos en bosques. México, D. F., México, 298 p.

Secretaría de Finanzas y Planeación (Sefiplan). 2016. Tlaquilpa. http://ceieg.veracruz.gob.mx/wp-content/uploads/sites/21/2016/05/Tlaquilpa.pdf (8 de junio de 2020).

Serrano-Medrano, M., T. Arias-Chalico, A. Ghilardi and O. Masera. 2014. Spatial and temporal projection of fuelwood and charcoal consumption in Mexico. Energy for Sustainable Development 19: 39–46. Doi: 10.1016/j.esd.2013.11.007.

Uribe-Salas, D., C. Sáenz-Romero, A. González-Rodríguez, O. Téllez-Valdéz and K. Oyama. 2008. Foliar morphological variation in the white oak Quercus rugosa Née (Fagaceae) along a latitudinal gradient in Mexico: Potential implications for management and conservation. Forest Ecology and Management, 256(12): 2121–2126. Doi: 10.1016/j.foreco.2008.08.002.

Uribe-Salas, D., M. L. España-Boquera y A. Torres-Miranda. 2018. Aspectos biogeográficos y ecológicos del género Quercus (Fagaceae) en Michoacán, México. Acta Botánica Mexicana (126): e1342. Doi: 10.21829/abm126.2019.1342.

Valencia-Á., S. y M. Gual-Díaz. 2014. La familia Fagaceae en el bosque mesófilo de montaña de México. Botanical Sciences 92(2): 193–204. Doi: 10.17129/botsci.45.

Wehenkel, C., S. del R. Mariscal L., J. P. Jaramillo C., C. A. López S., J. J. Vargas H. y C. Sáenz R. 2017. Genetic diversity and conservation of Mexican forest trees. In: Ahuja, M. and S. Jain (eds.). Biodiversity and conservation of woody plants. sustainable development and biodiversity. Springer International Publishing. Cham, Switzerland. pp. 37–67.

All the texts published by Revista Mexicana de Ciencias Forestales with no exception– are distributed under a Creative Commons License Attribution-NonCommercial 4.0 International (CC BY-NC 4.0), which allows third parties to use the publication as long as the work’s authorship and its first publication in this journal are mentioned.