Revista Mexicana de Ciencias Forestales Vol. 15 (85)

Septiembre - Octubre (2024)

Logotipo, nombre de la empresa

Descripción generada automáticamente

DOI: https://doi.org/10.29298/rmcf.v15i85.1459

Artículo de investigación

Evaluación de la partición de lluvia en dos especies arbóreas con Arduino

Evaluation of rain partitioning in two tree species with Arduino

 

Daniel García Hernández1, Demetrio Salvador Fernández Reynoso1*, Teresa Margarita González Martínez1, José Donaldo Ríos Berber1, Liborio González Hernández2

 

Fecha de recepción/Reception date: 15 de diciembre de 2024.

Fecha de aceptación/Acceptance date: 19 de abril de 2024.

_______________________________

1Colegio de Postgraduados, Campus Montecillo. México.

2Universidad Autónoma Chapingo. México.

 

*Autor para correspondencia; correo-e: demetrio@colpos.mx

*Corresponding author; e-mail: demetrio@colpos.mx

 

Resumen

Esta investigación se centra en la calibración de un sistema de monitoreo electrónico para evaluar la distribución de la precipitación en dos especies arbóreas: flujo del dosel, flujo caulinar y humedad en el suelo. El sistema, centrado en la aplicación de la plataforma Arduino, incorpora equipos de recolección de agua, balancines y sensores de humedad; ofrece una metodología precisa y de bajo costo para el análisis detallado de la partición de la lluvia. Dicho tipo de análisis es un aspecto crítico para conocer el impacto de las cubiertas vegetales en los ciclos hidrológicos. La falta de métodos de monitoreo accesibles y eficientes han obstaculizado una mejor comprensión de la partición de la lluvia en los ecosistemas forestales. La calibración de balancines, utilizados para determinar la partición de lluvias, ha tenido un desempeño excepcional bajo condiciones de baja precipitación (R2=0.9556 a R2=0.9878), al igual que los sensores de humedad del suelo. El análisis de los datos recolectados de los balancines mostró un alto coeficiente de determinación entre flujo caulinar y precipitación directa, flujo de dosel y precipitación directa (R2>0.8345 y R2>0.7723, respectivamente). Para los sensores de humedad se obtuvo un R2>0.5377 en los datos registrados en campo. Los resultados obtenidos ayudan a un mejor análisis del ciclo hidrológico entre diferentes especies arbóreas.

Palabras clave: Flujo caulinar, flujo de dosel, hidrología forestal, humedad del suelo, monitoreo ambiental, sensores.

Abstract

This research focuses on the calibration of an electronic monitoring system to evaluate the distribution of precipitation in two tree species: stemflow, throughfall and soil moisture. This system, focused on the application of the Arduino platform that incorporates water collection equipment, tipping buckets and humidity sensors, offers an accurate and low-cost methodology for detailed analysis of rain partitioning. This type of analysis is a critical aspect to understand the impact of vegetation covers on hydrological cycles. The lack of accessible and efficient monitoring methods has hindered a better understanding of rainfall partitioning in forest ecosystems. Calibration of tipping buckets, used to determine rainfall partitioning, have shown exceptional performance under low rainfall conditions (R2=0.9556 to R2=0.9878), as have soil moisture sensors. The analysis of the data collected from the tipping buckets showed a high Coefficient of determination between stemflow and direct precipitation, throughfall and direct precipitation (R2>0.8345 and R2>0.7723, respectively). For the moisture sensors, R2>0.5377 was obtained in the data recorded in the field. The results obtained help a better analysis of the hydrological cycle between different tree species.

Key words: Stemflow, throughfall, forest hydrology, soil moisture, environmental monitoring, sensors.

 

 

 

Introducción

 

 

La partición de la lluvia se refiere a la manera en que las diferentes especies de árboles interceptan, almacenan y redistribuyen la precipitación; lo que tiene implicaciones significativas para los flujos de agua a nivel del suelo y el ciclo de nutrientes (Van Stan et al., 2011). Así, los bosques representan una interfaz importante entre la atmósfera y la superficie terrestre que pueden interactuar, alterar, influir y modificar la interceptación del agua de lluvia por parte del dosel de los árboles (Munishi y Shear, 2005; Frost y Levia, 2014).

