Revista Mexicana de Ciencias Forestales Vol. 9 (47)
Mayo-Junio (2018)
DOI: https://doi.org/10.29298/rmcf.v9i47.157 Artículo Densidad básica de la madera y poder calorífico en vástagos de tres cultivos dendroenergéticos Basic density of wood and heating value of shoots of three dendro-energy crops Julio César Ríos Saucedo1*, Rafael Rubilar Pons2, Jorge Cancino Cancino2, Eduardo Acuña Carmona2, José Javier Corral Rivas3 y Rigoberto Rosales Serna1 |
Fecha de recepción/Reception date: 13 de diciembre de 2017
Fecha de aceptación/Acceptance date: 30 de abril de 2018
_______________________________
1Campo Experimental Valle de Guadiana, CIR Norte-Centro. INIFAP. México.
2Facultad de Ciencias Forestales, Universidad de Concepción. Chile.
3Instituto de Silvicultura e Industria de la Madera. Universidad Juárez del Estado de Durango. México.
*Autor por correspondencia; correo-e: rios.julio@inifap.gob.mx
Abstract
The basic density (BD) and the higher heating value (HHV) are important attributes in the production of biomass for dendro-energy purposes. The aim of this study was to determine the wood basic density and higher heating value in shoots grown in stumps of three dendro-energy crops. The study was carried out in the Biobío region, Chile, in a plantation of Eucalyptus globulus, E. denticulata and Acacia dealbata grown at densities of 5 000, 10 000 and 15 000 trees per hectare. Differences were observed in BD between species and E. denticulata was the species that registered the highest BD in the three planting densities, with values between 0.46 and 0.49 g cm-3. Eucalyptus globulus and A. dealbata showed similar BD, with values between 0.38 and 0.45 g cm-3. The HHV showed differences between species, in each shoot type (adventitious and proventitious). The leaves of the proventitious shoots registered the highest HHV, with values of 5 280 kcal kg-1 (22.1 MJ kg-1) in E. globulus, 5 150 kcal kg-1 (21.5 MJ kg-1) in E. denticulata and 4 927 kcal kg-1 (20.6 MJ kg-1) in A. dealbata. Stems and branches showed HHV levels between 4 399 kcal kg-1 (18.4 MJ kg-1) and 4 691 kcal kg-1 (19.6 MJ kg-1). The proventitious shoots of E. globulus, E. denticulata and, to a lesser extent, A. dealbata showed acceptable values for BD and HHV, and could be recommended for dendro-energy purposes. Tree pruning and thinning are recommended, in order to obtain two shoots per stump and improved values for BD and HHV.
Keywords: Bioenergy, wood quality, calorimetry, fast-growing trees, higher heating value, short rotation coppice.
Resumen
La densidad básica (DB) y poder calorífico superior (PCS) son atributos importantes en la producción de biomasa con fines dendroenergéticos. El objetivo de la presente investigación consistió en determinar la densidad básica de la madera y el poder calorífico superior en vástagos provenientes de tocones de tres cultivos dendroenergéticos. El estudio se realizó en la región del Biobío, Chile, en una plantación de Eucalyptus globulus, E. denticulata y Acacia dealbata con densidades de 5 000, 10 000 y 15 000 árboles por hectárea. Se observaron diferencias para DB de la madera entre especies y E. denticulata registró el nivel más alto en las tres densidades de plantación, con valores entre 0.46 y 0.49 g cm-3. Eucalyptus globulus y A. dealbata mostraron DB similar, con valores entre 0.38 y 0.45 g cm-3. El PCS presentó diferencias entre taxones, en cada tipo de vástago (adventicios y proventicios). Las hojas de vástagos proventicios tuvieron el PCS más alto, con valores de 5 280 kcal kg-1 (22.1 MJ kg-1) en E. globulus; 5 150 kcal kg-1 (21.5 MJ kg-1) en E. denticulata y 4 927 kcal kg-1 (20.6 MJ kg-1) en A. dealbata. En tallos y ramas se observaron niveles de PCS de 4 399 kcal kg-1 (18.4 MJ kg-1) a 4 691 kcal kg-1 (19.6 MJ kg-1). En los vástagos proventicios de E. globulus, E. denticulata y, en menor medida, A. dealbata se registraron valores aceptables para DB y PCS, lo que hace recomendable su uso con fines dendroenergéticos. Se sugieren podas y aclareos para manejar dos vástagos proventicios por tocón y con ello mejorar la DB y el PCS.
Palabras clave: Bioenergía, calidad de madera, calorimetría, cultivos de rápido crecimiento, poder calorífico superior, rotación corta.
