Revista Mexicana de Ciencias Forestales Vol. 9 (47)

Mayo-Junio (2018)

DOI: https://doi.org/10.29298/rmcf.v9i47.159

Article

Distribución potencial de barrenadores, defoliadores, descortezadores y muérdagos en bosques de coníferas de México

Potential distribution of borers, defoliators, barking beetles and mistletoes in coniferous forests of Mexico

Librado Sosa Díaz1, Jorge Méndez González1*, Mario Alberto García Aranda2, Víctor Hugo Cambrón Sandoval3, José Ángel Villarreal Quintanilla4, Cecilia Guadalupe Ruiz González1, Juan Carlos Montoya Jiménez1

Fecha de recepción/Reception date: 13 de diciembre de 2017

Fecha de aceptación/Acceptance date: 19 de marzo de 2018

_______________________________

1Departamento Forestal, Universidad Autónoma Agraria Antonio Narro. México.

2Especies, Sociedad y Hábitat, A.C. México.

3Laboratorio de Ecología. Universidad Autónoma de Querétaro, Campus Juriquilla. México.

4Departamento de Botánica, Universidad Autónoma Agraria Antonio Narro. México.

*Autor por correspondencia; correo-e: jmendezg@hotmail.com

Resumen:

La distribución de plagas forestales en México es incierta, pues existe información escasa sobre áreas potenciales de bosques por ser afectados mediante algún tipo de plaga, o información sobre sus preferencias climáticas y ecológicas. El objetivo del presente estudio consistió en modelar la distribución potencial de insectos barrenadores (B), defoliadores (d), descortezadores (D) y muérdagos (M) mediante variables climáticas y dasométricas a través de MaxEnt (Máxima Entropía). Los registros de plagas forestales se obtuvieron durante el desarrollo del Inventario Nacional Forestal y de Suelos (2009-2014) y fueron proporcionados por la Comisión Nacional Forestal. Los modelos se probaron y validaron con el paquete dismo de R. Los generados mostraron ajustes aceptables (AUC > 0.85). La superficie potencial estimada por modelo, acorde al umbral mínimo de presencia conocida (> 0.1), fue alrededor de 270 (B), 307 (D), 315 (d) y 308 mil km2 (M). La mayor área potencial para los cuatro tipos de plaga se predijo en Chihuahua, Durango y Oaxaca, así como la probabilidad de ocurrencia más alta (> 0.90). Las variables climáticas contribuyeron con el mayor porcentaje para D y d (75.1 y 71.9 %); mientras que, para B y M, las dasométricas (73.6 y 59.8 %). El análisis de parámetros dasométricos indica que los cuatro tipos de plaga tienen preferencia por bosques con árboles de diámetros pequeños y sitios con pocas especies hospederas. Los bosques con mayor susceptibilidad se ubican en Chihuahua (M) y Michoacán, Estado de México, Nuevo León, Jalisco y Chihuahua (D).

Palabras clave: MaxEnt, probabilidad de ocurrencia, temperatura, precipitación, tipo de plaga, variables dasométricas.

Abstract:

The distribution of forest pests in Mexico is uncertain. Information on forest areas potentially affected by a type of pest and their climatic and ecological preferences is scarce. The objective of this study was to model the potential distribution of insect borers (B), defoliators (d), bark beetles (D) and mistletoes (M), using climate and mensuration variables and the software Maximum Entropy (MaxEnt). Records of forest pests were obtained during the National Forest and Soil Inventory (2009-2014) provided by the National Forestry Commission. The training and validation of the models was performed with k-fold partitioning through the dismo package of R. The analyses of results indicate that the generated models had acceptable fit (AUC > 0.85). The potential area estimated by the model, in accord with the lower threshold of known presence (> 0.1), was around 270 (B), 307 (D), 315 (d) and 308 mil km2 (M). The largest potential area is predicted for the states of Chihuahua, Durango and Oaxaca, as well as the highest probability of occurrence (> 0.90). Climate variables had the highest percentage of contribution for D and d (75.1 and 71.9 %), whereas the mensuration variables were the highest for B and M (73.6 and 59.8 %). Analysis of the mensuration parameters indicate that, for the records of presence used, the four types of pest tend to prefer forests with small diameter trees and sites with fewer host species. The forests with the greatest susceptibility are found in Chihuahua (M) and Michoacán, Estado de México, Chihuahua, Nuevo León, Jalisco and Chihuahua (D).

Key words: MaxEnt, probability of occurrence, temperature, precipitation, type of pest, mensuration variables.

Introduction

Of the great diversity of types of vegetation that exists in Mexico, temperate forests occupy 12 % of the national territory (Semarnat, 2009) whose importance lies, in economic terms, to the goods and services they provide (Díaz, 1988).

