Revista Mexicana de Ciencias Forestales Vol. 16 (89)

Mayo - Junio (2025)

Logotipo, nombre de la empresa

Descripción generada automáticamente

DOI: https://doi.org/10.29298/rmcf.v16i89.1542

Artículo de investigación

 

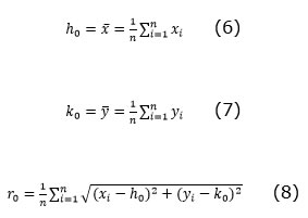
Estimación de la biomasa forestal aérea a nivel árbol individual mediante LiDAR terrestre

Aboveground forest biomass estimation at the individual tree level using terrestrial LiDAR

 

Jorge Luis Compeán-Aguirre1, Pablito Marcelo López-Serrano2*, José Luís Silván-Cárdenas3, Ciro Andrés Martínez-García-Moreno4, Daniel José Vega-Nieva5, José Javier Corral-Rivas5

 

Fecha de recepción/Reception date: 14 de diciembre de 2024.

Fecha de aceptación/Acceptance date: 28 de marzo de 2025.

_______________________________

1Universidad Juárez del Estado de Durango, Programa Institucional de Doctorado en Ciencias Agropecuarias y Forestales. México.

2Universidad Juárez del Estado de Durango, Instituto de Silvicultura de la Industria de la Madera. México.

3Centro de Investigación en Ciencias de Información Geoespacial. México.

4Instituto Politécnico Nacional, Centro de Investigación y Desarrollo de Tecnología Digital. México.

5Universidad Juárez del Estado de Durango, Facultad de Ciencias Forestales. México.

 

*Autor para correspondencia; correo-e: p_lopez@ujed.mx

*Corresponding author; e-mail: p_lopez@ujed.mx

 

Resumen

Los ecosistemas forestales desempeñan un papel clave en el almacenamiento de carbono, lo que subraya la importancia de estimar la biomasa de los árboles de manera precisa. El objetivo de la presente investigación fue estimar la biomasa forestal mediante un escáner láser (LiDAR, por sus siglas en inglés Light Detection and Ranging), específicamente un dispositivo terrestre (TLS, Terrestrial Laser Scanner), a nivel de árbol individual. Se seleccionaron 31 árboles de una masa regular de Pinus cooperi de los cuales se midieron las variables de diámetro a la altura del pecho (DAP) y la altura (h), de manera tradicional. Los datos de TLS se recolectaron con un escáner laser FARO® Focus M70, se procesaron para modelar tridimensionalmente los troncos y calcular su biomasa. Estos datos se contrastaron con estimaciones obtenidas por ecuaciones alométricas y mediciones tradicionales. Los resultados indican que el TLS es preciso para medir diámetros (R2=0.72 y RMSE=1.28 cm), respecto a los métodos tradicionales. Sin embargo, subestima la altura de los árboles (R2=0.79 y RMSE=1.68 m), lo que afecta la precisión en el cálculo de la biomasa. Aunque el TLS proporcionó estimaciones aceptables, estas fueron inferiores a las obtenidas mediante ecuaciones alométricas. Se concluye que el TLS es una herramienta prometedora para estudios no destructivos de biomasa. Futuros trabajos deben considerar con mayor detalle la influencia de las características del área estudiada, la metodología del escaneo y los algoritmos aplicados en la estimación de la biomasa.

Palabras clave: Ajuste de circunferencia, biomasa, escaneo láser terrestre, modelado 3D, nube de puntos, parámetros forestales.

Abstract

Forest ecosystems play a key role in carbon storage, highlighting the importance of accurately estimating the tree biomass. The objective was to estimate the forest biomass using a laser scanner (LiDAR, Light Detection and Ranging), specifically a terrestrial device (TLS, Terrestrial Laser Scanner), at the individual tree level. Thirty-one trees were selected from a Pinus cooperi regular stand, whose diameter at breast height (DBH) and height (h) variables were measured in a traditional way. TLS data were collected with a model Focus M70 FARO® laser scanner and processed to three-dimensionally model the logs and calculate their biomass. These data were compared with estimates obtained by allometric equations and traditional measurements. Results indicate that the TLS is accurate in measuring diameters (R2=0.72 and RMSE=1.28 cm), compared to traditional methods. However, it underestimates the tree height (R2=0.79 and RMSE=1.68 m), affecting the accuracy of the biomass calculation. Although the TLS provided acceptable estimates, these were lower than those obtained using allometric equations. In conclusion, TLS is a promising tool for nondestructive biomass studies. Future work should consider in greater detail the influence of the characteristics of the studied area, the scanning methodology, and the algorithms applied in the estimation of biomass.

Key words: Circumference adjustment, biomass, terrestrial laser scanning, 3D modeling, point cloud, forest parameters.

 

 

 

Introducción

 

 

Los ecosistemas forestales son el principal reservorio de biomasa aérea. Durante la fotosíntesis capturan dióxido de carbono y liberan oxígeno. Posteriormente, el carbono fijado en sus tejidos se transfiere al suelo a través de la descomposición de la materia orgánica. Por esa razón, la estimación precisa de la biomasa permite cuantificar la capacidad de almacenamiento de carbono en los bosques. De manera tradicional, se han utilizado metodologías basadas en muestreos destructivos para desarrollar modelos alométricos para estimar la biomasa aérea (Segura & Andrade, 2008). Entre los modelos más utilizados están los derivados de regresión lineal, no lineal y de efectos mixtos (Návar, 2009; Vargas-Larreta et al., 2017).