Introducción
El cultivo de plantaciones en el sistema de rotación corta (SRC, por sus siglas en inglés para Short Rotation Coppice) se ha estudiado, recientemente, con fines dendroenergéticos (Souza et al., 2015). Varias especies de eucalipto y acacia se consideran adecuadas para la producción de grandes volúmenes de biomasa, cuando se cultivan bajo ese sistema (Camps y Marcos, 2002). Esta biomasa puede desplazar, de manera parcial, los combustibles fósiles utilizados en la actualidad para producir calor y electricidad, lo que a su vez, ayuda a los gobiernos a cumplir con las leyes ambientales y los compromisos vinculantes, encaminados a la reducción de emisiones de CO2 (McKendry, 2002).
Las especies de rotación corta permiten mayores densidades de plantación y, por lo tanto, un rendimiento alto de biomasa por unidad de superficie (Hoogwijk et al., 2005). El rebrote, normalmente, se estimula en la primavera y vuelve a crecer, con ello se evitan los costos de replantación. Cuando los períodos de rotación son demasiado cortos para un taxón y variedad, el crecimiento de vástagos puede obstaculizarse por el agotamiento de las reservas de carbohidratos almacenados en el sistema radical, lo cual afecta, también, la estructura de la madera (Al Afas et al., 2008).
Numerosos taxa leñosos, cultivados en rotación corta han adquirido importancia en la oferta de biomasa vegetal (Hoogwijk et al., 2005). Entre las especies dendroenergéticas más importantes a nivel mundial están los eucaliptos (Eucalyptus globulus Labill, E. nitens H. Deane & Maiden, E. denticulata I. O. Cook & Ladiges) (Camps y Marcos, 2002), sauce (Salix spp.), álamo (Populus spp.) y acacias (Acacia dealbata Link, A. melanoxylon R Br., A. retinodes Schltdl.) (Ríos et al., 2016). Estas presentan alta productividad y pueden promoverse como plantas forestales de crecimiento rápido (Hoogwijk et al., 2005).
La densidad básica es una de las propiedades físicas más importantes de la madera, debido a que expresa la cantidad de sustancia leñosa seca en un volumen dado de madera, cuando esta tiene un contenido de humedad igual o mayor al punto de saturación de las fibras (psf). Por ello, prácticamente, todas las propiedades mecánicas están relacionadas con dicha variable, razón por la cual es utilizada en la predicción de la resistencia del material vegetal (Cisternas, 1994).
El análisis detallado de las propiedades de la biomasa es indispensable, debido a la necesidad de adaptar la naturaleza de los recursos de leña al requerimiento específico de tecnologías modernas de conversión energética. Este tipo de análisis ayuda a identificar los componentes de las plantas que se correlacionan con las características de la madera usada como combustible (Davis et al., 1984; Butner et al., 1988). Aunque hay investigaciones en los que se evalua la variabilidad en las propiedades de la biomasa con ese propósito, pocos consideran las diferencias en las propiedades de la madera de los árboles cuando se cultivan bajo el sistema de rotación corta.
Las aplicaciones futuras de la bioenergía serán cada vez más dependientes de la producción de biomasa en plantaciones dendoenergéticas bajo el sistema de rotación corta (SRC). Lo anterior es respuesta a la creciente demanda de calor y electricidad a partir de fuentes renovables, las estrictas regulaciones ambientales y las políticas destinadas a proteger los recursos naturales (Senelwa y Sims, 1999). El objetivo del presente estudio fue determinar la densidad básica de la madera y poder calorífico superior en vástagos de dos años de edad, provenientes de tocones de tres cultivos dendroenergéticos.
Materiales y Métodos
Descripción del área
El trabajo se realizó en la región del Biobío, perteneciente a la octava región de Chile, en la cual se utilizó un sitio dentro de la comuna de Yumbel. El ensayo se ubicó en el predio La Aguada, a 37°11’23’’ S y 72°26’04’’ O. El suelo predominante se conoce como arenal, tiene procedencia aluvial, textura gruesa y es considerado de formación reciente; profundo, poco desarrollado y se derivó de arenas volcánicas de color negro, con origen andesítico y basáltico. El clima predominante es subhúmedo, con temperaturas que varían de 28.6 °C en enero a 4.4 °C, que se registra en julio. La precipitación pluvial media acumulada durante el año alcanza 1 093 mm (Novoa et al., 1989).
Diseño experimental
Se usó un diseño de bloques completos al azar con arreglo factorial, en el que se incluyeron los factores densidad de plantación (5 000, 10 000 y 15 000 árboles ha-1) y tres especies vegetales (A. dealbata, E. globulus y E. denticulata); cada bloque fue un cuadrado de 110 m de lado (12 100 m2), conformado por cuatro cuadrantes, cada uno compuesto por nueve unidades experimentales de 18 m por lado (324 m2). Una unidad consistió en una zona de amortiguamiento para evitar el efecto borde, y un núcleo de 30 tocones útiles) (Figura 1). Las especies arbóreas se manejaron bajo cuatro frecuencias de corte. El cuadrante corresponde a una de cuatro frecuencias de corte (1, 2, 3 y 4 años); la primera intervención, al primer año de establecido el cultivo, para evaluar la respuesta del rebrote y las propiedades elementales de los vástagos. Este trabajo se realizó en el cuadrante cosechado en diciembre de 2012, correspondiente a la frecuencia de dos años (Figura 1).
