Revista Mexicana de Ciencias Forestales Vol. 9 (49)

Septiembre-Octubre (2018)

DOI: https://doi.org/10.29298/rmcf.v9i49.178

Artículo

Pérdidas por intercepción de lluvia en el Matorral Espinoso Tamaulipeco bajo diferentes intensidades de raleo

Rainfall interception loss in the Tamaulipan thorn scrub under different thinning intensities

Yahaira Wegelmy García Ledezma1, Israel Cantú Silva1*, Humberto González Rodríguez1 y María Inés Yáñez Díaz1

Fecha de recepción/Reception date: 14 de diciembre de 2017

Fecha de aceptación/Acceptance date: 8 de agosto de 2018

_______________________________

1Facultad de Ciencias Forestales, Universidad Autónoma de Nuevo León, México.  correo-e: icantu59@gmail.com

Abstract

The amount of precipitation that reaches the earth's surface depends to a large extent on the vegetation cover. This cover intercepts much of the precipitation and stores it temporarily, where it is returned to the atmosphere by means of evapotranspiration. The objective of this study was to quantify and analyses the rainfall interception loss under different thinning intensities in an area of the Tamaulipan thorn scrub (MET) in northeastern Mexico. At the School of Forest Sciences in Linares, Nuevo León, Mexico, four plots were established for throughfall under four thinning intensities; 75, 50, 25 and 0 %, and a plot for gross rainfall measurement. 79 rainfall events were recorded (907.6 mm) for the years 2016-2017. The percentages of rainfall interception were 16, 29, 34 and 41 % for the thinning intensities of 75, 50, 25 and 0 %, respectively. Simple linear regression analyses indicate that throughfall represents 83, 70, 65 and 58 % of total precipitation for intensities of 75, 50, 25 and 0 %, respectively. The coefficients of determination for throughfall and gross rainfall were of r2 = 0.8651 and r2 = 0.8017 for the intensities to 25 and 0 %. This indicates that as the intensities is increased, throughfall is increased. The characteristics of the canopy and foliage of the different species of the MET could influence the percentage of rainfall interception.

Key words: Forest hydrology, thinning intensities, Tamaulipan thorn scrub, interception loss, throughfall, canopy saturation.

Resumen

La cantidad de precipitación que llega a la superficie terrestre depende en gran medida de la cobertura vegetal. Está cubierta intercepta gran parte de la precipitación y la almacena temporalmente, donde es devuelta a la atmósfera por medio de la evapotranspiración. El objetivo del presente trabajo fue cuantificar y analizar las pérdidas por intercepción de lluvia bajo diferentes intensidades de raleo en un área de Matorral Espinoso Tamaulipeco (MET) en el noreste de México. En la Facultad de Ciencias Forestales dentro del municipio Linares, Nuevo León, se establecieron cuatro parcelas para la precipitación directa bajo cuatro intensidades de raleo; 75, 50, 25 y 0 %, y una parcela para la precipitación incidente. Se registraron 79 eventos de lluvia (907.6 mm) para 2016 y 2017. Los porcentajes de intercepción de lluvia fueron de 16, 29, 34 y 41 % para las intensidades de raleo de 75, 50, 25 y 0 %, respectivamente. Los análisis de regresión lineal simple señalan que la precipitación directa representa 83, 70, 65 y 58 % del total de precipitación para las intensidades de 75, 50, 25 y 0 %, respectivamente. Los coeficientes de determinación para precipitación directa e incidente fueron de r2=0.8651 y r2=0.8017 para los raleos al 25 y 0 %; esto indica que a medida que se incrementó el raleo, aumentó la precipitación directa. Las características del dosel y el follaje de las distintas especies del MET pudieron influir en el porcentaje de intercepción de lluvia.

Palabras clave: Hidrología forestal, intensidad de raleo, Matorral Espinoso Tamaulipeco, pérdidas por intercepción, precipitación directa, saturación del dosel.

