Revista Mexicana de Ciencias Forestales Vol. 16 (92)

Noviembre - Diciembre (2025)

Logotipo, nombre de la empresa

Descripción generada automáticamente

DOI: https://doi.org/10.29298/rmcf.v16i92.1524

Research article

 

Loss of forest ecosystems in the Monarch Butterfly Biosphere Reserve (1994-2023)

Pérdida de ecosistemas forestales en la Reserva de la Biosfera Mariposa Monarca (1994-2023)

 

Alondra Lizbeth Palacios-Carrillo1, Rufino Sandoval-García2, Celestino Flores-López2, Jorge Méndez-González2

 

Fecha de recepción/Reception date: 29 de octubre de 2024.

Fecha de aceptación/Acceptance date: 22 de agosto de 2025.

_______________________________

1Ingeniería Forestal, Universidad Autónoma Agraria Antonio Narro. México.

2Departamento Forestal, Universidad Autónoma Agraria Antonio Narro. México

 

*Autor para correspondencia; correo-e: rufino.sandoval.garcia@gmail.com

*Corresponding author; e-mail: rufino.sandoval.garcia@gmail.com

 

Abstract

The Monarch Butterfly Biosphere Reserve (known as RBMM by its Spanish acronym) is a key area for the hibernation of the monarch butterfly (Danaus plexippus), as it plays a significant role in its migratory and reproductive cycle. However, this ecosystem faces substantial threats due to increased anthropogenic activities and the effects of climate change situations that jeopardize both the species' continued existence in Mexico and the reserve's biodiversity. The objective of this study was to evaluate the loss of forest ecosystems in the RBMM during the 1994-2023 period, using a multitemporal analysis of high-resolution satellite images. The results revealed that 6 389 ha of forest cover had been lost in the RBMM by 2023; reductions by vegetation type were 87 % for oak forest, 69 % for pine forest, and 42 % for mesophilic mountain forest, compared to their extent in 1994. These findings show a worrying decline in forest cover, which compromises the integrity of the monarch butterfly's habitat and highlights the need to implement effective conservation strategies

Keywords: Multitemporal analysis, sacred fir forest, conservation, Danaus plexippus L., illegal logging, environmental services.

Resumen

La Reserva de la Biosfera Mariposa Monarca (RBMM) es un área clave para la hibernación de la mariposa monarca (Danaus plexippus), ya que es un lugar fundamental en su ciclo migratorio y reproductivo. Sin embargo, este ecosistema enfrenta amenazas significativas debido al aumento de actividades antropogénicas y los efectos del cambio climático; situaciones que ponen en riesgo tanto la permanencia de la especie en México, como la biodiversidad de la reserva. El presente estudio tuvo como objetivo evaluar la pérdida de ecosistemas forestales en la RBMM durante el periodo 1994-2023, mediante un análisis multitemporal de imágenes satelitales de alta resolución. Los resultados revelaron que para el año 2023, en la RBMM se habían perdido 6 389 ha de cobertura forestal; las reducciones por tipo de vegetación fueron de 87 % para el bosque de encino, 69 % en el bosque de pino y 42 % para el bosque mesófilo de montaña, lo anterior en comparación con su extensión en 1994. Estos hallazgos evidencian una disminución preocupante de la cobertura forestal, que compromete la integridad del hábitat de la mariposa monarca, y denota la necesidad de implementar estrategias efectivas de conservación.

Palabras clave: Análisis multitemporal, bosque de oyamel, conservación, Danaus plexippus L., tala ilegal, servicios ambientales.

 

 

Introduction

 

 

The Monarch Butterfly Biosphere Reserve (RBMM) is a protected natural area considered to be of utmost importance for Mexico, the United States of America, and Canada, as it is home to more than 432 species of vascular plants, 211 taxa of fungi, 256 species of birds, 56 species of mammals, 76 insect taxa, 30 reptile taxa, and 18 amphibian taxa (Comisión Nacional para el Conocimiento y Uso de la Biodiversidad [Conabio], 2024); in addition to being the main hibernation and breeding area for the monarch butterfly (Danaus plexippus L.) (Belsky & Joshi, 2018).

To promote the conservation of forest resources, agricultural ejidos and indigenous communities settled in the RBMM receive support from national and international non-governmental organizations (NGOs), the federal government, and state governments to finance sustainable development projects (López-García, 2011). In addition, they are beneficiaries of the National Forest Commission's (Conafor) Hydrological Environmental Services Payment Program, in recognition of the fact that their forests supply fresh water to the Cutzamala Hydrological System (Vidal et al., 2014). However, despite efforts to conserve the RBMM, its ecosystems continue to be affected by land use change, fires, pests and diseases, drought, and illegal logging, which directly impact the habitat of the monarch butterfly (López-García et al., 2022).

