Revista Mexicana de Ciencias Forestales Vol. 12 (65)

Mayo – Junio (2021)

Logotipo, nombre de la empresa



Descripción generada automáticamente

DOI: https://doi.org/10.29298/rmcf.v12i65.781

Artículo

La sobre-expresión de PtCSP4 del álamo promueve un mayor potencial para la fitorremediación de PCB

Overexpression of PtCSP4 in poplar promotes greater potential for PCB phytoremediation

Gabriela Orozco Gutiérrez1*

1Instituto Nacional de Investigaciones Forestales, Agrícolas y Pecuarias, Centro de Investigación Regional Pacífico Centro. Campo Experimental Tecomán. México.

*Autor de correspondencia; correo-e: orozco.gabriela@inifap.gob.mx

Fecha de recepción/Reception date: 27 de mayo de 2020

Fecha de aceptación/Acceptance date: 13 de agosto de 2020

Abstract

Phytoremediation is a widely accepted biotechnology that reduces, absorbs and degrades toxic pollutants. Polychlorinated biphenyls (PCB) are persist organic pollutants that cause harmful effects to the environment. It has been acknowledged that poplar (Populus trichocarpa) is fast growing, it has high transpiration and a complete genome sequence. Thus, it is considered a perfect model in phytoremediation. Genetically modified plants can become more efficient remediation sources of soil and water contaminated sites with polychlorinated biphenyls (PCB). Yb-1 is a multifunctional protein involved in the regulation of transcription, translation, mARN splicing and ADN repair. Yb1 transcription factor, is known in humans and mammals but very little in plants. Yb-1 in plants is best known as CSP (cold shock proteins). In this work, PtCSP4 (Potri.004G172600) gene was isolated and amplified from poplar. The gateway recombination system was used to clone PtCSP4 in a binary vector with a constitutive promoter. PtCSP4 was introduced in Arabidopsis thaliana and its tolerance was tested in presence of PCB (Aroclor 1221). Eight transgenic lines of in vitro cultured Arabidopsis were exposed to PCBs. All results suggest that PtCSP4 is a good candidate for phytoremediation of PCB.

Key words: Poplar, Arabidopsis, aroclor, in vitro, PtCSP4, Populus trichocarpa Torr. A. & Gray ex Hook., tolerance.

Resumen

La fitorremediación es un método biotecnológico ampliamente aceptado que reduce, absorbe y degrada los contaminantes tóxicos. Los bifenilos policlorados (PCB) son contaminantes orgánicos persistentes que causan efectos nocivos para el medio ambiente. Se reconoce que el álamo (Populus trichocarpa) tiene un crecimiento rápido, alta transpiración y se tiene una secuencia completa de su genoma; por lo que se considera un modelo perfecto en fitorremediación. Las plantas genéticamente modificadas pueden ser más eficientes en la remediación de sitios, cuyos suelo y agua están contaminados con bifenilos policlorados (PCB). Yb-1 es una proteína multifuncional involucrada en la regulación de la transcripción, traducción, empalme de ARNm y reparación de ADN. El factor de transcripción Yb1 se conoce en humanos y mamíferos, pero muy poco en plantas. Yb-1 en plantas es más conocido como CSP (proteínas de choque frío). En este trabajo, el gen PtCSP4 (Potri.004G172600) se aisló y amplificó a partir del álamo. El sistema de recombinación de puerta de enlace se usó para clonar PtCSP4 en un vector binario con un promotor constitutivo. PtCSP4 se introdujo en Arabidopsis thaliana y se probó su tolerancia en presencia de PCB (Aroclor 1221). Ocho líneas transgenicas de Arabidopsis cultivadas in vitro fueron expuestas a PCB. Todos los resultados sugieren que PtCSP4 es un buen candidato para la fitorremediación de PCB.

Palabras clave: Álamo, Arabidopsis, aroclor, PtCSP4, Populus trichocarpa Torr. A. & Gray ex Hook., tolerancia.

Introducción

Los Contaminantes orgánicos persistentes (COP) son compuestos particularmente tóxicos y estables, entre los que destacan: insecticidas, herbicidas, bifenilos policlorados (PCB), dioxinas y retardantes de llama (www.pops.int). Estos se caracterizan por su gran estabilidad química, lo que ha contribuido, en gran medida, a su dispersión en los ecosistemas del planeta. Debido a dicha estabilidad y baja solubilidad en agua, los PCB son muy difíciles de eliminar de las matrices del suelo. Su introducción fue mediante mezclas comerciales, la más común de ellas fue la serie de Aroclor (Producido por Monsanto Chemical Industry, Illinois) (Beyer y Biziuk, 2009; EPA, 2014). La cantidad de suelos contaminados por PCB en el mundo se desconoce. En Estados Unidos de América, 350 de los 1 290 sitios contaminados incluidos en el programa “Superfund” de la Agencia de Protección Ambiental (EPA, por sus siglas en inglés) están contaminados con PCB (27 %) (http://www3.epa.gov/). Por si fuera poco, dada su capacidad para bioacumularse, su estabilidad física e hidrofobicidad, los PCBs están presentes en toda la cadena alimentaria de la Tierra (Malisch y Kotz, 2014).

Es muy importante el uso de tecnologías de remediación eficientes para tratar de paliar el problema de los PCB. Una de ellas es la fitorremediación, la cual se basa en el uso de plantas para extraer, secuestrar o destoxificar contaminantes del suelo; su empleo reduce, significativamente, los costes de la descontaminación tradicional (Gomes et al., 2013), además de que contribuye a la lucha contra la erosión y ayuda a la restauración de espacios degradados (Dickinson et al., 2009). La efectividad de la fitorremediación puede incrementarse mediante la identificación de genes que participen en el metabolismo de los PCB. La cualidad de las plantas para degradar xenobióticos se descubrió en 1940, en relación con la descontaminación de plaguicidas (Sanderman, 1994): desde entonces, el desarrollo de la biología molecular ha contribuido a dilucidar en las plantas el metabolismo de algunos contaminantes (Eapen et al., 2007; Van Aken et al., 2009; Wang et al., 2012).

