Revista Mexicana de Ciencias Forestales Vol. 9 (47)
Mayo-Junio (2018)
DOI: https://doi.org/10.29298/rmcf.v9i47.157 Article Densidad básica de la madera y poder calorífico en vástagos de tres cultivos dendroenergéticos Basic density of wood and heating value of shoots of three dendro-energy crops Julio César Ríos Saucedo1*, Rafael Rubilar Pons2, Jorge Cancino Cancino2, Eduardo Acuña Carmona2, José Javier Corral Rivas3 y Rigoberto Rosales Serna1 |
Fecha de recepción/Reception date: 13 de diciembre de 2017
Fecha de aceptación/Acceptance date: 30 de abril de 2018
_______________________________
1Campo Experimental Valle de Guadiana, CIR Norte-Centro. INIFAP. México.
2Facultad de Ciencias Forestales, Universidad de Concepción. Chile.
3Instituto de Silvicultura e Industria de la Madera. Universidad Juárez del Estado de Durango. México.
*Autor por correspondencia; correo-e: rios.julio@inifap.gob.mx
Resumen
La densidad básica (DB) y poder calorífico superior (PCS) son atributos importantes en la producción de biomasa con fines dendroenergéticos. El objetivo de la presente investigación consistió en determinar la densidad básica de la madera y el poder calorífico superior en vástagos provenientes de tocones de tres cultivos dendroenergéticos. El estudio se realizó en la región del Biobío, Chile, en una plantación de Eucalyptus globulus, E. denticulata y Acacia dealbata con densidades de 5 000, 10 000 y 15 000 árboles por hectárea. Se observaron diferencias para DB de la madera entre especies y E. denticulata registró el nivel más alto en las tres densidades de plantación, con valores entre 0.46 y 0.49 g cm-3. Eucalyptus globulus y A. dealbata mostraron DB similar, con valores entre 0.38 y 0.45 g cm-3. El PCS presentó diferencias entre taxones, en cada tipo de vástago (adventicios y proventicios). Las hojas de vástagos proventicios tuvieron el PCS más alto, con valores de 5 280 kcal kg-1 (22.1 MJ kg-1) en E. globulus; 5 150 kcal kg-1 (21.5 MJ kg-1) en E. denticulata y 4 927 kcal kg-1 (20.6 MJ kg-1) en A. dealbata. En tallos y ramas se observaron niveles de PCS de 4 399 kcal kg-1 (18.4 MJ kg-1) a 4 691 kcal kg-1 (19.6 MJ kg-1). En los vástagos proventicios de E. globulus, E. denticulata y, en menor medida, A. dealbata se registraron valores aceptables para DB y PCS, lo que hace recomendable su uso con fines dendroenergéticos. Se sugieren podas y aclareos para manejar dos vástagos proventicios por tocón y con ello mejorar la DB y el PCS.
Palabras clave: Bioenergía, calidad de madera, calorimetría, cultivos de rápido crecimiento, poder calorífico superior, rotación corta.
Abstract
The basic density (BD) and the higher heating value (HHV) are important attributes in the production of biomass for dendro-energy purposes. The aim of this study was to determine the wood basic density and higher heating value in shoots grown in stumps of three dendro-energy crops. The study was carried out in the Biobío region, Chile, in a plantation of Eucalyptus globulus, E. denticulata and Acacia dealbata grown at densities of 5 000, 10 000 and 15 000 trees per hectare. Differences were observed in BD between species and E. denticulata was the species that registered the highest BD in the three planting densities, with values between 0.46 and 0.49 g cm-3. Eucalyptus globulus and A. dealbata showed similar BD, with values between 0.38 and 0.45 g cm-3. The HHV showed differences between species, in each shoot type (adventitious and proventitious). The leaves of the proventitious shoots registered the highest HHV, with values of 5 280 kcal kg-1 (22.1 MJ kg-1) in E. globulus, 5 150 kcal kg-1 (21.5 MJ kg-1) in E. denticulata and 4 927 kcal kg-1 (20.6 MJ kg-1) in A. dealbata. Stems and branches showed HHV levels between 4 399 kcal kg-1 (18.4 MJ kg-1) and 4 691 kcal kg-1 (19.6 MJ kg-1). The proventitious shoots of E. globulus, E. denticulata and, to a lesser extent, A. dealbata showed acceptable values for BD and HHV, and could be recommended for dendro-energy purposes. Tree pruning and thinning are recommended, in order to obtain two shoots per stump and improved values for BD and HHV.