Over time, various studies have been conducted to determine the change in forest cover in the RBMM, including that of López-García (2011), who assessed the loss and degradation of forests in the reserve during the 2003-2009 period through photo interpretation of aerial images and SPOT satellite images. In the 2006-2010 period, Champo-Jiménez et al. (2012) and Vidal et al. (2014) analyzed the core area using aerial images and images from the Landsat and SPOT satellites; while Flores-Martínez et al. (2019) utilized orthophotos and images from the Quickbird satellite obtained during the 2012-2018 period. In addition, López-García et al. (2022) carried out a study on the RBMM and surrounding forests based on orthophotos and images from the SPOT satellite spanning the 1994-2017 period.

Remote sensing tools represent an efficient alternative for analyzing large areas of land and identifying changes in land use over time (Guillén et al., 2015). Their application allows access to hard-to-reach areas, the collection of multispectral data, and comparative studies across different periods, facilitating the assessment of ecosystem dynamics (Hernández-Lozano & Pavón, 2024).

However, their use faces challenges, including the influence of atmospheric factors on image quality, the high cost of higher resolution images, and the need for specialized software and expertise for processing and interpretation (Hernández-Lozano & Pavón, 2024). Despite these limitations, high-resolution images are utilized to obtain a clearer picture, providing accurate and up-to-date information to support decision-making in the sustainable management of natural resources (Zavala & Zavala, 2002).

The studies were conducted using images considered to be of medium resolution (Borotkanych, 2024) and consequently have certain limitations that result in a classification margin with errors of 10 to 20 % (Astola et al., 2019; Sandoval-García et al., 2021a, 2021b). Therefore, it is important to analyze RBMM with high-resolution images in order to obtain detailed quantitative accuracy, gain a better overview of the situation facing the reserve, and, thus, propose practical strategies for the conservation and restoration of its forest ecosystems.

The objective of this research was to assess the loss of forest ecosystem cover in the RBMM through a multitemporal analysis using high-resolution satellite images for the 1994-2008, 2008-2014, and 2014-2023 periods, as well as for the overall period from 1994 to 2023. The hypothesis was that, as per the predicted change scenarios, the loss of over 50 % of the reserve’s forest area between 1994 and 2023 would affect the hibernation habitat of the monarch butterfly significantly.

 

 

 

 

Materials and Methods

 

 

The Monarch Butterfly Biosphere Reserve is located in Central Mexico and includes part of the Michoacán and Mexico states, specifically in Eastern Michoacán and the Western State of Mexico (Figure 1). It covers 56 259 ha distributed over a core area of 13 551 ha and a buffer zone of 42 708 ha (Comisión Nacional de Áreas Naturales Protegidas [Conanp], 2001). This reserve is known for being the hibernation site of Danaus plexippus, a migratory species that travels from Canada and the United States to the temperate forests of Mexico.

 

Zitácuaro = Zitácuaro city; Jurgapeo = Jurgapeo locality; Tuxpan = Tuxpan locality; Ocampo = Ocampo municipality; Aporo = Aporo municipality; Contepec = Contepec municipality; La Virgen = La Virgen locality; Villa de Allende = Villa de Allende municipality; San Felipe Santiago = San Felipe Santiago locality; San Agustín de las Palmas = San Agustín de las Palmas locality; Donato Guerra = Donato Guerra municipality.

Figure 1. Location of the Monarch Butterfly Biosphere Reserve.

 

The RBMM is home to ecosystems of high ecological importance, dominated mainly by fir, pine, oak-pine, pine-oak, and mesophilic mountain forests (Conanp, 2001). The predominant soils in the reserve are of volcanic origin, notably ocric Andosol (To), humic Acrisol (Ah), orthic Acrisol (Ao), humic Andosol (Th), Lithosol (L), and chromic Lithosol (Lc). Altitude varies between 2 027 and 3 640 masl (Instituto Nacional de Estadística y Geografía [Inegi], 2018).

The climate in the Reserve is temperate subhumid [C(w1), C(w2)] and semi-cold subhumid [Cb'(w2)] (Inegi, 2018); precipitation ranges from 766 to 1 168 mm per year, and the average annual temperature is between 9 and 18 °C (Cuervo-Robayo et al., 2014).

 

 

Image acquisition

 

The orthophotos were obtained at 2 m pixel from the Espacios y Datos de México website (Instituto Nacional de Estadística, Geografía e Informática [INEGI], 1994, 2005). These are aerial images that have been geometrically corrected to represent an orthogonal projection of the Earth's surface, allowing for accurate measurements of distances and surface areas (García-Nieto & Martínez-León, 2007).

Subsequently, high-resolution satellite images Airbus Defence and Space 0.57 m pixel (EoPortal, 2023), captured by its Pléiades satellite constellation with an accuracy of up to 0.5 m per pixel offer a high level of detail, providing global coverage with daily revisit capability, which allows changes in the terrain to be monitored very frequently; while both GeoEye-1 and Birdseye images, obtained with the SASPlanet software (SASGIS, 2024), have a spatial resolution of 0.28 m per pixel. This software is one of the most detailed sources of satellite data (Table 1), has high geolocation accuracy and frequent revisit capability. It is Open Source and allows images to be viewed and downloaded (GeoSoluciones, Soluciones Integrales en Geomática e Ingeniería Geoespacial, 2016).