Introducción

La cantidad de precipitación que llega a la superficie del suelo depende en gran medida del porcentaje de cubierta vegetal (Pérez et al., 2016). Dicha cubierta intercepta parte de la precipitación y la almacena temporalmente sobre la superficie de las hojas y ramas, de donde es devuelta a la atmósfera por evaporación. La intercepción es aquella parte de la precipitación almacenada temporalmente sobre la superficie de las hojas y ramas, mientras que las pérdidas por intercepción corresponden a la evaporación del agua almacenada en las copas (López et al., 2017).

Los principales componentes del proceso de redistribución de las precipitaciones incidentes en un área de raleo vegetal son:1) pérdida por intercepción, o la cantidad de agua retenida por el dosel y que es luego evaporada o absorbida por las plantas; 2) precipitación directa, también conocida como infiltración a través del follaje o lluvia bajo el dosel, que es aquella parte de la precipitación que alcanza al suelo (Besteiro y Rodríguez, 2012; Sun et al., 2015).

Estas diferencias se deben a que la cantidad de agua interceptada no depende solo de la especie bajo raleo, sino también del régimen de lluvias y de la demanda de la evapotranspiración existente en cada zona concreta. La intercepción de lluvia se estima de forma indirecta como la diferencia entre la precipitación incidente (arriba del dosel) y la precipitación directa (debajo del dosel). La cantidad de agua que fluye por el dosel a través de los claros, o por goteo de las hojas y ramas conocida como precipitación directa (Xiao et al., 2000; Huber, 2003), es considerada la principal fuente de abastecimiento de agua al suelo; por lo general, sus aportes constituyen entre 74 y 80 % de la precipitación incidente (Yáñez et al., 2014). El nivel que existe entre el dosel y el suelo, así como los claros entre el dosel y las condiciones del viento son características que influyen en la cantidad de precipitación directa (Crockford y Richardson, 2000).

La precipitación y el patrón de recarga de los acuíferos son decisivos para entender el efecto que una plantación forestal ejerce sobre el recurso hídrico y su manejo. La intercepción y la cubierta vegetal están relacionados, cuanto más densa está la cubierta vegetal, mayor volumen de lluvia es interceptado y el escurrimiento es menor (Prado et al., 2007).

Todo cambio en la cubierta puede causar la diferencia en la recarga de la cuenca y afectar la hidrología local en términos de volúmenes y tiempos de escorrentía (Calvo et al., 2012).

El matorral es el recurso más abundante e históricamente más utilizado en las zonas áridas y semiáridas de México. El Matorral Espinoso Tamaulipeco (MET) cubre una superficie de 200 000 km2 del noreste de México y sur de Texas. Es una comunidad arbustiva formada por la dominancia de especies espinosas, caducifolias una gran parte del año. La intercepción en los ecosistemas áridos y semiáridos es de importancia debida principalmente a la irregularidad y escasez de la precipitación, lo que repercute en la variabilidad espacio-tiempo de la humedad del suelo (Yáñez et al., 2013).

El objetivo del presente estudio fue determinar las cantidades de lluvia interceptada a diferentes intensidades de raleo dentro del Matorral Espinoso Tamaulipeco, por medio de mediciones de la precipitación incidente y precipitación directa, con base en la hipótesis que plantea que las diferentes intensidades de raleo difieren la cantidad de intercepción de lluvia y modifican la cantidad de agua que ingresa a este tipo de ecosistema regido por precipitaciones irregulares.

Materiales y Métodos

Área de estudio

El estudio se llevó a cabo en el Campus de la Facultad de Ciencias Forestales de la Universidad Autónoma de Nuevo León (24°47’ N; 99°32’ O) (Figura 1), a 350 msnm, que se ubica a 8 km hacia el sur del municipio Linares, aproximadamente. El tipo de clima según Köppen (1938) modificado por García (1981) corresponde a semicálido subhúmedo con lluvias principalmente en verano. La temperatura media anual del aire oscila entre los 14.7 °C en enero y los 22.3 °C en agosto, aunque en verano son comunes las temperaturas de 45 °C. La precipitación media anual es de 805 mm con distribución bimodal en abril y septiembre (González y Cantú, 2001).

