Revista Mexicana de Ciencias Forestales Vol. 15 (85)

Septiembre - Octubre (2024)

Logotipo, nombre de la empresa

Descripción generada automáticamente

DOI: https://doi.org/10.29298/rmcf.v15i85.1469

Artículo de investigación

Variabilidad espacial de muérdago (Loranthaceae) en áreas verdes de la alcaldía Coyoacán, Ciudad de México

Spatial variability of mistletoe (Loranthaceae) in green areas of Coyoacán municipality, Mexico City

 

Pablo Espinoza Zúñiga1, Fidel Lara Vázquez2, David Cibrián Tovar1, Alfredo Ruiz Orta2, Federico Benjamín Galacho Jiménez3, José Francisco Ramírez Dávila1*

 

Fecha de recepción/Reception date: 1º. de marzo de 2024.

Fecha de aceptación/Acceptance date: 26 de junio de 2024.

_______________________________

1División de Ciencias Forestales, Universidad Autónoma Chapingo. México.

2Facultad de Ciencias Agrícolas, Universidad Autónoma del Estado de México, Campus el Cerrillo. México.

3Universidad de Málaga, Departamento de Geografía, Grupo de Análisis Geográfico, 29071 Málaga, España.

 

*Autor por correspondencia; correo-e: jframirezd@uaemex.mx

*Corresponding author; e-mail: jframirezd@uaemex.mx

 

Resumen

Los bosques urbanos son espacios verdes diseñados para mejorar la relación entre la naturaleza y las personas, pero debido a su fuerte interacción con la gente deben ser protegidos. Los árboles urbanos crecen bajo mayor estrés ambiental, lo que los hace más susceptibles a plagas y enfermedades, incluidas plantas parásitas como el muérdago verdadero. El género Cladocolea, conocido como muérdago verdadero corresponde a plantas parásitas de gran interés para los arboristas, ya que infestan árboles y arbustos, y provocan daños severos en los hospederos. La presente investigación tuvo como objetivo establecer el tipo de variabilidad espacial de las poblaciones del muérdago verdadero en áreas verdes urbanas de la alcaldía Coyoacán, Ciudad de México mediante el uso de geoestadística. Se muestrearon 38 sitios de dicha demarcación, de los cuales en 10 se identificó a la planta parásita. Se elaboraron semivariogramas experimentales y teóricos, mapas de agregación de la plaga y estimación del área infestada con el uso de geoestadística y se determinaron los índices Ia y Ja con SADIE. Los resultados mostraron que el muérdago presenta distribución agregada, que se ajusta a los modelos estadísticos exponenciales, Gaussianos y esféricos con una distribución espacial de tipo agregado, lo que ayuda en la elaboración de programas de manejo fitosanitario del arbolado urbano.

Palabras clave: Agregación, bosques urbanos, Geoestadística, Kriging ordinario, muérdago verdadero, SADIE.

Abstract

Urban forests are green spaces designed to improve the relationship between nature and people, but due to their strong interaction with people they must be protected. Urban trees grow under greater environmental stress which makes them more susceptible to pests and diseases, including parasitic plants such as true mistletoe. The Cladocolea genus, known as true mistletoe, corresponds to parasitic plants of great interest to arborists, since they infest trees and shrubs, and cause severe damage to hosts. The present research aimed to establish the type of spatial variability of true mistletoe populations in urban green areas of the Coyoacán municipality of Mexico City through the use of Geostatistics. 38 sites of said demarcation were sampled, of which the parasitic plant was identified in 10. Experimental and theoretical semivariograms, pest aggregation maps and an estimation of the infested area were developed using Geostatistics, and the Ia and Ja indices were determined using SADIE. The results showed that mistletoe has an aggregated distribution that fits the exponential, Gaussian and spherical statistical models, with an aggregated spatial distribution, which helps in the development of phytosanitary management programs for urban trees.

Key words: Aggregation, urban forests, Geostatistics, ordinary Kriging, true mistletoe, SADIE.

 

 

Introducción

 

 

Los bosques urbanos son áreas verdes dentro de entornos urbanos diseñadas para preservar, mejorar y fomentar la interacción entre la naturaleza y la comunidad; los bienes que aportan incluyen captura de dióxido de carbono, la mejora de la calidad del aire, el refugio de fauna silvestre, la reducción de la presencia del ruido y contaminación, entre otros (Cantón et al., 2003).

Los árboles urbanos crecen bajo mayor estrés ambiental que los árboles en áreas naturales, lo que los hace más susceptibles a plagas y enfermedades, incluidas plantas parásitas como el muérdago verdadero (Cibrián et al., 2007; Díaz-Limón et al., 2016).