Keywords: Bioenergy, wood quality, calorimetry, fast-growing trees, higher heating value, short rotation coppice.
Introduction
The cultivation of plantations in the short rotation system (SRC, for its acronym in English for Short Rotation Coppice) has been studied, recently, for dendroenergetic purposes (Souza et al., 2015). Several species of eucalyptus and acacia are considered suitable for the production of large volumes of biomass, when they are grown under that system (Camps and Marcos, 2002). This biomass can partially displace the fossil fuels currently used to produce heat and electricity, which, in turn, helps governments comply with environmental laws and binding commitments, aimed at reducing CO2 emissions from fossil fuels (McKendry, 2002).
Short-rotation species allow higher planting densities and, therefore, a high biomass yield per unit area (Hoogwijk et al., 2005). Regrowth, normally, is stimulated in the spring and grows again, thereby avoiding replanting costs. When rotation periods are too short for a taxon and variety, shoot growth can be hampered by depletion of stored carbohydrate reserves in the root system, which also affects the structure of wood (Al Afas et al., 2008).
Numerous woody taxa, cultivated in short rotation system have become important in the supply of plant biomass (Hoogwijk et al., 2005). Among the most important dendro-energy species worldwide are the eucalyptus (Eucalyptus globulus Labill, E. nitens H. Deane & Maiden, E. denticulata I. O. Cook & Ladiges) (Camps and Marcos, 2002), willow (Salix spp.), poplar (Populus spp.) and acacias (Acacia dealbata Link, A. melanoxylon R Br., A. retinodes Schltdl.) (Ríos et al., 2016). These record high productivity and can be promoted as fast-growing forest plants (Hoogwijk et al., 2005).
Basic density is one of the most important physical properties of wood, because it expresses the amount of dry woody substance in a given volume of wood, when it has a moisture content equal to or higher than the fiber saturation point (FSP). Therefore, practically all mechanical properties are related to such variable, which is why it is used in the prediction of plant material resistance (Cisternas, 1994).
The detailed analysis of the properties of biomass is essential, due to the need to adapt the nature of wood resources to the specific requirement of modern energy conversion technologies. This type of analysis helps to identify plant components that correlate with the characteristics of wood used as fuel (Davis et al., 1984, Butner et al., 1988). Although there are studies in which the variability in the properties of biomass was evaluated for this purpose, few consider the differences in the properties of the wood of trees when they are cultivated under the short rotation system.
The future applications of bioenergy will be increasingly dependent on the production of biomass in energy plantations under the short rotation system (SRC). The above is a response to the growing demand for heat and electricity from renewable sources, strict environmental regulations and policies aimed at protecting natural resources (Senelwa and Sims, 1999). The objective of the present study was to determine the basic density of wood and higher heating value in two-year-old shoots from stumps of three wood energy crops.
Materials and Methods
Study area
The study was conducted in the Biobío region, which belongs to the eighth region of Chile, in which a site was located within the Yumbel commune. The experiment was located in the La Aguada site, at 37°11'23'' S and 72°26'04'' W. The predominant soil is known as sandy, has alluvial origin, thick texture and is considered to be of recent formation; deep, underdeveloped and derived from black volcanic sands, with andesitic and basaltic origin. The climate in the region is sub-humid, with temperatures ranging from 28.6 °C in January to 4.4 °C, which is recorded in July. The average rainfall accumulated during the year reaches 1 093 mm (Novoa et al., 1989).
Experimental design
A randomized complete block design with a factorial arrangement was used, which included two factors: plant density factors (5 000, 10 000 and 15 000 trees ha-1) and three plant species (A. dealbata, E. globulus and E. denticulata); each block was a square of 110 m in each side (12 100 m2), made up of four quadrants, each consisting of nine experimental units of 18 m per side (324 m2). Each unit, in turn, consisted of a buffer zone to avoid the edge effect, and a core of 30 useful stumps) (Figure 1). The tree species were managed under four cutting frequencies. The quadrant corresponds to one of four cutting frequencies (1, 2, 3 and 4 years); the first intervention at the first year of establishment of the crop was made to evaluate the response of the regrowth and the elemental properties of the shoots. This work was carried out in the quadrant harvested in December 2012 corresponding to the two -year frequency (Figure 1).
Each color represents a quadrant and a cutting frequency (1, 2, 3 and 4 years). The letters (A, B, C) refer to the species; and the numbers (5,10 and 15), the density of plantation.