 

Table 1. Image classification.

Image type

Orthophotos

Airbus Defence and Space

GeoEye-1

Birdseye

Date of data collection

05/02/2024

05/02/2024

10/02/2024

12/02/2024

Availability

Free

Free

Free

Free

Stereo

Yes

Yes

Yes

Yes

Resolution size

2 m pixel

0.57 m pixel

0.28 m pixel

0.28 m pixel

Spectral resolution

3 RGB bands

Multispectral (4 bands)

Multispectral (4 bands)

Multispectral (4 bands)

Radiometry

8 bits

12 bits

11 bits

11 bits

Color

White, grays

Blue, green, red, near infrared, panoramic

Red, green, blue, infrared and panchromatic

Red, green, blue, grays/whites and earth tones

 

 

 

Image preprocessing

 

he satellite images were prepared for processing and use in analyses utilizing the SASPlanet software (SASGIS, 2024). Geometric correction was performed using the cubic convolution technique, which considers the digital levels (DL) of the 16 nearest pixels and has the fundamental characteristic of visually improving the geometric (linear) elements of an image. This correction utilized 60 identifiable control points that were considered critical, with a high degree of confusion due to image reflectance, exposure, noise, cloud cover, as well as clearly identifiable geometric elements between the images to be processed in order to provide them with radiometric correction of the sensor with WGS84 Zone 14 N projection. This type of adjustment is specifically designed to match two or more images of similar geometry covering the same geographical location. In this manner, the graphic elements of the images are aligned to avoid erroneous results (Zavala & Zavala, 2002).

 

 

Digital classification

 

Changes were detected using the open-source Quantum GIS version 3.36.0 “Maidenhead” software (QGIS Development Team, 2024). Atmospheric correction was performed on the images from each period, cropping them and subjecting them to an unsupervised classification process with the K-means Cluster Analysis module, which groups cell values into classes using the multivariate data cluster analysis method (Jumb et al., 2014). Subsequently, the images were coded with the supervised classification method based on the generation of four orthomosaics, composed of 13 orthophotos of 2 m pixel, 19 images from Airbus Defence and Space of 0.57 m pixel, 18 images from GeoEye-1 of 0.28 m pixel, and 18 Birdseye images of 0.28 m pixel. Each orthomosaic was classified with its own resolution; the pixel size was not adjusted because images with a resolution of 5 m pixel are considered high resolution, and therefore, the margin of error is acceptable (Sandoval-García et al., 2021a, 2021b). Finally, the conversion of the files from raster to vector format was performed for supervised classification (Sandoval-García et al., 2021a, 2021b). In other words, the categories of vegetation, built-up areas, and roads were identified, and only those of interest (agriculture, forestry and grasslands) were retained.

Information regarding the vegetation present was generated, and by intersecting the classification of the Inegi (2018) Series VII Land Use and Vegetation vector map, the following types of vegetation (ecosystems) were obtained: oak forest, fir forest, pine forest, pine-oak forest, mesophilic mountain forest, grassland, secondary vegetation and agriculture.

 

Supervised classification validatio

 

 

The consistency and accuracy of the results in the classification of high-resolution satellite images were determined using the r.kappa module of the GRASS 7.6.0 software (QGIS Development Team, 2024). This is a statistical measure that allows us to evaluate the degree of agreement between two classifiers when categorizing data. It is especially advantageous when the categories do not have an inherent order and we seek to determine whether the evaluators agree beyond what would be expected by chance. This process generates an error matrix, yielding the average result with the following Equation (Quezada et al., 2022):

 

     (1)

 

Where:

K = kappaindex

Po = Observed agreement

Pe = Expected random agreement

1–Pe = Maximum potential agreement beyond chance

 

The Kappa index values were interpreted using as a reference the levels suggested by Landis and Koch (1977), which indicate that a value <0.00 has no agreement; 0.00-0.20, slight agreement; 0.21-0.60, poor agreement; 0.41-0.60, moderate agreement, 0.61-0.80, substantial agreement, and 0.81-1.00, adequate agreement.

 

Multitemporal analysis

 

 

To calculate changes (increase or loss) in forest cover, a cross-tabulation was generated considering four periods, based on the availability of satellite images: 1994-2008, 2008-2014, 2014-2023, and a general analysis of the entire 1994-2023 period. The exchange rate was determined using the Equation developed by the Food and Agriculture Organization (FAO, 1996) and adapted by Palacio-Prieto et al. (2004):

 

     (2)

 

Where:

δn = Exchange rate expressed as a percentage

s1 = Surface area on date 1 expressed in hectares (ha)

s2 = Surface area on date 2 (ha)

n = Number of years between the two dates

 

Annual deforestation rate

 

 

Changes in land cover were identified by intersecting the set of layers, land use and vegetation, and forest cover available for each period (1994-2008, 2008-2014, 2014-2023 and 1994-2023), thereby creating new layers that indicated the transition between the study periods. A process of homogenization of land use and vegetation (LUV) classes was also carried out, in which similar categories were grouped under the same general class. For example, all grassland categories were integrated into the unified class of “Grassland.” This procedure was applied systematically to other categories, such as agriculture and forest, based on their structural and functional similarity. Based on these data, the annual deforestation rate was calculated using the Equation proposed by Puyravaud (2003), which compares the coverage areas of the same site at different points in time.

