Revista Mexicana de Ciencias Forestales Vol. 15 (82)

Marzo - Abril (2024)

Logotipo, nombre de la empresa

Descripción generada automáticamente

DOI: https://doi.org/10.29298/rmcf.v15i82.1450

Artículo de investigación

 

Uso de guías para el manejo de la densidad en bosques mezclados de Michoacán

Use of density management diagrams for mixed stands in the state of Michoacán

 

Abel Joseph Hernández-Martínez1*, Valentín José Reyes-Hernández1, Héctor Manuel de los Santos-Posadas1, Alejandro Velázquez-Martínez1, Gerónimo Quiñonez-Barraza2

 

Fecha de recepción/Reception date: 23 de octubre de 2023.

Fecha de aceptación/Acceptance date: 9 de febrero de 2024.

_______________________________

1Colegio de Postgraduados, Campus Montecillo. México.

2Campo Experimental Valle del Guadiana, INIFAP. México.

 

*Autor para correspondencia; correo-e: ajhmtz@gmail.com

*Corresponding author; e-mail: ajhmtz@gmail.com

 

Resumen

Las guías de densidad (GD) son herramientas fundamentales para la silvicultura porque permiten realizar una mejor distribución del espacio de crecimiento dentro del rodal. El objetivo de este trabajo fue construir y aplicar dos GD derivadas de un modelo potencial (MP) y uno exponencial (ME) para la simulación de aclareos. Se probaron dos objetivos de manejo forestal: (1) Para conservar, y (2) Para cambiar la proporción de especies del rodal. Se usó la información procedente de 1 346 unidades mínimas de manejo forestal (UMMF) con mezcla de especies. Las UMMF se proyectaron dentro de las GD en términos del Índice de Densidad de Rodal (IDR), con respecto a un IDR máximo (IDRmax). Después se seleccionó una UMMF de forma aleatoria para prescribir secuelas de aclareos de acuerdo con los dos objetivos planteados. Los IDRmax fueron de 883 (MP) y 800 (ME), con los cuales se definieron las zonas de crecimiento de Langsaeter en forma porcentual: 70 % mortalidad inminente, 40 % crecimiento constante y 20 % crecimiento libre. Las simulaciones de aclareos indicaron que, tanto en 1 como en 2, se proyectó una mayor remoción de árboles y de área basal cuando se usó la GD del MP con respecto a la GD del ME. Las dos GD tienen implicaciones en la proyección de la cosecha final debido a la estructura y a la definición de los IDR.

Palabras clave: Bosques mezclados, índice de densidad, modelo exponencial, modelo potencial, simulación de aclareos, zonas de crecimiento.

Abstract

Density guides (DG) are fundamental tools for silviculture, because they allow a better distribution of the growth space within the stand. The objective of this work was to construct and apply two DGs derived from a potential model (PM) and an exponential model (EM) for the thinning simulation. Two forest management objectives were tested: (1) To conserve, and (2) To change the proportion of species in the stand. Information from 1 346 minimum forest management units (MFMUs) with mixed species was used. The MFMUs were projected within the DGs in terms of the Stand Density Index (SDI), with respect to a maximum SDI (SDImax). An MFMU was then randomly selected to deal with the aftereffects of thinning according to the two objectives aforementioned. The SDImax were 883 (PM) and 800 (EM), on the basis of which the Langsaeter growth zones were defined as a percentage: 70 % imminent mortality, 40 % constant growth, and 20 % free growth. The thinning simulations indicated that in both 1 and 2, a greater tree and basimetric area removal was projected when using the PM DG than with the EM DG. The two DGs have implications for the final harvest projection due to the structure and definition of the SDIs.

Key words: Mixed forests, density index, exponential model, potential model, thinning simulation, growth zones.

 

 

Introducción

 

 

En el control de la densidad se considera una programación de aclareos durante el crecimiento y desarrollo del rodal (Torres-Rojo y Velázquez-Martínez, 2000). Las guías de densidad (GD) son herramientas silvícolas útiles para simular el aglutinamiento de los árboles en un sitio (Quiñonez-Barraza et al., 2018) y proyectar la dinámica del rodal (Cabrera-Pérez et al., 2019). Newton (2021) clasifica las GD en tres grupos: (1) GD estáticas dimensionales (relación densidad-tamaño o tamaño-densidad), (2) GD tridimensionales (densidad-tamaño-tiempo), y (3) GD n-dimensionales (densidad-tamaño-tiempo-distribución del tamaño).

Las primeras GD se basaron en la relación densidad-tamaño propuesta por Reineke (1933), quien definió la máxima densidad por medio de una línea recta. Con la relación se obtiene un grado de ocupación en términos relativos a nivel de rodal respecto a un Índice de Densidad de Rodal (IDR) máximo (Torres-Rojo y Velázquez-Martínez, 2000). Los IDR relativos se usan para comparar la densidad entre rodales y delimitar las zonas de crecimiento (ZC) propuestas por Langsaeter (Shaw, 2006).

Otra expresión matemática fue propuesta por Quiñonez-Barraza y Ramírez-Maldonado (2019) para relacionar la densidad-tamaño. El modelo es de tipo exponencial y proyecta una curvilínea para delimitar la densidad máxima. A diferencia del modelo de Reineke, la función estima valores más reales en el intercepto, el cual está asociado con la densidad inicial que se presenta en las primeras etapas del desarrollo del rodal.