Las principales variables independientes consideradas en esas ecuaciones son el diámetro a la altura del pecho (DAP), medido a 1.30 m del suelo, y la altura total, ambas de fácil medición (Huy et al., 2016). Sin embargo, estas expresiones suelen ser específicas para ciertas regiones geográficas o especies, lo que limita su aplicabilidad en áreas donde no se dispone de datos locales (Chojnacky et al., 2014). Además, los datos recolectados deben cumplir con ciertas suposiciones estadísticas para su correcta aplicación, tales como independencia de los datos, distribución normal y varianza constante, además de que suponen un error mínimo en la medición de las variables independientes (Ashraf et al., 2013).

En este contexto, han surgido nuevas metodologías basadas en tecnologías de sensores remotos aplicados a la medición forestal, como los dispositivos LiDAR. Las principales plataformas para esos dispositivos son: la espacial (como ICESat-2 y GEDI de la NASA), la aerotransportada (Airborne Laser Scanning, ALS) y la terrestre (Terrestrial Laser Scanning, TLS), que incluye MLS (Mobile Laser Scanning) y PLS (Personal Laser Scanning) (Borsah et al., 2023). Los sistemas LiDAR funcionan mediante la emisión de pulsos láser que, al interactuar con una superficie, reflejan parte de la energía hacia el sensor; el proceso genera datos tridimensionales de las entidades escaneadas, lo que permite obtener, con alta precisión, un modelo tridimensional de los objetos (Disney et al., 2018).

Cada plataforma LiDAR presenta características específicas. El TLS ofrece alta precisión en la reconstrucción tridimensional de los árboles individuales, pero su alcance es limitado y la captura del dosel forestal es deficiente, debido a la oclusión de las ramas. El ALS cubre grandes áreas forestales con alta resolución, aunque su precisión depende de la penetración del láser en la vegetación. El MLS proporciona un escaneo continuo y cubre extensas superficies en menos tiempo que el TLS, pero su exactitud puede afectarse por errores de posicionamiento y ruido inherente al movimiento. Finalmente, con el LiDAR espacial se hace el monitoreo global de la biomasa forestal, aunque con menor resolución y sujeto a la cobertura orbital del satélite (Borsah et al., 2023).

La estimación de la biomasa aérea forestal mediante TLS se puede dividir en dos enfoques principales: el modelado estructural (Calders et al., 2015) y la extracción de parámetros dendrométricos (Kankare et al., 2013). Recientemente, se han integrado a los datos TLS imágenes satelitales y algoritmos de inteligencia artificial, entre los que destaca el uso de redes neuronales, por su mayor precisión en la estimación de biomasa (Bhandari & Nandy, 2024; Wang et al., 2023). A nivel global, China y Estados Unidos de América lideran en la aplicación de TLS para el cálculo de la biomasa, especialmente en bosques templados (Compeán-Aguirre & López-Serrano, 2024).

En México, el uso del TLS sigue siendo limitado. En cuanto a investigaciones previas, de corte forestal, se ha documentado el desarrollo del programa TreeTool v0.1, que puede medir DAP y altura en datos de ALS y TLS (Montoya et al., 2021), la aplicación de un MLS para medir parámetros de inventario forestal (Hernández-Moreno et al., 2025a) y el cálculo de volumen y biomasa (Hernández-Moreno et al., 2025b). Por otro lado, el LiDAR aerotransportado ha sido más estudiado, con diversas investigaciones enfocadas en inventarios forestales y estimaciones de biomasa aérea (Galeote-Leyva et al., 2022; Islas-Gutiérrez et al., 2024; Ortiz-Reyes et al., 2019, 2022). A pesar de las investigaciones realizadas, persisten desafíos técnicos y metodológicos, lo que subraya la necesidad de estudiar el LiDAR terrestre en el ámbito nacional.

Con base en lo anterior, el objetivo de este estudio fue estimar la biomasa forestal a nivel de árbol individual utilizando datos de un sensor LiDAR Terrestre (TLS). Para ello, se extrajeron las variables de altura total y diámetro, que se utilizaron para modelar el fuste de cada árbol. Los resultados se compararon con estimaciones derivadas de ecuaciones alométricas.

 

 

Materiales y Métodos

 

 

Área de estudio

 

 

El estudio se realizó en un sitio con una masa forestal regular de Pinus cooperi C. E. Blanco, con una dimensión de 50×50 metros y una densidad de 960 árboles ha-1, ubicado en el ejido La Victoria, municipio Pueblo Nuevo, Durango, México (Figura 1A). El sitio se estableció bajo la metodología desarrollada por la Forestry Commission (Hummel et al., 1959). En esta, las áreas homogéneas se dividen en parcelas que pueden variar entre 1 200 y 4 000 m2; en donde los árboles se numeran y miden periódicamente para monitorear su crecimiento. En el área de estudio se presenta un clima templado subhúmedo y semifrío subhúmedo (García, 2004), con temperatura media anual de 20 a 22 °C, y precipitación anual que oscila entre 800 y 1 200 mm.

 

A = Ubicación geográfica del área de estudio; B = Árboles del sitio seleccionados y etiquetados.

Figura 1. Área de estudio.

 

 

Obtención de datos

 

Se seleccionaron aleatoriamente 31 árboles con un DAP mayor a 10 cm (Hoover & Smith, 2020) y se marcaron con etiquetas rosas para su identificación en la nube de puntos del TLS Figura 1B). La medición del DAP de cada árbol se realizó a 1.30 m del suelo con una forcípula forestal Häglof® Mantax Blue 800 mm y se promediaron dos mediciones perpendiculares con orientación norte-sur y este-oeste. La altura (h) de cada individuo se obtuvo con un hipsómetro Haglöf®Vertex 5.

