Revista Mexicana de Ciencias Forestales Vol. 15 (85)

Septiembre - Octubre (2024)

Logotipo, nombre de la empresa

Descripción generada automáticamente

DOI: https://doi.org/10.29298/rmcf.v15i85.1469

Research article

Variabilidad espacial de muérdago (Loranthaceae) en áreas verdes de la alcaldía Coyoacán, Ciudad de México

Spatial variability of mistletoe (Loranthaceae) in green areas of Coyoacán municipality, Mexico City

 

Pablo Espinoza Zúñiga1, Fidel Lara Vázquez2, David Cibrián Tovar1, Alfredo Ruiz Orta2, Federico Benjamín Galacho Jiménez3, José Francisco Ramírez Dávila1*

 

Fecha de recepción/Reception date: 1º. de marzo de 2024.

Fecha de aceptación/Acceptance date: 26 de junio de 2024.

_______________________________

1División de Ciencias Forestales, Universidad Autónoma Chapingo. México.

2Facultad de Ciencias Agrícolas, Universidad Autónoma del Estado de México, Campus el Cerrillo. México.

3Universidad de Málaga, Departamento de Geografía, Grupo de Análisis Geográfico, 29071 Málaga, España.

 

*Autor por correspondencia; correo-e: jframirezd@uaemex.mx

*Corresponding author; e-mail: jframirezd@uaemex.mx

 

Abstract

Urban forests are green spaces designed to improve the relationship between nature and people, but due to their strong interaction with people they must be protected. Urban trees grow under greater environmental stress which makes them more susceptible to pests and diseases, including parasitic plants such as true mistletoe. The Cladocolea genus, known as true mistletoe, corresponds to parasitic plants of great interest to arborists, since they infest trees and shrubs, and cause severe damage to hosts. The present research aimed to establish the type of spatial variability of true mistletoe populations in urban green areas of the Coyoacán municipality of Mexico City through the use of Geostatistics. 38 sites of said demarcation were sampled, of which the parasitic plant was identified in 10. Experimental and theoretical semivariograms, pest aggregation maps and an estimation of the infested area were developed using Geostatistics, and the Ia and Ja indices were determined using SADIE. The results showed that mistletoe has an aggregated distribution that fits the exponential, Gaussian and spherical statistical models, with an aggregated spatial distribution, which helps in the development of phytosanitary management programs for urban trees.

Key words: Aggregation, urban forests, Geostatistics, ordinary Kriging, true mistletoe, SADIE.

Resumen

Los bosques urbanos son espacios verdes diseñados para mejorar la relación entre la naturaleza y las personas, pero debido a su fuerte interacción con la gente deben ser protegidos. Los árboles urbanos crecen bajo mayor estrés ambiental, lo que los hace más susceptibles a plagas y enfermedades, incluidas plantas parásitas como el muérdago verdadero. El género Cladocolea, conocido como muérdago verdadero corresponde a plantas parásitas de gran interés para los arboristas, ya que infestan árboles y arbustos, y provocan daños severos en los hospederos. La presente investigación tuvo como objetivo establecer el tipo de variabilidad espacial de las poblaciones del muérdago verdadero en áreas verdes urbanas de la alcaldía Coyoacán, Ciudad de México mediante el uso de geoestadística. Se muestrearon 38 sitios de dicha demarcación, de los cuales en 10 se identificó a la planta parásita. Se elaboraron semivariogramas experimentales y teóricos, mapas de agregación de la plaga y estimación del área infestada con el uso de geoestadística y se determinaron los índices Ia y Ja con SADIE. Los resultados mostraron que el muérdago presenta distribución agregada, que se ajusta a los modelos estadísticos exponenciales, Gaussianos y esféricos con una distribución espacial de tipo agregado, lo que ayuda en la elaboración de programas de manejo fitosanitario del arbolado urbano.

Palabras clave: Agregación, bosques urbanos, Geoestadística, Kriging ordinario, muérdago verdadero, SADIE.

 

 

Introduction

  

Urban forests are green areas within urban environments designed to preserve, enhance and encourage interaction between nature and the community; the benefits they provide include carbon dioxide capture, improved air quality, wildlife refuge, reduced noise and pollution, among others (Cantón et al., 2003).