Los modelos potencial (MP) de Reineke (1933) y exponencial (ME) de Quiñonez-Barraza y Ramírez-Maldonado (2019) se han utilizado para estimar la línea de máxima densidad en rodales mezclados (Hernández-Martínez et al., 2023) y para construir GD para simular aclareos a través de las ZC de Langsaeter (Quiñonez-Barraza y Ramírez-Maldonado, 2019).

En México se han desarrollado varias GD, tanto para rodales puros como mezclados (Quiñonez-Barraza et al., 2018; Tamarit-Urias et al., 2019) . La mayor parte de las GD generadas se han realizado con especies de coníferas que se distribuyen en clima templado (Cabrera-Pérez et al., 2019), y con menor frecuencia en plantaciones forestales de especies tropicales (García et al., 1996; Minoche et al., 2017) .

Algunos ejemplos de GD para bosques naturales de coníferas mexicanas corresponden a Pinus patula Schltdl. & Cham. (Santiago-García et al., 2013; Camacho-Montoya et al., 2018; Tamarit-Urias et al., 2019) , Pinus rudis Endl. (Martínez et al., 2021), Pinus teocote Schltdl. & Cham. (Hernández et al., 2013), Pinus montezumae Lamb. (Rodríguez et al., 2009), Pinus cooperi C. E. Blanco var. ornelasi (Martínez) C. E. Blanco (Márquez-Linares y Álvarez-Zagoya, 1995) y Pinus hartwegii Lindl. (Zepeda y Villareal, 1987).

Sin embargo, en bosques con mezcla de especies mexicanas existen pocos trabajos de GD. Corral-Rivas et al. (2015), Acevedo et al. (2018) y Cabrera-Pérez et al. (2019) utilizaron el Índice de Espaciamiento Relativo para construir GD en rodales mezclados para el norte del país. En la misma región, Quiñonez-Barraza et al. (2018) y Quiñonez-Barraza y Ramírez-Maldonado (2019) elaboraron GD con el Índice de Reineke (1933), mientras que Martínez (2017) utilizó ambos índices para desarrollar GD en bosques mezclados de San Pedro El Alto, Zimatlán, Oaxaca.

El objetivo de la presente investigación fue construir y aplicar dos GD para simular aclareos a partir de dos enfoques de manejo forestal a nivel de rodal: (1) sin considerar la composición de especies y mantener su proporción actual, y (2) considerar la composición de especies y cambiar su proporción actual.

 

 

Materiales y Métodos

 

 

Área de estudio

 

 

El estudio se realizó en la Comunidad Indígena Nuevo San Juan Parangaricutiro (CINSJP), Michoacán, México. Se ubica entre las coordenadas geográficas 19°21’ y 19°34’ LN y 102°08’ y 102°17’ LO con una altitud promedio de 2 550 m y una superficie forestal de 9 914 ha. El clima es templado húmedo y se presentan diferentes tipos de vegetación: bosques de coníferas, pino-encino, mesófilo de montaña y encino. Las especies de mayor importancia económica son Pinus pseudostrobus Lindl., Pinus montezumae, Abies religiosa (Kunth) Schltdl. & Cham., Quercus rugosa Neé y Quercus laurina Bonpl. (Hernández-Martínez et al., 2023).

 

 

Datos y construcción de las GD

 

 

Se utilizaron datos de 9 559 parcelas temporales de muestreo circulares con un tamaño de 1 000 m2 distribuidas en 1 346 unidades mínimas de manejo forestal (UMMF) en bosque natural. En cada parcela se midió el diámetro de los árboles a la altura de 1.3 m (D, cm) con cinta diamétrica (Forestry Suppliers® modelo Inc. 800-647-5368 Jackson, MS) y la densidad (Np, árboles por parcela). Con el D se obtuvo el área basal individual (ab, m2). Los valores del ab y Np se escalaron a nivel de hectárea; AB, m2 ha-1 es el área basal y N es el número de árboles por hectárea. Además, se obtuvo el diámetro cuadrático medio (DCM, cm) con la Ecuación (1) :

 

     

 

Donde:

DCM = Diámetro cuadrático medio (cm)

AB = Área basal (m2 ha-1)

 = 3.1416

 

En un estudio previo se estimaron los parámetros de la relación máxima densidad-tamaño (RMDT) para el MP y el ME (Hernández-Martínez et al., 2023), los cuales se utilizaron en este trabajo para definir la línea de máxima densidad con las ecuaciones (2) y (3) .

 

     

 

Donde:

N = Número de árboles por hectárea

DCM = Diámetro cuadrático medio (cm)

 

Para comparar las densidades entre rodales se usó un DCM de referencia (DCMR) de 25 cm (Reineke, 1933). Los IDR máximos (IDRmax) del área de estudio fueron 883 y 800 para el MP y ME, respectivamente. Con estos valores se calcularon los IDR relativos de las UMMF con la Ecuación (4) para el MP y la (5) para el ME.

 

     

 

Donde:

 = Valor estimado de la pendiente para el MP y el ME, respectivamente

 

Para obtener N a partir de un IDR dado, se emplearon las ecuaciones (6) para MP y (7) para ME.

 

    

 

Las isolíneas de las ZC se trazaron de acuerdo con los intervalos propuestos por Martínez (2017) y Quiñonez-Barraza y Ramírez-Maldonado (2019). Los límites se establecieron respecto al IDRmax de los MP y ME mencionados. El inicio de la ZC libre se definió a 20 %, el límite inferior de la ZC constante a 40 %, y el inicio de la zona de mortalidad inminente o autoaclareo a 70 % del IDRmax. El IDR relativo se calculó para cada una de las UMMF con los dos modelos descritos.