El proceso de degradación de contaminantes se puede resumir en tres etapas: transformación del compuesto, conjugación y compartimentación. En esta última existe una subclase de transportadores ABC, denominados multidrug resistance (MDR), que están implicados en la regulación de la afluencia y la salida celular de los xenobióticos (Rea, 2007; Xi et al., 2011). Sorprendentemente, se sabe muy poco sobre el papel de los MDR de las plantas en la resistencia a los xenobióticos, ya que hay pocos estudios sobre el particular (Conte y Lloyd, 2011). Los mecanismos que rigen esos procesos bioquímicos están finamente regulados por una gran cantidad de genes que codifican proteínas reguladoras. Los factores de transcripción tienen un papel central, y alteran la expresión de numerosos genes. Muchos de estos factores son coinducidos en respuesta a diferentes estreses, lo que sugiere la existencia de interacciones complejas (Yuan y Perry, 2011; Golldack et al., 2014). Campos (2011) analizó la posible implicación de la proteína Cold shock protein (CSP) en chopo Potri.004g172600 en la respuesta a contaminantes orgánicos. La familia CSP de las plantas tiene un dominio muy conservado, conocido como Cold shock domain (CSD), y presenta dos o más dedos de zinc Zinc Knuckle domain del tipo CCHC (CX2CX4HX4C) este motivo de unión al ADN le hace ser considerado un factor de transcripción, además dos sitios de reconocimiento de ARN (RRM) y cajas RGG repetidas.

Se han generado algunas variedades transgénicas para la fitorremediación de xenobióticos (Maestri y Marmiroli, 2011). Aunque, gran parte de la mejora genética se ha experimentado en plantas modelo de laboratorio como Nicotiana tabacum L. y Arabidopsis thaliana (L.) Heynh, que por su poca biomasa y corto tiempo de vida podrían no ser adecuadas para la remediación in situ. Por lo tanto, hay un interés particular en la mejora genética de árboles que mantengan un crecimiento rápido, sistemas radiculares extensos y abundante producción de biomasa, como los álamos y los sauces (Doty, 2015).

El género Populus comprende 40 especies arbóreas originarias de las zonas templadas y frías septentrionales. Tiene altas tasas de crecimiento (hasta 3 m año-1), así como un gran sistema radicular que asegura la absorción eficiente de agua subterránea (Isebrands y Richardson, 2015). La idoneidad del álamo no solo radica en sus características fisiológicas, Populus es hoy el mejor sistema modelo forestal disponible (genoma secuenciado). De este modo, el álamo es susceptible de emplearse como especie modelo para estudios de ecofisiología molecular, así como para asociaciones de gen-función en otros taxones (Brunner y Nilson, 2004).

El objetivo de este trabajo fue demostrar que las líneas transgénicas de A. thaliana que sobreexpresan PtCSP4 del álamo (Potri.004g172600) toleran la presencia de los PCB.

Materiales y Métodos

El estudio se llevó a cabo en el Laboratorio de Biotecnología Forestal del Centro de Biotecnología y Genómica de Plantas (CBGP), ubicado en el Parque Científico y Tecnológico, UPM Campus de Montegancedo, Ctra, M-40, km 38, 28223, Madrid, España.

Material vegetal

En los experimentos se utilizaron plantas in vitro de álamos (clon INRA 7171-B4) de Populus tremula × alba L., el cual se eligió por su excelente comportamiento in vitro y ex vitro, así como por su facilidad para ser transformado genéticamente, además de tener mucho vigor en campo. Para Arabidopsis thaliana se usó el ecotipo Columbia en la transformación genética. Las semillas se obtuvieron en el Arabidopsis Biological Resource Center de Ohio, USA. En la transformación de A. thaliana se utilizó la cepa C58C1 (pMP90) de Agrobacterium tumefaciens (Smith & Townsend, 1907) Conn, 1942, que contiene el plásmido pMP90 derivado de pTiC58. Esta cepa fue cedida por la Dra. Pamela Green (Michigan State University).

Tratamientos con Aroclor 1221 (PCB)

Para los tratamientos con este xenobiótico se evaluó, previamente, el crecimiento de los álamos in vitro en presencia de distintas concentraciones de Aroclor 1221 (mezcla de PCB comercializada por Sigma Aldrich) diluido en DMSO estéril: 0 (control), 50 y 200 mg L-1. Los experimentos se realizaron en condiciones in vitro; en cada tarro se utilizaron 20 mL de MS-fitoagar suplementado con DMSO (controles) o Aroclor 1221 diluido en el mismo volumen de DMSO, con álamos de un mes de emergencia que fueron trasplantados al medio contaminado. Tras determinar el efecto de los PCB sobre el crecimiento vegetativo, se obtuvo la biomasa foliar de 20 plantas con una báscula digital (KERN® Mod. PCB2500-2), después de secarlas en un horno (ECOSHEL® Mod. 9023AV) a 70 °C durante 24 h; además de la longitud radicular, la cual se midió con una regleta de acero inoxidable (MILLER® de 6”).

Extracción de ADN genómico de P. tremula × P. alba

Para la extracción se utilizaron 100 mg de la planta completa in vitro tratada con Aroclor 1221 pulverizado en nitrógeno líquido. La extracción de ADN se hizo mediante el kit DNesay Plant Mini (Qiagen; Hilden, Germany) siguiendo las instrucciones del fabricante. El ADN se cuantificó con un espectrofotómetro NanoDrop ND-100 (NanoDrop Technologies; Wilmington, DE, USA), con una relación de 280/260 ≥ 1.8. Para visualizar el ADN se utilizaron geles de agarosa al 0.8 % (p/v), preparados con amortiguador TAE (Tris HCl 40 mM Sigma-Aldrich®, pH 8.0., acetato sódico 20 mM Sigma-Aldrich®, EDTA 1 mM Sigma-Aldrich®) suplementado con bromuro de etidio a 0.1 mg L-1 Sigma-Aldrich®. Las muestras se mezclaron con buffer de carga (azul de bromofenol al 0.05 % (p/v) Sigma-Aldrich® y glicerol 5 % (p/v) Sigma-Aldrich®. El ADN se visualizó́ en un Molecular Imager Gel Doc XR System. Para la cuantificación virtual se usó́ el software Quantity One 4.6.5 de Bio Rad® (California, USA).