Sus efectos varían en función no solo de su capacidad de tomar agua y nutrientes del árbol hospedante, sino además de los medios o formas de dispersión de la semilla. La principal dispersión de las semillas la realizan las aves, la cual ocurre por medio de tres mecanismos, aunque estos no son los únicos vectores: (1) defecación, (2) regurgitación y (3) abandono de las semillas pegajosas sobre las ramas (Mathiasen et al., 2008; Martínez-Castruita et al., 2021).

Por lo tanto, es importante aplicar herramientas y métodos que permitan determinar la variabilidad espacial de poblaciones de muérdago verdadero en espacios verdes urbanos, con lo que se fundamenta el desarrollo de planes de gestión y control (Ramírez y Porcayo, 2010). Por otra parte, es necesario saber cómo se distribuye y qué tipo de comportamiento espacial presenta el muérdago, y con ello optimizar los recursos económicos para generar una reducción en el impacto ambiental por el uso de agroquímicos (Martínez-Martínez et al., 2021).

Los métodos estadísticos espaciales (Geoestadística e Índice SADIE) proporcionan medidas directas de variabilidad y dependencia espacial en tiempo real (Moral, 2004). La Geoestadística facilita la creación de mapas a través del método del Krigeado, el cual tiene muchas variantes según los grados de estacionariedad de la función aleatoria que representa el fenómeno regionalizado (Krigeado simple, Krigeado ordinario, Krigeado universal, Krigeado de indicadores, Krigeado Gaussiano), y que son útiles para visualizar la ubicación espacial de un objeto de estudio (Ramírez-Dávila y Porcayo-Camargo, 2008; Fernández et al., 2016). Con esta base se ha creado una nueva metodología llamada Análisis Espacial por Índices de Distancia (SADIE), dentro de los avances en estadística espacial (Perry, 1995; Ramírez-Dávila y Porcayo-Camargo, 2008).

El método de índices de SADIE evalúa la no aleatoriedad de las interacciones entre individuos para demostrar la heterogeneidad en la distribución espacial de los organismos (Perry, 1998). Este enfoque tiene la ventaja de usar datos en forma de conteos y considerar su ubicación en dos dimensiones, lo que da resultados más sólidos que si solo se consideraran las frecuencias por unidad muestral (Solís-Gracia y Suzán-Aspiri, 2014). Con SADIE se obtiene información sobre las asociaciones espaciales entre dos poblaciones (o especies) (Maestre, 2003). Por tanto, el propósito de esta investigación fue determinar el tipo de variabilidad espacial presente en las poblaciones de muérdago verdadero en áreas verdes urbanas de la alcaldía Coyoacán, Ciudad de México, mediante la estadística espacial (Geoestadística y Análisis Espacial por Índices de Distancia [SADIE]). Además, se crearon mapas de densidad de la distribución del muérdago verdadero y se identificó la superficie infestada por este organismo.

 

 

Materiales y Métodos

 

 

Área de estudio y tamaño de la muestra

 

 

La investigación se realizó en la alcaldía Coyoacán (Figura 1) perteneciente a la Ciudad de México, ubicada entre los paralelos 19°18’ y 19°21’ norte y los meridianos 99°06’ y 99°12’ oeste, entre 2 200 y 2 400 msnm (INEGI, 2010). Tiene una superficie total de 54.02 km2, de los cuales 8.57 km2 son áreas verdes urbanas que concentran 9.54 % del total de la Ciudad de México (Sedema, 2010).

 

Figura 1. Localización de los sitios de muestreo.

 

Se establecieron 38 sitios de muestreo, cuya distribución fue definida con base en el porcentaje de área verde y superficie de la alcaldía (Sedema, 2010). Cada sitio tenía una dimensión de 500 m2 y una muestra aleatoria de 20 árboles; se registraron variables dasométricas como: diámetros normales con una cinta diamétrica (Forestry Suppliers® 283d), altura total con un clinómetro electrónico (Haglöf® ECII D), estrato arbóreo, condición física del árbol, especie del árbol, estado fitosanitario, daños provocados por plagas, enfermedades y actividades humanas, para lo cual se utilizó la guía de campo “Guía pictórica de campo. Agentes de daño en los bosques de México” (Conafor y Colpos, 2012). También, se registró la ubicación de daños en fuste, ramas y follaje. Cada indicador de salud fue útil para la obtención de datos de forma rápida y práctica.

Para modelar los patrones de distribución y severidad en cada uno de los sitios evaluados, se asignó una escala de nivel de infestación del muérdago de cero a seis (Espinoza-Zúñiga et al., 2019) y se obtuvieron coordenadas espaciales con la ayuda de un GPS (Global Positioning System) (Garmin® eTrex 30).

