Revista Mexicana de Ciencias Forestales Vol. 16 (90)

Julio - Agosto (2025)

Logotipo, nombre de la empresa

Descripción generada automáticamente

DOI: https://doi.org/10.29298/rmcf.v16i90.1523

Research Article

 

Determinación de áreas de protección prioritaria basada en la densidad Kernel de incendios forestales

Defining priority protection areas based on forest fire Kernel density

José Germán Flores Garnica1*, Gabriela Orozco Gutierrez2, Gabriela Ramírez Ojeda1

 

Fecha de recepción/Reception date: 8 de octubre de 2024.

Fecha de aceptación/Acceptance date: 6 de marzo de 2025.

_______________________________

1Instituto Nacional de Investigaciones Forestales, Agrícolas y Pecuarias, Campo Experimental Centro Altos de Jalisco. México.

2Instituto Nacional de Investigaciones Forestales, Agrícolas y Pecuarias, Campo Experimental Tecomán. México.

 

*Autor para correspondencia; correo-e: flores.german@inifap.gob.mx

*Corresponding author; e-mail: flores.german@inifap.gob.mx

 

Abstract

In order to establish those areas where forest fire management strategies should be implemented, it would be sufficient to identify those areas with a history of forest fires; however, because of the anthropogenic nature of the causes of the fires, the location of the areas may vary from one country to another. The objective of this work was to determine the spatial-temporal variations of fire occurrence through the estimation of the Kernel density as well as the parameters that favor it. Historical information (2016-2023) on forest fires in Colima, Mexico, was used. The areas with the highest priority for protection against forest fires were those with the highest density of occurrence. Their distance was analyzed in relation to risk parameters: (a) Roads, (b) Highways, (c) Agricultural areas, and (d) Grasslands. The results indicated that most of the forest fires were located in the Western region of the state, in areas with secondary vegetation of low deciduous forest. However, there was a temporal variation in the spatial distribution of fires, although it was conditioned by the proximity of access routes, mainly by the proximity of roads, with a negative trend (p<0.001). The highest number of fires was located at an altitudinal range of 0 to 1 650 m; while, in relation to the proximity of roads, the highest frequency occurred at an altitude of 0 to 820 m. The definition of priority areas, based on (Kernel) fire densities, makes it possible to locate and delimit areas by fire risk class.

Keywords: Priority areas, density of occurrence, spatial distribution, forest fire management, risk parameters, spatial-temporal variation.

Resumen

Para ubicar áreas donde se deban implementar estrategias de manejo de incendios forestales, sería suficiente localizar aquellas con antecedentes de su ocurrencia; no obstante, dada la naturaleza antropogénica de las causas su localización puede variar. El objetivo de este trabajo fue determinar las variaciones espacio-temporales de la ocurrencia de incendios, a través de la estimación de la densidad Kernel, así como de parámetros que la favorecen. Se utilizó información histórica (2016-2023) de incendios forestales en Colima, México. Las áreas con mayor prioridad de protección contra incendios forestales fueron aquellas que tuvieron más densidad de ocurrencia. Se analizó su distanciamiento en relación a parámetros de riesgo: (a) Caminos, (b) Carreteras, (c) Áreas agrícolas, y (d) Pastizales. Los resultados indicaron que la mayoría de los incendios forestales se ubicó en la región oeste del estado, en zonas con vegetación secundaria de selva baja caducifolia. Sin embargo, se registró una variación temporal en la distribución espacial de los incendios; aunque, estuvo condicionada a la cercanía de vías de acceso, principalmente con la proximidad de caminos, con una tendencia negativa (p<0.001). El mayor número de incendios se localizó en un intervalo altitudinal de 0 a 1 650 m; mientras que, en relación a la cercanía de carreteras, la frecuencia más alta se presentó a una altitud de 0 a 820 m. La definición de áreas prioritarias, con base en las densidades de incendio (Kernel), permite ubicar y delimitar las áreas por clase de riesgo de incendio.

Palabras clave: Áreas prioritarias, densidad de ocurrencia, distribución espacial, manejo de incendios forestales, parámetros de riesgo, variación espaciotemporal.

 

 

Introduction

 

 

Fire is considered one more element of forest ecosystems, whose impacts are defined in relation to several factors, such as the severity of the fires and the susceptibility of the ecosystem to fire (Flores-Rodríguez et al., 2020). Thus, the repercussions of fire occurrence imply (positive or negative) impacts on the population dynamics (Fulé et al., 2002): structure (Alanís et al., 2018), composition (Bautista & Rodríguez, 2017), and density (Díaz-Hernández et al., 2021). However, the ecological role of fire depends on a specific natural regime (Fulé et al., 2011; Jardel et al., 2009) that can be altered if their periods of occurrence of fires (Neger, 2021) caused mainly by anthropogenic causes (Ávila-Flores et al., 2010) are modified.

In Mexico, 97 % of forest fires are estimated to be the result of human activities (Cruz et al., 2017; Ibarra-Montoya & Huerta-Martínez, 2016), particularly in agriculture and livestock farming (Flores et al., 2016); therefore, it is important to locate the areas with high incidence in order to implement fire management strategies (Chávez et al., 2016), which have to do with: (1) The use of fire in human activities, and (2) The availability of historical information on the occurrence of forest fires. This would make it possible to model the tendency of the occurrence of fires (Gollberg et al., 2001), which in turn would support the location of priority areas for their prevention.