Extracción y secuenciación de ADN plasmídico de E. Coli

El aislamiento de plásmidos se llevó a cabo con el kit QIAprep Spin Miniprep (Qiagen; Hilden, Germany). Para comprobar la calidad se cuantificó el ADN plasmídico con un espectrofotómetro NanoDrop ND-100 (NanoDrop Technologies; Wilmington, DE, USA), con una relación de 280/260 ≥ 1.8. El tamaño del inserto se comprobó con las enzimas de restricción NdeI y HpaI Takara Bio Inc® (Shiga, Japón). Los fragmentos se visualizaron en geles de agarosa al 0.8 %. La secuenciación se realizó en el Centro Nacional de Investigaciones Oncológicas (CNIO) en Madrid, España, con un sistema ABI® 3730 Applied Biosystems (Foster City, CA, USA).

Expresión heteróloga de PtCSP4 en A. thaliana

La secuencia codificante de PtCSP4 (Potri.004G172600.1) se amplificó por PCR a partir de ADN genómico; se introdujeron sitios aatb completos utilizando la enzima de alta fidelidad Long Range ADN Polimerasa Takara Bio Inc® (Shiga, Japón). El fragmento obtenido (624 pb) se clonó mediante tecnología Gateway® Invitrogen® (Gaithersburg, MD, USA). Los oligonucleótidos para el clonaje se diseñaron a partir de las secuencias genómicas, a la temperatura de fusión de 60 °C. Para clonar el gen PtCSP se usaron oligonucleótidos forward 5´ attbAGAAGGAGAAAACGGCATGGGTGAGAGG 3´ y reverse 5´ attbCCTCACACTAAAATCAACGTCC 3´, los cuales se diseñaron en la zona más divergente del extremo 5’ de la región codificante del extremo amino-terminal. Los ciclos de amplificación consistieron en un paso inicial de 2 min a 50 °C, un paso de desnaturalización de 10 min a 95 °C y por 40 ciclos de amplificación de 15 seg a 95 °C y 1 min a 60 °C, para asegurar la presencia de un solo amplicón. El producto de PCR se clonó en el vector de expresión pDONR 221 Gateway® (Invitrogen®), y posteriormente, para que el transgen quedase bajo el control del promotor 35S, se procedió a clonarlo en el vector binario PB2GW7 Gateway® (Invitrogen®). Con la construcción resultante, se transformaron células de la cepa C58C1 (pMP90) de A. tumefaciens, que se utilizó para infiltrar plantas de Arabidopsis (Figura 1). Como control se transformaron plantas de Arabidopsis sin inserto.

Diagrama



Descripción generada automáticamente

Figura 1. Clonaje de la región codificante de PtCSP4 en el vector pB2GW7. Diseño de clonaje para la expresión ectópica de PtCSP4 en Arabidopsis thaliana (L.) Heynh bajo el control del promotor CaMV35S. La zona comprendida entre las regiones LB y RB (T-ADN) incluye el gen BAR, que confiere resistencia al herbicida glufosinato de amonio.

Preparación de células y transformación con Agrobacterium

La preparación de células competentes y su transformación se realizó según el protocolo descrito por Hofgen y Willmitzer (1988), con algunas modificaciones. A partir de una colonia individualizada, se preparó un cultivo en 10 mL de medio LB con rifampicina (50 mg L-1) gentamicina (25 mg L-1) y kanamicina (50 mg L-1) Sigma-Aldrich®. El cultivo se incubó a 28 °C y 200 rpm durante 16 h. Al día siguiente, 1 mL se inoculó en 100 mL del mismo medio (dilución 1:100), e incubó a 28 °C y 200 rpm hasta que alcanzó una OD600 ~ 0.8. Posteriormente, el cultivo se centrifugó a 5 000 rpm y 4 °C durante 5 min, se descartó el sobrenadante y se lavaron las células con 20 mL de NaCl 150 mM (estéril) frío. Se centrifugaron de nuevo las células a 4 °C y 5 000 rpm durante 5 min. Se resuspendieron en 2 mL de CaCl2 20 mM (estéril y frío).

Para la transformación de A. tumefaciens, se añadió 1 ng del plásmido pB2GW7 a 10 μL de células competentes (Agro 58C1). Se incubaron 5 min a 37 °C con agitación suave, después se mantuvieron en hielo durante 30 min. Posteriormente, se añadieron 500 μL de medio LB y se incubaron durante 3 h a 28 °C y 150 rpm en una incubadora TECNAL® (Santo Domingo, República Dominicana). Tras una centrifugación de 1 min a baja velocidad (2 000 rpm), el pellet de células se resuspendió en 150 mL de medio LB y se plaqueó en LB-agar suplementado con rifampicina (50 mg L-1) y espectinomicina (100 mg L-1) Sigma-Aldrich®. Las colonias fueron visibles tras incubarlas dos días a 28 °C.