 

 

Análisis geoestadístico

 

 

Los datos fueron sometidos a la prueba de Curtosis y al Coeficiente de variabilidad, determinando una distribución normal. Posteriormente, se procedió a estimar los semivariogramas experimentales y teóricos (Moral, 2004); los semivariogramas se calcularon con la siguiente expresión de acuerdo con Journel y Huijbregts (1978) e Isaaks y Srivastava (1988):

 

 

Donde:

 = Valor experimental del semivariograma para el intervalo de distancia h

 = Número de pares de puntos muestrales separados por el intervalo de distancia h

 = Valor de la variable de interés en el punto muestra

 = Valor de la variable de interés en el punto muestral

 

El semivariograma experimental de cada muestra se ajustó a diferentes modelos teóricos (Gringarten y Deutsch, 2001). Durante la validación del modelo se buscó el mejor ajuste posible mediante un proceso interactivo. Se utilizó el programa Variowin 2.2 (Maldonado et al., 2016). Los parámetros del modelo evaluados incluyeron el efecto pepita (Co), la meseta (C) y el intervalo o alcance (a) (Hevesi et al., 1992; Samper y Carrera, 1996).

 

 

Validación cruzada

 

 

Una vez que los semivariogramas experimentales se ajustaron a algunos de los modelos teóricos, fue necesario validarlos estadísticamente, para lo cual se utilizaron parámetros estadísticos como la media de los errores de estimación (MEE), el Error Cuadrático Medio (ECM) y el Error Cuadrático Medio Adimensional (ECMA) (Hevesi et al., 1992) La validación de los diferentes modelos teóricos ajustados a los semivariogramas experimentales se realizó con el procedimiento denominado validación cruzada. Los parámetros del modelo por validar (Co, C y a) se fueron modificando en un procedimiento de prueba y error hasta la obtención de estadísticos de validación cruzada adecuados (Ramírez y Porcayo, 2010).

 

 

Dependencia espacial

 

 

El grado de relación o nivel de dependencia espacial se obtiene al dividir el efecto pepita entre la meseta expresado en porcentaje. Si el resultado es menor a 25 %, el nivel de dependencia espacial es alta, entre 26 y 75 % es moderada y si es mayor de 76 % es baja (Cambardella et al., 1994).

 

 

Índices de distancia (SADIE)

 

 

Los individuos son las unidades de muestreo i=1, ... n, quedando en los ejes de coordenadas (Xi, Yi) para cada unidad de muestreo su recuento está contenido en el Índice de Agregación Ia con su Pa (probabilidad de agregación) y el Índice de Agregación Ja, con su relación denominada Qa (probabilidad de agrupación) (Ramírez-Dávila et al., 2012). La muestra es agregada si Ia>1, es aleatoria si Ia=1 y es regular si Ia<1; por otra parte, si Ja>1 la muestra es agregada, si Ja=1 es espacialmente aleatoria y si Ja<1 la muestra es regular.

Los valores del Índice Ja se utilizan para confirmar los resultados obtenidos con el Índice Ia (Lara-Vázquez et al., 2018). El programa utilizado fue SADIE 1.2 (Perry, 1998).

 

 

Elaboración de mapas y superficie infestada

 

 

Se realizaron mapas mediante el Krigeado ordinario, el cual es el más usado en variables ecológicas y ambientales, a partir de muestreos realizados en áreas de interés (Moral, 2004), ya que el Krigeado ordinario asume que la función aleatoria es estacionaria de segundo orden con media desconocida, lo cual indica la homogeneidad de las muestras en el área en la que se distribuye la variable. Además, este método establece que la correlación entre dos variables aleatorias depende únicamente de la distancia espacial que las separa, y es independiente de su ubicación (Fernández et al., 2016). Los mapas se elaboraron con el programa Surfer versión 23 (Surface-Mapping System, Golden Software Inc., USA) (Maldonado et al., 2016), y con ellos se determinó el porcentaje de infestación.

 

Resultados

 

 

El arbolado de la alcaldía Coyoacán está compuesto por una diversidad de 37 especies de las cuales Fraxinus uhdei (Wenz.) Lingelsh. fue la más común (23.1 %), seguida por Eucalyptus camaldulensis Dehnh. (16.6 %), que presentó afectaciones por insectos defoliadores en 14.5 %. Con relación a los daños físicos, se calculó que 54.4 % de los ejemplares estaban afectados por malas podas. El diámetro normal estimado fue de 31.5 cm, con un valor mínimo de 12 cm y un máximo de 38.5 cm. Respecto a la altura promedio se estimó en 22.5 m, con un valor mínimo de 3.5 m y un máximo de 34 m. Por otro lado, de los árboles muestreados (620), 72.3 % era adulto, mientras que 27.7 % correspondió a la etapa juvenil.