Figure 1. Distribution and design of the experimental units in the study site.
Basic density
In order to study the basic density, three stumps per plot were selected and in each of them all the shoots were cut; they were packed and labeled with the data corresponding to density of plantation, block, species, stump and type of shoot (adventitious and proventitious); subsequently, they were transferred to the laboratory for study.
Total height in each shoot was measured with a 12 m Messfixs® telescometer, and each section’s diameter was determined with a MitutoyoTM caliper at 10, 50, 130 cm (from the point of root-neck diameter measurement = Dac). After 130 cm they were made at every meter, until reaching diameters less than 10 mm. At each of these points along the trunk, 2.5 cm thick- slices were obtained, which were ordered and labeled in plastic netting, and completely submerged in recipients with water so that the slices would exceed the point of saturation of its fibers.
When the samples of the slices were completely saturated (constant weight), their volume was determined by the water displacement method; the weight of the displaced water was measured for each sample (cm3), according to the NCh 176/2 Standard (INN, 1986). A Snowrex® electronic (0.01 g precision) balance was used for the measurement of the weight of the displaced water, on which a container with water was placed, suitable for the samples to float freely, without touching the sides, nor the bottom and, at the same time, were completely submerged. In this way, the weight of the displaced water was obtained, which corresponds to the volume of the wood sample, when considering the density of the water as the unit (Valencia and Vargas, 1997).
Afterwards, the samples were put into labeled paper bags and placed in a RiossaTM oven at 105 °C, for drying up to constant weight. The dry weight (anhydrous) was also determined with the SnowrexTM electronic balance immediately after the extraction of the samples from the oven to avoid the absorption of environmental moisture and the alteration of dry weight. Basic density of wood corresponds to the quotient of dry weight (anhydrous) over saturated volume of each wood sample which was obtained with the following equation:
Where:
BD = Basic density (g cm-3)
PS = Dry weight (g)
Vh = Saturated volume (cm3)
Higher heating value
The higher heating value (HHV) was determined with the PARR 6400TM isoperibolic automatic calorimeter, in accordance with EN 14918 (EN, 2009). For the analysis, ground biomass was used in 1.5 mm particles, of each type of shoot inside the stump and in stem, branches and leaves. Next, the material was pelleted to form 1 g tablets, which were introduced into the cylindrical chamber of the automated calorimeter. The value of the measurements was expressed in kcal kg-1.
Analysis of data
The results obtained were used to perform an analysis of variance (ANOVA) and comparison of means, with the Tukey test (p ≤ 0.05), using the statistical program SAS (Proc REG and Proc GLM) (SAS, 2008). Comparisons were made between planting densities and species, for each type of shoot (adventitious and proventitious) and component of the biomass (stems, branches and leaves) separately.
Results
In the components of the biomass, highly significant differences (p ≤ 0.01) were detected between species for most of the assessed variables and between densities for the number of offshoots (Table 1). The plantation density had a reduced influence on most of the variables included in the study, and only in the number of shoots a significant effect was observed. The interaction species × density showed significance in the HHV and plant height, which was related to the modification of the response of at least one species, when moving from one density to another.
Table 1. Probabilities obtained in the statistical analysis of the information of shoots in stumps of the first rotation.
Efect | BD | HHV | Nv | Dac | Height |
Species | 0.0036 | 0.0001 | 0.0143 | 0.0320 | <0.0001 |
Density | 0.0521 | 0.0504 | 0.0088 | 0.7974 | 0.0651 |
Species × density | 0.2319 | <0.0001 | 0.1619 | 0.2760 | 0.0137 |
Error |
BD = Basic density, HHV = High heating value; Nv = Number of shoots; Dac = Diameter at the root-neck height.
Eucalyptus denticulata recorded the highest basic density of the wood in the three planting densities, with values between 0.46 and 0.49 g cm-3 (Table 2). The rest of the species showed similarity for the basic density, with values between 0.44 and 0.45 g cm-3 for E. globulus and A. dealbata. Only in the adventitious shoots of A. dealbata low BD values were obtained, with 0.38 g cm-3, especially in the highest planting density (15 000 trees ha-1).
Table 2. Averages obtained from the basic density and dasometric variables in shoots of three wood energy species.