Transformación genética de Arabidopsis thaliana

Se utilizaron plantas de A. thaliana de 3 semanas de edad, sembradas en alveolos de 5 × 5 cm (9 semillas/alveolo) con inflorescencias de unos 10 cm de largo. La transformación se llevó a cabo mediante el método de infiltración al vacío de Clough y Bent (1998), a partir de cultivos apropiados de A. tumefaciens. Se inocularon células recombinantes de la cepa C58C1 (pMP90), transformada con pB2GW7, en placas LB suplementadas con rifampicina (50 mg L-1) y espectinomicina (50 mg L-1) Sigma-Aldrich®. Después de dos días en agitación (200 rpm) a 28 °C, se seleccionaron colonias individuales y se prepararon preinóculos en 3 mL de medio LB, con los mismos antibióticos que en el medio sólido. A partir de estos se inocularon 200 mL de medio LB con antibióticos, el cultivo se mantuvo en las mismas condiciones previas, hasta alcanzar una OD600 de 1.2. Las células se aislaron por centrifugación (15 min a 4 °C y 5 500 rpm en un rotor Beckman® JA20 (Ft. Detrick, MD, USA) y se suspendieron en medio de infiltración (sales MS 1 × pH 5.7; sacarosa 5 % (p/v), MES 0.05 % (p/v) MERCK® (New Jersey, USA), bencilaminopurina (BAP) 0.044 µM Sigma-Aldrich®, Silwet® L-77 Lehle Seeds (Round Rock, TX, USA) a 0.02 % (v/v) que se agrega inmediatamente antes de infiltrar.

Las plantas de Arabidopsis se infiltraron durante 15 min al vacío. Se realizaron dos repeticiones. Después de secar las plantas con papel absorbente, se colocaron nuevamente en las cámaras de cultivo en condiciones controladas de crecimiento (temperatura 28 °C, fotoperíodo de 12 h de luz y 12 h de oscuridad). Una vez que se presentó la floración se colectaron las semillas de las líneas transformantes T0 (Se considera T0 a las plantas originadas por las semillas obtenidas luego de la transformación) y se germinaron para obtener la T1. El proceso anterior se repitió hasta obtener plantas T2 y T3. Las semillas T3 se sembraron en medio MS pH 5.7, suplementado con el herbicida fosfinotricina BASTA® (10 µg mL-1). Después de dos semanas, se transfirieron las plantas vivas a una nueva placa con herbicida para descartar falsos positivos, donde se cultivaron durante otras dos semanas, después de lo cual las plantas sobrevivientes se transfirieron a una nueva placa con herbicida para descartar falsos positivos. El éxito de la transformación se verificó a través de amplificaciones qRT-PCR.

Extracción de ARN total de P. tremula x P. alba para validación por PCR en tiempo real

La extracción de ARN se llevó a cabo con 200 mg de tejido pulverizado (de planta in vitro completa). Para la extracción inicial, se utilizó el método de fenol-cloroformo (Ambion, 2008). Posteriormente, se purificó con el kit RNeasy Plus Mini (Qiagen; Hilden, Germany). Por último, se eluyó en 60 μL de agua estéril libre de ARNsa. Se cuantificó el ARN en un espectrofotómetro NanoDrop ND-100 (NanoDrop Technologies), con una relación de absorbancia de 260 nm/280 nm ≥ 2. Con esta metodología de extracción se obtuvieron 200 ng de ARN total. Para validar la calidad y cantidad del ARN se envió una alícuota al Centro Nacional de Investigaciones Oncológicas (CNIO) para practicarles una electroforesis por nanocapilaridades, con el equipo Bioanalizer 2100 (Agilent Technologies, Inc.; Santa Clara, CA, USA).

Antes de efectuar la síntesis de cADN, el ARN se trató con ADNsas, para evitar contaminación con ADN genómico en las muestras. Con este fin, se utilizó el kit Turbo ADN-Free® (Ambion, Applied Biosystems; Austin, TX, USA). El cADN se sintetizó a partir de 1.5 µg de ARN en 30 µL de reacción del kit PrimeScriptTM RT reagent (Perfect Real Time) Takara Bio, Inc®, (Otsu, Japan) en presencia de los cebadores Oligo dT y Random 6 mers Takara Bio, Inc®, (Otsu, Japan), en las cantidades recomendadas por el fabricante, con una incubación de 90 minutos a 37 °C.

PCR cuantitativas en tiempo real (qRT-PCR)

Las recientes PCR en tiempo real se llevaron a cabo en un termociclador ABI PRISM 7300 Applied Biosystems (Foster, CA, USA). Todas las reacciones se realizaron en un volumen final de 20 µL, con 10 µL de la mezcla SYBR Green 2x (Applied Biosystems), 0.2 µM de cada oligonucleótido, y 1 µL de cADN (apartado 3.7.2.). Para los genes de referencia, ARN ribosómico subunidad pequeña (18s) y polifenol oxidasa (PPO), se utilizó el cADN a una dilución 1:100. Los ciclos de amplificación fueron un paso inicial de 2 min a 50 °C, un paso de desnaturalización de 10 min a 95 °C y por 40 ciclos de amplificación de 15 seg a 95 °C y 1 min a 60 °C. Los datos se analizaron por medio del software 7300 Real-Time PCR System. Para el análisis de los niveles de expresión se hizo una cuantificación relativa del gen en estudio, por medio del método Ct (2-∆∆Ct) expuesto por Livak y Schmittgen (2001).

Resultados y Discusión

Crecimiento vegetativo en presencia de Aroclor 1221

Para elucidar los mecanismos que se activan al contacto con los PCB, se compararon plantas de álamo sin tratar (control), con plantas tratadas con Aroclor 1221. Previamente, se optimizaron las condiciones de tratamiento y se evaluó la sintomatología que resultó de la exposición a PCB. En los análisis se utilizaron álamos in vitro enraizados durante un mes, para evitar expresiones génicas asociadas a estadios muy juveniles y también para minimizar los posibles efectos de los transplantes. El cultivo in vitro de leñosas se considera generalmente muy difícil, si bien hay protocolos de regeneración más o menos eficaces para algunas especies. El híbrido elegido es particularmente viable y, de hecho, lidera la literatura sobre biotecnología forestal (Harfouche et al., 2011; Isebrands y Richardson, 2015).

