Mexicana de Ciencias Forestales Vol. 11 (60)
Julio – Agosto (2020)
DOI: https://doi.org/10.29298/rmcf.v11i60.705 Artículo Relaciones alométricas para plantaciones de Pinus patula Schiede ex Schltdl. et Cham. en el Estado de México Allometric relations for Pinus patula Schiede Schltdl. et Cham. plantations in Mexico State |
Gustavo Ordaz-Ruíz1
Jonathan Hernández-Ramos2*
Guadalupe G. García-Espinoza3
Adrián Hernández-Ramos4
Patricia Delgado-Valerio3
J. Jesús García-Magaña3
Fecha de recepción/Reception date: 4 de diciembre de 2019
Fecha de aceptación/Acceptance date: 12 de mayo de 2020
_______________________________
1 Secretaría de Medio Ambiente del Estado de México-Probosque. México.
2 Campo Experimental Chetumal, CIR-Sureste, Instituto Nacional de Investigaciones Forestales, Agrícolas y Pecuarias (INIFAP). México.
3 Facultad de Agrobiología, Universidad Michoacana de San Nicolás de Hidalgo (UMSNH). México.
4 INIFAP-Campo Experimental Saltillo, CIR-Norte Centro, Instituto Nacional de Investigaciones Forestales, Agrícolas y Pecuarias (INIFAP). México.
*Autor de correspondencia; Correo-e: forestjonathanhdez@gmail.com
Abstract
Allometric relationships are the phenotypic adjustments of species to the environmental conditions where they develop. The objectives were 1) to fit allometric models between the variables stump diameter (dt), normal diameter (d), total height (h) and volume (V) for commercial forest plantations (CFP) of Pinus patula in Regions VI and VII from Mexico State, and 2) to evaluate the differences between the volumes resulting from the volume equations used by the forestry technicians of the State of Mexico. 1 825 dt, d and h data from 65 sampling sites were used to fit 13 allometric models using maximum likelihood. The statistical evaluation was based on the significance of the parameters (p<0.05), the root mean square error, the adjusted coefficient of determination, and the bias. The regression showed significant parameters and standard errors below 1.5 when using the dt as an independent variable, 54.7 % and 87 % of the h and V are explained, and 57.0 % and 91.9 % of the h and the V, respectively, when using the d. The models were reliable enough to be included in a growth and yield system or in the elaboration of CFP management plans. Furthermore, the expression proposed by PROBOSQUE (1990) constitutes the best alternative for the projection of timber yield for P. patula.
Keywords: Timber exploitation, growth, Mathematical models, commercial plantations, yield, mensuration variables.
Resumen
Las relaciones alométricas son los ajustes fenotípicos que manifiestan las especies a las condiciones ambientales donde se desarrollan. Los objetivos del presente estudio fueron: 1) ajustar modelos alométricos entre las variables de diámetro de tocón (dt), diámetro normal (d), altura total (h) y el volumen (V) para plantaciones forestales comerciales (PFC) de Pinus patula en las Regiones VI y VII del Estado de México; y 2) evaluar la diferencia entre los volúmenes resultantes de las ecuaciones empleadas por técnicos forestales del Estado de México. Se emplearon 1 825 datos de dt, d y h provenientes de 65 sitios de muestreo, para el ajuste de 13 modelos alométricos mediante máxima verosimilitud. La evaluación estadística se realizó con la significancia de los parámetros (p<0.05), la raíz del cuadrado medio del error, el coeficiente de determinación ajustado y sesgo. La regresión mostró parámetros significativos y errores estándar inferiores a 1.5; cuando se empleó el dt como variable independiente, se explica 54.7 % y 87 % del h y V, respectivamente; mientras que, si se usa el d para la relación con h y V se obtuvo 57.0 % y 91.9 %, respectivamente. Los modelos resultaron confiables para incluirlos en sistemas de crecimiento y rendimiento, o en la elaboración de planes de manejo de las PFC; además, la expresión propuesta por la Protectora de Bosques del Estado de México (Probosque) representa la mejor alternativa para la proyección del rendimiento maderable para Pinus patula.
Palabras clave: Aprovechamiento maderable, crecimiento, modelos matemáticos, plantaciones comerciales, rendimiento, variables dasométricas.
Introducción
En México, existen aproximadamente 269 600 ha de plantaciones forestales comerciales (PFC) (Semarnat-Conafor, 2014a), que contribuyen a disminuir la presión sobre los bosques naturales, además se fomenta la inversión privada y el desarrollo social (Semarnat-Conafor, 2014b), se favorece la reconversión de áreas degradadas o improductivas a masas arboladas (Probosque, 2019).
En el Estado de México, el establecimiento de plantaciones forestales (PF) presenta una tendencia a la alza; así, para 2003 se registraron 65 ha, en 2008 fueron 504 ha y en 2014 cerca de 537 ha, para un total de 3 070 ha de PF establecidas entre 2000 y 2014 (Semarnat-Conafor, 2015a; Probosque, 2019). De ellas, casi 81 % son plantaciones con especies del género Pinus (Semarnat-Conafor, 2015b), las cuales requieren herramientas silvícolas cuantitativas que apoyen su manejo forestal.
Para el buen manejo de las PF es indispensable conocer las relaciones alométricas que presentan las especies con relación al ambiente en el que se desarrollan, ya que influyen sobre su crecimiento y desarrollo (Semarnat-Conafor, 2014b).
Las relaciones alométricas son un reflejo de las adaptaciones de los taxones a las condiciones ambientales del lugar donde se desarrollan (Niklas, 1995; Gildardo et al., 2011), pueden ser cuantificadas a través de un análisis de regresión y representadas matemáticamente mediante ecuaciones alométricas (Diéguez et al., 2003; Corral et al., 2007; Picard et al., 2012).