The risk of fires i. e., the probability of a fire occurring in a given place and time depends on the conditions conducive to their ignition, such as proximity to population centers, use of fire in agricultural activities, proximity to communication routes, and the historical occurrence of fires (Comisión Nacional Forestal [Conafor], 2024). However, the anthropogenic nature of the causes implies that they change in their spatial distribution, which defines a dynamic for the location of the areas where forest fires occur (Ruíz-Corzo et al., 2022). As a result, the social tendency of fire occurrence favors its frequent repetition in the same areas, and with this, specific densities of fire occurrence are defined (Ocampo-Zuleta & Beltrán-Vargas, 2018). This variation can be spatially modeled using specific statistical tools, such as machine learning, Bayesian regression, spatial econometrics, or logistic regression.

It is important to ensure that anthropogenic variations in fire occurrence densities are considered in the modeling, as in the case of the Kernel density analysis. As stated above, the objective of this work was to determine the spatial-temporal variations of fire occurrence by estimating the Kernel density; to analyze the conditions that favor such variations, and, finally, to define the priority areas of attention for forest fire prevention. For this purpose, information from the history of forest fires (2016-2023) in the state of Colima, Mexico, was utilized (Conafor, 2024).

 

 

Materials and Methods

 

 

Study area

 

 

Fires in the state of Colima have caused a displacement of the original ecosystems that has reduced the timber production areas and has favored the predominance of secondary vegetation (tall grasses), where mainly herbaceous vegetation and leaf litter are burned, followed by shrubs (Conafor 2024). The state has a surface area of 5 627 km2; the vegetation corresponds to grasslands, agricultural areas, pine, oak, pine-oak, oak-pine, mesophilic mountain forest, low deciduous and medium sub-deciduous forest, secondary tree, shrub, and herbaceous vegetation (Instituto Nacional de Estadística y Geografía [Inegi], 2018). Regarding fires, during the 2016-2023 study period, 462 fires were recorded (Table 1), affecting a surface area of 26 228.6 ha (Conafor, 2024).

 

Table 1. Number of forest fires and surface area affected, by type of cover, during the 2016-2023 period in Colima, Mexico.

Year

Fires

Herbaceous

Trees

Saplings

Shrubs

Leaf litter

Total Surface area

2016

81

4 295.1

0.0

0.0

1 825.0

0.0

6 120.0

2017

84

1 352.6

1.7

0.0

675.6

0.0

2 029.9

2018

54

1 101.6

0.0

0.0

177.6

0.0

1 279.2

2019

55

1 107.9

0.0

0.0

832.0

3 339.4

5 279.3

2020

33

470.4

220.2

14.0

674.0

2 121.3

3 499.9

2021

38

686.7

0.1

0.0

245.8

1 424.8

2 357.4

2022

49

459.3

280.1

61.8

139.5

1 890.6

2 831.2

2023

68

1 100.6

0.0

25.0

257.4

1 448.7

2 831.7

Total

462

10 574.2

502.1

100.8

4 826.9

10 224.7

26 228.6

Source: Conafor (2024).

 

 

Data description

 

 

The causes of forest fires in the state of Colima have already been mentioned and are directly or indirectly derived from anthropogenic activities. However, other causes such as trash burning, bonfires, and smoking, among others, have been identified. Figure 1 shows the distribution of fires across the state territory over 8 years (2016-2023).

 

Source: Conafor (2024).

Figure 1. Spatial distribution of forest fires in the state of Colima during the 2016-2023 period.

 

The priority areas of attention for the prevention of forest fires were defined based on the analysis of the conditions that favor the occurrence of forest fires, which were specified for the following covariates: (a) Dirt roads, regarding which information was obtained from Inegi's (2022) national network of roads and highways; (b) Highways (Inegi, 2022); (c) Agricultural areas, according to information from Inegi (2018) Series VII on vegetation and land use, and (d) Areas with grasslands (Series VII).

 

 

Methodological structure

 

 

In general, determining priority areas for forest fires requires information on a large number of variables environmental, socioeconomic, cultural, and demographic variables, etc. that condition the dynamics of fire occurrence. Because this information is not always available or is difficult to obtain, the proposed methodology represents an alternative strategy (Figure 2), based on the spatial variation of the densities of occurrence of anthropogenic forest fires each year. Thus, the anthropogenic perspective focuses on the analysis of the proximity of fires to the following fire risk variables: roads, highways, agricultural areas, and grasslands. Based on the above, finally, two approaches to classify priority zones are shown: (1) Limited based on risk factors, and (2) Limited with the incorporation of the Kernel density criterion.

 

Figure 2. General flow diagram of the methodological process for the classification of priority areas against forest fires. 

 

 

Statistical analysis

 

 

Kernel fire density. To locate the areas of highest priority against forest fires, the main criterion was to consider those areas with the highest density of fire occurrence, which was determined by estimating the Kernel density. It assumes that the presence of a fire can be represented as a series of georeferenced events that occur differentially throughout a particular region, determining the spatial variations in their density (Salvati & Ferrara, 2015). In this manner, a density map was generated for each year, using Kernel density estimation, based on local neighborhood calculations made under the structure of a grid of cells, whereby the density value at a given point (cell) was estimated according to the number of points (cells) where there a fire reportedly occurred, thus defining continuous surface densities (Fuenzalida et al., 2013).