Mexican forests face fires, excessive logging (Salinas et al., 2010), pests and diseases. The cone and seed borers (Cibrián et al., 1998), the defoliators (Castro, 1981), as well as the genera Neodiprion and Zadiprion (González et al., 2014) stand out; the mistletoes that have caused annual losses by more than two million cubic meters of wood (Vázquez et al., 2006) and the bark beetles, mainly of the Dendroctonus genus, of which there are 13 species (Armendáriz and Zúñiga, 2017); Dendroctonus frontalis Zimmermann, Dendroctonus mexicanus Hopkins, Dendroctonus adjuntus Blandford and Dendroctonus rhizophagus Thomas & Bright, which are fundamental in the dynamics and natural renewal of forests, stand out for their aggressiveness (Salinas et al., 2010).

From 1990 to 2014, 69 thousand ha were affected in Mexico by borers; 23 thousand ha by defoliators; 383 thousand ha by mistletoe and 474 thousand ha by bark beetles, of which only 60 %, on average, received some control or management practice (Semarnat, 2015), which can be explained by the uncertainty about the potential of forests of being affected by such agents.

In this context, models of potential distribution of species in conjunction with geographic information systems are a tool that helps to synthesize and understand the relationship between species and environmental variables (Pliscoff and Fuentes, 2011). The MaxEnt software (Phillips et al., 2006) has been used for this purpose in recent decades and seeks to find the maximum entropy in which all sites have the same probability of occurring (Palma and Delgadillo, 2014).

The modeling of species distribution has often been carried out with climatic variables (Contreras et al., 2010; Salinas et al., 2010; Palma and Delgadillo, 2014); however, for forest pests, tree forest mensuration must also be considered, since sometimes the presence of a pest is not only dependent on the climate, but also on the structure of the stands (Raffa et al., 2008; Cuellar et al., 2013).

With the intensification of climate change, it is expected that bark beetles will find favorable conditions for their physiology (Raffa et al., 2008) and thus, in their displacement; therefore, it is necessary to generate information to know its potential distribution and its relationship with climatic variables, as well as its preferences in the forest.

Based on all of the above, the objective of this research was to model the potential distribution of cone and seed borers, defoliators, decorticators and mistletoe in coniferous forests in Mexico, using bioclimatic, forest mensuration variables and the MaxEnt algorithm.

Given that generally the field brigades of the Inventario Nacional Forestal y de Suelos (INFyS) (National Forest and Soil Inventory) are not trained for the correct identification of forest pests, and given the scarcity of studies at the species level that could provide information on the national distribution of these agents, in this work It has been modeled at the pest type level. This expands the area of opportunity for further and more specific studies. Thus, it is expected to contribute to the early detection of these organisms and prevent their proliferation, which is basic information for the planning, monitoring, management and conservation of the country's forests.

Materials and Methods

The study area

As areas of study, the pine forest, the pine-oak forest and the oyamel forest (Inegi, 2013) with a buffer of 1 km were selected, which are located mainly in the Sierra Madre Occidental and in the Sierra Madre Oriental, among other mountainous reliefs. In these types of vegetation, the climate is temperate subhumid with average temperatures of 10 to 22 °C; the precipitation varies from 600 to 1 000 mm per year (Conagua, 2012). The altitudinal interval goes from 400 m to 4 000 m.

Forest pest records

The data on forest pests were provided by the National Forestry Commission (National Forestry and Soil Inventory 2009-2014, INFyS). To these data, a purification was applied to verify that they were located within the polygon of study area that corresponds to all the coniferous forests of the country; This was done through the QGIS program (QGIS, 2016) and those that did not comply with this condition were eliminated. There were 4 004 unique records (geographical coordinates) of four types of pest: 316, 546, 1 527 and 1 615, for borers (B), defoliators (d), bark beetles (D) and mistletoe (M), respectively; INFYS information does not specify the pest species observed in the field, so it was decided to organize presence records in the four groups mentioned above. It is further assumed that the group of mistletoe refers to the dwarf mistletoe, since the reference information is reduced only to observations of these organisms.

Variables and distribution models

The bioclimatic variables proposed by Hijmans et al. (2005), which are variants of precipitation and temperature and have an approximate resolution of 1 km2 (http://www.worldclim.org). were used. Additionally, forest mensuration variables were generated (Aba: basimetric area ha-1, Arb: number of trees ha-1, Dnp: average normal diameter ha-1, Nsp: number of species), with INFyS data, which were tabulated and were extrapolated to hectare for subsequent interpolation to the study area, using the Inverse Distance Interpolation (IDW) method, because it was better adjusted to the real data.

Of the bioclimatic and forest mensuration variables, those with a correlation greater than 0.6 were eliminated (Contreras et al., 2010), for which the corselect function of the fuzzySim package (Barbosa, 2015) of the R program (R Core Team, 2017), in order to minimize collinearity in the resulting models (Contreras et al., 2010). The bioclimatic variables selected for the modeling were: average annual temperature (°C), B01; isothermality of temperature, B03; seasonality of temperature, B04; average minimum temperature of the coldest period (°C), B06; average temperature of the wettest annual quarter (°C), B08; average temperature of the warmest annual quarter (°C), B10; annual precipitation (mm), B12; precipitation of the driest period (mm), B14; seasonality of precipitation (mm), B15; precipitation of the warmest annual quarter (mm), B18; precipitation of the coldest annual quarter (mm), B19.