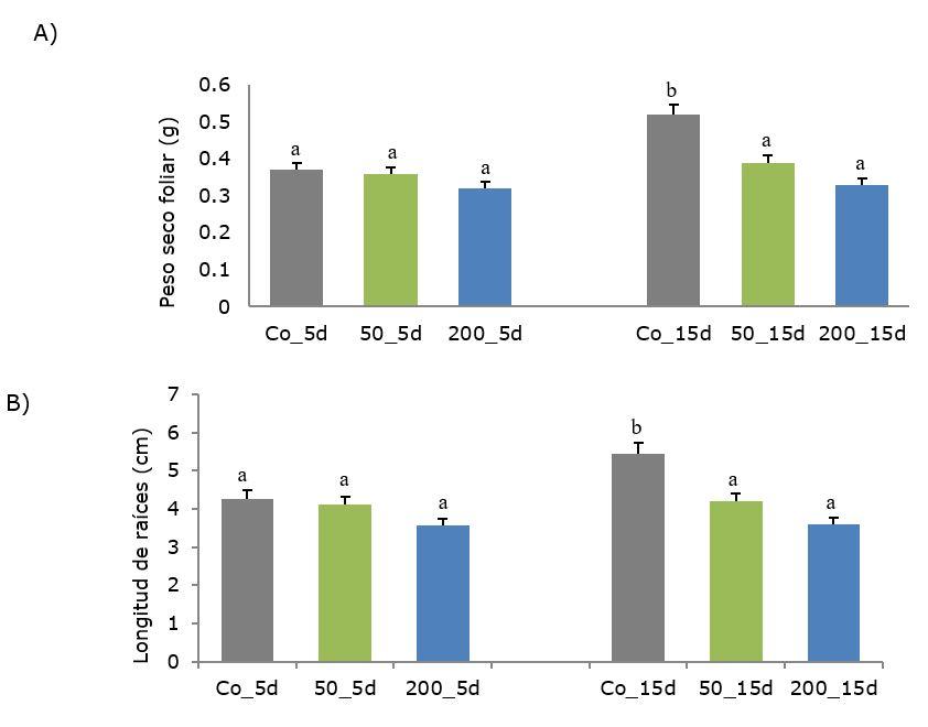
Las comparaciones entre plantas tratadas y las de control revelaron diferencias significativas en algunas variables cualitativas y cuantitativas. Si bien las plántulas in vitro exhibieron características de estrés a las concentraciones ensayadas, continuaron su crecimiento sin llegar a morir. El crecimiento de la planta en general y el sistema radical disminuyó conforme aumentaban la concentración de PCB y el tiempo de exposición. También, aparecieron síntomas de clorosis y necrosis foliar. Particularmente, la reducción de biomasa fue más pronunciada en la parte aérea que en las raíces. La longitud promedio de las raíces de las plantas control a los 5 días fue de 3.58 cm, presentó diferencias significativas respecto a las plantas tratadas (n=30, F= 4.0, p=0.68), cuya longitud promedio fue de 4.0 y 3.1 cm a 50 mg L-1 y 200 mg L-1 de PCB, respectivamente. A los 15 días se registró un tamaño de 2.54 cm a 50 mg L-1 y de 1.3 cm a 200 mg L-1. En 15 días a 200 mg L-1, el crecimiento de la longitud de las raíces fue 25 % con respecto al control (Figura 2A). El mismo patrón se advirtió en la evaluación del peso seco foliar (biomasa), en el que la cantidad de biomasa fue menor, debido a la disminución del crecimiento, y se consideró 30 % de diferencia de los tratamientos contra el control a los 15 días (Figura 2B). Estos efectos concuerdan con respuestas típicas de estrés celular (Proudfoot et al., 2002; Yang et al., 2012). En el presente estudio, los análisis de crecimiento y morfológicos sirvieron para valorar la respuesta del álamo a distintos niveles de PCB y seleccionar las condiciones experimentales óptimas para los tratamientos.

Gráfico, Gráfico de barras



Descripción generada automáticamente

Figura 2. Efecto del Aroclor 1221 en plántulas de Populus. A) Peso seco foliar (biomasa). B) Crecimiento de raíces. Se muestran las medidas y desviaciones estándar para cada concentración, C1 = 50 mg L-1 y C2= 200 mg L-1 (n=20). Prueba de Tukey 0.5 %.

Comprobación de expresión heteróloga de PtCSP4

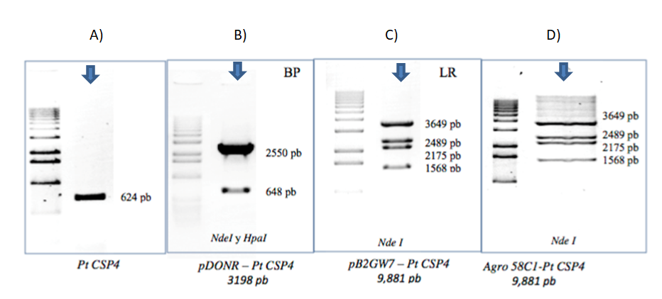
Los fragmentos obtenidos por PCR se analizaron mediante electroforesis, en los que se comprobó el tamaño del fragmento esperado en cada construcción del clonaje Gateway. Los resultados de la comprobación mediante electroforesis se muestran en la Figura 3. Juárez-Reyes, (2007) realizó un seguimiento secuencial de las construcciones de expresión por medio de geles.

Figura 3. Comprobación del clonaje de PtCSP4 en geles de agarosa con enzimas de restricción. El producto de la clonación está marcado con flechas. Comprobaciones de cada clonaje, A) El fragmento PtCSP4 obtenido (624 pb). B) Reacción LR se clonó en el vector de expresión pDONR-PtCSP4 de 3198 pb con las enzimas de restricción NdeI y HpaI; C) el transgen se quedó bajo el control del promotor 35s en un vector binario PB2GW7-PtCSP4 que generó un fragmento de 9881 pb con ayuda de la enzima de restricción NdeI. D) construcción resultante, se transformaron células de la cepa C58C1 (pMP90) de Agrobacterium, que se utilizó para infiltrar plantas de Arabidopsis.