Urban trees grow under greater environmental stress than trees in natural areas, making them more susceptible to pests and diseases, including parasitic plants such as true mistletoe (Cibrián et al., 2007; Díaz-Limón et al., 2016).

Their effects vary depending not only on their ability to take water and nutrients from the host tree, but also on the means or forms of seed dispersal. The main dispersal of seeds is carried out by birds, such dispersal occurs through three mechanisms, although these are not the only vectors: (1) Defecation, (2) Regurgitation and (3) The abandonment of sticky seeds on the branches (Mathiasen et al., 2008; Martínez-Castruita et al., 2021).

Therefore, it is important to apply tools and methods that allow determining the spatial variability of true mistletoe populations in urban green spaces, which is the basis for the development of management and control plans (Ramírez and Porcayo, 2010). On the other hand, it is necessary to know how mistletoe is distributed and what type of spatial behavior it presents, and thus, optimize economic resources to generate a reduction in the environmental impact from the use of agrochemicals (Martínez-Martínez et al., 2021).

Spatial statistical methods (Geostatistics and SADIE index) provide direct measures of variability and spatial dependence in real time (Moral, 2004). Geostatistics facilitates the creation of maps through the Kriging method, which has many variants depending on the degrees of stationarity of the random function that represents the regionalized phenomenon (Simple Kriging, Ordinary Kriging, Universal Kriging, Indicator Kriging, Gaussian Kriging), and which are useful for visualizing the spatial location of an object of study (Ramírez-Dávila and Porcayo-Camargo, 2008; Fernández et al., 2016). Based on this, a new methodology called Spatial Analysis by Distance Indexes (SADIE) has been created, within the advances in spatial statistics (Perry, 1995; Ramírez-Dávila and Porcayo-Camargo, 2008).

The SADIE index method evaluates the non-randomness of interactions between individuals to demonstrate the heterogeneity in the spatial distribution of organisms (Perry, 1998). This approach has the advantage of using data in the form of counts and considering their location in two dimensions, which gives more robust results than if only the frequencies per sample unit were considered (Solís-Gracia and Suzán-Aspiri, 2014). With SADIE, information is obtained on the spatial associations between two populations (or species) (Maestre, 2003). Therefore, the purpose of this research was to determine the type of spatial variability present in true mistletoe populations in urban green areas of the Coyoacán municipality, Mexico City, using spatial statistics (Geostatistics and Spatial Analysis by Distance Indexes [SADIE]). In addition, density maps of the true mistletoe distribution were created, and the area infested by this organism was identified.

 

 

Materials and Methods

 

 

Study area and sample size

 

 

The research was carried out in the Coyoacán municipality (Figure 1) which belongs to Mexico City, located between the parallels 19°18’ and 19°21’ North and the meridians 99°06’ and 99°12’ West, between 2 200 and 2 400 masl (INEGI, 2010). It has a total area of 54.02 km2, of which 8.57 km2 are urban green areas, which concentrate 9.54 % of the total of Mexico City (Sedema, 2010).

 

Ciudad de México = Mexico City.

Figure 1. Location of sampling sites.

 

Thirty-eight sampling sites were established, the distribution of which was defined based on the percentage of green area and surface area of the municipality (Sedema, 2010). Each site had a dimension of 500 square meters and a random sample of 20 trees; mensuration variables were taken such as: normal diameters with a diameter tape (model 283d Forestry Suppliers®), total height with an electronic clinometer (model ECII D Haglöf®), tree stratum, physical condition of the tree, tree species, phytosanitary status, damage caused by pests, diseases and human activities for which the “Pictorial field guide. Agents of damage in the forests of Mexico” field guide was used (Conafor and Colpos, 2012). The location of damage to the trunk, branches and foliage was also recorded. Each health indicator was useful for obtaining data quickly and practically.

To model the distribution and severity patterns at each of the evaluated sites, a mistletoe infestation level scale from zero to six was assigned (Espinoza-Zúñiga et al., 2019) and spatial coordinates were taken with the help of a model eTrex 30 Garmin® GPS (Global Positioning System).

 

 

Geostatistical analysis

 

 

The data obtained were subjected to the kurtosis test and the Coefficient of variability, determining a normal distribution. Subsequently, the experimental and theoretical semivariograms were estimated (Moral, 2004); the semivariograms were calculated with the following expression according to Journel and Huijbregts (1978) and Isaaks and Srivastava (1989).