La ZC constante se consideró como el óptimo de densidad y es donde se expresa el máximo potencial de crecimiento antes del autoaclareo (Santiago-García et al., 2013). Las simulaciones de aclareos se realizaron de acuerdo con la metodología propuesta por Martínez (2017), la cual se describe en las siguientes secciones.

 

 

Simulación con proporción de especies constante

 

 

El objetivo es obtener la i-ésima respuesta (Ri) y la i-ésima proyección de crecimiento (Pi) de un aclareo a nivel global, donde i=1,…,n, y n es el número de aclareos o la proyección de crecimiento después del aclareo. Otro objetivo es evaluar la respuesta y proyección de forma individual para la j-ésima especie o grupo de especies según corresponda, donde j=1,…,m, y m es el número de especies. Cuando i=n en la proyección, Pi se tratará como la cosecha final que es el resultado del último aclareo Ri.

Para ejemplificar lo anterior, se parte de una condición inicial (CI) en la que el rodal está en la zona de autoaclareo. Sus valores a nivel de rodal son N0, AB0y DCM0 y por especies N0,j, AB0,j y DCM0,j, donde j es la j-ésima especie. La proporción por especie [Prop0,j (%)] se calcula con la Ecuación (8) .

 

     

 

Donde:

N0,j= Corresponde al número de árboles de la j-ésima especie en la condición inicial del rodal

 

Cuando el rodal supera el límite superior de la ZC constante, se aplica un primer aclareo para reducir la densidad hasta el límite inferior de esa ZC. El resultado del primer aclareo a nivel global es NR1, ABR1y DCMR1, y a nivel individual NR1,j, ABR1,jy DCMR1,j. Después, el rodal experimenta una proyección de crecimiento global (Np1, ABp1y DCMp1) e individual (Np1,j, ABp1,jy DCMp1,j). La última proyección de crecimiento (i=n) es la cosecha final global para Npn, ABpny DCMpn, y por especie Npn,j, ABpn,jy DCMpn,j.

El procedimiento contempla varias etapas para realizar la simulación de aclareos. En las siguientes secciones se detallan los pasos y ecuaciones para dos situaciones: respuesta de aclareos y proyección del crecimiento.

 

 

Respuesta del aclareo

 

1. El número de árboles residuales a nivel global (NRi) se obtiene con la Ecuación (9) para el MP y la (10) para el ME. El DCM0 se sustituye por DCMPi-1 cuando i>1, y corresponde al DCM del crecimiento previo al aclareo i.

 

    

 

Donde:

IDRLIZCC = IDR relativo del límite inferior de la ZC constante

 

2. El número de árboles residuales por especie (NRi,j) se obtiene respecto a su proporción inicial [Prop0,j (%)], como se muestra en la expresión (11).

 

     

 

3. El DCMRi global es igual al DCM0 cuando i=1, o DCMPi-1 que corresponde al crecimiento previo al aclareo i cuando i>1. A nivel de especie, el DCMRi,j será igual que DCM0,j o DCMPi-1,j, este último corresponde al crecimiento previo al aclareo i de la j-ésima especie.

4. El área basal residual global después de un aclareo (ABRi) se calcula con la Ecuación (12), y por especie (ABRi,j) con la (13).

 

    

 

5. La intensidad de corta global (CIRi, %) es la diferencia de N0 y NRi después del aclareo i cuando i=1, entre N0, como se presenta en la expresión (14). El valor N0 se puede sustituir por NP-1 que indica el número de árboles proyectados previo al aclareo i cuando i>1, como se muestra en la Ecuación (15).

 

     

 

Las expresiones (14) y (15) se aplican para conocer la IC por especie, la cual resultará igual a la ICRi global, ya que la proporción de las especies se mantiene en cada aclareo, sin modificar la composición del rodal.

 

 

Proyección del crecimiento

 

6. Después del aclareo i, se asume que el crecimiento (Pi) tendrá el mismo número de árboles residuales del aclareo, tanto global como por especie. Por lo tanto, se cumple NPi=NRi y NPi,j=NRi,j.

7. El crecimiento del DCM a nivel de rodal se obtiene al despejar DCM en (6) para el MP y (7) para el ME, pero expresado como proyección (DCMPi). Además, el valor del IDR se sustituye por el IDR relativo del límite superior de la ZC constante (IDRLSZCC). Por lo tanto, el DCMPi se obtienen con la Ecuación (16) para el MP y la (17) para el ME.

 

     

 

8. La proyección del DCM por especie (DCMPi,j) se calcula con la expresión (18), misma que se aplica para ambos modelos.

 

    

 

9. El área basal global proyectada y por especie se obtiene con las ecuaciones (12) y (13), respectivamente, expresadas como ABPi y ABPi,j.

10. Al obtener la proporción por especie con la Ecuación (11) en esta etapa, se mantiene la proporción conforme a los valores iniciales del rodal.

11. Por último, cuando i=n en la etapa de proyección, los resultados obtenidos en el crecimiento se referirán a la cosecha final.

 

Los pasos descritos se hacen de forma iterativa hasta cumplir con el número de aclareos n. Los análisis se pueden realizar de forma global, sin considerar la composición de especies, como lo realizaron otros autores en bosques monoespecíficos (Camacho-Montoya et al., 2018; Tamarit-Urias et al., 2019) y en bosques mezclados (Quiñonez-Barraza et al., 2018; Quiñonez-Barraza y Ramírez-Maldonado, 2019) .