Variable | Density (trees ha-1) | Shoot | A. dealbata | E. denticulata | E. globulus |
Basic density (g cm-3) | 5 000 | Proventitious | 0.44Ba | 0.49Aa | 0.44Ba |
Adventitious | - | 0.48Aa | 0.44Ba | ||
10 000 | Proventitious | 0.45Ba | 0.47Aa | 0.45Ba | |
Adventitious | - | 0.47Aa | 0.45Aa | ||
15 000 | Proventitious | 0.44Ba | 0.46Aa | 0.45Ba | |
Adventitious | 0.38Cb | 0.47Aa | 0.42Ca | ||
Number of shoots | 5 000 | Proventitious | 7.00Aa | 3.00Bab | 2.00Ba |
Adventitious | - | 4Aa | 3Aa | ||
10 000 | Proventitious | 6.00Aa | 2.00Bb | 2.00Ba | |
Adventitious | - | 4.00Aa | 2.00Ba | ||
15 000 | Proventitious | 4.00Ab | 2.00Bb | 2.00Ba | |
Adventitious | 1.00Ac | 2.00Ab | 1.00Ab | ||
Dac (mm) | 5 000 | Proventitious | 31.45Aa | 49.70Aa | 60.09Ba |
Adventitious | - | 15.03Ab | 18.25Ab | ||
10 000 | Proventitious | 32.45Aa | 49.67Aa | 56.89Ba | |
Adventitious | - | 16.25Ab | 14.61Ab | ||
15 000 | Proventitious | 36.82Aa | 42.26Aa | 57.71BAa | |
Adventitious | 15.10Ab | 16.93ABb | 25.85Bb | ||
Height (m) | 5 000 | Proventitious | 3.97Aa | 4.94Ba | 7.06Ca |
Adventitious | - | 1.78Ab | 2.50Bb | ||
10 000 | Proventitious | 3.19Aa | 5.32Ba | 7.11Ca | |
Adventitious | - | 2.02Ab | 2.11Ab | ||
15 000 | Proventitious | 4.24Aa | 5.27Ba | 7.96Ca | |
Adventitious | 1.66Ab | 2.04Bb | 3.53Cb |
Capital letters show significant differences between species; different lowercase letters in column correspond to differences between planting densities. Dac = Diameter at the root-neck height.
Acacia dealbata recorded the largest number of proventitious shoots in all planting densities, with fluctuations of 7.00 shoots per stump in 5 000 trees ha-1 and 4.00 shoots per stump in 15 000 trees ha-1. It was observed that A. dealbata shows a tendency to develop proventitious shoots and, only when its number decreases, then adventitious type shoots emerge. The two species of eucalyptus showed tendency to generate both types of shoots, with some predominance of the adventitious ones, especially in E. denticulata. In addition, negative effects were determined in both types of shoots, especially in E. globulus, in which the number was reduced as plant density increased.
The highest value for the diameter at neck height (Dac) was for E. globulus with 60.09 mm, followed by E. denticulata with 49.70 mm and the lowest was obtained by A. dealbata, with 32.45 mm. These values corresponded to the proventitious shoots and the lowest planting density (5 000 trees ha-1). Dac decreased as plantation density increased (Table 2), which was statistically significant in E. globulus. In this species there was a significant increase of the Dac in the adventitious shoots, as the density of plantation increased, so that with 15 000 trees ha-1 reached 25.85 mm. The above coincided with the reduction in the number of scions registered in that density of plantation.
Higher height values were present in the proventitious shoots of E. globulus and this increased as the density of the plantation increased, from 7.06 m in 5 000 trees ha-1, up to 7.96 m with 15 000 trees ha-1. In the adventitious shoots, an increase in height was observed between the densities of 5 000 trees ha-1 (2.5 m) and 15 000 trees ha-1 (3.53 m). E. denticulata showed intermediate values, while A. dealbata the lowest values in the proventitious shoots (3.19 m to 4.24 m) and adventitious (1.66 m). In all the species dominance of the proventitious was observed, which showed higher values in number, diameter and shoot height.