Kernel density estimation is a non-parametric technique based on several functions: quadratic function (Silverman, 1986), uniform function, Epanechnikov function, normal distribution, triangular function, quartic function, and so on (Turlach, 1999); in which nearby points have a greater influence on density determination, while distant points have a lesser weighting (Tobler, 1970). Thus, the Kernel density estimator is defined using Equation 1 (Amatulli et al., 2007):

 

    

 

Where:

n = Number of observation points

h = Bandwidth

K = Kernel core module

x = Coordinate vector representing the place where the function is estimated

X = Coordinate vectors that represent each observation point

d = Number of dimensions in space

 

The fire density variation was modeled considering a maximum search radius (bandwidth) of 9 051 m, which is in agreement with Silverman's (1986) “rule of thumb”. Although there is no single, universal process for defining the value of h (bandwidth) in all cases, it tends to ensure a value of h that allows smoothing of the resulting density function, resulting in an equilibrium that prevents over- or under-estimation (Flores-Garnica & Macías-Muro, 2018).

Relationship with soil cover. Once the areas were defined according to their forest fire density, the relationship between the occurrence of fires and the main soil covers that define fire risk and are related to productive human activities was analyzed: (a) Agriculture, where fire is used mainly to remove crop residues for planting, and (b) Grasslands, which are areas dedicated mainly to cattle raising, where fire is used to break up old grasslands and encourage the growth of new, more palatable grasses (Sánchez-Velásquez & Pineda-López, 2008). For this purpose, vector information presented in Inegi (2018) Series VII at a scale of 1:250 000 was utilized as the basis for delimiting the polygons where agriculture and grazing are practiced. Subsequently, the frequencies of the distances between these polygons and the points where the presence of forest fires is located were determined.

Correlation with communication routes. Much in the same manner as the agricultural and grassland cover, the distance between forest fires and roads and highways was analyzed using information from INEGI's (2022) national road network, and proximity to roads was determined to be one of the main risk factors for forest fires.

 

 

Results and Discussion

 

 

Spatial-temporal dynamics of fires

 

 

During the analysis period, the covariates used (roads, highways, agricultural land, and grasslands) were assumed to be constant, and reference was made only to the dynamics of spatial variation of fire occurrence densities (Figure 3). In general, the presence of forest fires in Colima during the 2016-2023 period was more prominent in the Western region of the state, where two areas stood out. The first was located near the port of Manzanillo, and the second, in the center of the state. However, the spatial variation was clear; although similar, densities were not the same from one year to another (Galindo et al., 2009). The year 2019 stood out with a higher occurrence of fires, which defined a greater continuity of densities. Conversely, during the year 2022, a low occurrence of fires was observed, resulting in a smaller and more localized zoning (near the port of Manzanillo). Although this can be linked to the occurrence of favorable meteorological conditions, such as droughts, in general, the presence of fires is more often associated with anthropogenic activities (Espinoza & Gómez, 2019).

 

Figure 3. Temporal dynamics of the spatial variation of forest fire occurrence densities in the state of Colima, Mexico.

 

The results indicated the existence of a high increase in forest fire density, a tendency that has been documented in other studies and whose spatial pattern exhibits a clustered i. e. not random distribution (Ávila-Flores et al., 2010; Pérez-Verdín et al., 2013; Pompa & Hernández, 2012). Figure 4 shows the density of forest fires after integrating all the fires that occurred in the 2016-2023 period; again, the high density near the port of Manzanillo stands out, even considering the spatial variations that originate from using different numbers of density classes (Flores-Garnica & Flores-Rodríguez, 2020). A second priority zone is defined in the West-central part of the state. Operationally, the number of classes into which the fire densities are to be grouped will be determined according to the availability of resources, i. e., covering the entire risk surface area delimited using 30 classes, provided there are sufficient resources. However, where the resources are limited, it is more expedient to manage a smaller number of risk classes (Figure 4).

 

Figure 4. Coverage variations defined by the number of classes of the forest fire Kernel density in the state of Colima, Mexico, during the 2016-2023 period.

 

 

Proximity analysis

 

 