 

     (3)

 

Where:

r = Annual deforestation rate

T1 = Initial period

T2 = Final period

A1 = Vegetation cover at the initial stage

A2 = Vegetation cover in the final time

 

A positive “r” value indicates an increase in vegetation cover, while a negative value indicates a loss of cover (FAO, 1996).

 

Results and Discussion

The average Kappa index value was 0.82, which, according to Landis and Koch (1977), indicates that the geometric corrections between the images were adequate, ensuring a high degree of similarity when replicating the study.

During the general period up to 2023, the RBMM covered an area of 56 259 ha. In terms of coverage, it was estimated that 64 % of the area was covered by forest vegetation, 22 % by secondary vegetation, 13 % by agricultural land, and 1 % by roads, human settlements and bodies of water. The predominant ecosystems in the area included sacred fir (Abies religiosa (Kunth) Schltdl. & Cham.) forest, pine-oak forest, and oak-pine forest, which represented the largest plant communities within the Reserve (Figure 2).

 

A = 1994; B = 2008; C = 2014; D = 2023. Zitácuaro = Zitácuaro city; Jurgapeo = Jurgapeo locality; Tuxpan = Tuxpan locality; Ocampo = Ocampo municipality; Aporo = Aporo municipality; Contepec = Contepec municipality; La Virgen = La Virgen locality; Villa de Allende = Villa de Allende municipality; San Felipe Santiago = San Felipe Santiago locality; San Agustín de las Palmas = San Agustín de las Palmas locality; Donato Guerra = Donato Guerra municipality.

Figure 2. Forest cover of the RBMM during the study years.

 

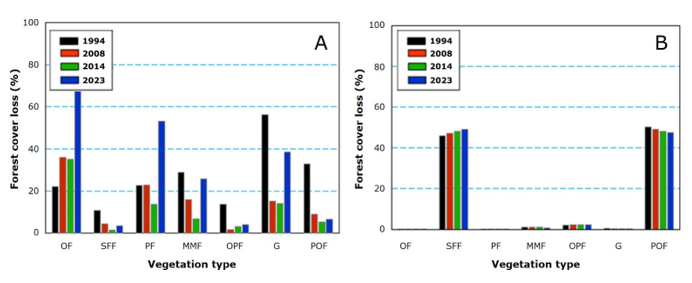
In relative terms, the greatest loss of forest cover showed a progressive decline at the ecosystem level between 1994 and 2023. The most critical losses during this period occurred in oak forests (OF), grasslands (G) and pine forests (PF), showing an increase of 49 to 69 %. This indicates a severe process of degradation and fragmentation of the ecosystems (Figure 3A). In contrast, graph B shows a more stable scenario in terms of the Reserve’s forest cover, with constant losses of less than 50 % in sacred fir (SFF) and pine-oak (POF) forests and minimal losses in other types of vegetation (Figure 3B).

 

A = At the ecosystem level; B = At the Reserve coverage level. OF= Oak forest; SFF = Sacred fir forest; PF = Pine forest; MMF = Mesophilic mountain forest; OPF = Oak-pine forest; G = Grassland, POF= Pine-oak forest.

Figure 3. Forest cover loss.

 

Analysis of the forest cover dynamics between 1994 and 2023 revealed a sharp decline in various ecosystems within the study area. The oak forest recorded the greatest relative loss, with a decrease of 86.68 % (63.57 ha), indicative of an alarming degradation of this type of vegetation. This was followed by the pine forest, which exhibited a reduction of 68.8 % of its original coverage (13.4 ha), and the mesophilic mountain forest, where the reduction amounted to 41.93 % (203.6 ha), all of which showed a clear tendency to dwindle (Table 2).

 

Table 2. Forest ecosystem cover in the RBMM.

Vegetation

Initial

1994

2008

2014

2023

1994-2023

(ha)

(%)

(ha)

(%)

(ha)

(%)

(ha)

(%)

(ha)

(%)

OF

94.25

20.91

22.18

26.39

35.99

16.49

35.12

20.69

67.93

68.57

86.68

SFF

21 735.96

2 370.13

10.90

867.52

4.48

267.52

1.45

637.00

3.49

1 772.03

9.15

PF

25.06

5.67

22.61

4.42

22.79

2.05

13.72

6.87

53.19

13.35

68.82

MMF

683.48

197.85

28.95

77.17

15.89

28.02

6.86

98.44

25.88

203.6

41.93

OPF

1 026.76

141.43

13.77

15.61

1.76

27.18

3.13

34.47

4.09

77.26

8.73

G

398.49

224.04

56.22

26.54

15.21

20.83

14.08

48.93

38.50

96.29

55.20

POF

31 551.49

10 377.49

32.89

1 896.81

8.96

1 040.74

5.40

1 225.46

6.72

44 163.01

19.66

OF = Oak forest; SFF = Sacred fir forest; PF = Pine forest; MMF = Mesophilic mountain forest; OPF = Oak-pine forest; G = Grassland, POF= Pine-oak forest.

