Revista Mexicana de Ciencias Forestales Vol. 16 (89)

Mayo - Junio (2025)

Logotipo, nombre de la empresa

Descripción generada automáticamente

DOI: https://doi.org/10.29298/rmcf.v16i89.1508

Research Artcile

 

Ecuaciones de ahusamiento y volumen implícito para Pinus leiophylla Schiede ex Schltdl. & Cham. en Michoacán

Tapering and implied volume equations for Pinus leiophylla Schiede ex Schltdl. & Cham. in state of Michoacán

 

H. Jesús Muñoz-Flores1, Jonathan Hernández-Ramos2*, Rubén Barrera-Ramírez1, Xavier García-Cuevas3, Adrián Hernández-Ramos4, Martín Gómez-Cárdenas1

 

Fecha de recepción/Reception date: 30 de julio de 2024.
Fecha de aceptación/Acceptance date: 13 de marzo de 2025.

_______________________________

1Instituto Nacional de Investigaciones Forestales, Agrícolas y Pecuarias, Campo Experimental Uruapan. México.

2Instituto Nacional de Investigaciones Forestales, Agrícolas y Pecuarias, Campo Experimental Bajío. México.

3Instituto Nacional de Investigaciones Forestales, Agrícolas y Pecuarias, Campo Experimental Chetumal. México.

4Instituto Nacional de Investigaciones Forestales, Agrícolas y Pecuarias, Campo Experimental Saltillo. México.

 

*Autor para correspondencia; correo-e: forestjonathanhdez@gmail.com

*Corresponding author; e-mail: forestjonathanhdez@gmail.com

 

Abstract

The description of the taper (di) and the precise estimation of the stem volume (sV) are fundamental in the estimation of the timber stock and the distribution of products. The objective of the study was to fit a taper function and define the implicit sV model for Pinus leiophylla trees in the indigenous community of Patambán, Tangancícuaro, state of Michoacán, Mexico. Eight taper functions were fitted using data from 36 dominant trees from forest plantations (245 normal diameter [d], diameters [di] and heights [Ai] at different stem sections). Mixed effects models (MEM) and the maximum likelihood technique were utilized to correct for heteroscedasticity and self-correlation with the expression varExp:  and a moving average (ARMA) structure of order (p, q), respectively. Statistically, Clutter’s taper expression:  was more accurate as it included the random effect () additively in the total height parameter (Th). The explanation of sampling variability was 97.8 %, with an overall estimation error of 1.406 cm and an individual bias of 0.0138 cm. The implicit sV model was Schumacher-Hall:  (d and Th in m). The proposed expressions can be reliably included in the description of inventory data or yield estimates for forest crops.

Key words: Forest harvesting, Clutter, mixed effects, differentiated market, forest profile, Schumacher-Hall.

Resumen

La descripción del ahusamiento (di) y la estimación precisa del volumen fustal (Vf) son fundamentales en la estimación de las existencias maderables y la distribución de productos. El objetivo del estudio fue ajustar una función de ahusamiento y definir el modelo de Vf implícito para árboles de Pinus leiophylla en la comunidad indígena Patambán, Tangancícuaro, Michoacán, México. Con información de 36 árboles dominantes provenientes de plantaciones forestales (245 datos de diámetro normal [d], diámetros [di] y alturas [Ai] a distintas secciones del fuste), se ajustaron ocho funciones de ahusamiento. Mediante Modelos de efectos mixtos (MEM) y la técnica de Máxima verosimilitud se realizó la corrección de heterocedasticidad y autocorrelación, con la expresión varExp:  y una estructura de media móvil (ARMA) de orden (p, q), respectivamente. Estadísticamente, la expresión de ahusamiento de Clutter:  fue más precisa al incluir de forma aditiva el efecto aleatorio () en el parámetro relacionado a la altura total (At). La explicación de la variabilidad muestral fue de 97.8 %, con un error global de estimación de 1.406 cm y sesgo individual de 0.0138 cm. El modelo de Vf implícito fue Schumacher-Hall:  (d y At en m). Las expresiones propuestas pueden incluirse de manera confiable en la descripción de datos de inventarios o en las estimaciones de rendimiento para cultivos forestales.

Palabras clave: Aprovechamiento forestal, Clutter, efectos mixtos, mercado diferenciado, perfil fustal, Schumacher-Hall.

