Revista Mexicana de Ciencias Forestales Vol. 9 (49)
Septiembre-Octubre (2018)
DOI: https://doi.org/10.29298/rmcf.v9i49.185 Artículo Modelos dinámicos de índice de sitio para cuatro especies de pino en Oaxaca Dynamic site index models for four pine species in Oaxaca Albert Castillo-López1, Wenceslao Santiago-García2, Benedicto Vargas-Larreta3, Gerónimo Quiñonez-Barraza4, Raúl Solis-Moreno5 y José Javier Corral Rivas5* |
Fecha de recepción/ Reception date: 31 de enero de 2018
Fecha de aceptación/Acceptance date: 16 de julio de 2018
_______________________________
1Doctorado Institucional en Ciencias Agropecuarias y Forestales, Universidad Juárez del Estado de Durango. México.
2Instituto de Estudios Ambientales-División de Estudios de Postgrado. Universidad de la Sierra Juárez. México.
3Instituto Tecnológico de El Salto. México.
4Campo Experimental Valle del Guadiana. Instituto Nacional de Investigaciones Forestales Agrícolas y Pecuarias. México.
5Facultad de Ciencias Forestales. Universidad Juárez del Estado de Durango. México. correo-e: jcorral@ujed.mx
Abstract
Site index models represent an important tool to classify forest productivity. The goal of this research was to develop dynamic site equations derived with the Generalized Algebraic Difference approach (GADA) for four pine species growing in the Northern Sierra of Oaxaca, Mexico. Data from stem analyses of Pinus oaxacana, P. douglasiana, P. patula and P. pseudostrobus trees were used to fit the equations. The trees were selected in mixed and irregular stands, trying to cover the different sites qualities present in the areas subject to forest management in the forests of the Unidad de Manejo Forestal Regional 2001(Regional Forest Management Unit 2001). The models were fitted through the iterative procedure, utilizing a second-order autoregressive error structure (CAR2) to correct for the serial correlation of term of error. The results indicated that the GADA formulation from the Bertalanffy-Richards equation can be used for accurately describing the site index for the four species studied. This function is polymorphic, dynamic and invariant with the reference age, with multiple asymptotes. It provides compatible site index and dominant height growth estimates for the four species.
Key words: Dominant height, site index curves, dynamic equation, reference age, GADA, Bertalanffy-Richards equation.
Resumen
Los modelos de índice de sitio representan una herramienta silvícola muy importante para clasificar la productividad de los bosques. El objetivo de este trabajo fue desarrollar ecuaciones dinámicas de índice de sitio derivadas, mediante el método de Diferencias Algebraicas Generalizadas (GADA), para cuatro especies de pino en la Sierra Norte del estado de Oaxaca, México. Para el ajuste de las ecuaciones se utilizaron datos de análisis de tronco de árboles de Pinus oaxacana, P. douglasiana, P. patula y P. pseudostrobus. Los árboles se seleccionaron en rodales mixtos e irregulares, intentando cubrir las diferentes calidades de estación presentes en las áreas sujetas a manejo forestal en los bosques de la Unidad de Manejo Forestal Regional 2001. Los ajustes se realizaron con el método iterativo y una estructura de error autoregresiva de tiempo continuo de segundo orden (CAR2), para corregir la autocorrelación del término del error. Los resultados indicaron que la formulación GADA del modelo de Bertalanffy-Richards puede ser utilizada para describir con precisión el índice de sitio de las cuatro especies estudiadas. La función desarrollada es polimórfica, dinámica, invariable con la edad de referencia y tiene múltiples asíntotas. El modelo genera, para las cuatro especies, estimaciones compatibles de índice de sitio y de altura dominante.
Palabras clave: Altura dominante, curvas de índice de sitio, ecuación dinámica, edad de referencia, GADA, modelo de Bertalanffy-Richards.
Introducción
La capacidad productiva de una masa forestal está definida por la especie o grupo de especies y por los factores bióticos y abióticos que interactúan con el ambiente; por tanto, el crecimiento y la producción de madera en rodales forestales están determinados por la distribución de edades, la capacidad de producción innata que soporta un área determinada, y su grado de utilización, así como por los tratamientos silviculturales aplicados (Clutter et al., 1983; Torres y Magaña, 2001; Diéguez-Aranda et al., 2009).
Las herramientas cuantitativas modernas pueden usarse para optimizar la planeación, seguimiento y control del manejo forestal sustentable, ya que contribuyen a determinar el turno, intervenciones silvícolas y la cosecha de madera, de forma más precisa. Por lo tanto, los modelos matemáticos permiten inferir el comportamiento biológico de árboles individuales o rodales para la planeación de escenarios de manejo forestal, basados en modelos de predicción y proyección (Quiñonez-Barraza et al., 2015).
Con la relación altura dominante-edad, es factible obtener, de manera implícita, el índice de sitio (IS), el cual se define como el valor de la altura dominante de una especie determinada a una edad base de referencia (Clutter et al., 1983); esta última, por lo general, se relaciona con el turno biológico de rodales con manejo forestal. Una familia de curvas de índice de sitio (denominadas también curvas de calidad de estación o de productividad) es un conjunto de curvas que muestran el patrón de crecimiento en altura dominante que los rodales de una especie en particular y zona geográfica seguirán a lo largo del tiempo (Rennolls, 1978; Bengoa, 1999), cada una de las cuales lleva asociado un número arábigo que las identifica (valor del índice de sitio) o simplemente el valor del IS. A su vez, las líneas intermedias entre cada curva de calidad limitan franjas que se denominan clases de calidad.