De los sitios, 36.3 % (10 de 38 sitios) registró afectación por muérdago. Las especies de muérdago verdadero en los sitios de muestreo fueron Cladocolea loniceroides (Tiegh.) Kuijt (51.61 %), Struthanthus interruptus (Kunth) G. Don (41.94 %) y heno motita Tillandsia recurvata (L.) L. (6.45 %). Cladocolea loniceroides, en general, estuvo presente en ocho especies arbóreas, y la más susceptible fue Populus tremuloides Michx. con 97 %; en segundo lugar, Populus alba L. con 76.0 %; en tercer lugar, Ulmus parvifolia Jacq. con 45 %; en cuarto lugar, Fraxinus uhdei con 20 % y por último Schinus terebinthifolia Raddi con 8.6 %. Casuarina equisetifolia L. se verificó como la especie arbórea más susceptible a Struthanthus interruptus.

 

 

Análisis geoestadístico

 

 

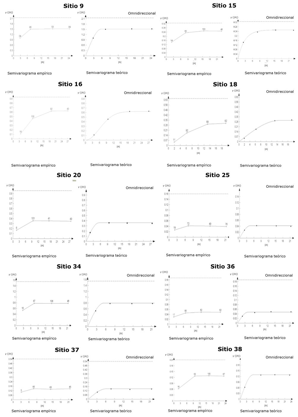
La mayoría de los semivariogramas teóricos (8 de 10) se ajustaron a modelos esféricos de “disposición espacial agregada”. El Sitio 15 se ajustó a un modelo exponencial (fenómenos espaciales continuos), mientras que el Sitio 16 a un modelo Gaussiano (fenómenos suaves; es decir, continuos en todos los puntos) (Figura 2).

 

Figura 2. Semivariograma empírico y teórico de la variabilidad espacial del muérdago verdadero en los sitios de muestreo de la alcaldía Coyoacán.

 

El valor de pepita en el Sitio 25 fue igual a 0.01, Sitio 36 de 0.03 y el resto de los sitios de muestreo tuvieron valores igual a cero; este valor representa el error experimental. El nivel de dependencia espacial de las poblaciones de muérdago en todos los casos fue alto. Los valores de la meseta fueron de entre 0.09 a 1.51. Los valores del intervalo o alcance estuvieron entre 9.36 y los 10.08 m (Cuadro 1).  

 

Cuadro 1. Parámetros de los modelos teóricos ajustados a los semivariogramas de muérdago verdadero por sitios de muestreo.

Sitio

Varianza

Modelo

Pepita

Intervalo (m)

Meseta

Pepita/Meseta (%)

Dependencia espacial

9

1.46

Esférico

0

10.08

1.51

0

Alta

15

0.57

Exponencial

0

8.06

0.16

0

Alta

16

0.96

Gaussiano

0

7.75

0.78

0

Alta

18

0.80

Esférico

0

7.98

0.39

0

Alta

20

1.01

Esférico

0

6.48

0.58

0

Alta

25

0.16

Esférico

0.01

8.41

0.09

11

Alta

34

1.24

Esférico

0

8.67

0.72

0

Alta

36

0.43

Esférico

0.03

7.79

0.90

3

Alta

37

0.73

Esférico

0

7.59

0.27

0

Alta

38

0.45

Esférico

0

9.36

0.18

0

Alta

 

Los estadísticos de la validación cruzada permitieron la validación de los modelos ajustados, al hallarse en los intervalos de aceptación matemática (Cuadro 2).

 

Cuadro 2. Valores de los estadísticos de la validación cruzada.

Sitio

Tamaño de la muestra

Media muestral

Varianza muestral

MEE

Varianza de los errores

ECM

ECMA

9

20

0.90

1.46

0.13ns

1.09

0.08

1.13

15

20

0.30

0.57

0.10ns

0.30

0.13

1.12

16

20

0.60

0.96

0.11ns

0.66

0.06

1.10

18

20

0.50

0.80

0.09ns

0.42

0.12

1.08

20

20

0.80

1.01

0.12ns

0.87

0.11

1.11

25

20

0.20

0.16

0.13ns

0.10

0.10

1.08

34

20

0.90

1.24

0.08ns

1.03

0.07

1.11

36

20

0.20

0.43

0.10ns

0.28

0.11

1.06

37

20

0.60

0.73

0.12ns

0.50

0.13

1.13

38

20

0.30

0.45

0.14ns

0.21

0.09

1.10

MEE = Media de los errores de estimación; ECM = Error Cuadrático Medio; ECMA = Error Cuadrático Medio Adimensional; ns = Diferencia no significativa al 5 %.

 

Elaboración de mapas de densidad (Krigeado)

 

 

La dispersión espacial de una población en un agroecosistema básicamente responde a tres modelos: Agregado (o contagioso), Aleatorio (o al azar) o Uniforme (o regular) (Souza et al., 2016). Las poblaciones de muérdago verdadero presentaron una distribución espacial agregada (Figura 3). Para representar el nivel de infestación del muérdago en las copas de los árboles en cada uno de los sitios de muestreo se utilizaron colores: el blanco indica que no existe este parásito y el rojo indica la escala de infestación más alta.