Figura 1. Localización del área de estudio y sitios de muestreo, Facultad de Ciencias Forestales, Universidad Autónoma de Nuevo León.

Los suelos del lugar son de tipo Vertisol profundo con una coloración gris oscura; arcillo-limosos con altos en montmorillonita, que se expande y contrae en relación a los cambios de contenido de humedad del suelo.

La vegetación predominante es el Matorral Espinoso Tamaulipeco. Está integrado por una gran diversidad de arbustos, zacatales y árboles densos y espinosos, con patrones y dinámicas de crecimiento diferentes, así como desarrollos fenológicos y longevidad foliar (Alanís, 2006).

El MET está constituido por la dominancia de especies espinosas, caducifolias una gran parte del año o áfilas (sin hojas). Al respecto, Yáñez (2013) registró en este tipo de vegetación un total de 11 familias distribuidas en 18 especies con un total de 285 individuos, con una altura promedio de 4.17 m. Asimismo, los taxa con mayor dominancia respecto a su cobertura fueron Diospyros texana Scheele y Condalia hookeri M. C. Johnst. (Brasil). Por otro lado, las especies más destacadas en términos de su abundancia, dominancia y frecuencia, correspondieron a D. texana y Havardia pallens (Benth.) Britton & Rose, con valores de Índice de Valor de Importancia (IVI) de 48.25 y 36.2 %, respectivamente; mientras que los valores más bajos en Caesalpinia mexicana A. Gray, con 2.15 %; Helietta parvifolia (A. Gray) Benth., con 2.92 %; y Parkinsonia aculeata L., con 2.99 %.

Medición de los componentes de las precipitaciones

Se establecieron parcelas de 100 m2 (10 × 10 m) en las que se midió el porcentaje de cobertura para cada parcela y se realizó el raleo requerido para obtener 100, 75, 50 y 25 % de cobertura vegetal y ahí se colocaron los colectores para precipitación directa.

El experimento duró aproximadamente 18 meses (abril del 2016 a septiembre 2017); se colectaron 79 eventos de lluvia, que cumplieron con los parámetros establecidos de mínimo seis repeticiones de ocho canaletas establecidas para cada parcela. El evento de lluvia es un concepto que se refiere al periodo de precipitación constituido por lluvias, lloviznas o chubascos, continuos o separados del anterior y posterior, por un periodo seco por un lapso mínimo de ocho horas (Yáñez et al., 2014).

Las mediciones del volumen de lluvia se registraron después de cada evento y se tomó una porción para el análisis con un conductivímetro de pH marca Corning, modelo 542. Para las de precipitación incidente y directa se utilizaron unas canaletas de pvc de 0.1 m2 (10 cm de ancho × 100 cm de largo) en forma de U, conectadas por medio de mangueras a recipientes de 20 L. Estas ocho canaletas se cubrieron con una malla para evitar la obstrucción de hojarasca e insectos y cumplieron la función de pluviómetros; se instalaron en cada una de las parcelas para cada intensidad de raleo (precipitación directa) y en un área abierta sin árboles (precipitación incidente), colindante a las parcelas experimentales.

Análisis de datos

Para determinar la cantidad de lluvia obtenida de estos dos componentes, el agua colectada (mL) se dividió por el área de la canaleta (m2) y se multiplicó por 10 para transformar a mm de lluvia colectada.

Pérdidas por intercepción

Con las mediciones antes descritas de precipitación incidente y precipitación directa se estimaron las pérdidas por intercepción:

                                                       (1)

Donde:

I = Pérdidas por intercepción (mm)

Pi = Precipitación incidente (mm)

Pd = Precipitación directa (mm)

Los datos obtenidos se sometieron a una regresión lineal ajustada para determinar el porcentaje final de intercepción para el modelo aplicado.