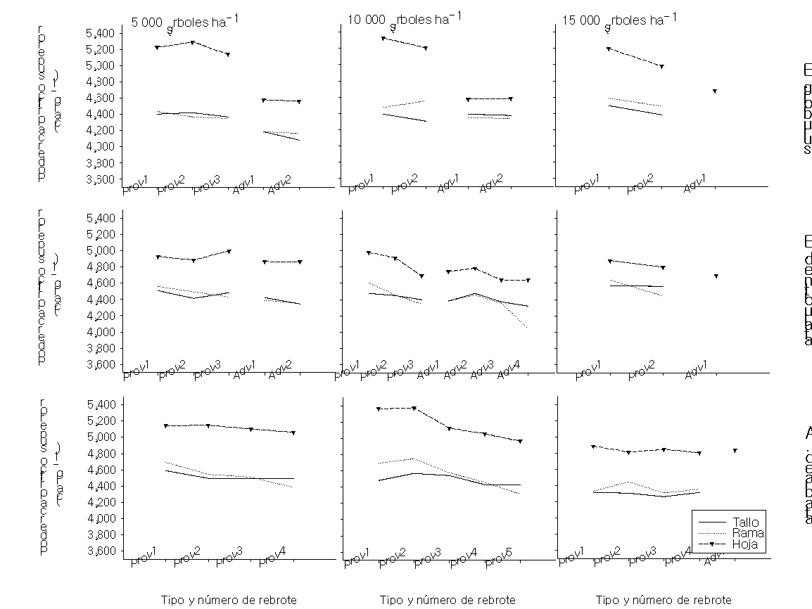
The leaves of the dominant shoots (Prov 1 and Prov 2) registered, in general, the highest calorific value in the three species studied (Figure 2). The highest values reached 5 280 kcal kg-1 for E. globulus, 5 150 kcal kg-1 in E. denticulata and 4 927 kcal kg-1 in A. dealbata. The HHV of the stem and branches showed similarity in A. dealbata with values between 4 573 kcal kg-1 - 4 691 kcal kg-1; and E. denticulata 4 508 kcal kg-1 - 4 558 kcal kg-1. E. globulus had the lowest, with 4 399 kcal kg-1 for stems and 4 434 kcal kg-1 in branches. The adventitious shoots showed a caloric decrease of up to 400 kcal kg-1 in E. globulus (Figure 2).
Poder calorífico superior = Higher heating value; Árboles = Trees; Tipo y número de rebrote = Type and number of shoot
Figure 2. Higher heating value (HHV) per component (stem, branch and leaf) of proventitious (Prov) and adventitious (Adv) shoots in first rotation stumps.
The calorific value in re-shooted stumps presented differences in their dominant (proventitious) and codominant (adventitious) shoots. The two dominant proventitious scions (Prov 1 and Prov 2, with high values of Dac and height) recorded the highest calorific value in stems, branches and leaves, with a tendency to decrease according to their vigor within the stump (Figure 2). The species with the greatest variation was E. globulus, with a decrease of up to 641.9 kcal kg-1 HHV in leaves, and 214 kcal kg-1 in stems and branches (Figure 2). The planting density lacked direct significant influence on the calorific value, under the short rotation system.
Discussion
The results for the basic density of wood in shoots of first rotation agree with the studies realized in plantations of single-stem species, of more advanced age. In some of these works the basic density of Acacia dealbata and the influence of the plantation localities were assessed, with values between 0.32 g cm-3 and 0.54 g cm-3 (Pinilla and Hernández, 2010). In the specific case of localities, with edaphoclimatic characteristics similar to those in this study, a density of 0.47 g cm-3 was obtained in eucalyptus plants at five years old (Pinilla and Hernández, 2010).
In an investigation in which two eucalyptus clones were included, with 57 and 69 months of age, average values similar to those recorded in the present study were documented (0.46 g cm-3) (Protásio et al., 2014). Evaluations of the basic density in 37 provenances of E. globulus, with seven years of age, variations of 0.43 to 0.49 g cm-3 were observed (Miranda et al., 2001). In the present study, E. denticulata had the highest basic density of wood under the short rotation system. The results are similar to what was recorded for nine-year-old plantations, in which the wood characteristics of some Eucalyptus species in Brazil were assessed; an average basic density of 0.48 g cm-3 is indicated for E. denticulata, at the age of 4.5 years (Duarte et al., 2000).
The short rotation system showed BD similar to that observed in traditional monofustal plantations, and the shoots maintain the properties of the wood, mainly those of the dominant type (proventitious). Based on the results, it was confirmed that the basic density is an important characteristic of wood and should be considered as a criterion for the selection of biomass sources, since it is directly related to the production of energy per unit volume (Protásio et al., 2014).
