Revista Mexicana de Ciencias Forestales Vol. 9 (47)

Mayo-Junio (2018)

DOI: https://doi.org/10.29298/rmcf.v9i47.158

Artículo

Carbono orgánico y nitrógeno total en suelos forestales de México mediante espectroscopia VIS-NIR

Organic carbon and total nitrogen in Mexican forest soils through VIS-NIR spectroscopy

Berenice Esquivel-Valenzuela1, José Antonio Cueto-Wong2*, Carlos Omar Cruz-Gaistardo3, Armando Guerrero-Peña4, Aarón Jarquín-Sánchez5, David Burgos-Córdova2

Fecha de recepción/Reception date: 13 de diciembre de 2017

Fecha de aceptación/Acceptance date: 15 de abril de 2018

_______________________________

1Unidad Regional Universitaria de Zonas Áridas, Universidad Autónoma Chapingo. México.

2Campo Experimental La Laguna, Instituto Nacional de Investigaciones Forestales, Agrícolas y Pecuarias. México.

3Instituto Nacional de Estadística y Geografía. México.

4Colegio de Postgraduados Campus Tabasco. México.

5Colegio de la Frontera Sur Unidad Villahermosa. México.

*Autor por correspondencia; correo-e: cueto.jose@inifap.gob.mx.

Abstract

The sustainable use of the soil resource, as well as the correct decision making regarding its management depends on the knowledge of its properties. Conventional soil analysis methods are laborious, costly and generate large amounts of chemical waste. Due to the need for methods that allow a rapid, reliable analysis of soil properties, the objective of this work was to develop a prediction model for the content of organic carbon (OC) and total nitrogen (TN) in the soil through Visible and Near Infrared regions (VIS-NIR) spectroscopy. The conventional analysis of TC and TN of 599 forest soils from different regions of Mexico was carried out by dry combustion, and the content of inorganic carbon (IC) was determined by Bernard's calcimeter method. The prediction models were developed in a FOSS NIR System 6500. The models generated in the calibration process presented R2 values of 0.93 and 0.88 for OC and TN, respectively. The values of the relationship between the standard error of prediction and the standard deviation of the samples (RPD, for its acronym in English) for both properties were higher than 2. In the case of the validation process, the values of R2 were higher than 0.9, and the RPD was also above 2 in both properties. The results of this study show that VIS-NIR spectroscopy is an alternative technique to the conventional analysis methods of organic carbon and total nitrogen of the soil.

Key words: Absorbance, spectral analysis, prediction models, chemometrics, reflectance, forest soils.

Resumen

La sostenibilidad del uso del recurso suelo y la correcta toma de decisiones sobre su manejo depende del conocimiento de las propiedades del mismo. Los métodos de análisis de suelo convencionales son laboriosos, con alto costo y generan gran cantidad de residuos químicos. Debido a la necesidad de tener métodos que permitan el rápido y confiable análisis de sus propiedades, el objetivo de este trabajo fue desarrollar un modelo de predicción para el contenido de carbono orgánico (CO) y nitrógeno total (NT), mediante espectroscopia en las regiones Visible e Infrarrojo Cercano (VIS-NIR). Se llevó a cabo el análisis convencional de carbono total (CT) y NT por combustión seca y del carbono inorgánico (CI) por el método del calcímetro de Bernard, de 599 muestras de suelos forestales de diversas regiones de México. Las ecuaciones de predicción fueron desarrolladas en un equipo FOSS NIR System 6500. Los modelos generados en el proceso de calibración presentaron valores de R2 = 0.93 y 0.88 para CO y NT, respectivamente. La relación entre el error estándar de predicción y la desviación estándar de las muestras (RPD, por sus siglas en inglés) para ambas propiedades fueron superiores a 2. En el proceso de validación, los valores de R2 fueron mayores a 0.9 y RPD a 2, en ambas propiedades. Los resultados muestran que la espectroscopia VIS-NIR es una técnica alternativa a los métodos de análisis convencionales de carbono orgánico y nitrógeno total del suelo.

Palabras clave: Absorbancia, análisis espectral, modelos de predicción, quimiometría, reflectancia, suelos forestales.

Introducción

La sostenibilidad de la producción agrícola, forestal, de ganadería extensiva y del ambiente, en general, está ampliamente relacionada con el manejo y conservación del suelo. Dicha sostenibilidad solo puede alcanzarse a partir del conocimiento científico y técnico de este recurso (FAO, 2006). El suelo es de vital importancia para la vida, debido entre otras razones, al rol que juega en el ciclo de algunos elementos (Maestre et al., 2008). El conocimiento de sus características físicas, químicas y biológicas, se considera fundamental para la toma de mejores decisiones sobre el manejo del mismo.

