Revista Mexicana de Ciencias Forestales  Vol. 11 (57)

Enero – Febrero (2020)

DOI: https://doi.org/10.29298/rmcf.v11i57.643

Article

Ajuste de modelos empíricos de infiltración en un Umbrisol bajo diferentes tratamientos silvícolas

Fitting of empirical models of infiltration in an Umbrisol under different silvicultural treatments

Erik Orlando Luna Robles1*, Israel Cantú Silva1, María Inés Yáñez Díaz1, Humberto González Rodríguez1, José Guadalupe Marmolejo Monsiváis1 y Silvia Janeth Béjar Pulido1

Fecha de recepción/Reception date: 21 de agosto de 2019

Fecha de aceptación/Acceptance date: 28 de noviembre de 2019

_______________________________

¹Facultad de Ciencias Forestales, Universidad Autónoma de Nuevo León, México.

*Autor para correspondencia; correo-e: eranroka@hotmail.com

Resumen

La presente investigación tuvo como objetivo modelar el proceso de infiltración a partir de los resultados de mediciones in situ en diferentes rodales silvícolas en un suelo Umbrisol, localizados en el ejido La Ciudad, Pueblo Nuevo, Durango, México. La infiltración se realizó mediante el método del infiltrómetro de doble anillo, por un tiempo de 270 minutos con recargas variables. Se analizaron rodales silvícolas después de las cortas de regeneración (Árboles Padre, Matarrasa y Selección) y se compararon con un área regenerada (posincendio) y un rodal de Referencia (testigo). Se hizo el ajuste de los datos de 15 pruebas de infiltración a los modelos Kostiakov, Horton y Lewis-Kostiakov. Los resultados mostraron un decremento medio de 45 % en la infiltración inicial (Fi), respecto al rodal de Referencia, la infiltración básica (Fb) incrementos ligeros en Árboles Padre y Selección; mientras que Matarrasa y Posincendio presentaron reducciones de 28 y 23 %, respectivamente. En relación con la infiltración acumulada (Fa), solamente, el tratamiento de Árboles Padre registró 4.7 % por arriba del rodal de Referencia. El análisis de varianza evidenció diferencias significativas para Fi; la prueba de las demostró para Fb y Fa. Los ajustes de los modelos, basados en el coeficiente de determinación (R2), mostraron que el de Lewis-Kostiakov estima mejor la infiltración para las áreas de Selección y Referencia, la cual es menos afectada en comparación con los rodales de Árboles Padre, Matarrasa y posincendio forestal, los que fueron mejor descritos por el modelo tipo Kostiakov.

Palabras clave: Árboles Padre, matarrasa, modelo Lewis-Kostiakov posincendio, infiltración, Umbrisol.

Abstract

The objective of this research was to model the infiltration process based on results obtained from measurements in situ in different silvicultural stands on an Umbrisol soil in La Ciudad a communal area in Pueblo Nuevo, Durango. Infiltration rate was measured by using the double ring infiltrometer method, for a time of 270 minutes with variable recharges. Post-harvest regeneration silvicultural stands (Clear cutting, Seed-trees and Selection) were analyzed by comparing them with a regenerated area (post-fire) and a reference stand (control). Three empirical models were adapted to 15 infiltration tests that were: Kostiakov, Horton and Lewis-Kostiakov models. The results show an average decrease of 45 % in the initial infiltration (Fi), with respect to the Reference stand, the basic infiltration (Fb) slight increases in Seed-trees and Selection Trees while Clear cutting and Post-fire reductions of 28 and 23 %, respectively. In relation to cumulative infiltration (Fa), only Seed-trees showed 4.7 % above Reference stand. The Analysis of Variance showed significant differences for Fi, while the Kruskal Wallis test showed it for Fb and Fa. The results of the model fit, based on the coefficient of determination (R2), show that Lewis-Kostiakov is the model that best estimates the infiltration for the Selection and Reference stands, whose nature is not as affected as the stands of Seed-trees, Clear cutting and Post-fire, which are best described by the Kostiakov type model.

Keywords: Seed-trees, clear cutting, model Lewis-Kostiakov, post-fire, infiltration, Umbrisol.