Una vez realizadas las mediciones directas, se procedió al escaneo láser. La ubicación del sensor y la distribución de los árboles son clave para no perder información, por lo que se recomienda hacer múltiples escaneos (Liang et al., 2018). Se definieron cuatro posiciones para abarcar la mayoría de los árboles, con un promedio de 9 minutos por escaneo, esto con base en el trabajo de Bornand et al. (2023), quienes utilizaron tres escaneos en un bosque templado. Las posiciones donde se colocó el equipo y la distribución de los árboles se presentan en la Figura 2A. El dispositivo empleado fue un escáner FARO®Focus M70, con una longitud de onda de 1 550 nm, intervalo de medición de 0.6 a 70 m y precisión de ±3 mm, que registra una reflexión por pulso láser y captura imágenes RGB de hasta 165 megapíxeles. Se configuró con el perfil “exterior a partir de 20 m”, para cubrir un área horizontal de 360° y vertical de -60° a 90°, lo cual generó una malla de aproximadamente 44 millones de puntos por escaneo.

 

A = Distribución espacial de los árboles y dispositivo TLS; B = Objetivo reflectante en el árbol; C = Nube de puntos fusionada.

Figura 2. Distribución espacial, objetivo reflectante y nube de puntos.

 

Las nubes de puntos se fusionaron en el programa FARO® SCENE Software versión 5.5.3.16 (FARO, 2019) usando 10 objetivos reflectantes colocados antes del escaneo (Figura 2B). El software alineó las nubes de puntos usando la información geoespacial de los objetivos, para generar una nube única (Figura 2C). La unidad de color del escáner permitió visualizar las etiquetas rosas, que facilitó la identificación de los árboles.

 

 

Cálculo de biomasa con el método tradicional

 

 

La biomasa del fuste se estimó mediante los datos de diámetro y altura, con modelos alométricos desarrollados para Pinus cooperi. Se utilizó la ecuación de Návar (2009), basada únicamente en el DAP (Ecuación 1), y la de Vargas-Larreta et al. (2017) que incorpora la altura h (Ecuación 3). Adicionalmente se consideraron los modelos genéricos sugeridos por ambos autores para todas las especies de pino (ecuaciones 2 y 4). Las expresiones utilizadas se presentan en el Cuadro 1.

 

Cuadro 1. Ecuaciones alométricas para Pinus cooperi C. E. Blanco y el género Pinus L.

Wf = Biomasa del fuste (kg); DAP = Diámetro a la altura del pecho (cm); h = Altura total (m).

 

 

Cálculo del volumen y biomasa TLS

 

 

El flujo de trabajo incluyó modelar el fuste del árbol, calcular su volumen y estimar la biomasa mediante la multiplicación del volumen por el valor de densidad específica de Pinus cooperi. Todo el proceso se basó íntegramente en los datos derivados de la nube de puntos. Los cálculos y análisis estadísticos, con excepción de la segmentación, se llevaron a cabo en el lenguaje R versión 4.4.1 (R Core Team, 2024) dentro del entorno de desarrollo RStudio versión 2023.12.1 Build 402 (RStudio Team, 2024). Se emplearon exclusivamente funciones base y los paquetes estándar.

 

 

Segmentación y normalización de datos

 

 

Los árboles seleccionados se segmentaron individualmente con el software CloudCompare versión 2.13 (CloudCompare, 2024), eliminando ramas y conservando solo los puntos del tronco. La altura del fuste se normalizó restando el valor mínimo de z, trasladando la base a z=0, y la altura total se definió como el valor máximo de z. Para modelar el tronco, se dividió en intervalos de 5 cm, y en cada uno se tomaron los puntos entre ±2.5 cm, formándose discos tridimensionales. Entre estos intervalos, se incluyó el correspondiente a 1.30 metros del suelo que contiene el DAP. Para reducir el costo computacional, los discos se proyectaron en 2D eliminando la coordenada z y se descartaron los puntos repetidos (Ye et al., 2020). La Figura 3 muestra el proceso descrito.

 

A = Árbol segmentado; B = Fuste segmentado; C = Ejemplo de extracción de discos; D = Circunferencia bidimensional.

Figura 3. Ejemplo del proceso de extracción de discos a nivel de árbol individual.

 

 

Cálculo de diámetros en las circunferencias

 

 

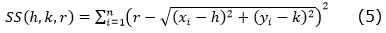
El diámetro de cada proyección se calculó ajustando una circunferencia a los puntos contenidos en su respectivo plano, definida por su centro (h, k) y su radio (r). Este ajuste se planteó como un problema de optimización; se minimizó el error cuadrático entre los puntos y la circunferencia propuesta, mediante la función objetivo (Ecuación 5) de Umbach y Jones (2003):

 

    

 

Donde:

SS = Suma de los errores cuadráticos (m)

(h, k) = Centro de la circunferencia

r = Radio de la circunferencia (m)

()= Punto  del plano 2D

n = Número de puntos en el plano

 

Para minimizar la Ecuación (5) y determinar los valores óptimos de h, k y r se utilizó el método de Nelder-Mead (Nelder & Mead, 1965), implementado mediante la función “optim” del paquete “stats”. Este enfoque, que requiere pocos recursos computacionales, emplea los siguientes parámetros iniciales (ecuaciones 6 a 8) (Compeán-Aguirre et al., 2024). 

 

    

 

Donde:

h0 = Promedio de coordenadas x

k0 = Promedio de coordenadas y

r0 = Promedio del radio (m)

() = Punto  del plano 2D

n = Número de puntos en el plano

Relación altura-diámetro

 

 

La variación del diámetro del fuste a lo largo de su altura se modeló mediante la Ecuación 9 (Kaitaniemi et al., 2020):

 

    

 

Donde:

Di = Diámetro predicho del segmento  (m)

a, b = Coeficientes estadísticos del modelo

hi = Altura TLS del fuste en el segmento  (m)

 

El modelo se ajustó con los diámetros calculados, previamente, con el método de Nelder-Mead (Nelder & Mead, 1965). Los coeficientes a y b se estimaron con la función “nls” del paquete “stats”; se asignó 70 % de los datos para el ajuste y 30 % para validar cada modelo.