 

 

Where:

 = Experimental value of the semivariogram for the distance interval h

 = Number of pairs of sample points separated by the distance interval h

 = Value of the variable of interest at the sample point

 = Value of the variable of interest at the sample point

 

The experimental semivariogram of each sample was fitted to different theoretical models (Gringarten and Deutsch, 2001). During the validation of the model, the best possible fit was sought through an interactive process. The Variowin 2.2 program was used (Maldonado et al., 2016). The model parameters evaluated included the nugget effect (Co), the plateau (C) and the range or scope (a) (Hevesi et al., 1992; Samper and Carrera, 1996).

 

 

Cross-validation

 

 

Once the experimental semivariograms were adjusted to some of the theoretical models, it was necessary to statistically validate these models, for which statistical parameters such as the Mean estimation error (MEE), the Mean square error (MSE) and the Dimensionless mean square error (MMSE) were used (Hevesi et al., 1992). The validation of the different theoretical models adjusted to the experimental semivariograms was carried out with the procedure called cross-validation. The parameters of the model to be validated (Co, C and a) were modified in a trial and error procedure until obtaining adequate cross-validation statistics (Ramírez and Porcayo, 2010).

 

  

Spatial dependence

 

 

The degree of relationship or level of spatial dependence is obtained by dividing the nugget effect by the plateau expressed as a percentage. If the result is less than 25 %, the level of spatial dependence is high, between 26 and 75 % it is moderate and if it is greater than 76 % it is low (Cambardella et al., 1994).

 

 

Distance indexes (SADIE)

 

 

The individuals are the sampling units i=1, ... n, remaining on the coordinate axes (Xi, Yi) for each sampling unit, their count is contained in the Aggregation index Ia with its Pa (probability of aggregation) and the Aggregation index Ja, with its relationship called Qa (probability of grouping) (Ramírez-Dávila et al., 2012). The sample is aggregated if Ia>1, it is random if Ia=1 and it is regular if Ia<1; on the other hand, if Ja>1 the sample is aggregated, if Ja=1 it is spatially random and if Ja<1 the sample is regular.

The values of the Ja Index are used to confirm the results obtained with the Ia Index (Lara-Vázquez et al., 2018). The program used was SADIE 1.2 (Perry et al., 1998).

  

 

Map making and infested surface

 

 

Maps were made using Ordinary Kriging, which is the most commonly used method for ecological and environmental variables based on sampling carried out in areas of interest (Moral, 2004), since Ordinary Kriging assumes that the random function is second-order stationary with an unknown mean, which indicates the homogeneity of the samples in the area in which the variable is distributed. In addition, this method shows that the correlation between two random variables depends only on the spatial distance that separates them and is independent of their location (Fernández et al., 2016). The maps were created using the Surfer program version 23 (Surface-Mapping System, Golden Software Inc., USA) (Maldonado et al., 2016), and the infestation percentage was determined with them.

 

 

Results

 

 

The trees in the Coyoacán municipality are composed of a diversity of 37 species, of which Fraxinus uhdei (Wenz.) Lingelsh. was the most common (23.1 %), followed by Eucalyptus camaldulensis Dehnh. (16.6 %), which was affected by defoliating insects in 14.5 %. In regard to physical damage, it was estimated that 54.4 % of the specimens were affected by poor pruning. The estimated normal diameter was 31.5 cm, with a minimum value of 12 cm and a maximum of 38.5 cm. Regarding the average height, it was estimated at 22.5 m, with a minimum value of 3.5 m and a maximum of 34 m. On the other hand, of the sampled trees (620), 72.3 % were adult, while 27.7 % corresponded to the juvenile stage.

Of the sampled sites, 36.3 % (10 of 38 sites) were affected by mistletoe. The true mistletoe species at the sampling sites were Cladocolea loniceroides (Tiegh.) Kuijt (51.61 %), Struthanthus interruptus (Kunth) G. Don (41.94 %) and ball moss Tillandsia recurvata (L.) L. (6.45 %). Cladocolea loniceroides was generally present on eight tree species, and the most susceptible was Populus tremuloides Michx. with 97 %; in second place was Populus alba L. with 76.0 %; in third place Ulmus parvifolia Jacq. with 45 %; in fourth place Fraxinus uhdei with 20 % and finally Schinus terebinthifolia Raddi with 8.6 %. Casuarina equisetifolia L. was found to be the tree species most susceptible to Struthanthus interruptus.