Introduction

Temperate forests are important ecosystems for recharging the aquifers, as they are the source of an estimated 25 % of the national total, equivalent to 4.8 trillion m3 of water (Torres and Guevara, 2002). In this respect, the Western Sierra Madre of the state of Durango is a vital region for the basins of the Pacific Ocean and for the central and northern inland of the country (Dueñez et al., 2006).

Infiltration capacity is the term applied to the entry process of water through the soil surface (Hillel, 1981). It is very important to estimate the infiltration rate and the accumulated sheet, as these are key components of the hydrological cycle. This estimate makes it possible to quantify the runoff, the erosion, the availability of sediments, and the recharge capacity of the aquifers, as well as to define the operation of irrigation systems and to study the effects of various land use practices (Grego and Vieira, 2005; Machiwal et al., 2006).

Land uses associated with anthropic activities such as agriculture, grazing and forest management may negatively affect the biodiversity and the supply of ecosystem services in the climate change processes at a regional level (Sahagún-Sánchez and Reyes-Hernández, 2018). Furthermore, they reduce the hydric contributions because the soil loses its infiltration capacity, and the aquifers lose their recharge capacity (Turnbull et al., 2010; Pérez et al., 2018).

Forest management involves the execution of a program of forestry practices such as regeneration methods: seed trees, selective cutting, successive cuttings, and total or clear-cutting, as well as all the forestry activities or intermediate treatments, including thinnings, reforestation, prescribed burnings, sanitation cuttings, and trimmings that are carried out during the forest management (Monárrez et al., 2018). These practices are questioned when, due to high intensity exploitation and to the supply operations, they reduce the forest vegetation, cause disturbances that expose the surface soil to the effects of rainfall, alter and modify its properties, reduce its infiltration capacity, and increase the risk of soil loss due to hydric erosion (Dueñez et al., 2006).

According to Pérez and Romance (2012), models that are fitted to the field measurements due to the different soils, climates, vegetation, and management conditions are considered in order to determine the infiltration process. Mathematical models have been developed for measuring the infiltration; in general, they are divided into three groups (Collis, 1977; Pérez and Romance, 2012): 1) theoretical, 2) semi-empirical, and 3) empirical. The present study used models of the third type for the modeling of the infiltration, as they do not consider those factors that intervene in the infiltration process: the texture, or the moisture content or the soil temperature, among others.

The purpose of the study was to model the infiltration process based on the measurements performed in situ using the methodology of the double-ring infiltrometer, which were adjusted to the parameters of the Kostiakov, Horton and Lewis-Kostiakov models (Weber and Apestegui, 2016) by means of the analysis of their functioning in five different forestry stands (three regeneration cuttings, a post-fire regeneration area, and a reference stand) in temperate forests of Durango State, Mexico.

Materials and Methods

Study area

The infiltration tests were carried out in the forests of La Ciudad ejido, located in the massifs of the Western Sierra Madre within the municipality of Pueblo Nuevo, Durango, where the dominant vegetation consists of Pinus duranguensis Martínez, Pinus cooperi C. E. Blanco, Pinus ayacahuite Ehrenb. ex Schltdl., Juniperis deppeana Steud., and Quercus sideroxyla Bonpl. (González-Elizondo et al., 2012). The predominant soil type is Umbrisol (INEGI, 2005) (Figure 1). The mean annual precipitation is 1 200 mm, and the mean annual temperature is 18 ºC, with a maximum temperature of 22 ºC and a minimum temperature of 3 ºC (Zúñiga et al., 2018).

C:\Users\eranr\AppData\Local\Temp\Imagen1.DPI_400.jpg

Figure 1. Study area.

Experimental design

The evaluation was carried out in five sites with different forestry conditions corresponding to three types of cuttings, a post-fire regenerated area, and a control known as reference stand. The areas of the studied treatments are stands exploited through regeneration cuttings with an average age of eight years, described as follows: 1) Clear-cutting: having a surface area of 10.29 ha and consisting in the total extraction of the trees; 2) Seed trees: with an area of 9 ha, with an 80 % cutting intensity; 3) Selective cutting: having a surface of 20 ha and an exploitation equivalent to 34 % of the total volume; 4) Post-fire cutting: with a regenerated surface area of 10 ha, and 5) Reference or control stand, with 4.35 ha.