En el área forestal se han modelado relaciones alométricas entre el diámetro de tocón (dt) y el diámetro normal (d) (Benítez et al., 2004; Pompa et al., 2009), el dt y la altura total (h) (Diéguez et al., 2009; Hernández et al., 2017b; Hernández et al., 2018); el d y el volumen (V) (Martínez y Acosta, 2014; García et al., 2017), biomasa (B) (Návar et al., 2013) o carbono (C) (Martin et al., 1998; Méndez et al., 2011).
En el Estado de México, el ritmo de establecimiento de PFC es una actividad en aumento y forma parte importante en el desarrollo y crecimiento del sector forestal (Probosque, 2019). Sin embargo, existen problemas de manejo, así como tala clandestina, pérdida de plantaciones por causas meteorológicas o problemas sanitarios; por lo que es necesario contar con herramientas cuantitativas para evaluar las disminuciones volumétricas en estos cultivos. Por lo anterior, los objetivos del presente estudio fueron: 1) ajustar modelos alométricos entre las variables de interés comercial (dt, dn, h y V) para PFC de Pinus patula Schiede ex Schltdl. et Cham. en las Regiones VI y VII del Estado de México; y 2) evaluar las diferencias entre los volúmenes resultantes de las ecuaciones empleadas para el género Pinus por los técnicos forestales del Estado de México.
Materiales y Métodos
El área de estudio se ubica en el Eje Neovolcánico en las regiones forestales delimitadas por Probosque: Coatepec Harinas (R-VI) y Valle de Bravo (R-VII) del Estado de México, que comprenden los siguientes municipios: Coatepec de Harinas y Ocuilán para R-VI; Amanalco, Villa de Allende y Villa Victoria para R-VII (Cervantes et al., 1990; Probosque, 2019). La altitud varía entre 2 000 y 2850 m; el clima es templado (Cw), con precipitación anual de 1 200 mm y temperatura media de 14.5 °C (Inegi, 2016). El suelo es de tipo Andosol (CCT, 2010).
La muestra se estableció en 90.8 ha distribuidas en 11 PFC de P. patula, de entre 4 y 20 años, con un espaciamiento de 3 m × 3 m, y una densidad promedio de 950 plantas ha-1; ocho PFC están ubicadas en la R-VII y tres en la R-VI. La construcción de los polígonos de cada PFC se realizó en Google Earth Pro versión 7.3.2.5491® y QGIS versión 3.4.13-Madeira®. Los sitios fueron de 250 m2 en forma rectangular, establecidos en las intersecciones con la herramienta denominada “puntos regulares” de QGIS. El muestreo fue sistemático y con una cuadricula de 100 m. Se consideraron los sitios ubicados a 40 m del límite de las plantaciones, con el fin de evitar el efecto de borde.
Se evaluaron 65 sitios, en ellos se registró la altitud y exposición, además de cada individuo, el diámetro de tocón (dt) y diámetro normal (d) medidos con una forcípula de aluminio Haglöf Mantax Blue®, y la altura total (h) medida con un clinómetro Suunto Pm-5/1520 Pc Opti Height Meter®. El volumen individual se calculó utilizando tres métodos:
a) Con las expresiones del factor de forma:
(1)
b) El propuesto en el Segundo Estudio Dasonómico del Estado de México (Sedemex) (Probosque, 1990):
(2)
c) El generado por Vargas et al. (2017):
(3)
Donde:
V = Volumen fustal (m3)
d = Diámetro normal a 1.30 m (m)
Π= Constante de 3.1416
ff = Factor de forma (0.77)
h = Altura total (m)
e = Función exponencial (2.718281828)
Ln = Logaritmo natural
Los datos observados se plasmaron en un diagrama de dispersión entre las variables dt-d, dt-h, dt-V1, dt-V2, dt-V3, d-h, d-V1, d-V2, y d-V3; lo que permitió identificar valores atípicos o aberrantes, que se eliminaron de la base de datos. Con la información depurada y verificada la curtosis, se procedió a realizar el ajuste de los modelos matemáticos.
Se evaluaron 13 modelos alométricos para las relaciones de dt-d, dt-h, d-h, dt-V y d-V, registrados en la literatura especializada (Huang et al., 1992; Pompa et al., 2009; Hernández et al., 2015; Hernández et al., 2017b; García et al., 2017) (Cuadro 1). El ajuste de los modelos se hizo utilizando la técnica de máxima verosimilitud (FIML) en el programa SAS 9.2® (SAS Institute Inc., 2008).
Cuadro 1. Modelos alométricos ajustados para plantaciones forestales de Pinus patula Schiede ex Schltdl. et Cham. en el Estado de México.
Relación alométrica | Modelo | Identificador |
dt-d | 4 | |
5 | ||
6 | ||
dt-h | 7 | |
8 | ||
9 | ||
dt-V | 10 | |
11 | ||
d-h | 12 | |
13 | ||
14 | ||
d-V | 15 | |
16 | ||
Dt = Diámetro de tocón (cm); d = Diámetro normal (cm); h = Altura total (m); V = Volumen (m3); B0, B1, B2 = Parámetros por estimar; ln = Logaritmo natural; e = Función exponencial. | ||
La elección del mejor modelo se realizó con base en la significancia de los estimadores (p> 0.05), la menor raíz del cuadrado medio del error (RCME) y el mayor coeficiente de determinación ajustado (R2ajustado); además, se verificó la normalidad y distribución de los residuales mediante la prueba de Shapiro-Wilk (SW) y la tendencia gráfica de las observaciones, respectivamente (Huang, 1992; García et al., 2017). La precisión de las estimaciones con los mejores modelos para cada variable, se evaluó con el sesgo (E) (García et al., 2017; Corral et al., 2019) y el gráfico de estimaciones versus datos observados (García et al., 2017).