Capacidad de almacenaje del dosel

La característica relevante de una cubierta vegetal es la cantidad de agua almacenada en el dosel en un evento de lluvia, en donde la cantidad de agua excede la capacidad de retención de la vegetación. Esta condición es conocida como capacidad de almacenaje de intercepción o capacidad de saturación del dosel, que en esta ocasión se determinó al relacionar la precipitación incidente contra la precipitación directa para eventos de lluvia individuales y continuos de hasta un valor máximo de 2.5 mm, si se conoce el valor del intercepto del modelo lineal ajustado de los datos (Leyton et al., 1967).

Los datos de pH y conductividad eléctrica no mostraron distribución normal mediante la prueba de Kolmogorov-Smirnov; se analizaron estadísticamente con la prueba no paramétrica de Kruskal-Wallis, mediante el uso del paquete estadístico SPSS (2005).

Resultados y Discusión

La precipitación incidente total derivada de los 79 eventos registrados durante el transcurso del experimento fue de 907.6 mm. La Figura 2 muestra el comportamiento de las precipitaciones durante el periodo de estudio; el intervalo de lluvias individuales fue de 0.39 a 60.15 mm, con valores menores a 5 mm en 40 % del total de los eventos analizados; entre 10 y 20 mm en 22 %, entre 5 y 10 mm en 20 %; de 20-30 mm en 9 %; entre 30 y 40 mm en 5 %, entre 40 y 50 mm en 3 %; y en menos de 1 %, los eventos >50 mm.

Figura 2. Porcentaje de eventos de lluvia de acuerdo con la cantidad registrada durante el periodo experimental.

La relación entre precipitación incidente y precipitación directa registró un coeficiente de determinación promedio de r2>0.80, similar a los resultados de Besteiro y Rodríguez (2012), de r2>0.80 para una plantación forestal de pino y eucalipto, y de Cantú y González (2005) de 0.78 a 0.85 para A. berlandieri Benth., A. riguidula Benth. y Diospyros texana del MET.

La cantidad de lluvia que atravesó los doseles del Matorral Espinoso Tamaulipeco (precipitación directa) fue de 83 % para la intensidad de raleo de 75 %; 70 % para la de 50 %; 65 % para 25 %; y de 58 % para la intensidad de 0 %, lo que indica que a mayor intensidad de raleo, la proporción de lluvia que llega al suelo es mayor (Figura 3). Resultados similares fueron obtenidos por San-Juan (2004) quien investigó dos parcelas comparativas de Pinus radiata D. Don., y sus resultados fueron de 65 y 74 % para precipitación directa, lo que confirma lo anterior.

Figura 3. Relación entre la precipitación incidente (mm) y precipitación directa (mm) para los diferentes porcentajes de raleo.

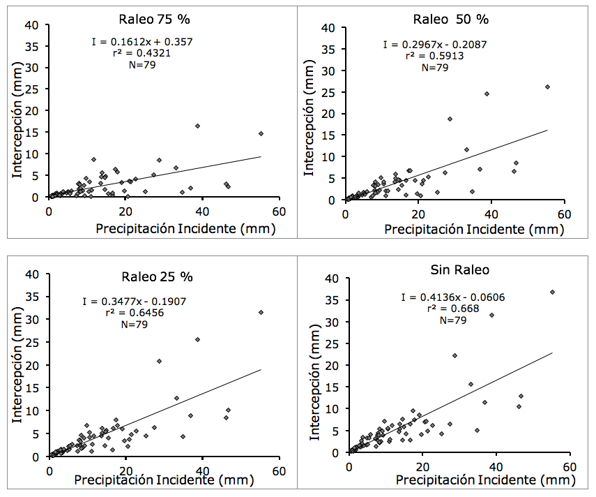
Los resultados correspondientes a las pérdidas de intercepción variaron de 16 a 41 %; la parcela sin raleo presentó el mayor valor de intercepción, seguido de los de 25 y 50 %, con pérdidas por intercepción de 34 y 29 %, mientras que las más bajas correspondieron a la parcela con 75 % de raleo (Figura 4).