 

On the other hand, although the sacred fir forest (SFF) experienced an absolute loss of 1 772.03 ha, it decreased by a smaller percentage (9.15 %), which may be associated with its larger initial extent. And, despite a loss of 4 416.01 ha, the pine-oak (OPF) forest had a relative reduction of 11.39 %, suggesting that, though impacted, it still retained a significant proportion of its original coverage.

Grasslands (G) decreased by 25.00 % (56.29 ha), a figure that possibly reflected conversion to other uses or secondary succession processes.

The positive change rate in the secondary vegetation reflects a process of recovery in areas that may have been affected by disturbances such as fires, pests, illegal logging, or some meteorological event. This pattern was particularly noticeable in oak forests during the 2008-2014 and 1994-2023 periods, with increases of 6.7 % and 4.9 %, respectively. Likewise, the pine forest showed significant recovery between 2014 and 2023, with a 5.21 % increase in the secondary vegetation cover.

However, this increase could also be interpreted as an indicator of forest degradation, since the proliferation of secondary vegetation usually occurs after the loss of primary cover, potentially favoring its subsequent conversion to agricultural uses; this evidence shows a progressive transition of the landscape towards less conserved states.

In 1994 and 2023, the forest ecosystems of the RBMM underwent a significant transformation, with the pine-oak forest (POF) being the most affected, with a total loss of 8 643.17 ha, followed by the sacred fir forest (SFF) with 3 283.30 ha. The most significant conversion occurred toward agricultural use, particularly in the 2014-2023 and 2023-1994 periods, which showed a recent intensification of land use change. These data reflect increasing pressure on forests, particularly on the Monarch butterfly’s key habitats (Table 3).

 

Table 3. Change in the forest ecosystems of the RBMM.

Vegetation

1994-2008

2008-2014

2014-2023

2023-1994

A

Sv

A

Sv

A

Sv

A

Sv

OF

3.69

17.22

16.69

30.61

18.93

44.86

19.81

64.67

SFF

293.10

2 077.04

538.27

2 699.38

741.92

2 763.24

858.86

3 283.30

PF

2.17

3.50

4.96

5.13

6.06

6.08

9.30

9.72

MMF

11.95

185.90

14.81

260.22

26.61

276.43

37.01

364.48

OPF

11.11

130.32

13.14

143.90

20.13

164.10

35.03

183.66

G

148.41

75.63

152.27

98.31

168.54

102.87

200.22

120.12

POF

4 242.72

6 134.77

4 834.83

7 439.48

5 314.55

8 000.49

5 897.32

8 643.17

Total

4 713.14

8 624.38

5 574.96

10 677.02

6 296.75

11 358.06

7 057.56

12 669.11

A = Agriculture; Sv = Secondary vegetation; OF= Oak forest; SFF = Sacred fir forest; PF = Pine forest; MMF = Mesophilic mountain forest; OPF = Oak-pine forest; G = Grassland; POF= Pine-oak forest.

 

One of the causes of forest cover loss in the Reserve is illegal logging, which has resulted in the loss of 2 179 ha of forest, with deforestation in 1 254 ha and deterioration in 925 ha of the core area (Vidal et al., 2014). On the other hand, forest fires are estimated to have caused a decrease of approximately 7 928 ha in the total Reserve over the last decade (Conanp, 2001).

The dynamics of land use and vegetation change in the RBMM continue at a rapid pace; however, thanks to the implementation of conservation and restoration schemes, such as reforestation, it has been possible to keep them below the maximums recorded in the periods between 2003 and 2010 (Table 4).

 

Table 4. Comparison of forest cover loss in the RBMM.

Author and year

Assessment period

Total (ha)

Annual (ha)

López-García (2011)

2003-2009

2 152

359

Champo-Jiménez et al. (2012)

2006-2010

2 227

557

Vidal et al. (2014)

2001-2012

2 179

198

Flores-Martínez et al. (2019)

2012-2018

163

27

López-García et al. (2022)

1994-2017

4 009

174

This study (2024)

1994-2023

6 389

220

 

The collected data allow the rejection of the hypothesis that predicted a decrease of the forest cover by more than 50 % between 1994 and 2023. However, these findings differ from those cited by Sáenz-Romero et al. (2012), who, using bioclimatic models, projected the presence or absence of Abies religiosa under climate change scenarios, with an estimated reduction of 69.2 % in its distribution by 2030 in the RBMM. In contrast, the present multitemporal analysis showed that the loss of the sacred fir forest cover was only 9.2 % in 2023 compared to 1994 (a period of 29 years). This difference can be attributed, to a large extent, to the sustained conservation and restoration efforts implemented in the region (Honey-Rosés, 2009).