La comparación entre los tres volúmenes estimados (V1, V2 y V3) con el modelo seleccionado como el mejor, se llevó a cabo a través de las diferencias en los sesgos obtenidos, y estadísticamente con una prueba de t para muestras independientes, con un nivel de 95 % (p=0.05) contrastando V1-V2, V1-V3 y V2-V3 (Di Rienzo et al., 2008).
Resultados
Los estadísticos descriptivos de la muestra evidenciaron que el dt tuvo un intervalo de valores entre 6 y 42 cm; mientras que, el d de 3 a 40 cm, con una altura máxima de 25 m; para el volumen, la diferencia fue de 0.979 m3 (V1-V2) al utilizar las ecuaciones. La curtosis de los datos registrados (variables independientes) presentó una distribución normal, sin problemas de desviación (Cuadro 2).
Cuadro 2. Estadística básica de datos observados en plantaciones de Pinus patula Schiede ex Schltdl. et Cham. en el Estado de México.
Estadístico/Variable | Diámetro de tocón (cm) | Diámetro normal (cm) | Altura total (m) | Volumen 1 (m3) | Volumen 2 (m3) | Volumen 3 (m3) |
Número de observaciones | 1 825 | 1 825 | 1825 | 1 825 | 1 825 | 1 825 |
Media | 20.99 | 17.40 | 12.19 | 0.284 | 0.165 | 0.176 |
Máximo | 41.20 | 39.20 | 25.00 | 2.137 | 1.158 | 1.278 |
Mínimo | 6.00 | 3.40 | 4.00 | 0.002 | 0.002 | 0.001 |
Varianza | 46.98 | 37.53 | 21.46 | 0.066 | 0.020 | 0.024 |
Desviación estándar | 6.85 | 6.12 | 4.63 | 0.258 | 0.142 | 0.157 |
Índice de curtosis | -0.39 | -0.18 | -0.56 | 5.394 | 4.658 | 5.032 |
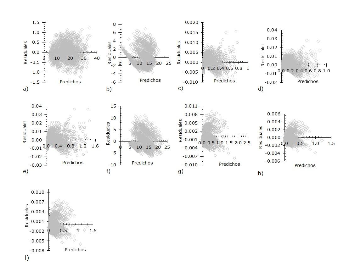
En un primer ajuste, al verificar los supuestos de la regresión en las variables de interés, se observó normalidad (SW>0.93) para todos los modelos, pero la tendencia de los residuales en los gráficos mostró problemas de heterocedasticidad. Para la solución de este problema, se emplearon funciones de ponderación de varianzas (Prodan et al., 1997).
Para las relaciones entre el dt-d, dt-h y d-h se empleó la ponderación: Residual/(xφ)0.5, y en dt-V1, dt-V2, dt-V3, d-V1, d-V2 y d-V3: Residual/((1/x)φ)0.5) (Crecente et al., 2009; García et al., 2017; Hernández et al., 2017a). Dicha función, basada en una ecuación exponencial, se aplicó según la metodología sugerida por Harvey (1976); en la cual, la variable utilizada se interpreta con x y φ proviene de la regresión lineal del logaritmo natural (ln) de los residuales en la variable dependiente en función de ln(x); con ese procedimiento, los residuales fueron homocedásticos en todos los ajustes (Figura 1) y SW > 0.93.
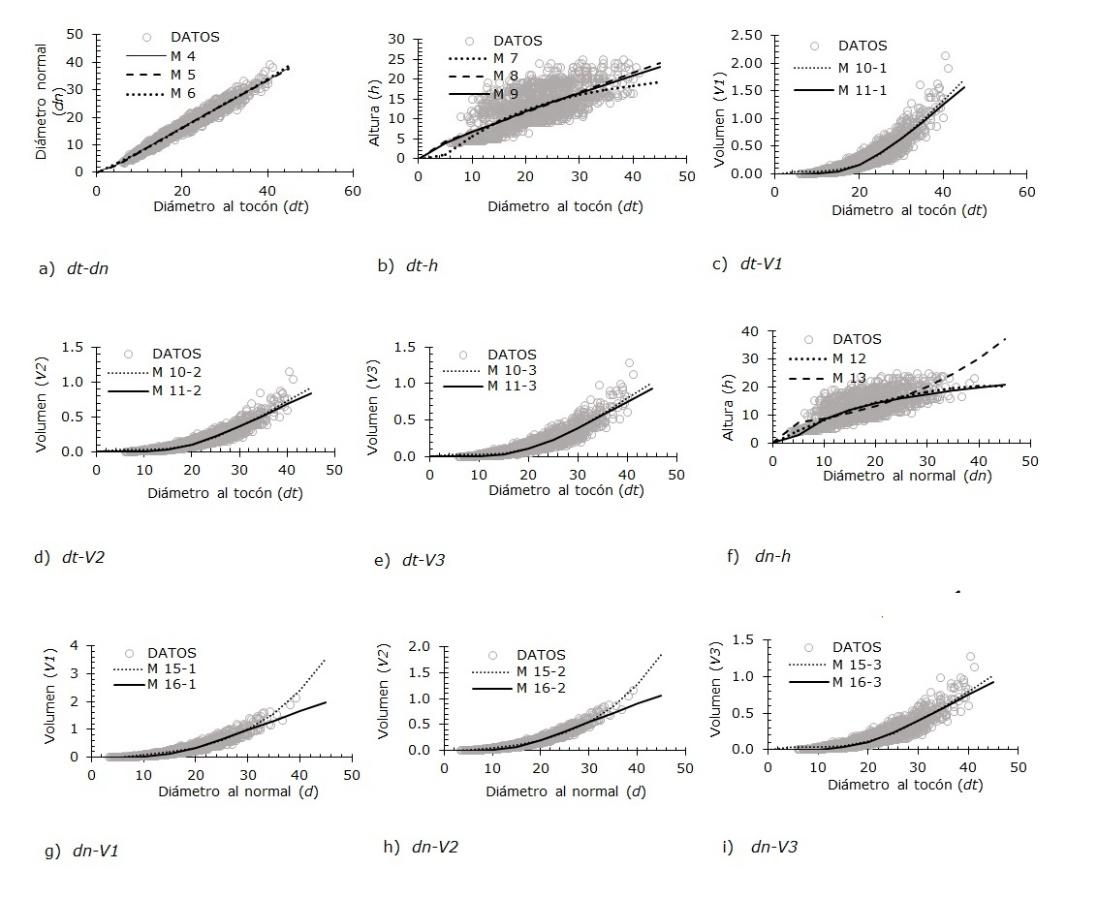
a) Diámetro normal; b) Altura; c) Volumen 1; d) Volumen 2; y e) Volumen 3, en función del diámetro del tocón; y para f) Altura; g) Volumen 1, h) Volumen 2; e i) Volumen 3 ,en función del diámetro normal.