 

Figura 3. Mapas de distribución del muérdago verdadero, con base en el Krigeado en los sitios de muestreo de la alcaldía Coyoacán.

 

 

Superficie infestada

 

 

Con base en los mapas de densidad elaborados a través del Krigeado ordinario, se registró una superficie infestada mayor a 50 % en la mayoría de los sitios de muestreo; así, en el Sitio 9 el porcentaje infestado fue de 73; en el Sitio 15, de 47 %; en el Sitio 16, de 45 %; en el Sitio 18, de 42 %; en el Sitio 20, de 67 %; en el Sitio 25, de 55 %; en el Sitio 34, de 61 %; en el Sitio 36, de 59 %; en el Sitio 37, de 78 % y en el Sitio 38, de 33 %.

 

 

Índices de distancia (SADIE)

 

 

Los resultados obtenidos con los índices (Ia, Ja) evaluados con el SADIE indicaronn que el Ia alcanza el valor más alto (1.72) en el Sitio 9 y el valor más bajo (1.44) en el Sitio 15 (Cuadro 3). Por otro lado, el valor más alto del Índice Ja también se registró en el Sitio 9 con 1.25 y el más bajo en el Sitio 18 con 1.07. Además, los valores de ambos índices (Ia, Ja) fueron superiores a 1, lo que refuerza el resultado del Índice Ia (Cuadro 3).

 

Cuadro 3. Valor de los índices Ja, Ia y sus probabilidades Pa y Qa de la variabilidad espacial del muérdago verdadero en los sitios de muestreo de la alcaldía Coyoacán.

Sitio

Ia

Pa

Ja

Qa

9

1.72

0.006s

1.25

0.184ns

15

1.44

0.011s

1.19

0.160ns

16

1.58

0.010s

1.14

0.173ns

18

1.63

0.007s

1.07

0.201ns

20

1.71

0.014s

1.13

0182ns

25

1.66

0.010s

1.17

0.198ns

34

1.57

0.005s

1.20

0.187ns

36

1.49

0.012s

1.18

0.176ns

37

1.60

0.014s

1.20

0.156ns

38

1.51

0.008s

1.15

0.169ns

s = Significativo al 5 %; ns = No significativo al 5 %.

 

 

Discusión

 

 

Solís-Gracia y Suzán-Aspiri (2014) realizaron un estudio para determinar la distribución espacial del muérdago Phoradendron californicum Nutt. en el sur del Desierto Sonorense, donde se detectó que Parkinsonia microphylla Torr. era la más abundante; sin embargo, no fue la especie más infestada por P. californicum, pues la más afectada fue Olneya teosota A. Gray, con 59.9 % del total de la población, lo que permitió definir su comportamiento espacial como no aleatorio. Las condiciones del hospedante y el hábitat pueden ser factores que influyen en la distribución de estos organismos (Sayad et al., 2017). Los árboles grandes en altura posiblemente sean más propensos a ser infestados por tener copas amplias, ya que proporcionan más espacio para el aterrizaje de las aves (Gougherty, 2013).

 

 

Análisis geoestadístico

 

 

La Geoestadística comprende un conjunto de herramientas y técnicas que sirven para analizar y predecir los valores de una variable. Todo análisis geoestadístico se compone principalmente de tres etapas: (I) análisis exploratorio de los datos, (II) análisis estructural y (III) predicciones (Moral, 2004). El uso de la Geoestadística permitió modelar la estructura espacial de esta planta parásita; se ajustaron en su mayoría a modelos esféricos, con un efecto pepita equivalente a cero.

Al tener un efecto pepita nulo y bajo en algunos sitios de muestreo fue posible asegurar que la escala de estudio fue la adecuada y que no existió error de muestreo (Ramírez y Porcayo, 2010). Los resultados obtenidos mediante este método determinaron la existencia de una estructura espacial agregada del muérdago verdadero, por lo que es más probable que el vector o agente dispersante del parásito lo disemine a los huéspedes vecinos (Byamukama et al., 2011).

El nivel de dependencia espacial fue alto en todos los casos. Se considera que una variable tiene una fuerte dependencia espacial, si el valor es menor que 25 % y una dependencia espacial moderada, si el valor está entre 25 y 75 %, de lo contrario, la variable tiene una débil dependencia espacial (Maldonado et al., 2016). La dependencia espacial alta hace posible aseverar que la agregación identificada permanecerá en el tiempo, lo que favorecerá la existencia de nichos ecológicos estables. Los árboles en ambientes urbanos a menudo exhiben una fuerte dependencia espacial ya sea dispersa o agregada (Ricotta et al., 2001).