This multitemporal analysis evinces a process of deterioration of the original forest cover at the ecosystem level and land use in the RBMM, mainly in ecosystems such as oak forest, pine forest and mesophilic mountain forest, which have lost 87 %, 69 %, and 42 %, respectively, of the surface area they occupied in 1994. The causes of such decline include illegal logging, agricultural expansion, forest fires, increased pests and diseases as a result of climate change, and changes in land use for the establishment of avocado plantations (López-García et al., 2022).

Forest fires in the Reserve originate from burning for agricultural and livestock activities, power lines, campfires, smokers, agrarian conflicts, illegal logging, and vandalism (Comisión Nacional Forestal [Conafor], 2024). These causes are consistent with the findings of Farfán-Gutiérrez et al. (2018), who point out that there is a combination of physical and anthropogenic factors, which vary across regions and seasons.

The high resolution of the images used in this study (up to 0.28 m pixel) was a critical advantage for detecting subtle changes in the vegetation cover, especially in areas of transition between forest, agriculture and secondary vegetation. Previous studies have indicated that spatial resolution directly influences classification accuracy and the detection of subtle changes in heterogeneous landscapes (Herold et al., 2005). By using images such as GeoEye-1 and Birdseye, it was possible to improve the discrimination of categories that are often confused in coarser resolutions (>5 m), as occurs in mountainous and fragmented areas (Lu et al., 2004). Likewise, the Kappa value (0.82) obtained in the validation supports the reliability of the supervised classification and confirms that accuracy improves substantially when high-resolution images and robust geometric correction processes are utilized (Foody, 2002). Therefore, this study provides evidence that the use of high-resolution satellite imagery, combined with open-source methodologies, is an effective tool for monitoring land use changes in protected natural areas.

 

 

Conclusions

 

Multitemporal analysis of satellite images enables the accurate assessment of the loss and degradation of forest ecosystems within the Monarch Butterfly Biosphere Reserve (RBMM) over different periods. The results show a significant transformation of the landscape, with an alarming reduction in sacred fir, pine-oak, oak-pine, and mesophilic montane forests, which has led to the decimation of the Monarch butterfly’s habitat. Although oak forests have shown a decrease in the deforestation rate over the 1994-2023 period, other ecosystems such as mesophilic montane forests and oak-pine forests have experienced greater forest cover loss, particularly in the 2008-2023 period.

Likewise, agricultural expansion has been a determining factor in the reduction of the original vegetation, especially in oak and pine forests. This loss of forest cover compromises the integrity of the biodiversity and the provision of essential ecosystem services, such as water recharge to the Cutzamala Hydrological System. In addition, the degradation of the sacred fir forests poses a direct threat to the Monarch butterfly, contributing to the progressive decline of its populations.

Given this scenario, it is recommended to generate transition maps of major land use change in order to prioritize conservation and ecological restoration strategies in critical areas, such as oak, pine, mesophilic montane, and fir forests, which serve as a basis for the implementation of sustainable management and environmental protection measures that are key to mitigating the impacts of deforestation and ensuring the resilience of these ecosystems, and, therefore, of the Monarch butterfly.

 

Acknowledgments

 

The authors are grateful to the Universidad Autónoma Agraria Antonio Narro. (Antonio Narro Autonomous Agricultural University), for the undergraduate scholarship awarded to the first author, and to the Forest Department for the facilities provided for the accomplishment of this research.

 

Conflict of interest

 

The authors declare that they have no conflicts of interest.

 

Contributions by author

 

Alondra Lizbeth Palacios-Carrillo and Rufino Sandoval-García: design, organization, data analysis, and drafting of the manuscript; Celestino Flores-López and Jorge Méndez-González: validation, revision and editing of the manuscript. All authors contributed to the approval of the final submittal.

 

 

The authors are grateful to the Teopantlán indigenous community in Puebla, Mexico, for allowing the collection of specimens of the Brahea dulcis palm tree, and to Lucas Solís Cazares, Eng. for coordinating the fieldwork.

 

 

 

References

 

Astola, H., Häme, T., Sirro, L., Molinier, M., & Kilpi, J. (2019). Comparison of Sentinel-2 and Landsat 8 imagery for forest variable prediction in boreal region. Remote Sensing of Environment, 223, 257-273. https://doi.org/10.1016/j.rse.2019.01.019

Belsky, J., & Joshi, N. K. (2018). Assessing role of major drivers in recent decline of monarch butterfly population in North America. Frontiers in Environmental Science, 6, Article 86. https://doi.org/10.3389/fenvs.2018.00086

Borotkanych, N. (2024, April 24). Spatial Resolution In Remote Sensing: Which Is Enough? EOS Data Analitics. https://eos.com/blog/spatial-resolution/

Champo-Jiménez, O., Valderrama-Landeros, L., y España-Boquera, M. L. (2012). Pérdida de cobertura forestal en la Reserva de la Biosfera Mariposa Monarca, Michoacán, México (2006-2010). Revista Chapingo Serie Ciencias Forestales y del Ambiente, 18(2), 143-157. https://doi.org/10.5154/r.rchscfa.2010.09.074