Figura 1. Distribución de los residuales resultado del ajuste estadístico en las relaciones alométricas para plantaciones forestales comerciales de Pinus patula Schiede ex Schltdl. et Cham. en el Estado de México.
Una vez corregidos los problemas de heterocedasticidad, los resultados del ajuste de los modelos utilizados para la relación alométrica entre el d, h, V1, V2 y V3 en función del dt indicaron una explicación de 96.0, 54.7, 86.6, 89.1 y 85.2 %, de la variabilidad (R2ajustado), respectivamente; mientras que, para la relación del d con respecto a la h, V1, V2 y V3 fue de 57.0, 91.5, 94.5 y 89.8 %, respectivamente (Cuadro 3). Se registraron parámetros significativos a 95 % de confiabilidad para los mejores modelos, y errores estándar inferiores a 1.5 en todos los casos.
Cuadro 3. Estadísticos de ajuste y valor de los parámetros en las relaciones alométricas de diámetro de tocón (dt), diámetro normal (d), altura total (h) y los volúmenes calculados (Vi) para plantaciones forestales de Pinus patula Schiede ex Schltdl. et Cham. en el Estado de México.
Variable | Modelo | RCME | R2ajustado | Parámetro | Estimador | Eea | Valor t | Pr>t |
dt-d | 4 | 1.498 | 0.960 | β0 | -1.344670 | 0.1040 | -12.97 | <0.0001 |
β1 | 0.875760 | 0.0040 | 210.80 | <0.0001 | ||||
5 | 1.463 | 0.960 | β0 | -1.905270 | 0.0842 | -22.62 | <0.0001 | |
β1 | 0.966882 | 0.0011 | 850.2 | <0.0001 | ||||
6 | 1.528 | 0.959 | β0 | 0.639455 | 0.0120 | 53.20 | <0.0001 | |
β1 | 1.077157 | 0.0056 | 189.38 | <0.0001 | ||||
dt-h | 7 | 9.711 | 0.547 | β0 | 27.33707 | 0.5581 | 48.98 | <0.0001 |
β1 | -15.8681 | 0.4427 | -35.85 | <0.0001 | ||||
8 | 9.811 | 0.543 | β0 | 1.73889 | 0.2560 | 6.79 | <0.0001 | |
β1 | 0.70583 | 0.0080 | 86.29 | <0.0001 | ||||
9 | 9.716 | 0.547 | β0 | -0.01125 | 0.0663 | -0.17 | 0.8653 | |
β1 | 0.828473 | 0.0210 | 39.54 | <0.0001 | ||||
dt-V | 10.V1 | 0.008 | 0.866 | β0 | 0.051621 | 0.0080 | 6.41 | <0.0001 |
β1 | 13.1044 | 0.4632 | 28.29 | <0.0001 | ||||
β2 | -93.3043 | 1.4997 | -62.22 | <0.0001 | ||||
10.V2 | 0.002 | 0.891 | β0 | 0.03006 | 0.0040 | 7.53 | <0.0001 | |
β1 | 6.4056 | 0.1900 | 33.79 | <0.0001 | ||||
β2 | -88.6921 | 1.2650 | -70.1 | <0.0001 | ||||
10.V3 | 0.003 | 0.852 | β0 | 0.03208 | 0.0052 | 6.07 | <0.0001 | |
β1 | 7.412401 | 0.2817 | 26.32 | <0.0001 | ||||
β2 | -90.9122 | 1.6063 | -56.6 | <0.0001 | ||||
11.V1 | 0.009 | 0.858 | β0 | 2.211235 | 0.0201 | 109.9 | <0.0001 | |
β1 | -79.5617 | 0.6700 | -118.8 | <0.0001 | ||||
11.V2 | 0.002 | 0.883 | β0 | 1.503327 | 0.0173 | 86.77 | <0.0001 | |
β1 | -75.2011 | 0.5761 | -130.6 | <0.0001 | ||||
11.V3 | 0.003 | 0.844 | β0 | 1.643419 | 0.0214 | 76.62 | <0.0001 | |
β1 | -77.229 | 0.7055 | -109.5 | <0.0001 | ||||
d-h | 12 | 9.229 | 0.570 | β0 | -0.08326 | 0.6237 | -0.13 | 0.8938 |
β1 | 0.919122 | 0.0684 | 13.43 | <0.0001 | ||||
β2 | -0.01031 | 0.0017 | -5.75 | <0.0001 | ||||
13 | 10.49 | 0.511 | β0 | 1.776094 | 0.0181 | 98.26 | <0.0001 | |
β1 | 0.040935 | 0.0008 | 50.57 | <0.0001 | ||||
14 | 9.335 | 0.565 | β0 | -10.4242 | 0.5820 | -17.9 | <0.0001 | |
β1 | 8.20582 | 0.2050 | 40.04 | <0.0001 | ||||
d-V | 15.V1 | 0.005 | 0.915 | β0 | 42.54767 | 0.2371 | 179.45 | <0.0001 |
β1 | -0.41312 | 0.0077 | -53.67 | <0.0001 | ||||
15.V2 | 0.001 | 0.945 | β0 | 54.2885 | 0.2430 | 223.1 | <0.0001 | |
β1 | -0.47138 | 0.0080 | -59.18 | <0.0001 | ||||
15.V3 | 0.002 | 0.898 | β0 | 53.15026 | 0.3405 | 156.09 | <0.0001 | |
β1 | -0.48248 | 0.0112 | -43.04 | <0.0001 | ||||
16.V1 | 0.006 | 0.904 | β0 | 2.064305 | 0.0135 | 153.08 | <0.0001 | |
β1 | -62.3728 | 0.3854 | -161.9 | <0.0001 | ||||
16.V2 | 0.001 | 0.932 | β0 | 1.381082 | 0.0105 | 131.97 | <0.0001 | |
β1 | -59.3168 | 0.3014 | -196.8 | <0.0001 | ||||
16.V3 | 0.002 | 0.887 | β0 | 1.498366 | 0.0152 | 98.65 | <0.0001 | |
β1 | -60.4855 | 0.4269 | -141.7 | <0.0001 |
RCME = Raíz del Cuadrado Medio del Error; R2ajustado = Coeficiente de determinación ajustado; Eea = Error estándar aproximado.