 

 

Volumen y biomasa

 

 

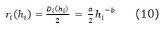
El Volumen del fuste (Vf) se calculó integrando el área transversal A(hi) a partir de la Ecuación 9. El radio del segmento  en función de la altura hi se define como:

 

   

 

Donde:

ri = Radio predicho del segmento  (m)

hi = Altura TLS del fuste en el segmento  (m)

Di = Diámetro predicho del segmento  (m)

a, b = Coeficientes estadísticos de cada modelo

 

Por lo tanto, el área transversal en función de la altura se expresa como:

 

    

 

Donde:

A = Área transversal del segmento  (m2)

hi = Altura TLS del fuste en el segmento  (m)

ri = Radio predicho del segmento  (m)

a, b = Coeficientes estadísticos de cada modelo

 

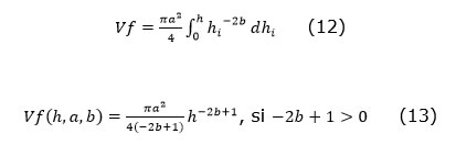
Al integrar el área transversal A(hi) desde hi=0 hasta hi=h se obtuvo la ecuación del volumen del fuste en función de la altura (Ecuación 12) y los valores a y b(Ecuación 13):

 

    

 

Donde:

Vf = Volumen del fuste (m3)

a, b = Coeficientes estadísticos de cada modelo

h = Altura total TLS del fuste (m)

hi = Altura TLS del fuste en el segmento  (m)

dhi = Diferencial de la variable hi (m)

 

Finalmente, la biomasa del fuste se calculó multiplicando el volumen total de cada fuste, obtenido de la Ecuación (13), por la densidad de la madera, como se indica en la siguiente la expresión:

 

    

 

Donde:

Wf = Biomasa del fuste (kg)

Vf = Volumen del fuste (m3)

 = 416kg m3. Valor citado por Silva-Arredondo y Návar-Cháidez (2012) para Pinus cooperi.

 

 

 

Análisis estadístico y métricas de evaluación

 

 

Se evaluó la normalidad de los datos de diámetro (DAP), altura (h) y biomasa (Wf) con la prueba de Shapiro-Wilk, para ello se utilizaron tanto los valores de los instrumentos tradicionales, como del TLS. El diámetro y la altura siguieron una distribución normal en ambos métodos. Tras evaluar la homogeneidad de varianzas con la prueba de Levene, se compararon sus medias mediante la prueba t de Student con 95 % de confianza. Para la biomasa, al no ser normal, se aplicó la prueba de Kruskal-Wallis y un análisis post hoc de Dunn con corrección de Bonferroni (Haynes, 2013), en el paquete dunn.test versión 1.3.6 (Dinno, 2024) y un intervalo de confianza de 95 %. Además, se calcularon el RMSE (Ecuación 15) y R2 (Ecuación 16) para el diámetro y la altura. Se asumió que los valores observados del DAP y la altura correspondían a las mediciones con forcípula e hipsómetro, y los valores predichos se estimaron con TLS.

 

    

 

Donde:

 

Resultados y Discusión

 

 

El análisis de la variable h obtenida del hipsómetro y de la nube de puntos del TLS estimó una media de 12.29 m y 10.82 m, respectivamente (Cuadro 2). La prueba de Shapiro-Wilk confirmó la normalidad de los datos en ambos métodos (p=0.1168 y p=0.9113), y la prueba de Levene indicó homogeneidad de varianzas (p=0.1569). Bajo estos supuestos, la prueba t de Student mostró diferencias significativas entre ambos métodos (t=-4.1464, p=0.0001). Lo que confirma la Figura 4A. El RMSE del TLS, con respecto al hipsómetro es de 1.68 m con un R2 de 0.79, lo cual es evidente en el gráfico de dispersión de la Figura 4B.

 

Cuadro 2. Estadísticos descriptivos de h obtenido en ambos métodos.

 

h (m)

n=31

Método

Mínimo

Media

Máximo

STD

Hipsómetro

8.80

12.29

17.60

1.64

TLS

8.59

10.82

13.29

1.10

h = Altura; n = Número total de observaciones; STD = Desviación estándar.

 

A = Comparación de la variable h en los diferentes métodos; B = Gráfico de dispersión y recta de ajuste para la variable h.

Figura 4. Análisis de la altura h del hipsómetro contra el TLS.

 

Es importante considerar que la altura real de los árboles es un parámetro desconocido, por lo que cualquier comparación debe interpretarse con cautela. Si bien el TLS ofrece una mayor precisión con respecto al hipsómetro y está exento al error asociado a la medición manual, las oclusiones en la captura de datos pueden afectar la estimación de la altura. Los resultados son consistentes con Liu et al. (2018), quienes documentaron un RMSE promedio de 0.95 m en mediciones de altura con TLS, ellos destacaron los sesgos relacionados con la densidad de las copas y las obstrucciones del terreno. De Petris et al. (2022) señalaron que la pendiente del terreno afecta la precisión de las mediciones, mientras que los hipsómetros son más propensos a errores angulares en distancias menores a 20 m; los sistemas TLS pueden enfrentar problemas de reflexión especular y atenuación de la señal a mayores distancias (Tan et al., 2018). Estas limitaciones instrumentales y las condiciones del sitio contribuirían de manera sustancial al incremento del RMSE del estudio.

Con relación al DAP, no se obtuvieron diferencias significativas entre los métodos evaluados. La forcípula presentó un promedio de 15.92 cm, mientras que para el TLS fue de 15.73 cm (Cuadro 3). La prueba de Shapiro-Wilk confirmó la normalidad de los datos (p=0.6292 y p=0.2032), y la prueba de Levene indicó homogeneidad de varianzas (p=0.8005). La prueba t de Student no mostró diferencias significativas entre los métodos (t=0.3295, p=0.7429). En la Figura 5A se muestra la comparación entre medias. El RMSE entre la forcípula y el TLS fue de 1.28 cm, con un R2=0.72 (Figura 5B).