Three infiltration tests were applied in each treatment (stand) during the last week of January, 2019, using an infiltrometer with two (metal) rings, with an inner diameter of 15 cm and an outer diameter of 30 cm and a height of 45 cm, buried at a depth of 10 cm. Readings were taken during a lapse of 270 minutes, applying variable refillings (recharges). The measuring process consisted in the clearing of the existing litter and the burying of the cylinders; a ruler was placed in the inner cylinder, which was then covered with plastic, and water was poured on it as well as between the cylinders in order to prevent lateral flow. Once the test began, measurements were registered (in cm) by minute every five minutes during the first hour of assessment; during the second hour, measurements were taken every ten minutes, and in the third hour, every fifteen minutes, and the last two readings were taken after thirty and sixty minutes, adding up to a total of 270 minutes (4.5 hours) of evaluation. When the level of the water reached 8 cm, the inner cylinder was recharged, depositing the water slowly; the outer cylinder was refilled when its level diminished. Before starting the infiltration tests, soil samples were drawn in order to determine the gravimetric moisture content (Woerner, 1989).

Certain characteristics of the soil and the vegetation of the sites are shown in Table 1, as their importance for the hydrological processes varies.

Table 1. Average values of the characteristics of the vegetation and soils in the studied stands.

Characteristics

Vegetation

Soil

Density

(individuals ha-1)

ND

(>7 cm)

Height

(m)

CD

(m)

AD

(g cm3)

DAL

(cm)

Stand

Clear-cutting

160

7.72

3.21

1.92

0.51

1.05

Seed-trees

80

38.16

18.2

7.34

0.72

2.29

Selective cutting

250

26.88

15.4

5.26

0.80

3.31

Post-fire

6 400

8.13

7.42

1.33

0.58

7.00

Reference stand

660

21.25

16.23

5.30

0.58

5.70

ND = Normal diameter, CD = Crown diameter, AD = Apparent density, DAL = Depth of accumulated litter.

Infiltration rate

The infiltration rate was estimated based on field data (Zhang et al., 2017; Yáñez-Díaz et al., 2019), using the equation:

Where:

I= Infiltration rate (mm h-1)

HR= Difference between readings (cm)

10= Factor of conversion of cm into mm

60= Factor of conversion of minutes into hours

t= Time (min)

The cumulative infiltration (Ci) was determined through the total sum of the volumes of infiltrated water, considered as the integral of the infiltration rate during those periods:

Ci=

Fit of the models

After the infiltration curve was obtained by means of a test, the models were fitted. The parameters of these models were estimated using the least (non-linear) squares method, which minimizes the errors of fit of the model using the Solver tool available in the Microsoft Excel spreadsheet (Weber and Apestegui, 2016).

The infiltration rate was estimated using the following fitted models:

Kostiakov type model (Rodríguez-Vásquez et al., 2008). It is expressed with the following equation:

Where:

I = Infiltration rate (mm h-1) in a given time period

t = Time (minutes)

a and b = p fitting parameters; the former is associated to the initial infiltration, and the latter, to the change rate

Horton type model. It corresponds to a three-parameter model: Bi, Ii and K (Weber and Apestegui, 2016):

Where:

I(t)= Infiltration rate (mm h-1) in a given time

Ii = Initial infiltration rate (mm h-1)

Bi = Basic infiltration rate (mm h-1)

K = Parameter representing a change ratio

t = Time (minutes)

Lewis-Kostiakov type model. Modification of the original Kostiakov model, which adds to its formula the basic infiltration value, estimated based on the average of the values of the rate for the last three instants (180, 210 and 270 minutes) of the infiltration test (Yáñez-Díaz et al., 2019):

Where:

I(t) = Infiltration rate (mm h-1) in a given time

Bi = Basic infiltration rate (mm h-1)

a = Parameter associated to the initial infiltration (mm h-1)

t = Time (minutes)

b = Parameter of fit

Statistical analyses

The hydrological variables initial infiltration (Ii), basic infiltration (Bi) and cumulative infiltration (Ci), as well as gravimetric moisture, were subjected to the Kolmogorov-Smirnov test (Romero, 2016) in order to verify the normality assumptions and the homogeneity of variances. The variable Ii met these assumptions, and therefore, a variance analysis was performed to determine the existence of significant differences between the various stands, with a significance level of p<0.05. The variables gravimetric humidity, Ci and Bi were subjected to the Kruskal-Wallis non-parametrical test (Berlanga and Rubio, 2012) in order to determine the existence of significant differences (p <0.05) when there is a type I error. The data were analyzed using the Statistical Package for the Social Sciences, version 22 (IBM, 2013).