The records and the variables selected for each type of pest were used to generate models of potential distribution in the R program (R Core Team, 2017) with the help of MaxEnt version 3.4.1 (Phillips et al., 2006) and the dismo package. (Hijmans et al., 2016) by R (R Core Team, 2017). To create the distribution models, the presence data of each type of pest was divided into five random groups (k-fold), with which the same number of iterations is made, in each of which a defined group is taken. for verification and the rest of them as model training; the process is repeated according to the number of k-folds (Hijmans et al., 2016).

The AUC statistic (Area Under the Curve) was used to know the accuracy of the models (Elith, 2000) in the prediction of the potential distribution of the types of pest treated in this work. The distribution models were projected into the geographical space and the probability of presence was defined above the minimum threshold of known presence suggested by Pearson et al. (2007).

Bioclimatic profile of forest pests

With MaxEnt, a Jackknife test was carried out that helped identify the most important variables in the test of potential distribution models; of these variables the maximum and minimum values corresponding to the presence records were extracted to generate the bioclimatic profile of each type of pest.

Results and Discussion

Adjustment of potential distribution models

The models generated are considered adequate to predict the distribution of forest pests, by their values of AUC greater than 0.85, which according to Elith (2000), when these are greater than 0.75 are useful for predicting the potential distribution. The highest AUC was for defoliators and the lowest for bark beetles, while the minimum known presence threshold (Pearson et al., 2007) was 0.05 on average for the studied types of pest (Figure 1).

PO = Probability of occurrence; AUC = Area Under the Curve

A = Borers; B = Defoliators; C = Mistletoes; D = Decorticators

Figure 1. Potential distribution of pests that affect the coniferous forests of Mexico.

As for the fit, the AUC value (0.97) calculated by Mendoza et al. (2011) in the distribution of Dendroctonus rhizophagus in the Sierra Madre Occidental is higher than that of this research (0.85), which is mainly due to the specificity of both studies; on this occasion, it has been worked on the genus, while other studies address the level of species, and in so far as it is more localized, the prediction of the models is better (Allouche et al., 2006). Likewise, Salinas et al. (2010) predicted the distribution of 11 species of barkers in Mexico, with support in the BIOCLIM algorithm; however, they do not show the fit of such predictions that allows to formulate a discussion on the adjustment of the model generated for bark beetles in this work, although no information is presented about a particular type of barker.

Potential distribution of forest pests

Borers. The states with the largest area of potential distribution for borers (probability ≥ 0.85) were Chihuahua (23 %), Durango (16.9 %) and Oaxaca (10.2 %) of the 270 402.35 km2 (Figure 1), while in San Pedro Mártir Sierra (Baja California) where Díaz (1988) has described borers of the genus Cydia on Pinus jeffreyi Balf. and P. ponderosa Douglas ex C. Lawson, the model predicts probability of presence up to 0.88. Likewise, Galindo et al. (2011) made the first record of the Megastimus genus which causes significant damage to seeds of Abies religiosa (Kunth) Schltdl. et Cham. and A. hickeli Flous & Gaussen in Cofre de Perote (Veracruz), where the probability of presence of 0.51 is predicted. This suggests that borers may exist in the sites indicated by the model, while the fact that they have not been recorded or described only indicates the deficiency in field studies. Some areas of discontinuous distribution are also observed in the Trans-Mexican Volcanic Axis, as in Chiapas, Coahuila and Nuevo León (Figure 1A).

Defoliators. MaxEnt estimated that there are 315 305.72 km2 in Mexico (Figure 1B) that combine favorable climatic and forest mensuration conditions for the presence of defoliators, where the highest probability occurs in the forests of the center and south of the country (Figure 1B). The largest area is found in Chihuahua (66 367.47 km2) where Castro (1981) registered defoliators of the Neodiprion genus in Pinus arizonica forests Engelm. in Bocoyna municipality, Chihuahua, where the model predicted high probabilities (> 0.90, Figure 1B). Other states with ample favorable zone for defoliators are Durango (51 655.29 km2), Oaxaca (32 351.08 km2) and Chiapas, Guerrero and Michoacán with about 19 801.3 km2, on average, for each one (Figure 1B).

Barking beetles. López et al. (2015) identified barking beetles in Abies religiosa forests in the Monarch Butterfly Biosphere Reserve; like Rodríguez et al. (2013), mention Dendroctonus adjuntus in ejido Los Pescados, Veracruz, where the model predicts 0.68 probability of occurrence, on average, for both zones, although in areas surrounding the last locality it is predicted up to 0.99. Chihuahua and Durango are the states with the broadest potential area for barking beetles of the Dendroctonus genus (20.96 and 16.56 % of the national total) mainly since they have the greatest extension of forests and the highest diversity of species of this genus (Salinas et al., 2010). However, in the Trans-Mexican Volcanic Axis the problem increases (Figure 1D), which could be due to the fact that in this mountainous system a high percentage of Pinus colonized by barking beetles is concentrated (Salinas et al., 2010).