Los estadísticos de la validación cruzada aprobaron la validación matemática de los modelos ajustados (Cuadro 2), lo que es muy importante porque confirma que los resultados obtenidos son altamente confiables (Maldonado et al., 2016). El rango al cual se correlacionan los datos se calculó en metros. Esta correlación espacial indica que los árboles a cierta distancia de un árbol infectado tienen más probabilidades de estar infestados que los más lejanos (Matula et al., 2015). Las distancias calculadas permiten inferir que hay altas probabilidades de que los árboles aledaños sean infestados en un periodo corto (Ramírez y Porcayo, 2010). Los valores del rango podrían estar relacionados con el comportamiento de los dispersores principales que son las aves, ya que primero visitan a los ejemplares más cercanos, infectados o no, lo que promueve una mayor transmisión de semillas de muérdago.

Mediante el uso de la Geoestadística se determinó que la estructura espacial del muérdago es agregada. Sería importante en estudios posteriores evaluar la autocorrelación espacial entre el muérdago y la densidad de árboles presentes, así como evaluar las especies de aves en la zona de estudio y analizar su comportamiento y su interacción con el muérdago.

 

 

Análisis espacial por índices de distancia (SADIE)

 

 

Los resultados obtenidos con los índices (Ja, Ia) mostraron una agregación de muérdago verdadero entre los hospederos. Se han realizado diversos estudios para determinar la distribución espacial de esta planta parásita con los índices de SADIE en ambientes naturales; los resultados obtenidos coinciden con lo citado por Ramírez-Dávila y Porcayo-Camargo (2008) en el Parque Nacional Nevado de Toluca, donde utilizaron los índices (Ia y Ja) y concluyeron que para todos los casos, la distribución del muérdago enano era agregada; lo mismo indica Aukema (2004) para lugares desérticos. Esto deja de manifiesto que la distribución de esta planta parásita tiene un comportamiento espacial agregado, sin importar la condición del ambiente.

El Índice Ja indica si la estructura espacial se localiza dispuesta en uno o varios centros de agregación (Moral, 2004). En el estudio se identificó que existen varios centros de agregación distribuidos en los 10 sitios de muestreo evaluados, estas agregaciones se corroboraron con los mapas elaborados mediante el Krigeado (Figura 3) (Ramírez-Dávila et al., 2012).

 

 

Porcentaje de infestación

 

 

Mediante los mapas de densidad elaborados con la técnica del Krigeado ordinario se identificó que en la mayoría de los sitios el porcentaje de infestación es fuerte, sin embargo, en ningún caso el muérdago verdadero dañó la totalidad del arbolado urbano; según Moral (2004), con la información generada con los mapas se puede hacer un control o manejo. Al tener identificadas las áreas más afectadas por muérdago verdadero es posible proponer planes de manejo dirigidos hacia estos espacios y así optimizar los gastos correspondientes.

 

 

Conclusiones

 

 

El análisis espacial por índices de Distancia (SADIE) arrojó resultados congruentes en la explicación del patrón de distribución espacial agregada del muérdago verdadero en la alcaldía Coyoacán, Ciudad de México. Además, los mapas que se generaron permitieron determinar la densidad de la plaga. Lo anterior es importante para la planeación del manejo dirigido de estos organismos al no existir 100 % de infestación.

 

Agradecimientos

 

Al personal de la alcaldía Coyoacán de la Ciudad de México, por la ayuda brindada en el presente estudio.

 

Conflicto de intereses

 

Los autores declaran no tener conflicto de intereses.

 

Contribución por autor

 

Pablo Espinoza Zúñiga y Fidel Lara Vázquez: conceptualización, redacción, revisión y corrección del manuscrito, metodología y supervisión de la investigación; David Cibrián Tovar, Alfredo Ruiz Orta y Federico Benjamín Galacho Jiménez: conceptualización, investigación, redacción, revisión y corrección del manuscrito; José Francisco Ramírez Dávila: conceptualización, metodología, redacción, revisión y corrección del manuscrito.

 

 

Referencias

Aukema, J. E. 2004. Distribution and dispersal of desert mistletoe is scale-dependent, hierarchically nested. Ecography 27(2):137-144. Doi: 10.1111/j.0906-7590.2004.03640.x.

Byamukama, E., A. E. Robertson and F. W. Nutter Jr. 2011. Quantifying the within-field temporal and spatial dynamics of bean pod mottle virus in Soybean. Plant Disease 95(2):126-136. Doi: 10.1094/PDIS-07-09-0469.