Las propiedades del suelo, generalmente, son determinadas mediante métodos de laboratorio, por química húmeda o seca, los cuales en la mayoría de los casos son laboriosos, tardados y costosos (Ge et al., 2011); además de, generar residuos químicos que, de no manejarse en forma adecuada, pueden causar contaminación ambiental (Zornoza et al., 2008). Aunado a lo anterior, algunas características químicas del suelo tienen un ciclo muy dinámico y una gran variabilidad espacial. Esto dificulta y encarece la obtención de información confiable, lo cual hace indispensable el análisis de grandes cantidades de muestras para lograr un buen conocimiento del comportamiento de dichas propiedades (Plant, 2001).

Por lo anterior, existe una necesidad a nivel mundial de desarrollar métodos rápidos, económicos, precisos y confiables para analizar las propiedades edáficas (Shepherd y Walsh, 2007).

En las últimas décadas se han desarrollado muchas aplicaciones de la espectroscopia infrarroja, tanto en ciencias agrícolas como en las ambientales, debido a que son muy sensibles en la detección de constituyentes orgánicos e inorgánicos del suelo. Esto se basa en la relación existente entre vibraciones moleculares fundamentales intensas con los constituyentes del suelo en la región del infrarrojo medio (2 500 a 25 000 nm). Simultáneamente, en el infrarrojo cercano (700 a 2 500 nm) se generan sobretonos y combinaciones de esas vibraciones fundamentales, por el alargamiento y flexión de enlaces N-H, C-H y O-H, además de transiciones electrónicas en la región visible (400 a 700 nm) del espectro electromagnético (Viscarra et al., 2006).

En particular, la espectroscopia en el infrarrojo cercano (NIR, por sus siglas en inglés) es un método que permite cuantificar, de manera indirecta, algunas propiedades del suelo con base en la interacción de la materia con un haz de luz incidente, en el que una porción de fotones es absorbida (absorbancia) y el resto reflejada (reflectancia) (Pérez et al., 2014). También se ha registrado absorción de radiación en la región del infrarrojo por varios grupos funcionales, tales como C-H, N-H, S-H, C=O y O-H, presentes principalmente en moléculas orgánicas (Viscarra et al., 2006).

La tecnología VIS-NIR tiene numerosas ventajas frente a los análisis convencionales: es rápida, eficaz, no destructiva, de bajo costo, requiere tiempo mínimo de análisis por muestra, es sencilla y puede ser un complemento ideal, o incluso sustituir a los métodos clásicos, una vez que se desarrollan calibraciones robustas (Terhoeven et al., 2008; Xie et al., 2012), además posee la capacidad de predecir diversas propiedades a partir de un solo espectro.

En el campo de la agronomía, la espectroscopia NIR o VIS-NIR abarca diversos campos. Uno de ellos es la determinación de propiedades del suelo, como el contenido de nitrógeno (Jarquín et al., 2011), carbono y nitrógeno totales (Fuentes et al., 2012), materia orgánica (Rodríguez et al., 2015), porcentaje de arena, limo y arcilla, (Macías et al., 2015), respiración basal (Maestre et al., 2008), 13C (Fuentes et al., 2009) y clasificación de suelos (Bastidas y Carbonell, 2010). Esta tecnología también se usa para la detección indirecta de enfermedades en plantas (Pérez et al., 2014), así como para la evaluación de la calidad de algunos forrajes (Valenciaga y Oliveira, 2006).

En México, la técnica VIS-NIR ha sido poco aplicada en análisis de suelos forestales, debido, en gran parte, a la dificultad que se tiene para disponer de una cantidad considerable de muestras para realizar las calibraciones correspondientes. Lo anterior es, particularmente, difícil en un país como México, el cual se caracteriza por su gran diversidad natural de suelos, climas, tipos de vegetación, así como de las formas en que los ecosistemas se han manejado a través del tiempo. Por ejemplo, de acuerdo con INEGI (2007), en el país existen 26 de los 32 grupos de suelo reconocidos por el Sistema Internacional Base Referencial Mundial del Recurso Suelo (IUSS, 2007). Por ello, se requiere el desarrollo de métodos que permitan estimar con buena precisión la variabilidad espacial de las propiedades físicas y químicas de grandes cantidades de muestras en un tiempo reducido, a bajo costo y con el menor impacto ambiental posible.