 

 

Introduction

 

With the description of the diameter at different heights along the stem (taper: di, cm), it is possible to detail the information of an inventory by quantifying the distribution of products and adjusting the timber stock for a differentiated market (Rachid et al., 2014). There are several mathematical expressions in the literature that help describe the di. In Mexico, order n (Hernández-Ramos et al., 2018; Ramírez-Martínez et al., 2018), exponential (Pompa et al., 2009), and segmented polynomial models (Hernández-Ramos et al., 2017; Tamarit et al., 2014) have been used satisfactorily in different species and under different growth conditions. And so have compatible tapering and trading volume (Cruz-Cobos et al., 2008; García-Espinoza et al., 2019) or volume ratio systems (Cruz-Cobos et al., 2023) as well.

Generally, statistic fit is performed by Ordinary least squares (OLS) (Rachid et al., 2014), seemingly uncorrelated equations (SUEs) (Flores et al., 2021), maximum likelihood (MLL) (Hernández-Ramos et al., 2017), nonlinear generalized least squares (NLGLS) (Monárrez-González et al., 2024), and Marquardt sum of squares minimization algorithm (Niño et al., 2018). However, mixed-effects models (MEM) (Tamarit et al., 2014) or the inclusion of Dummy variables can statistically improve the results (Torres et al., 2020).

In the stem profile function or simultaneous system of equations commercial-volume-shooting equation fits, data from the same tree are used; then, the error components are correlated, and the OLS fit will produce theoretically robust estimators, but ignoring the errors (Cruz-Cobos et al., 2008; Hernández et al., 2013). The MEM technique is a viable option for solving multicollinearity problems (Pinheiro & Bates, 2000) in any of the three approaches for its application: Prediction of the variable of interest with greater certainty through statistical improvement (Cruz-Cobos et al., 2008; Tamarit et al., 2014); (II) Estimation of the variance components to broaden their applicability or reduce the sampling effort (Saygili & Kahriman, 2023); and (III) Understanding the phenomenon by explaining the genotype-environment interaction (Balzarini, 2002; Bandera & Pérez, 2018).

MEMs incorporate random effects into their parameters, which favorably influences the error term (Correa & Salazar, 2016; Pinheiro et al., 2025), as they correct the variance-covariance structure associated with linear or tree remedy data; this technique has been used to model tree volume and growth patterns, which has generated better results, with respect to OLS (Zuur et al., 2009). In Michoacán, forest plantations (FP) are an option to reduce the pressure on forests to meet society's demand for timber. Therefore, there is a need for quantitative silvicultural tools according to the conditions of each species for the management of resources, which has led to contemplate the objective of adjusting a forest profile function and defining the forest volume for trees of Pinus leiophylla Schiede ex Schltdl. & Cham. in the indigenous community of Patambán, Tangancícuaro municipality, state of Michoacán, Mexico.

 

 

Materials and Methods

 

 

The study was conducted in the indigenous community of Patambán, municipality of Tangancícuaro, state of Michoacán, Mexico, located in the Tarascan Plateau, which is in the physiographic region of the Neovolcanic Axis, belonging to the complex volcanic mountain range and small mountain valleys system (20-65 % slopes) between 1 700 and 3 500 m of altitude. This community is located at an 1 740 masl, at 19°53‛45.80” N and 102°12‛51.20” W, sub-humid climate with summer rains, an average temperature of 16 to 18 °C, and an Andosol type soil (Instituto Nacional de Estadística y Geografía [INEGI], 2010).

A random sampling of 12 temporary quadrangular sites of 20×20 m (400 m2) was carried out in four plantations of P. leiophylla, ranging in age from 8 to 28 years. Data on tree density (trees ha-1) were collected at each site, and 36 dominant individuals were selected at the site (i. e., three trees per site), whose normal diameter was measured directly at a height of 1.30 m above the ground (d, m) with model P. O. BOX JACKSON Forestry Suppliers Inc.® diameter tape; in addition, the diameter at different heights above the stem (di) were measured at 0.3, 0.7, 1.30 m and every 2.5 m of height, starting at the diameter and height of the stump. Indirectly, with the model SW Bitterlich® Tele-relascope, until reaching the total height (Ht, m), and from the diameter of the stump (di=0), the diameter dimensions were determined to subsequently perform the tapering calculations at different heights on the trunk of each individual (Hi, m).

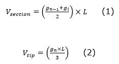
The volume per section (Vsection, m3) was calculated using the Smalian formula (Equation 1) and the tip volume (Vtip, m3), with the cone expression (Equation 2) (Niño et al., 2018). These two volumes (Vsection and Vtip) were added to obtain the stem volume of the tree (Sv, m3).