Results

The average values of initial infiltration, basic infiltration rates and accumulated infiltration for the various stands are shown in Table 2, in which the Reference stand (control) exhibited a better hydrodynamic behavior, unlike the Clear-cutting treatment, which had the lowest values for Ii, Bi and Ci. The Ii variable registered significant differences, and was therefore analyzed using the Tukey test; Bi and Ci exhibited significant differences according to the Kruskal-Wallis test.

Comparison tests allow observing highly significant differences between the Reference treatment and the other analyzed stands, particularly in variable Ii, which was reduced by 45 %, while the Bi increased slightly in the Seed Trees and Selective Cutting treatments, unlike in Clear-cutting and Post-Fire Cutting, for which decreases by 28 and 23 %, respectively, were determined. On the other hand, Ci diminished in all the stands, except for the Seed Trees area, which registered 4.7 % above the Reference stand. The initial moisture content of the soil between the stands exhibited significant differences (Kruskal-Wallis test, p<0.05); therefore, it is considered to play a significant role in the baseline and final conditions of the infiltration.

Table 2. Mean values of the hydrological variables in the various treatments.

Treatment

Ii

(mm h-1)

Bi

(mm h-1)

Ci

(mm)

M

(%)

Clear-cutting

1 000 a

214.09

10 904.95

56.23

Seed-trees

1 350 b

299.56

17 203.79

77.70

Selective cutting

1 080 ab

322.08

15 224.30

51.52

Post-fire cutting

1 120 ab

226.95

11 724.95

36.12

Reference stand

2 080 c

297.93

16 428.29

76.61

Ii = Initial filtration; Bi = Basic infiltration; Ci = Cumulative infiltration; M = Gravimetric moisture. Different letters indicate significant differences (Tukey, p= 0.05).

Figure 2 describes the behavior of the infiltration rate observed in the various stands. In general, there are three distinct periods: initially, the infiltration rate is high and is kept constant during a short time (<15 min); then the infiltration rate diminishes significantly (15-60 min), and this leads to a third, stabilization period known as basic infiltration rate, which may be observed in all the treatment 200 minutes after the application of the test.

C:\Users\eranr\AppData\Local\Temp\velocidad de infiltracion600.jpg

Árboles Padre = Seed tres; Posincendio = Post-fire; Matarrasa = Clear-cutting; Referencia = Reference; Selección = Selective; Tiempo (minutes) = Time (minutes); Velocidad de infiltración = Infiltration rate.

Figure 2. Infiltration rate observed in forestry stands.

The accumulated infiltration process proved that the Seed-trees and Reference stands had the highest volumes of infiltration, followed by the area exploited through Selective Cutting and those of Post-fire and Clear-Cutting. The accumulated infiltration grew constantly during the first 60 minutes; subsequently, it began to experience growth with more stable segments, and the infiltration became slower and longer after 200 minutes (Figure 3).

C:\Users\eranr\AppData\Local\Temp\infiltracion acumulada600.jpg

Árboles Padre = Seed tres; Posincendio = Post-fire; Matarrasa = Clear-cutting; Referencia = Reference; Selección = Selective; Tiempo (minutes) = Time (minutes); Infiltración = Infiltration.

Figure 3. Accumulated infiltrations observed in the forestry stands.

Table 3 summarizes the parameters of the three fitted models, as well as the value of the determination coefficient (R2), which is a measure of the degree of goodness of the utilized equation. As may be seen in this Table, The values of R2 were highest, in every case, for the Kostiakov and Lewis-Kostiakov models; furthermore, the parameters associated to the initial and cumulative infiltration (Ii and Ci) exhibited a similar tendency to that observed in all the analyzed stands.

Table 3. Parameters of the adjusted models and coefficients of determination (R2).