Las curvas son anamórficas o polimórficas, cuyas ecuaciones se generan con el método de diferencias algebraicas (Algebraic Difference Approach o ADA por las siglas en inglés) (Bailey y Clutter, 1974), o bien las familias de curvas con polimorfismo asintótico que combina las tasas de crecimiento con la potencialidad del sitio, y que se obtienen con el método de diferencia algebraica generalizada (Generalized Algebraic Difference Approach o GADA por las siglas en inglés) (Cieszewski y Bailey, 2000; Cieszewski, 2002; Cieszewski, 2003). Este método de ajuste de ecuaciones dinámicas permite que en una ecuación base se considere la variación en las tasas instantáneas de crecimiento en cada curva y la potencialidad del sitio, lo que resulta ideal para prescribir tratamientos silvícolas en rodales, de acuerdo a su potencial productivo (Santiago-García et al., 2013).
En los bosques de la Unidad de Manejo Forestal Regional 2001 (Umafor), en Oaxaca, México son escasas las ecuaciones de índice de sitio para las especies del género Pinus que puedan utilizarse como herramientas biométricas para la planeación y ejecución del manejo forestal sustentable. El objetivo de este trabajo fue construir modelos dinámicos de índice de sitio para Pinus oaxacana Mirov, P. douglasiana Martínez, P. patula Schiede ex Schltdl. & Cham. y P. pseudostrobus Lindl. en la Sierra Norte de Oaxaca, mediante el uso de la metodología GADA.
Materiales y Métodos
Área de estudio
El estudio se llevó a cabo en los rodales bajo aprovechamiento forestal localizados en la Umafor 2001, ubicada al noreste del estado de Oaxaca, México, y que abarca una superficie de 195 397 ha. Se localiza a los 17°22’58” N y los 96°22’29” O (Figura 1). La altitud de las áreas de muestreo varía de 1 800 a 3 361 m. La temperatura anual oscila entre -3 °C y 28 °C, con precipitación promedio anual de 3 797 mm (Granados-Sánchez, 2009). El tipo de vegetación predominante corresponde a bosques de pino-encino, con dominancia de Pinus oaxacana, P. douglasiana, P. patula, P. pseudostrobus, P. leiophylla Schiede ex Schltdl. & Cham., P. pringlei Shaw., P. rudis Endl., P. teocote Schiede ex Schltdl. & Cham., Quercus crassifolia Bonpl., Q. laurina Bonpl. y Q. rugosa Née, principalmente.
Figura 1. Localización geográfica del área de estudio.
Datos
Para ajustar las ecuaciones dinámicas de altura dominante e IS se usó una base de datos procedente de 206 análisis troncales, integrada por 44 árboles de Pinus oaxacana, 45 de P. douglasiana, 58 de P. patula, y 59 de P. pseudostrobus. Los individuos fueron derribados a una altura del tocón que varió de 0.1 m a 0.25 m, de tal manera que la primera sección correspondió a la altura del tocón, la segunda a 1.3 m y posteriormente, cada 2.54 m hasta llegar a la punta del árbol. Los ejemplares se seleccionaron en rodales mezclados y se intentó cubrir las diferentes calidades de estación, así como las categorías de diámetro presentes en las áreas con manejo forestal. Si bien, el concepto de índice de sitio está diseñado para masas coetáneas y puras (Daniel et al., 1979), el carácter de dominante para un árbol implica que estos individuos son poco sensibles al efecto de la densidad, la competencia y la mezcla de especies, ya que su atura se mantiene constante en un intervalo amplio de densidades y grados de mezcla, lo cual refleja a lo largo de su vida el potencial productivo de un sitio en particular, y por ello el concepto se ha hecho extensivo a las masas de pino mezcladas (Corral et al., 2004; Vargas-Larreta, 2010; Castillo et al., 2013).
Los estadísticos descriptivos de la base de datos se presentan en el Cuadro 1, se observa que la muestra cubre un intervalo amplio de combinaciones edad-altura dominante, por lo que se considera adecuada para el ajuste de las ecuaciones dinámicas de crecimiento.
Cuadro 1. Estadísticos descriptivos de los datos de edad y altura dominante por especie, de la muestra utilizada para ajustar las ecuaciones dinámicas de índice de sitio.
Clave | Especie | Árboles | n | Edad (años) | Altura dominante (m) | ||||||
Mín. | Máx. | Media | SD. | Mín. | Máx. | Media | SD | ||||
Po | Pinus oaxacana Mirov | 44 | 563 | 2 | 66 | 21.8 | 13.7 | 0.1 | 36.1 | 13.5 | 9.2 |
Pd | Pinus douglasiana Martínez | 45 | 638 | 2 | 126 | 36.2 | 24.1 | 0.1 | 38.8 | 15.3 | 9.9 |
Pp | Pinus patula Schiede ex Schltdl. & Cham. | 58 | 804 | 2 | 87 | 27.3 | 19.1 | 0.1 | 43.7 | 15.4 | 10.6 |
Pps | Pinus pseudostrobus Lindl. | 59 | 811 | 2 | 90 | 29.0 | 20.5 | 0.1 | 39.5 | 15.2 | 10.3 |
Total | 206 | 2816 | 2 | 126 | 28.7 | 20.4 | 0.1 | 43.7 | 15.0 | 10.1 | |
n = Número de pares de altura dominante – edad; Min. = Valor mínimo; Máx. = Valor Máximo; SD = Desviación estándar.