 

    

 

Where:

Vsection = Log volume (m3)

Vtip= Tip volume (m3)

gn-1 = Basal area of the largest diameter of the log (m2)

gi = Basal area of the smallest diameter of the log (m2)

gn = Basal area of the largest tip diameter (m2)

L = Log length (m)

 

Based on 245 pairs of di and Hi data, eight tapering expressions were fitted (Pompa et al., 2009; Ramírez-Martínez et al., 2018; Torres et al., 2020) using the Rstudio® 2024.04.2 version Build 764 software, in a first approach through nonlinear least squares (NLS) with the nls function (Table 1) (Baty et al., 2015; R Core Team, 2024). To avoid statistical convergence issues in the fits, a value of delta=0.01 and a tH value equal to zero were included in the di to prevent loss of observations (Hernández et al., 2013).

 

Table 1. Tapering Equations used for the fit.

 

 

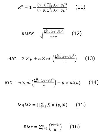
The selection of the model was based on the significance of the parameter (a=0.05), the coefficient of determination (R2, Equation 11), the root mean square error (RMSE, Equation 12), the Akaike (AIC, Equation 13) and Bayesian (BIC, Equation 14) information criterion, and the natural logarithm of the likelihood function (, Equation 15) and Bias (Equation 16) (Bronisz & Mehtätalo, 2020; Hernández et al., 2013). 

 

 

    

 

Where:

 

Once the base expression was selected, it was fitted using the MEM technique with the nlme function by maximum likelihood (Pinheiro & Bates, 2000; Pinheiro et al., 2025; R Core Team, 2024) and the First-Order (FO) expansion method (Fu et al., 2014; Yang & Huang, 2013), additively including the grouping level per individual (+ ) in the value of one or the combination of several of its fixed parameters () (Zuur et al., 2009). For example, in Clutter's Equation:  (Equation 17), where the parameter selected for the inclusion of random effects is , the best values of the AIC, BIC and logLik statistics should be included, the RMSE and Bias should be the lowest, and all its parameters should be significant (a=0.05).

The correction for heteroscedasticity was made by means of the varExp expression:  (Equation 18), where  is the variance function evaluated in the variance covariate of the predictor residuals, while  and  refer to the coefficients of the variance function, which will be specific for each level (Bronisz & Mehtätalo, 2020; Pinheiro & Bates, 2000). The problems of repeated measures on the same individual were addressed through a self-correlation moving average (ARMA) correlation structure of order (p, q), where p and q are the non-negative integers specifying the autoregressive and moving average order of the ARMA structure, respectively, in which case both have the default value of 0 (Pinheiro et al., 2025; Zuur et al., 2009).

Compliance with the regression assumptions was carried out by means of the graphical tests of normality in the frequency of the residuals, the homoscedastic distribution of the residuals and the self-correlation of the errors (Martínez-González et al., 2014). Likewise, the distribution of the random values of the parameters per tree obtained in the MEM adjustment was verified.

The implicit Vs equation of all expressions of di (Table 1) was determined through the value of its parameters, after which the value of d along the stem was integrated into the iH as a solid of revolution; for the tV, the expression 19 was used (Flores et al., 2021; Hernández-Ramos et al., 2018; Pompa et al., 2009; Ramírez-Martínez et al., 2018):

 

    

 

Where:

Vt = Stem volume

k = Volumetric constant

 = Differential on the stem height

H1 and H2 = Heights that define the integral and that can vary from H1=0 up to H2=Ht

d = Normal diameter (m)

 

Estimates of the Vs with the implicit models were contrasted through an analysis of the observed values as independent means with a t-test at a p=0.05 (Infante & Zarate, 2012). The hypotheses were: H0: there is no difference between the estimates (µ1=µ2), and Ha: the real value of the population mean (Vs) is different from the value established by the H0 (µ1µ2).

 

 

Results

 

 

The statistic fit exhibited non-significant parameters (a<0.05) in the Cielito 1, Rentería and Rustagi-Loveless expressions; Amidon’s and Newnham’s Equations only explained 42.6 and 78.9 % of the sample variability, respectively; while Clutter, González, and Forslund had an R2 value above 0.934. Clutter's expression presented the lowest values in AIC, BIC and logLik, as well as the smallest deviations in RMSE and Bias; therefore, it was selected as the base Equation to develop the compatible volume and taper model (Table 2). 

 

Table 2. Parameter values and goodness-of-fit criteria for nonlinear least-squares taper functions.

Se = Standard error; Stat. = Statistic; R2 = Coefficient of determination; RMSE = Root mean square error; AIC and BIC = Akaike and Bayesian information criterion, respectively; logLik = Log likelihood logarithm.