Mistletoe. The highest number of mistletoe records was observed in Durango and Chihuahua (601 and 452), where the largest extension of their potential distribution is verified (65 986.49 and 51 617.97 km2); in contrast, Aguascalientes and Baja California Sur have the lowest potential area, with 27.7 and 161.01 km2 (Figure 2C), mainly due to the limited coniferous forests in these states. 308 539.29 km2 were predicted with the right characteristics for the proliferation of some species of mistletoe. These organisms have been consigned by Ramírez and Porcayo (2010) in the Nevado de Toluca National Park on Pinus hartwegii Lindl. and P. montezumae Lamb. where the maximum probabilities of 0.60 were determined (Figure 1C).

In general, the potential area for each type of pest was greater than 270 thousand km2, the smallest of which corresponds to the borers and the opposite for defoliators (Figure 1). Durango has the largest wooded area under optimal conditions for defoliators, bark beetles and mistletoe, followed by Chihuahua, while for other states such as Nuevo León, Coahuila and Nayarit the highest susceptibility is found for barking beetles, and for borers in forests of Mexico City (Figure 2).

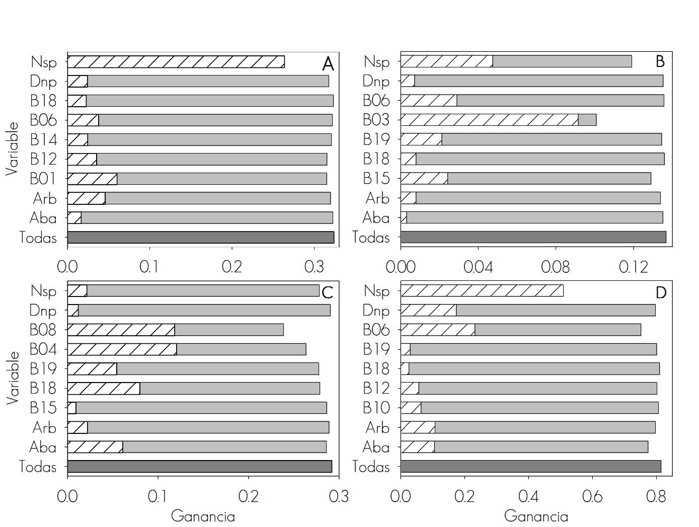
H:\PLAGAS FORESTALES\Version final del documento\jack.JPG

B01 = Annual average temperature (°C); B03 = Isotermality of temperature; B04 = Seasonality of temperature; B06 = Average minimum temperature of the coldest period (°C); B08 = Average temperature of the wettest annual quarter (°C); B10 = Average temperature of the warmest annual quarter (°C); B12 = Annual precipitation (mm); B14 = Precipitation of the driest period (mm); B15 = Seasonality of precipitation (mm); B18 = Precipitation of the warmest annual quarter (mm); B19 = Precipitation of the coldest annual quarter (mm); Aba = Basimetric area ha-1; Arb = Number of trees ha-1; Dnp = Average annual diameter ha-1; Nsp = Number of species.

A = Borers; B = Defoliators; C = Barking beetles; d = Mistletoes

Figure 2. Importance of the variables (Jackknife test) in models of the potential distribution of pests that affect the conifer forest of Mexico.

Given the high risk that their forests are infested, in the states of Oaxaca, Guerrero and Chiapas (for defoliators); Estado de México, Michoacán and Nuevo León (for barking beetles); Chihuahua and Durango (for mistletoe and borers) attention should be focused and the design of monitoring systems for the timely detection of outbreaks of some pest (Figure 1).

Important environmental variables

The environmental variables that did not present a correlation higher than 0.6 were five bioclimatic (variables for each TP) and four of forest mensuration (Figure 3). According to the results of the Jackknife test, those that decrease the gain of the model when they are excluded (light gray bar of Figure 2) are as important as those that provide the greatest gain when modeled individually (white bar of Figure 2); in this sense, the most relevant parameter in the prediction of the distribution of borers, defoliators and mistletoes was the number of species (Nsp), while for barking beetles, it was the basimetric area (Aba) (Figure 2D).

Of the climatic variables, isothermality (B03) was more relevant for the defoliators, the average annual temperature (B01) for borers, and for mistletoe, the average minimum temperature of the coldest period (B06) of the year (Figure 2). In general, those associated with temperature are the most significant for the four types of pest (Figure 2), which may be due to conditions such as evapotranspiration or the severity of drought, which keep the tree under stress and make it vulnerable to attack by insects (Raffa et al., 2008, Del Val and Sáenz, 2017).

Specifically for bark beetles, low temperatures (B08: average temperature of the wettest annual quarter of the year (Figure 2), represent an important element in their distribution, as well as other direct effects on insects, by promoting the mortality of adults and larvae and the alteration of the time required to complete a generation (Raffa et al., 2008), which has an impact on their population dynamics (Bentz et al., 2010). However, due to climate change and the increase in temperature, the limiting relationship to insects could gradually decrease and cause a population explosion (Hernández et al., 2017).