 

Cuadro 3. Estadística descriptiva del DAP en ambos métodos.

 

DAP (cm)

n=31

Método

Mínimo

Media

Máximo

STD

Forcípula

12.35

15.92

20.32

2.20

TLS

11.33

15.73

21.79

2.39

DAP = Diámetro a la altura del pecho; n = Número total de observaciones; STD = Desviación estándar.

 

A = Comparación del DAP en los diferentes métodos; B = Gráfico de dispersión y recta de ajuste para el DAP.

Figura 5. Análisis de la variable DAP de la forcípula contra el TLS.

 

Estos resultados son menores que los registrados por Wu et al. (2024), quienes obtuvieron un RMSE de 5.26 cm en bosques tropicales, con árboles de morfologías complejas. Sin embargo, son mayores que los de Pitkänen et al. (2019), que estimaron un RMSE de 0.73 cm usando un procesamiento cilíndrico en lugar de dos dimensiones. El ajuste tridimensional, aunque más preciso, tiene un mayor costo computacional (Ye et al., 2020). Los modelos ajustados altura-diámetro TLS mostraron una alta capacidad para describir la variación del diámetro a lo largo del fuste, con R2 promedio de 0.91 y RMSE de 0.50 cm, calculados con los datos de validación (30 %). Los estadísticos descriptivos de las métricas de evaluación y coeficientes a y b se presentan en el Cuadro 4. Aunque la consistencia de estos parámetros resalta la aplicabilidad del modelo para la reconstrucción digital del fuste, la subestimación de la altura introduce un sesgo que afectará cualquier cálculo. La Figura 6A muestra el fuste reconstruido de un árbol, es importante mencionar que el modelo aplicado no considera la curvatura del tronco; es muy probable que este factor también repercuta en cálculos posteriores. En la Figura 6B se presenta la variación del diámetro en los primeros dos metros y la curva respuesta del modelo generado para un árbol.

 

Cuadro 4. Estadísticos descriptivos del modelo altura-diámetro (Ecuación 9).

n=31

Parámetro

Mínimo

Media

Máximo

STD

R2

0.68

0.92

1.00

0.07

RMSE (cm)

0.13

0.50

1.13

0.25

a

0.11

0.15

0.22

0.02

b

0.04

0.09

0.16

0.03

n = Número total de observaciones; R2 = Coeficiente de determinación; RMSE = Raíz del error cuadrático medio; a, b = Coeficientes; STD = Desviación estándar.

 

A = Fuste estimado de la nube de puntos; B = Gráfico de dispersión de la variación DAP-h.

Figura 6. Ejemplo de un fuste reconstruido y curva respuesta de su modelo.

 

En el Cuadro 5 se resume la estadística descriptiva de los volúmenes calculados para los 31 fustes, con un valor promedio de 0.17 m3. La variabilidad del volumen entre los árboles se debe a las diferencias en los diámetros y alturas. La subestimación de la altura por limitaciones del TLS (Tan et al., 2018) es una fuente de error, especialmente, en árboles altos o con oclusiones en las nubes de puntos.

 

Cuadro 5. Estadísticos descriptivos del volumen estimado.

n=31

Variable

Mínimo

Media

Máximo

STD

Vf (m3)

0.07

0.17

0.36

0.01

n = Número total de observaciones; Vf = Volumen del fuste; STD = Desviación estándar.

 

Los valores de biomasa obtenidos con TLS tuvieron una media de 68.78 kg, con una tendencia a subestimar los valores en comparación con los métodos alométricos tradicionales (Cuadro 6), debido a la subestimación de la altura. Por último, el análisis indicó que los datos de biomasa no siguen una distribución normal, según la prueba de Shapiro-Wilk (p<0.05). La prueba no paramétrica de Kruskal-Wallis confirmó diferencias significativas entre los métodos evaluados (X2=20.18, p=0.001). El análisis post hoc de Dunn, con corrección de Bonferroni, reveló que las estimaciones de biomasa mediante TLS difieren significativamente de las obtenidas con la Ecuación 1 (p=0.0015), pero no de los otros métodos (p>0.05). De acuerdo con este análisis, el TLS y la Ecuación 2 pertenecen al grupo “a”; tanto la Ecuación 3 y 4 están en una posición intermedia, dentro del grupo “ab” (Figura 7). Aunque los resultados apuntan a que el TLS estima la biomasa dentro de los intervalos esperados, no son concluyentes, ya que deberían considerarse otros factores como el error citado por Návar (2009) y el error acumulativo presente en las ecuaciones de Vargas-Larreta et al. (2017). 

 

Cuadro 6. Estadísticos descriptivos de la biomasa estimada.

Método

Biomasa del fuste Wf (kg)

n=31

Mínimo

Mediana

Media

Máximo

STD

Ecuación 1b

51.25

88.70

92.47

155.25

28.83

Ecuación 2a

33.97

62.05

65.27

114.74

22.40

Ecuación 3ab

40.82

77.28

80.82

169.45

29.95

Ecuación 4ab

40.33

74.75

78.24

172.47

28.77

TLSa

31.61

63.35

68.78

149.95

28.38

n = Número total de observaciones; a, b Letras diferentes indican diferencias estadísticas significativas; STD = Desviación estándar.

 

Figura 7. Diagrama de cajas y bigotes de los valores de biomasa para cada método.