Las alturas verdaderas de las secciones se estimaron con el método de Carmean (1972) modificado por Newberry (1991), ya que con este se han tenido buenos resultados en otras investigaciones (Dyer y Bailey, 1987; Fabbio et al., 1994; Castillo et al., 2013). El método se basa en dos supuestos: i) entre dos secciones, el árbol crece a un ritmo constante, y ii) el corte se realiza, como promedio, en el centro del crecimiento en altura de un año (Dyer y Bailey, 1987; Amaral et al., 2010). Las ecuaciones empleadas para calcular la altura verdadera varían según la sección del árbol (ecuaciones 1-3).
Tocón: (1)
Troza: (2)
Punta: (3)
Donde:
H1 y H2 = Alturas de las secciones inferior y superior de la troza
N1 y N2 = Número de anillos de las secciones inferior y superior de la troza
N0 = Edad del árbol; es decir, el número de anillos del tocón (en el tocón N0 = N1)
T0 = Edad del árbol cuando alcanzó la altura H1, es decir N0 - N1
T = Número entero de 1 a N1 – N2
Ecuaciones dinámicas de índice de sitio
Se ajustaron tres ecuaciones con el método GADA, las cuales se han documentado en diversos estudios para describir el crecimiento en altura dominante e índice de sitio, estas son: Korf (4), Hossfeld (5) y Bertalanffy-Richards (6) (Cieszewski, 2002; Castillo et al., 2013; Quiñonez-Barraza et al., 2015; González et al., 2016). La expresión de los modelos base, así como su formulación GADA se presentan en el Cuadro 2.
Cuadro 2. Ecuaciones dinámicas de índice de sitio evaluadas en este estudio.
H = Altura dominante; t = Edad en años; ai = Parámetros de las ecuaciones base; = Parámetros globales para las formulaciones GADA; = Variable independiente no observable que describe la productividad del sitio con valores iniciales ().
Descripción del método GADA
El desarrollo de cualquier ecuación dinámica con la formulación GADA considera: i) seleccionar una ecuación base e identificar el número de parámetros que serán dependientes de la productividad del sitio; ii) los parámetros seleccionados se expresan como funciones de la calidad de estación definida por la variable X0 (variable no observable e independiente que describe la productividad del sitio, como resultado de la suma de factores ecológicos, climáticos, regímenes de manejo, condiciones del suelo y los parámetros nuevos; iii) la ecuación base bidimensional (H=f(t)) seleccionada es expandida a una ecuación tridimensional (H=f(t, X0)) de índice de sitio; y iv) se despeja el valor de X0, a partir de condiciones iniciales del sitio; es decir, de valores de partida de altura dominante – edad (t0, H0), de forma que el modelo pueda definirse implícitamente y aplicarse en la práctica (H=f(t, t0, H0)) (Cieszewski y Bailey, 2000; Cieszewski, 2001; Cieszewski, 2002; Cieszewski, 2003). Durante el proceso, a menudo se eliminan parámetros redundantes y se obtiene un modelo con un número de parámetros menor o igual que la ecuación base original.
Método y estadísticos de ajuste para la comparación de los modelos
Los parámetros globales y específicos del sitio se estimaron con el método iterativo anidado (nested iterative procedure) (Tait et al., 1988; Cieszewski, 2003; Krumland y Eng, 2005), el cual se emplea cuando las bases de datos proceden de análisis troncales o parcelas permanentes. Los modelos se ajustaron con estructura de error autorregresiva de tiempo continuo (CARi), para corregir problemas potenciales de autocorrelación del término del error (Zimmerman et al., 2001; Nord-Larsen, 2006; Crecente-Campo et al., 2009) y obtener estimadores de los parámetros insesgados y eficientes (Parresol y Vissage, 1998).
(7)
Donde:
= Predicción de la altura utilizando (altura ), (edad ), y (edad ) como variables predictores
β = Vector de parámetros a estimar
= Error
para y cero cuando
= Parámetro autorregresivo de primer orden cuyo valor debe estimarse
= Diferencia temporal que separa la observación de la observación en cada análisis troncal,
La determinación de la bondad de ajuste de los modelos se basó en resultados de análisis cuantitativos, como la raíz del error medio cuadrático (REMC), el coeficiente de determinación ajustado (R2adj), el sesgo promedio (e) y gráficos de residuales para comparar los aspectos siguientes: i) comportamiento biológico de las predicciones de los diferentes modelos ajustados; ii) representación de los residuales frente a los valores predichos por el modelo, y iii) representación de los residuales frente a residuales con diferentes retardos para comprobar la corrección de la autocorrelación de los errores, mediante la modelación de la estructura del error (Goelz y Burk, 1992; Sharma et al., 2011). La presencia de la autocorrelación en los datos utilizados se calculó con el estadístico de Durbin-Watson (Durbin y Watson, 1951). Las expresiones de dichos estadísticos son:
(8)
(9)
(10)
Donde:
, e = Valores observados, predichos y medio en pares de datos de altura dominante – edad
n = Número de observaciones
p = Número de parámetros del modelo
e = Valor residual del modelo ajustado
El ajuste simultáneo de las ecuaciones de crecimiento y de la estructura del error (CAR2) se realizó con el procedimiento MODEL del paquete estadístico SAS/ETSTM (SAS, 2004), que permite una actualización dinámica de los residuos en el procedimiento de ajuste.