Treatments

Measurement

Kostiakov

Horton

Lewis-Kostiakov

a

b

R2

Bi

Ii

K

R2

a

b

Bi

R2

Clear- cutting

1st

1 141

-0.27

0.96

304

993

-0.05

0.92

942

-0.48

254

0.97

2nd

759

-0.38

0.94

172

1075

-0.34

0.70

719

-0.74

137

0.92

3rd

1 144

-0.28

0.96

300

996

-0.06

0.92

948

-0.48

251

0.97

Seed trees

1st

1 191

-0.34

0.95

202

977

-0.05

0.93

1081

-0.47

146

0.99

2nd

1 671

-0.21

0.98

508

1392

-0.02

0.95

1266

-0.37

453

0.98

3rd

248

-0.23

0.97

93

278

-0.16

0.80

189

-0.61

85

0.92

Selective cutting

1st

371

-0.12

0.98

111

323

-0.01

0.80

203

-0.23

168

0.99

2nd

1 158

-0.25

0.97

250

926

-0.02

0.95

838

-0.42

322

0.97

3rd

308

-0.41

0.93

133

2615

-422.6

0.31

184

-0.48

93

0.95

Post-fire cutting

1st

714

-0.33

0.95

185

908

-0.27

0.74

644

-0.75

167

0.90

2nd

1 510

-0.32

0.95

309

1263

-0.05

0.76

1346

-0.46

215

0.89

3rd

1 025

-0.24

0.97

383

1262

-0.24

0.75

844

-0.56

299

0.94

Reference stand

1st

2 112

-0.43

0.91

413

3244

-0.41

0.64

2076

-0.76

300

0.93

2nd

2 214

-0.43

0.92

407

2973

-0.32

0.71

2130

-0.67

263

0.96

3rd

1 379

-0.27

0.96

428

1387

-0.13

0.82

1177

-0.49

300

0.97

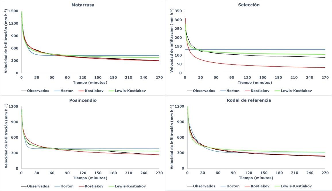
By way of example, Figure 4 shows the behavior of the infiltration rate observed and estimated, based on the adjusted models of the third test for the Control, Selective Cutting, Clear-cutting and Post-Fire Cutting areas; it can be clearly seen that, since the initial infiltration, the Kostiakov model has a better arrangement, unlike the Horton model, which does not estimate the infiltration adequately during the first moments, and after 30 minutes tends to overestimate the infiltration. In general, this behavior was found in most tests. However, the Lewis-Kostiakov model had a correct performance in the fit, when low initial infiltration rates occurred (Ii<300 mm h-1), unlike the Horton model, which overestimated the infiltration, and the Kostiakov models which underestimated it, as may be clearly seen in the Selective Cutting area.

C:\Users\eranr\AppData\Local\Temp\todas600-1.jpg

Árboles Padre = Seed tres; Posincendio = Post-fire; Matarrasa = Clear-cutting; Referencia = Reference; Selección = Selective; Tiempo (minutes) = Time (minutes); Velocidad de nfiltración = Infiltration rate.

Figure 4. Adjustment of the infiltration rate based on the Horton, Kostiakov and Lewis-Kostiakov models.

Discussion

Di Prima et al. (2017) point out that opening the canopy is an important practice that influences the relationships between water and the soil. Based on the results of the present study, the differences between the initial, basic and accumulated infiltrations in the stands are determined by the type of disturbance or by the forestry treatment utilized. According to Dueñez et al. (2006) and Landini et al. (2007), the intensity of the cutting is an important factor that determines the levels of interception of rainfall, luminosity, moisture content, depth of organic matter in the soil, etc., and, therefore, has a direct effect on the hydraulic properties of the soil.

Bens et al. (2007), Wagner et al. (2011) and Archer et al. (2013) state that the depth and amount of organic matter contribute to improve the edaphic structure and increase the capacity of infiltration, water storage and hydraulic conductivity; this can be verified based on the results for Ii, Bi and Ci, as well as on the physical characteristics of the soil and the vegetation that is prevalent in the studied stands, particularly in the Clear-cutting stand, whose properties were considerably affected by the intensity of the applied cuttings, leading to a reduction in the hydrological variables.