There are several references for the basic density of wood and the higher calorific value in the literature, which have been evaluated in the first rotation and in traditional single-stem plantations (Vargas et al., 2005; Espina, 2006; Peredo et al., 2007; Igartúa and Monteoliva, 2009; Igartúa et al., 2015; Batista et al., 2016). However, studies of the relationship between the basic density and the calorific value of biomass in short rotation crops are relatively recent in Chile, which explains why a greater number of evaluations is required. The results of the joint study of both variables can be used to define the criteria for the selection of species with higher yield, quality and productive stability of the biomass for a given location and density of plantation.
A. dealbata showed the tendency to develop proventitious shoots in low densities of plantation (5 000 trees ha-1) and, only, when the dominance of these decreases, then the adventitious emerge. This response is attributed to the competition for space and nutrients inter to intra stumps, as well as to the number of shoots, initial growth and characteristics of the species (Ríos et al., 2017). The two species of eucalyptus recorded a tendency to generate both types of shoots, with some predominance of the adventitious ones, especially in E. denticulata. In addition, negative effects were determined in both types of shoots, in particular in E. globulus, in which the number was reduced as the density of planting increased. This reaction was related to the tendency to natural elimination of weak shoots, which reduce their growth due to competition for space and solar radiation (Ríos et al., 2017).
E. globulus grew more in Dac and height, in contrast to the other two species. The results agree with that reported in other studies that evaluated the vigor of shoots of E. globulus, E. viminalis and E. regnans, whose highest values correspond to the diameter and height in the shoots of E. globulus (Geldres et al., 2004). Although several authors have emphasized the adaptability of Acacia species in unfavorable environmental conditions (McKinnell, 1990; Hussain and Gul, 1991; Sandoval et al., 2012), A. dealbata showed a low level of growth, due to the moment of cutting. and extraction of biomass from the first rotation. Likewise, it evidenced a high number of shoots, so it is advisable to adjust the management of thinnings and prunings to make the use of solar radiation more efficient and facilitate the obtaining of high quality wood (Pinilla and Navarrete, 2010).
The variations of the HHV registered between species and components (stem, branch and leaves) were related to the differences in the chemical composition of the biomass (Senelwa and Sims, 1999). The two species of Eucalyptus showed similar elementary properties for the energy potential of their biomass (Figure 2). In assessments of the characteristics of the fuels from E. globulus and A. dealbata, managed with the short rotation system, a calorific power higher than 4 705 kcal g-1 was obtained in trees with three years old (Senelwa and Sims 1999), similar to the results documented with two-year-old shoots.
In monostem A. dealbata plantations with ages of four to six years, the stems registered low levels of HHV in different localities of Chile, with values of 3 909 kcal kg-1 to 4 288 kcal kg-1 (Pinilla and Navarrete, 2010). The components stem, branches and leaves showed differences in their calorific value, which agrees with what is documented in literature, in which quotes high values of calorific power in the leaves of E. globulus, with values of 5 730 kcal kg- 1 (Senelwa and Sims, 1999). The above, surpasses the results of the present study for the three species, in which the leaves in the proventitious shoots had a calorific power between 5 100 and 5 300 kcal kg-1.
The number of shoots and their level of dominance influenced the HHV of wood in all the analyzed taxa. There was a tendency to decrease HHV in stumps with a high number of shoots and when they were less dominant, growth and lignification was lower, with respect to the dominant ones. This was most evident in A. dealbata, which recorded the highest number of offspring, and this negatively influenced its growth, lignification and HHV.
The variation in the HHV was more noticeable in branches and leaves, while the stems showed greater stability, in relation to the rest of the organs. The proventitious shoots of E. denticulata lose up to 28 % of their calorific value in the component leaves, branches and stems (Figure 2), especially with a planting density of 10 000 trees ha-1, in which it was observed, also that the adventitious offspring reduced their HHV due to the level of dominance.
A. dealbata had a higher proportion of proventitious shoots that maintained their HHV (Figure 2), which was considered a typical property of most acacias, due to their type of cespitose growth. Only in the density of 10 000 trees ha-1 was gradual reduction of the HHV as the level of stem dominance was decreased, which was more noticeable in the leaves and branches. The results show that priority must be given to the management of proventitious shoots, leaving two or three per stump, which will obtain high values of calorific value, supported by the chemical composition of the biomass (Susott et al., 1975; Murphey and Masters, 1978).