Resultados y Discusión
Ecuaciones GADA generadas, sin considerar la estructura del error
Los parámetros estimados, los errores estándar y los estadísticos de ajuste de las ecuaciones dinámicas analizadas para Pinus oaxacana, P. douglasiana, P. patula y P. pseudostrobus, se obtuvieron para todos los pares de altura dominante – edad, con el ajuste de las ecuaciones 4, 5 y 6, sin considerar la modelación de la estructura del error (Cuadro 3). En los resultados se observan problemas de autocorrelación de los residuos, debido a las mediciones de altura en un mismo árbol (Figura 4).
Cuadro 3. Parámetros estimados y estadísticos de ajuste de las ecuaciones ajustadas sin considerar la modelación de la autocorrelación.
Especie | Ecuación | Parámetro | Valor estimado | EE | Valor-t | Valor-p | REMC (m) | R2adj | DW |
Po | 4 | -9.9723 | 6.2560 | -1.59 | 0.1115 | 1.23 | 0.98 | 0.73 | |
107.1878 | 27.0767 | 3.96 | <0.0001 | ||||||
0.7720 | 0.0268 | 28.76 | <0.0001 | ||||||
5 | 10.3192 | 4.3182 | 2.39 | 0.0172 | 1.22 | 0.98 | 0.70 | ||
19 712.5600 | 3 295.9000 | 5.98 | <0.0001 | ||||||
1.9817 | 0.0357 | 55.56 | <0.0001 | ||||||
6 | 0.0546 | 0.0016 | 33.54 | <0.0001 | 1.24 | 0.98 | 0.71 | ||
-1.0411 | 0.5854 | -1.78 | 0.0759 | ||||||
11.9310 | 2.1632 | 5.52 | <0.0001 | ||||||
Pd | 4 | -24.6624 | 4.8423 | -5.09 | <0.0001 | 1.24 | 0.98 | 0.62 | |
165.1131 | 21.2032 | 7.79 | <0.0001 | ||||||
0.6067 | 0.0246 | 24.64 | <0.0001 | ||||||
5 | 20.4518 | 2.3387 | 8.74 | <0.0001 | 1.19 | 0.98 | 0.64 | ||
11 664.3400 | 1 459.4000 | 7.99 | <0.0001 | ||||||
1.6595 | 0.0292 | 56.74 | <0.0001 | ||||||
6 | 0.0300 | 0.0010 | 29.98 | <0.0001 | 1.18 | 0.99 | 0.65 | ||
-1.8106 | 0.2727 | -6.64 | <0.0001 | ||||||
12.8909 | 1.0198 | 12.64 | <0.0001 | ||||||
Pp | 4 | -762.5240 | 289.6000 | -2.63 | 0.0086 | 1.77 | 0.97 | 0.61 | |
3 227.2260 | 1 191.2000 | 2.71 | 0.0069 | ||||||
0.8459 | 0.0268 | 31.52 | <0.0001 | ||||||
5 | 40.5627 | 0.8353 | 48.56 | <0.0001 | 1.74 | 0.97 | 0.59 | ||
718.3985 | 491.1000 | 1.46 | 0.1439 | ||||||
2.0036 | 0.0329 | 60.96 | <0.0001 | ||||||
6 | 0.0447 | 0.0014 | 30.95 | <0.0001 | 1.85 | 0.97 | 0.56 | ||
-9.4612 | 1.0574 | -8.95 | <0.0001 | ||||||
42.7925 | 3.9189 | 10.92 | <0.0001 | ||||||
Pps | 4 | -23.2364 | 5.8717 | -3.96 | <0.0001 | 1.49 | 0.98 | 0.61 | |
163.9336 | 25.7222 | 6.37 | <0.0001 | ||||||
0.6937 | 0.0228 | 30.38 | <0.0001 | ||||||
5 | 26.7838 | 2.0150 | 13.29 | <0.0001 | 1.47 | 0.98 | 0.62 | ||
10 535.2800 | 1 554.6000 | 6.78 | <0.0001 | ||||||
1.8045 | 0.0297 | 60.82 | <0.0001 | ||||||
6 | 0.0368 | 0.0011 | 32.21 | <0.0001 | 1.51 | 0.98 | 0.60 | ||
-0.7945 | 0.3176 | -2.50 | 0.0126 | ||||||
10.0448 | 1.2201 | 8.23 | <0.0001 |
EE = Error estándar del estimador del parámetro; REMC = Raíz del error medio cuadrático; R2adj = Coeficiente de determinación ajustado; DW = Estadístico de Durbin-Watson; Po = Pinus oaxacana; Pd = Pinus douglasiana; Pp = Pinus patula; Pps = Pinus pseudostrobus.
Los coeficientes de determinación ajustados (R2adj) por el número de parámetros en los modelos de Korf, Hossfeld y Bertalanffy-Richards para las diferentes especies muestran que es posible explicar más de 96 % de la varianza observada en el crecimiento en altura dominante, en función de la edad, con estimaciones de parámetros significativos para la mayoría de las combinaciones de ecuaciones y especies (p<0.01). Los errores medios en los tres modelos oscilan entre 1.18 m (Pd) y 1.85 m (Pp) (Cuadro 3).