Cada color representa un cuadrante y una frecuencia de corte (1, 2, 3 y 4 años). Las letras (A, B, C) simbolizan a las especies; y los números (5,10 y 15) la densidad de plantación.
Figura 1. Distribución y diseño de las unidades experimentales en el sitio de estudio.
Densidad básica
Para el estudio de la densidad básica se seleccionaron tres tocones por parcela y en cada uno de ellos se cortaron todos los vástagos, estos se embalaron y etiquetaron con los datos correspondientes a densidad de plantación, bloque, especie, tocón y tipo de vástago (adventicio y proventicio); posteriormente, fueron trasladados al laboratorio para su estudio.
A cada vástago se le midió la altura total con un telescómetro marca Messfixs® de 12 m, y el diámetro por sección con un pie de metro marca Mitutoyo®, con mediciones a los 10, 50, 130 cm (a partir del diámetro a la altura del cuello de la raíz = Dac). Después de 130 cm se hicieron a cada metro, hasta que se registraron diámetros inferiores a 10 mm. En los puntos marcados a lo largo del vástago se obtuvieron rodajas de 2.5 cm de espesor que fueron ordenadas y etiquetadas en mallas plásticas, que se colocaron en recipientes con agua, hasta su completa sumersión, para de esa forma lograr que su volumen sobrepasara el punto de saturación de las fibras.
Cuando las muestras de las rodajas estuvieron completamente saturadas (peso constante), se determinó su volumen por el método de desplazamiento de agua; para ello, se midió el peso del agua desplazada por cada muestra (cm3), según la Norma NCh 176/2 (INN, 1986). Para la medición del peso del agua desplazada se utilizó una balanza electrónica Snowrex® (precisión 0.01 g), sobre la cual se colocó un recipiente con agua, apropiado para que las muestras flotaran libremente, sin tocar los costados, ni el fondo y que, al mismo tiempo, estuvieran completamente sumergidas. De esta forma, se obtuvo el peso del agua desplazada, misma que corresponde al volumen de la muestra de madera, al considerar la densidad del agua como la unidad (Valencia y Vargas, 1997).
Enseguida, las muestras se pusieron en bolsas de papel rotuladas y se colocaron en un horno (Riossa®) a 105 °C, para su secado hasta peso constante. El peso seco (anhidro) se obtuvo en una balanza electrónica Snowrex® (precisión 0.01 g), inmediatamente después de la extracción de las muestras del horno para evitar la absorción de humedad ambiental y la alteración del peso seco. La densidad básica de la madera correspondió al cociente entre el peso seco (anhidro) y volumen saturado de cada muestra de la madera, lo cual se obtuvo con la siguiente ecuación:
Donde:
DB = Densidad básica (g cm-3)
PS = Peso seco (g)
Vh = Volumen saturado (cm3)
Poder calorífico superior
El poder calorífico superior (PCS) se determinó con el calorímetro automático isoperibólico PARR 6400®, de acuerdo con la norma EN 14918 (EN, 2009). Para el análisis se utilizó biomasa molida en partículas de 1.5 mm, de cada tipo de vástago dentro del tocón y en tallo, ramas y hojas. A continuación, el material se peletizó formando pastillas de 1 g, que se introdujeron en la cámara cilíndrica del calorímetro automatizado. El valor de las mediciones se expresó en kcal kg-1.
Análisis de datos
Los resultados se sometieron a un análisis de varianza (ANDEVA) y comparación de medias, con la prueba Tukey (p ≤ 0.05), mediante el programa estadístico SAS (Proc REG y Proc GLM) (SAS, 2008). Se hicieron comparaciones entre densidades de plantación y especies, para cada tipo de brote (proventicio y adventicio) y componente de la biomasa (tallos, ramas y hojas) por separado.
Resultados
En los componentes de la biomasa se detectaron diferencias altamente significativas (p ≤ 0.01) entre especies para la mayoría de las variables evaluadas y entre densidades para el número de vástagos (Cuadro 1). La densidad de plantación tuvo influencia reducida sobre la mayoría de las variables incluidas en el estudio, y solo en el número de vástagos se observó efecto significativo. La interacción especie × densidad evidenció significancia en el PCS y altura de planta, lo que se relacionó con la modificación de la respuesta de al menos una especie, al pasar de una densidad a otra.
Cuadro 1. Probabilidades obtenidas en el análisis estadístico de la información de vástagos en tocones de primera rotación.
