Revista Mexicana de Ciencias Forestales Vol. 16 (92)

Noviembre - Diciembre (2025)

Logotipo, nombre de la empresa

Descripción generada automáticamente

DOI: https://doi.org/10.29298/rmcf.v16i92.1579

Artículo de imvestigación

 

Comparación de modelos para estimar el diámetro normal de Pinus hartwegii Lindl. con datos LiDAR

Comparison of models to estimate DBH of Pinus hartwegii Lindl. with LiDAR data

 

Fabián Islas-Gutierrez1*, Vidal Guerra-De la Cruz2, Hugo Ramírez-Maldonado3, Enrique Buendía-Rodríguez1, Tomás Pineda Ojeda1, Eulogio Flores-Ayala1.

 

Fecha de recepción/Reception date: 4 de junio de 2025.

Fecha de aceptación/Acceptance date: 13 de agosto de 2025.

_______________________________

1Instituto Nacional de Investigaciones Forestales, Agrícolas y Pecuarias (INIFAP), Campo Experimental Valle de México. México

2Instituto Nacional de Investigaciones Forestales, Agrícolas y Pecuarias (INIFAP), Sitio Experimental Tlaxcala, México.

3Universidad Autónoma de Chapingo, División de Ciencias Forestales. México.

 

*Corresponding author; e-mail: islas.fabian@inifap.gob.mx

*Autor para correspondencia; correo-e: islas.fabian@inifap.gob.mx

 

Resumen

El diámetro de los árboles es una variable fundamental en el manejo forestal. Los sensores LiDAR aerotransportados han demostrado su utilidad en el apoyo de inventarios forestales; sin embargo, con ellos no es posible medir directamente el diámetro de los árboles. Pinus hartwegii es la principal especie arbórea de las partes altas de México, aporta importantes servicios ecosistémicos como la captura de carbono e infiltración del agua de lluvia. El objetivo del presente estudio fue diseñar una ecuación que permita estimar el diámetro normal de árboles individuales de P. hartwegii, a partir de medidas del arbolado obtenidas de datos LiDAR aerotransportados. Sobre un ortomosaico digital se seleccionaron 85 árboles de P. hartwegii que fueran identificables y se registraron sus coordenadas UTM; con estas se localizaron en campo y se les midió el diámetro normal, la altura total, la altura de fuste limpio y el diámetro de copa. Se ubicaron en una nube de puntos LiDAR en la que se midieron las mismas variables que en campo, excepto el diámetro normal. Se evaluaron 29 modelos consignados en la literatura para estimar el diámetro normal y se utilizaron siete variables independientes de los datos LiDAR. El mejor modelo (M27) es una adecuación conocida como Gompertz. Se obtuvo un R2ajd = 0.884, RECM = 6.5 cm. Los resultados de la validación indican que sus estimaciones son acertadas para calcular el diámetro normal en función de la altura total y el diámetro de copa a partir de datos LiDAR.

Palabras clave: Aerotransportado, árboles individuales, LiDAR, Pinus hartwegii Lindl., regresión, sensores remotos.

Abstract

DBH is a fundamental variable in forest management. Airborne LiDAR sensors have demonstrated their usefulness in supporting forest inventories; however, it is not possible to directly measure DBH with them. Pinus hartwegii is the main tree species in the highlands of Mexico, providing important ecosystem services such as carbon sequestration and rainwater infiltration. The objective of this study was to design an equation to estimate the DBH of individual P. hartwegii trees, based on tree measurements obtained from airborne LiDAR data. 85 identifiable P. hartwegii trees were selected on a digital orthomosaic and their UTM coordinates were recorded. With these coordinates they were located in the field and their DBH, total height, height to crown base and crown diameter were measured. They were located in a LiDAR point cloud and the same variables were measured as in the field, except for the DBH. 29 models reported in the literature were evaluated to estimate normal diameter, using 7 independent variables obtained from the LiDAR data. The best model (M27) is an adaptation of the one known in the literature as Gompertz. It obtained an R2adj=0.884, RMSE=6.5 cm. The validation results indicate that its estimates are adequate for calculating the DBH from the total height and crown diameter obtained from LiDAR data.

Key words: Airborne, individual trees, LiDAR, Pinus hartwegii Lindl., regression, remote sensing.

 

 

Introducción

 

 

El diámetro normal es una de las variables dasométricas más utilizadas en inventarios forestales (Fu et al., 2018), no solo para el estudio de árboles individuales, sino de la estructura de los bosques (Hulshof et al., 2015). Entre otras aplicaciones, permite estimar variables como la altura total (Ng'andwe et al., 2019), el diámetro de copa (Ogana, 2019), el volumen (Valverde et al., 2022), así como la biomasa y el carbono en la parte aérea del árbol (Montes de Oca-Cano et al., 2020).