In general, the prospect for temperate forests in Mexico is not very encouraging in the context of pests. On the one hand, bark beetles are positively influenced by rising temperatures (Del Val and Sáenz, 2017), which leads to an increase in the number of generations per year (Bentz et al., 2010); with this, their possibilities of adapting to the new environmental conditions multiply. Trees, on the other hand, do not have the same ability to adjust to the changes implied by the massive presence of insects or those of their environment.

Ecological-climatic profile of forest pests

The contribution percentage of the climatic and forest mensuration variables in the distribution models was not constant for the four types of pest. For borers and mistletoes, the forest mensuration variables contributed more than 50 % to the model, while the climatic variables contributed more than 70 % to the construction of the models for barking beetles and defoliators. According to the Jackknife test, the most important variables (Figure 3) were also those that had the highest contribution percentage in the construction of the models (Table 1).

Gan (2004) indicates that the risk of infestation of Dendroctonus frontalis increases when temperatures range from 8.79 to 14.87 °C, whereas in this investigation the average temperature range is wider for bark beetles (Table 1); this is mainly due to the fact that the Mexican forests are at a lower latitude than the region mentioned by the author, and that this study did not work at the species level.

Mendoza et al. (2011) assert that the average temperature contributed with 30.1 % and precipitation with 10.5 % in the distribution of Dendroctonus rizophagus in the Sierra Madre Occidental, while in this work the same behavior is presented (54.9 % for temperatures and 20.26 % for precipitation). (Table 1), which indicates that the distribution of bark bees is largely governed by temperature (Figure 3D). However, not only the distribution of insects is affected by temperature, but also its population explosion (Raffa et al., 2008), mortality (Bentz et al., 2010) and physiology (Hernández et al., 2017).

According to Cuellar et al. (2012), in the northeast of Mexico, the precipitation and the temperature (average and maximum) monthly do not determine the abundance of Dendroctonus mexicanus, which in turn would show that in some regions, the distribution and abundance of bark beetles are not conditioned to monthly changes in the climate, but to seasonal or even annual variations (Mendoza et al., 2011).

In Mexico, Queijeiro and Cano (2015) observed that the incidence of mistletoe (Arceuthobium vaginatum Humb. & Bonpl. ex Willd. J. Presl. and Arceuthobium globosum Hawksw. & Wiens) is more linked to stochastic processes such as fires or tree felling; however, in this work the information was not handled at the species level nor were variables that represent some type of disturbance included. The analysis indicates that the average minimum temperature of the coldest period (B06) of the year was one of the most important in the model (Figure 2D, Table 1), which is confirmed by the results of Brandt et al. (2005) that mention that low temperatures reduce by 95 % the dispersal ability of dwarf mistletoe seed (Arceathobium americanum Nutt ex Engelm.).

Table 1. Ecological profile with minimum, maximum and contribution percentages of bioclimatic and forest mensuration variables used in distribution models of four types of forest pests in Mexico.

Variable

Borers

Defoliators

Barking beetles

Mistletoes

B01 (°C)

9.5-25.0 (14.3)

-

-

-

B03 (°C)

-

0.4-0.8 (58.2)†

-

-

B04 (Sd) (°C)

-

-

5.1-63.2 (12.4)

-

B06 (°C)

0.0-16.2 (0.5)

0.0-17.5  (1.5)

-

0.0-16.8 (34.5)

B08 (°C)

-

-

3.3-26.2 (42.4)†

-

B10 (°C)

-

-

-

7.9-27.9 (1.1)

B12 (mm)

371.0-2595.0 (5.8)

-

-

19.1-311.3 (1.3)

B14 (mm)

1.0-54.0 (1.2)

-

-

-

B15 (mm)

-

50.0-114.0 (10.1)

48.0-118.0 (3.4)

-

B18 (mm)

94.0-864.0 (0.3)

51.0-908.0 (0.3)

74.0-875.0 (9.5)

50.0-967.0 (0.1)

B19 (mm)

-

14.0-278.0 (1.8)

17.0-370.0 (7.3)

13.0-370.0 (2.0)

Aba (m2 ha-1)

0.2-42.2 (1.2)

0.1-42.2 (1.1)

0.4-65.6 (15.0)

0.1-43.3 (7.7)

Arb (n ha-1)

25.0-1134.2 (4.0)

25.0-1389.5 (1.8)

25.0-1040.0 (2.1)

25.0-1170.0 (3.8)

Dnp (cm)

8.8-86.9 (1.6)

8.0-78.2 (0.6)

9.2-69.4 (0.3)

8.1-76.7 (1.3)

Nsp (n)

1.0-6.9 (66.7)†

1.0-5.9 (24.6)

1.0-7.9 (7.4)

1.0-6.9 (46.8)†

B01= Annual average temperature (° C); B03 = Isotermality of temperature; B04= Seasonality of temperature; B06 = Average minimum temperature of the coldest period (° C); B08 = Average temperature of the wettest annual quarter (° C); B10 = Average temperature of the warmest annual quarter (° C); B12 = Annual precipitation (mm); B14 = Precipitation of the driest period (mm); B15 = Seasonality of precipitation (mm); B18 = Precipitation of the warmest annual quarter (mm); B19 = Precipitation of the coldest annual quarter (mm); Aba = Basimetric area ha-1; Arb = Number of trees ha-1; Dnp = Average annual diameter ha-1; Nsp = Number of species. † = most important variable according to the Jackknife test; Sd = standard deviation; meters;

The contribution percentages are in parentheses.