 

 

Simulación con cambios en la proporción de especies

 

 

Para el segundo enfoque de manejo, la proporción inicial de especies cambió al final de la simulación de aclareos. Por lo tanto, es necesario considerar a un taxón como prioritario y su presencia será mayor en términos de proporción de densidad absoluta (N); tendrá valores superiores de N, DCM y AB en la cosecha final. La selección de la especie estará en función de las necesidades del poseedor del bosque, así como del objetivo de manejo y de la producción.

Al igual que el enfoque anterior, se parte de una condición inicial a nivel global (N0, AB0 y DCM0) y a nivel de especies (N0,j, AB0,j, DCM0,jy Prop0,j (%)). Para efectuar algunos cálculos, se hizo referencia a la condición inicial como Ri-1 o Ri-1,j cuando i=1. Cuando i>1, esta correspondería a la proyección del crecimiento del rodal (Pi-1) o especie (Pi-1,j) antes del segundo aclareo o superior. Si la proyección de crecimiento es i=n, correspondería a la cosecha final del rodal después de aplicar el último aclareo. Al finalizar la simulación de aclareos se obtendría un rodal dominado por la especie prioritaria y una proporción de especies distinta a la condición inicial.

 

 

Respuesta de aclareo

 

12. Al aplicar un aclareo, el número global de árboles residuales (NRi) se calcula con las ecuaciones (9) y (10) según el modelo.

13. El NRi,j estará en función de la intensidad de corta (ICRi) que el silvicultor aplique a cada especie de acuerdo con su criterio y experiencia, siempre y cuando se practique una menor IC a la especie prioritaria, en comparación con el resto de los taxones. Para obtener NRi,j se utiliza la expresión (19).

 

     

 

La  con la finalidad de alcanzar el IDRLIZCC.

14. Se asume que el DCMRi,j es igual a DCMRi-1,j. Si i=1 se trató como la condición inicial; cuando i>1 fue la proyección del crecimiento del rodal previo al segundo aclareo o después de este.

15. El área basal por especie (ABRi,j) se obtiene con la Ecuación (13) y el área basal global (ABRi) se calcula con la (20).

 

     

 

16. Con ABRi y NRi se calcula el DCMRi. A diferencia del enfoque anterior, este varió en cada aclareo, y se obtuvo con la expresión (21).

 

    

 

 

Proyección del crecimiento

 

1. Después del aclareo, se asumió que el rodal mantuvo las siguientes igualdades NPi=NRi y NPi,j=NRi,j, respectivamente.

2. La proyección del crecimiento del DCM global (DCMPi) se calculó con (16) y (17) del primer enfoque, de acuerdo con el modelo que se utilizó.

3. La proyección de crecimiento del DCM por grupo de especies (DCMPi,j) fue similar a la Ecuación (18) del primer enfoque, sin embargo, se agregó un cociente de DCMRi,j y DCMPi de forma aditiva como se indica en la expresión (22).

 

     

 

4. El área basal de la proyección de crecimiento por especie ABRi,j y global ABRi se calculó con la Ecuación (20) antes descrita.

5. Por último, se obtuvo la proporción de especies para cada proyección de crecimiento con la expresión (11). Si se asigna una mayor CI a especies menos prioritarias, el rodal estará dominada por taxa de más importancia económica, o de un fin particular que asigne el silvicultor.

Los procedimientos descritos tienen la ventaja de implementar diversas estrategias de simulación de aclareos (Martínez, 2017). De acuerdo con los enfoques de manejo forestal que se definan, se obtendrán masas puras o compuestas respecto a las condiciones actuales del rodal.

 

 

Resultados

 

 

Guías de densidad

 

 

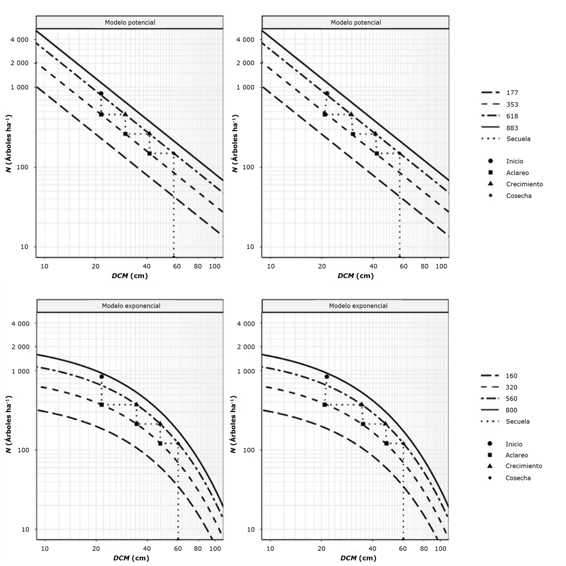
El IDRmax para el MP fue 883 y para el ME de 800. Los IDR relativos de los límites de las ZC fueron, para el MP y el ME, como se detalla a continuación: (a) Inicio del autoaclareo (IDR=618 y 560), (b) LIZCC (IDR=309 y 280), y (c) Inicio de la ZC libre (IDR=177 y 160). Los IDR de las 1 349 UMMF se proyectaron en la GD (Figura 1). De las UMMF, 0.5 % se encontraron en la zona del autoaclareo (cinco UMMF con MP y siete con ME), mientras que 21.8 % (294 UMMF) y 24.1 % (325 UMMF) estuvieron en la ZC constante; el resto se ubicaron por debajo del límite superior de la ZC libre (Figura 1).