 

When including the random effect in an additive way per individual, as a grouping level in Clutter's expression, it turned out that when considering the effect in two or more parameters, the values were not significant (a<0.05); whereas, when using the ,  and  parameters the values of R2, AIC, BIC, logLik, RMSE, and Bias did not improve the estimates in the di; in contrast to when using , which refers to the difference between the Ht and Hi of each tree. In addition, the MEM adjustment improved the likelihood values by 2.28 % with respect to the NLS fit, while the Bias was reduced by about 56.8 % (Table 3).

 

Table 3. Parameter values and goodness-of-fit criteria of Clutter’s taper model fitted with the mixed-effects modeling technique.

Se = Standard error; R2 = Coefficient of determination; RMSE = Root mean square error; AIC and BIC = Akaike and Bayesian information criterion, respectively; logLik = Log likelihood logarithm; SD = Standard deviation; ARMA = Autocorrelation moving average correlation structure; * = Parameter including the random effect; varExp = Value of the variance function; Phi = Correlation structure: ARMA(1).

 

When the regression assumptions were evaluated graphically, a Gaussian bell-shaped frequency distribution of the residuals (Figure 1A), and homoscedastic residuals around zero (Figure 1B) were observed, indicating compliance with normality and lack of heteroscedasticity in the residuals.

 

A = Normality; B = Homoscedasticity.

Figure 1. Graphical tests of Clutter’s taper model fitted using mixed-effects models.

 

The partial self-correlation values were less than 0.2 (Figure 2A) and indicated that the regression assumption was met in the errors obtained from the fit. In addition, the value of the random effect per individual was plotted within the selected fixed parameter , which demonstrated the variability of the di in the utilized sample (Figure 2B).

 

A = Autocorrelation of the residuals; B = Distribution of the random values of the parameters tree by tree.

Figure 2. Graphical tests of Clutter’s taper model fitted by mixed-effects models.

 

With the aim of extending the applicability of the above fit, the values of the variance-covariance matrix (vcov) were determined using the MEMs (Table 4), with the idea of a potential calibration with data independent of the sample of the parameter for the difference between Ht and Hi , when assessing the variability of di in individuals with different characteristics from the information used for the adjustment or outside the geographic area where the FPs of the species under study are developed.

 

Table 4. Variance-covariance matrix (vcov) of the MEM adjustment of Clutter's taper expression.

 

In order to identify the implicit Vs models for each di expression, mathematical forms were developed to estimate the Schumacher-Hall type Vs for Clutter's, Cielito 1, and Rentería models; González, Amidon, and Newnham include in their structure the form of combined variable , but, overall, the implicit mathematical expression is hardly applicable; the Forslund and Rustagi-Loveless models do not have an explicit mathematical solution, so they are not included in Table 5.

 

Table 5. Stem volumen models (Vs) implicit within the taper functions fitted when considering the normal diameter (d, m) and total height (Ht, m) as explanatory variables.

Vs = Stem volumen; d = Normal diameter; Ht = Total height.

 

When contrasting the estimates with these implicit models and the observed Vs, there were significant differences (DMS=0.1313, F=84.36; error=0.0367, p<0.0001). According to Tukey (a=0.05), the estimates formed two groups: one in which the implicit models of Clutter, Rentería, Amidon and Newnham with respect to the observed data are equal, and the other, with the model of González. However, the parameters of the Schumacher-Hall expression (Equation 17) derived from Clutter's di function (Equation 3) are compatible and make it possible to arrive at a commercial volume expression (Vc), if so desired.

Figure 3 shows a linear tendency between the taper estimates made with Clutter's Equation versus the observed values and a description according to the shape of the trees, thereby confirming the explanation of the tendency of the information when describing the profile of the trees established in Pinus leiophylla plantations.

 

A = Pinus leiophylla Schiede ex Schltdl. & Cham. trees; B = Description of taper versus estimates of di at different Hi using the Clutter Equation

Figure 3. Comparison of observed diameter (di) at different stem sections (Hi) versus predicted diameter (taper).

 

 

Discussion

 

 

Although the presence of non-constant variance in the distribution of residuals (heteroscedasticity) is common when relating biological variables, does not invalidate the estimators obtained by NLS, which continue to be unbiased, they cease to have a minimum variance (Hernández et al., 2013); the MEM approach applied in the present study proved a viable solution for this issue when modeling the di. In this sense, Cruz-Cobos et al. (2008) used MEMs to render a linear polynomial model more flexible and increase the predictive capacity of Cielito 1 di expression for Pinus cooperi C. E. Blanco trees in the state of Durango, Mexico.