La percepción remota ha demostrado su beneficio en diferentes áreas del conocimiento, tanto para clasificación, como para detección de cambios (Ma et al., 2019). En el sector forestal se ha utilizado en el estudio de la biodiversidad (Wang & Gamon, 2019), como apoyo a los inventarios forestales (Lara-Vásconez & Chamorro-Sevilla, 2018) y, en general, en el manejo forestal (Ancira-Sánchez & Treviño-Garza, 2015). Los sensores pasivos que registran los datos en imágenes multiespectrales han tenido gran aplicación. Sin embargo, en años recientes, los sensores activos como los LiDAR (Light Detection and Ranging) aerotransportados han adquirido relevancia debido a que es posible obtener las alturas de los objetos y, por lo tanto, realizar análisis de los datos en tercera dimensión (Guo et al., 2021; Reutebuch et al., 2005).

La medición del diámetro de copa y la altura de los árboles individuales es factible con datos LiDAR obtenidos en dispositivos aerotransportados (Galvincio & Popescu, 2016; Shiota et al., 2017). En el caso del diámetro normal, no es posible su medición directa (Allouis et al., 2013) pues la copa de los árboles impide el paso de la mayoría de los pulsos láser. No obstante, algunos autores como Bi et al. (2012) y Hall et al. (1989) han sugerido que, si se puede utilizar el diámetro normal para estimar otras características del arbolado; entonces también es posible generar una función inversa que utilice algunas características del arbolado medidas con sensores remotos para estimar el diámetro normal. De esta forma, Hall et al. (1989) han trabajado con la altura total y el área de copa, derivados de fotografías aéreas como variables explicatorias del diámetro normal. Liu et al. (2017) han manejado el área de copa extraída de imágenes procedentes de vehículos aéreos no tripulados.

Los datos LiDAR también se han incorporado en este tipo de investigaciones; Fu et al. (2018) utilizaron la altura y la proyección del área de copa, mientras que Yang et al. (2020) se basaron en la altura, el ancho de copa y el área de copa. Con esa premisa, Islas-Gutiérrez et al. (2023), en un trabajo exploratorio, evaluaron dos modelos lineales y dos de potencia para estimar el diámetro normal de Pinus hartwegii Lindl. a partir de datos LiDAR; sus resultados sugieren profundizar en la búsqueda, a partir de los modelos biométricos registrados en la literatura, de un modelo que tenga mejores ajustes estadísticos.

Pinus hartwegii es la especie arbórea que habita en las zonas más altas del Valle de México, se desarrolla entre 3 000 y los 4 200 msnm; tiene un papel relevante en la provisión de servicios ecosistémicos (Pérez-Suárez et al., 2022), por lo que debe ser protegida con un manejo forestal que asegure su permanencia en el futuro. Como una contribución a ese propósito, el objetivo del presente estudio consistió en cómo identificar una ecuación que permita estimar el diámetro normal de árboles individuales de Pinus hartwegii, a partir de medidas del arbolado obtenidas de datos LiDAR aerotransportados.

 

 

Materiales y Métodos

 

 

Área de estudio

 

 

La investigación se realizó en las áreas forestales de los ejidos Tequexquináhuac, San Dieguito Xochimanca, Santa María Nativitas, San Pablo Ixayoc y San Miguel Tlaixpan, municipio Texcoco, Estado de México, México; ubicado entre las coordenadas 19°24′33.24″ y 19°26′18.53″ latitud norte y 98°43′47.43″ y 98°45′24.22″ longitud oeste (Figura 1), en una superficie de 500 ha, con una altitud promedio de 3 570 m. El clima predominante es templado-húmedo con lluvias en verano, temperatura media entre 10 y 14 °C y una precipitación media anual entre 900 y 1 200 mm (Hernández-Ramírez et al., 2022).

 

A = Ubicación de los árboles en el área de estudio; B = Árbol identificado en la ortofoto digital; C = Árbol identificado en los datos LiDAR.

Figura 1. Área de estudio y ubicación de los árboles.

 

La vegetación arbórea se caracteriza por rodales maduros de los géneros Pinus, Abies y Quercus, de los cuales Pinus hartwegii es la especie predominante a partir de 3 500 msnm. Parte del área de estudio se localiza dentro de la poligonal del Parque Nacional Iztaccíhuatl-Popocatépetl en la que no están autorizados los aprovechamientos forestales maderables, salvo para colecta científica, saneamiento y uso doméstico (Comisión Nacional de Áreas Naturales Protegidas [Conanp], 2013).

 

 

Toma de datos

 

 

La nube de puntos LiDAR se obtuvo con un sensor Leica® modelo ALS60 montado en una avioneta. El vuelo se realizó a una velocidad de 167 km h-1 y una altura promedio de 808 m, lo que hizo posible obtener una densidad de 8 puntos por m2. En ese mismo vuelo se tomaron fotografías aéreas con una cámara Leica® modelo RC30; las cuales se usaron para generar un ortomosaico digital con resolución espacial de 10×10 cm.

Sobre el ortomosaico, desplegado en el software QGis versión 3.42 (QGIS Development Team, 2024), se seleccionaron 85 árboles de Pinus hartwegii distribuidos en el área de estudio (Figura 1A), que se pudieran reconocer en campo (Figura 1B), y se registraron sus coordenadas UTM.