Figura 1 . Guías de densidad con el MP y el ME, con las observaciones registradas en las UMMF.

 

En la simulación de aclareos se seleccionó una UMMF ubicada en la zona del autoaclareo. La UMMF seleccionada tuvo una superficie de 1 409 ha y se componía por Pinus montezumae, Pinus lawsonii Roezl ex Gordony Abies religiosa. Actualmente, el rodal está bajo manejo forestal con el Método Mexicano de Ordenación de Bosques Irregulares y el Método de Regeneración por Selección. Tiene un IDR relativo de 648 (73 % del IDRmax del MP) y 723 (90 % del IDRmax del ME). Se consideró a Pinus montezumae como especie prioritaria para el segundo enfoque. Los datos de la condición inicial del rodal se muestran en el Cuadro 1.

 

Cuadro 1 . Variables de la condición inicial del rodal seleccionado para la simulación de aclareos.

Variable

Pinus montezumae Lamb.

Pinus lawsonii Roezl ex Gordon

Abies religiosa (Kunth) Schltdl. & Cham.

Total

N0 (árboles ha-1)

730

10

100

840

AB0 (m2 ha-1)

24.85

0.18

5.44

30.46

DCM0 (cm)

20.82

15

26.32

21.49

Prop0 (%)

87

1

12

100

N0 = Número de árboles; AB0 = Área basal; DCM0 = Diámetro cuadrático medio; Prop0 (%) = Proporción del número de árboles de la j-ésima especie respecto al N0.

 

 

Simulación de aclareos con dos enfoques de manejo forestal

 

 

Se simularon tres aclareos en la UMMF seleccionada. Los resultados se muestran en el Cuadro 2 . La ICR1 aplicada en el primer enfoque fue mayor en el ME (56 %) que en el MP (46 %). Lo anterior obedece a la curvatura que proyectan las isolíneas de la GD del ME, así como al efecto asintótico de las líneas de las ZC. Después del segundo aclareo, se aplicó una ICRi>1 de 43 % en ambos modelos y se mantuvo dentro de la ZC constante.

 

 


Cuadro 2 . Secuela de aclareos de un rodal mezclado con el MP y ME bajo dos objetivos de manejo forestal.

TS/RS

Variable

O1: Con proporción de especies constantes

O2: Con cambios en la proporción de especies

MP

ME

MP

ME

Pm

(j=1)

Pl

(j=2)

Ar

(j=3)

Total global

Pm

(j=1)

Pl

(j=2)

Ar

(j=3)

Total global

Pm

(j=1)

Pl

(j=2)

Ar

(j=3)

Total global

Pm

(j=1)

Pl

(j=2)

Ar

(j=3)

Total global

CI

N0

730

10

100

840

730

10

100

840

730

10

100

840

730

10

100

840

AB0

24.85

0.18

5.44

30.46

24.85

0.18

5.44

30.46

24.85

0.18

5.44

30.46

24.85

0.18

5.44

30.46

DCM0

20.82

15

26.32

21.49

20.82

15

26.32

21.49

20.82

15

26.32

21.49

20.82

15

26.32

21.49

Prop0 (%)

87

1

12

100

87

1

12

100

87

1

12

100

87

1

12

100

R1

NR1

398

5

54

458

323

4

44

372

458

0

0

458

372

0

0

372

ABR1

13.53

0.10

2.96

16.59

11.00

0.08

2.41

13.49

15.58

0

0

15.58

12.67

0

0

12.67

DCMR1

20.82

15

26.32

21.49

20.82

15

26.32

21.49

20.82

0

0

20.82

20.82

0

0

20.83

ICR1 (%)

46

46

46

46

56

56

56

56

37.3

100.0

100.0

45.5

49

100

100

55.7

P1

NP1

398

5

54

458

323

4

44

372

458

0

0

458

372

0

0

372

ABP1

26.05

0.19

5.70

31.93

28.43

0.2

6.22

34.85

33.45

0

0

33.45

36.08

0

0

36.08

DCMP1

28.88

20.81

36.51

29.81

33.46

24.11

42.29

34.54

30.5

0

0

29.81

35.13

0

0

34.54

PropP1 (%)

87

1

12

100

87

1

12

100

100

0

0

100

100

0

0

100

R2

NR2

227

3

31

261

185

3

25

213

261

0

0

261

213

0

0

213

ABR2

14.88

0.11

3.26

18.25

16.24

0.12

3.56

19.91

19.10

0

0

19.1

20.6

0

0

20.6

DCMR2

28.88

20.81

36.51

29.81

33.46

24.11

42.29

34.54

30.50

0

0

30.5

35.13

0

0

35.13

ICR2 (%)

43

43

43

43

43

43

43

43

42.9

0

0

42.9

42.9

0

0

42.9

P2

NP2

227

3

31

261

185

3

25

213

261

0

0

261

213

0

0

213

ABP2

28.64

0.2

6.27

35.12

30.83

0.22

6.75

37.8

36.38

0

0

36.38

38.99

0

0

38.99

DCMP2

40.07

28.87

50.65

41.36

46.10

33.22

58.27

47.58

42.09

0

0

41.36

48.32

0

0

47.58

PropP2 (%)