El objetivo de este trabajo fue crear un modelo de predicción para el contenido de carbono orgánico y nitrógeno total en muestras de suelos forestales de México, mediante espectroscopia en la región espectral VIS-NIR.

Materiales y Métodos

La presente investigación se llevó a cabo entre 2015 y 2016 en el laboratorio de suelos del Campo Experimental La Laguna, dependiente del Centro de Investigación Regional Norte Centro del Instituto Nacional de Investigaciones Forestales, Agrícolas y Pecuarias, ubicado en Matamoros, Coahuila, México.

Muestras

Se analizaron 599 muestras de suelos forestales del Inventario Nacional Forestal y de Suelos 2014 de la Comisión Nacional Forestal (Conafor), procedentes de diversas regiones de México (Figura 1). Las muestras fueron secadas a temperatura ambiente, posteriormente se molieron y tamizaron en mallas de 2 y 0.5 mm de abertura para obtener fracciones fina (utilizada en los análisis convencionales) y gruesa (para la captura de espectros en VIS-NIR), respectivamente. A continuación, se almacenaron, a temperatura ambiente, en botes de plástico cerrados herméticamente.

Figura 1. Ubicación de los puntos de muestreo.

Análisis convencionales

Las muestras se analizaron por métodos convencionales a partir de la fracción fina del suelo. Los valores de carbono total (CT) y nitrógeno total (NT) se obtuvieron por el método Dumas en un Analizador Elemental Total Flash 2000 (Thermo Scientific). Se pesaron entre 20 y 50 mg de suelo con una balanza analítica OAHUS PA224C, previamente secado a temperatura ambiente y tamizado a 150 μm. Las muestras se calcinaron en el analizador elemental Thermo Scientific Flash 2000 a 950 °C usando oxígeno como agente oxidante (AOAC, 2005). El carbono inorgánico (CI) se calculó con base en la determinación de carbonatos totales, por el método del calcímetro de Bernard, el cual mide el volumen de CO2 que desprende la muestra al reaccionar en presencia de HCl (Gaucher, 1971). El contenido de carbono orgánico (CO) se determinó por diferencia del carbono total menos el carbono inorgánico del análisis de los carbonatos totales.

Desarrollo del modelo NIR

Consistió de cuatro etapas básicas: análisis de todas las muestras por los métodos convencionales, obtención del espectro de cada una, calibración de las ecuaciones de regresión y validación del modelo (Macías et al., 2015). Para la realización del modelo VIS-NIR se utilizó un equipo NIR Feed and Forage 6500 (FOSS). Previo a la captura de los espectros, se corrieron las pruebas de desempeño para asegurar que el equipo funcionara correctamente. La reflectancia medida fue un promedio de 32 escaneos por muestra en un intervalo de longitud de onda de 400 a 2 500 nm (región visible y región infrarrojo cercano) con 2 nm entre puntos de datos colectados, para un total de 1 050 puntos espectrales.

Calibración. Se utilizaron 448 muestras, seleccionadas mediante un análisis discriminante basado en distancias de Mahalanobis (H), que permite reducir el número de bandas espectrales por medio del análisis de componentes principales (PCA, por sus siglas en inglés). A partir de lo anterior, se determinan las variables que representan gran parte de la variabilidad de las bandas iniciales, y los valores extremos son aquellos con una distancia mayor de 3. Este procedimiento es útil para la identificación y eliminación de datos sesgados (outliers), los cuales, al incorporarlos al modelo reducen la confiabilidad del mismo (Pell, 2000). Los análisis antes mencionados han sido muy utilizados en el manejo de respuesta espectral de suelos (Guerrero et al., 2010; Gogé et al., 2012).

La ecuación de calibración se obtuvo con el software winISI v4.20 (Infrasoft International, 2010) mediante regresión de mínimos cuadrados modificados (MPLS, por sus siglas en inglés) entre los resultados de los métodos convencionales y los datos espectrales generados en la región comprendida entre 400 y 2 500 nm. Previamente, se aplicaron los siguientes tratamientos matemáticos: SNV (Standard Normal Variate) and Detrend para la corrección de problemas de dispersión y tamaño de partícula; así como ajustes de la línea base y de tendencia de los datos, respectivamente, y en arreglo 2,4,4,1; en el cual el primer número indica la derivada aplicada para mejorar la resolución espectral; el segundo el intervalo entre el cálculo de derivadas, el tercero es la longitud del segmento por ser suavizado con el propósito de minimizar el ruido espectral, y el cuarto número señala que el segundo suavizado no se utilizó.