Forests and forest pests

According to INFyS data, the observation of forest pests in Mexican forests has occurred in sites with less than 15 m2 of basimetric area per hectare (Figure 3 B, F, J, N) and less than three species (Figure 3 D, H, L, O).

H:\PLAGAS FORESTALES\Version final del documento\histo.JPG

A – D = Borers; E – H = Defoliators; I – L = Barking beetles; M – O = Mistletoe

Frecuencia = Frequency; Área basal = Basimetric area; Número de árboles = Number of trees; Diámetro normal = Normal diameter; Número de especies = Number of species

Figure 3. Distribution of pests presence records; with respect to forest mensuration variables.

The homogeneity in structure and age of the forests are determinant for the incidence of bark beetles (Raffa et al., 2008); unfortunately, in this study the variability between sites with this type of pest was not analyzed to corroborate this hypothesis, although with the available data it has been observed that the sites with small diameter categories are preferred by borers and mistletoes (Figure 3 C and Ñ), while defoliators and barking beetles are found in more mature forests (Figure 3 G and K), which could be due to a lower resistance of the trees to be attacked, especially by insects of the second sort.

The high densities of the trees do not seem to be the favorite sites for the types of pest studied here (Figure 3 B, F, J, N), since most of the presence of bark beetles has been observed in sites with densities under 30 m2 ha-1 and 500 individuals (conifers) ha-1 (Figures 3 I and J), as mentioned by Íñiguez (1999) who analyzed the density of trees in healthy and infested sites in Nuevo León and recorded an average density of 455 trees ha-1; concluded that there are no significant differences in the density of both sites. Contrary to the above, Cuellar et al. (2013) established that the higher density of trees increased the risk of attack by bark beetles in the south of the state.

The contradiction with the results found in this work can be explained, mainly, because the INFyS data collection is not done in sites where these beetles exist as pests, since they are a natural element of the forests (Salinas et al., 2010). In the INFyS only the presence or absence of insects is recorded and no data on their demography are specified; therefore, it would be convenient to do studies in places where there is certainty of a massive infestation of forest pests.

The analysis of the data used in this work does not provide information on any species of forest pest in particular, which expands the area of opportunity to develop further studies and which at the same time represents a limitation of this study. However, in the absence of distribution studies on the majority of forest pests and the inclusion of forest parameters, this work offers an approximation of forest areas that should receive more attention from the corresponding entities.

Conclusions

Temperature is the most influential factor in the distribution of defoliators and barking beetles. The largest forest area with optimal climatic and forest mensuration conditions is Chihuahua for borers, which is, comparatively, the smallest; Oaxaca, Guerrero and Chiapas for defoliators which is the broadest territory; Chihuahua and Durango for mistletoes and Chihuahua, Michoacán, Estado de México, Nuevo León and Jalisco states for bark beetles, mainly. Defoliators have the largest optimum surface in Mexican forests, contrary to what happens with borers. The forest mensuration characteristics are an important component of the distribution of forest pests; however, it seems to influence to a greater extent the incidence of borers and mistletoes. It is important to carefully observe the information on the distribution of forest pests expressed in this document, since it does not imply the distribution of a particular species, but of a group of species put together by affinity.

Acknowledgements

The study here described was derived from the project financed by the Fondo Sectorial para la Investigación, el Desarrollo y la Innovación Tecnológica Forestal (Sectoral Fund for Forestry Research, Development and Technological Innovation) (Conafor-2014 registry, C01-234547). Special gratitude to the Comisión Nacional Forestal (National Forest Commission) (Conafor) for providing information about forest pests.

Conflict of interest

The authors declare no conflict of interest.

Contribution by author

Librado Sosa Díaz, Cecilia Guadalupe Ruiz González and Juan Carlos Montoya Jiménez: data collection and analysis, and preparation of the manuscript; Jorge Méndez González: support in statistical analysis and interpretation of results, and review of the manuscript; Mario Alberto García Aranda, Víctor Hugo Cambrón Sandoval, José Ángel Villarreal Quintanilla: review of the manuscript.

References

Allouche, O., A. Tsoar and R. Kadmon. 2006. Assessing the accuracy of species distribution models: prevalence, kappa and the true skill statistic (TSS). Journal of Applied Ecology 43(6): 1223-1232.

Armendáriz, T. and G. Zúñiga. 2017. Illustrated key to species of genus Dendroctonus (Coleoptera: Curculionidae) occurring in Mexico and Central America. Journal of Insect Science 17(2): 1–15.