Conclusions
In the three studied taxa under the short rotation system (SRC) considerable variation was observed in the basic density of wood and higher heating value. The variation between species is related to the density of plantation, which influences the response of each taxon in terms of the number of shoots and the growth of these, measured in Dac and height. The high values from the number of shoots negatively affect the basic density and the calorific value; therefore, it is advisable to carry out thinnings and prunings. The short rotation system favors the reduction of harvest turns, which increases the biomass per unit area without losing its elementary properties, especially when two stems of the proventitious type are used per stump. The two eucalyptus species evaluated, and to a lesser extent, A. dealbata, have characteristics that favor their use in the production of biomass, from shoots, for wood energy purposes.
Acknowledgements
To the Consorcio Tecnológico Bioenercel (Bioenercel Technology Consortium). Key project 2008.05.15 “Plantaciones con especies leñosas de corta rotación para la producción de biocombustibles de segunda generación” ("Plantations with woody species of short rotation for the production of second generation biofuels"). To the Universidad de Concepción (University of Concepción); to the forest companies Masisa, Forestal Mininco and Forestal Arauco for the complementary support to the monitoring of the project.
Conflict of interest
The authors declare no conflict of interest.
Contribution by author
Julio César Ríos Saucedo: bibliographic review, field phase and analysis of results; Rafael Rubilar Pons: bibliographic review and analysis of data and results; Jorge Cancino Cancino: laboratory analysis of the basic density of wood and statistical analysis; Eduardo Acuña Carmona: calorific power analysis and discussion writing; José Javier Corral Rivas: bibliographical review and statistical analysis; Rigoberto Rosales Serna: analysis of data and results.
References
Al Afas, N., N. Marron, S. Van Dongen, I. Laureysens and R. Ceulemans. 2008. Dynamics of biomass production in a poplar coppice culture over three rotations (11 years). Forest Ecology and Management 255(5-6): 1883-1891.
Batista, D. C., R. J. Klitzke, M. P. da Rocha and T. Ribeiro B. 2016. Tests of drying rate and scoring of defects for the prediction of conventional kiln drying quality of Eucalyptus sp. wood - Part 2. Floresta e Ambiente 23(1): 135-141.
Butner, R. S, D. C. Elliott, L. J. Sealock Jr. and J. W. Pyne. 1988. Effect of biomass feedstock chemical and physical properties on energy conversion processes: Volume 1- Overview. Pacific Northwest Lab. Richland, WA, USA. 25 p.
Camps M., M. y F. Marcos M. 2002. Los biocombustibles. Ediciones Mundi-Prensa. Madrid, España. 366 p.
Cisternas, P. 1994. Conversión de densidades de la madera. Ciencia e Investigación Forestal 8(2): 300-315.
Davis, E. A., J. L. Kuester and M. O. Bagby. 1984. Biomass conversion to liquid fuels: potential of some Arizona chaparral brush and tree species. Nature: 307: 726-328.
Duarte P., J. C., J. A. Sturion, A. Royei H., R. C. V. Higa e J. Y. Shimizu. 2000. Características da madeira de algumas espécies de eucalipto plantadas no Brasil. Embrapa Florestas. Documentos 38. Colombo, Paraná. Brasil. 113 p.
European Standard (EN). 2009. EN 14918. Solid biofuels - Determination of calorific value. NSAI. Dublin, Ireland. 63 p.
Geldres, E., J. E. Schlatter y A. Marcoleta. 2004. Monte bajo, opción para tres especies de Eucaliptos en segunda rotación, un caso en la provincia de Osorno, Décima Región, Chile. Bosque (Valdivia) 25(3): 57-62.
Hoogwijk, M., A. Faaij, B. Eickhout, B. de Vries and W. C. Turkenburg. 2005. Potential of biomass energy out to 2100, for four IPCC SRES land-use scenarios. Biomass and Bioenergy 29(4): 225-257.
Hussain, A. and P. Gul. 1991. Selection of suitable tree species for saline and waterlogged areas. Pakistan Journal of Forestry 41(1): 34-43.
Igartúa D., D. V. y S. Monteoliva. 2009. Densidad básica de la madera de Acacia melanoxylon R. Br en relación con la altura de muestreo, el árbol y el sitio. Investigación Agraria: Sistemas y Recursos Forestales 18(1): 101-110.
Igartúa, D. V., S. E. Monteoliva, M. G. Monterubbianesi y M. S. Villegas. 2015. Calidad del leño en Eucalyptus globulus ssp. globulus: II. Variaciones en la densidad básica y la longitud de fibras en Lobería, Provincia de Buenos Aires, Argentina. Revista de la Facultad de Agronomía, La Plata 105(1): 29-39.