The values of the infiltration variables indicate that the stage of growth of the forest is a relevant factor that determines the hydrological characteristics of the soil, as suggested by Hümann et al. (2011), Marshall et al. (2014) and Archer et al. (2016). This agrees with the results of the study documented herein, in which the Clear-cutting and Post-Fire Cutting areas are forest masses that exhibit a similar maturity status, unlike the Seed Trees, Selective Cutting and Reference stands, which include superior forest trees.

As for the values of the statistic R2, there is little variation between the Kostiakov and the Lewis-Kostiakov models, which adequately represent the evolution of the infiltrated sheet in the infiltration tests of the various assessed stands. This is confirmed by Návar and Synnott (2000), Weber and Apestegui (2016), Sihag et al. (2017), according to whom the best predictions are generally obtained with the Lewis-Kostiakov model, as its parameters are more sensitive to the Umbrisol soil types, characterized by exhibiting a thick, dark horizon unsaturated in bases and rich in organic matter (Casanova et al., 2007). In this regard, decreases in organic matter have an effect on the stability of the aggregates, dispersing fine texture particles and thereby favoring a reduction of the porosity and, consequently, leading to decreased infiltration (García-Hernández et al., 2008).

It should be noted that information about hydrological topics and their relationship with forest management is scarce and limited. Hence, the relevance of the present study.

Conclusions

The initial (2 080 mm h-1), basic (297.93 mm h-1) and accumulated (16 428.29 mm h-1) infiltration rates observed in the Referent stands evidence significant statistical differences in regard to other analyzed stands; therefore, the modifications in the forest structure cause a negative effect on the hydrological variables Ii, Bi and Ci.

The variables that make up the infiltration process are arranged in decreasing order as follows:

Characteristics like the maturity status of the vegetation, structure, composition, and the edaphic variables apparent density, thickness of the organic layer, and moisture, cause variations in the infiltration rates of the various stands analyzed.

The results of the fit of the models, based on the coefficient of determination (R2), show that both the Kostiakov and Lewis Kostiakov models are good enough for predicting infiltration in the different forest conditions studied herein; specifically, the Lewis Kostiakov model estimates the infiltration better for the Selective Cutting and Reference areas, while those of the Seed Trees, Clear-cutting and Post-fire Cutting areas are best described by the Kostiakov model.

The parameters of the infiltration models are highly important for estimating the recharge of aquifers, superficial runoffs, and soil erosion, and therefore they facilitate sustainability-based decision making.

Acknowledgements

The authors wish to express their gratitude to Service Provision Unit No. 6 El Salto, A. C.; to the Facultad de Ciencias Forestales of the Universidad Autónoma de Nuevo León, and to Conacyt, for all the facilities provided for the development of this research.

Conflict of interest

The authors declare that they have no conflict of interests.

Contribution by author

Erik Orlando Luna Robles: development of the field and desk research and structuring and design of the manuscript; Israel Cantú Silva: editing of the manuscript and statistical analysis; María Inés Yáñez Díaz: contribution of analytical information to the manuscript; Humberto González Rodríguez: review and editing of the manuscript; José Guadalupe Marmolejo Monsiváis: review and editing of the manuscript; Silvia Janeth Béjar Pulido: manuscript data collection and processing.

References

Archer, N. A. L., M. Bonell, N. Coles, A. M. MacDonald, C. A. Auton and R. Stevenson. 2013. Características del suelo y relaciones de cobertura del suelo en la conductividad hidráulica del suelo a escala de ladera: una visión hacia el manejo local de inundaciones Journal of Hydrology 497: 208-222. Doi: 10.1016/j.jhydrol.2013.05.043.

Archer, N. A., W. Otten, S. Schmidt, A. G. Bengough, N. Shah and M. Bonell. 2016. Rainfall infiltration and soil hydrological characteristics below ancient forest, planted forest and grassland in a temperate northern climate. Ecohydrology 9(4): 585-600. Doi: 10.1002/eco.1658.