Validación. La validación del modelo de predicción se llevó a cabo con 46 muestras del total recibidas, las cuales no se incluyeron en el proceso de calibración. Estas se usaron para determinar la exactitud y precisión del modelo desarrollado para predecir los diferentes parámetros de interés, mediante una comparación entre los valores predichos y los calculados con los métodos tradicionales. La captura de espectros se hizo con el software ISIscan v3.1 (Infrasoft International, 2010) con los mismos parámetros usados en el proceso de calibración, mientras que las operaciones quimiométricas se realizaron con el software winISI v4.20 (Infrasoft International, 2010).

La exactitud del modelo se evaluó con base en el coeficiente de determinación (R2) y la relación entre el error estándar de predicción y la desviación estándar de las muestras (RPD) (Minasny y McBratney, 2013). Un valor de R2 de 0.66 a 0.81 corresponde a un buen modelo, una R2 entre 0.82 y 0.90 revela buena predicción, mientras que una superior a 0.91 se considera excelente (Williams, 2003). En el caso de los valores de RPD, los criterios utilizados en este trabajo fueron los desarrollados por Chang et al. (2001), quienes definen tres categorías: A= RPD> 2.0: bueno; B= 1.4≤ RPD ≤ 2.0: aceptable; y C: RPD <1.4: no fiable.

Resultados

Los valores predichos por el modelo desarrollado VIS-NIR, para CO oscilaron de 0.02 % a 18.29 %, con una media de 5.45 % (Cuadro 1). Los de NT entre 0.002 % y 1.445 %, de muy bajo (<0.05 %) a muy alto (>0.25 %) de acuerdo a la NOM-021-SEMARNAT-2000 (Semarnat, 2002). Las muestras con muy alto contenido de NT representaron 73 % y solo 3 %, se clasificaron con muy bajo contenido.

Cuadro 1. Estadística descriptiva de los valores de análisis convencionales y predichos mediante VIS-NIR para CO y NT.

Carbono Orgánico (%)

Nitrógeno Total (%)

Media

Min

Max

DS

Media

Min

Max

DS

Referencia

5.42

0.23

21.02

3.90

0.48

0.005

2.004

0.38

VIS-NIR

5.45

0.02

18.29

3.48

0.46

0.002

1.445

0.29

DS = Desviación estándar

Los espectros generados en la región VIS-NIR se presentan en la Figura 2. En la región VIS, se observan picos entre los 450 y 600 nm, los cuales se relacionan, en parte, con el contenido de CO del suelo (Viscarra et al., 2006). Para el intervalo NIR, los espectros presentaron picos de absorbancia más altos, aproximadamente 1 400, 1 900 y 2 200 nm. En la banda de 1 400 nm se localizan las moléculas O-H y C-H alifático, a 1 900 nm el N-H de la amida y el O-H, mientras que la banda a 2 200 nm se asocia generalmente con O-H fenólico, N-H amina, y el grupo alifático C-H (Cozzolino y Morón, 2003).

E:\espectro 2.bmp

Figura 2. Espectros de los suelos analizados.

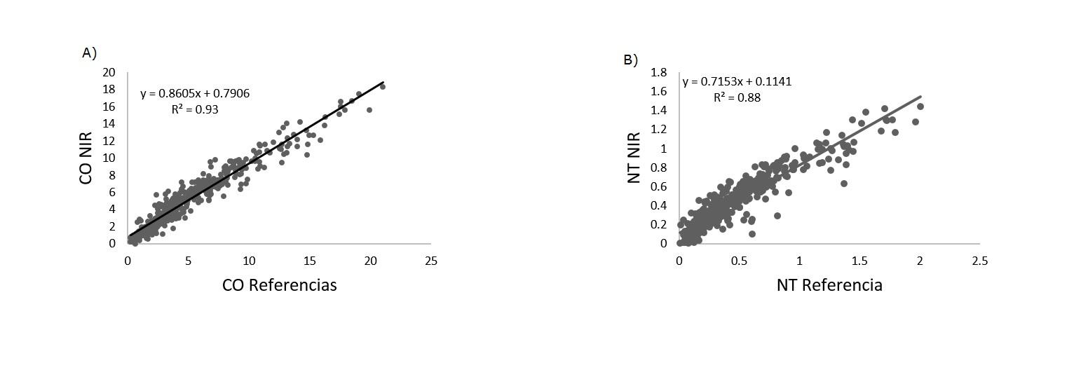
Los valores de R2, para los modelos de calibración fueron de 0.93 para CO y 0.88 para NT (Figura 3). En el caso del RPD, fueron de 2.69 para CO y 2.05 para NT, por lo cual los modelos se clasifican con buena capacidad de predicción, dentro de la categoría A, definida por Chang et al. (2001).