Cambardella, C. A., T. B. Moorman, J. M. Novak, T. B. Parkin, … and A. E. Konopka. 1994. Field-scale variability of soil properties in central Iowa soils. Soil Science Society of America Journal 58(5):1501-1511. Doi: 10.2136/sssaj1994.03615995005800050033x.

Cantón, M. A., C. de Rosa y H. Kasperidus. 2003. Sustentabilidad del bosque urbano en el área metropolitana de la ciudad de Mendoza. Análisis y diagnóstico de la condición de las arboledas. Avances en Energías Renovables y Medio Ambiente 7(1):29-34. http://sedici.unlp.edu.ar/handle/10915/80662. (6 de enero de 2023).

Cibrián T., D., D. Alvarado R. y S. E. García D. (Edits.). 2007. Enfermedades forestales en México. Universidad Autónoma Chapingo. Texcoco, Edo. Méx., México. 587 p.

Comisión Nacional Forestal y Colegio de Postgraduados (Conafor y Colpos). 2012. Guía pictórica de campo. Agentes de daño en los bosques de México. Gerencia de Sanidad, Conafor. Zapopan, Jal., México. 60 p.

Díaz-Limón, M. P., Z. Cano-Santana and M. E. Queijeiro-Bolaños. 2016. Mistletoe infection in an urban forest in Mexico City. Urban Forestry & Urban Greening 17:126-134. Doi: 10.1016/j.ufug.2016.04.004.

Espinoza-Zúñiga, P., J. F. Ramírez-Dávila, D. Cibrián-Tovar, A. Villanueva-Morales, … y R. Rivera-Martínez. 2019. Modelación de la distribución espacial del muérdago (Santalales: Loranthaceae) en las áreas verdes de la delegación Tlalpan, México. Bosque 40(1):17-28. Doi: 10.4067/S0717-92002019000100017.

Fernández D., M., J. G. Espinosa R. y C. R. García-Jacas. 2016. Algoritmo paralelo para la interpolación espacial de Krigeado Ordinario. Revista Cubana de Ciencias Informáticas 10(3):57-70. http://scielo.sld.cu/pdf/rcci/v10n3/rcci05316.pdf. (24 de enero de 2023).

Gougherty, A. V. 2013. Spatial distribution of Eastern mistletoe (Phoradendron leucarpum, Viscaceae) in an urban environment. Journal of the Alabama Academy of Science 84(3-4):155-167. https://openurl.ebsco.com/EPDB%3Agcd%3A6%3A511398/detailv2?sid=ebsco%3Aplink%3Ascholar&id=ebsco%3Agcd%3A96642631&crl=c. (23 de abril de 2023).

Gringarten, E. and C. V. Deutsch. 2001. Teacher's Aide variogram interpretation and modeling. Mathematical Geology 33:507-534. Doi: 10.1023/A:1011093014141.

Hevesi, J. A., J. D. Istok and A. L. Flint. 1992. Precipitation estimation in mountainous terrain using multivariate Geostatistics. Part I: Structural analysis. Journal of Applied Meteorology 31(7):661-676. https://www.jstor.org/stable/26186579. (18 de febrero de 2023).

Instituto Nacional de Estadística y Geografía (INEGI). 2010. Compendio de Información Geográfica Delegacional de los Estados Unidos Mexicanos. Coyoacán, Distrito Federal, clave geoestadística 09003. Aguascalientes, Ags., México. 6 p.

Isaaks, E. H. and R. M. Srivastava. 1988. Spatial continuity measures for probabilistic and deterministic geostatistics. Mathematical Geology 20:313-341. Doi: 10.1007/BF00892982.

Journel, A. G. and C. J. Huijbregts. 1978. Mining Geostatistics. Academic Press Limited. Ipswich, SFK, England. 600 p.

Lara-Vázquez, F., J. F. Ramírez-Dávila, M. Rubí-Arriaga, E. J. Morales-Rosales, ... y R. Rivera-Martínez. 2018. Distribución espacial de araña roja Oligonychus punicae Hirst en el cultivo del aguacate, en dos municipios del Estado de México. Southwestern Entomologist 43(3):743-759. Doi: 10.3958/059.043.0320.

Maestre, F. T. 2003. Variaciones en el patrón espacial a pequeña escala de los componentes de la costra biológica en un ecosistema mediterráneo semiárido. Revista Chilena de Historia Natural 76(1):35-46. Doi: 10.4067/S0716-078X2003000100004.

Maldonado Z., F. I., J. F. Ramírez D., M. Rubí A., X. Antonio N. y A. V. Lara D. 2016. Distribución espacial de trips en aguacate en Coatepec Harinas, Estado de México. Revista Mexicana de Ciencias Agrícolas 7(4):845-856. Doi: 10.29312/remexca.v7i4.259.