 

 

Geostatistical analysis

 

 

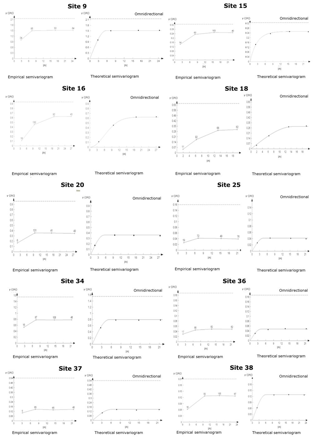
Most of the theoretical semivariograms (8 out of 10) were fitted to spherical “aggregate spatial arrangement” models. Site 15 was fitted to an exponential model (continuous spatial phenomena), while Site 16 was fitted to a Gaussian model (smooth phenomena, i. e., continuous at all points) (Figure 2).

 

Figure 2. Empirical and theoretical semivariogram of the spatial variability of true mistletoe in the sampling sites of the Coyoacán municipality.

 

The nugget value at Site 25 was equal to 0.01, Site 36 was 0.03 and the rest of the sampling sites had values equal to zero; this value represents the experimental error. The level of spatial dependence of mistletoe populations in all cases was high. The plateau values ranged from 0.09 to 1.51. The interval or range values were between 9.36 and 10.08 m (Table 1). 

 

Table 1. Parameters of the theoretical models fitted to the semivariograms of true mistletoe by sampling sites.

Site

Variance

Model

Nugget

Range (m)

Plateau

Nugget/Plateau (%)

Spatial dependence

9

1.46

Spherical

0

10.08

1.51

0

Alta

15

0.57

Exponential

0

8.06

0.16

0

Alta

16

0.96

Gaussian

0

7.75

0.78

0

Alta

18

0.80

Spherical

0

7.98

0.39

0

Alta

20

1.01

Spherical

0

6.48

0.58

0

Alta

25

0.16

Spherical

0.01

8.41

0.09

11

Alta

34

1.24

Spherical

0

8.67

0.72

0

Alta

36

0.43

Spherical

0.03

7.79

0.90

3

Alta

37

0.73

Spherical

0

7.59

0.27

0

Alta

38

0.45

Spherical

0

9.36

0.18

0

Alta

 

The statistics of the cross-validation allowed the validation of the fitted models, as they were within the ranges of mathematical acceptance (Table 2).

 

Table 2. Values of the statistics of the cross-validation.

Site

Sample size

Sampling mean

Sampling variance

MEE

Error variance

MSE

MMSE

9

20

0.90

1.46

0.13ns

1.09

0.08

1.13

15

20

0.30

0.57

0.10ns

0.30

0.13

1.12

16

20

0.60

0.96

0.11ns

0.66

0.06

1.10

18

20

0.50

0.80

0.09ns

0.42

0.12

1.08

20

20

0.80

1.01

0.12ns

0.87

0.11

1.11

25

20

0.20

0.16

0.13ns

0.10

0.10

1.08

34

20

0.90

1.24

0.08ns

1.03

0.07

1.11

36

20

0.20

0.43

0.10ns

0.28

0.11

1.06

37

20

0.60

0.73

0.12ns

0.50

0.13

1.13

38

20

0.30

0.45

0.14ns

0.21

0.09

1.10

MEE = Mean estimation error; MSE = Mean square error; MMSE = Dimensionless mean square error; ns = Non-significant difference at 5 %.

 

 

Elaboration of density maps (Kriging)

 

 

The spatial dispersion of a population in an agroecosystem basically responds to three models: Aggregate (or contagious), Random (or haphazard) or Uniform (or regular) (Souza et al., 2016). The true mistletoe populations presented an aggregated spatial distribution (Figure 3). Colors were used to represent the level of mistletoe infestation in the treetops at each of the sampling sites: white indicates that this parasite does not exist and red indicates the highest level of infestation.

 

Figure 3. Distribution maps of true mistletoe, based on Kriging at the sampling sites of the Coyoacán municipality.