Nivel de expresión del transgen

Una vez que se tuvieron líneas transgénicas estables, se procedió a recolectar material de cada una de ellas para analizar la expresión del transgen. Se analizó un total de ocho líneas transgénicas independientes mediante qRT-PCR. La Figura 4 presenta datos promedio de tres réplicas técnicas. Se obtuvieron resultados análogos en dos réplicas biológicas. Las abundancias relativas del transcrito PtCSP4 demostraron ser bastante variables, como suele suceder en experimentos afines. Se utilizó la señal registrada por las plantas transformadas con el plásmido vacío, para relativizar la acumulación de transcrito en las líneas transgénicas.

En la Figura 4 se observa que las líneas altas expresoras mostraron inducciones superiores a 3 500 veces (L3 y L4); las líneas con expresiones intermedias tuvieron valores entre 1 500 y 2 000 veces (L2, L6 y L7), y las bajas expresoras fueron inferiores a 500 veces (L1, L5 y L8). A partir de estos datos, se eligieron las líneas L1, L4 y L6 para las pruebas de tolerancia a contaminantes. Cabe resaltar que no se registró ninguna diferencia en el crecimiento y desarrollo de las plantas, como consecuencia de la sobreexpresión de PtCSP4.

Gráfico, Gráfico de barras



Descripción generada automáticamente

Figura 4. Expresión de PtCSP4 en plantas transgénicas de Arabidopsis. Niveles promedio de transcrito detectado en las plantas transgénicas mediante qRT-PCR. Se representa la media de tres réplicas técnicas independientes. Los valores numéricos se normalizaron a los niveles de un control interno (rARN 18S), y se les asignó un valor de 1 a las plantas Col0 (Control).

Tolerancia de las líneas transgénicas a Aroclor 1221

Los ensayos de tolerancia a la presencia de PCB se llevaron a cabo con plantas germinadas y crecidas in vitro en condiciones controladas. Hasta el momento, no se había publicado ningún dato sobre la tolerancia de A. thaliana a Aroclor, por lo que antes de efectuar los ensayos, se decidió analizar la tolerancia natural de Arabidopsis a este compuesto.

Se evaluaron las mismas dosis utilizadas para álamo (50 a 200 mg L-1) y se comprobó que concentraciones de Aroclor a 200 mg L-1 provocaban mortalidad claramente apreciable. Sin embargo, en concentraciones inferiores a 100 mg L-1 no se registró una relación directa entre la presencia del compuesto y la sintomatología observada en las plántulas, razón por la cual se usaron 200 mg L-1 para los ensayos de tolerancia. Una vez optimizado el ensayo, las líneas transgénicas se sometieron al mismo tratamiento aplicado en plantas sin transformar. Para este ensayo, las placas se dividieron en cuatro cuadrantes, tres para líneas transgénicas y uno para el control. La inspección visual de los resultados indicó que las líneas que acumulan constitutivamente PtCSP4 tuvieron mayor tolerancia a la presencia de Aroclor a 200 mg L-1 en una concentración no letal, pero sí suficiente para crear un estrés sintomatológico en las plantas (Figura 5).

Interfaz de usuario gráfica



Descripción generada automáticamente

Figura 5. Líneas transgénicas con mayor tolerancia al contaminante. A) Tolerancia a 200 ppm de Aroclor 1221. B) Plantas control.

Al evaluar las plantas, diez días después de germinadas bajo el tratamiento con el contaminante, la supervivencia de las líneas transgénicas fue de 70 %, en contraste con 30 % de las plantas control. En las plantas transgénicas, el valor de peso fresco fue tres veces superior al de los controles, sin diferencias significativas entre líneas.

La eficacia de las plantas transgénicas para la fitorremediación de contaminantes orgánicos ha sido probada en diferentes especies (James y Strand, 2009). La sobreexpresión del gen de lacasa (LAC1) de algodón (Gossypium arboretum L.) en A. thaliana resulta en un aumento de la actividad secretora de lacasa, y en suelos mantiene una mejor resistencia a triclorofenol. Las plantas control presentaron clorosis severa, mientras que las plantas sobreexpresoras LAC1 mostraron menor daño y una mayor resistencia a una variedad de compuestos fenólicos. Los datos sugirieron que LAC1 fue secretada desde las plantas transgénicas para metabolizar el triclorofenol ex situ, lo que resultó en un ambiente menos tóxico (Wang et al., 2004).

En un estudio similar, la lacasa de Trametes versicolor (L.:Fr.) se expresó en tabaco, lo que dio como resultado la secreción de lacasa en la rizosfera y una mayor degradación de bisfenol A y pentaclorofenol (PCP) en cultivo hidropónico (Sonoki et al., 2005). Sin embargo, la degradación en suelos no se examinó. Wevar et al. (2005) desarrollaron tomates transgénicos (Lycopersicon esculentum Mill. cv. Pera) que sobre-expresan TPX1, una peroxidasa nativa, lo que genera una mayor actividad de la peroxidasa (Wevar et al., 2005). Un gen manganeso peroxidasa (Mano) se expresó en plantas de tabaco (Iimura et al., 2002). La actividad Mano en el medio que contenía esquejes transgénicos de raíz transgénicos fue 50 veces mayor, en comparación con los controles; lo que sugiere la secreción de la enzima MnP. Una incubación similar en presencia de PCP produjo una reducción de, aproximadamente, dos veces en la concentración PCP, si se comparan las líneas transgénicas con los controles.

El mismo grupo de investigación transformó a P. seiboldii × P. gradientata con MnP de Trametes versicolor. Varias líneas transgénicas tuvieron mayor actividad MnP que el control y contribuyeron a una eliminación más rápida de bisfenol A (Iimura et al., 2007). En trabajos posteriores, al aquí documentado, se realizarán pruebas de funcionalidad a las líneas transgénicas.

Expresión diferencial del gen PtCSP4

La expresión diferencial en plantas in vitro del clon P. tremula x alba a los 15 días a una concentración de 200 mg L-1 se comprobó mediante una validación por medio de qRT-PCR (Figura 6), la cual evidenció la respuesta de Aroclor 1221 en álamo. Chen et al., (2015) y Ariani et al., (2015), quienes realizaron la validación de resultados por qPCR en P. tomentosa y P. x canadensis, respectivamente, revelando la expresión empírica. Cabe señalar que este factor de transcripción nunca había sido asociado a estrés por xenobióticos.