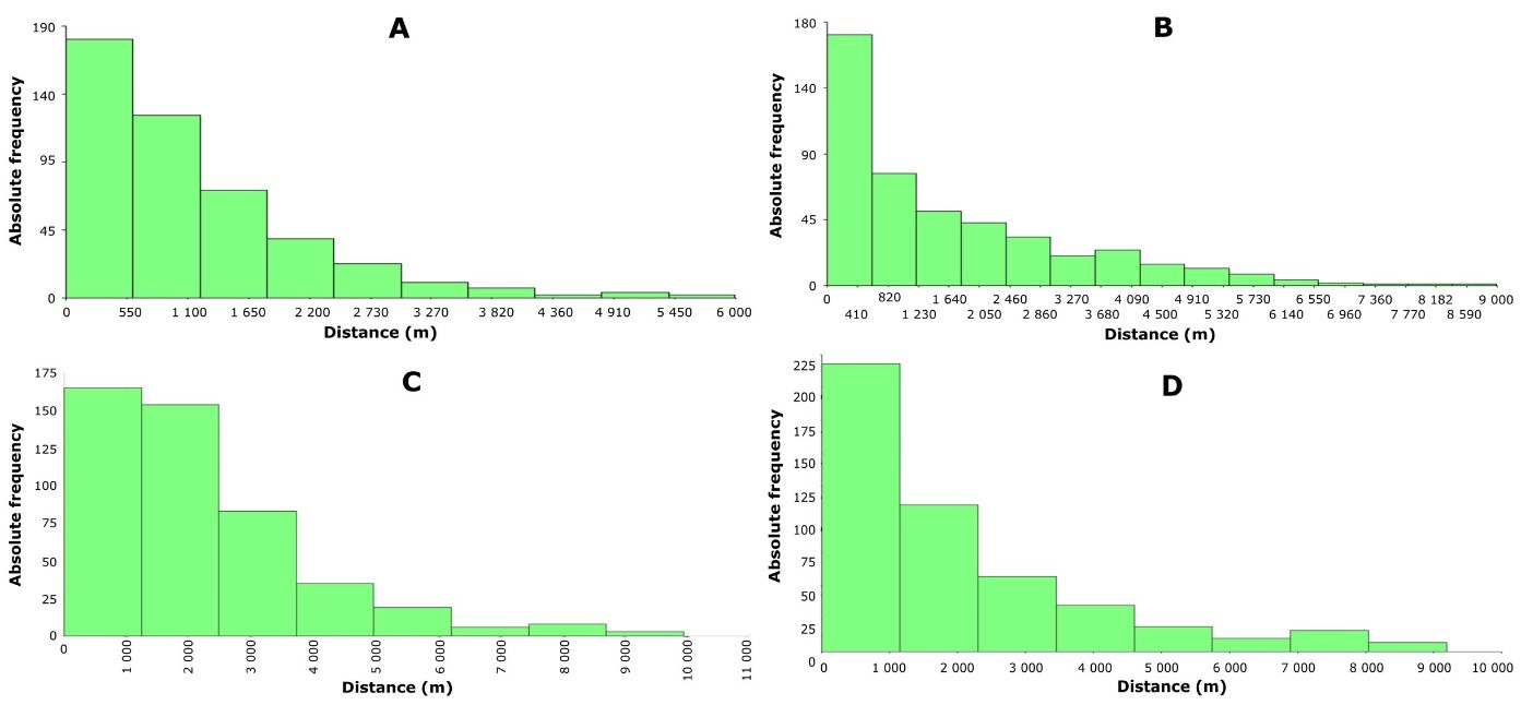
Once the areas where forest fires occur were located and prioritized, their proximity to the following risk factors was analyzed (Figure 5): (a) Roads that give access to forest areas, favoring the likelihood of a fire igniting (Pérez-Verdín et al., 2013); (b) Roads as well as highways, as well as fires caused by cigarette butts, which are also frequent (Moraga, 2010); (c) Grasslands where fire is used to renew and render grasslands more palatable for livestock (Galindo et al., 2009); and (d) Agricultural land, where fire is used to eliminate crop residues or to support the sugar cane harvest (Vega & Martínez, 2020). Figure 6 shows the absolute frequency of the distance at which forest fires are located, according to the above risk factors.

 

A = Roads; B = Highways; C = Grasslands; D = Agriculture.

Figure 5. Location of wildfires that occurred in the 2016-2023 period, according to different risk factors.

 

A = Roads; B = Highways; C = Grasslands; D = Agriculture.

Figure 6. Absolute frequency of forest fires in terms of distance to risk factors.

 

In the case of roads, the highest number of fires were observed to be located within an interval of 0-1 650 m (Table 2), while for highways it was between 0 and 820 m. Accordingly, the distance to access roads is an important criterion for determining wildfire risk potential (Rojas et al., 2022). On the other hand, although agricultural and livestock activities are considered to be the most important (Barrios-Calderón & Escobar, 2020; Bassaber-Zuñiga et al., 2024), constituting approximately 66 % (Galindo et al., 2009) of the causes of fires, their proximity to the fires was distant in general. However, in both cases, the highest frequency of fires was located between 0 and 3 000 m.

 

Table 2. Percentage of cumulative frequency of forest fires according to the different risk factors.

Distance

(m)

Cumulative %

Distance

(m)

Cumulative %

Roads

Highways

Grasslands

Agricultural land

400

28.12

28.33

1 000

44.83

29.96

800

47.78

43.76

2 000

64.66

58.19

1 200

66.38

54.33

3 000

80.17

78.45

1 600

76.11

61.95

4 000

86.85

87.93

2 000

83.3

69.13

5 000

91.38

93.32

2 400

90.27

74.63

6 000

94.18

96.98

2 800

94.08

79.07

7 000

96.12

98.06

3 200

95.56

83.72

8 000

98.92

98.28

3 600

97.04

85.62

9 000

99.78

99.57

4 000

98.31

89.85

10 000

100

100

4 400

98.52

91.75

4 800

98.73

94.29

5 200

99.15

95.98

5 600

100

97.25

 

Specifically, about half of the fires were located within a distance interval of 0 to 800 and 1 200 m in the case of roads and highways, respectively. If we consider that one of the main causes of forest fires in Colima is the burning of grasslands for the regrowth of tender grass, the highest occurrence was recorded between 0 and 1 000 m away from grassland areas, a distance that is shorter than the interval of proximity to agricultural areas (0-2 000 m). Three quarters of the percentage of forest fire frequency show that, clearly, the proximity to roads is the highest risk factor, which agrees with the findings of Cruz et al. (2017). Therefore, the implementation of preventive activities should focus on areas with the highest fire density (Rodríguez et al., 2008), where the greatest presence of roads is located (Figure 5A).

In general, there was a well-defined negative tendency in the number of fires proportionally to the distance to each of the risk factors (Figure 7). Based on this, the corresponding models were defined (Table 3), fitting most of these tendencies logarithmically, with the exception of the (exponential) grassland factor. In every case, the fit was highly significant (p<0.001); therefore, risk tables can be established (Farfán et al., 2020). However, it should be noted that similar studies detect a relationship between the presence of fires and changes in areas dedicated to agricultural activities (Flores-Garnica et al., 2021). Likewise, areas where the impact of fires is more relevant like those that favor water erosion must be included (Velasco, 2008). The above information can be integrated for the identification of zones by risk class.