Bens, O., N. A. Wahl, H. Fischer and R. F. Hüttl. 2007. Water infiltration and hydraulic conductivity in sandy cambisols: impacts of forest transformation on soil hydrological properties. European Journal of Forest Research 126(1): 01-109. Doi: 10.1007/s10342-006-0133-7.

Berlanga, V. y H. M. J. Rubio. 2012. Clasificación de pruebas no paramétricas. Cómo aplicarlas en SPSS. REIRE. Revista d'Innovació i Recerca en Educació 5(2):101-113. Doi: 10.1344/reire2012.5.2528.

Casanova, M., W. Luzio y R. Maldonado. 2007. Correlación entre World Reference Base y Soil Taxonomy para los suelos de la VII Región del Maule de Chile. Revista de la ciencia del suelo y nutrición vegetal 7(2): 14-21. Doi: 10.4067/S0718-27912007000200002.

Collis, G., N. 1977. Infiltration equations for simple soil systems. Water resources research 13(2): 395-403. Doi: 10.1029/WR013i002p00395.

Di Prima, S., V. Bagarello, J. Angulo, R. I. Bautista, A. Cerdà, A. Del Campo and F. Maetzke. 2017. Impacts of thinning of a Mediterranean oak forest on soil properties influencing water infiltration. Journal of Hydrology and Hydromechanics 65(3): 276-286. Doi: 10.1515/johh-2017-0016.

Dueñez, A., J. Gutiérrez, J. Pérez y J. Návar. 2006. Manejo silvícola, capacidad de infiltración, escurrimiento superficial y erosión. Terra Latinoamericana 24(2): 233-240.

García-Hernández, M. A., M. A. García-Hernández, I. Castellanos-Vargas, Z. Cano-Santana y C. M. Peláez-Rocha. 2008. Variación de la velocidad de infiltración media en seis ecosistemas inalterados. Terra Latinoamericana 26(1): 21-27.

González-Elizondo, M. S., M. González-Elizondo, J. A. Tena-Flores, L. Ruacho-González e I. López-Enríquez. 2012. Vegetación de la sierra madre occidental, México: Una síntesis. Acta Botánica Mexicana (100): 351-403. Doi: 10.21829/abm100.2012.40.

Grego, C. R. y S. R. Vieira. 2005. Variabilidad espacial de propiedades físicas do solo em uma parcela experimental. Revista Brasileira de Ciência do Solo Viçosa 29(2):169-77. Doi: 10.1590/S0100-06832005000200002.

Hillel, D. 1971. Soil and Water. Academic Press. New York, NY, USA. pp. 131-153.

Hümann, M., G. Schüler, C. Müller, R. Schneider, M. Johst and T. Caspari. 2011. Identification of runoff processes–The impact of different forest types and soil properties on runoff formation and floods. Journal of Hydrology 409(3-4): 637-649. Doi: 10.1016/j.jhydrol.2011.08.067.

Instituto Nacional de Estadística y Geografía (Inegi). 2005. Prontuario de información geográfica municipal de los Estados Unidos Mexicanos. Clave geoestadística. Pueblo Nuevo, Dgo., México. 9 p.

International Business Machines (IBM). 2013. IBM SPSS Statistics for Windows, Version 22.0. IBM Corp. Armonk, New York. E.U.A. n/p.

Landini, A. M., D. Martínez, H. Días, E. Soza, D. Agnes y C. Sainato. 2007. Modelos de infiltración y funciones de pedotransferencia aplicados a suelos de distinta textura. Ciencia del suelo 25(2): 123-131.

Machiwal, D., M. K. Jha and B. C. Mal. 2006. Modelling Infiltration and quantifying spatial soil variability in a Wasteland of Kharagpur, India. Biosystems Engineering 95(4):569-582. Doi: 10.1016/j.biosystemseng.2006.08.007.

Marshall, M. R., C. E. Ballard, Z. L. Frogbrook, I. Solloway, N. McIntyre, B. Reynolds, and H. S. Wheater. 2014. The impact of rural land management changes on soil hydraulic properties and runoff processes: results from experimental plots in upland UK. Hydrological Processes 28(4): 2617-2629. Doi: 10.1002/hyp.9826.