 

El principal problema en el presente estudio fue la subestimación de la altura (h) obtenida por TLS, lo que afecta el cálculo de la biomasa del fuste. Este hallazgo coincide con lo señalado por Cabo et al. (2018) y Wang et al. (2023), quienes mencionan que las oclusiones estructurales y la pérdida de información en las partes superiores del árbol son limitaciones comunes del TLS, especialmente en árboles altos y densos. Kükenbrink et al. (2021) también observaron subestimaciones en estructuras complejas, a pesar de la alta precisión del TLS (R2=0.954) en árboles urbanos. Por otro lado, los resultados contrastan con Krause et al. (2023), quienes indican que las estimaciones de biomasa aérea total mediante TLS superan, en promedio, en 10 % a las obtenidas con ecuaciones alométricas. Esta discrepancia podría explicarse, porque en ese trabajo se incluyen tanto el tronco como las ramas principales, mientras que este estudio se centra exclusivamente en el fuste.

La metodología propuesta es eficiente en recursos computacionales y ofrece resultados aceptables, pero tiene limitaciones como el uso de un valor fijo de densidad para Pinus cooperi y el estudio de una sola especie con muestra limitada. Además, la eliminación manual de puntos es costosa en tiempo. Aunque no se abordan costos y tiempos, la implementación de TLS requiere una inversión alta en el sensor, infraestructura y personal capacitado, lo que podría ser un desafío en México. También es importante mencionar que la variabilidad de los ecosistemas y equipos dificulta la comparación entre metodologías. Futuras investigaciones podrían enfocarse en automatizar la segmentación, explorar el uso de valores dinámicos de densidad y estudiar diferentes ecosistemas. Asimismo, sería relevante integrar información de otras fuentes, como imágenes satelitales.

 

 

Conclusiones

 

 

El TLS demostró alta precisión en la estimación del DAP (R2=0.72; RMSE=1.28 cm), cuando se considera como referencia las mediciones de la forcípula. En cuanto a la estimación de la altura total (R2=0.79; RMSE=1.68 m), se debe tener especial cautela al utilizar este método, ya que la densidad de las copas influye significativamente en los resultados. La presente metodología permite estimar la biomasa aérea a nivel árbol individual con una precisión aceptable; sin embargo, su aplicación práctica debe considerarse con reservas, ya que las condiciones del sitio y las metodologías tradicionales utilizadas pueden influir en la precisión de las mediciones. Se recomienda, en futuras investigaciones, incorporar tecnologías complementarias como escáneres LiDAR aéreos para mejorar la precisión en la estimación de la altura, así como incluir variables adicionales, como la curvatura del tronco. Además, es necesario desarrollar algoritmos para la detección y segmentación de árboles con datos TLS que permitan abarcar grandes extensiones de áreas en el menor tiempo posible; ampliar el análisis a diferentes especies arbóreas y generar ecuaciones alométricas específicas basadas en datos TLS.

 

Agradecimientos

 

Agradecemos al Consejo Nacional de Humanidades, Ciencias y Tecnologías (Conahcyt) por la beca para realizar el doctorado y al Consejo de Ciencia y Tecnología del Estado de Durango (Cocyted) por su apoyo.

 

Conflicto de intereses

 

Los autores declaran no tener conflicto de intereses.

 

Contribución por autor

 

Jorge Luis Compeán-Aguirre: análisis estadístico, escritura del manuscrito, metodología; Pablito Marcelo López-Serrano y José Luís Silván-Cárdenas: metodología, revisión, corrección del manuscrito; Ciro Andrés Martínez-García-Moreno y Daniel José Vega-Nieva: revisión y coordinación del proceso de revisión; José Javier Corral-Rivas: muestreo en campo y revisión del manuscrito.

 

 

Referencias

Ashraf, M. I., Zhao, Z., Bourque, C. P.-A., MacLean, D. A., & Meng, F.-R. (2013). Integrating biophysical controls in forest growth and yield predictions with artificial intelligence technology. Canadian Journal of Forest Research, 43(12), 1162-1171. https://doi.org/10.1139/cjfr-2013-0090

Bhandari, S. K., & Nandy, S. (2024). Forest aboveground biomass prediction by integrating terrestrial laser scanning data, Landsat 8 OLI-derived forest canopy density and spectral indices. Journal of the Indian Society of Remote Sensing, 52, 813-824. https://doi.org/10.1007/s12524-023-01687-z

Bornand, A., Rehush, N., Morsdorf, F., Thürig, E., & Abegg, M. (2023). Individual tree volume estimation with terrestrial laser scanning: Evaluating reconstructive and allometric approaches. Agricultural and Forest Meteorology, 341, Article 109654. https://doi.org/10.1016/j.agrformet.2023.109654

Borsah, A. A., Nazeer, M., & Wong, M. S. (2023). LIDAR-based forest biomass remote sensing: A review of metrics, methods, and assessment criteria for the selection of allometric equations. Forests, 14(10), 2095. https://doi.org/10.3390/f14102095

Cabo, C., Ordóñez, C., López-Sánchez, C. A., & Armesto, J. (2018). Automatic dendrometry: Tree detection, tree height and diameter estimation using terrestrial laser scanning. International Journal of Applied Earth Observation and Geoinformation, 69, 164-174. https://doi.org/10.1016/j.jag.2018.01.011

Calders, K., Newnham, G., Burt, A., Murphy, S., Raumonen, P., Herold, M., Culvenor, D., Avitabile, V., Disney, M., Armston, J., & Kaasalainen, M. (2015). Nondestructive estimates of above-ground biomass using terrestrial laser scanning. Methods in Ecology and Evolution, 6(2), 198-208. https://doi.org/10.1111/2041-210X.12301

Chojnacky, D. C., Heath, L. S., & Jenkins, J. C. (2014). Updated generalized biomass equations for North American tree species. Forestry: An International Journal of Forest Research, 87(1), 129-151. https://doi.org/10.1093/forestry/cpt053

CloudCompare. (2024). CloudCompare project (version 2.13) [Software]. CloudCompare. https://www.cloudcompare.org/