Comisión Nacional de Áreas Naturales Protegidas. (2001). Programa de Manejo de la Reserva de la Biosfera Mariposa Monarca [Libro blanco]. Comisión Nacional de Áreas Naturales Protegidas. https://simec.conanp.gob.mx/pdf_libro_pm/40_libro_pm.pdf

Comisión Nacional Forestal. (2024). Sistema Nacional de Información Forestal. Secretaría de Medio Ambiente y Recursos Naturales. https://snigf.cnf.gob.mx

Comisión Nacional para el Conocimiento y Uso de la Biodiversidad. (2024). Sistema Nacional de Información sobre Biodiversidad de México [Base de datos]. Comisión Nacional para el Conocimiento y Uso de la Biodiversidad. https://www.snib.mx/

Cuervo-Robayo, A. P., Téllez-Valdés, O., Gómez-Albores, M. A., Venegas-Barrera, C. S., Manjarrez, J., & Martínez-Meyer, E. (2014). An update of high-resolution monthly climate surfaces for Mexico. International Journal of Climatology, 34(7), 2427-2437. https://doi.org/10.1002/joc.3848

EoPortal. (2023, November 19). Pleiades Neo [Data set]. EoPortal. https://www.eoportal.org/satellite-missions/pleiades-neo#eop-quick-facts-section

Farfán-Gutiérrez, M., Pérez-Salicrup, D. R., Flamenco-Sandoval, A., Nicasio-Arzeta, S., Mas, J.-F., y Ramírez-Ramírez, I. (2018). Modelación de los factores antrópicos como conductores de la ocurrencia de incendios forestales en la Reserva de la Biosfera de la Mariposa Monarca. Madera y Bosques, 24(3), Artículo e2431591. https://doi.org/10.21829/myb.2018.2431591

Flores-Martínez, J. J., Martínez-Pacheco, A., Rendón-Salinas, E., Rickards, J., Sarkar, S., & Sánchez-Cordero, V. (2019). Recent forest cover loss in the core zones of the Monarch Butterfly Biosphere Reserve in Mexico. Frontiers in Environmental Science, 7, 1-8. https://doi.org/10.3389/fenvs.2019.00167

Food and Agriculture Organization. (1996). Forets resources assessment 1990. Survey of tropical forest cover and study of change processes. Food and Agriculture Organization. https://bibliotecadigital.infor.cl/handle/20.500.12220/5499

Foody, G. M. (2002). Status of land cover classification accuracy assessment. Remote Sensing of Environment, 80(1), 185-201. https://doi.org/10.1016/S0034-4257(01)00295-4

García-Nieto, H., y Martínez-León, G. (2007). Uso de ortofotos para actualizar el mapa de uso del suelo en Guanajuato, México. Agricultura Técnica en México, 33(3), 271-280. https://www.scielo.org.mx/scielo.php?script=sci_arttext&pid=S0568-25172007000300006

GeoSoluciones, Soluciones Integrales en Geomática e Ingeniería Geoespacial. (2016). Imágenes Satelitales de Alta Resolucion. GeoSoluciones, Soluciones Integrales en Geomática e Ingeniería Geoespacial.https://www.geosoluciones.cl/documentos/imagenes-alta-resolucion.pdf

Guillén, C., Murugan, V., y Dávila, M. (2015). Aplicación de teledetección y SIG para el levantamiento cartográfico de los suelos de la cuenca Solani, India. Revista Geográfica Venezolana, 56(2), 185-204. https://www.redalyc.org/pdf/3477/347743079003.pdf

Hernández-Lozano, R., y Pavón, N. P. (2024). Índices para el monitoreo de cuerpos de agua usando sensores remotos. Acta Universitaria, 34, Artículo e3814. https://doi.org/10.15174/au.2024.3814

Herold, M., Couclelis, H., & Clarke, K. C. (2005). The role of spatial metrics in the analysis and modeling of urban land use change. Computers, Environment and Urban Systems, 29(4), 369-399. https://doi.org/10.1016/j.compenvurbsys.2003.12.001

Honey-Rosés, J. (2009). Disentangling the proximate factors of deforestation: The case of the Monarch Butterfly Biosphere Reserve in Mexico. Land Degradation & Development, 20(1), 22-32. https://doi.org/10.1002/ldr.874

Instituto Nacional de Estadística y Geografía. (2018). Conjunto de datos vectoriales del uso de suelo y vegetación. Escala 1:250 000. Serie VII. Conjunto Nacional [Carta de uso del suelo y vegetación]. Instituto Nacional de Estadística y Geografía. https://www.inegi.org.mx/app/biblioteca/ficha.html?upc=889463842781

Instituto Nacional de Estadística, Geografía e Informática. (1994). Ortoimagenes Escala 1:20 000 [Claves E14A16 y E14A35]. Instituto Nacional de Estadística, Geografía e Informática. https://www.inegi.org.mx/temas/imagenes/ortoimagenes/#Descargas

Instituto Nacional de Estadística, Geografía e Informática. (2005). Ortoimagenes Escala 1:10 000 [Claves E14A25, E14A26 y E14A36]. Instituto Nacional de Estadística, Geografía e Informática. https://www.inegi.org.mx/temas/imagenes/ortoimagenes/#Descargas