En la validación, los valores de R2 para CO y NT fueron de 0.92 y 0.91, respectivamente y los de RPD en ambos resultaron mayores a 2.

Figura 3. Relaciones entre los resultados de los métodos convencionales (referencia) y los predichos con el modelo VIS-NIR en el proceso de calibración del parámetro A) carbono orgánico y B) nitrógeno total.

Discusión

Actualmente, en el mundo existen 3 999 millones de hectáreas de bosque (30.6 %) (MacDicken et al., 2016), cuyo carbono (C) se estima en 861 Pg (1 Pg=1 × 1 015 g), de los cuales, 383 Pg se encuentran en el suelo (44 %) (Pan et al., 2011). Por otra parte, el N edáfico provee de fertilidad al suelo, lo que permite el desarrollo de las áreas forestales que, a su vez, brindan diversos servicios ambientales a la sociedad (Ruiz et al., 2007).

Mientras que el desarrollo de modelos de predicción NIR para el CO se han enfocado en áreas forestales, debido a la importancia del proceso de secuestro de carbono, varios estudios sobre el contenido de NT se han llevado a cabo en áreas agrícolas (Wetterlind et al., 2008; Zhang et al., 2016), por la importancia de este elemento en el crecimiento y desarrollo de los cultivos, con el objetivo de desarrollar metodologías optimas de fertilización.

Los modelos generados en este estudio mostraron un alto nivel de correlación y una buena capacidad de predicción. En el caso del CO, el más robusto tuvo una R2 mayor 0.9 y un RPD superior a 2, que coinciden con lo citado previamente (McCarty et al., 2002; Sarkhot et al., 2011; Kodaira y Shibusawa, 2013). El promedio de R2 de varios modelos de CO mediante NIR, según un estudio realizado por Viscarra et al. (2006) fue de 0.81.

Los modelos para NT también han presentado buenos ajustes (Reeves y McCarty, 2001). Los intervalos de R2 para NT variaron entre 0.68 y 0.98 (Nduwamungu et al., 2009).

En la Figura 3, se observa como el CO, que expresó un mejor ajuste en comparación con el NT, presenta una menor dispersión de los datos. Lo anterior puede deberse a los bajos valores de NT en el suelo, ya que, si bien, en la región NIR la radiación es absorbida por enlaces químicos como C-H, N-H, S-H, C = O y O-H de cualquier compuesto químico existente en la muestra, dicha radiación se absorbe de acuerdo a la concentración de estos compuestos (Zornoza et al., 2008), y como se muestra en el Cuadro 1, los valores de NT son muy bajos en comparación con los de CO, con una relación de C:N de 10:1 en los valores de la media, valores máximos de referencia y los predichos por VIS-NIR.

Si bien, el modelo desarrollado para nitrógeno se considera con buena capacidad de predicción, se pueden mejorar las métricas estadísticas mediante la ampliación del número de muestras, así como con la verificación del supuesto de normalidad de los datos, que, a pesar de no ser un requisito indispensable, sí mejora la capacidad de predicción del modelo (Diggle y Ribeiro, 2000).

Las bandas espectrales coinciden con los datos registrados por otros autores (Fidencio et al., 2002; Zhang et al., 2016). Las regiones VIS-NIR mostraron absorción de enlaces O-H (1 400 y 1 900) y C-H (2 200 nm), ambos sobretonos relacionados con la materia orgánica (Salgó et al., 1998), la cual se asocia con los micro y macroelementos existentes en la fracción del suelo, en forma de diversos compuestos (Cozzolino y Morón, 2003).

El grupo de validación independiente presentó también una buena correlación con R2 superiores a 0.9 y RPD mayores a 2, tanto para CO como para NT. Lo anterior sugiere que los modelos desarrollados poseen buena capacidad de predicción (Chang et al., 2001) para las propiedades analizadas.

La concentración de CO y NT en el suelo son propiedades que poseen una amplia base teórica, respecto al desarrollo de modelos de predicción (Barthès et al., 2010; Macías et al., 2015; Terra et al., 2015; Sisouane et al., 2017). Sin embargo, cuando las ecuaciones de calibración han sido desarrolladas, estas deben ser validadas, constantemente, con muestras independientes, pero dentro del intervalo considerado en el modelo inicial. Posteriormente, las muestras validadas pueden agregarse a la base de datos inicial, lo cual permite el desarrollo de nuevos modelos con un intervalo más extenso, y por lo tanto, con mayor capacidad de predicción. Lo anterior merece especial atención en el caso de México, ya que, debido a su amplia variedad de suelos, se requiere de una gran cantidad de muestras para diseñar modelos que puedan aplicarse a nivel nacional.