En las relaciones, se observó que las ecuaciones con el mejor ajuste estadístico presentaron inconsistencias en las tendencias; por lo que se realizó un análisis gráfico (Figura 2), en el cual se observó que los modelos 4, 8 y 14 fueron los que mejor predijeron la información; 10.V2 y 15.V2 al combinarlos con la expresión propuesta por Probosque (1990) fue la que mejor se ajustó a la muestra empleada, ya que el factor de forma resultó alto y la expresión de Vargas et al. (2017) arrojó resultados por debajo de la tendencia; sin embargo, debe considerarse que las ecuaciones fueron desarrollada para bosques naturales, cuyo hábito de crecimiento es diferente al de una PFC.
Figura 2. Predicción de las relaciones alométricas versus datos observados en diámetro de tocón (dt), diámetro normal (d), altura total (h) y volumen (V) para plantaciones forestales de Pinus patula Schiede ex Schltdl. et Cham. en el Estado de México.
Al evaluar las estimaciones con los modelos seleccionados y considerar el dt como variable independiente, el sesgo fue de 0.00001 cm, 0.000002 m y 0.00000004 m3 para el d, h y V, respectivamente; y de 0.000011 m y 0.00252 m3 al estimar la h y el V en función del d. A partir del dt, el sesgo fue similar para los modelos V1 y V3 con 0.000001 m3; y en función del d el V1, el sesgo fue de 0.0053 m3; y para V2 de 0.0030 m3. Mientras que la prueba estadística evidenció que las estimaciones entre los modelos V1-V2 y V1-V3 fueron diferentes (p<0.05), y V2-V3 resultaron iguales (p=0.03).
Discusión
Los resultados generados con el modelo 4 explican 96.0 % de la variabilidad del d a partir de las dimensiones del dt, por lo que el R2ajustado se puede considerar alto, de acuerdo con lo expresado por Gujarati y Porter (2010) quienes plantean que valores alrededor de 0.8 en los modelos son sinónimo de eficacia. Al comparar los valores obtenidos, se observa que son semejantes a los documentados por Benítez et al. (2004), autores que utilizaron un modelo de tipo logarítmico que explica más de 95 % de la variabilidad de los datos al ajustar la relación d-dt, para Casuarina equisetifolia Forst. en La Providencia Camagüey, Cuba; además de, obtener una diferencia agregada que sobre-estima en 1.97 cm, el d; por su parte, Bava y López (2006) con un modelo logarítmico para Nothofagus pumilio (Poepp. & Endl.) Krasser, explicaron 97 %; y Quiñonez et al. (2012) en especies de Pinus y Quercus, y mediante relaciones alométricas para la relación d-dt obtuvieron coeficientes que explicaron más de 92 % de la variabilidad; sin embargo, son inferiores a lo citado por García et al. (2017), quienes predijeron cerca de 99 % del d a partir del dt con una RCME de 1.777 cm para Abies religiosa (Kunth) Schltdl. et Cham.
Al modelar la h en función del dt y d, se obtuvieron R2ajustado de 0.53 y 0.57, respectivamente; situación que concuerda con lo descrito por Diéguez et al. (2003), autores que indican la complejidad de modelar esta relación, por la gran variabilidad y distribución de la información. Por ejemplo, las ecuaciones propuestas por Quiñonez et al. (2012) para Pinus arizonica Engelm., P. ayacahuite Ehrenb. ex Schltdl., P. durangensis Martínez, P. leiophylla Schiede ex Schltdl. et Cham., P. teocote Schiede ex Schltdl. et Cham. y Quercus sideroxila Bonpl. con valores entre 0.47 y 0.77; y García et al. (2017) señalan coeficientes entre 0.37 a 0.68 para especies de interés comercial en los bosques tropicales de Quintana Roo.
Para el volumen, los resultados obtenidos son aceptables, ya que explican 89.1 % de la variación de los datos; valor semejante al consignado por Quiñonez et al. (2012), quienes usaron un modelo alométrico en su forma linealizada y obtuvieron una explicación de 90 % de la variación; García et al. (2017) registraron una explicación de entre 86 % y 93 %, e infirieron que el modelo de tipo y=a·xb es al adecuado para predecir el volumen en función del dt.