Entre enero y marzo de 2019, con el apoyo de receptores GNSS (Garmin® eTrex 10 y Garmin® GPSMAP 78s, ambos con error de ubicación de ±3.65 m), se localizaron los 85 árboles en el campo. A cada uno se le midió el diámetro normal (Dn; cm) con cinta diamétrica marca Forestry Suppliers® modelo 349D, la altura total (AT; m) y la altura de fuste limpio (AF; m) con un clinómetro electrónico Haglöf® modelo CI Gen 2, y el diámetro de copa mayor y menor con una cinta métrica de fibra de vidrio de 30 m marca Lufkin® modelo HLF030, con esos diámetros de copa medidos en campo, se calculó el diámetro de copa promedio (DC; m)

 

 

Atributos de los árboles derivados de LiDAR

 

 

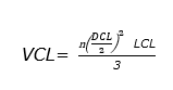
Con el software FUSION/LDV versión 4.61 (McGaughey, 2024) se generó el modelo digital de terreno con el cual se normalizó la nube de puntos LiDAR. Se utilizaron las coordenadas de los árboles para localizarlos en la nube de puntos (Figura 1C). A cada árbol se le midió la altura total (ATL; m), la altura de fuste limpio (AFL; m) y el diámetro de copa mayor y menor. Con esas dos mediciones se calculó el diámetro de copa promedio (DCL; m). Además, se generaron las variables sugeridas por Oono y Tsuyuki (2018): longitud de copa (LCL) con la Ecuación 1, relación de copa (RCL) con la Ecuación 2, superficie lateral de copa (SCL) con la Ecuación 3 y el volumen de copa LiDAR (VCL) con la Ecuación 4. Para el cálculo de SCL y VCL se asumió que la copa de los árboles era cónica.

 

     (1)

 

     (2)

 

     (3)

 

     (4)

 

Donde:

n = Número de observaciones

 

 

Análisis estadistico

 

 

Para verificar la concordancia entre las medidas de campo y las de los datos LiDAR se calculó el Coeficiente de Correlación de Pearson y se realizó una prueba de diferencia de medias entre ellas (Ott & Longnecker, 2010).

Del conjunto de árboles, se seleccionó al azar una muestra (80 %) que se utilizó para ajustar los modelos. El porcentaje restante (20 %) se utilizó para validar el modelo con mejores estadísticos de ajuste. Al iniciar el análisis estadístico, se calcularon los coeficientes de Correlación de Pearson entre las siete variables LiDAR y el Dn. Derivado de este análisis, se seleccionaron como variables independientes de los modelos de regresión las tres variables LiDAR que tuvieron mayor correlación con el Dn y que a su vez presentaron baja correlación entre ellas. De la literatura, se seleccionaron modelos de tipo potencia, y modificaciones de los conocidos como Richards, Hossfeld I, Schumacher y Gompertz. De esta forma, se evaluaron trece tipos de modelos (Cuadro 1). Para el caso del propuesto por Islas-Gutiérrez et al. (2023) se consideró únicamente la versión con dos variables explicatorias dado que fue el que registró mejores estadísticas de ajuste.

 

Cuadro 1. Estructura de los modelos utilizados para estimar el diámetro normal.

Modelo

Fuente

Islas-Gutiérrez et al. (2023)

Yang et al. (2020)

Yang et al. (2020)

Yang et al. (2020)

Hernández et al. (2020)

Hernández et al. (2020)

Hernández et al. (2020)

Hernández et al. (2020)

Hernández et al. (2020)

Hernández et al. (2020)

Hernández-Cuevas et al. (2018)

Hernández-Cuevas et al. (2018)

Hernández-Cuevas et al. (2018)

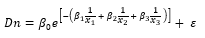
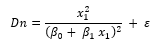
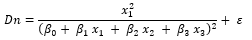
Dn = Diámetro normal; β0, β1, β2, β3 y β4 = Parámetros del modelo; x1, x2 y x3 = Variables predictoras; ε = Error aleatorio.

 

Para establecer el mejor modelo se consideró el Coeficiente de Determinación ajustado por el número de parámetros (R2ajd), la Raíz del Error Cuadrático Medio (RECM), el valor del Criterio de Información de Akaike (AIC), además de cumplir los supuestos de normalidad en la distribución de los residuales y homogeneidad de varianza. Con el fin de facilitar el proceso de selección de los modelos ajustados con base en los tres primeros estadísticos, se siguió el procedimiento de calificación propuesto por Tamarit-Urías et al. (2014). Asimismo, se determinó como otro criterio importante la significancia (p<0.05) de los parámetros de regresión en cada modelo. El ajuste de los modelos se realizó en SAS® versión 9.3 (SAS Institute Inc., 2011).

Para la validación del modelo se utilizó el Coeficiente de Correlación Intraclase (CCI) (Martínez-Pérez & Pérez-Martín, 2023) y una prueba de t con muestras pareadas. A diferencia del Coeficiente de Correlación de Pearson que evalúa la intensidad de la asociación lineal entre dos variables, el CCI pondera la concordancia de las mediciones (Fau et al., 2020). De acuerdo con Koo y Li (2016), se usó un modelo de efectos mixtos de dos factores, con una medida única y acuerdo absoluto. Los cálculos se realizaron con el comando icc del paquete irr y el comando t.test, ambos del software R versión 4.4.3 (R Core Team, 2025).