En general, las tres ecuaciones ajustadas muestran estadísticos de ajuste satisfactorios para predecir el crecimiento en altura dominante en función de la edad, sin expandir los términos del error para corregir la autocorrelación. Por otro lado, el análisis gráfico muestra un comportamiento biológico realista (predicciones similares a los datos observados). Sin embargo, en Pinus oaxacana el parámetro b1 fue no significativo en los modelos Korf (4) y Hossfeld (5) por lo que se acepta la hipótesis nula de que los estimadores de los parámetros son iguales a cero; escenario que también ocurrió para el modelo Bertalanffy-Richards (6) en el parámetro b2. El parámetro b2 no fue significativo en el modelo de Hossfeld (5) para Pinus patula Schiede ex Schltdl. & Cham., situación que se presentó para el mismo parámetro en el modelo Bertalanffy-Richards (6) para Pinus pseudostrobus, todos a un nivel de significancia de 5 %.
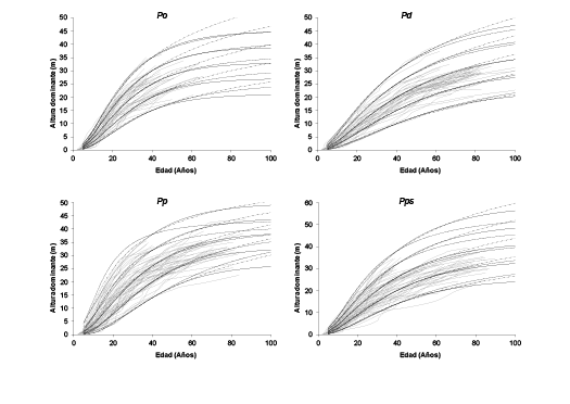
Figura 2. Sobreposición de las curvas de IS generadas con los modelos de Korf (línea discontinua), Hosffeld (línea punteada) y Bertalanffy-Richards (línea continua).
Los resultados indican que las diferencias entre los estadísticos de bondad de ajuste fueron mínimas entre los modelos evaluados, por lo que la selección del más apropiado se apoyó en el análisis gráfico de sobreponer las familias de curvas de crecimiento de altura dominante a las trayectorias de crecimiento de los datos observados; se consideraron categorías de IS de 15 m a 35 m para Pinus oaxacana, de 10 m a 30 m para Pinus douglasiana, con intervalos de 5 m; y de 14 m a 38 m, para Pinus patula y Pinus pseudostrobus, con intervalos de 6 m a una edad de referencia de 40 años para todos los casos (Figura 2). Lo anterior, con base en que diferentes modelos pueden presentar los mismos estadísticos de bondad de ajuste o de comparación, pero una respuesta distinta a las trayectorias de los datos observados; así, unos subestiman en las primeras edades y sobreestiman en las avanzadas, o viceversa (Diéguez-Aranda et al., 2006).
Se seleccionó el modelo de Bertalanffy-Richards (6) como el más adecuado para describir las trayectorias de crecimiento de los árboles que integraron la base de datos, y para comparar las estimaciones de crecimiento frente al mismo modelo, a partir de la modelación de la estructura del error, con una estructura autocorregresiva de errores continua tipo CAR1 y CAR2, en virtud de que este modelo describió ligeramente mejor las tendencias individuales de crecimiento en altura dominante, principalmente, a edades superiores a 50 años (Figura 2).
La ecuación de Bertalanffy-Richards, en la que se considera una estructura CAR2 fue capaz de modelar las tendencias de crecimiento de los datos experimentales para las especies estudiadas, y describir patrones de variación en el crecimiento de las curvas construidas, así como potencialidades de sitio diferentes. Este resultado es consistente con otros estudios en los que también se recomienda dicho modelo para la construcción de curvas de índice de sitio de otras especies de interés comercial (Kiviste et al., 2002; Rodríguez-Carrillo et al., 2015; Castillo et al., 2013).
Modelación de la estructura del error
En el Cuadro 4 se muestran los estadísticos del ajuste del modelo de Bertalanffy-Richards, en el que se integra un modelo autorregresivo continuo de segundo orden (CAR2), el cual corrigió de manera adecuada la autocorrelación de los errores de la base de datos (valor de DW cercano a 2).
Los errores promedio de la REMC del modelo 6, con la estructura del error oscilaron de 0.79 m (Pd) a 1.18 m (Pp) (Cuadro 4), y explicaron más de 98 % de la varianza del crecimiento en altura dominante. El modelo autorregresivo continuo de segundo orden (CAR2) garantizó la independencia de los residuales en el proceso de ajuste.
Cuadro 4. Estimaciones de los parámetros y estadísticos de bondad de ajuste de la ecuación de Bertalanffy-Richards, integrando el modelo autorregresivo continúo CAR2.