Conclusiones

Los valores de R2 y RPD, tanto en los procesos de calibración como de validación muestran la alta capacidad de predicción de los modelos VIS-NIR para la concentración de CO y NT en suelos forestales.

La espectroscopia VIS-NIR ha demostrado ser una técnica alternativa a los métodos de análisis de suelo convencionales, posee potencial para obtener de modo rápido y preciso predicciones sobre las propiedades químicas del suelo.

Agradecimientos

Los autores desean expresar su agradecimiento a la Comisión Nacional Forestal por el apoyo brindado respecto a la obtención de las muestras, así como al Instituto Nacional de Investigaciones Forestales, Agrícolas y Pecuarias por las facilidades prestadas para realizar el análisis de las muestras.

Conflicto de intereses

Los autores declaran no tener conflicto de intereses.

Contribución por autor

Berenice Esquivel Valenzuela: elaboración del manuscrito en lo referente a resumen, abstract, introducción, resultados, discusión y conclusiones; José Antonio Cueto Wong: elaboración del manuscrito en lo referente a materiales y métodos, resultados, discusión, revisión general y correcciones; Carlos Omar Cruz Gaistardo: trabajo de campo, manejo y preparación de muestras; Armando Guerrero Peña: revisión y sugerencias de redacción y estilo del manuscrito en lo referente a resumen, introducción y materiales y métodos; Aarón Jarquín Sánchez: revisión y sugerencias de redacción y estilo del manuscrito en lo referente a resultados, discusión y conclusiones; David Burgos Córdova: trabajo de laboratorio, apoyo en la redacción de materiales y métodos.

Referencias

Association of Official Agricultural Chemists (AOAC). 2005. Official Methods of Analysis. Dumas method (990.03). 15th edition. AOAC International. Washington DC, USA. 771 p.

Barthès, B. G., D. Brunet, A. Brauman, N. Fromin, R. Lensi, A. Volant, J. P. Laclau, D. Blavet and L. Chapuis-Lardy. 2010. Determination of potential denitrification in a range of tropical topsoils using near infrared reflectance spectroscopy (NIRS). Applied soil ecology 46(1): 81-89.

Bastidas, O. E. y J. A. Carbonell. 2010. Caracterización espectral y mineralógica de los suelos del valle del río Cauca por espectroscopía visible e infrarroja (400 - 2.500 nm). Agronomía Colombiana 28: 291-301.

Chang, C. W., D. Laird, M. J. Mausbach and C. R. Hurburgh. 2001. Near-infrared reflectance spectroscopy-Principal components regression analyses of soil properties. Soil Science Society of America Journal 65: 480-490.

Cozzolino, D. and A. Morón. 2003. The potential of near-infrared reflectance spectroscopy to analyse soil chemical and physical characteristics. Journal of Agricultural Science 140: 65–71.

Diggle, P. and J. Ribeiro. 2000. Model Based Geostatistics. 1ed. Associação Brasileira de Estatística. São Paulo, Brasil. 129 p.

Fidencio, P. H., R. J. Poppi, J. C. De Andradre and H. Cantarella. 2002. Determination of organic matter in soil using near infrared spectroscopy and partial least squares regression. Communications in Soil Science and Plant Analysis 33: 1607–1615. 

Food and Agriculture Organization of the United Nations (FAO). 2006. World reference base for soil resources 2006: A framework for international classification, correlation and communication. World soil resources reports 103. http://www.fao.org/3/a-a0510e.pdf (18 de agosto de 2017).

Fuentes, M., I. González M., J. Hernández H., C. Hidalgo, B. Govaerts, J. Etchevers, K.D. Sayre and L. Dendooven. 2009. The natural abundance of 13C with different agricultural management by NIRS with fibre optic probe technology. Talanta 79: 32-37.

Fuentes, M., C. Hidalgo, I. González-Martín, J. M. Hernández-Hierro, B. Govaerts, K. D. Sayre and J. Etchevers. 2012. NIR Spectroscopy: An Alternative for Soil Analysis. Communications in Soil Science and Plant Analysis 43(1-2): 346-356.

Gaucher, G. 1971. Tratado de pedología agrícola. Ed. Omega. Barcelona. España. 647 p.