Tamarit et al. (2014) utilized the MEMs and included the random effect within a compatible di-Vc system, thereby achieving a statistical improvement over NLS, because it allowed control of individual-specific variability; furthermore, the value of the standard error of the model parameters was significantly improved, and the individual estimation Bias was reduced because the MEM technique groups variability specifically by (individual) level, increasing the likelihood in statistic fit of the value of each parameter and reducing the deviations (Pinheiro et al., 2025; Zuur et al., 2009).

The correction of self-correlation errors applied in this study, by including an ARMA-type structure (p=1, q=0), shows satisfactory results, similar to those obtained by Hernández-Ramos et al. (2018) and Flores et al. (2021) when modeling the di of clonal trees of the species Eucalyptus urophylla S. T. Blake in Huimanguillo, state of Tabasco, Mexico, and Pinus pseudostrobus Lindl. in the Corona del Rosal ejido, state of Nuevo León, respectively. In both cases, a delay was applied to the residuals (lar1) with a CAR structure (1). The same favorable effect was obtained by Torres et al. (2020) for three provenances of Pinus caribaea Morelet var. hondurensis (Sénécl.) W. H. Barrett & Golfari and Pinus elliottii Engelm. var. elliottii Engelm in a FP established in Las Choapas, state of Veracruz, Mexico, when considering a First-Order autoregressive structure (AR1).

The robustness of the statistic fit cited by Zhang et al. (2021) and demonstrated by Shin et al. (2022) in comparing the classic statistics documented in studies on taper (R2, RMSE, AIC, BIC, and logLik), provides the opportunity to make reliable estimates of taper. In addition, the Equation obtained can be integrated algebraically to obtain its implicit Vs or commercial volume (Vc) equation describing the distribution of products following the procedure described by McTague and Weiskittel (2021) for mathematical expressions of di, such as Clutter’s model.

By deriving the compatible trade volume model to fit it, authors like Niño et al. (2018) simultaneously achieve satisfactory results, since they obtain accurate expressions of Vs and Vc, in addition to modeling the taper. This strategy is also applied by Cruz-Cobos et al. (2008), Hernández-Ramos et al. (2018), and Torres et al. (2020) to model the di with different fitting techniques and approaches, thereby generating, in all cases, an expression of Vs applicable to the sample of trees analyzed for specific taxa and regions.

The Clutter-type taper model is statistically robust (Shin et al., 2022; Zhang et al., 2021); therefore, it is reliable for describing the forest profile of individuals in FPs of Pinus leiophylla. When modeling the di using the Cielito 2 expression, Ramírez-Martínez et al. (2018) also found the Schumacher-Hall expression to be adequate for predicting the Vs in Pinus ayacahuite C. Ehrenb. ex Schltdl. trees in forests of Ixtlán de Juárez, state of Oaxaca, Mexico. Furthermore, by using compatible expressions to estimate di and Vs, estimation biases are operationally reduced, as described by Pompa et al. (2009), with Biging’s expression and the implicit expression of the constant morphic coefficient of Pinus arizonica Engelm. in Southwestern Chihuahua state, Mexico.

The model for the Vs of Schumacher-Hall derived from Clutter's taper expression agrees with the expression of Cruz-Cobos et al. (2008) but is derived from the di of the Cielito 1 model. The results differ from those reported by Torres et al. (2020), who present a complex mathematical form that is not very applicable in practice and which contains in its structure a combined variable expression, similarly to the Vs models obtained in this work for the Equations of Amidon (Equation 6) and Newnham (Equation 9) equations (Table 3); also, it contrasts with the model of Pompa et al. (2009) for the Vs, which is of the morphic coefficient type and is compatible with Biging's expression.

In general, the fit with the MEM approach presented in this paper overcomes the classical heteroscedasticity and multicollinearity problems in the biological and longitudinal data (Correa & Salazar, 2016; Pinheiro & Bates, 2000; Pinheiro et al., 2025; Zuur et al., 2009). Furthermore, it reduces the deviations in the estimation of the variable of interest with greater certainty through statistical improvement (Cruz-Cobos et al., 2008; Tamarit et al., 2014). However, other strategies and approaches to analysis, such as models based on the biology of the stem shape and growth or quantifying the effect of geographic location of species, have yet to be explored (McTague & Weiskittel, 2021).

The recorded values of the variance-covariance matrix provide the guideline for a further calibration to expand its applicability, as proposed by Çakir and Kahriman (2018) and Saygili and Kahriman (2023), based on the methodology proposed by Şenyurt et al. (2017), Yang et al. (2009), and Zhang et al. (2021), so that it can be used for Clutter’s taper model in the  parameter regarding the difference between Ht and Hi. 