Compeán-Aguirre, J. L., & López-Serrano, P. M. (2024). Bibliometric insights into terrestrial laser scanning for forest biomass estimation. Ecologies, 5(3), 470-490. https://doi.org/10.3390/ecologies5030029

Compeán-Aguirre, J. L., López-Serrano, P. M., Silván-Cárdenas, J. L., Martínez-García-Moreno, C. A., Vega-Nieva, D. J., Corral-Rivas, J. J., & Pompa-García, M. (2024). Evaluation of two-dimensional DBH estimation algorithms using TLS. Forests, 15(11), 1964. https://doi.org/10.3390/f15111964

De Petris, S., Sarvia, F., & Borgogno-Mondino, E. (2022). About tree height measurement: Theoretical and practical issues for uncertainty quantification and mapping. Forests, 13(7), 969. https://doi.org/10.3390/f13070969

Dinno, A. (2024). dunn.test: Dunn's test of multiple comparisons using rank sums (version 1.3.6) [Software]. CRAN. https://doi.org/10.32614/CRAN.package.dunn.test

Disney, M. I., Vicari, M. B., Burt, A., Calders, K., Lewis, S. L., Raumonen, P., & Wilkes, P. (2018). Weighing trees with lasers: Advances, challenges and opportunities. Interface Focus, 8, Article 20170048. https://doi.org/10.1098/rsfs.2017.0048

FARO. (2019). FARO® SCENE Software (versión 5.5.3.16) [Software]. FARO. https://www.faro.com/es-MX/Products/Software/SCENE-Software

Galeote-Leyva, B., Valdez-Lazalde, J. R., Ángeles-Pérez, G., de los Santos-Posadas, H. M., y Romero-Padilla, J. M. (2022). Inventario forestal asistido por LIDAR: efecto de la densidad de retornos y el diseño de muestreo sobre la precisión. Madera y Bosques, 28(2), Artículo e2822330. https://doi.org/10.21829/myb.2022.2822330

García, E. (2004). Modificaciones al sistema de clasificación climática de Köppen. Instituto de Geografía de la Universidad Nacional Autónoma de México. https://publicaciones.geografia.unam.mx/index.php/ig/catalog/book/83

Haynes, W. (2013). Bonferroni correction. In W. Dubitzky, O. Wolkenhauer, K.-H. Cho & H. Yokota (Eds.), Encyclopedia of Systems Biology (p. 154). Springer. https://doi.org/10.1007/978-1-4419-9863-7_1213

Hernández-Moreno, J. A., Pérez-Salicrup, D. R., y Velázquez-Martínez, A. (2025a). Medición de parámetros de inventario forestal en bosques plantados mediante tecnología LiDAR: Comparación de métodos. Revista Mexicana de Ciencias Forestales, 16(87), 72-99. https://doi.org/10.29298/rmcf.v16i87.1488

Hernández-Moreno, J. A., Velázquez-Martínez, A., Pérez-Salicrup, D. R., Bravo, F., MacFarlane, D. W., & Reyes-Hernández, V. J. (2025b). Terrestrial laser scanning for estimating the volume and biomass of coniferous stems in the Mariposa Monarca Biosphere Reserve, Mexico. Forests, 16(2), 334. https://doi.org/10.3390/f16020334

Hoover, C. M., & Smith, J. E. (2020). Selecting a minimum diameter for forest biomass and carbon estimation: How low should you go? (General Technical Report NRS-196). United States Department of Agriculture, Forest Service. https://www.fs.usda.gov/nrs/pubs/gtr/gtr_nrs196.pdf

Hummel, F. C., Locke, G. M. L., Jeffers, J. N. R., & Christie, J. M. (1959). Code of sample plot procedure (Forestry Commission Bulletin No. 31). Forestry Commission. https://cdn.forestresearch.gov.uk/1959/04/fcbu031.pdf

Huy, B., Kralicek, K., Poudel, K. P., Phuong, V. T., Khoa, P. V., Hung, N. D., & Temesgen, H. (2016). Allometric equations for estimating tree aboveground biomass in evergreen broadleaf forests of Viet Nam. Forest Ecology and Management, 382, 193-205. https://doi.org/10.1016/j.foreco.2016.10.021

Islas-Gutiérrez, F., Cruz-Juárez, E., Buendía-Rodríguez, E., Guerra-De la Cruz, V., Pineda-Ojeda, T., Flores-Ayala, E., Carrillo-Anzures, F., y Acosta-Mireles, M. (2024). Ecuación alométrica para estimar biomasa aérea de árboles de Pinus hartwegii Lindl. a partir de datos LiDAR. Revista Fitotecnia Mexicana, 47(1), 70-79. https://doi.org/10.35196/rfm.2024.1.70

Kaitaniemi, P., Lintunen, A., & Sievänen, R. (2020). Power-law estimation of branch growth. Ecological Modelling, 416, Article 108900. https://doi.org/10.1016/j.ecolmodel.2019.108900

Kankare, V., Holopainen, M., Vastaranta, M., Puttonen, E., Yu, X., Hyyppä, J., Vaaja, M., Hyyppä, H., & Alho, P. (2013). Individual tree biomass estimation using terrestrial laser scanning. ISPRS Journal of Photogrammetry and Remote Sensing, 75, 64-75. https://doi.org/10.1016/j.isprsjprs.2012.10.003

Krause, P., Forbes, B., Barajas-Ritchie, A., Clark, M., Disney, M., Wilkes, P., & Bentley, L. P. (2023). Using terrestrial laser scanning to evaluate non-destructive aboveground biomass allometries in diverse Northern California forests. Frontiers in Remote Sensing, 4, Article 1132208. https://doi.org/10.3389/frsen.2023.1132208

Kükenbrink, D., Gardi, O., Morsdorf, F., Thürig, E., Schellenberger, A., & Mathys, L. (2021). Above-ground biomass references for urban trees from terrestrial laser scanning data. Annals of Botany, 128(6), 709-724. https://doi.org/10.1093/aob/mcab002