 

  

Infested area

 

 

Based on the density maps prepared through Ordinary Kriging, an infested surface greater than 50 % was recorded in most of the sampling sites; thus, at Site 9 the infested percentage was 73; at Site 15, 47 %; at Site 16, 45 %; at Site 18, 42 %; at Site 20, 67 %; at Site 25, 55 %; at Site 34, 61 %; at Site 36, 59 %; at Site 37, 78 %, and at Site 38, 33 %.

 

 

Distance Indexes (SADIE)

 

 

The results obtained with the assessed indexes (Ia, Ja) with SADIE indicate that the Ia reaches the highest value (1.72) at Site 9 and the lowest value (1.44) at Site 15 (Table 3). On the other hand, the highest value of the Index Ja was also recorded at Site 9 with 1.25 and the lowest value at Site 18 with 1.07. In addition, the values of both indices (Ia, Ja) were greater than 1, which reinforces the result of the Ia index (Table 3). 

 

Table 3. Value of the Ja, Ia indexes and their Pa and Qa probabilities of the spatial variability of true mistletoe in the sampling sites of the Coyoacán municipality.

Site

Ia

Pa

Ja

Qa

9

1.72

0.006s

1.25

0.184ns

15

1.44

0.011s

1.19

0.160ns

16

1.58

0.010s

1.14

0.173ns

18

1.63

0.007s

1.07

0.201ns

20

1.71

0.014s

1.13

0182ns

25

1.66

0.010s

1.17

0.198ns

34

1.57

0.005s

1.20

0.187ns

36

1.49

0.012s

1.18

0.176ns

37

1.60

0.014s

1.20

0.156ns

38

1.51

0.008s

1.15

0.169ns

s = Significant at 5 %; ns = Not significant at 5 %.

 

 

Discussion

 

 

Solís-Gracia and Suzán-Aspiri (2014) conducted a study to determine the spatial distribution of the mistletoe Phoradendron californicum Nutt. in the South of the Sonoran Desert, where it was detected that Parkinsonia microphylla Torr. was the most abundant; however, it was not the species most infested by P. californicum, since the tree species most affected by this parasitic plant was Olneya tesota A. Gray with 59.9 % of the total population, which defined that the spatial behavior of this mistletoe is not random. The conditions of the host and the habitat can be factors that influence the distribution of these organisms (Sayad et al., 2017). Tall trees may be more likely to be infested because they have wide canopies, providing more space for birds to land (Gougherty, 2013).

 

Geostatistical analysis

 

 

Geostatistics comprises a set of tools and techniques that serve to analyze and predict the values of a variable. All geostatistical analysis is mainly composed of three stages: (I) Exploratory data analysis, (II) Structural analysis, and (III) Predictions (Moral, 2004). The use of Geostatistics allowed the spatial structure of this parasitic plant to be modeled; most of them were adjusted to spherical models, with a nugget effect equivalent to zero.

By having a null and low nugget effect in some sampling sites, it was possible to ensure that the study scale was adequate and that there was no sampling error (Ramírez and Porcayo, 2010). The results obtained through this method determined the existence of an aggregated spatial structure of the true mistletoe, which may indicate that it is more likely that the vector or dispersing agent of the parasite spreads to neighboring hosts (Byamukama et al., 2011).

The level of spatial dependence was high in all cases. A variable is considered to have a strong spatial dependence if the value is less than 25 % and a moderate spatial dependence if the value is between 25 and 75 %. Otherwise, the variable has a weak spatial dependence (Maldonado et al., 2016). High spatial dependence makes it possible to assert that the identified aggregation will persist over time, which will favor the existence of stable ecological niches. Trees in urban environments often exhibit a strong spatial dependence, either dispersed or aggregated (Ricotta et al., 2001).

The cross-validation statisticians approved the mathematical validation of the fitted models (Table 2), which is very important because it confirms that the results obtained are highly reliable (Maldonado et al., 2016). The range at which the data are correlated was calculated in meters. This spatial correlation indicates that trees at a certain distance from an infected tree are more likely to be infested than those further away (Matula et al., 2015). The calculated distances allow us to infer that there is a high probability that the surrounding trees will be infested in a short period (Ramírez and Porcayo, 2010). The range values could be related to the behavior of the main dispersers, which are birds, since they first visit the closest specimens, whether infected or not, which promotes a greater transmission of mistletoe seeds.