 

 

Conclusions

 

 

The MEM fitting strategy applied to the taper model of Pinus leiophylla trees is satisfactory for correcting the problems of heteroscedasticity and error self-correlation. There is also a statistical improvement and a reduction of individual bias in the estimates, in contrast to the Nonlinear least squares adjustment (NLS).

Clutter's taper model and its respective expression of timber volume as per Schumacher and Hall are compatible in their parameters and provide a reliable description of the stem profile of Pinus leiophylla trees; therefore, they can be used with certainty in the projection of timber stocks for a differentiated market of the evaluated P. leiophylla forest plantations.

 

Acknowledgments

 

The authors are grateful to the Indigenous Community of Patambán, Tangancícuaro, Michoacán, Mexico for allowing access to carry out the study in their forest plantations and to the National Institute for Research on Forest, Agriculture and Livestock (Instituto Nacional de Investigaciones Forestales, Agrícolas y Pecuarias, INIFAP) for financing the project “Estimation of carbon stored in commercial pine forest plantations in the Sierra Purhépecha, Michoacán(“Estimación de carbono almacenado en plantaciones forestales comerciales de pino en la Sierra Purhépecha, Michoacán”).

 

Conflict of interest

 

The authors declare that they have no conflict of interest.

 

Contribution by author

 

H. Jesús Muñoz-Flores: fieldwork, information debugging and analysis, text review and correction; Jonathan Hernández-Ramos: conceptualization of research, information debugging and analysis, text review and correction; Rubén Barrera-Ramírez: fieldwork, information debugging and analysis, manuscript writing; Xavier García-Cuevas: conceptualization of research, information debugging and analysis, text review and correction; Adrián Hernández-Ramos: conceptualization of research, manuscript writing; Martín Gómez-Cárdenas: fieldwork, manuscript writing.

 

 

References

Balzarini, M. (2002). Applications of mixed models in plant breeding. In M. S. Kang (Ed.), Quantitative genetics, genomics and plant breeding (pp. 353-363). CABI Publishing. https://www.researchgate.net/publication/286931755_Applications_of_Mixed_Models_in_Plant_Breeding

Bandera F., E., y Pérez P., L. (2018). Los modelos lineales generalizados mixtos. Su aplicación en el mejoramiento de plantas. Cultivos Tropicales, 39(1), 127-133. https://www.redalyc.org/articulo.oa?id=193260614019

Baty, F., Ritz, C., Charles, S., Brutsche, M., Flandrois, J.-P., & Delignette-Muller, M.-L. (2015). A toolbox for nonlinear regression in R: The rackage nlstools. Journal of Statistical Software, 66(5), 1-21. https://www.jstatsoft.org/article/view/v066i05

Bronisz, K., & Mehtätalo, L. (2020). Mixed-effects generalized height–diameter model for young silver birch stands on post-agricultural lands. Forest Ecology and Management, 460, Article 117901. https://doi.org/10.1016/j.foreco.2020.117901

Çakir, C. Y., & Kahriman, A. (2018). Modeling stem profile of Caucasian fir and Oriental spruce mixed stands in Turkey using nonlinear mixed-effects models. Applied Ecology and Environmental Research, 16(5), 6815-6833. https://aloki.hu/pdf/1605_68156833.pdf

Correa M., J. C., y Salazar U., J. C. (2016). Introducción a los modelos mixtos. Universidad Nacional de Colombia. https://medellin.unal.edu.co/todos-los-libros/images/gratuitos/pdf/Introduccion-a-los-modelos-Mixtos_Mayo_2017.pdf

Cruz-Cobos, F., De los Santos-Posadas, H. M., y Valdez-Lazalde, J. R. (2008). Sistema compatible de ahusamiento-volumen para Pinus cooperi Blanco en Durango, México. Agrociencia, 42(4), 473-485. https://agrociencia-colpos.org/index.php/agrociencia/article/view/646

Cruz-Cobos, F., Quiñonez-Barraza, G., Hernández-Merino, V., Corral-Rivas, S., y Nava-Nava, A. (2023). Sistemas compatibles de ahusamiento y volumen comercial para dos especies de Pinus en Durango, México. Revista Mexicana de Ciencias Forestales, 14(77), 76-102. https://doi.org/10.29298/rmcf.v14i77.1383