Los métodos para estudiar la partición de la lluvia en las especies arbóreas incluyen mediciones directas (medidores totalizadores), modelado computacional (análisis geoestadístico con información meteorológica) y experimentos de laboratorio (Keim et al., 2005). Estos proporcionan información detallada sobre cómo las diferentes especies de árboles interceptan, almacenan y redistribuyen la lluvia, y cómo estos procesos son  influenciados por factores como la morfología del árbol, la densidad del follaje y las condiciones ambientales (Levia y Frost, 2006; Zimmermann et al., 2007). Para monitorear los impactos hidrológicos se necesitan mediciones directas que reflejen las condiciones ambientales (Manfroi et al., 2004; Zimmermann et al., 2006). Los registradores de datos basados en Arduino pueden extender considerablemente las redes de monitoreo hidrológico, y así, ofrecen soluciones de bajo costo y fácil implementación.

Sin embargo, la aplicación aún está en las primeras etapas de desarrollo, a pesar de que se han llevado a cabo estudios que exploran su potencial en el monitoreo hidrológico (Rahman et al., 2015; Kalashnikov et al., 2017), y en el monitoreo ambiental en general (Bitella et al., 2014; Divani et al., 2016).

En este contexto, el objetivo de la presente investigación fue desarrollar y calibrar un sistema de monitoreo basado en Arduino para comparar la partición de la lluvia entre Prunus capuli Cav. (capulín) y Casuarina equisetifolia L. (casuarina) a través del monitoreo del flujo del dosel y caulinar, así como de la humedad del suelo.

 

 

Materiales y Métodos

 

 

Área de estudio

 

 

En la Figura 1 se muestra el área de estudio donde se instrumentaron cuatro sitios de estudio (98°56’-98°54’ O y 19°27’-19°28’ N), ubicados con dispositivo GPS Garmin® (Etrex 22x). El área se localiza en una transición entre un clima templado semiseco y subhúmedo, con una precipitación media anual de 700 mm (García, 1968). Los suelos son profundos (>2.0 m), con pendientes de 1 a 2 %, de textura media y moderada capacidad de retención de agua (Jasso y Pimentel, 1985). Para evaluar la partición de lluvia se trabajó con dos ejemplares de Prunus capuli (capulín) y de Casuarina equisetifolia (casuarina) mediante transectos, con acceso seguro a la red de energía eléctrica de corriente alterna a 120 V para alimentar los dataloggers.

 

Figura 1. Ubicación del área y los lotes de estudio.

 

Para el registro de variables se diseñaron cuatro dataloggers (uno por sitio), a los que se les incorporó un sensor de humedad de suelo y tres balancines con interruptores magnéticos reed switch para estimar el flujo caulinar y de dosel, así como la precipitación directa (dos Santos et al., 2020). Los componentes de cada datalogger incluyen una placa Arduino® Mega 2560, un chip de reloj en tiempo real (Módulo RTC DS3231), un módulo lector de memoria externa micro SD (para Arduino) y una pantalla OLED (SSD1306 128×64). Estos elementos se montaron en una placa de circuito impreso (PCB personalizada) diseñada a través de PCB Wizard y ensamblada. El Arduino se programó en el IDE de software Arduino de código abierto (C/C++) (Arduino, 2021) a través de un cable USB para consultar las lecturas de los sensores cada 10 minutos y registrar los datos en una tarjeta SD. El suministro de energía fue a través de la red eléctrica.

 

 

Calibración de balancines en el laboratorio

 

 

El pluviómetro de balancín (diseño propio) se empleó para medir la precipitación en tiempo real, con tecnología Arduino, por medio de un interruptor magnético que se activa al inclinarse el balancín de PVC (Figura 2) cuando acumula 18 cm3 de agua (Strangeways, 2007; Santana et al., 2015).

 

Figura 2. Diagrama del balancín construido en PVC.

 

En el Laboratorio de Simulador de Lluvia del Colegio de Postgraduados (Campus Montecillo) (Figura 3) se calibró el volumen de vuelco registrado por el sensor magnético. En condiciones de campo se comparó la precisión de los balancines con mediciones de pluviómetros totalizadores que sirvieron como testigos para validar la precisión de los registros en condiciones reales (Krishnamurthi et al., 2015). 

 

Figura 3. Calibración de pluviómetros con el simulador de lluvia.

 

La precipitación instantánea se midió al contabilizar las oscilaciones de los baldes del balancín a través de un imán y el interruptor magnético reed switch. El sensor, alojado en un tubo de vidrio, registró la tensión generada al cerrar un circuito eléctrico, información que fue transmitida al datalogger. En total, para los cuatro sitios, se utilizaron 12 balancines para medir el flujo caulinar, el flujo de dosel y la precipitación directa.