Jumb, V., Sohani, M., & Shrivas, A. (2014). Color image segmentation using K-means clustering and Otsu’s adaptive thresholding. International Journal of Innovative Technology and Exploring Engineering, 3(9), 72-76. http://www.ijitee.org/wp-content/uploads/papers/v3i9/I1495023914.pdf

Landis, J. R., & Koch, G. G. (1977). The measurement of observer agreement for categorical data. Biometrics, 33(1), 159-174. https://pubmed.ncbi.nlm.nih.gov/843571/

López-García, J. (2011). Deforestation and forest degradation in the Monarch Butterfly Biosphere Reserve, Mexico, 2003–2009. Journal of Maps, 7(1), 626-633. https://doi.org/10.4113/jom.2011.1163

López-García, J., Navarro-Cerrillo, R. M., & Manzo-Delgado, L. de L. (2022). Forest land-cover trends in the Monarch Butterfly Biosphere Reserve in Mexico, 1994-2017. Environmental Conservation, 49(4), 244-254. https://doi.org/10.1017/S0376892922000327

Lu, D., Mausel, P., Brondízio, E., & Moran, E. (2004). Change detection techniques. International Journal of Remote Sensing, 25(12), 2365-2407. https://www.researchgate.net/publication/235245895_Change_Detection_Techniques

Palacio-Prieto, J. L., Sánchez-Salazar, M. T., Casado-Izquierdo, J. M., Sancho-y Cervera, J., Valdez-Mariscal, C., y Cacho-González, R. (Coords.). (2004). Indicadores para la caracterización y ordenamiento del territorio. Universidad Nacional Autónoma de México, Secretaría de Desarrollo Social, Secretaría de Medio Ambiente y Recursos Naturales e Instituto Nacional de Ecología. https://unidadesdepaisaje.unam.mx/sites/default/files/2022-06/Palacio%20et%20al%2C%202004_0.pdf

Puyravaud, J.-P. (2003). Standardizing the calculation of the annual rate of deforestation. Forest Ecology and Management, 177(1-3), 593-596. https://doi.org/10.1016/S0378-1127(02)00335-3

QGIS Development Team. (2024, February 23). QGIS Geographic Information System (version 3.36.0) [Software]. Open Source Geospatial Foundation Project. https://download.qgis.org/downloads/

Quezada, A. S., Sevilla-Tapia, J. D., y Avilés-Sacoto, E. C. (2022). Estimación de la tasa de deforestación en Pastaza y Orellana- Ecuador mediante el análisis multitemporal de imágenes satelitales durante el período 2000-2020. ALFA. Revista de Investigación en Ciencias Agronómicas y Veterinarias, 6(17), 282-299. https://doi.org/10.33996/revistaalfa.v6i17.168

Sáenz-Romero, C., Rehfeldt, G. E., Duval, P., & Lindig-Cisneros, R. A. (2012). Abies religiosa habitat prediction in climatic change scenarios and implications for monarch buttery conservation in Mexico. Forest Ecology and Management, 275, 98-106. https://doi.org/10.1016/j.foreco.2012.03.004

Sandoval-García, R., González-Cubas, R., y Jiménez-Pérez, J. (2021a). Análisis multitemporal del cambio en la cobertura del suelo en la Mixteca Alta Oaxaqueña. Revista Mexicana de Ciencias Forestales, 12(66), 96-121. https://doi.org/10.29298/rmcf.v12i66.816

Sandoval-García, R., Jiménez-Pérez, J., Yerena-Yamallel, J. I., Aguirre-Calderón, O. A., Alanís-Rodríguez, E., y Gómez-Meza, M. V. (2021b). Análisis multitemporal del uso del suelo y vegetación en el Parque Nacional Cumbres de Monterrey. Revista Mexicana de Ciencias Forestales, 12(66), 70-95. https://doi.org/10.29298/rmcf.v12i66.896

SASGIS. (2024). SASPlanet (Versión 200606.10075 Stable) [Software]. SASPlanet Development Team. www.sasgis.org

Vidal, O., López-García, J., & Rendón-Salinas, E. (2014). Trends in deforestation and forest degradation after a decade of monitoring in the Monarch Butterfly Biosphere Reserve in Mexico. Conservation Biology, 28(1), 177-186. https://doi.org/10.1111/cobi.12138

Zavala O., P., y Zavala A., C. (2002). Uso de imágenes satelitales de alta resolución para generar cartografía. Revista Facultad de Ingeniería U.T.A., 10, 35-43, https://www.scielo.cl/pdf/rfacing/v10/art05.pdf

 

 

        

Todos los textos publicados por la Revista Mexicana de Ciencias Forestales sin excepción– se distribuyen amparados bajo la licencia Creative Commons 4.0 Atribución-No Comercial (CC BY-NC 4.0 Internacional), que permite a terceros utilizar lo publicado siempre que mencionen la autoría del trabajo y a la primera publicación en esta revista.