Liang, X., Hyyppä, J., Kaartinen, H., Lehtomäki, M., Pyörälä, J., Pfeifer, N., Holopainen, M., Brolly, G., Francesco, P., Hackenberg, J., Huang, H., Jo, H.-W., Katoh, M., Liu, L., Mokroš, M., Morel, J., Olofsson, K., Poveda-Lopez, J., Trochta, J., ... Wang, Y. (2018). International benchmarking of terrestrial laser scanning approaches for forest inventories. ISPRS Journal of Photogrammetry and Remote Sensing, 144, 137-179. https://doi.org/10.1016/j.isprsjprs.2018.06.021

Liu, G., Wang, J., Dong, P., Chen, Y., & Liu, Z. (2018). Estimating individual tree height and Diameter at Breast Height (DBH) from Terrestrial Laser Scanning (TLS) data at plot level. Forests, 9(7), 398. https://doi.org/10.3390/f9070398

Montoya, O., Icasio-Hernández, O., & Salas, J. (2021). TreeTool: A tool for detecting trees and estimating their DBH using forest point clouds. SoftwareX, 16, Article 100889. https://doi.org/10.1016/j.softx.2021.100889

Návar, J. (2009). Allometric equations for tree species and carbon stocks for forests of Northwestern Mexico. Forest Ecology and Management, 257(2), 427-434. https://doi.org/10.1016/j.foreco.2008.09.028

Nelder, J. A., & Mead, R. (1965). A simplex method for function minimization. The Computer Journal, 7(4), 308-313. https://doi.org/10.1093/comjnl/7.4.308

Ortiz-Reyes, A. D., Valdez-Lazalde, J. R., Ángeles-Pérez, G., De los Santos-Posadas, H. M., Schneider, L., Aguirre-Salado, C. A., y Peduzzi, A. (2019). Transectos de datos LiDAR: una estrategia de muestreo para estimar biomasa aérea en áreas forestales. Madera y Bosques, 25(3), Artículo e2531872. https://doi.org/10.21829/myb.2019.2531872

Ortiz-Reyes, A. D., Velasco-Bautista, E., Correa-Díaz, A., y Ángeles-Pérez, G. (2022). Predicción de variables dasométricas mediante modelos lineales mixtos y datos de LiDAR aerotransportado. e-CUCBA, 9(17), 88-95. https://www.researchgate.net/publication/360011682_Prediccion_de_variables_dasometricas_mediante_modelos_lineales_mixtos_y_datos_de_LiDAR_aerotransportado

Pitkänen, T. P., Raumonen, P., & Kangas, A. (2019). Measuring stem diameters with TLS in boreal forests by complementary fitting procedure. ISPRS Journal of Photogrammetry and Remote Sensing, 147, 294-306. https://doi.org/10.1016/j.isprsjprs.2018.11.027

R Core Team. (2024). R: A Language and Environment for Statistical Computing (version 4.4.1) [Software]. R Foundation for Statistical Computing. https://www.R-project.org/

RStudio Team. (2024). RStudio (version 2023.12.1 Build 402) [Software]. Posit Software. https://posit.co/products/open-source/rstudio/

Segura, M., y Andrade, H. J. (2008). ¿Cómo construir modelos alométricos de volumen, biomasa o carbono de especies leñosas perennes? Agroforestería en las Américas, 46, 89-96. https://repositorio.catie.ac.cr/handle/11554/6935

Silva-Arredondo, F. M., y Návar-Cháidez, J. de J. (2012). Estimación de la densidad de madera en árboles de comunidades forestales templadas del norte del estado de Durango, México. Madera y Bosques, 18(1), 77-88. https://doi.org/10.21829/myb.2012.1811139

Tan, K., Zhang, W., Shen, F., & Cheng, X. (2018). Investigation of TLS intensity data and distance measurement errors from target specular reflections. Remote Sensing, 10(7), 1077. https://doi.org/10.3390/rs10071077

Umbach, D., & Jones, K. N. (2003). A few methods for fitting circles to data. IEEE Transactions on Instrumentation and Measurement, 52(6), 1881-1885. https://doi.org/10.1109/TIM.2003.820472

Vargas-Larreta, B., López-Sánchez, C. A., Corral-Rivas, J. J., López-Martínez, J. O., Aguirre-Calderón, C. G., & Álvarez-González, J. G. (2017). Allometric equations for estimating biomass and carbon stocks in the temperate forests of North-Western Mexico. Forests, 8(8), 269. https://doi.org/10.3390/f8080269

Wang, F., Sun, Y., Jia, W., Zhu, W., Li, D., Zhang, X., Tang, Y., & Guo, H. (2023). Development of estimation models for individual tree aboveground biomass based on TLS-derived parameters. Forests, 14(2), 351. https://doi.org/10.3390/f14020351

Wu, Y., Gan, X., Zhou, Y., & Yuan, X. (2024). Estimation of Diameter at Breast Height in tropical forests based on Terrestrial Laser Scanning and shape diameter function. Sustainability, 16(6), 2275. https://doi.org/10.3390/su16062275

Ye, W. F., Qian, C., Tang, J., Liu, H., Fan, X. Y., Liang, X., & Zhang, H. J. (2020). Improved 3D stem mapping method and elliptic hypothesis-based DBH estimation from terrestrial laser scanning data. Remote Sensing, 12(3), 352. https://doi.org/10.3390/rs12030352

 

  

        

Todos los textos publicados por la Revista Mexicana de Ciencias Forestales sin excepción– se distribuyen amparados bajo la licencia Creative Commons 4.0 Atribución-No Comercial (CC BY-NC 4.0 Internacional), que permite a terceros utilizar lo publicado siempre que mencionen la autoría del trabajo y a la primera publicación en esta revista.