Using Geostatistics, it was determined that the spatial structure of mistletoe is aggregated. It would be important in later studies to evaluate the spatial autocorrelation between mistletoe and the density of trees present, as well as to evaluate the bird species in the study area and analyze their behavior and their interaction with mistletoe.

 

 

Spatial analysis by distance indices (SADIE)

 

 

The results obtained with the indices (Ja, Ia) showed an aggregation of true mistletoe between hosts. Various studies have been conducted to determine the spatial distribution of this parasitic plant with the SADIE indices in natural environments; the results obtained coincide with those reported by Ramírez-Dávila and Porcayo-Camargo (2008) in the Nevado de Toluca National Park, where they used the indexes (Ia and Ja) and concluded that for all cases, the distribution of the dwarf mistletoe is aggregated; the same is indicated by Aukema (2004) for desert places. This shows that the distribution of this parasitic plant takes on an aggregated spatial behavior, regardless of the condition of the environment.

The Ja Index indicates whether the spatial structure is located arranged in one or several aggregation centers (Moral, 2004). In the study it was identified that there are several aggregation centers distributed in the 10 sampling sites evaluated; these aggregations were corroborated with the maps prepared using Kriging (Figure 3) (Ramírez-Dávila et al., 2012).

 

 

Infestation percentage

 

 

Using the density maps prepared with the ordinary Kriging technique, it was identified that in most of the sites the infestation percentage is high, however, in no case did the true mistletoe damage all the urban trees; according to Moral (2004), with the information generated with the maps, control or management can be carried out. By having identified the areas most affected by true mistletoe, management plans directed towards these spaces can be proposed and thus optimize the corresponding expenses.

 

 

Conclusions

 

 

Spatial Analysis by Distance Indexes (SADIE) yielded consistent results in explaining the aggregate spatial distribution pattern of true mistletoe in the Coyoacán municipality, Mexico City. In addition, the maps generated allowed determining the density of the pest. This is important for planning the targeted management of these organisms since there is not 100 % infestation.

 

Acknowledgements

 

To the staff of the Coyoacán municipality of Mexico City, for the help provided in this study.

 

Conflict of Interests

 

The authors declare that they have no conflict of interest.

 

Contribution by author

 

Pablo Espinoza Zúñiga and Fidel Lara Vázquez: conceptualization, writing, review and correction of the manuscript, methodology and supervision of the research; David Cibrián Tovar, Alfredo Ruiz Orta and Federico Benjamín Galacho Jiménez: conceptualization, research, writing, review and correction of the manuscript; José Francisco Ramírez Dávila: conceptualization, methodology, writing, review and correction of the manuscript.

 

 

References

Aukema, J. E. 2004. Distribution and dispersal of desert mistletoe is scale-dependent, hierarchically nested. Ecography 27(2):137-144. Doi: 10.1111/j.0906-7590.2004.03640.x.

Byamukama, E., A. E. Robertson and F. W. Nutter Jr. 2011. Quantifying the within-field temporal and spatial dynamics of bean pod mottle virus in Soybean. Plant Disease 95(2):126-136. Doi: 10.1094/PDIS-07-09-0469.

Cambardella, C. A., T. B. Moorman, J. M. Novak, T. B. Parkin, … and A. E. Konopka. 1994. Field-scale variability of soil properties in central Iowa soils. Soil Science Society of America Journal 58(5):1501-1511. Doi: 10.2136/sssaj1994.03615995005800050033x.

Cantón, M. A., C. de Rosa y H. Kasperidus. 2003. Sustentabilidad del bosque urbano en el área metropolitana de la ciudad de Mendoza. Análisis y diagnóstico de la condición de las arboledas. Avances en Energías Renovables y Medio Ambiente 7(1):29-34. http://sedici.unlp.edu.ar/handle/10915/80662. (6 de enero de 2023).

Cibrián T., D., D. Alvarado R. y S. E. García D. (Edits.). 2007. Enfermedades forestales en México. Universidad Autónoma Chapingo. Texcoco, Edo. Méx., México. 587 p.

Comisión Nacional Forestal y Colegio de Postgraduados (Conafor y Colpos). 2012. Guía pictórica de campo. Agentes de daño en los bosques de México. Gerencia de Sanidad, Conafor. Zapopan, Jal., México. 60 p.