La calibración de los balancines se efectuó con base en los principios de calibración dinámica (Edwards et al., 1974; Lee et al., 1996); es decir, se compararon los valores del simulador de lluvia con las mediciones del balancín para cuatro intensidades de lluvia: 0.33, 0.83, 1.08 y 1.62 mm min-1, a partir de la metodología de Morin et al. (1967) y 10 repeticiones de cada una. Se consideró un volumen de volteo de 20 cm3 por balde y un área de captación de 660 cm2.

Con los resultados obtenidos se elaboraron curvas de calibración y se comparó la tasa de intensidad de lluvia del simulador con la tasa registrada en el datalogger, a fin de conocer la precisión y confiabilidad de los datos.

La eficacia de la curva de calibración se evaluó a través de la Eficiencia de Nash-Sutcliffe (NSE, por sus siglas en inglés) y PBIAS, según se expone en las ecuaciones 1 y 2, respectivamente (Somavilla et al., 2019).

 

    

 

Donde:

n = Número de evaluaciones

Y1ad = Caudal añadido

Y1est = Caudal estimado por el instrumento

Y1mean = Media del caudal añadido

 

    

 

Donde:

Y1ad = Caudal añadido

Y1est = Caudal estimado por el instrumento

 

 

Calibración de los sensores de humedad en el laboratorio

 

 

Para calibrar los sensores capacitivos de humedad del suelo se recolectaron muestras de suelo a 15 cm de profundidad con humedad conocida en los cuatro sitios de estudio. Las muestras se colocaron en frascos perforados con base en la metodología de Gil-Marin et al. (2022). En el laboratorio se midió el peso inicial de las muestras (báscula Mettler® PC 2000) y se registraron lecturas con el sensor capacitivo (Módulo Higrómetro Capacitivo v1.2 para Arduino) (Figura 4), que funciona mediante la constante dieléctrica aparente del suelo.

Los frascos se sellaron parcialmente para facilitar la entrada de agua por capilaridad y se sumergieron en bandejas con agua destilada a diferentes contenidos de humedad (10 a 80 mL). Después un día, al alcanzar la saturación, cada muestra se pesó y se midió la humedad gravimétrica con el sensor. El contenido gravimétrico del agua se determinó por la diferencia de peso posterior al secado, 10 veces con dos repeticiones. Se relacionaron las lecturas del sensor y las mediciones del contenido de humedad gravimétrica del suelo, con análisis de regresión lineal se determinó la precisión de los resultados a través del oeficiente de determinación (R2) (Gil-Marin et al., 2022).

 

Figura 4. Determinación de las lecturas con el sensor capacitivo.

 

 

Humedad del suelo en condiciones de lluvia real

 

 

Una vez calibrados los sensores capacitivos de humedad de suelo, la evaluación de los niveles de humedad del suelo en los cuatro sitios de estudio se realizó con las salidas digitales registradas en el datalogger. El sensor se colocó a 10 cm de profundidad a fin de medir la humedad a nivel de las raíces de los árboles.

 

 

Flujo caulinar en condiciones de lluvia real

 

 

La medición del flujo caulinar (stemflow) se realizó mediante un sistema de recolección instalado en los troncos de los árboles, que incluyó un anillo colector a 1 m de altura, fijado al tronco para dirigir el agua hacia una manguera flexible, reforzada con soga de henequén y plastilina, que descargaba a un balancín previamente calibrado a unidades volumétricas (Figura 5). Para obtener la lámina de agua (mm) se utilizó la ecuación 3, propuesta por Barbosa et al. (2016).

 

Figura 5. Arreglo empleado para medir el flujo caulinar en Prunus capuli Cav.

 

    

 

Donde:

Fc = Flujo caulinar (mm)

vpb = Volumen promedio captado por los baldes del balancín por volteo (m3)

Ac = Área de la copa (m2)

nb = Número de volteos de los baldes del balancín durante el evento de lluvia

 

 

Flujo de dosel en condiciones de lluvia real

 

 

Para la medición del agua que atraviesa el dosel (throughfall) se instalaron dos canaletas, de forma triangular (30 cm por lado y 130 cm de longitud), abajo del dosel de los árboles (Figura 6). El cálculo de la lámina de agua por evento de lluvia se realizó con la ecuación 4 (Barbosa et al., 2016).