En el presente estudio, al modelo 10 le correspondió la mayor confiabilidad para la estimación del volumen (V1, V2 y V3). Sin embargo, entre las ecuaciones se aprecia que V2 y V3 tuvieron una menor varianza en los datos, con respecto al V1, este último manejado a conveniencia por ser un ff alto (0.77); en tanto que, la ecuación propuesta por Probosque (1990) es más estable y más utilizado para estimar el volumen individual de esta especie en las regiones donde se ubican las plantaciones analizada.
Las pruebas de normalidad no presentaron problemas de distribución (SW>0.93) y los residuales se comportaron de forma homocedástica, después de la corrección, tal como lo describen Huang et al. (1992), Crecente et al. (2009) y García et al. (2017) (Figura 2). Los sesgos y las tendencias fueron aceptables, ya que los valores de las desviaciones resultaron menores a los obtenidos por Quiñonez et al. (2012) y García et al. (2017); además, las tendencias de las estimaciones están acordes a lo registrado por: Martínez y Acosta (2014) al estimar el d, García et al. (2017) al calcular la h, Hernández et al. (2018) al proyectar el volumen, y Díaz-Franco et al. (2007) al ajustar este tipo de ecuaciones alométricas para biomasa (B) y carbono (C) capturado.
Un ejemplo práctico de la aplicación de estas ecuaciones, se describe a continuación. Al evaluar una corta clandestina de una hectárea dentro de una PF (260 árboles ha-1), en donde se miden 260 diámetros de tocones en la PF; se estima un valor promedio de 40 cm en el dt, y al aplicar las ecuaciones alométricas propuestas, con d promedio de 33.69 cm, h de 21.67 m, y volumen de 1.3233 m3, 0.7276 m3 y 0.7957 m3; por lo que, la extracción maderable se calcula en 344.06 m3, 189.19 m3 y 206.89 m3, con las expresiones de V1, V2 y V3, respectivamente. Los valores de V2 en función de la densidad básica registrada por Goche et al. (2011) de 0.5049 g cm-3 para la especie, se proyecta que la biomasa extraída fue de 95.52 Mg ha-1 y de 47.76 Mg ha-1 de CO2, cuando se emplea lo propuesto por Acosta et al. (2009).
Conclusiones
Los modelos alométricos propuestos como los mejores entre las variables de interés forestal: diámetro de tocón (cm), diámetro normal (cm), altura total (m) y volumen (m3), para las plantaciones forestales comerciales de Pinus patula en las Regiones VI y VII del Estado de México son estadísticamente confiables y precisos; por lo que pueden incluirse en sistemas de crecimiento y rendimiento para esta especie cultivada, o para la evaluación de los productos obtenidos posterior al aprovechamiento legal o clandestino; además, de forma general, en la elaboración de planes de manejo forestal.
La evaluación de las diferencias entre los volúmenes estimados con las ecuaciones de volumen empleadas, se considera que el factor de forma usado de 0.77 es alto y diferente a las otras dos ecuaciones; sin embargo, actualmente es utilizado dentro de los programas de manejo forestales en el Estado de México (V1).
Aun cuando, numéricamente, existe una diferencia entre los volúmenes estimados con las ecuaciones propuestas por Probosque y otros autores, estadísticamente no son diferentes, situación que si sucede cuando se usa el factor de forma. Por lo que, cualquiera de estas dos opciones puede utilizarse, mientras no se construya una específica para estimar las existencias volumétricas en las plantaciones.
Agradecimientos
A Probosque por el apoyo y las facilidades para el levantamiento de la información de campo.
Conflicto de intereses
Los autores declaran no tener ningún conflicto de interés.
Contribución por autor
Gustavo Ordaz-Ruíz, Jonathan Hernández-Ramos y J. Jesús García-Magaña: diseño del estudio, toma de la información, análisis de datos, ajuste estadístico y elaboración de manuscrito; Adrián Hernández-Ramos, Patricia Delgado-Valerio y Guadalupe G. García-Espinoza: revisión, análisis y discusión del documento.
Referencias
Acosta, M. M., F. Carrillo A. y M. Díaz L. 2009. Determinación del carbono total en bosques mixtos de Pinus patula Schl. et cham. Terra Latinoamericana 27(2): 105-114.
Bava, O. y M. López P. 2006. Predicción del diámetro a la altura de pecho en función de las dimensiones del tocón de árboles de lenga (Nothofagus pumilio) en Tierra del Fuego, Argentina. Quebracho 13: 87-92. https://www.redalyc.org/articulo.oa?id=48101309&idp=1&cid=78431 (21 de mayo de 2020).
Benítez, N. J., M. Rivero V., A. Vidal, C., C. Rodríguez R. y R. Álvarez R. 2004. Estimación del diámetro normal a partir del diámetro del tocón en plantaciones de Casuarina equisetifolia Forts. de La Providencia Camagüey, Cuba. Revista Chapingo Serie de Ciencias Forestales y del ambiente 10(01): 25-30. https://www.redalyc.org/articulo.oa?id=62910104 (21 de mayo de 2020).
Centro Canadiense de Teledetección (CCT). 2010. Cobertura del suelo de México a 250 metros. Edición 1.0. Catálogo de metadatos geográficos. http://www.conabio.gob.mx/informacion/gis/ (17 de septiembre de 2019).
Cervantes Z., Y., S. L. Cornejo O., L. Márquez R., J. M. Espinoza R., M. Víquez, E. y A. Pineda V. 1990. Provincias Fisiográficas de México, 1:4 000 000. Catálogo de metadatos geográficos. http://www.conabio.gob.mx/ informacion/metadata/gis/rfisio4mgw.xml?_httpcache=yesy_xsl=/db/metadata/xsl/fgdc_html.xsly_indent=no (12 de junio de 2019).
Corral R., J. J., M. Bario A., O. A. Aguirre C. and U. Diéguez A. 2007. Use of stump diameter to estimate diameter at breast height and tree volume for major pine species in El Salto, Durango, México. Forestry 80(1): 29-40. Doi: 10.1093/forestry/cpl048.