Efecto | DB | PCS | Nv | Dac | Altura |
Especie | 0.0036 | 0.0001 | 0.0143 | 0.0320 | <0.0001 |
Densidad | 0.0521 | 0.0504 | 0.0088 | 0.7974 | 0.0651 |
Especie × densidad | 0.2319 | <0.0001 | 0.1619 | 0.2760 | 0.0137 |
Error |
DB = Densidad básica, PCS = Poder calorífico superior, Nv = Número de Vástagos; Dac = Diámetro a la altura del cuello de la raíz.
Eucalyptus denticulata registró mayor densidad básica de la madera en las tres densidades de plantación, con valores entre 0.46 y 0.49 g cm-3 (Cuadro 2). El resto de las especies mostraron similitud para la densidad básica, con valores entre 0.44 y 0.45 g cm-3 para E. globulus y A. dealbata. Solo en los vástagos adventicios de A. dealbata se obtuvieron valores bajos de DB, con 0.38 g cm-3, especialmente en la densidad de plantación más alta (15 000 árboles ha-1).
Cuadro 2. Promedios obtenidos de la densidad básica y variables dasométricas en vástagos de tres especies dendroenergéticas.
Variable | Densidad (árboles ha-1) | Vástago | A. dealbata | E. denticulata | E. globulus |
Densidad básica (g cm-3) | 5 000 | Proventicio | 0.44Ba | 0.49Aa | 0.44Ba |
Adventicio | - | 0.48Aa | 0.44Ba | ||
10 000 | Proventicio | 0.45Ba | 0.47Aa | 0.45Ba | |
Adventicio | - | 0.47Aa | 0.45Aa | ||
15 000 | Proventicio | 0.44Ba | 0.46Aa | 0.45Ba | |
Adventicio | 0.38Cb | 0.47Aa | 0.42Ca | ||
Número de vástagos | 5 000 | Proventicio | 7.00Aa | 3.00Bab | 2.00Ba |
Adventicio | - | 4Aa | 3Aa | ||
10 000 | Proventicio | 6.00Aa | 2.00Bb | 2.00Ba | |
Adventicio | - | 4.00Aa | 2.00Ba | ||
15 000 | Proventicio | 4.00Ab | 2.00Bb | 2.00Ba | |
Adventicio | 1.00Ac | 2.00Ab | 1.00Ab | ||
Dac (mm) | 5 000 | Proventicio | 31.45Aa | 49.70Aa | 60.09Ba |
Adventicio | - | 15.03Ab | 18.25Ab | ||
10 000 | Proventicio | 32.45Aa | 49.67Aa | 56.89Ba | |
Adventicio | - | 16.25Ab | 14.61Ab | ||
15 000 | Proventicio | 36.82Aa | 42.26Aa | 57.71BAa | |
Adventicio | 15.10Ab | 16.93ABb | 25.85Bb | ||
Altura (m) | 5 000 | Proventicio | 3.97Aa | 4.94Ba | 7.06Ca |
Adventicio | - | 1.78Ab | 2.50Bb | ||
10 000 | Proventicio | 3.19Aa | 5.32Ba | 7.11Ca | |
Adventicio | - | 2.02Ab | 2.11Ab | ||
15 000 | Proventicio | 4.24Aa | 5.27Ba | 7.96Ca | |
Adventicio | 1.66Ab | 2.04Bb | 3.53Cb |
Letras mayúsculas muestran diferencias significativas entre especies; diferentes letras minúsculas en columna corresponden a diferencias entre densidades de plantación. Dac = Diámetro a la altura del cuello de la raíz.
Acacia dealbata registró la cantidad más grande de vástagos proventicios en todas las densidades de plantación, con fluctuaciones de 7.00 vástagos por tocón en 5 000 árboles ha-1 y 4.00 vástagos por tocón en 15 000 árboles ha-1. Se observó que A. dealbata presenta una tendencia a desarrollar vástagos proventicios y, únicamente, cuando disminuye su número, entonces emergen los de tipo adventicio. Las dos especies de eucalipto mostraron tendencia a generar ambos tipos de vástagos, con alguna predominancia de los adventicios, especialmente en E. denticulata. Además, se determinaron efectos negativos en ambos tipos de vástagos, sobre todo en E. globulus, en el que se redujo el número a medida que se incrementó la densidad de plantación.
El valor más alto para el diámetro a la altura del cuello de la raíz (Dac) fue para E. globulus con 60.09 mm, seguido por E. denticulata con 49.70 mm y el más bajo lo obtuvo A. dealbata, con 32.45 mm. Dichos valores correspondieron a los vástagos proventicios y la densidad de plantación más baja (5 000 árboles ha-1). El Dac disminuyó a medida que la densidad de plantación fue mayor (Cuadro 2), lo cual resultó estadísticamente significativo en E. globulus. En esta especie se tuvo un incremento significativo del Dac en los vástagos adventicios, a medida que se aumentó la densidad de plantación, por lo que con 15 000 árboles ha-1 alcanzó 25.85 mm. Lo anterior, coincidió con la reducción en el número de vástagos registrado en esa densidad de plantación.