 

Figura 6. Arreglo de las canaletas usadas para estimar el flujo de dosel.

 

    

 

Donde:

Fd = Flujo del dosel (mm)

vc = Volumen captado en la canaleta por evento de lluvia (m3)

Acc = Área de captación de la canaleta (m2)

 

Para conocer la lámina instantánea de agua a lo largo del evento de lluvia, se instaló una segunda canaleta que conducía el flujo de agua hacia un balancín previamente calibrado.

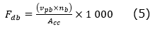
En este caso, la estimación del flujo fue con el volumen captado por el balancín y el número de volteos mediante la ecuación 5 (Barbosa et al., 2016).

 

    

 

Donde:

Fdb = Flujo del dosel con balancín (mm)

vpb = Volumen promedio captado por los baldes del balancín por volteo (m3)

nb = Número de volteos del balancín durante el evento de lluvia

Acc = Área de captación de la canaleta (m2)

 

 

Precipitación directa en condiciones de lluvia real

 

 

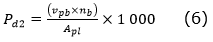
Para la medición de la precipitación directa por sitio se utilizó un pluviómetro compuesto por dos baldes de plástico sobrepuestos de 29 cm de diámetro y 36 cm de altura; el diámetro inferior del embudo de lámina de acetato es de 3 mm. Al balde superior se le adaptó uno de los balancines calibrados y se perforó su fondo a fin de captar en el balde inferior el agua vertida por el balancín (Figura 7). Con la relación entre el volumen de agua colectado en el balde inferior y la superficie del pluviómetro se determinó la lámina de precipitación. La lámina de precipitación con balancín se obtuvo a partir del número de volteos registrados en el datalogger mediante la ecuación 6 (Barbosa et al., 2016). 

 

Figura 7. Arreglo de los pluviómetros usados para medir la precipitación.

 

    

 

Donde:

Pd2 = Precipitación directa con balancín (mm)

vpb = Volumen captado por el balancín por volteo (m3)

nb = Número de volteos del balancín durante el evento de lluvia

Apl = Área de captación del pluviómetro (m2)

 

La cantidad de agua captada, en unidades volumétricas, se determinó con base en la ecuación 7 (Barbosa et al., 2016):

 

    

 

Donde:

Pd1 = Precipitación directa (mm)

vpl = Volumen captado en el pluviómetro por evento de lluvia (m3)

Apl = Área de captación del pluviómetro (m2)

Los registros de lluvia se efectuaron entre el 16 de julio de 2022 y el 18 de octubre de 2022, periodo que permitió recopilar datos de lluvia bajo una amplia gama de condiciones de viento e intensidad de preecipitación.

 

 

Resultados y Discusión

 

 

Calibración de balancines en el laboratorio (simulador de lluvia)

 

 

Los doce balancines empleados en el presente estudio se calibraron en un simulador de lluvia con 10 repeticiones por intensidad, para un total de 480 eventos. Se comparó la precipitación real con las lecturas de los balancines para calcular los coeficientes de determinación (Hudson, 1993). Los resultados entre las mediciones de los balancines y los valores reales mostraron una alta correlación (R2=0.9556 a R2=0.9878) (Cuadro 1), y confirmó la eficacia de los balancines controlados por Arduino para monitorear la partición de la lluvia en coberturas arbóreas.

 

Cuadro 1. Modelos lineales de ajuste de la calibración de balancines.

 

Los resultados demuestran que los balancines controlados por Arduino ofrecen altas correlaciones en la medición de la lluvia a diferentes intensidades de precipitación (Fankhauser, 1997; Habib et al., 2008; Shedekar et al., 2016; Segovia-Cardozo et al., 2023). Estas correlaciones consideran la influencia de factores como la estructura del pluviómetro y su configuración en las mediciones (Fankhauser, 1997; Shedekar et al., 2009).

Se observó una variación significativa en los coeficientes de determinación entre los balancines, lo que indica que las condiciones específicas de construcción y montaje pueden afectar el rendimiento, lo cual se corrobora con los coeficientes de PBIAS (0.56 a 3.83). A pesar de estas variaciones, los balancines mostraron ser robustos y fiables (NSE=0.9763 a NSE=0.9907), aunque confirma su utilidad incluso frente a variaciones en condiciones de construcción y diferentes intensidades de precipitación (Chrit, 2022).

Estos hallazgos subrayan el potencial de los balancines controlados por Arduino como herramientas valiosas para la investigación y monitoreo de la precipitación.