Flores M., E. A., Rodríguez A., A. C., Aguirre C., O. A., Alanís R., E., y Quiñonez B., G. (2021). Sistema compatible de ahusamiento-volumen para Pinus pseudostrobus Lindl. en el ejido Corona del Rosal, Nuevo León, México. Madera y Bosques, 27(2), Artículo e2722130. https://doi.org/10.21829/myb.2021.2722130

Fu, L., Wang, M., Lei, Y., & Tang, S. (2014). Parameter estimation of two-level nonlinear mixed effects models using first order conditional linearization and the EM algorithm. Computational Statistics & Data Analysis, 69, 173-183. https://doi.org/10.1016/j.csda.2013.05.026

García-Espinoza, G. G., Aguirre-Calderón, O. A., Vargas-Larreta, B., Martínez-Ángel, L., García-Magaña, J. J., y Hernández-Ramos, J. (2019). Sistema compatible de ahusamiento y volumen comercial de Pinus pseudostrobus Lindl. en Nuevo San Juan Parangaricutiro, Michoacán, México. Agrociencia, 53(1), 115-131. https://agrociencia-colpos.org/index.php/agrociencia/article/view/1755

Hernández P., D., de los Santos P., H. M., Ángeles P., G., Valdez L., J. R., y Volke H., V. H. (2013). Funciones de ahusamiento y volumen comercial para Pinus patula Schltdl. et Cham. en Zacualtipán, Hidalgo. Revista Mexicana de Ciencias Forestales, 4(16), 34-45. https://doi.org/10.29298/rmcf.v4i16.439

Hernández-Ramos, J., De los Santos-Posadas, H. M., Valdéz-Lazalde, J. R., Tamarit-Urias, J. C., Ángeles-Pérez, G., Hernández-Ramos, A., y Peduzzi, A. (2018). Funciones de ahusamiento para clones de Eucalyptus urophylla establecidos en plantaciones comerciales en Huimanguillo, Tabasco, México. Agrociencia, 52(7), 1013-1029. https://agrociencia-colpos.org/index.php/agrociencia/article/view/1719/1719

Hernández-Ramos, J., Hernández-Ramos, A., García-Magaña, J. de J., García-Cuevas, X., García-Espinoza, G. G., Muñoz-Flores, H. J., y Olvera-Delgadillo, E. H. (2017). Sistema compatible de ahusamiento-volumen comercial para plantaciones de Pinus greggii Engelm. en Hidalgo, México. Revista Mexicana de Ciencias Forestales, 8(39), 59-70. https://doi.org/10.29298/rmcf.v8i39.43

Infante G., S., y Zárate de L., G. P. (2012). Métodos estadísticos: un enfoque interdisciplinario (3ra Edición). Editorial del Colegio de Postgraduados. https://archive.org/details/libro-metodos-estadisticos-infante-y-zarate-2/page/n1/mode/2up

Instituto Nacional de Estadística y Geografía. (2010). Compendio de información geográfica municipal de los Estados Unidos Mexicanos. Tangancícuaro, Michoacán de Ocampo, clave geoestadística 16085. Instituto Nacional de Estadística y Geografía. https://www.inegi.org.mx/contenidos/app/mexicocifras/datos_geograficos/16/16085.pdf

Martínez-González, M. A., Sánchez-Villegas, A., Toledo A., E., y Faulin F., J. (Edits.). (2014). Bioestadística amigable (3ra Edición). Elsevier España, S. L. https://www.unav.edu/documents/16089811/16155256/indice-bioestadistica-amigable-3-edicion.pdf

McTague, J. P., & Weiskittel, A. (2021). Evolution, history, and use of stem taper equations: a review of their development, application, and implementation. Canadian Journal of Forest Research, 51(2), 210-235. https://doi.org/10.1139/cjfr-2020-0326

Monárrez-González, J. C., Márquez-Linares, M. A., López H., J. A., Pérez V., G., Quiñonez B., G., y García C., X. (2024). Ecuaciones de volumen fustal-total y ahusamiento para especies maderables del ecosistema templado en Puebla, México. Revista Mexicana de Ciencias Forestales, 15(84), 4-28. https://doi.org/10.29298/rmcf.v15i84.1440

Niño L., G. S., Ramos M., P. A., Barrios, A., y López A., A. M. (2018). Modelos compatibles de ahusamiento-volumen para árboles de Gmelina arborea Roxb. en el Alto Magdalena, Colombia. Colombia Forestal, 21(2), 174-187. https://doi.org/10.14483/2256201X.12249

Pinheiro, J. C., & Bates, D. M. (2000). Mixed-effects models in S and S-PLUS. Springer. https://doi.org/10.1007/b98882