Monárrez, G. J. C., V. G. Pérez, G. C. López, L. M. A. Márquez y M. D. S. G. Elizondo. 2018. Efecto del manejo forestal sobre algunos servicios ecosistémicos en los bosques templados de México. Madera y Bosques 24(2): 1-16. Doi: 10.21829/myb.2018.2421569.

Návar, J. and T. J. Synnott. 2000. Soil infiltration and land use in Linares, NL, Mexico. Terra Latinoamericana 18(3): 255-262.

Pérez, E. G. y A. M. Romance. 2012. Modelación de la infiltración en un campo agrícola de la cuenca del río Chirgua, estado Carabobo, Venezuela. Revista Científica UDO Agrícola 12(2): 365-388.

Pérez O., D. J., J. A. Segovia O., P. C. Cabrera M., I. A. Delgado V. y M. L. Martins P. 2018. Uso del suelo y su influencia en la presión y degradación de los recursos hídricos en cuencas hidrográficas. RIAA 9(1): 1. Doi: 10.22490/21456453.2089.

Rodríguez-Vásquez, A., A. M. Aristizábal-Castillo y J. H. Camacho-Tamayo. 2008. Variabilidad espacial de los modelos de infiltración de Philip y Kostiakov en un suelo Ándico. Engenharia Agrícola 28(1): 64-75. Doi: 10.1590/S0100-69162008000100007.

Romero S., M. 2016. Pruebas de bondad de ajuste a una distribución normal. Enfermería del Trabajo 6(3): 105-114.

Sahagún-Sánchez, F. J., y H. Reyes-Hernández. 2018. Impactos por cambio de uso de suelo en las áreas naturales protegidas de la región central de la Sierra Madre Oriental, México. Ciencia UAT 12(2): 6-21.

Sihag, P., N. K. Tiwari and S. Ranjan. 2017. Estimation and inter-comparison of infiltration models. Water Science 31(1): 34-43. Doi:10.1016/j.wsj.2017.03.001.

Torres, R., J. M., y S. A. Guevara. 2002. El potencial de México para la producción de servicios ambientales: captura de carbono y desempeño hidráulico. Gaceta Ecológica 63: 40–59.

Turnbull, L., J. Wainwright and R. E. Brazier. 2010. Changes in hydrology and erosion over a transition from grassland to shrubland. Hydrological Processes: An International Journal 24(4): 393-414. Doi: 10.1002/hyp.7491.

Wagner, S., H. Fischer and F. Huth. 2011. Canopy effects on vegetation caused by harvesting and regeneration treatments. European Journal of Forest Research, 130(1): 17-40. Doi: 10.1007/s10342-010-0378-z.

Weber, J. F. y L. Apestegui. 2016. Relaciones entre parámetros de los modelos de infiltración de Kostiakov y Lewis-Kostiakov. Córdoba, Argentina. Tecnología y Ciencias del Agua 7(2): 115-132.

Woerner, M. 1989. Métodos químicos para el análisis de suelos calizos de zonas áridas y semiáridas. Departamento Agroforestal. Facultad de Ciencias Forestales. Universidad Autónoma de Nuevo León. Linares, N.L., México. 105 p.

Yáñez-Díaz, M. I., I. Cantú-Silva, H. González-Rodríguez and L. Sánchez-Castillo. 2019. Effects of land use change and seasonal variation in the hydrophysical properties in Vertisols in northeastern Mexico. Soil Use and Management 35(3):10. Doi: 10.1111/sum.12500.

Zhang, J., T. Lei, L. Qu, P. Chen, X. Gao, C. Chen and G. Su. 2017. Method to measure soil matrix infiltration in forest soil. Journal of Hydrology 552: 241–248. Doi: 10.1016/j.jhydrol.2017.06.032.

Zúñiga, J., E. Martínez, C. Navarrete, J. D. J. S. Luna, D. M. Ayala, y B. Mejía. 2018. Análisis ecológico de un área de pago por servicios ambientales hidrológicos en el ejido La Ciudad, Pueblo Nuevo, Durango, México. Investigación y Ciencia73: 27-36.

All the texts published by Revista Mexicana de Ciencias Forestales with no exception– are distributed under a Creative Commons License Attribution-NonCommercial 4.0 International (CC BY-NC 4.0), which allows third parties to use the publication as long as the work’s authorship and its first publication in this journal are mentioned.