Figura 4. Relación entre las pérdidas por intercepción y la precipitación incidente en las diferentes intensidades de raleo.

Los resultados de los análisis de regresión de la intercepción (Cuadro 1), fluctuaron entre r²= 0.42 para el raleo de 75 % hasta valores de r²= 0.66, en sitios en donde no se aplicó, los cuales presentaron un mayor porcentaje de pérdidas por intercepción. Esto sugiere que otros factores, tales como niebla, rocío, intensidad de lluvia, continuidad del evento de lluvia, velocidad del viento, entre otros, deben de ser tomados en cuenta para poder predecir con mayor exactitud la intercepción.

Cuadro 1. Resumen del análisis de regresión para describir las pérdidas por intercepción en las diferentes intensidades de raleo.

Porcentaje de raleo

n

Y-valor del intercepto )

Pendiente )

ajustado

)

(EEE)

(Valor -P)

)

(EEE)

(Valor -P)

75 %

79

0.3570

0.3488

0.3093

0.1612

0.0210

<0.001

0.4247

50 %

79

0.2087

0.4657

0.6553

0.2967

0.0281

<0.001

0.5859

25 %

79

0.1907

0.4863

0.6984

0.3477

0.0293

<0.001

0.6409

0 %

79

0.0606

0.5506

0.9126

0.4136

0.0332

<0.001

0.6637

*El Error Estándar Estimado (EEE) para los coeficientes de regresión está incluido.

En la zona semidesértica del norte de México, Carlyle (2004) registró valores por pérdida de intercepción de 15 a 27 % en árboles aislados sin raleo (2004). En Japón, Sun et al. (2015) obtuvieron entre un 85 y 89 % de intercepción, para 100 % de cobertura. Así también, Calvo et al. (2012) concluyeron que para las pérdidas por intercepción se admite que el porcentaje de lluvia interceptada es directamente proporcional al porcentaje de cobertura. En ese sentido, Donoso (1983), citado por Valenzuela (2003) menciona que las pérdidas por intercepción alcanzan sus máximos valores en edades intermedias, cuando se produce el cierre del dosel.

Cantú y González (2005) llegaron a resultados similares para Acacia berlanderi, A. rigidula y Diospyros texana, con 18 %, 15 % y 22 %, respectivamente. En ese mismo sentido, Yáñez et al. (2014) determinaron 25 % para Prosopis laevigata (Humb. & Bonpl. ex Willd.) M. C. Johnst., 33 % para Helietta parvifolia (Gray ex Hemsl.) Benth. y 34 % para Ebenopsis ebano (Berl.) Barneby & J. W. Grimes.

González et al. (2009) citado por Guevara et al. (2010) calcularon de 21 % a 27 % en la intercepción de lluvia por el dosel de Prosopis laevigata. Por su parte, Mastachi et al. (2010) consignaron una intercepción promedio de 20.6 al 22 % para P. laevigata y A. farnesiana (L.) Willd. en la región semiárida del centro de México.

Al comparar la intercepción de eventos en campo y bajo simulación, Prado et al. (2007) identificaron diferencias de 15.6 % en campo y 34.6 % en laboratorio, en los que las condiciones de velocidad de viento, evapotranspiración y la inclinación con la que cae la lluvia fueron algunos de los factores que más influyeron en el proceso de intercepción.

Los valores obtenidos para la capacidad de almacenamiento fueron de 0.15 mm para el raleo de 75 %; con 0.12 mm para el raleo de 25 %; de 0.18 mm para el raleo de 50 % que fue la mayor saturación en el dosel, y de 0.0063 mm donde no hubo raleo (Cuadro 2). El valor de saturación es similar a los datos de Cantú y González (2005), con valores entre 0.14 y 0.24 mm.