Pinheiro, J. C., Bates, D., DebRoy, S., Sarkar, D., Heisterkamp, S., Van Willigen, B., & Ranke, J. (2025). Linear and Nonlinear Mixed Effects Models. Package ‘nlme’: Version 3.1-168. Comprehensive R Archive Network. https://cran.r-project.org/web/packages/nlme/nlme.pdf

Pompa G., M., Corral R., J. J., Díaz V., M. A., y Martínez S., M. (2009). Función de ahusamiento y volumen compatible para Pinus arizonica Engelm. en el suroeste de Chihuahua. Revista Ciencia Forestal en México, 34(105), 119-136. https://cienciasforestales.inifap.gob.mx/index.php/forestales/article/view/695

R Core Team. (2024). RStudio Builds 2024.04.2 (version Build 764) [Software]. R Foundation for Statistical Computing. https://dailies.rstudio.com/version/2024.04.2+764/

Rachid C., C., Mason E., G., Wollons, R., & Resquin, F. (2014). Volume and taper equations for P. taeda (L.) and E. grandis (Hill ex. Maiden). Agrociencia Uruguay, 18(2), 47-60. http://www.ainfo.inia.uy/digital/bitstream/item/13335/1/Rachid-Agrociencia-2014.pdf

Ramírez-Martínez, A., Santiago-García, W., Quiñonez-Barraza, G., Ruiz-Aquino, F., y Antúnez, P. (2018). Modelación del perfil fustal y volumen total para Pinus ayacahuite Ehren. Madera y Bosques, 24(2), Artículo e2421496. https://doi.org/10.21829/myb.2018.2421496

Saygili, B., & Kahriman, A. (2023). Modeling compatible taper and stem volume of pure Scots pine stands in Northeastern Turkey. iForest, 16(1), 38-46. https://doi.org/10.3832/ifor4099-015

Şenyurt, M., Ercanlı, İ., & Bolat, F. (2017). Taper equations based on nonlinear mixed effect modeling approach for Pinus nigra in Çankırı forests. Bosque, 38(3), 545-554. http://dx.doi.org/10.4067/S0717-92002017000300012

Shin, J.-H., Han, H., Ko, C.-U., Kang, J.-T., & Kim, Y.-H. (2022). Applying nonlinear mixed-effects models to taper equations: a case study of Pinus densiflora in Gangwon province, Republic of Korea. Journal of Korean Society of Forest Science, 111(1), 136-149. https://doi.org/10.14578/jkfs.2022.111.1.136

Tamarit U., J. C., De los Santos P., H. M., Aldrete, A., Valdez L., J. R., Ramírez M., H., y Guerra De la C., V. (2014). Sistema de cubicación para árboles individuales de Tectona grandis L. f. mediante funciones compatibles de ahusamiento-volumen. Revista Mexicana de Ciencias Forestales, 5(21), 58-77. https://doi.org/10.29298/rmcf.v5i21.358

Torres A., D., de los Santos P., H. M., Velázquez M., A., y Tamarit U., J. C. (2020). Ahusamiento y volumen comercial de tres procedencias de pinos tropicales en plantaciones forestales de Veracruz, México. Madera y Bosques, 26(3), Artículo e2631890. https://myb.ojs.inecol.mx/index.php/myb/article/download/1890/e2631890/12514

Yang, Y., & Huang, S. (2013). On the statistical and biological behaviors of nonlinear mixed forest models. European Journal of Forest Research, 132, 727-736. https://doi.org/10.1007/s10342-013-0705-2

Yang, Y., Huang, S., Trincado, G., & Meng, S. X. (2009). Nonlinear mixed-effects modeling of variable-exponent taper equations for lodgepole pine in Alberta, Canada. European Journal of Forest Research, 128, 415-429. https://doi.org/10.1007/s10342-009-0286-2

Zhang, S., Sun, J., Duan, A., & Zhang, J. (2021). Variable-exponent taper equation based on multilevel nonlinear mixed effect for Chinese Fir in China. Forests, 12(2), 126. https://doi.org/10.3390/f12020126

Zuur, A. F., Ieno, E. N., Walker, N., Saveliev, A. A., & Smith, G. M. (2009). Mixed effects models and extensions in ecology with R. Springer. https://link.springer.com/book/10.1007/978-0-387-87458-6

  

        

Todos los textos publicados por la Revista Mexicana de Ciencias Forestales sin excepción– se distribuyen amparados bajo la licencia Creative Commons 4.0 Atribución-No Comercial (CC BY-NC 4.0 Internacional), que permite a terceros utilizar lo publicado siempre que mencionen la autoría del trabajo y a la primera publicación en esta revista.