Martínez-Castruita, I. A., M. H. Sandoval-Ortega, M. Arellano-Delgado y V. M. Martínez-Calderón. 2021. Infestación por Cladocolea loniceroides y sus potenciales aves dispersoras de semillas en un área verde urbana de la ciudad de Aguascalientes, México. Madera y Bosques 27(1):e2712084. Doi: 10.21829/myb.2021.2712084.

Martínez-Martínez, N., J. F. Ramírez-Dávila, F. Lara-Vázquez y D. K. Figueroa-Figueroa. 2021. Distribución espacial de muérdago enano en la Reserva de la Biosfera Mariposa Monarca. Colombia Forestal 24(2):65-81. Doi: 10.14483/2256201X.17163.

Mathiasen, R. L., D. L. Nickrent, D. C. Shaw and D. M. Watson. 2008. Mistletoes: Pathology, systematics, ecology, and management. Plant disease 92(7):988-1006. Doi: 10.1094/PDIS-92-7-0988.

Matula, R., M. Svátek, M. Pálková, D. Volřík and T. Vrška. 2015. Mistletoe infection in an oak forest is influenced by competition and host size. PLOS ONE 10(5):e0127055. Doi: 10.1371/journal.pone.0127055.

Moral G., F. J. 2004. Aplicación de la geoestadística en las ciencias ambientales. Ecosistemas 13(1):78-86. https://www.revistaecosistemas.net/index.php/ecosistemas/article/view/582. (11 de noviembre de 2022).

Perry, J. N. 1995. Spatial analysis by distance index. Journal of Animal Ecology 64(3):303-314. Doi: 10.2307/5892.

Perry, J. N. 1998. Measures of spatial pattern for counts. Ecology 79(3):1008-1017. https://doi.org/10.1890/0012-9658(1998)079[1008:MOSPFC]2.0.CO;2.

Ramírez D., J. F. y E. Porcayo C. 2010. Estudio comparativo de la distribución espacial del muérdago enano (Arceuthobium sp.) en la ladera norte del Parque Nacional Nevado de Toluca, México. Bosque 31(1):28-38. Doi: 10.4067/S0717-92002010000100004.

Ramírez-Dávila, J. F, J. R. Sánchez-Pale, E. Porcayo-Camargo and C. de León. 2012. Determination of spatiotemporal stability of corn head smut (Sporisorium reilianum) by SADIE. Ciencia e Investigación Agraria 39(3):459-471. Doi: 10.4067/S0718-16202012000300006.

Ramírez-Dávila, J. F. y E. Porcayo-Camargo. 2008. Distribución espacial de las ninfas de Jacobiasca lybica (Hemiptera: Cicadellidae) en un viñedo en Andalucía, España. Revista Colombiana de Entomología 34(2):169-175. Doi: 10.25100/socolen.v34i2.9282.

Ricotta, C., L. C. Grapow, G. Avena and C. Blasi. 2001. Topological analysis of the spatial distribution of plant species richness across the city of Rome (Italy) with the echelon approach. Landscape and Urban Planning 57(2):69-76. Doi: 10.1016/S0169-2046(01)00187-6.

Samper, F. J. y J. Carrera. 1996. Geoestadística: Aplicaciones a la hidrogeología subterránea. Centro Internacional de Métodos Numéricos en Ingeniería. Barcelona, CT, España. 484 p.

Sayad, E., E. Boshkar and S. Gholami. 2017. Different role of host and habitat features in determining spatial distribution of mistletoe infection. Forest Ecology and Management 384:323-330. Doi: 10.1016/j.foreco.2016.11.012.

Secretaría del Medio Ambiente (Sedema). 2010. Inventario de Áreas Verdes. https://sedema.cdmx.gob.mx/programas/programa/inventario-de-areas-verdes. (16 de diciembre de 2022).

Solís-Gracia, V. y H. Suzán-Aspiri. 2014. Análisis de la distribución espacial del muérdago (Phoradendron californicum) en el sur del Desierto Sonorense. Cactáceas y Suculentas Mexicanas 59(1):11-28. https://www.academia.edu/49357091/Cact%C3%A1ceas_y_Suculentas_Mexicanas_Volumen_59_No_1_enero_marzo_2014. (18 de enero de 2023).

Souza, E. G., C. L. Bazzi, R. Khosla, M. A. Uribe-Opazo and R. M. Reich. 2016. Interpolation type and data computation of crop yield maps is important for precision crop production. Journal of Plant Nutrition 39(4):531-538. Doi: 10.1080/01904167.2015.1124893.

 

        

Todos los textos publicados por la Revista Mexicana de Ciencias Forestales sin excepción– se distribuyen amparados bajo la licencia Creative Commons 4.0 Atribución-No Comercial (CC BY-NC 4.0 Internacional), que permite a terceros utilizar lo publicado siempre que mencionen la autoría del trabajo y a la primera publicación en esta revista.