 

 

Resultados y Discusión

 

 

 

La muestra de árboles utilizada en este estudio se distribuyó en un intervalo de diámetros normales entre 9 y 90 cm, alturas totales de 5 a 33 m, alturas de fuste entre 1.5 y 20 m y diámetros de copa de 1.9 a 15.5 m. Los valores de las variables LiDAR tuvieron correlaciones superiores a 0.95 con los valores de campo (Figura 2). Con respecto a las pruebas de medias, no se rechazó la hipótesis nula para las variables altura total (p=0.558) y diámetro de copa (p=0.031), no así para la variable altura de fuste limpio que resultó altamente significativa, lo que rechazó la hipótesis de igualdad (p<0.001).

 

A = Histograma de frecuencia del diámetro normal; B = Correlación de la altura total; C = Correlación de la altura de fuste; D = Correlación del diámetro de copa.

Figura 2. Dispersión y correlaciones entre los datos de campo y LiDAR.

 

Con base en el análisis de correlación entre las variables predictoras LiDAR y la variable de respuesta, ATL, DCL y SCL presentaron las mayores correlaciones (r≥0.8; p<0.01) con el Dn (Figura 3). Sin embargo, SCL mostró alta correlación con DCL (r=0.911; p<0.001) y VCL (r=0.982; p<0.001); lo que sugiere un problema potencial de autocorrelación con estas variables, por lo que SCL se descartó como posible variable predictora del Dn. VCL es la siguiente variable con mayor correlación con el Dn (r=0.764; p<0.001); sin embargo, tiene una alta correlación con DCL (r=0.908; p<0.001), por lo que también se descartó. La variable AFL tuvo un Coeficiente de Correlación con el Dn de 0.713 (p<0.001) y la correlación con las otras posibles variables predictoras fue menor a 0.9. Por ello, AFL se consideró como la tercera variable independiente para incluir en los modelos que estiman Dn.

 

ATL = Altura total LiDAR; AFL = Altura de fuste LiDAR; DCL = Diámetro de copa LiDAR; LCL = Longitud de copa LiDAR; RCL = Relación de copa LiDAR; SCL = Superficie de copa LiDAR; VCL = Volumen de copa LiDAR; Dn = Diámetro normal; Corr. = Correlación; *p<0.05, **p<0.01, ***p<0.001.

Figura 3. Dispersión y coeficientes de correlaciones de Pearson del diámetro normal con cada una de las variables medidas en los datos LiDAR.

 

Cabe hacer notar que el Coeficiente de Correlación de Pearson estima correlaciones lineales, las cuales no son necesariamente las que ocurren entre las variables predictoras con el diámetro normal; sin embargo, en la fase previa al ajuste, constituye una aproximación importante para determinar variables con posibles relaciones significativas en la modelación del diámetro normal, por lo que se ha utilizado para este propósito en otros estudios (Zhang et al., 2023).

Una vez seleccionadas las variables por incorporar en los modelos propuestos (Cuadro 1), resultaron un total de 29 ecuaciones para evaluar con las combinaciones de las variables predictoras definidas (Cuadro 2).

 

Cuadro 2. Modelos evaluados para estimar el diámetro normal de Pinus hartwegii Lindl.

ID

Modelo

ID

Modelo

M1

M16

M2

M17

M3

M18

M4

M19

M5

M20

M6

M21

M7

M22

M8

M23

M9

M24

M10

M25

M11

M26

M12

M27

M13

M28

M14

M29

M15

 

Dn = Diámetro normal; ATL = Altura total LiDAR; AFL = Altura de fuste LiDAR; DCL = Diámetro de copa LiDAR; b0, b1, b2, b3 y b4 = Estimadores.

 

Los ajustes de las 29 ecuaciones indicaron que los valores de RECM variaron entre 6.43 y 14.34 cm; los modelos M29, M27 y M22 registraron los menores valores (Cuadro 3). En el caso del R2ajd varió entre 0.885 y 0.427, nuevamente los modelos M29, M27 y M22 tuvieron un mayor valor (>0.88) Finalmente, los valores del criterio de Akaike fluctuaron entre 257.53 y 364.13, los modelos M27, M1 y M29 presentaron los menores valores de AIC (<258) (Cuadro 3).

 

Cuadro 3. Estadísticas de ajuste de los modelos evaluados para estimar el diámetro normal a partir de datos LiDAR.