 

A = Roads; B = Highways; C = Grasslands; D = Agriculture.

Figure7. Tendency of the relationship between the number of forest fires and the distance for the different risk factors.

 

Table 3. Models derived from the correlation between the percentage of forest fires and the distance to risk factors.

Risk factor

Model

R2

F

p-value

Roads

0.9491

38.13

<0.0001

Highways

0.8914

28.89

<0.0001

Grasslands

0.9351

37.98

0.0003

Agricultural land

0.9243

15.55

0.0043

P = Percentage of fires; D = Distance (m); R2 = Coefficient of determination.

 

 

Impacted vegetation

 

 

Figure 8 shows the main vegetation cover impacted by forest fires in the state of Colima. Each one consists of the following vegetation types (Inegi, 2018): (a) Forests: oak, oak-pine, pine, and pine-oak; (b) Rainforests: including the low deciduous forest and medium sub deciduous forest; (c) Secondary shrub vegetation integrating both forest and jungle vegetation, and including subtropical scrubland; (d) Secondary tree vegetation of forests and jungles. Like other studies, such as that of Salazar et al. (2004), this assessment located most of the fires in the secondary vegetation zones of low deciduous forest (54.33 %), pine forest (20.72 %), and medium sub-deciduous forest (17.12 %).

 

Figure 8. Vegetation types in the areas of occurrence of forest fires in the state of Colima, Mexico, during the 2016-2023 period.

 

 

Priority zoning

 

 

Based on the results, the priority areas of attention for the prevention of forest fires were determined, for which the following weighting classes were specified according to the distance from each of the risk factors: (a) Grasslands and agricultural land: 500, 1 000, 1 500, 2 000, 2 500, 3 000, and 3 500 m, and (b) Roads and highways: 250, 500, 750, 750, 1 000, 1 250, 1 500, and 1 750 m. Thus, seven risk classes were determined, in which the highest weighting for each class (7) corresponded to the most immediate distance 500 m (grassland and agricultural land), and 250 m (roads and highways) ―, while the lowest weighting (1) was 3 500 (for grassland and agricultural land) and 1 750 m (roads and highways). Based on map algebra, two perspectives were used to locate the priority areas: (1) Including all risk factors, and (2) Limiting according to fire densities. The results were exemplified by considering three priority classes (Figure 9): High, Medium, and Low. However, the most appropriate number of classes can be determined according to their operational expediency (Elgueta, 2023). Based on the first perspective, it was observed that practically the entire state of Colima would need to be tended to, even in those areas where there are no fires. However, if sufficient resources are available, they may be focused on high-priority areas (Padilla & de la Parra, 2015). While the second criterion i. e., (Kernel) fire densities leads to identifying and delimiting a smaller area of priorities, which always shows a clear influence of the network of roads and highways.

 

A = Considers all the risk factors; B = Limited by the (Kernel) density criterion.

Figure 9. Spatial distribution of zones by wildfire risk priority.

 

Future work may integrate other socio-environmental factors, such as climate, topography, vegetation, and land tenure, among others (Ibarra-Montoya & Huerta-Martínez, 2016; Jardel et al., 2010; Vilchis-Francés et al., 2015). Specifically, it is important to highlight the importance of the social perspective, since the risk of fire occurrence is mainly due to anthropogenic activities that largely determine the variation in the density of fire occurrence. Likewise, for the density analysis, comparative studies should be carried out including other statistical strategies to determine the bandwidth, fire seasonality, fire density assessment, definition of priority intervals, etc., as well as other environmental variables (covariates) that also focus on the analysis of the potential fire hazard (impact).

 

 

Conclusions

 

 

Based on the above results, the authors conclude that most forest fires in Colima occur in the Western region of the state, where several productive activities (livestock, agriculture, agribusiness, and tourism) are practiced in areas with secondary vegetation of low deciduous forest. A second priority area is located in the West-central part of the state. However, year after year, there is a clear variation in the spatial distribution of fires, which have a high degree of densification. This implies that their spatial pattern corresponds to a non-random clustered distribution, which is evident even when different numbers of density classes are considered. This distribution is conditioned mainly by the proximity to the access roads, as three quarters of the frequency percentage of forest fires clearly show that proximity to roads is the highest fire risk factor. A negative tendency is observed, i. e., the distance is inversely proportional to the number of fires.

Specifically, the highest number of fires was observed to be located within an interval of 0-1 650 m, while in terms of proximity to roads, the highest frequency is found within an interval of 0 to 820 m. Thus, proximity to access roads is defined as an important criterion to establish the potential risk of forest fires. In this regard, two perspectives are established for identifying priority areas: (1) To consider all the risk factors, and (2) To delimit the areas based on the fire densities, with the number of priority classes determined according to operational expediency. Finally, although the definition of priority areas based on (Kernel) fire densities makes it possible to locate and delimit the areas by fire risk class, future work should integrate the analysis of the relationship between this density and other factors, both environmental (topography, vegetation, climate, etc.) and social (land tenure, land management, distance to towns, population density, and cultural activities, among others).

 

Acknowledgments

 

The authors express their gratitude to the Instituto Nacional de Investigaciones Forestales, Agrícolas y Pecuarias (National Institute for Research on Forest, Agriculture, and Livestock) for the support in carrying out this work as part of the project titled “Determination of priority areas to implement restoration strategies in ecosystems impacted by forest fires”.

 

Conflict of interests

 

The authors declare that there are no conflicts of interest.