Gráfico, Gráfico de cajas y bigotes



Descripción generada automáticamente

Figura 6. Análisis empírico de expresión diferencial mediante qRT-PCR del tiempo 15d, C1: 50 mg L-1 y C2:200 mg L-1. Los cambios en la expresión génica se estimaron respecto a un control (fold change). Se validó la expresión diferencial de cold shock (CSP4) Potri.004G172600.1 Las barras indican el error estándar del fold change promedio. Los valores se normalizaron según los niveles de MARN 18S y se asignó el nivel 1 al valor medido entre los controles.

Se intuye que la tolerancia en plantas in vitro del clon P. tremula x alba se debe a los niveles de expresión de PCSP4 y de una cascada de genes que participan en la defensa frente al estrés por PCB, o a estrés oxidativo. Sin embargo, es importante mencionar que, para tener una mayor precisión de la posible expresión génica, se requiere hacer un análisis transcriptómico y proteómico.

Conclusiones

No es sencillo conseguir plantas tolerantes a contaminantes. Varias proteínas CSP están relacionadas con estrés abiótico, y con procesos como el crecimiento, y la floración, pero nunca se han relacionado con el estrés por xenobióticos. Las plantas de Arabidopsis sobre-expresoras de PCSP4 de álamo presentan mayor tolerancia al estrés por PCB (Aroclor 1221). Lo anterior se comprueba por la menor severidad de los daños visibles en las plantas transgénicas, en comparación con las plantas control.  Las líneas sobre-expresoras se comportan como si hubiesen sido sometidas a una aclimatación frente al estrés. Sin embargo, se requiere de una caracterización más profunda de sus funciones y comportamiento en campo, con fines de fitorremediación, tales como los análisis proteómicos y transcriptómicos.

Agradecimientos

A CONACYT por el apoyo durante el doctorado y a la Universidad Politécnica de Madrid (UPM), España; así como al INIFAP por su confianza y apoyo. Agradezco al Centro de Biotecnología y Genómica de Plantas (CBGP) de la Universidad Politécnica de Madrid, en especial al Dr. Luis Gómez Fernández y a la Dra. Ángela Bibiana Contreras Mogollón.

Conflicto de intereses

La autora declara no tener conflictos de intereses.

Referencias

Ambion. 2008. The basics: RNA isolation. http://www.ambion.com/techlib/basics/rnaisol/index.html#1(29 de agosto de 2016).

Ariani, A., D. Di Baccio, S. Romeo, L. Lombardi, A. Andreuccia, A. Lux, D. S. Horner and L. Sebastiani. 2015. RNA Sequencing of Populus × canadensis roots identifies key molecular mechanisms underlying physiological adaption to excess zinc. PLoS ONE 10(2): 1-20. Doi:10.1371/journal.pone.0117571.

Beyer, A. and M. Biziuk. 2009. Environmental fate and global distribution of polychlorinated biphenyls. Reviews of Environmental Contamination and Toxicology (201): 137-158. Doi: 10.1007/978-1-4419-0032-6_5.

Brunner, A. M. and O. Nilsson. 2004. Revisiting tree maturation and floral initiation in the poplar functional genomics era. New Phytologist 164(1): 43-51. Doi:10.1111/j.1469-8137.2004.01165.x.

Campos, V. M. 2011. Fitorremediación de contaminantes persistentes. Una aproximación biotecnológica utilizando chopo (Populus) como sistema modelo. Tesis de Doctoral. Facultad Montes. Universidad Politécnica de Madrid. Madrid, España. 196 p.

Chen, J., B. Chen and D. Zhang. 2015. Transcript profiling of Populus tomentosa genes in normal, tension, and opposite wood by RNA-seq. BMC Genomics 16: 164. Doi: 10.1186/s12864-015-1390-y.

Clough, S. J. and A. F. Bent. 1998. Floral dip: a simplified method for Agrobacterium- mediated transformation of Arabidopsis thaliana. Plant JouARNl. 16(6):735-43. Doi:10.1046/j.1365-313x.1998.00343.x.

Conte, S. S. and A. M. Lloyd. 2011. Exploring multiple drug and herbicide resistance in plants- Spotlight on transporter proteins. Plant Science 180:196-203. Doi: 10.1016/j.plantsci.2010.10.015.

Dickinson, N. M., A. J. M. Baker, A. Doronila, S. Laidlaw and R. D. Reeves. 2009. Phytoremediation of inorganics: realism and synergies, InteARNtional JouARNl of Phytoremediation 11(2): 97-114. Doi: 10.1080/15226510802378368.

Doty, S. 2015. Improving crop growth, biomass production and phytoremediation using endophytes of poplar. Australasian Biotechnology (25): 46-63. https://search.informit.com.au/documentSummary;dn=295821182110914;res=IELHEA>ISSN: 1036-7128 (15 de junio de 2018).

Eapen, S., S. Singh and S. F. D'Souza. 2007. Advances in development of transgenic plants for remediation of xenobiotic pollutants. Biotechnology Advances (25): 442-51. Doi:10.1016/j.biotechadv.2007.05.001.

Environmental Protection Agency of the United States (EPA). 2014. Evaluation of health hazards by exposure to Polychlorinated biphenyls (PCB) and proposal of a health-based quality criterion for soil. The Danish, Copenhagen, Denmark. http://www3.epa.gov/ (22 de enero de 2016).

Golldack, D., C. Li, H. Mohan and N. Probst. 2014. Tolerance to drought and salt stress in plants: unraveling the signaling networks. Frontier in Plant Science (5): 147-151. Doi: 10.3389/fpls.2014.00151.

Gomes, H., C. Dias-Ferreira C. and A. B. Ribeiro. 2013. Overview of in situ and ex situ remediation technologies for PCB-contaminated soils and sediments and obstacles for full-scale application. Science of the Total Environment (446):237–260. Doi: 10.1016/j.scitotenv.2012.11.098.