Modelo

RECM

Calificación RECM

R2ajd

Calificación R2ajd

AIC

Calificación AIC

Calificación general

M1

6.52

4

0.882

4

257.85

2

10

M2

9.44

22

0.752

22

307.26

22

66

M3

14.34

29

0.427

29

364.13

29

87

M4

10.04

23

0.719

23

315.64

23

69

M5

9.33

21

0.757

21

306.61

21

63

M6

7.30

8

0.851

8

273.34

8

24

M7

8.95

20

0.777

20

300.99

20

60

M8

7.31

9

0.851

9

274.49

9

27

M9

8.48

17

0.799

17

292.76

17

51

M10

11.03

24

0.661

24

328.49

24

72

M11

13.72

28

0.475

28

358.09

28

84

M12

8.30

16

0.808

16

290.81

16

48

M13

6.67

6

0.876

6

261.00

5

17

M14

11.10

25

0.656

25

330.33

25

75

M15

6.65

5

0.877

5

261.56

6

16

M16

8.64

19

0.792

19

295.28

19

57

M17

13.45

27

0.495

27

355.44

26

80

M18

8.00

13

0.822

13

284.72

13

39

M19

8.12

14

0.816

14

287.77

14

42

M20

6.70

7

0.875

7

261.71

7

21

M21

7.73

11

0.833

11

281.13

11

33

M22

6.49

3

0.883

3

258.18

4

10

M23

8.50

18

0.799

18

293.98

18

54

M24

13.41

26

0.498

26

355.99

27

79

M25

7.81

12

0.830

12

282.52

12

36

M26

8.19

15

0.813

15

289.91

15

45

M27

6.46

2

0.884

2

257.53

1

5

M28

7.42

10

0.847

10

276.39

10

30

M29

6.43

1

0.885

1

257.93

3

5

RECM = Raíz del Error Cuadrático Medio; R2ajd = Coeficiente de determinación ajustado; AIC = Criterio de Información de Akaike.

 

Los modelos con una sola variable explicatoria que incluyeron DCL, presentaron los mejores estadísticos de ajuste, seguidos por aquellos en los que la variable fue la ATL. Los modelos con dos variables, en los cuales se incluyen de forma conjunta ATL y DCL tuvieron mejores valores de ajuste, que coincide con lo señalado por Bi et al. (2012) e Islas-Gutiérrez et al. (2023). La incorporación de la AFL como variable junto a ATL o DCL no mejoró el ajuste estadístico de los modelos, por lo cual se consideró como una variable con bajo valor predictivo en la modelación del Dn a partir de datos LiDAR. De los modelos con las tres variables, el M29 fue el que presentó mejores estadísticos, seguido por el M22.

Al hacer un comparativo general de los 29 modelos, el M27 y el M29 alcanzaron la mejor calificación global de todos (Cuadro 3). El M27 tuvo el menor valor de AIC, que es un criterio útil en la comparación de modelos con diferente número de variables (Fox, 2015), aunque registró menores valores de RECM y R2ajd. El M1 y M22 fueron los siguientes, con valores muy cercanos a los dos anteriormente mencionados. El M22 presentó menor valor de RECM y mayor R2ajd, mientras que M1 menor AIC debido a que es un modelo de tres parámetros, y el M22 tiene cuatro parámetros.

La altura total es una variable ampliamente usada en la modelación de relaciones altura-diámetro normal en coníferas (Mehtätalo et al., 2015), lo que se refleja en la importancia de esta variable en la modelación del Dn con los datos LiDAR. En tanto que el diámetro de copa, si bien no es tan utilizado en la modelación del diámetro normal, presenta una relación biológica plausible con el diámetro normal (Coombes et al., 2019).

Al analizar el cumplimiento de los supuestos de la regresión de los dos modelos con mejores ajustes (M27 y M29) se observó que en ambos los errores tuvieron una distribución normal y varianza constante, a juzgar por los valores de la prueba de Shapiro-Wilk y Breusch-Pagan (Cuadro 4). Con respecto a las pruebas de significancia de los estimadores de regresión, el b3 del M29 no fue significativo (p<0.05) (Cuadro 4). Por ello, se concluye que el M27 es la mejor opción de los diferentes modelos evaluados.

 

Cuadro 4. Valores y pruebas de significancia de los estimadores y prueba de normalidad de los residuales de los modelos M27 y M29.

Mod.

Par.

Est.

Valor t

Pr>|t|

Shapiro-Wilk

Valor p

Breusch-Pagan

Valor p

M27

β0

104.318

2.91

0.005

0.516

0.635

β1

-3.676

-3.51

0.0008

β2

-0.036

-2.36

0.0215

β3

-0.100

-1.82

0.0491

M29

β0

104.489

3.17

0.0024

0.507

0.807

β1

-3.801

-3.57

0.0007

β2

-0.044

-2.28

0.0257

β3

0.010

1.16

0.2519

β4

-0.095

-2.01

0.0484

Mod. = Modelo; Par. = Parámetro; Est. = Estimador; β0, β1, β2, β3 y β4 = Parámetros del modelo.

 

El valor de R2ajd del modelo M27 es superior a los registrados (R2=0.68) por Verma et al. (2014), quienes utilizaron la proyección del área de copa como variable independiente para cinco especies del género Eucalyptus L'Hér. en Australia; los citados por Oono y Tsuyuki (2018) para el cedro japonés (Cryptomeria japonica (Thunb. ex L. f.) D. Don) (R2ajd=0.7301) y para el ciprés japonés (Chamaecyparis obtusa (Siebold & Zucc.) Endl.) (R2ajd=0.7433), con tres variables LiDAR como predictoras del Dn; los documentados por Fu et al. (2018) en cuatro modelos que analizaron (R2<0.53), así como los obtenidos por Islas-Gutiérrez et al. (2023) (R2ajd=0.8781).

Con base en todos los criterios estadísticos anteriores, se considera que el modelo M27 es el más adecuado para estimar el Dn de árboles individuales de P. hartwegii a partir de las variables ATL y DCL.