Se presentaron valores superiores de altura en los vástagos proventicios de E. globulus y esta se incrementó a medida que aumentó la densidad de la plantación, de 7.06 m en 5 000 árboles ha-1, hasta 7.96 m con 15 000 árboles ha-1. En los vástagos adventicios se observó un aumento en altura entre las densidades de 5 000 árboles ha-1 (2.5 m) y 15 000 árboles ha-1 (3.53 m). E. denticulata mostró valores intermedios, mientras que A. dealbata los valores más bajos en los vástagos proventicios (3.19 m a 4.24 m) y adventicios (1.66 m). En todas las especies se observó dominancia de los proventicios, los cuales tuvieron valores más altos en número, diámetro y altura del vástago.
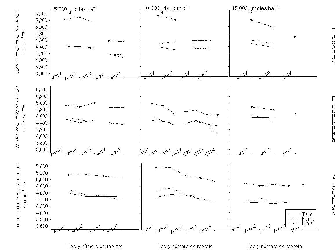
Las hojas de los vástagos dominantes (Prov 1 y Prov 2) registraron, por lo general, el poder calorífico más alto en las tres especies estudiadas (Figura 2). Los valores más altos alcanzaron 5 280 kcal kg-1 para E. globulus, 5 150 kcal kg-1 en E. denticulata y 4 927 kcal kg-1 en A. dealbata. El PCS del tallo y ramas presentó similitud en A. dealbata con valores entre 4 573 kcal kg-1 - 4 691 kcal kg-1; y E. denticulata 4 508 kcal kg-1 - 4 558 kcal kg-1. E. globulus tuvo el más bajo, con 4 399 kcal kg-1 para tallos y 4 434 kcal kg-1 en ramas. Los vástagos adventicios evidenciaron una disminución calorífica hasta de 400 kcal kg-1 en E. globulus (Figura 2).
Figura 2. Poder calorífico superior (PCS) por componente (tallo, rama y hoja) de vástagos proventicios (Prov) y adventicios (Adv) en tocones de primera rotación.
El poder calorífico en tocones rebrotados presentó diferencias en sus vástagos dominantes (proventicios) y codominantes (adventicios). Los dos vástagos proventicios dominantes (Prov 1 y Prov 2, con valores altos de Dac y altura) registraron el poder calorífico más alto en tallos, ramas y hojas, con una tendencia a disminuir según su vigorosidad dentro del tocón (Figura 2). La especie con mayor variación fue E. globulus, con una disminución hasta de 641.9 kcal kg-1 PCS en hojas, y 214 kcal kg-1 en tallos y ramas (Figura 2). La densidad de plantación careció de influencia significativa directa sobre el poder calorífico, bajo el sistema de rotación corta.
Discusión
Los resultados para la densidad básica de la madera en vástagos de primera rotación concuerdan con los estudios realizados en plantaciones de especies monofustales de edad más avanzada. En algunos de esos trabajos se evaluó la densidad básica de Acacia dealbata y la influencia de las localidades de plantación, con valores entre 0.32 g cm-3 y 0.54 g cm-3 (Pinilla y Hernández, 2010). En el caso específico de localidades, con características edafoclimáticas similares a las registradas en el presente estudio, se obtuvo una densidad de 0.47 g cm-3 en plantas de eucalipto con cinco años de edad (Pinilla y Hernández, 2010).
En una investigación en la que se incluyeron dos clones de eucalipto, con 57 y 69 meses de edad, se documentaron valores promedio similares a los registrados en la presente investigación (0.46 g cm-3) (Protásio et al., 2014). Evaluaciones de la densidad básica en 37 procedencias de E. globulus, con siete años de edad, se observaron variaciones de 0.43 a 0.49 g cm-3 (Miranda et al., 2001). En el estudio que aquí se documenta, E. denticulada tuvo la densidad básica más alta de la madera bajo el sistema de rotación corta. Los resultados son similares a lo citado para plantaciones de nueve años de edad, en los cuales se evaluaron las características de la madera de algunas especies de Eucalyptus en Brasil, se indica para E. denticulata una densidad básica promedio de 0.48 g cm-3, a la edad de 4.5 años (Duarte et al., 2000).
El sistema de rotación corta mostró DB similar a lo observado en plantaciones tradicionales unifustales, y los vástagos mantienen las propiedades de la madera, principalmente los de tipo dominante (proventicio). Con base en los resultados, se corroboró que la densidad básica es una característica importante de la madera y se debe considerar como criterio para la selección de fuentes de biomasa, ya que está directamente relacionada con la producción de energía por unidad de volumen (Protásio et al. 2014).