 

Contributions by author

 

José Germán Flores Garnica: statistical analysis, interpretation of results, structuring and drafting of the manuscript; Gabriela Orozco Gutiérrez: data collection and statistical analysis; Gabriela Ramírez Ojeda: drafting, revision, and editing of the manuscript.

 

 

References

Alanís R., E., Jiménez P., J., González T., M. A., Treviño G., E. J., Aguirre C., O. A., Yerena Y., J. I., y Mata B., J. M. (2014). Efecto de los incendios en la estructura del sotobosque de un ecosistema templado. Revista Mexicana de Ciencias Forestales, 5(22), 74-85. https://doi.org/10.29298/rmcf.v5i22.351

Amatulli, G., Peréz-Cabello, F., & de la Riva, J. (2007). Mapping lighting/human-caused wildfires occurrence under ignition point location uncertainty. Ecological Modelling, 200(3), 321-333. https://doi.org/10.1016/j.ecolmodel.2006.08.001

Ávila-Flores, D. Y., Pompa-García, M., & Vargas-Pérez, E. (2010). Análisis espacial de la ocurrencia de incendios forestales en el estado de Durango. Revista Chapingo Serie Ciencias Forestales y del Ambiente, 16(2), 253-260. https://doi.org/10.5154/r.rchscfa.2009.08.028

Barrios-Calderón, R. de J., & Escobar F., R. E. (2020). Analysis of the problem of forest fires and their implications for the loss of forest cover in Cintalapa, Chiapas. Revista de Geografía Agrícola, (65), 63-83. https://doi.org/10.5154/r.rga.2020.65.04

Bassaber-Zuñiga, A. I., Maldonado V., M. M., Curiel-Guevara, S., Rojas-Arias, M. L., y Valdez-Rosas, J. S. (2024). Revisión de causas, consecuencias y medidas de respuesta frente a los incendios forestales: un enfoque en el estado de Jalisco. eCUCBA, 11(21), 100-114. https://doi.org/10.32870/e-cucba.vi21.327

Bautista A., M., y Rodríguez A., G. (2017). Cambio de uso del suelo y deforestación. En A. Cruz A., A. Ordorica H., J. Valero P. y E. D. Melgarejo (Coords.), La biodiversidad en Jalisco. Estudio de Estado (Vol. I, pp. 263-267). Comisión Nacional para el Conocimiento y Uso de la Biodiversidad y Secretaría de Medio Ambiente y Desarrollo Territorial. https://www.researchgate.net/publication/325790579_La_biodiversidad_en_Jalisco_Estudio_de_Estado_vol_I

Chávez D., Á. A., Xelhuantzi C., J., Rubio C., E. A., Villanueva D., J., Flores L., H. E., y de la Mora O., C. (2016). Caracterización de cargas de combustibles forestales para el manejo de reservorios de carbono y la contribución al cambio climático. Revista Mexicana de Ciencias Agrícolas, (13), 2589-2600. https://www.scielo.org.mx/pdf/remexca/v7nspe13/2007-0934-remexca-7-spe13-2589.pdf

Comisión Nacional Forestal. (2024, 24 de agosto). Estadísticas y mapas [Conjunto de datos]. Manejo del fuego. https://snif.cnf.gob.mx/incendios/

Cruz E., M. Á., Rodríguez T., D. A., Villanueva M., A., y Santillán P., J. (2017). Factores sociales de uso del suelo y vegetación asociados a los incendios forestales en Hidalgo. Revista Mexicana de Ciencias Forestales, 8(41), 139-163. https://doi.org/10.29298/rmcf.v8i41.29

Díaz-Hernández, D., Rodríguez-Laguna, R., Rodríguez-Trejo, D. A., Acevedo-Sandoval, A., y Maycotte-Morales, C. C. (2021). Dinámica de la regeneración de Pinus montezumae posterior a un incendio y a quema prescrita. Botanical Sciences, 99(1), 58-66. https://doi.org/10.17129/botsci.2634

Elgueta G., V. N. (2023). Clasificación de la amenaza por incendios forestales en campamentos del Anfiteatro de Valparaíso. Revista Cartográfica, 107, 35-56. https://www.scielo.org.mx/scielo.php?script=sci_abstract&pid=S2663-39812023000200035&lng=es&nrm=iso

Espinoza J., A. R., y Gómez M., L. (2019). Incendios forestales y el fenómeno de sequía: el caso de San Luis Potosí, México. Tlalli. Revista de Investigación en Geografía, 1(1), 13-24. https://doi.org/10.22201/ffyl.26832275e.2019.1.381

Farfán G., M., Flamenco S., A., Rodríguez P., C. R., Rodrigues de Sousa S., L., González G., I., y Gao, Y. (2020). Cartografía de la probabilidad de ocurrencia a incendios forestales para el estado de Guanajuato: Una aproximación antrópica de sus fuentes de ignición. Acta Universitaria, 30, 1-15. https://doi.org/10.15174/au.2020.2953

Flores G., J. G., Benavides S., J. de D., Valdez R., C., Vega M. de O., D. G., y Casillas D., U. D. (2016). Descripción de variables para definición de riesgo de incendios forestales en México. Instituto Nacional de Investigaciones Forestales, Agrícolas y Pecuarias. https://www.researchgate.net/publication/370124776_Descripcion_de_variables_para_definicion_de_riesgo_de_incendios_forestales_en_Mexico

Flores-Garnica, J. G., & Macías-Muro, A. (2018). Bandwidth selection for kernel density estimation of forest fires. Revista Chapingo Serie Ciencias Forestales y del Ambiente, 24(3), 313-327. https://doi.org/10.5154/r.rchscfa.2017.12.074