Ge, Y., C. L. S. Morgan, S. Grunwald, D. J. Brown and D.C. Sarkhot. 2011. Comparison of soil reflectance spectra and calibration models obtained using multiple spectrometers. Geoderma 161:202-211.

Gogé, F., R. Joffre, C. Jolivet, I. Ross and L. Ranjard. 2012. Optimization criteria in sample selection step of local regression for quantitative analysis of large soil NIRS database. Chemometrics and Intelligent Laboratory Systems 110:168-176.

Guerrero, C., R. Zornoza, I. Gómez and J. Mataix-Beneyto. 2010. Spiking of NIR regional models using samples from target sites: Effect of model size on prediction accuracy. Geoderma 158:66-77.

Instituto Nacional de Estadística y Geografía (INEGI). 2007. Conjunto de Datos Vectorial Edafológico, Serie II, escala 1: 250 000. s/p.

International Union of Soil Sciences (IUSS). 2007. Base Referencial Mundial del Recurso Suelo. Primera actualización. Informes sobre Recursos Mundiales de Suelos Núm. 103. FAO.Roma, Italia. 130 p.

Jarquín S., A., S. Salgado G., D. J. Palma L., W. Camacho-Chiu y A. Guerrero P. 2011. Análisis de nitrógeno total en suelos tropicales por espectroscopía de infrarojo cercano (NIRS) y quimiometría. Agrociencia 45(6): 653-662.

Kodaira, M. and S. Shibusawa. 2013. Using a mobile real-time soil visible-near infrared sensor for high resolution soil property mapping. Geoderma 199:64-79.

Infrasoft International. 2010. Windows near-infrared software: ISI Scan and WinISI-4 version 4.2. State College, PA, USA. n/p.

MacDicken, K., Ö. Jonsson, L. Piña, S. Maulo, V. Contessa, Y. Adikari y R. D’Annunzio. 2016. Global forest resources assessment 2015: how are the world's forests changing? Food and Agriculture Organization, Rome, Italy. 253 p.

McCarty, G. W., J. B. Reeves III, V. B. Reeves, R. F. Follett and J. M. Kimble. 2002. Mid-infrared and near-infrared diffuse reflectance spectroscopy for soil carbon measurements. Soil Science Society of America Journal 66: 640 – 646.

Maestre, C. G., R. Z. Belmonte, A. P. Bejarano, J. Mataix-Solera, I. G. Lucas y F. García-Orenes. 2008. Uso de la espectroscopía en el infrarrojo cercano (NIR) para la estimación rápida del carbono orgánico y la respiración basal en suelos forestales. Cuadernos de la Sociedad Española de Ciencias Forestales 25:209-214.

Macías C., M. A., J. A. Cueto W., J. A. Muñoz V. y O. Landeros M. 2015. Predicción de propiedades del suelo de importancia agronómica por espectroscopia de reflectancia de infrarrojo cercano. Revista Mexicana de Ciencias Agrícolas 6(6): 1317-1329.

Minasny, B. and A. McBratney. (2013). Why you don’t need to use RPD. Pedometron 33: 14-15.

Nduwamungu, C., N. Ziadi, L. E. Parent, G. E. Tremblay and L. Thuries. 2009. Opportunities for, and limitations of, near infrared reflectance spectroscopy applications in soil analysis: A review. Canadian Journal of Soil Science 89(5): 531-541.

Secretaría del Medio Ambiente y Recursos Naturales (Semarnat). 2002. NOM-021-SEMARNAT-2000 que establece las especificaciones de fertilidad, salinidad y clasificación de suelos. Estudios, muestreo y análisis. Diario Oficial de la Federación. 31 de diciembre de 2002. México, D.F., México. 85 p.

Pan, Y., R. A. Birdsey, J. Fang, R. Houghton, P. E. Kauppi, W. A. Kurz, O. L. Phillips, A. Shvidenko, S. L. Lewis, J. G. Canadell, P. Ciais, R. B. Jackson, S. W. Pacala, A. D. Maguire, S. Piao, A. Rautiainen, S. Sitch and D. Hayes. 2011. A large and persistent carbon sink in the world’s forests. Science 333: 988-993.

Pell, R. J. 2000. Multiple outlier detection for multivariate calibration using robust statistical techniques. Chemometrics and Intelligent Laboratory Systems, 52:87-104.

Pérez N., J. C., J. Soler A., G. Arango P., E. Meneses O. and O. S. Ruiz V. 2014. NIR Spectroscopy as Quick Exploratory Technique for Detection of Chrysanthemum Leaf Yellowing (Dendranthema grandiflora var. Zembla). Revista Facultad Nacional de Agronomía Medellín 67(1): 7163-7168.