Cuadro 2. Valores de saturación del dosel para los tratamientos de raleo estudiados, determinados en 19 eventos de lluvia individuales menores de 2.5 mm.

Raleo

Capacidad de almacenaje

Valor de saturación (mm)

Coeficiente determinación r2

75 %

0.1501

0.8214

50 %

0.1878

0.7920

25 %

0.1251

0.7282

Sin raleo

0.0063

0.6534

Los resultados correspondientes al análisis de pH y conductividad eléctrica indican de manera indirecta el comportamiento de los nutrientes a través del lavado de las copas por la precipitación ocurrida en los raleos estudiados. Generalmente se observa que el pH muestra una tendencia similar entre precipitación incidente y en los raleos, con valores neutros (6.7) para la precipitación incidente.

Yáñez (2013) estableció una relación del pH alrededor de 6.61 para especies del Matorral Espinoso Tamaulipeco. Al respecto, Calvo y Gómez (2002) definieron que la cantidad de deposición es alterada por los doseles del bosque, lo que modifica también el pH de la precipitación directa y el escurrimiento fustal; sus valores promedio fueron de 6.2 y 5.4 para un bosque de pino-encino, de 6.3 y 6.0 para bosque de encino y de 6.2 y 3.7 para el bosque de pino. Concluyeron que los doseles de coníferas muestran una tendencia a bajar el pH con respecto a otras especies que son importantes en el contexto hidráulico para la región noreste de México.

Jiménez et al. (2006) revelan un incremento en los valores de pH y conductividad eléctrica, que se incrementa en su paso por las hojas y las ramas de los árboles de un bosque secundario y plantaciones forestales, lo que le atribuyen al aumento de bases. Los datos de Cantú y González (2002) en este contexto mostraron un patrón de aumento en la conductividad eléctrica para la precipitación directa y el escurrimiento fustal de los doseles de pino, encino y pino–encino. En el presente estudio la conductividad eléctrica promedio fue de 110.3 μS cm-1 para la precipitación incidente, que aumentó en el siguiente orden para la precipitación directa: raleo 75 % > raleo 50 % > raleo 25 % > sin raleo.

El Cuadro 3 reúne los resultados procedentes del análisis de comparación de los valores de pH y conductividad eléctrica de la precipitación incidente y la precipitación directa entre los raleos estudiados para 15 eventos analizados. Para el pH, seis eventos presentan diferencias significativas (P<0.05) y la conductividad eléctrica 12, lo que implica mayor variabilidad entre los eventos. Esto pudiera explicarse como que la lluvia del pluviolavado que fluye a través del dosel es químicamente diferente a la lluvia de la precipitación incidente en la mayoría de los eventos ocurridos.

Cuadro 3. Análisis de la prueba de Kruskal-Wallis para detectar diferencias significativas en pH y conductividad eléctrica en la precipitación incidente y la precipitación directa.

Evento

Fecha del evento

pH

Conductividad eléctrica

Valor de p

valor de p

1

19/03/2016

14.638

0.006

6.755

0.149

2

20/03/2016

16.227

0.003

9.486

0.050

3

28/03/2016

8.802

0.066

9.029

0.060

4

16/04/2016

13.166

0.010

16.755

0.002

5

18/04/2016

8.483

0.075

11.519

0.021

6

19/04/2016

11.752

0.019

10.136

0.038

7

24/04/2016

7.095

0.131

14.329

0.006

8

13/05/2016

8.520

0.074

13.986

0.007

9

15/05/2016

11.080

0.026

14.529

0.006

10

22/07/2016

9.166

0.057

15.867

0.003

11

15/08/2016

7.945

0.094

14.771

0.005

12

31/08/2016

6.803

0.147

8.357

0.079

13

03/09/2016

4.696

0.320

11.621

0.020

14

06/09/2016

10.190

0.037

10.308

0.036

15

26/08/2016

9.186

0.057

10.536

0.032

Valores P en negritas (P<0.05) indican diferencias en los 15 eventos analizados.