Ecuación | Especie | Parámetro | Valor estimado | EE. | Valor-t | Valor-p | REMC (m) | R2adj | DW |
6 | Po | 0.059830 | 0.00214 | 27.98 | <0.0001 | 0.87 | 0.99 | 1.82 | |
-2.475350 | 0.94550 | -2.62 | 0.0091 | ||||||
17.211490 | 3.42410 | 5.03 | <0.0001 | ||||||
p1 | 0.977894 | 0.00973 | 100.45 | <0.0001 | |||||
p2 | 0.906721 | 0.01090 | 83.15 | <0.0001 | |||||
6 | Pd | 0.027946 | 0.00127 | 22.00 | <0.0001 | 0.79 | 0.99 | 1.81 | |
-2.135910 | 0.40310 | -5.30 | <0.0001 | ||||||
13.592790 | 1.49220 | 9.11 | <0.0001 | ||||||
p1 | 0.997808 | 0.00469 | 212.85 | <0.0001 | |||||
p2 | 0.935772 | 0.00681 | 137.36 | <0.0001 | |||||
6 | Pp | 0.044495 | 0.00170 | 26.15 | <0.0001 | 1.18 | 0.99 | 1.66 | |
-9.225630 | 1.31600 | -7.01 | <0.0001 | ||||||
41.266710 | 4.85080 | 8.51 | <0.0001 | ||||||
p1 | 1.001470 | 0.00474 | 211.28 | <0.0001 | |||||
p2 | 0.898239 | 0.00906 | 99.17 | <0.0001 | |||||
6 | Pps | 0.035901 | 0.00138 | 26.01 | <0.0001 | 1.00 | 0.99 | 1.73 | |
-1.304410 | 0.41420 | -3.15 | 0.0017 | ||||||
11.565630 | 1.57430 | 7.35 | <0.0001 | ||||||
p1 | 0.978021 | 0.00671 | 145.79 | <0.0001 | |||||
p2 | 0.917932 | 0.00803 | 114.28 | <0.0001 |
EE = Error estándar del estimador del parámetro; REMC = Raíz del error medio cuadrático, R2adj = Coeficiente de determinación ajustado; DW = Estadístico de Durbin-Watson; Po = Pinus oaxacana; Pd = Pinus douglasiana; Pp = Pinus patula; Pps = Pinus pseudostrobus.
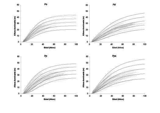
En la Figura 3 se observan las curvas de IS obtenidas con la ecuación de Bertalanffy-Richards sin considerar la estructura del error (línea punteada), así como aquéllas en las que se tomó en cuenta la estructura del error CAR2 (línea continua) a una edad de referencia de 40 años, sobrepuestas a los datos experimentales que se utilizaron en su ajuste. Las curvas de IS cubren las diferentes edades y describen la relación entre crecimiento en altura dominante y edad con un comportamiento lógico y biológico (polimorfismo complejo) a edades mayores a los 50 años (Cieszewski, 2003; Álvarez-González et al., 2010). Se aprecia, gráficamente, que las especies estudiadas presentan distintos patrones de crecimiento en altura dominante, lo cual indica que, el manejo de rodales con dominancia de las cuatro especies de pino requiere de esquemas silvícolas distintos (Attis et al., 2015).
Las curvas se generaron con el modelo dinámico de Bertalanffy-Richards sin (línea punteada) y con (línea continua) corrección de la autocorrelación mediante una estructura autorregresiva CAR2.
Figura 3. Curvas de índice de sitio a la edad de referencia de 40 años para Pinus oaxacana Mirov (Po), P. douglasiana Martínez (Pd), P. patula Schiede ex Schltdl. & Cham. (Pp) y P. pseudostrobus Lindl. (Pps).
En los gráficos de la función de autocorrelación parcial (PACF), obtenida del ajuste de la ecuación Bertalanffy-Richards con 10 retardos (Lags) de los residuales para cada árbol (Figura 4), se observa que se pasa de un correlograma con autocorrelación positiva de segundo orden, a un correlograma sin evidencia de autocorrelación, estimada con el ajuste de la ecuación dinámica con una estructura autocorregresiva de errores continua tipo CAR2; resultados que son similares a los registrados por Vargas-Larreta et al. (2010), Vargas-Larreta. (2013) y Quiñonez-Barraza et al. (2015), para especies forestales en diferentes regiones de México.
Figura 4. Gráficas de la Función de Autocorrelación Parcial de la ecuación de Bertalanffy-Richards (Ecuación 6): a) ajuste sin corrección de la autocorrelación, b) al considerar un modelo CAR1, y c) con un modelo CAR2.
Al corregir la autocorrelación, se determina el patrón aleatorio de los residuales alrededor de la línea de cero, con varianza homogénea y sin detectarse una tendencia definida (Figura 5). También, se observa la evolución del sesgo y RCME, y se nota que a partir de la categoría de edad mayor a 50 años, se presenta un aumento considerable en la dispersión y alturas predichas debido, principalmente, a la falta de pares de datos de altura-edad de esas clases de edad.
Figura 5. Residuales vs alturas predichas y evolución del sesgo y raíz del cuadrado medio del error (RCME) por categoría de edad del modelo de Bertalanffy-Richards, con el modelo autorregresivo CAR(2).