Díaz-Limón, M. P., Z. Cano-Santana and M. E. Queijeiro-Bolaños. 2016. Mistletoe infection in an urban forest in Mexico City. Urban Forestry & Urban Greening 17:126-134. Doi: 10.1016/j.ufug.2016.04.004.

Espinoza-Zúñiga, P., J. F. Ramírez-Dávila, D. Cibrián-Tovar, A. Villanueva-Morales, … y R. Rivera-Martínez. 2019. Modelación de la distribución espacial del muérdago (Santalales: Loranthaceae) en las áreas verdes de la delegación Tlalpan, México. Bosque 40(1):17-28. Doi: 10.4067/S0717-92002019000100017.

Fernández D., M., J. G. Espinosa R. y C. R. García-Jacas. 2016. Algoritmo paralelo para la interpolación espacial de Krigeado Ordinario. Revista Cubana de Ciencias Informáticas 10(3):57-70. http://scielo.sld.cu/pdf/rcci/v10n3/rcci05316.pdf. (24 de enero de 2023).

Gougherty, A. V. 2013. Spatial distribution of Eastern mistletoe (Phoradendron leucarpum, Viscaceae) in an urban environment. Journal of the Alabama Academy of Science 84(3-4):155-167. https://openurl.ebsco.com/EPDB%3Agcd%3A6%3A511398/detailv2?sid=ebsco%3Aplink%3Ascholar&id=ebsco%3Agcd%3A96642631&crl=c. (23 de abril de 2023).

Gringarten, E. and C. V. Deutsch. 2001. Teacher's Aide variogram interpretation and modeling. Mathematical Geology 33:507-534. Doi: 10.1023/A:1011093014141.

Hevesi, J. A., J. D. Istok and A. L. Flint. 1992. Precipitation estimation in mountainous terrain using multivariate Geostatistics. Part I: Structural analysis. Journal of Applied Meteorology 31(7):661-676. https://www.jstor.org/stable/26186579. (18 de febrero de 2023).

Instituto Nacional de Estadística y Geografía (INEGI). 2010. Compendio de Información Geográfica Delegacional de los Estados Unidos Mexicanos. Coyoacán, Distrito Federal, clave geoestadística 09003. Aguascalientes, Ags., México. 6 p.

Isaaks, E. H. and R. M. Srivastava. 1988. Spatial continuity measures for probabilistic and deterministic geostatistics. Mathematical Geology 20:313-341. Doi: 10.1007/BF00892982.

Journel, A. G. and C. J. Huijbregts. 1978. Mining Geostatistics. Academic Press Limited. Ipswich, SFK, England. 600 p.

Lara-Vázquez, F., J. F. Ramírez-Dávila, M. Rubí-Arriaga, E. J. Morales-Rosales, ... y R. Rivera-Martínez. 2018. Distribución espacial de araña roja Oligonychus punicae Hirst en el cultivo del aguacate, en dos municipios del Estado de México. Southwestern Entomologist 43(3):743-759. Doi: 10.3958/059.043.0320.

Maestre, F. T. 2003. Variaciones en el patrón espacial a pequeña escala de los componentes de la costra biológica en un ecosistema mediterráneo semiárido. Revista Chilena de Historia Natural 76(1):35-46. Doi: 10.4067/S0716-078X2003000100004.

Maldonado Z., F. I., J. F. Ramírez D., M. Rubí A., X. Antonio N. y A. V. Lara D. 2016. Distribución espacial de trips en aguacate en Coatepec Harinas, Estado de México. Revista Mexicana de Ciencias Agrícolas 7(4):845-856. Doi: 10.29312/remexca.v7i4.259.

Martínez-Castruita, I. A., M. H. Sandoval-Ortega, M. Arellano-Delgado y V. M. Martínez-Calderón. 2021. Infestación por Cladocolea loniceroides y sus potenciales aves dispersoras de semillas en un área verde urbana de la ciudad de Aguascalientes, México. Madera y Bosques 27(1):e2712084. Doi: 10.21829/myb.2021.2712084.

Martínez-Martínez, N., J. F. Ramírez-Dávila, F. Lara-Vázquez y D. K. Figueroa-Figueroa. 2021. Distribución espacial de muérdago enano en la Reserva de la Biosfera Mariposa Monarca. Colombia Forestal 24(2):65-81. Doi: 10.14483/2256201X.17163.