Barbosa, A. M. 2015. fuzzySim: applying fuzzy logic to binary similarity indices in ecology. Methods in Ecology and Evolution 6: 853-858.

Bentz, B. J., J. Régnière, C. J. Fettig, E. M. Hansen, J. L. Hayes, J. A. Hicke, R. G. Kelsey, J. F. Negrón and S. J. Seybold. 2010. Climate change and bark beetles of the western Unites States and Canada: direct and indirect effects. BioScience 60(8): 602-613.

Brandt, J. P., Y. Hiratsuka and D. J. Pluth. 2005. Germination; penetration and infection by Arceuthobium americanum on Pinus banksiana. Canadian Journal of Forest Research 35(8): 1914-1930.

Cibrián T., D., A. Lagunes T., H. Bravo M., J. L. Carrillo-Sánchez, C. Sosa M. y J. Vera G. 1998. Control de insectos de conos y semillas de árboles forestales. Revista Chapingo. Serie: Ciencias Forestales y del Ambiente 4(2): 285-296.

Castro, J. 1981. Contribución al estudio de la biología del defoliador de pino Neodiprionfulviceps (Cresson) complex (Hymenoptera: Diprionidae) en el estado de Chihuahua. Revista Ciencia Forestal 30(6): 43-51.

Comisión Nacional del Agua (Conagua). 2012. Clima en México. http://smn1.conagua.gob.mx/index.php?option=com_content&view=article&id=103& (25 de octubre de 2016).

Contreras, R., I. Luna y C. A. Ríos. 2010. Distribución de Taxus globosa (Taxaceae) en México: modelos ecológicos de nicho; efectos del cambio del uso de suelo y conservación. Revista Chilena de Historia Natural 83: 421-433.

Cuellar R., G., A. Equihua, E. Estrada, T. Méndez, J. Villa y J. Romero. 2012. Fluctuación poblacional de Dendroctonus mexicanus Hopkins (Coleoptera: Curculionidae: Scolytinae) atraídos a trampas en el noreste de México y su correlación con variables climáticas. Boletín del Museo de Entomología de la Universidad del Valle 13(2): 12-19.

Cuéllar R., G., A. Equihua M., J. Villa C., E. G. Estrada V., T. Méndez M. y J. Romero N. 2013. Análisis espacio-temporal de los bosques de Pinus cembroides Zucc. atacados por Dendroctonus mexicanus Hopkins. Revista Mexicana de Ciencias Forestales 4(17): 42-49.

Del Val, E. y R. Sáenz 2017. Insectos descortezadores (Coleoptera: Curculionidae) y cambio climático: problemática actual y perspectivas en los bosques templados. TIP Revista Especializada en Ciencias Químico-Biológicas 20(2): 53-60.

Díaz O., B. E. 1988. Biología del barrenador de semillas de coníferas Cydia miscitata Heinrich en la Sierra de San Pedro Mártir, Baja California. Revista Ciencia Forestal 13(63): 15-27.

Elith, J. 2000. Quantitative methods for modeling species habitat: comparative performance and an application to Australian plants. In: Ferson, S. and M. A. Burgman (eds.). Quantitative methods in. Conservation Biology. Springer-Verlag. New York, NY USA. pp. 39–58.

Galindo G., J., L. R. Sánchez V. and C. R. Montiel. 2011. First report of Megatimus sp. (Hymenoptera: Torymidae) damaging Abies spp. (Pinales: Pinaceae) seeds in Veracruz, Mexico. Entomological News 122(1): 79-84.

Gan, J. 2004. Risk and damage of southern pine beetle outbreaks under global climate change. Forest Ecology and Management 191: 61-71.

González G., E., F. Bonilla T., S. Quiñones B., G. Sánchez M., F. Tafoya R., M. P. España L., J. Lozano G. y S. Robles U. 2014. Guía para la identificación de moscas sierra de la familia Diprionidae presentes en el centro norte de México. INIFAP. Centro de Investigación Regional Norte Centro Campo Experimental Pabellón. Pabellón de Arteaga, Ags., México. 36 p.

Hernández M., G., J. C. Soto C., V. H. Cambrón S. y I. Avilés C. 2017. Explosión de la abundancia de descortezadores, un acontecimiento adelantado a la primavera en el bosque de pino en Hidalgo. Entomología Forestal 4: 425-530.

Hijmans, R. J., S. E. Cameron, J. L. Parra, P. G. Jones and A. Jarvis. 2005. Very high resolution interpolated climate surfaces for global land areas. International Journal of Climatology 25: 1965-1978.

Hijmans, R. J., S. Phillips, J. Leathwick and J. Elith. 2016. Package dismo: Species Distribution Modeling. R package version 1.1-1. https://CRAN.R-project.org/package=dismo (18 de abril de 2016).

Instituto Nacional de Estadística Geografía e Informática (INEGI). 2013. Conjunto de datos vectoriales de uso de suelo y vegetación Serie V. Datos vectoriales. Escala: 1:250.000. Aguascalientes, Ags., México (15 de mayo de 2016).