87

1

12

100

87

1

12

100

100

0

0

100

100

0

0

100

R3

NR3

130

2

18

149

106

1

14

121

149

0

0

149

121

0

0

121

ABR3

16.37

0.12

3.58

20.07

17.62

0.13

3.86

21.6

20.79

0

0

20.79

22.26

0

0

22.26

DCMR3

40.07

28.87

50.65

41.36

46.10

33.22

58.27

47.58

42.09

0

0

42.1

48.32

0

0

48.3

ICR3 (%)

43

43

43

43

43

43

43

43

42.9

0

0

42.9

42.9

0

0

42.9

P3

NP3

130

2

18

149

106

1

14

121

149

0

0

149

121

0

0

121

ABP3

31.50

0.22

6.9

38.62

28.61

0.2

6.26

35.07

39.61

0

0

39.61

36.00

0

0

36

DCMP3

55.58

40.05

70.26

57.37

58.74

42.32

74.25

60.63

58.10

0

0

57.37

61.45

0

0

60.63

PropP3 (%)

87

1

12

100

87

1

12

100

100

0

0

100

100

0

0

100

O1 = Objetivo de manejo forestal 1; O2 = Objetivo de manejo forestal 2; TS/RS = Tratamiento silvícola/respuesta del tratamiento silvícola; N = Número de árboles ha-1; AB = Área basal (m2 ha-1); DCM = Diámetro Cuadrático Medio (cm); Prop = Proporción de N por grupo de especie (%); CI y subíndice 0 = Condición inicial del rodal; Subíndice R = Respuesta al aclareo (residual); Subíndice P = Proyección de crecimiento; Pm = Pinus montezumae Lamb.; Pl = Pinus lawsonii Roezl ex Gordon; Ar = Abies religiosa (Kunth) Schltdl. & Cham.

 

 


Los valores de la cosecha final NP3, ABP3y DCMP3 de la simulación de aclareos fueron similares en ambos modelos. El MP proyectó mayor área basal y más cantidad de árboles, caso contrario sucedió con el ME, ya que proyectó una menor área basal y menos árboles.

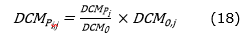
En el segundo enfoque de manejo, se consideró a Pinus montezumae como especie prioritaria y se utilizó una mayor IC a Pinus lawsonii y Abies religiosa. Debido a la baja densidad de Pinus lawsonii (N0,2) y Abies religiosa (N0,3), se les aplicó una IC de 100 % en el primer aclareo (ICR1,2 e ICR1,3, respectivamente) y solo una IC de 37.7 % (MP) y 40 % (ME) para Pinus montezumae (ICR1,1). El segundo y tercer aclareo solo se practicaron a Pinus montezumae con una IC de 42.9 % en ambos modelos. La diferencia de esta simulación con la anterior radica en obtener un DCMRi diferente en cada aclareo. Por lo tanto, DCMRiDCM0 y DCMPi (Cuadro 2 , Figura 2 ). 

Enfoque 1: Paneles superior e inferior izquierdo. Enfoque 2: Paneles superior e inferior derecho.

Figura 2 . Guías de densidad y simulación de aclareos con el MP y ME.

 

La condición inicial del rodal en la GD del ME estuvo próxima al límite de densidad máxima. En la GD para el MP, la condición inicial del rodal estuvo cercana al límite inferior de la zona del autoaclareo. Las diferencias se deben a la forma de las isolíneas de los IDR de las ZC de ambas GD. El ME es más restrictivo en las primeras etapas del desarrollo del rodal por la asíntota presente antes de los 10 cm de DCM. El MP es más flexible, con un mayor margen para alcanzar la línea de máxima densidad en las primeras etapas del desarrollo del rodal.

Las IC calculadas en los dos enfoques de manejo estuvieron cercanas a 50 % de la densidad inicial. Un factor clave de la IC en el primer aclareo es la condición inicial que presentan los rodales; en tanto que el IDR relativo del rodal es alto y superior al autoaclareo, su IC será mayor. La IC de los aclareos posteriores al primero se mantuvo fija, ya que la simulación se programó entre los límites inferior y superior de la ZC constante.

Los resultados indican que al usar la GD del MP, la cosecha final proyecta una mayor remoción de árboles y área basal que la GD del ME. También se obtuvo una similitud en ambos modelos para N, DCM y AB, conforme a los valores de la cosecha final mostrados en el primer enfoque.

 

 

Discusión

 

 

Se presenta una metodología y resultados de una alternativa para simular aclareos en rodales mixtos, la cual diferencia las especies que componen el rodal y su respuesta en la dinámica del desarrollo y crecimiento después de una intervención silvícola. En México se han desarrollado GD para diversas especies comerciales (Quiñonez-Barraza et al., 2018), la mayoría se han construido asumiendo rodales monoespecíficos y coetáneos (Camacho-Montoya et al., 2018). Esto limita su uso para manejar la densidad de bosques mezclados debido a que no se consideran otras especies arbóreas que forman parte de la composición del sitio.

En otras investigaciones se ha expandido la relación de Reineke para definir la línea de máxima densidad en rodales con más de dos especies, y la expresión generada permite estimar parámetros de interceptos y pendientes específicos por especie o grupo de especies (Torres-Rojo y Velázquez-Martínez, 2000). Así, las ecuaciones propuestas por Torres-Rojo y Velázquez-Martínez (2000) son otra alternativa para construir GD a las expuestas en este trabajo.