Conclusiones
La ecuación dinámica de Bertalanffy-Richards es una opción adecuada para modelar el crecimiento en altura dominante e índice de sitio para las cuatro especies de pino estudiadas en la Umafor 2001. Las ecuaciones obtenidas son polimórficas, con múltiples asíntotas e invariantes con respecto a la edad de referencia; además, permiten estimar de manera directa la altura dominante y el índice de sitio a cualquier altura y edad de referencia. El uso de estas ecuaciones coadyuvará a mejorar la estimación del potencial productivo de las unidades de manejo donde dominan P. oaxacana, P. douglasiana, P. patula y P. pseudostrobus y serán de utilidad para seleccionar regímenes de manejo orientados a incrementar la productividad, a través de su incorporación dentro de los programas de manejo forestal.
Agradecimientos
Al fondo sectorial Conafor-Conacyt por el financiamiento del proyecto “Sistema biométrico para la planeación del manejo forestal sustentable de los ecosistemas con potencial maderable en México” y al Conacyt por el apoyo financiero para que el primer autor estudiara en el programa de Doctorado Institucional en Ciencias Agropecuarias y Forestales (DICAF-UJED).
Conflicto de intereses
Los autores declaran tener la autorización correspondiente para el uso de los datos correspondientes al proyecto: Sistema biométrico para la planeación del manejo sustentable de los ecosistemas con potencial maderable en México.
Contribución por autor
Albert Castillo López: análisis de datos, ajuste de modelos, elaboración del manuscrito; Wenceslao Santiago-García, Benedicto Vargas-Larreta, Gerónimo Quiñonez-Barraza, Raúl Solis-Moreno: revisión del manuscrito; José Javier Corral-Rivas: coordinación de las revisiones, apoyo estadístico y revisión del manuscrito.
Referencias
Álvarez-González, J. G., A. Zingg and K. V. Gadow. 2010. Estimating growth in beech forests: a study based on long term experiments in Switzerland. Annals of forest science 67(3): 307.
Amaral M., S., L. C. Rodrigues S., M. A. Figura, S. J. Téo and R. G. Mendes N. 2010. Comparison of methods for estimating heights from complete stem analysis data for Pinus taeda. Ciência Florestal 20(1): 45-55.
Attis B., H., L. M. Chauchard y G. Martínez P. 2015. Curvas preliminares de índice de sitio para bosques puros y mixtos de Nothofagus alpina y Nothofagus obliqua en la Patagonia Argentina. Bosque 36(2): 275-285.
Bailey, R. L. and J. L. Clutter. 1974. Base-age invariant polymorphic site curves. Forest Science 20(2): 155-159.
Bengoa M., J. L. 1999. Análisis de un modelo de crecimiento en altura de masas forestales: aplicación a las masas de Quercus pyrenaica de La Rioja. Tesis doctoral. Escuela Técnica Superior de Ingenieros de Montes. Universidad Politécnica de Madrid. Madrid, España. 317 p.
Carmean, W. H. 1972. Site index curves for upland oaks in the Central States. Forest Science 18(2): 109-120.
Castillo L., A., B. Vargas-Larreta, J. J. Corral R., J. A. Nájera L., F. Cruz C. y F. J. Hernández. 2013. Modelo compatible altura-índice de sitio para cuatro especies de pino en Santiago Papasquiaro, Durango. Revista Mexicana de Ciencias Forestales 4(18): 86-103.
Cieszewski, C. J. 2001. Three methods of deriving advanced dynamic site equations demonstrated on inland Douglas-fir site curves. Canadian Journal of Forest Research 31(1): 165-173.
Cieszewski, C. J. 2002. Comparing fixed-and variable-base-age site equations having single versus multiple asymptotes. Forest Science 48(1): 7-23.
Cieszewski, C. J. 2003. Developing a Well-Behaved Dynamic Site Equation Using a Modified Hossfeld IV Function Y 3=(axm)/(c+ x m–1), a Simplified Mixed-Model and Scant Subalpine Fir Data. Forest Science 49(4): 539-554.
Cieszewski, C. J. and R. L. Bailey. 2000. Generalized algebraic difference approach: theory based derivation of dynamic site equations with polymorphism and variable asymptotes. Forest Science 46(1): 116-126.
Corral R., J. J., J. G. Álvarez G., A. D. Ruíz G. and K. V. Gadow. 2004. Compatible height and site index models for five pine species in El Salto, Durango (Mexico). Forest Ecology and Management 201(2-3): 145-160.
Clutter, J. L., J. C. Fortson, L. V. Pienaar, G. H. Brister and R. L. Bailey. 1983. Timber management: a quantitative approach. John Wiley & Sons. New York, NY USA. 333 p.
Crecente-Campo, F., A. R. Alboreca and U. Diéguez-Aranda. 2009. A merchantable volume system for Pinus sylvestris L. in the major mountain ranges of Spain. Annals of Forest Science 66(8): 808.
Daniel, T. W., J. A. Helms and F. S. Baker. 1979. Principles of Silviculture. 2nd edition. McGraw-Hill. New York, NY USA. 500 p.
Diéguez-Aranda, U., H. E. Burkhart and R. L. Amateis. 2006. Dynamic site model for loblolly pine (Pinus taeda L.) plantations in the United States. Forest Science 52(3): 262-272.
Diéguez-Aranda, U, A. Rojo A., F Castedo-Dorado, J. G. Álvarez-González., M Barrio-Anta, F. Crecente-Campo, J. M. González G., C. Pérez-Cruzado, R. Rodríguez S., C. A. López-Sánchez, M. A. Balboa-Murias, J. J. Gorgoso V. y F. Sánchez R. 2009. Herramientas selvícolas para la gestión forestal sostenible en Galicia. Consellería do Medio Rural. Xunta de Galicia. Galicia, España. 268 p.