 

 

Calibración del sensor de humedad en el laboratorio

 

 

En la calibración de los sensores de humedad, para las muestras de suelo provenientes de los cuatro sitios de estudio, se relacionaron las diferentes lecturas del sensor con el porcentaje de la humedad gravimétrica de las muestras de suelo.

Las curvas de calibración se ajustaron a un modelo logarítmico con altos coeficientes de determinación: 0.9198, 0.9192, 0.9849 y 0.9264 de los sitios 1, 2, 3 y 4, respectivamente (Cuadro 2). Los valores obtenidos en la presente investigación son similares a los referidos por Placidi et al. (2020), quienes realizaron un ajuste de su curva de calibración a una función de segundo orden y con un coeficiente de determinación de 0.945.

 

Cuadro 2. Modelos de ajuste de calibración de los sensores de humedad.

 

El análisis reveló que los sensores de humedad con Arduino son una herramienta confiable para medir con precisión la humedad del suelo, a pesar de las variaciones de los sitios de análisis. Los altos valores de correlación indican que las mediciones hechas con los sensores de humedad alcanzan una alta precisión y consistencia (Lloyd y Marques, 1988; Levia y Frost, 2006).

 

 

Evaluación de los balancines en condiciones de campo

 

 

En la evaluación de los balancines, previamente calibrados en laboratorio, se continuó registrando una elevada correlación lineal positiva, bajo condiciones de campo, entre el flujo de dosel con balancín y el volumen de agua testigo. Los resultados reunidos en el Cuadro 3 confirman la precisión y eficacia de los balancines en la medición del flujo del dosel y lluvia directa de los cuatros sitios bajo estudio.

 

Cuadro 3. Modelos de ajuste de balancines en condiciones de flujo del dosel y lluvia directa (balancín vs. testigo).

 

 

Las fuertes correlaciones en todos los sitios (Cuadro 3) sugieren que los balancines son una herramienta eficaz para medir el flujo de dosel en diferentes tipos de cobertura arbórea, lo cual es crucial para entender la partición de la precipitación en dichas especies (Staelens et al., 2006). Asimismo, resultan ser instrumentos eficaces para medir precipitaciones y una alternativa en estudios meteorológicos, climáticos y aquellos que evalúen el impacto hidrológico de las características dasonómicas de los árboles (densidad, disposición, textura y forma de las hojas) en el escurrimiento e infiltración de la lluvia (Levia y Frost, 2006).

 

 

Partición de lluvia directa (flujo caulinar y dosel) y humedad del suelo

 

 

El análisis de los datos recolectados de los balancines mostró una alta correlación positiva entre el flujo caulinar y la precipitación directa (Figura 8, ejemplo correspondiente a Casuarina equisetifolia del Sitio 1), en el cual las correlaciones fueron 0.8345, 0.9163, 0.8471 y 0.9087 para los sitios 1, 2, 3 y 4, respectivamente (Cuadro 4). Esto significa que a medida que aumenta la lluvia directa, también lo hace el flujo caulinar.

 

Figura 8. Relación entre precipitación directa y flujo caulinar del Sitio 1.

 

Cuadro 4. Modelos de ajuste entre precipitación directa vs. flujo caulinar, flujo de dosel y humedad del suelo.

 

En la Figura 8 se aprecia que el flujo caulinar representa alrededor de 3 % de las precipitaciones, patrón que se repite en los demás sitios, similar a lo registrado por Gómez-Tagle et al. (2015), quienes determinaron una proporción de escorrentía cortical de 2.4 % para un bosque secundario de pino-encino en el noreste del estado de Michoacán.

A pesar de mostrar mayor variabilidad, la correlación entre la precipitación directa y el flujo del dosel fueron altos (Cuadro 4): Sitio 1 (0.7723), Sitio 2 (0.9155), Sitio 3 (0.9177) y Sitio 4 (0.8332), e indicaron el buen desempeño de los balancines en campo.

Las relaciones entre la lluvia directa y la humedad del suelo tuvieron coeficientes de determinación (Cuadro 4) similares (0.5561, 0.5416, 0.5377 y 0.5479 para los sitios 1, 2, 3 y 4, respectivamente), lo que implica un incremento de humedad relativamente bajo entre eventos de lluvia, a medida que son muy intensas. Los coeficientes de determinación fueron similares a los calculados por Cheng et al. (2020), quienes obtuvieron un R2=0.3518 para cultivos abandonados y un R2=0.5015 para matorrales.