Flores-Garnica, J. G., Reyes-Alvarado, A. G., y Reyes-Cárdenas, O. (2021). Relación espaciotemporal de puntos de calor con superficies agropecuarias y forestales en San Luis Potosí, México. Revista Mexicana de Ciencias Forestales, 12(64), 127-145. https://doi.org/10.29298/rmcf.v12i64.857

Flores-Garnica, J. G., y Flores-Rodríguez, A. G. (2020). Análisis comparativo del número e intervalos de clases de riesgo de incendios forestales. Revista Mexicana de Ciencias Forestales, 11(62), 4-30. https://doi.org/10.29298/rmcf.v11i62.775

Flores-Rodríguez, A. G., Flores-Garnica, J. G., González-Eguiarte, D. R., Gallegos-Rodríguez, A., Zarazúa-Villaseñor, P., y Mena-Munguía, S. (2020). Revisión de métodos de sensores remotos para la detección y evaluación de la severidad de incendios forestales. Gestión y Ambiente, 23(2), 273-283. https://doi.org/10.15446/ga.v23n2.93682

Fuenzalida D., M., Cobs M., V., y Guerrero E., R. (2013). El territorio como unidad de análisis en estudios sobre las determinantes sociales de la salud. Argos, 30(59), 87-106. https://ve.scielo.org/scielo.php?pid=S0254-16372013000200006&script=sci_abstract

Fulé, P. Z., Covington, W. W., Smith, H. B., Springer, J. D., Heinlein, T. A., Huisinga, K. D., & Moore, M. M. (2002). Comparing ecological restoration alternatives: Grand Canyon, Arizona. Forest Ecology and Management, 170(1-3), 19-41. https://doi.org/10.1016/S0378-1127(01)00759-9

Fulé, P. Z., Ramos-Gómez, M., Cortés-Montaño, C., & Miller, A. M. (2011). Fire regime in a Mexican forest under indigenous resource management. Ecological Applications, 21(3), 764-775. https://doi.org/10.1890/10-0523.1

Galindo, I., Barrón, J., y Padilla, J. I. (2009). Relación entre ganadería extensiva e incendios en zonas forestales del estado de Colima. Avances en Investigación Agropecuaria, 13(3), 17-33. http://ww.ucol.mx/revaia/pdf/2009/sept/3.pdf

Gollberg, G. E., Neuenschwander, L. F., & Ryan, K. C. (2001). Introduction: Integrating spatial technologies and ecological principles for a new age in fire management. International Journal of WildLand Fire, 10(4), 263-265. https://www.scirp.org/%28S%28lz5mqp453edsnp55rrgjct55%29%29/reference/referencespapers?referenceid=2225869

Ibarra-Montoya, J. L., y Huerta-Martínez, F. M. (2016). Modelado espacial de incendios: una herramienta predictiva para el Bosque La Primavera, Jalisco México. Revista Ambiente & Água, 11(1), 35-49. https://doi.org/10.4136/ambi-agua.1536

Instituto Nacional de Estadística y Geografía. (2018). Conjunto de datos vectoriales de uso del suelo y vegetación. Escala 1:250 000. Serie VII. Conjunto Nacional. Inegi. https://www.inegi.org.mx/app/biblioteca/ficha.html?upc=889463842781

Instituto Nacional de Estadística y Geografía. (2022). Red Nacional de Caminos RNC. 2022. Vías de comunicación. Inegi. https://www.inegi.org.mx/app/biblioteca/ficha.html?upc=889463770558

Jardel P., E. J., Alvarado, E., Morfín R., J. E., Castillo N., F., y Flores-Garnica, J. G. (2009). Regímenes de incendios en ecosistemas forestales de México. En J. G. Flores-Garnica (Coord.), Impacto ambiental de incendios forestales (pp. 73-100). Mundi-Prensa México, S. A. de C. V. https://www.researchgate.net/publication/370100537_Regimenes_de_fuego_en_ecosistemas_forestales_de_Mexico

Jardel P., E. J., Frausto L., J. M., Pérez S., D., Alvarado, E., Morfín R., J. E., Landa P., R., y Llamas C., P. (Eds.). (2010). Prioridades de investigación en manejo del fuego en México. Memorias del taller realizado en el Campus Morelia de la Universidad Nacional Autónoma de México. Fondo Mexicano para la Conservación de la Naturaleza, A. C. https://www.camafu.org.mx/wp-content/uploads/2017/12/Priorids_Investg_eBook_OK.pdf

Moraga P., J. C. (2010). Evaluación del riesgo ante incendios forestales en la cuenca del río Tempisque, Costa Rica. Revista Geográfica de América Central, (45), 33-64. https://www.revistas.una.ac.cr/index.php/geografica/article/view/77

Neger, C. (2021). Causas antrópicas de los incendios forestales en la sierra de los Tuxtlas, México. En E. Serna M. (Ed.), Ciencia transdisciplinar para el desarrollo y la supervivencia de la humanidad (pp. 376-393). Instituto Antioqueño de Investigación. https://www.researchgate.net/publication/353756512_Causas_antropicas_de_los_incendios_forestales_en_la_sierra_de_los_Tuxtlas_Mexico

Ocampo-Zuleta, K., y Beltrán-Vargas, J. (2018). Modelación dinámica de incendios forestales en los Cerros Orientales de Bogotá, Colombia. Madera y Bosques, 24(3), Artículo e2431662. https://doi.org/10.21829/myb.2018.2431662