Conclusiones

Con base en los resultados descritos, se concluye que de acuerdo a la hipótesis planteada, a mayor intensidad de raleo hay menores pérdidas por intercepción de lluvia.

Los valores estimados de la capacidad de almacenaje del dosel influyeron en los porcentajes de las pérdidas por intercepción. El agua de lluvia al evaporarse y regresarse a la atmósfera, repercute en su rendimiento, lo que es particularmente importante en los ecosistemas semiáridos donde este elemento constituye una de las limitantes principales.

Agradecimientos

Los autores agradecen a la Facultad de Ciencias Forestales de la Universidad Autónoma de Nuevo León y al proyecto de Conacyt (Fondo Ciencia Básica SEP-CONACYT, 250732) por las facilidades otorgadas para el desarrollo de la presente investigación. Asimismo, se agradece a dos revisores anónimos por enriquecer y hacer observaciones críticas al presente estudio.

Conflicto de interés

Los autores declaran no tener conflicto de intereses.

Contribución por autor

Yahaira Wegelmy García Ledezma: desarrollo de la investigación, estructura, interpretación de resultados y diseño del manuscrito; Israel Cantú Silva: diseño del manuscrito e interpretación de los resultados; Humberto González Rodríguez: revisión y estructura del manuscrito; María Inés Yáñez Díaz: revisión e interpretación de resultados.

Referencias

Alanís R., E. 2006. Diversidad de especies arbóreas y arbustivas en áreas con distinto historial antropogénico en el matorral espinoso tamaulipeco. Tesis de Maestría. Facultad de Ciencias Forestales, Universidad Autónoma de Nuevo León. San Nicolás de Los Garza, N L., México. pp. 66-67.

Besteiro S., I. y A. M. Rodríguez V. 2012. Redistribución de la precipitación sobre plantaciones forestales en un predio del partido de La Plata, Bueno Aires. Revista de la Facultad de Agronomía, La Plata 111 (2): 75-82.

Calvo D., R. y M. X. Gómez R. 2002. Distribución espacial del ciclo del agua en suelos forestales con Pinus radiata de Galicia (No de España). Revista Edafología 9 (1): 49-60.

Calvo, A., R. Jiménez y M. Saá Q. 2012. Intercepción de precipitación en tres estadios de sucesión de un Bosque húmedo Tropical, Parque Nacional Guanacaste, Costa Rica. Revista Forestal Mesoamericana Kurú 9(22):1-9.

Cantú S., I. y H. González R. 2002. Propiedades hidrológicas del dosel de los bosques de Pino-encino en el Noreste de México. Ciencia UANL 5 (1): 72-77.

Cantú S., I. y H. González R. 2005. Pérdidas por intercepción de la lluvia en tres especies de matorral submontano. Ciencia UANL 8 (1): 80-85.

Carlyle M., D. E. 2004. Throughfall, stemflow, and canopy interception loss fluxes in a semi-arid Sierra Madre Oriental matorral community. Journal of Arid Environments 58: 180-201.

Crockford, R. and D. Richardson. 2000. Partitioning of rainfall into throughfall, stemflow and interception effect of forest type, ground cover and climate. Hydrological Processes 14: 2903-2920.

García, E. 1981. Modificaciones al sistema de clasificación climática de Köppen 3ª ed. Instituto de Geología. Universidad Nacional Autónoma de México. México, D. F., México. 246 p.

González R., H. e I. Cantú S. 2001. Adaptación a la sequía de plantas arbustivas de matorral espinoso tamaulipeco. Ciencias UANL 4: 454-461.

Guevara E., A., E. González S., C. Véliz Ch., E. Ventura R. and M. Ramos S. 2010. Rainfall interception and distribution patterns of gross precipitation around an isolated Ficus benjamina tree in an urban area. Journal of Hydrology 333: 532-541.