Mathiasen, R. L., D. L. Nickrent, D. C. Shaw and D. M. Watson. 2008. Mistletoes: Pathology, systematics, ecology, and management. Plant disease 92(7):988-1006. Doi: 10.1094/PDIS-92-7-0988.

Matula, R., M. Svátek, M. Pálková, D. Volřík and T. Vrška. 2015. Mistletoe infection in an oak forest is influenced by competition and host size. PLOS ONE 10(5):e0127055. Doi: 10.1371/journal.pone.0127055.

Moral G., F. J. 2004. Aplicación de la geoestadística en las ciencias ambientales. Ecosistemas 13(1):78-86. https://www.revistaecosistemas.net/index.php/ecosistemas/article/view/582. (11 de noviembre de 2022).

Perry, J. N. 1995. Spatial analysis by distance index. Journal of Animal Ecology 64(3):303-314. Doi: 10.2307/5892.

Perry, J. N. 1998. Measures of spatial pattern for counts. Ecology 79(3):1008-1017. https://doi.org/10.1890/0012-9658(1998)079[1008:MOSPFC]2.0.CO;2.

Ramírez D., J. F. y E. Porcayo C. 2010. Estudio comparativo de la distribución espacial del muérdago enano (Arceuthobium sp.) en la ladera norte del Parque Nacional Nevado de Toluca, México. Bosque 31(1):28-38. Doi: 10.4067/S0717-92002010000100004.

Ramírez-Dávila, J. F, J. R. Sánchez-Pale, E. Porcayo-Camargo and C. de León. 2012. Determination of spatiotemporal stability of corn head smut (Sporisorium reilianum) by SADIE. Ciencia e Investigación Agraria 39(3):459-471. Doi: 10.4067/S0718-16202012000300006.

Ramírez-Dávila, J. F. y E. Porcayo-Camargo. 2008. Distribución espacial de las ninfas de Jacobiasca lybica (Hemiptera: Cicadellidae) en un viñedo en Andalucía, España. Revista Colombiana de Entomología 34(2):169-175. Doi: 10.25100/socolen.v34i2.9282.

Ricotta, C., L. C. Grapow, G. Avena and C. Blasi. 2001. Topological analysis of the spatial distribution of plant species richness across the city of Rome (Italy) with the echelon approach. Landscape and Urban Planning 57(2):69-76. Doi: 10.1016/S0169-2046(01)00187-6.

Samper, F. J. y J. Carrera. 1996. Geoestadística: Aplicaciones a la hidrogeología subterránea. Centro Internacional de Métodos Numéricos en Ingeniería. Barcelona, CT, España. 484 p.

Sayad, E., E. Boshkar and S. Gholami. 2017. Different role of host and habitat features in determining spatial distribution of mistletoe infection. Forest Ecology and Management 384:323-330. Doi: 10.1016/j.foreco.2016.11.012.

Secretaría del Medio Ambiente (Sedema). 2010. Inventario de Áreas Verdes. https://sedema.cdmx.gob.mx/programas/programa/inventario-de-areas-verdes. (16 de diciembre de 2022).

Solís-Gracia, V. y H. Suzán-Aspiri. 2014. Análisis de la distribución espacial del muérdago (Phoradendron californicum) en el sur del Desierto Sonorense. Cactáceas y Suculentas Mexicanas 59(1):11-28. https://www.academia.edu/49357091/Cact%C3%A1ceas_y_Suculentas_Mexicanas_Volumen_59_No_1_enero_marzo_2014. (18 de enero de 2023).

Souza, E. G., C. L. Bazzi, R. Khosla, M. A. Uribe-Opazo and R. M. Reich. 2016. Interpolation type and data computation of crop yield maps is important for precision crop production. Journal of Plant Nutrition 39(4):531-538. Doi: 10.1080/01904167.2015.1124893.

 

        

Todos los textos publicados por la Revista Mexicana de Ciencias Forestales sin excepción– se distribuyen amparados bajo la licencia Creative Commons 4.0 Atribución-No Comercial (CC BY-NC 4.0 Internacional), que permite a terceros utilizar lo publicado siempre que mencionen la autoría del trabajo y a la primera publicación en esta revista.