Iñiguez, H. G. 1999. Sistema de clasificación de riesgo para Dendroctonus frontalis y D. mexicanus en “El Manzano” en Villa de Santiago, Nuevo León, México. Tesis de Maestría. Universidad Autónoma de Nuevo León. Facultad de Ciencias Forestales. Linares, N.L., México. 77 p.

López G., V., V. J. Arriola P. y R. Pérez M. 2015. Daños por factores abióticos y bióticos en bosques de oyamel (Abies religiosa (Kunth) Schltdl. et Cham.) de la Reserva de la Biósfera Mariposa Monarca. Revista Mexicana de Ciencias Forestales 6(29): 56-73.

Mendoza, Ma. G., Y. Salinas M., A. Olivo M. and G. Zúñiga. 2011. Factors influencing the geographical distribution of Dendroctonus rhizophagus (Coleoptera: Curculionidae: Scolytinae) in the Sierra Madre Occidental, México. Environmental Entomology 40(3): 549-559.

Palma O., S. y J. Delgadillo R. 2014. Distribución potencial de ocho especies exóticas de carácter invasor en el estado de Baja California; México. Botanical Sciences 92(4): 587-597.

Pearson, R. G., C. J. Raxworthy, M. Nakamura and A. Townsend. 2007. Predicting species distributions from small numbers of occurrence records: a test case using cryptic geckos in Madagascar. Journal of Biogeography 34: 102-117.

Phillips, S. J., R. P. Anderson and R. E. Schapire. 2006. Maximum entropy modeling of species geographic distributions. Ecological Modelling 190: 231-259.

Pliscoff, P. y T. Fuentes. 2011. Modelación de la distribución de especies y ecosistemas en el tiempo y en el espacio: una revisión de las nuevas herramientas y enfoques disponibles. Revista de Geografía de Norte Grande 48: 61-79.

Quantum Geographic Information System (QGIS). 2016. Open Source Geospatial Foundation Project. QGIS Development Team. Version 2.16. https://qgis.org                 (15 de enero de 2016).

Queijeiro B., M. E. y Z. Cano S. 2015. Dinámica temporal de la infestación por muérdago enano (Arceuthobium globosum y A. vaginatum) en Zoquiapan (Parque Nacional Iztaccíhuatl Popocatépetl); México. CienciaUAT9 (2): 06-14.

Raffa, K. F., B. H. Aukema, B. J. Bentz, A. L. Carroll, J. A. Hicke, M. G. Turner and W. H. Romme. 2008. Cross-scale drivers of natural disturbances prone to anthropogenic amplification: the dynamics of bark beetle eruptions. BioScience 58(6): 501-517.

R Core Team. 2017. R: a language and environment for statistical computing. R Foundation for Statistical Computing, Vienna, Austria. https://www.R-project.org/ (15 de febrero de 2016).

Ramírez D., J. F. y E. Porcayo C. 2010. Estudio comparativo de la distribución espacial del muérdago enano (Arceuthobium sp.) en la ladera norte del Parque Nacional Nevado de Toluca; México. Bosque 31(1): 28-38.

Rodríguez, A., A. Equihua, J. Cibrián, E. G. Estrada, J. T. Méndez, J. Castillo y R. M. Barrón. 2013. Fluctuación de Dendroctonus adjunctus (Coleoptera: Curculionidae: Scolytinae) y sus depredadores atraídos por Frontalina + Alfa-Pineno; en Los Pescados, Veracruz, México. Revista Chilena de Entomología 38: 41-50.

Salinas M., Y., C. F. Vargas, G. Zúñiga, J. V. Ager y J. L. Hayes. 2010. Atlas de distribución geográfica de los descortezadores del género Dendroctonus (Curculionidae: Scolytinae) en México. Instituto Politécnico Nacional. Comisión Nacional Forestal. Zapopan; Jal., México. 90 p.

Secretaría de Medio Ambiente y Recursos Naturales (Semarnat). 2009. Inventario nacional forestal y de suelos 2004-2009; una herramienta que da certeza a la planeación; evaluación y desarrollo forestal de México. Guadalajara, Jal., México. 22 p.

Secretaría de Medio Ambiente y Recursos Naturales (Semarnat). 2015. Sistema Nacional de Información Ambiental y de Recursos Naturales - SNIARN. Comisión Nacional Forestal; Gerencia de Sanidad Forestal. http://www.semarnat.gob.mx/temas/estadisticas-ambientales/badesniar?De=SNIARN(15 de octubre de 2016).

Vázquez C., I., A. Villa R. y S. Madrigal H. 2006. Los muérdagos (Loranthaceae) en Michoacán. Libro Técnico Núm. 2. Inifap. División Forestal. Uruapan, Mich., México. 93 p.

All the texts published by Revista Mexicana de Ciencias Forestaleswith no exception– are distributed under a Creative Commons License Attribution-NonCommercial 4.0 International (CC BY-NC 4.0), which allows third parties to use the publication as long as the work’s authorship and its first publication in this journal are mentioned.