Plant, R. 2001. Site-specific management: The application of information technology to crop production. Computers and Electronics in Agriculture 30:9-29.

Reeves III, J. B. and G. W. McCarty. 2001. Quantitative analysis of agricultural soils using near infrared reflectance spectroscopy and fibre-optic probe. Journal of Near Infrared Spectroscopy 9: 25–34.

Rodríguez, C., J., A. W. Cortiza M., C. A. Pereira M., A. Chacón I., S. Gattorno M., O. Rodríguez L., A. Rodríguez U., R. Jiménez C. y P. N. Torres A. 2015. Determinación VIS/NIR del contenido de materia orgánica en suelos agrícolas Pardos mullidos medianamente lavados. Centro Agricola 42(3): 5-12.

Ruiz P., M., C. García F. y J. A. Sayer. 2007. Los servicios ambientales de los bosques. Revista Ecosistemas 16(3):81-90.

Salgó, A., J. Nagy, J. Tarnóy, P. Marth, O. Pálmai and G. Szabó-Kele. 1998. Characterisation of soil by near infrared technique. Journal of Near Infrared Spectroscopy 6: 199–203.

Sarkhot, D. V., S. Grunwald, Y. Ge and C. L. S. Morgan. 2011. Comparison and detection of total and available soil carbon fractions using visible/near infrared diffuse reflectance spectroscopy. Geoderma 164:22-32.

Shepherd, K. and M. Walsh. 2007. Infrared spectroscopy - enabling an evidence-based diagnostic surveillance approach to agricultural and environmental management in developing countries. Journal of Near Infrared Spectroscopy 15:1-19.

Sisouane, M., M. M. Cascant, S. Tahiri, S. Garrigues, M. E. Krati, G. E. K. Boutchich, M.L. Cervera and M. de la Guardia, M. 2017. Prediction of organic carbon and total nitrogen contents in organic wastes and their composts by Infrared spectroscopy and partial least square regression. Talanta 167: 352-358.

Terra, F. S., J. A. Demattê and R. A. Rossel. 2015. Spectral libraries for quantitative analyses of tropical Brazilian soils: Comparing vis–NIR and mid-IR reflectance data. Geoderma 255: 81-93.

Terhoeven U., T., H. Schmidt, R. G. Joergensen and B. Ludwig. 2008. Usefulness of near-infrared spectroscopy to determine biological and chemical soil properties: importance of sample pre-treatment. Soil Biology and Biochemistry 40:1178-1188.

Valenciaga, D. y E. D. Oliveira S. S. 2006. La espectroscopia de reflectancia en el infrarojo cercano (NIRS) y sus potencialidades para la evaluación de forrajes. Revista Cubana de Ciencia Agrícola 40(3):259-267.

Viscarra R., R. A., D. J. Walvoort, A. B. McBratney, L. J. Janik and J. O. Skjemstad. 2006. Visible, near infrared, mid infrared or combined diffuse reflectance spectroscopy for simultaneous assessment of various soil properties. Geoderma 131: 59–75.

Wetterlind, J., B. Stenberg and A. Jonsson. 2008. Near infrared reflectance spectroscopy compared with soil clay and organic matter content for estimating within-field variation in N uptake in cereals. Plant and Soil 302(1-2): 317-327.

Williams, P. 2003. Near-infrared Technology–Getting the Best Out of Light. PDK Grain. Nanaimo, Canada. 132 p.

Xie, X. L., X. Z. Pan and B. Sun. 2012. Visible and near-infrared diffuse reflectance spectroscopy for prediction of soil properties near a copper smelter. Pedosphere 22:351- 366.

Zhang, Y., M. Li, L. Zheng, Y. Zhao and X. Pei. 2016. Soil nitrogen content forecasting based on real-time NIR spectroscopy. Computers and Electronics in Agriculture 124: 29-36.

Zornoza, R., C. Guerrero, J. Mataix-Solera, K. M. Scow, V. Arcenegui and J. Mataix-Beneyto. 2008. Near infrared spectroscopy for determination of various physical, chemical and biochemical properties in Mediterranean soils. Soil Biology and Biochemistry 40:1923- 1930.

        

Todos los textos publicados por la Revista Mexicana de Ciencias Forestalessin excepción– se distribuyen amparados bajo la licencia Creative Commons 4.0 Atribución-No Comercial (CC BY-NC 4.0 Internacional), que permite a terceros utilizar lo publicado siempre que mencionen la autoría del trabajo y a la primera publicación en esta revista.