Existen varias referencias para la densidad básica de la madera y el poder calorífico superior en la literatura, los cuales han sido evaluados en la primera rotación y en plantaciones tradicionales monofustales (Vargas et al., 2005; Espina, 2006; Peredo et al., 2007; Igartúa y Monteoliva, 2009; Igartúa et al., 2015; Batista et al., 2016). Sin embargo, los estudios de la relación que tiene la densidad básica con el poder calorífico de la biomasa en cultivos de rotación corta son relativamente recientes en Chile, por lo que se requiere mayor número de evaluaciones. Los resultados del estudio conjunto de ambas variables podrán utilizarse para definir los criterios para la selección de especies con mayor rendimiento, calidad y estabilidad productiva de la biomasa para una localidad y densidad de plantación determinada.
A. dealbata evidenció la tendencia a desarrollar vástagos proventicios en densidades bajas de plantación (5 000 árboles ha-1) y, únicamente, cuando la dominancia de estos disminuye, entonces emergen los adventicios. Dicha respuesta se atribuye a la competencia por espacio y nutrientes inter e intratocones, así como al número de vástagos, crecimiento inicial y características del taxon (Ríos et al., 2017). Las dos especies de eucalipto registraron tendencia a generar ambos tipos de vástagos, con alguna predominancia de los adventicios, especialmente en E. denticulata. Además, se determinaron efectos negativos en los dos tipos de vástagos, en particular en E. globulus, en el que se redujo el número a medida que se incrementó la densidad de plantación. Dicha reacción se relacionó con la tendencia a la eliminación natural de los vástagos débiles, los cuales reducen su crecimiento, debido a la competencia por espacio y radiación solar (Ríos et al., 2017).
E. globulus creció más en Dac y altura, en contraste con las otras especies. Los resultados concuerdan con lo señalado en estudios que evaluaron el vigor de retoños de E. globulus, E. viminalis y E. regnans, cuyos valores más altos corresponden al diámetro y altura en los vástagos de E. globulus (Geldres et al. 2004). Aunque varios autores han enfatizado la adaptabilidad de las especies del género Acacia en condiciones ambientales desfavorables (McKinnell, 1990; Hussain y Gul, 1991; Sandoval et al., 2012), A. dealbata presentó bajo nivel de crecimiento, debido al momento del corte y extracción de la biomasa de la primera rotación. Asimismo, evidenció un número alto de vástagos, por lo que es recomendable ajustar el manejo de aclareos y podas para que sea más eficiente el uso de la radiación solar y facilitar la obtención de madera de calidad alta (Pinilla y Navarrete, 2010).
Las variaciones del PCS registrado entre especies y componentes (tallo, rama y hojas) se relacionaron con las diferencias en la composición química de la biomasa (Senelwa y Sims, 1999). Los dos taxa de Eucalyptus tuvieron propiedades elementales similares para el potencial energético de su biomasa (Figura 2). En evaluaciones de las características de los combustibles provenientes de E. globulus y A. dealbata, manejadas con el sistema de rotación corta, se obtuvo un poder calorífico superior a 4 705 kcal g-1 en árboles con tres años de edad (Senelwa y Sims 1999), lo que concuerda con los resultados que se documentan con vástagos de dos años de edad.
En plantaciones unifustales de A. dealbata con edades de cuatro a seis años, los tallos registraron valores bajos de PCS en diferentes localidades de Chile, con valores de 3 909 kcal kg-1 a 4 288 kcal kg-1 (Pinilla y Navarrete, 2010). Los componentes tallo, ramas y hojas mostraron diferencias en su poder calorífico, lo que coincide con lo documentado en la literatura, en la que se citan valores altos de poder calorífico en las hojas de E. globulus, con valores de 5 730 kcal kg-1 (Senelwa y Sims, 1999). Lo anterior, supera a los resultados del presente estudio para las tres especies, en los que las hojas en los vástagos proventicios tuvieron un poder calorífico entre 5 100 y 5 300 kcal kg-1.
El número de vástagos y su nivel de dominancia influyeron en el PCS de la madera, en todos los taxa analizados. Se observó una tendencia a su disminución en tocones con alto número de vástagos y cuando fueron menos dominantes, por lo que el crecimiento y lignificación fue menor, con respecto a los dominantes. Esto fue más evidente en A. dealbata que registró el mayor número de vástagos, y ello influyó negativamente en su crecimiento, lignificación y PCS.
La variación en el PCS fue más notoria en ramas y hojas, mientras que los tallos presentaron más estabilidad, en relación con el resto de los órganos. Los vástagos proventicios dominados de E. denticulata pierden hasta 28 % de su poder calorífico en el componente hojas, ramas y tallos (Figura 2), especialmente, con una densidad de plantación de 10 000 árboles ha-1, en la que se observó, también, que los vástagos adventicios redujeron su PCS por efecto del nivel de dominancia.