La comparación de costos de los dataloggers frente a los precios de instrumentos de medición análogos es de USD $1 396 (Cuadro 5).

 

Cuadro 5. Precio del equipo diseñado vs. los disponibles en el mercado (precios en dólares americanos).

Datalogger y sensores diseñados

Costo por unidad

Datalogger y sensores comerciales

Costo por unidad

Datalogger (Incluyendo placa de Arduino, módulo de memoria, reed switch y reloj en tiempo real)

$46.00

HOBO® RX3000 Remote Monitoring StationData Logger

$1 180.00

Balancín (diseño propio), canaleta y sensor

$58.00

Davis Rain Sensor (Pluviómetro)

$135.00

Sensor capacitivo de humedad del suelo

$5.00

The Decagon ECH2O (Sensor de humedad del suelo)

$190.00

Total

$109.00

Total

$1 505.00

 

 

Conclusiones

 

 

Se destaca la eficiencia de balancines diseñados con Arduino para medir la precipitación bajo condiciones controladas, lo que demuestra su adaptabilidad a distintas condiciones de lluvia. La asequibilidad, factibilidad y precisión de los balancines y el sensor de humedad los hacen viables para ubicaciones remotas en disciplinas como hidrología, climatología y agricultura.

El uso de Arduino como plataforma de control y recopilación de datos abre la puerta a una amplia gama de aplicaciones científicas. En futuras investigaciones, podría explorarse la integración de Arduino en otros instrumentos de medición y su comparación con instrumentos científicamente probados, como sensores de temperatura y humedad, para un análisis más integral del clima y sus impactos en diversos campos.

 

Agradecimientos

 

Al Consejo Nacional de Humanidades, Ciencia y Tecnología (Conahcyt) por la beca económica otorgada a Daniel García Hernández, lo cual permitió realizar esta investigación.

 

Conflicto de intereses

 

Los autores declaran no tener ningún conflicto de interés.

 

Contribución por autor

 

Daniel García-Hernández: toma de datos de campo y elaboración del manuscrito; Demetrio Salvador Fernández Reynoso: revisión de la metodología y del manuscrito; Teresa Margarita González Martínez: revisión de la metodología; José Donaldo Ríos Berber y Liborio González Hernández: revisión del manuscrito.

 

 

Referencias

Arduino. 2021. Arduino IDE (Versión 1.8.16). Ivrea, TO, Italia. Arduino. https://www.arduino.cc/en/software. (19 de noviembre de 2023).

Barbosa M., F., D. S. Fernández R., E. Rubio G., I. Sánchez C. y J. R. Contreras H. 2016. Dinámica del agua de lluvia en árboles de selva baja caducifolia. Revista Mexicana de Ciencias Agrícolas 7(5):1179-1188. Doi: 10.29312/remexca.v7i5.241.

Bitella, G., R. Rossi, R. Bochicchio, M. Perniola and M. Amato. 2014. A novel low-cost open-hardware platform for monitoring soil water content and multiple soil-air-vegetation parameters. Sensors 14(10):19639-19659. Doi: 10.3390/s141019639.

Cheng, R.-R., Q.-W. Chen, J.-G. Zhang, W.-Y. Shi, G. Li and S. Du. 2020. Soil moisture variations in response to precipitation in different vegetation types: A multi-year study in the loess hilly region in China. Ecohydrology 13(3):e2196. Doi: 10.1002/eco.2196.

Chrit, M. 2022. Ensemble calibration and uncertainty quantification of precipitation forecasts for a risk-based UAS Navigation. https://d197for5662m48.cloudfront.net/documents/publicationstatus/117374/preprint_pdf/eb72b3111da15500d2bee67c85facf6d.pdf. (25 de noviembre de 2023).

Divani, D., P. Patil and S. K. Punjabi. 2016. Automated plant watering system. In: Institute of Electrical and Electronic Engineers (IEEE) (Edit.). 2016 International Conference on Computation of Power, Energy Information and Communication (ICCPEIC). IEEE. Melmaruvathur, TN, India. pp. 180-182.

dos Santos, B. C., M. S. Duarte S., D. N. Buarque P., P. H de Souza and A. R. Bruno T. 2020. Low cost rain gauge prototype for studies and monitoring of precipitation in anthropized watersheds. Cuaderno de Geografía 30(63):923-935. Doi: 10.5752/p.2318-2962.2019v30n63p923.