Corral R., S., A. M. Silva A. y G. Quiñonez B. 2019. Modelo generalizado no-lineal altura-diámetro con efectos mixtos para siete especies de Pinus en Durango, México. Revista Mexicana de Ciencias Forestales 10(53): 86-117. Doi: 10.29 298/rmcf.v10i53.500.
Crecente, F., A. Rojo and U. Diéguez. 2009. A merchantable volume system for Pinus sylvestris L. in the major mountain ranges of Spain. Annals of Forest Science 66: 1-12. Doi: 10.1051/forest/2009078.
Díaz-Franco, R., M. Acosta-Mireles, F. Carrillo-Anzures, E. Buendía-Rodríguez, E. Flores-Ayala y J. D. Etchevers-Barra. 2007. Determinación de ecuaciones alométricas para estimar biomasa y carbono en Pinus patula Schl. et Cham. Madera y Bosques 13(1): 25-34. Doi:10.21829/myb.2007.1311233.
Diéguez A., U., M. Barrio, A., D. Castedo y M. Balboa. 2003. Estimación de diámetro normal y del volumen del tronco a partir de las dimensiones del tocón para seis especies forestales comerciales de Galicia. Investigación Agraria, Sistemas y Recursos Forestales 12(2): 131-139. https://recyt.fecyt.es/index.php/IA/article/view/2502 (21 de mayo de 2020).
Diéguez A., U., A. Rojo, D. Castedo, G. Álvarez, M. Barrio, F. Anta, C. Crecente, G. González, C. Pérez, S. Rodríguez, S. López, V. Balboa, M. y R. Sánchez. 2009. Herramientas selvícolas para la gestión forestal sostenible en Galicia. Túrculo Artes Gráficas, S.A. Lugo, España. 259 p.
Di Rienzo J., A., F. Casanoves, M. G. Balzarini, L. González, M. Tablada y C. W. Robledo. 2008. InfoStat versión 2008. Centro de Transferencia InfoStat, FCA, Universidad Nacional de Córdoba. Córdoba, Argentina. 336 p.
García C., X., J. Hernández R., J. J. García M., A. Hernández R., V. Herrera Á., A. González P. y E. J. Garfias M. 2017. Predicción de diámetro normal, altura y volumen de Abies religiosa a partir del diámetro del tocón. Xalapa, México. Madera y Bosques 23(3): 61-70. Doi: 10.21829/myb.2017.2331528.
Gildardo P., W., D. Cárdenas y A. Dunque M. 2011. Alometría y Crecimiento de seis Especies Arbóreas en un Bosque de tierra firme en la Amazona, Colombia. Colombia Forestal 14(1): 9-21. http://www.scielo.org.co/pdf/cofo/v14n1/v14n1a02.pdf (21 de mayo de 2020).
Goche, T. J. R., A. Velázquez M., A. Borja R., J. Capulín G. y C. Palacios M. 2011. Variación radial de la densidad básica en Pinus patula Schltdl. et Cham. de tres localidades en Hidalgo. Revista Mexicana Ciencia Forestal 2(7): 71-78. Doi:10.29298/rmcf.v2i7.568.
Gujarati, N. D. y C. D. Porter. 2010. Econometria 5a edición. McGraw-Hill Interamericana Editores. México, D. F., México. pp. 97-107.
Harvey, A. C. 1976. Estimación de modelos de regresión con multipli-heteroscedasticidad cativa. Econometrica 44: 461-46. Doi: 10.2307/1913974.
Hernández R., J., J. J. García M., X. García C., E. Geraldine G., A. Hernández R., F. Muñoz, H. y M. Martínez S. 2018. Ecuaciones generalizadas altura-diámetro para bosques de Pinus pseudostrobus Lindl. en Nuevo San Juan Parangaricutiro, Michoacán, México. Madera y Bosques 24(2): 1-18. Doi: 10.21829/myb.2018.242494.
Hernández R., J., H. M. De los Santos P., J. R. Valdez L., J. C. Tamarit U., G. Ángeles P., A. Hernández R., A. Peduzzi y C. Omar. 2017a. Sistema compatible de ahusamiento y volumen comercial para plantaciones de Eucalyptus urophylla en Tabasco, México. Acta Universitaria 27(6): 40-52. Doi: 10.15174/au.2017.1484.
Hernández R., J., A. Hernández R., J. J. García M., X. García C., E. G. García G., H. Muñoz F. y E. H. Olvera D. 2017b. Sistema compatible de ahusamiento-volumen comercial para plantaciones de Pinus greggii Engelm. en Hidalgo, México. Revista Mexicana de Ciencias Forestales 8(39): 59-70. Doi: 10.29298/rmcf.v8i39.43.
Hernández R., J., X. García C., A. Hernández R., J. J. García M., H. Muñoz F., C. Flores L. y E. G. García G. 2015. Ecuaciones altura-diámetro generalizadas para Pinus teocote Schlecht. et Cham. en el estado Hidalgo, México. Revista Mexicana de Ciencias Forestales 6(31): 8-21. Doi: 10.29298/rmcf.v6i31.192.
Huang, S., J. Titus S. and P. Wiens D. 1992. Comparison of nonlinear height-diameter function for major Alberta tree species. Canadian Journal of Forest Research 22(9): 1295-1304. Doi: 10.1139/x92-172.
Instituto Nacional de Estadística y Geografía (Inegi). 2016. Conjunto de Datos Vectoriales de Uso de Suelo y Vegetación, Escala 1:250 000, Serie VI (Capa Union). Catálogo de metadatos geográficos. 1a Edición. Aguascalientes, Ags., México. http://www.conabio.gob.mx/informacion/gis/ (17 de septiembre de 2019).