En el Cuadro 5 se muestran los resultados de la validación del M27. Al respecto, Koo y Li (2016) indican que para la interpretación del CCI se considere tanto el valor puntual, como el intervalo de confianza. En este caso, el valor del CCI es 0.9 y el límite inferior del intervalo de confianza es menor a 0.9, por lo que se concluye que el modelo tiene una buena confiabilidad. Con respecto a la prueba de diferencia de medias, no hubo evidencia para rechazar la hipótesis nula de igualdad, lo que fortalece la conclusión de que las estimaciones del modelo son adecuadas para calcular el diámetro normal a partir de la altura total y el diámetro de copa obtenidos de datos LiDAR.

 

Cuadro 5. Coeficiente de correlación intraclase y prueba de t con muestras pareadas para la validación del modelo M27.

Intervalo de confianza 95 %

Prueba t

CCI

Límite inferior

Límite superior

Valor t

Gl

Valor de p

0.9

0.752

0.962

-0.91

16

0.3763

CCI = Coeficiente de correlación intraclase; Gl = Grados de libertad

 

 

 

Conclusiones

 

 

Los valores de r>0.9 entre los datos medidos en campo y con datos LiDAR para las variables altura total, altura de fuste limpio y diámetro de copa, confirman la utilidad de los datos LiDAR como apoyo a los inventarios forestales. De los 29 modelos evaluados para estimar el Dn de Pinus hartwegii a partir de datos LiDAR, 16 presentan R2ajd>0.8 y RECM<8 cm. Los modelos M27 y M29, que son adecuaciones del conocido como Gompertz, son los que presentan mejores valores para los criterios R2ajd, RECM y AIC utilizados para seleccionar el modelo. La selección del M27 se basa en que el estimador de b3 del modelo M29 no es significativo. El modelo M27 es suficientemente robusto para estimar el diámetro normal de árboles individuales de Pinus hartwegii a partir de la altura total y el diámetro de copa medidos en datos LiDAR con una RECM menor a 6.5 cm y un R2ajd de 0.884. La validación del modelo mediante el Coeficiente de Correlación Intraclase y una prueba de medias para datos pareados indica que sus estimaciones son adecuadas para calcular el Dn. Los resultados del estudio muestran el alto potencial de los datos LiDAR en la estimación del Dn a fin de apoyar los inventarios operativos.

 

Agradecimientos

 

Los autores agradecen al Instituto Nacional de Investigaciones Forestales, Agrícolas y Pecuarias por el apoyo para realizar el proyecto de investigación del cual se originó la información documentada en este artículo.

 

 

Conflicto de intereses

 

Los autores declaran no tener ningún conflicto de interés.

 

Contribución por autor

 

Fabián Islas-Gutiérrez: conceptualización de la investigación, toma y análisis de datos, elaboración y revisión del manuscrito; Vidal Guerra-De la Cruz, Hugo Ramírez-Maldonado y Enrique Buendía-Rodríguez: análisis de los datos, elaboración y revisión del manuscrito; Tomás Pineda-Ojeda y Eulogio Flores-Ayala: toma de datos y revisión del manuscrito.

 

 

 

Referencias

Allouis, T., Durrieu, S., Véga, C., & Couteron, P. (2013). Steam volume and aboveground biomass estimation of individual pine trees from LiDAR data: Contribution of full-waveform signals IEEE Journal of Selected Topics in Applied Earth Observations and Remote Sensing, 6(2), 924-934. https://www.researchgate.net/publication/236847673_Stem_Volume_and_Above-Ground_Biomass_Estimation_of_Individual_Pine_Trees_From_LiDAR_Data_Contribution_of_Full-Waveform_Signals

Ancira-Sánchez, L., y Treviño-Garza, E. J. (2015). Utilización de imágenes de satélite en el manejo forestal del noreste de México. Madera y Bosques, 21(1), 77-91. http://doi.org/10.21829/myb.2015.211434

Bi, H., Fox, J. C., Li, Y., Lei, Y., & Pang, Y. (2012). Evaluation of nonlinear equations for predicting diameter from tree height. Canadian Journal of Forest Research, 42(4), 789-806. http://doi.org/10.1139/X2012-019

Comisión Nacional de Áreas Naturales Protegidas. (2013). Programa de Manejo Parque Nacional Iztaccíhuatl Popocatépetl [Libro blanco]. Secretaría de Medio Ambiente y Recursos Naturales. https://www.conanp.gob.mx/que_hacemos/pdf/programas_manejo/2014/IZTA_POPO_2014.pdf

Coombes, A., Martin, J., & Slater, D. (2019). Defining the allometry of stem and crown diameter of urban trees. Urban Forestry & Urban Greening, 44, Article 126421. https://doi.org/10.1016/j.ufug.2019.126421

Fau, C., Nabzo, S., y Nasabun, V. (2020). Bondad de ajuste y análisis de concordancia. Revista Mexicana de Oftalmología, 94(2), 100-102. https://www.scielo.org.mx/scielo.php?script=sci_arttext&pid=S2604-12272020000200100

Fox, J. (2015). Applied regression analysis and generalized linear models (3rd ed.). Sage Publications, Inc. https://uk.sagepub.com/en-gb/eur/applied-regression-analysis-and-generalized-linear-models/book237254