Edwards, I. J., W. D. Jackon and P. M. Fleming. 1974. Tipping bucket gauges for measuring runoff from experimental plots. Agricultural Meteorology 13(2):189-201. Doi: 10.1016/0002-1571(74)90046-6.

Fankhauser, R. 1997. Measurement properties of tipping bucket rain gauges and their influence on urban runoff simulation. Water Science & Technology 36(8-9):7-12. Doi: 10.2166/wst.1997.0636.

Frost, E. E. and D. F. Levia. 2014. Hydrologic variation of stemflow yield across co- occurring dominant canopy trees of varying mortality. Ecohydrology 7(2):760-770. Doi: 10.1002/eco.1397.

García, E. 1968. Los climas del Valle de México. Colegio de Postgraduados. Texcoco, Edo. Méx., México. 57 p.

Gil-Marin, J., M. Cordova-Rodriguez y A. Zermeño-Gonzalez. 2022. Calibración de sensores de reflectometría de dominio temporal en suelos ultisoles de sabana. Anales Científicos 83(1):57-66. Doi: 10.21704/ac.v83i1.1884.

Gómez-Tagle C., A., A. F. Gómez-Tagle R., J. A. Ávila O. y L. A. Bruijnzeel. 2015. Partición de la precipitación en un bosque tropical montano de pino-encino en el centro de México. Bosque 36(3):505-518. Doi: 10.4067/S0717-92002015000300017.

Habib, E. H., E. A. Meselhe and A. V. Aduvala. 2008. Effect of local errors of tipping-bucket rain gauges on rainfall-runoff simulations. Journal of Hydrologic Engineering 13(6):488-496. Doi: 10.1061/(ASCE)1084-0699(2008)13:6(488).

Hudson, N. 1993. Field measurement of soil erosion and runoff. Food and Agriculture Organization of the United Nations (FAO). Rome, RM, Italy. 139 p. https://www.fao.org/4/T0848E/T0848E00.htm. (19 de noviembre de 2023).

Jasso M., J. y L. Pimentel B. 1985. Establecimiento de áreas verdes en el predio Montecillo aledaño a Chapingo. In: Secretaría de Agricultura y Recursos Hidráulicos (SARH) (Edit.). III Reunión Nacional sobre Plantaciones Forestales. Instituto Nacional de Investigaciones Forestales, Agrícolas y Pecuarias (INIFAP). México, D. F., México. pp. 606-640.

Kalashnikov, A., H. Zhang, J. Jennings and M. M. Abramriuk. 2017. Remote laboratory: using Internet-of-Things (IoT) for E-learning. In: Faculty of Electronics and Information Technologies (Edit.). The Vth International Conference «Advanced Information Systems and Technologies, AIST 2017». Ukrainian Federation of Informatics. Sumy, BM, Ukraine. pp. 43-46.

Keim, R. F., A. E. Skaugset and M. Weiler. 2005. Temporal persistence of spatial patterns in throughfall. Journal of Hydrology 314(1-4):263-274. Doi: 10.1016/j.jhydrol.2005.03.021 .

Krishnamurthi, K., S. Thapa, L. Kothari and A. Prakash. 2015. Arduino Based Weather Monitoring System. International Journal of Engineering Research and General Science 3(2):452-458. https://pnrsolution.org/Datacenter/Vol3/Issue2/64.pdf. (19 de noviembre de 2023).

Lee, D. W., K. Baskaran, M. Mansor, H. Mohamad and S. K. Yap. 1996. Irradiance and spectral quality affect Asian tropical rain forest tree seedling development. Ecology 77(2):568-580. Doi: 10.2307/2265631.

Levia, D. F. and E. E. Frost. 2006. Variability of throughfall volume and solute inputs in wooded ecosystems. Progress in Physical Geography: Earth and Environment 30(5):605-632. Doi: 10.1177/0309133306071145.

Lloyd, C. R. and A. de O Marques F. 1988. Spatial variability of throughfall and stemflow measurements in Amazonian rainforest. Agricultural and Forest Meteorology 42(1):63-73. Doi: 10.1016/0168-1923(88)90067-6 .

Manfroi, O. J., K. Koichiro, T. Nobuaki, S. Masakazu, … and L. Chong. 2004. The stemflow of trees in a Bornean lowland tropical forest. Hydrological Process 18(13):2455-2474. Doi: https://doi.org/10.1002/hyp.1474.