A. dealbata presentó más proporción de vástagos proventicios que mantuvieron su PCS (Figura 2), lo cual se consideró como una propiedad típica de la mayoría de las acacias, por su tipo de crecimiento cespitoso. Solo en la densidad de 10 000 árboles ha-1 se observó reducción paulatina del PCS a medida que disminuyó el nivel de dominancia del vástago, lo cual fue más notorio en las hojas y ramas. Los resultados evidencian que se debe dar prioridad al manejo de vástagos proventicios, dejando dos o tres por tocón, con lo que se obtendrán valores altos de poder calorífico, sustentado por la composición química de la biomasa (Susott et al., 1975; Murphey y Masters, 1978).
Conclusiones
En los tres taxa estudiados bajo el sistema de rotación corta (SRC) hay variación considerable en la densidad básica de la madera y poder calorífico superior. La variación entre especies se relaciona con la densidad de plantación, que influye en la respuesta de cada taxón en cuanto al número de vástagos y al crecimiento de estos, medido en Dac y altura. Los valores altos para el número de vástagos afectan negativamente la densidad básica y el poder calorífico, por lo que es recomendable hacer aclareos y podas. El sistema de rotación corta favorece la reducción de turnos de cosecha, con lo cual aumenta la biomasa por unidad de superficie, sin perder sus propiedades elementales, especialmente, cuando se usan dos vástagos de tipo proventicio por tocón. Las dos especies de eucalipto evaluadas, y en menor medida A. dealbata, cuentan con características que favorecen su uso en la producción de biomasa, a partir de vástagos, con fines dendroenergéticos.
Agradecimientos
Al Consorcio Tecnológico Bioenercel. Proyecto clave 2008.05.15 “Plantaciones con especies leñosas de corta rotación para la producción de biocombustibles de segunda generación”. A la Universidad de Concepción, las empresas forestales Masisa, Forestal Mininco y Forestal Arauco por el apoyo complementario al seguimiento del proyecto.
Conflicto de intereses
Los autores declaran no tener conflicto de intereses.
Contribución por autor
Julio Cesar Ríos Saucedo: revisión bibliográfica, fase de campo y análisis de resultados; Rafael Rubilar Pons: revisión bibliográfica y análisis de datos y resultados; Jorge Cancino Cancino: análisis en laboratorio de la densidad básica de la madera y análisis estadístico; Eduardo Acuña Carmona: análisis del poder calorífico y redacción de discusiones; José Javier Corral Rivas: revisión bibliográfica, y análisis estadístico; Rigoberto Rosales Serna: análisis de datos y resultados.
Referencias
Al Afas, N., N. Marron, S. Van Dongen, I. Laureysens and R. Ceulemans. 2008. Dynamics of biomass production in a poplar coppice culture over three rotations (11 years). Forest Ecology and Management 255(5-6): 1883-1891.
Batista, D. C., R. J. Klitzke, M. P. da Rocha and T. Ribeiro B. 2016. Tests of drying rate and scoring of defects for the prediction of conventional kiln drying quality of Eucalyptus sp. wood - Part 2. Floresta e Ambiente 23(1): 135-141.
Butner, R. S, D. C. Elliott, L. J. Sealock Jr. and J. W. Pyne. 1988. Effect of biomass feedstock chemical and physical properties on energy conversion processes: Volume 1- Overview. Pacific Northwest Lab. Richland, WA, USA. 25 p.
Camps M., M. y F. Marcos M. 2002. Los biocombustibles. Ediciones Mundi-Prensa. Madrid, España. 366 p.
Cisternas, P. 1994. Conversión de densidades de la madera. Ciencia e Investigación Forestal 8(2): 300-315.
Davis, E. A., J. L. Kuester and M. O. Bagby. 1984. Biomass conversion to liquid fuels: potential of some Arizona chaparral brush and tree species. Nature: 307: 726-328.
Duarte P., J. C., J. A. Sturion, A. Royei H., R. C. V. Higa e J. Y. Shimizu. 2000. Características da madeira de algumas espécies de eucalipto plantadas no Brasil. Embrapa Florestas. Documentos 38. Colombo, Paraná. Brasil. 113 p.
European Standard (EN). 2009. EN 14918. Solid biofuels - Determination of calorific value. NSAI. Dublin, Ireland. 63 p.
Geldres, E., J. E. Schlatter y A. Marcoleta. 2004. Monte bajo, opción para tres especies de Eucaliptos en segunda rotación, un caso en la provincia de Osorno, Décima Región, Chile. Bosque (Valdivia) 25(3): 57-62.
Hoogwijk, M., A. Faaij, B. Eickhout, B. de Vries and W. C. Turkenburg. 2005. Potential of biomass energy out to 2100, for four IPCC SRES land-use scenarios. Biomass and Bioenergy 29(4): 225-257.
Hussain, A. and P. Gul. 1991. Selection of suitable tree species for saline and waterlogged areas. Pakistan Journal of Forestry 41(1): 34-43.
Igartúa D., D. V. y S. Monteoliva. 2009. Densidad básica de la madera de Acacia melanoxylon R. Br en relación con la altura de muestreo, el árbol y el sitio. Investigación Agraria: Sistemas y Recursos Forestales 18(1): 101-110.