Instituto Nacional de Normalización (INN). 1986. Norma Chilena Oficial (NCh 176/2. Of. 1986). Madera-parte 2: determinación de la densidad. INN. Santiago, Chile. 11 p.
McKendry, P. 2002. Energy production from biomass (Part 2): conversion technologies. Bioresource Technology 83(1): 47-54.
McKinnell, F. 1990. Species trials on alkaline soils in Indonesia. Forestry Newsletter 10: 1-3.
Miranda, I., M. H. Almeida and H. Pereira. 2001. Influence of provenance, subspecies, and site on wood density in Eucalyptus globulus Labill. Wood and Fiber Science 33(1): 9-15.
Murphey, W. K. and K. R. Masters. 1978. Gross heat of combustion of northern Red oak (Quercus rubra L.) chemical components. Wood Science 10(3): 139-141.
Novoa, R., S. Villaseca, P. Del Canto, J. Rouanet, C. Sierra y A. Del Pozo. 1989. Mapa Agroclimático de Chile. Instituto de Investigaciones Agropecuarias, INIA. Santiago de Chile. 221 p.
Peredo, M. A., C. Mora y M. Ramírez. 2007. Efecto del espaciamiento en la densidad básica y aptitud pulpable de la madera de Eucalyptus nitens. http://www.eucalyptus.com.br/icep03/420Peredo.text.pdf (11 de marzo de 2018).
Pinilla S., J. C., y G. Hernández C. 2010. Poder calorífico de Acacia dealbata Link crecida en Chile. Ciencia e Investigación Forestal 16(3): 353-379.
Pinilla S., J. C. y M. Navarrete T. 2010. Evaluación inicial de un ensayo de manejo en Acacia dealbata. Ciencia e Investigación Forestal 16(2): 185-204.
Protásio, T. de P., S. L. Goulart, T. A. Neves, M. R. de Assis and P. F. Trugilho. 2014. Commercial clones of Eucalyptus at different ages for bioenergetic use of wood. Scientia Forestalis 42(101): 113-127.
Ríos S., J. C., E. Acuña C., J. Cancino C., R. Rubilar P., J. J. Navar C. y R. Rosales S. 2016. Allometric equations commonly used for estimating shoot biomass in short-rotation wood energy species: a review. Revista Chapingo Serie Ciencias Forestales y del Ambiente 22(2): 193-202.
Ríos S., J. C., E. Acuña C., J. Cancino C., R. Rubilar P., J. J. Corral R. y R. Rosales S. 2017. Dinámica de brotación y densidad básica de la madera en rebrotes de tres especies dendroenergéticas. Agrociencia 51(2): 215-227.
Sandoval S., J. Cancino, R. Rubilar, E. Esquivel, E. Acuña, F. Muñoz, and M. Espinosa. 2012. Probability distributions in high-density dendroenergy plantations. Forest Science 58(6): 663-672.
Statistical Analysis System (SAS). 2008. SAS/STAT 9.2 user's guide. SAS Institute Inc. Cary, NC USA. 1027 p.
Senelwa, K. and R. E. H. Sims. 1999. Fuel characteristics of short rotation forest biomass. Biomass and Bioenergy 17(2): 127-140.
Souza, F. C., G. G. dos Reis, M. G. F. Reis, H. G. Leite, R. S. de Faria, J. P. Caliman, R. A. Barbosa and C. H. R. de Oliveira. 2015. Growth of intact plants and coppice in short rotation eucalypt plantations. New Forests 47(2): 195-208.
Susott, R. A., W. F. deGroot and F. Shafizadeh. 1975. Heat content of natural fuels. Journal of Fire and Flammability 6: 311-325.
Valencia M., S. y J. Vargas H. 1997. Método empírico para estimar la densidad básica en muestras pequeñas de madera. Madera y Bosques 3(1): 81-87.
Vargas H., J., A. Borja de la R., E. Ignacio S. y J. López U. 2005. Parámetros genéticos del crecimiento y densidad de madera en edades juveniles de Eucalyptus urophylla S. T. Blake. Agrociencia 39(4): 469-479.
All the texts published by Revista Mexicana de Ciencias Forestales–with no exception– are distributed under a Creative Commons License Attribution-NonCommercial 4.0 International (CC BY-NC 4.0), which allows third parties to use the publication as long as the work’s authorship and its first publication in this journal are mentioned.