Martin G., J., B. Kloeppel D., T. Schaefer L., D. Kimbler L. and S. McNulty G. 1998. Aboveground biomass and nitrogen allocation of ten deciduous southern Appalachian tree species. Canadian Journal of Forest Research, 28(11), 1648-1659. Doi: 10.1139/x98-146.
Martínez L., J. y A. Acosta R. 2014. Estimación del diámetro, altura y volumen a partir del diámetro del tocón para Quercus laurina, en Ixtlán, Oaxaca, México. Madera y Bosques 20(1): 59-70. Doi: 10.21829/myb.2014.201176.
Méndez G., J., S. L. Luckie N., M. Á. Capó A. y J. A. Nájera L. 2011. Ecuaciones Alométricas y Estimación de Incrementos en Biomasa Aérea y Carbono en una Plantación mixta de Pinus devoniana Lindl. y P. pseudostrobus Lindl., En Guanajuato, México. Agrociencia 45(4): 479-491.
Návar C., J., F. J. Rodríguez F. y P. A. Domínguez C. 2013. Ecuaciones Alométricas para árboles tropicales: aplicación al inventario forestal de Sinaloa, México. Agronomía Mesoamericana 24(2): 347-356. https://www.scielo.sa.cr/pdf/am/v24n2/a11v24n2.pdf (21 de mayo de 2020).
Niklas, K. J. 1995. Size-dependent allometry of tree height, diameter and trunk-taper. Annals of Botany 75(3): 217-227. Doi: 10.1006/anbo.1995.1015.
Picard, N., A. L. Saint y M. Henry. 2012. Manual de Construcción de ecuaciones alométricas para estimar el volumen y la biomasa de los árboles, del trabajo de campo a la predicción. FAO-CIRAD. Roma, Italia. 221 p.
Pompa G., M., J. Corral R., M. Díaz V. y M. Martínez S. 2009. Función de ahusamiento y volumen compatible para Pinus arizonica Engelm., en el Suroeste de Chihuahua. Revista Ciencia Forestal en México 34(105): 119-136. https://cienciasforestales.inifap.gob.mx/index.php/ejemplares (21 de mayo de 2020).
Protectora de Bosques del Estado de México (Probosque). 1990. Sedemex: Segundo Estudio Dasonómico del Estado de México. Gobierno del Estado de México. Toluca, México. 334 p.
Protectora de Bosques del Estado de México (Probosque). 2019. Desarrollo forestal. http://Probosque.edomex.gob.mx/conservacion_forestal (17 de agosto de 2019).
Prodan, M., R. Peters, F. Cox y P. Real. 1997. Mensura Forestal. Instituto Interamericano de Cooperación para la Agricultura (IICA)/ Deutsche Gesellschaftfur Technische Zusammenarbeit (GTZ) GmbH. San José, Costa Rica. 586 p.
Quiñonez B., G., F. Cruz C., B. Vargas L. y J. Hernández F. 2012. Estimación del diámetro, altura y volumen a partir del tocón para especies forestales de Durango. Revista Mexicana de Ciencias Forestales 3(9): 23-39. Doi: 10.29298/ rmcf.v3i9.535
Statistical Analysis System (SAS) Institute Inc., 2008. SAS/STAT® 9.2 User’s Guide Second Edition. SAS Institute Inc. Raleigh, NC, USA. S. 238 p.
Secretaría del Medio Ambiente y Recursos Naturales- Comisión Nacional Forestal (Semarnat-Conafor). 2015a. Superficies de Plantaciones Forestales Comerciales Maderables establecidas (2000-2014). http://www.conafor.gob.mx:8080/documentos/docs/43/6022Superficies%20de%20plantaciones%20forestales%20comerciales%20maderables%20establecidas%20en%202000-2014.pdf (17 de agosto de 2019).
Secretaría del Medio Ambiente y Recursos Naturales- Comisión Nacional Forestal (Semarnat-Conafor). 2015b. Principales Especies Maderables establecidas en PFC por Entidad Federativa (2000-2014). http://www.conafor.gob.mx:8080/documentos/docs/43/6019Principales%20especies%20maderables%20establecidas%20en%20PFC%20por%20Entidad%20Federativa%20en%202000%20-%202014.pdf (17 de agosto de 2019).
Secretaría del Medio Ambiente y Recursos Naturales- Comisión Nacional Forestal (Semarnat-Conafor). 2014a. Unidad de Comunicación Social: Boletín 77. México. http://www.conafor.gob.mx:8080/documentos/docs/7/5752M%C3%A9xico%20cuenta%20con%20270%20mil%20hect%C3%A1reas%20de%20%20Plantaciones%20Forestales%20Comerciales.pdf (17 de agosto de 2019).
Secretaría del Medio Ambiente y Recursos Naturales- Comisión Nacional Forestal (Semarnat-Conafor). 2014b. Programas Específicos de Intervención Institucional, Programas de Plantaciones Forestales Comerciales. https://www.gob.mx/cms/uploads/attachment/file/251747/Programa_especifico_de_intervencion_institucional_Plantaciones_Forestales_Comerciales_2014-2018.pdf (20 de agosto de 2019)
Vargas L., B., J. J. Corral R., O. A. Aguirre C., J. O. López M., H. M. De los Santos P., F. J. Zamudio S., E. J. Treviño G., M. Martínez S. y C. G. Aguirre C. 2017. SiBiFor: Sistema Biométrico Forestal para el manejo de los bosques de México. Revista Chapingo Serie Ciencias Forestales y del Ambiente 23(3): 437-455. Doi: 10.5154/r.rchscfa.2017.06.040.
Todos los textos publicados por la Revista Mexicana de Ciencias Forestales –sin excepción– se distribuyen amparados bajo la licencia Creative Commons 4.0 Atribución-No Comercial (CC BY-NC 4.0 Internacional), que permite a terceros utilizar lo publicado siempre que mencionen la autoría del trabajo y a la primera publicación en esta revista.