Durbin, J. and G. S. Watson. 1951. Testing for serial correlation in least squares regression. II. Biometrika 38(1-2): 159-178.
Dyer, M. E. and R. L. Bailey. 1987. A test of six methods for estimating true heights from stem analysis data. Forest Science 33(1): 3-13.
Fabbio, G., M. Frattegiani and M. C. Manetti. 1994. Height estimation in stem analysis using second differences. Forest science 40(2): 329-340.
Goelz, J. C. G. and T. E. Burk. 1992. Development of a well-behaved site index equation: jack pine in north central Ontario. Canadian Journal of Forest Research 22(6): 776-784.
González M., M., F. Cruz C., G Quiñones B., B. Vargas L. y J. A. Nájera L. 2016. Modelo de crecimiento en altura dominante para Pinus pseudostrobus Lindl. en el estado de Guerrero. Revista Mexicana de Ciencias Forestales 7(37): 7-20.
Granados-Sánchez, D. 2009. Estudio regional forestal de la UMAFOR SIERRA NORTE DE OAXACA (clave: 2001). División de Ciencias Forestales, Universidad Autónoma Chapingo. Texcoco, Edo. de Méx., México. 143 p
Kiviste, A., J. G. Álvarez-González, A. Rojo-Alboreca y A. D. Ruiz-Gonzáles. Funciones de crecimiento de aplicación en el ámbito forestal. Monografías INIA: Serie Forestal Núm. 4. Instituto Nacional de Investigación y Tecnología Agraria y Alimentaria (INIA). Madrid, España. 190 p.
Krumland, B. and H. Eng. 2005. Site index systems for major young-growth forest and woodland species in northern California (No. 4). California Department of Forestry & Fire Protection. Pebble Beach, CA, USA. 218 p.
Newberry, J. D. 1991. A Note on Carmean's Estimate of Height from Stem Analysis Data. Forest Science 37(1): 368-369.
Nord-Larsen, T. 2006. Developing dynamic site index curves for European beech (Fagus sylvatica L.) in Denmark. Forest Science 52(2): 173-181.
Parresol, B. R. and J. S. Vissage. 1998. White pine site index for the southern forest survey. Res. Pap. SRS-10. Forest Service, Southern Research Station. US Department of Agriculture. Asheville, NC USA. 8 p.
Quiñonez-Barraza, G., H. M. De los Santos-Posadas, F. Cruz-Cobos, A. Velázquez-Martínez, G. Ángeles-Pérez y G. Ramírez-Valverde. 2015. Índice de sitio con polimorfismo complejo para masas forestales de Durango, México. Agrociencia 49(4): 439-454.
Rennolls, K. 1978. "Top Height": Its definition and estimation. The Commonwealth Forestry Review 57(3): 215-219.
Rodríguez-Carrillo, A., F. Cruz-Cobos, B. Vargas-Larreta y F. J. Hernández. 2015. Compatible dominant height-site index model for juniper (Juniperus deppeana Steud.). Revista Chapingo. Serie Ciencias Forestales y del Ambiente 21(1): 97-108.
Statistical Analysis System (SAS). 2004. SAS/ETS™ User’s Guide, Relase 8.2. SAS Institute, INC. Cary, NC USA. n/p.
Sharma, R. P., A. Brunner, T. Eid and B-H. Øyen. 2011. Modelling dominant height growth from national forest inventory individual tree data with short time series and large age errors. Forest Ecology and Management 262(12): 2162-2175.
Tait, D. E., C. J. Cieszewski and I. E. Bella. 1988. The stand dynamics of lodgepole pine. Canadian Journal of Forest Research 18(10): 1255-1260.
Torres R., J. M. y O. S. Magaña T. 2001. Evaluación de plantaciones forestales. Limusa. México, D.F., México. 472 p.
Vargas-Larreta, B., J. G. Álvarez-González, J. J. Corral-Rivas y Ó. A. Aguirre C. 2010. Construcción de curvas dinámicas de índice de sitio para Pinus cooperi Blanco. Revista Fitotecnia Mexicana 33(4): 343-350.
Vargas-Larreta, B., O. A. Aguirre-Calderón, J. J. Corral-Rivas, F. Crecente-Campo y U. Diéguez-Aranda. 2013. Modelo de crecimiento en altura dominante e índice de sitio para Pinus pseudostrobus Lindl. en el noreste de México. Agrociencia 47(1): 91-106.
Santiago-García, W., H. M. de los Santos-Posadas, G. Ángeles-Pérez, J. R. Valdez-Lazalde y G. Ramírez-Valverde. 2013. Sistema compatible de crecimiento y rendimiento para rodales coetáneos de Pinus patula. Revista Fitotecnia Mexicana 36(2): 163-172.
Zimmerman, D. L. y V. Núñez-Antón. 2001. Parametric modelling of growth curve data: an overview. Test 10(1): 1-73.
Todos los textos publicados por la Revista Mexicana de Ciencias Forestales–sin excepción– se distribuyen amparados bajo la licencia Creative Commons 4.0 Atribución-No Comercial (CC BY-NC 4.0 Internacional), que permite a terceros utilizar lo publicado siempre que mencionen la autoría del trabajo y a la primera publicación en esta revista.