Fu, L., Liu, Q., Sun, H., Wang, Q., Li, Z., Chen, E., Pang, Y., Song, X., & Wang, G. (2018). Development of a system of compatible individual tree diameter and aboveground biomass prediction models using error-in-variable regression and airborne LiDAR data. Remote Sensing, 10(2), Article 325. https://doi.org/10.3390/rs10020325

Galvincio, J. D., & Popescu, S. C. (2016). Measuring individual tree height and crown diameter for mangrove trees with airborne Lidar data. International Journal of Advanced Engineering, Management and Science, 2(5), 431-443. https://ijaems.com/detail/measuring-individual-tree-height-and-crown-diameter-for-mangrove-trees-with-airborne-lidar-data/

Guo, Q., Su, Y., Hu, T., Guan, H., Jin, S., Zhang, J., Zhao, X., Xu, K., Wei, D., Kelli, M., & Coops, N. C. (2021). Lidar boosts 3D ecological observations and modelings: A review and perspective. IEEE Geoscience and Remote Sensing Magazine, 9(1), 232-257. https://doi.org/10.1109/MGRS.2020.3032713

Hall, R. J., Morton, R. T., & Nesby, R. N. (1989). A comparison of existing models for DBH estimation from large-scale photos. The Forestry Chronicle, 65(2), 114-120. http://doi.org/10.5558/tfc65114-2

Hernández, F. J., Meraz-Aragón, J. C., Vargas-Larreta, B., & Nájera-Luna, J. A. (2020). Diameter, height, basal area and volume growth of three pine species from Chihuahua, Mexico. Revista Mexicana de Ciencias Forestales, 11(60), 120-143. https://doi.org/10.29298/rmcf.v11i60.711

Hernández-Cuevas, M., Santiago-García, W., De los Santos-Posadas, H. M., Martínez-Antúnez, P., & Ruiz-Aquino, F. (2018). Modelos de crecimiento en altura dominante e índices de sitio para Pinus ayacahuite Ehren. Agrociencia, 52(3), 437-453. https://agrociencia-colpos.org/index.php/agrociencia/article/view/1680

Hernández-Ramírez, V., López-Mata, L., Cruz-Rodríguez, J. A., y Luna-Cavazos, M. (2022). Nicho de regeneración de Abies religiosa (Kunth) Schltdl. & Cham. en el Monte Tláloc, Parque Nacional Iztaccíhuatl-Popocatépetl, México. Botanical Sciences, 100(2), 331-344. http://doi.org/10.17129/botsci.2912

Hulshof, C. M., Swenson, N. G., & Weiser, M. D. (2015). Tree height–diameter allometry across the United States. Ecology and Evolution, 5(6), 1193-1204. http://doi.org/10.1002/ece3.1328

Islas-Gutiérrez, F., Guerra-De la Cruz, V., Buendía-Rodríguez, E., Pineda-Ojeda, T., Flores-Ayala, E., y Cruz-Juárez, E. (2023). Ecuación para estimar el diámetro normal de árboles individuales de Pinus hartwegii Lindl. con datos LiDAR. Revista Tecnológica CEA, 8(23), 515-521. https://revistatecnologicacea.mx/revista22/

Koo, T. K., & Li, M. Y. (2016). A guideline of selecting and reporting intraclass correlation coefficients for reliability research. Journal of Chiropractic Medicine, 15(2), 155-163. http://dx.doi.org/10.1016/j.jcm.2016.02.012

Lara-Vásconez, N., y Chamorro-Sevilla, H. (2018). Uso de los sensores remotos en mediciones forestales. European Scientific Journal, 14(15), 58-77. http://doi.org/10.19044/esj.2018.v14n15p58

Liu, W., Zhong, T., & Song, Y. (2017). Prediction of trees diameter at breast height based on unmanned aerial vehicle image analysis. Transactions of the Chinese Society of Agricultural Engineering, 33(21), 99-104. http://doi.org/10.11975/j.issn.1002-6819.2017.21.012

Ma, L., Liu, Y., Zhang, X., Ye, Y., Yin, G., & Johnson, B. A. (2019). Deep learning in remote sensing applications: A meta-analysis and review. ISPRS Journal of Photogrammetry and Remote Sensing, 152, 166-177. https://doi.org/10.1016/j.isprsjprs.2019.04.015

Martínez-Pérez, J. A., y Pérez-Martín, P. S. (2023). Coeficiente de correlación intraclase. Medicina de Familia SEMERGEN, 49(3), Article 101907. https://doi.org/10.1016/j.semerg.2022.101907

McGaughey, R. J. (2024). FUSION/LDV: Software for LIDAR Data Analysis and Visualization. FUSION Version 4.61. United States Department of Agriculture. https://forsys.sefs.uw.edu/software/fusion/FUSION_manual.pdf

Mehtätalo, L., de-Miguel, S., & Gregoire, T. M. (2015). Modeling height-diameter curves for prediction. Canadian Journal of Forest Research, 45(7), 826-837. http://doi.org/10.1139/cjfr-2015-0054