Los planteamientos expresados en el análisis se han probado en muy pocos trabajos. Por ejemplo, Quiñonez-Barraza y Ramírez-Maldonado (2019) elaboraron dos GD con los modelos presentados en esta investigación; ellos señalan que el ME es una alternativa más lógica que el MP, ya que el parámetro  es más realista en condiciones naturales en la trayectoria inicial de la línea de máxima densidad. Sin embargo, el MP tiende a proyectar estimaciones muy altas, lo cual puede deberse a que la línea de máxima densidad se traza en un umbral específico de la relación densidad-tamaño (Hernández-Martínez et al., 2023).

Los IDR relativos son indispensables para definir las ZC dentro de las GD, ya que se asocian con la teoría de Langsaeter para identificar el estado del rodal de acuerdo a su grado de competencia intra e interespecífica (Quiñonez-Barraza et al., 2018). Además, las ZC son de utilidad para lograr objetivos en la maximización del crecimiento individual o producción de biomasa (Santiago-García et al., 2013), principalmente en la ZC constante. Una de las ventajas de las GD presentadas en el presente trabajo es la facilidad de cambiar el LIZCC en las ecuaciones (9) y (10) para disminuir la IC y establecer un intervalo más estrecho en la ZC constante.

Diversos tipos de GD se han presentado en otros trabajos, lo que ha resultado en una diversidad de formas y diseños en función de la cantidad y tipos de variables (Tamarit-Urias et al., 2020). Destacan las GD propuestas por Ginrich (1967), quien utiliza las variables de AB, N y el DCM (Rodríguez et al., 2009; Hernández et al., 2013; Martínez et al., 2021) , las construidas a través del Índice de Espaciamiento Relativo o el Índice de Hart-Becking con el uso de las variables N, altura dominante, DCM y el volumen (Corral-Rivas et al., 2015; Acevedo et al., 2018; Cabrera-Pérez et al., 2019) , y finalmente están las GD tradicionales que utilizan la relación de Reineke (1933) con menor número de variables para su construcción, como N y el DCM.

Tamarit-Urias et al. (2020) indican que una GD tiene que desarrollarse con el mínimo de variables útiles para el silvicultor, aquellas que incluyen más de dos variables son difíciles de manipular e interpretar y resultan de poca utilidad (Quiñonez-Barraza et al., 2018). Por otro lado, también se han creado programas especializados que tratan de encapsular la complejidad de los bosques mezclados a través de sistemas de cómputo para facilitar su uso (Newton, 2021).

El manejo de la densidad en bosques mezclados aún tiene áreas para desarrollar conocimiento y generar herramientas silvícolas que faciliten la toma de decisiones.

 

 

Conclusiones

 

 

Las guías de densidad propuestas en esta investigación permiten al silvicultor realizar simulaciones de aclareos, proyecciones de cosecha final y determinar intensidades de corta de acuerdo con la condición actual de un rodal y con base en los objetivos y metas del manejo en rodales mezclados.

Con la relación densidad-tamaño (número de árboles-diámetro cuadrático medio) se obtienen índices de densidad del rodal respecto a un valor máximo, lo cual es importante para estimar la ocupación de los rodales en términos relativos. Con el Índice de Densidad Relativa se ubican a los rodales dentro de las guías de densidad y su posición en las zonas de crecimiento de Langsaeter, para así definir estrategias del futuro manejo de la densidad.

 

Agradecimientos

 

Al Consejo Nacional de Humanidades, Ciencias y Tecnologías (Conahcyt), por el financiamiento al primer autor para cursar sus estudios de Maestría en Ciencias. A la Comunidad Indígena Nuevo San Juan Parangaricutiro, Michoacán, por facilitar las bases de datos y acceso a sus bosques. Al Colegio de Postgraduados por las facilidades otorgadas para realizar la investigación.

 

Conflicto de intereses

 

Los autores declaran no tener conflicto de intereses. Gerónimo Quiñonez-Barraza declara no haber participado en el proceso editorial del presente artículo.

 

Contribución por autor

 

Abel Joseph Hernández-Martínez: análisis de datos, revisión de literatura y redacción del manuscrito; Valentín José Reyes-Hernández: redacción y revisiones del manuscrito; Héctor Manuel de los Santos-Posadas: análisis de datos y escritura del manuscrito; Alejandro Velázquez-Martínez: revisión del manuscrito; Gerónimo Quiñonez-Barraza: análisis de datos y resultados.

 

 

References

Acevedo B., F. del C., M. A. González T., W. Himmelsbach, Ó. A. Aguirre C. y J. Jiménez P. 2018. Diagrama de manejo de densidad para el género Pinus en el ejido Pueblo Nuevo, Durango. Revista Mexicana de Ciencias Forestales 9(50):68-87. Doi: 10.29298/rmcf.v9i50.262.

Cabrera-Pérez, R. S., S. Corral-Rivas, G. Quiñonez-Barraza, J. A. Nájera-Luna, F. Cruz-Cobos and V. H. Calderón-Leal. 2019. Density management diagram for mixed-species forests in the El Salto region, Durango, Mexico. Revista Chapingo Serie Ciencias Forestales y del Ambiente 25(1):17-29. Doi: 10.5154/r.rchscfa.2018.03.026.

Camacho-Montoya, J. A., W. Santiago-García, G. Rodríguez-Ortiz, P. Antúnez, E. Santiago-García y M. E. Suárez-Mota. 2018. Autoaclareo y manejo de la densidad en rodales coetáneos de Pinus patula Schiede ex Schlechtdl. & Cham. Revista Mexicana de Ciencias Forestales 9(49):188-212. Doi: 10.29298/rmcf.v9i49.162.