Harfouche, A., R. Meilan and A. Altman. 2011. Tree genetic engineering and applications to sustainable forestry and biomass production. Trends in Biotechnology 29:9–17. Doi: 10.1016/j.tibtech.2010.09.003.

Hofgen, R. and L. Willmitzer. 1988. Storage of competent cells for Agrobacterium transformation, Nucleic Acids Research 20 (16): 9877-9877. Doi: 10.1093/nar/16.20.9877.

Iimura, Y., S. Ikeda, T. Sonoki, T. Hayakawa, S. Kajita, K. Kimbara, K. Tatsumi and Y. Katayama. 2002. Expression of a gene for MN-peroxidase from Coriolus versicolor in transgenic tobacco generates potential tools for phytoremediation. Applied microbiology and biotechnology. 59. 246-51. Doi: 10.1007/s00253-002-1008-6.

Iimura, Y., M. Yoshizumi, T. Sonoki, M. Uesugi, K. Tatsumi, K. Horiuchi, S. Kajita and Y. Katayama. 2007. Hybrid aspen with a transgene for fungal manganese peroxidase is a potential contributor to phytoremediation of the environment contaminated with bisphenol A. Journal of Wood Science. 53. 541-544. Doi: 10.1007/s10086-007-0890-z.

Isebrands, J. G. and J. Richardson. 2015. Poplars and willows: Trees for society and the environment. Environmental Forestry Consultants LLC, New London, WI, USA. pp.634. Doi: 10.1079/9781780641089.0000.

James, C. A. and S. E. Strand. 2009. Phytoremediation of small organic contaminants using transgenic plants. Current Opinion in Biotechnology. (20):237 –241. Doi: 10.1016/j.copbio.2009.02.014.

Juárez R., A. 2007.Delimitación de secuencias involucradas en el silenciamiento y transactivación de los genes tardíos del Virus Huasteco del Chile (PHV). Maestro en Ciencias en Biología Molecular. Instituto Potosino de Investigación Científica y Tecnológica A.C. (IPYCYT). San Luis Potosí, S.L.P., México. 67 p.

Livak, K. J. and T. Schmittgen. 2001. Analysis of relative gene expression data using real-time quantitative PCR and the 2-DDCt method. Methods (25): 402–408. Doi:10.1006/meth.2001.1262.

Maestri, E. and N. Marmiroli. 2011. Transgenic plants for phytoremediation. International Journal of Phytoremediation (13):264–79. Doi:10.1080/15226514.2011.568549.

Malisch, R. and A. Kotz. 2014. Dioxins and PCBs in feed and food-review from European perspective. Science of the Total Environment. 1:491-492. Doi: 10.1016/j.scitotenv.2014.03.022.

Proudfoot, N., A. Furger and M. Dye. 2002. Integrating mARN processing with transcription. Cell (108): 501-512. Doi: 10.1016/S0092-8674(02)00617-7.

Rea, P. A. 2007. Plant ATP binding cassette transporters. Annual Review of Plant Physiology 58: 347-375. Doi: 10.1146/annurev.arplant.57.032905.105406.

Sandermann, H. 1994. Higher plant metabolism of xenobiotics: the  “green liver concept”. Pharmacogenetics 4(5): 225–241 Doi:10.1097/00008571-199410000-00001.

Sonoki, T., S. Kajita, S. Ikeda, M. Uesugi, K. Tatsumi, Y. Katayama and Y. Iimura. 2005. Transgenic tobacco expressing fungal laccase promotes the detoxification of environmental pollutants. Applied Microbiology and Biotechnology (67): 138-142. Doi:10.1007/s00253-004-1770-8.

Van Aken, B., P. A. Correa and J. L. Schnoor. 2009. Phytoremediation of polychlorinatedbiphenyls: new trends and promises. Technology (44):2767–2776. Doi:10.1021/es902514d.

Wang, G. D., Q. J. Li, B. Luo and X. Y. Chen. 2004. Ex planta phytoremediation of trichlorophenol and phenolic allelochemicals via an engineered secretory laccase. Nature Biotechnology (22):893–897. Doi: 10.1038/nbt982.

Wang, Y., M. Qiao, Y. Liuand and Y. Zhu. 2012. Health risk assessment of heavy metals in soils and vegetables from wastewater irrigated area, Beijing-Tianjin city cluster, China. Journal of Environmental Sciences 24(4): 690–698. Doi:10.1016/s1001-0742(11)60833-4.

Wevar O., A. L., E. Agostini M., A. Talano, C. Capozucca, S. R. Milrad, H. A. Tigier and M. I. Medina. 2005. Overexpression of a basic peroxidase in transgenic tomato (Lycopersicon esculentum Mill. cv. Pera) hairy roots increases phytoremediation of phenol. Plant Sciences. (169): 1102- 1111. Doi:10.1016/j.plantsci.2005.07.007.

Xi, J., P. Xu and C. B. Xiang. 2011. Loss of AtPDR11, a plasma membrane- localized ABC transporter, confers paraquat tolerance in Arabidopsis thaliana. The Plant JouARNl. 69: 782-791. Doi: 10.1111/j.1365-313X.2011.04830.x.

Yang, Z. B., D. Eticha, A. Albacete, I. M. Rao and T. Roitsch, 2012. Horst Physiological and molecular analysis of the interaction between aluminium toxicity and drought stress in common bean (Phaseolus vulgaris). Journal of Experimental Botany 63(8): 3109-3125. Doi: 10.1093/jxb/ers038.

Yuan, L. and S. E. Perry. 2011. Plant Transcription Factors: Methods and Protocols. Springer science+business media. New York, NY, USA. pp. 307-321.

        

Todos los textos publicados por la Revista Mexicana de Ciencias Forestales sin excepción– se distribuyen amparados bajo la licencia Creative Commons 4.0 Atribución-No Comercial (CC BY-NC 4.0 Internacional), que permite a terceros utilizar lo publicado siempre que mencionen la autoría del trabajo y a la primera publicación en esta revista.