Igartúa, D. V., S. E. Monteoliva, M. G. Monterubbianesi y M. S. Villegas. 2015. Calidad del leño en Eucalyptus globulus ssp. globulus: II. Variaciones en la densidad básica y la longitud de fibras en Lobería, Provincia de Buenos Aires, Argentina. Revista de la Facultad de Agronomía, La Plata 105(1): 29-39.
Instituto Nacional de Normalización (INN). 1986. Norma Chilena Oficial (NCh 176/2. Of. 1986). Madera-parte 2: determinación de la densidad. INN. Santiago, Chile. 11 p.
McKendry, P. 2002. Energy production from biomass (Part 2): conversion technologies. Bioresource Technology 83(1): 47-54.
McKinnell, F. 1990. Species trials on alkaline soils in Indonesia. Forestry Newsletter 10: 1-3.
Miranda, I., M. H. Almeida and H. Pereira. 2001. Influence of provenance, subspecies, and site on wood density in Eucalyptus globulus Labill. Wood and Fiber Science 33(1): 9-15.
Murphey, W. K. and K. R. Masters. 1978. Gross heat of combustion of northern Red oak (Quercus rubra L.) chemical components. Wood Science 10(3): 139-141.
Novoa, R., S. Villaseca, P. Del Canto, J. Rouanet, C. Sierra y A. Del Pozo. 1989. Mapa Agroclimático de Chile. Instituto de Investigaciones Agropecuarias, INIA. Santiago de Chile. 221 p.
Peredo, M. A., C. Mora y M. Ramírez. 2007. Efecto del espaciamiento en la densidad básica y aptitud pulpable de la madera de Eucalyptus nitens. http://www.eucalyptus.com.br/icep03/420Peredo.text.pdf (11 de marzo de 2018).
Pinilla S., J. C., y G. Hernández C. 2010. Poder calorífico de Acacia dealbata Link crecida en Chile. Ciencia e Investigación Forestal 16(3): 353-379.
Pinilla S., J. C. y M. Navarrete T. 2010. Evaluación inicial de un ensayo de manejo en Acacia dealbata. Ciencia e Investigación Forestal 16(2): 185-204.
Protásio, T. de P., S. L. Goulart, T. A. Neves, M. R. de Assis and P. F. Trugilho. 2014. Commercial clones of Eucalyptus at different ages for bioenergetic use of wood. Scientia Forestalis 42(101): 113-127.
Ríos S., J. C., E. Acuña C., J. Cancino C., R. Rubilar P., J. J. Navar C. y R. Rosales S. 2016. Allometric equations commonly used for estimating shoot biomass in short-rotation wood energy species: a review. Revista Chapingo Serie Ciencias Forestales y del Ambiente 22(2): 193-202.
Ríos S., J. C., E. Acuña C., J. Cancino C., R. Rubilar P., J. J. Corral R. y R. Rosales S. 2017. Dinámica de brotación y densidad básica de la madera en rebrotes de tres especies dendroenergéticas. Agrociencia 51(2): 215-227.
Sandoval S., J. Cancino, R. Rubilar, E. Esquivel, E. Acuña, F. Muñoz, and M. Espinosa. 2012. Probability distributions in high-density dendroenergy plantations. Forest Science 58(6): 663-672.
Statistical Analysis System (SAS). 2008. SAS/STAT 9.2 user's guide. SAS Institute Inc. Cary, NC USA. 1027 p.
Senelwa, K. and R. E. H. Sims. 1999. Fuel characteristics of short rotation forest biomass. Biomass and Bioenergy 17(2): 127-140.
Souza, F. C., G. G. dos Reis, M. G. F. Reis, H. G. Leite, R. S. de Faria, J. P. Caliman, R. A. Barbosa and C. H. R. de Oliveira. 2015. Growth of intact plants and coppice in short rotation eucalypt plantations. New Forests 47(2): 195-208.
Susott, R. A., W. F. deGroot and F. Shafizadeh. 1975. Heat content of natural fuels. Journal of Fire and Flammability 6: 311-325.
Valencia M., S. y J. Vargas H. 1997. Método empírico para estimar la densidad básica en muestras pequeñas de madera. Madera y Bosques 3(1): 81-87.
Vargas H., J., A. Borja de la R., E. Ignacio S. y J. López U. 2005. Parámetros genéticos del crecimiento y densidad de madera en edades juveniles de Eucalyptus urophylla S. T. Blake. Agrociencia 39(4): 469-479.
Todos los textos publicados por la Revista Mexicana de Ciencias Forestales–sin excepción– se distribuyen amparados bajo la licencia Creative Commons 4.0 Atribución-No Comercial (CC BY-NC 4.0 Internacional), que permite a terceros utilizar lo publicado siempre que mencionen la autoría del trabajo y a la primera publicación en esta revista.