Padilla L., R., y de la Parra A., M. (2015). Sistematización de la recurrencia de amenazas naturales y desastres en el estado de Colima, México. Estudios sobre las Culturas Contemporáneas, 21(2), 143-165. https://www.redalyc.org/articulo.oa?id=31639208008

Pérez-Verdín, G., Márquez-Linares, M. A., Cortes-Ortiz, A., y Salmerón-Macías, M. (2013). Patrones de distribución espacio temporal de los incendios forestales en el norte de México. En A. González-Cabán (Coord.), Memorias del Cuarto Simposio Internacional Sobre Políticas, Planificación y Economía de los Incendios Forestales: Cambio Climático e Incendios Forestales Informe Técnico General PSW-GTR-245 (pp. 221-232). Departamento de Agricultura de los EE. UU., Servicio Forestal. https://www.fs.usda.gov/psw/publications/documents/psw_gtr245/es/psw_gtr245_221.pdf

Pompa G., M., y Hernández G., P. (2012). Determinación de la tendencia espacial de los puntos de calor como estrategia para monitorear los incendios forestales en Durango, México. Bosque, 33(1), 63-68. http://dx.doi.org/10.4067/S0717-92002012000100007

Rodríguez T., D. A., Ramírez M., H., Tchikoué, H., y Santillan P., J. (2008). Factores que inciden en la siniestralidad de los incendios forestales. Revista Ciencia Forestal en México, 33(104), 37-58. https://cienciasforestales.inifap.gob.mx/index.php/forestales/article/view/736

Rojas E., L. I., Romo L., J. L., Rodríguez T., D. A., y Villanueva-Morales, A. (2022). Susceptibilidad a incendios en el Campo Forestal Experimental Las Cruces, Texcoco, México: una priorización basada en el enfoque multicriterio. Sociedad y Ambiente, (25), 1-35. https://doi.org/10.31840/sya.vi25.2484

Ruíz-Corzo, R., Raj A., D., Venegas-Sandoval, A., Jerez-Ramírez, D. O., Fernández-Zúñiga, K. S., López-Cruz, S. del C., López-Hernández, J. C., Peña-Alvarez, B., y Velázquez-Sanabria, C. A. (2022). Dinámica temporal de combustibles forestales y efecto del incendio en Cerro Nambiyugua, Chiapas, México. Ecosistemas y Recursos Agropecuarios, 9(2), Artículo e3253. https://doi.org/10.19136/era.a9n2.3253

Salazar C., E. del C., Zavala C., J., Castillo A., O., y Cámara A., R. (2004). Evaluación espacial y temporal de la vegetación de la Sierra Madrigal, Tabasco, México (1973-2003). Investigaciones Geográficas, (54), 7-23. https://doi.org/10.14350/rig.30128

Salvati, L., & Ferrara, A. (2015). Validation of MEDALUS Fire Risk Index using Forest Fire Statistics through a multivariate approach. Ecological Indicators, 48, 365-369.

https://doi.org/10.1016/j.ecolind.2014.08.027

Sánchez-Velásquez, L. R., y Pineda-López, M. del R. (2008). Vacas y bosques de la Sierra de Manatlán: Estrategias de restauración y manejo. En L. R. Sánchez-Velásquez, J. Galindo-González y F. Díaz-Fleischer (Eds.), Ecología, manejo y conservación de ecosistemas de montaña en México (pp. 201-209). Comisión Nacional para el Conocimiento y uso de la Biodiversidad, Universidad Veracruzana y Mundi Prensa México, S. A. de C. V. https://www.researchgate.net/publication/282981347_ECOLOGIA_MANEJO_Y_CONSERVACION_DE_LOS_ECOSISTEMAS_DE_MONTANA_EN_MEXICO

Silverman, B. W. (1986). Density estimation for statistics and data analysis. Chapman & Hall. https://www.scirp.org/reference/referencespapers?referenceid=1212462

Tobler, W. R. (1970). A computer movie simulating urban growth in the Detroit region. Economic Geography, 46, 234-240. https://www.tandfonline.com/doi/abs/10.2307/143141

Turlach, B. A. (1999). Bandwidth selection in Kernel density estimation: A review. In A. Doria & P. Pauletto (Eds.), Handbook of Systemic Autoimmune Diseases (pp. 1-33). Elsevier. https://www.researchgate.net/publication/2316108_Bandwidth_Selection_in_Kernel_Density_Estimation_A_Review

Vega R., A., y Martinez T., F. (2020). La quema de cañaverales y su influencia en la composición de arvenses, en zonas de la costa ecuatoriana. Universidad, Ciencia y Tecnología, 1(1), 74-80. https://uctunexpo.autanabooks.com/index.php/uct/article/view/318

Velasco H., J. A. (2008). Erosión hídrica del estado de Colima, México. LACANDONIA, Revista de Ciencias de la UNICACH, 2, 33-45. https://repositorio.unicach.mx/handle/20.500.12753/1765

Vilchis-Francés, A. Y., Díaz-Delgado, C., Magaña-Lona, D., Bâ, K. M., y Gómez-Albores, M. A. (2015). Modelado espacial para peligro de incendios forestales con predicción diaria en la Cuenca del Río Balsas. Agrociencia, 49, 803-820. https://www.scielo.org.mx/pdf/agro/v49n7/v49n7a8.pdf

 

  

        

Todos los textos publicados por la Revista Mexicana de Ciencias Forestales sin excepción– se distribuyen amparados bajo la licencia Creative Commons 4.0 Atribución-No Comercial (CC BY-NC 4.0 Internacional), que permite a terceros utilizar lo publicado siempre que mencionen la autoría del trabajo y a la primera publicación en esta revista.