Huber, A. 2003. Cambios en el balance hídrico provocado por la forestación con Pinus radiata D. Don en el secano interior del centro de Chile. Gestión Ambiental 9: 57-66.

Jiménez R., C., J. C. Calvo A. y D. Arias A. 2006. Lavado de nutrientes en plantaciones forestales de Vochysia ferruginea Mart. y Vochysia guatemalensis Donn. Sm. Sarapiqui, Costa Rica. Kurú: Revista Forestal 3(8): 1-11.

Leyton, L., E. Reynolds and F. Thompson. 1967. Rainfall interception in forest and moorland. In: Sopper, W. E. and H. W. Lull. (eds). Forest Hydrology. Pergamon Press. Oxford, UK. pp. 163-178.

López, L., A. A., C. Fuentes, E. González S. y A. A. López R. 2017. Pérdidas por intercepción de la vegetación y su efecto en la relación intensidad, duración y frecuencia (IDF) de la lluvia en una cuenca semiárida. Tecnología y Ciencias del Agua 8(4): 37-56.

Mastachi L., C. A., E. González S., R. Becerril P. e I. Braud. 2010. Pérdidas por intercepción en mezquite (Prosopis laevigata) y huizache (Acacia farnesiana) de la región semiárida del centro de México. Tecnología y Ciencia del Agua 1(8): 60-90.

Pérez A., R., M. F. Moreno P. y J. Cañas. 2016. Comparación de modelos de interceptación de agua de lluvia en individuos aislados de Pinus pinea y Cistus ladanifer. Ingeniería del Agua 20(3):153-168.

Prado, A., L. Hernández y E. Ventura 2007. Intercepción de lluvia por Lysiloma microphylla en el Municipio de Querétaro, Qro. Universidad Autónoma de Querétaro. 5 p. http://www.uaq.mx/investigacion/difusion/veranos/memorias2007/46_6UAQPradoFarias.pdf  (1 de diciembre de 2017).

San-Juan I., F. J. 2004. Evolución del manejo de dos plantaciones de Pinus radiata D. Don sobre el balance hídrico en la zona de secano interior de la VII Región. Facultad de Ciencias Forestales, Universidad Austral de Chile. Valdivia, Chile. 35 p.

Statistical Package for the Social Sciences (SPSS). 2005. SPSS 13.0 for Windows Student Version. Chicago, IL USA. n/p.

Sun, X., Y. Onda, H. Kato, T. Gomi and H. Komatsu 2015. Effect of strip thinning on rainfall interception in a Japanese cypress plantation. Journal of Hydrology 525: 607-618.

Valenzuela C. P. A., 2003. Pérdidas de agua por intercepción en plantaciones de Pinus radiata D. Don en la zona del secano interior de la VII Región de Chile. Facultad de Ciencias Forestales. Universidad Austral de Chile. 92 p.

Xiao, Q., E. G. McPherson, L. S. Ustin and M. E. Grismer 2000. A new approach to modeling tree rainfall interception. Journal of Geophysical Research 105: 29173 - 29188.

Yáñez D., M. I. 2013. Propiedades hidrológicas de un fragmento de matorral espinoso tamaulipeco en el noreste de México. Tesis de Maestría. Facultad de Ciencias Forestales, UANL. Linares, NL, México. 88 p.

Yáñez D., M. I., I. Cantú S., H. González R. y J. I. Uvalle S. 2014. Redistribucción de la precipitación en tres especies arbustivas nativas y una plantación de eucalipto del noreste de México. Tecnología y Ciencias del Agua 2: 71-84.

        

Todos los textos publicados por la Revista Mexicana de Ciencias Forestalessin excepción– se distribuyen amparados bajo la licencia Creative Commons 4.0 Atribución-No Comercial (CC BY-NC 4.0 Internacional), que permite a terceros utilizar lo publicado siempre que mencionen la autoría del trabajo y a la primera publicación en esta revista.