Morin, J., D. Goldberg and I. Seginer. 1967. A rainfall simulator with rotating disk. Transactions of the American Society of Agricultural Engineers 10:74-77. Doi: 10.13031/2013.39599.

Munishi, P. K. T. and T. H. Shear. 2005. Rainfall interception and partitioning in afromontane rain forests of the eastern arc mountains, Tanzania: implications for water conservation. Journal of Tropical Forest Science 17(3):355-365. https://jtfs.frim.gov.my/jtfs/article/view/1045/881. (19 de noviembre de 2023).

Placidi, P., L. Gasperini, A. Grassi, M. Cecconi and A. Scorzoni. 2020. Characterization of low-cost capacitive soil moisture sensors for IoT networks. Sensors 20(12):3585. Doi: 10.3390/s20123585.

Rahman, M., N. E-Jannat, O. Islam and S. Salakin. 2015. Arduino and GSM based smart energy meter for advanced metering and billing system. In: Institute of Electrical and Electronic Engineers (IEEE) (Edit.). 2015 International Conference on Electrical Engineering and Information Communication Technology (ICEEICT). IEEE. Savar, D, Bangladés. pp. 1-6.

Santana, M. A. A., P. L. O. Guimarães, L. G. Lanza and E. Vuerich. 2015. Metrological analysis of a gravimetric calibration system for tippingbucket rain gauges. Meteorological Applications 22(S1):879-885. Doi: 10.1002/met.1540.

Segovia-Cardozo, D. A., C. Bernal-Basurco and L. Rodríguez-Sinobas. 2023. Tipping bucket rain gauges in hydrological research: Summary on measurement uncertainties, calibration, and error reduction strategies. Sensors 23(12):5385. Doi: 10.3390/s23125385.

Shedekar, V. S., K. W. King, L. C. Brown, N. R. Fausey, M. Heckel and R. D. Harmel. 2009. Measurement errors in tipping bucket rain gauges under different rainfall intensities and their implication to hydrologic models. In: American Society of Agriculture and Biological Engineers (ASABE) (Edit.). 2009 ASABE Annual International Meeting Sponsored. ASABE. Reno, NV, United States of America. pp. 1-9.

Shedekar, V. S., K. W. King, N. R. Fausey, A. B. O. Soboyejo, R. D. Harmel and L. C. Brown. 2016. Assessment of measurement errors and dynamic calibration methods for three different tipping bucket rain gauges. Atmospheric Research 178-179:445-458. Doi: 10.1016/j.atmosres.2016.04.016.

Somavilla, A., P. I. Gubiani and A. L. Zwirtz. 2019. Tipping bucket prototype for automatic quantification of surface runoff rate in plots. Revista Brasileira de Ciência do Solo 43:1-7. Doi: 10.1590/18069657rbcs20180096.

Staelens, J., A. De Schrijver, K. Verheyen and N. E. C. Verhoest. 2006. Spatial variability and temporal stability of throughfall water under a dominant beech (Fagus sylvatica L.) tree in relationship to canopy cover. Journal of Hydrology 330(3-4):651-662. Doi: 10.1016/j.jhydrol.2006.04.032.

Strangeways, I. 2007. Precipitation: Theory, measurement and distribution. Cambridge University Press. Cambridge, Cambs., United Kingdom. 290 p.

Van Stan II, J. T., C. M. Siegert, D. F. Levia and C. E. Scheick. 2011. Effects of wind-driven rainfall on stemflow generation between codominant tree species with differing crown characteristics. Agricultural and Forest Meteorology 151(9):1277-1286. Doi: 10.1016/j.agrformet.2011.05.008.

Zimmermann, B., H. Elsenbeer and J. M. De Moraes. 2006. The influence of land-use changes on soil hydraulic properties: Implications for runoff generation. Forest ecology and Management 222(1-3):29-38. Doi: 10.1016/j.foreco.2005.10.070.

Zimmermann, A., W. Wilcke and H. Elsenbeer. 2007. Spatial and temporal patterns of throughfall quantity and quality in a tropical montane forest in Ecuador. Journal of Hydrology 343(1-2):80-96. Doi: 10.1016/j.jhydrol.2007.06.012.

 

 

 

        

Todos los textos publicados por la Revista Mexicana de Ciencias Forestales sin excepción– se distribuyen amparados bajo la licencia Creative Commons 4.0 Atribución-No Comercial (CC BY-NC 4.0 Internacional), que permite a terceros utilizar lo publicado siempre que mencionen la autoría del trabajo y a la primera publicación en esta revista.