Montes de Oca-Cano, E., Salvador-García, Á., Nájera-Luna, J. A., Corral-Rivas, S., Graciano-Luna, J. de J., y Méndez-González, J. (2020). Ecuaciones alométricas para estimar biomasa y carbono en Trichospermum mexicanum (DC.) Baill. Colombia Forestal, 23(2), 89-98. https://doi.org/10.14483/2256201x.15836

Ng'andwe, P., Chungu, D., Yambayamba, A. M., & Chilambwe, A. (2019). Modeling the height-diameter relationship of planted Pinus kesiya in Zambia. Forest Ecology and Management, 447, 1-11. http://doi.org/10.1016/j.foreco.2019.05.051

Ogana, F. N. (2019). Modelling crown-stem diameters relationship for the management of Tectona grandis Linn f. plantation in Omo Forest Reserve, Western Nigeria. Annals of Silvicultural Research, 43(2), 89-96. https://doi.org/10.12899/asr-1865

Oono, K., & Tsuyuki, S. (2018). Estimating individual tree diameter and stem volume using airborne LiDAR in Saga Prefecture, Japan. Open Journal of Forestry, 8(2), 205-228. http://doi.org/10.4236/ojf.2018.82015

Ott, R. L., & Longnecker, M. (2010). An introduction to statistical methods and data analysis (6th ed.). Cengage Learning Inc. http://repository.bitscollege.edu.et:8080/bitstream/handle/123456789/789/LYMANO~1.PDF?sequence=1

Pérez-Suárez, M., Ramírez-Albores, J. E., Vargas-Hernández, J. J., & Alfaro-Ramírez, F. U. (2022). A review of the knowledge of Hartweg´s pine (Pinus hartwegii Lindl.): current situation and the need for improved future projections. Trees, 36, 25-37. http://doi.org/10.1007/s00468-021-02221-9

QGIS Development Team. (2024). QGIS Geographic Information System (version 3.42) [Software]. Open Source Geospatial Foundation Project. http://qgis.osgeo.org

R Core Team. (2025). The R Project for Statistical Computing (version 4.4.3) [Software]. R Foundation for Statistical Computing. https://www.R-project.org/

Reutebuch, S. E., Andersen, H.-E., & McGaughey, R. J. (2005). Light detection and ranging (LIDAR): An emerging tool for multiple resource inventory. Journal of Forestry, 103(6), 286-292. https://www.fs.usda.gov/pnw/pubs/journals/pnw_2005_reutebuch001.pdf

SAS Institute Inc. (2011). SAS Version 9.3 [Software]. SAS Institute Inc. https://www.sas.com/en_us/home.html

Shiota, H., Tanaka, K., & Nagashima, K. (2017). LiDAR data analysis with Fusion/LDV for individual tree measurement. Journal of Biodiversity Management and Forestry, 6(3), 1-8. http://doi.org/10.4172/2327-4417.1000184

Tamarit-Urías, J. C., De los Santos-Posadas, H. M., Aldrete, A., Valdez-Lazalde, J. R., Ramírez-Maldonado, H., y Guerra-De la Cruz, V. (2014). Sistema de cubicación para árboles individuales de Tectona grandis L. f. mediante funciones compatibles de ahusamiento-volumen. Revista Mexicana de Ciencias Forestales, 5(21), 58-74. http://doi.org/10.29298/rmcf.v5i21.358

Valverde, J. C., Rubilar, R., Medina, A., Mardones, O., Emhart, V., Bozo, D., Espinoza, Y., & Campoe, O. (2022). Taper and individual tree volume equations of Eucalyptus varieties under contrasting irrigation regimes. New Zealand Journal of Forestry Science, 52, Article 15. http://doi.org/10.33494/nzjfs522022x181x

Verma, N. K., Lamb, D. W., Reid, N., & Wilson, B. (2014). An allometric model for estimating DBH of isolated and clustered Eucalyptus trees from measurements of crown projection area. Forest Ecology and Management, 326, 125-132. http://doi.org/10.1016/j.foreco.2014.04.003

Wang, R., & Gamon, J. A. (2019). Remote sensing of terrestrial plant Remote sensing of terrestrial plant biodiversity. Remote Sensing of Environment, 231, Article 111218. https://doi.org/10.1016/j.rse.2019.111218

Yang, Z., Liu, Q., Luo, P., Ye, Q., Duan, G., Sharma, R. P., Zhang, H., Wang, G., & Fu, L. (2020). Prediction of individual tree diameter and height to crown base using nonlinear simultaneous regression and airborne LiDAR data. Remote Sensing, 12(14), Article 2238. https://doi:10.3390/rs12142238

Zhang, Z., Wang, T., Skidmore, A. K., Cao, F., She, G., & Cao, L. (2023). An improved area-based approach for estimating plot-level tree DBH from airborne LiDAR data. Forest Ecosystems, 10, Article 100089. http://doi.org/10.1016/j.fecs.2023.100089

 

 

 

        

Todos los textos publicados por la Revista Mexicana de Ciencias Forestales sin excepción– se distribuyen amparados bajo la licencia Creative Commons 4.0 Atribución-No Comercial (CC BY-NC 4.0 Internacional), que permite a terceros utilizar lo publicado siempre que mencionen la autoría del trabajo y a la primera publicación en esta revista.