Corral-Rivas, S., J. G. Álvarez-González, J. J. Corral-Rivas, C. Wehenkel y C. A. López-Sánchez. 2015. Diagramas para el manejo de la densidad en bosques mixtos e irregulares de Durango, México. Bosque 36(3):409-421. Doi: 10.4067/S0717-92002015000300008.

García C., X., C. Parraguirre L. y H. Ramírez M. 1996. Guía de densidad para manejo de plantaciones de Swietenia macrophylla King. (Caoba). Ciencia Forestal en México 21(80):79-95. https://cienciasforestales.inifap.gob.mx/index.php/forestales/article/view/989. (19 de diciembre de 2023).

Ginrich, S. F. 1967. Measuring and evaluating stocking and stand density in upland hardwood forests in the Central States. Forest Science 13(1):38-53. Doi: 10.1093/forestscience/13.1.38.

Hernández-Martínez, A. J., V. J. Reyes-Hernandez, H. M. de los Santos-Posadas, A. Velázquez-Martínez and G. Quiñonez-Barraza. 2023. Maximum size-density relationship for mixed forests of Nuevo San Juan Parangaricutiro, Michoacán, Mexico. Revista Chapingo Serie Ciencias Forestales y del Ambiente 29(3):129-146. Doi: 10.5154/r.rchscfa.2023.02.011.

Hernández R., J., J. J. García M., H. J. Muñoz F., X. García C., ... y A. Hernández R. 2013. Guía de densidad para manejo de bosques naturales de Pinus teocote Schlecht. et Cham. en Hidalgo. Revista Mexicana de Ciencias Forestales 4(19):62-77. Doi: https://doi.org/10.29298/rmcf.v4i19.379.

Márquez-Linares, M. A. y R. Álvarez-Zagoya. 1995. Construcción de una guía de densidad para Pinus cooperi var. ornelasi con base en la clase de copa en Durango, México. Madera y Bosques 1(2):23-36. https://www.redalyc.org/pdf/617/61700204.pdf. (18 de diciembre de 2023).

Martínez L., J. 2017. Guías de densidad para masas mezcladas de San Pedro el Alto, Zimatlán, Oaxaca. Tesis de Maestría en Ciencias. Colegio de Postgraduados, Campus Montecillo. Texcoco de Mora, Est. Méx., México. 99 p.

Martínez S., D., P. Caballero C., E. Filio H., A. Garzón T., ... y C. Sandoval G. 2021. Guía de densidad para el manejo de rodales naturales de Pinus rudis Endl. en Oaxaca. Revista Mexicana de Ciencias Forestales 12(64):23-44. Doi: 10.29298/rmcf.v12i64.822.

Minoche, D., L. Risio-Allione, C. Herrero De A. and P. Martínez-Zurimendi. 2017. Density management diagram for teak plantations in Tabasco, Mexico. iForest-Biogeosciences and Forestry 10(6):909-915. Doi: 10.3832/ifor2247-010.

Newton, P. F. 2021. Croplanner: A stand density management decision-support software suite for addressing volumetric yield, end-product and ecosystem service objectives when managing boreal conifers. Forests 12(4):448. Doi: 10.3390/f12040448.

Quiñonez-Barraza, G. and H. Ramírez-Maldonado. 2019. Can an exponential function be applied to the asymptotic density–size relationship? Two new stand-density indices in mixed-species forests. Forests 10(1):9. Doi: 10.3390/f10010009.

Quiñonez-Barraza, G., J. C. Tamarit-Urias, M. Martínez-Salvador, X. García-Cuevas, H. M. de los Santos-Posadas and W. Santiago-García. 2018. Maximum density and density management diagram for mixed-species forests in Durango, Mexico. Revista Chapingo Serie Ciencias Forestales y del Ambiente 24(1):73-90. Doi: 10.5154/r.rchscfa.2017.09.056.

Reineke, L. H. 1933. Perfection a stand-density index for even-aged forest. Journal of Agricultural Research 46(7):627-638. https://www.fs.usda.gov/psw/publications/cfres/cfres_1933_reineke001.pdf. (12 de septiembre de 2023).

Rodríguez L., R., R. Razo Z., D. Díaz H. y J. Meza R. 2009. Guía de densidad para Pinus montezumae en su área de distribución natural en el estado de Hidalgo. Instituto de Ciencias Agropecuarias de la Universidad Autónoma del Estado de Hidalgo. Tulancingo de Bravo, Hgo., México. 33 p.

Santiago-García, W., H. M. De los Santos-Posadas, G. Ángeles-Pérez, J. R. Valdez-Lazalde, D. H. Del Valle-Paniagua y J. J. Corral-Rivas. 2013. Auto-aclareo y guías de densidad para Pinus patula mediante el enfoque de regresión de frontera estocástica. Agrociencia 47:75-89. https://www.scielo.org.mx/pdf/agro/v47n1/v47n1a7.pdf. (8 de septiembre de 2023).

Shaw, J. D. 2006. Reineke's stand density index: Where are we and where do we go from here? In: Society of American Foresters (Edit.). National Convention of the Society of American Foresters 2005. Society of American Foresters. Fort Worth, TX, United States of America. pp. 69-81. https://www.fs.usda.gov/research/treesearch/25003. (2 de septiembre de 2023).

Tamarit-Urias, J. C., G. Quiñonez-Barraza y J. Hernández-Ramos. 2020. Aspectos metodológicos para generar diagramas de manejo de la densidad de rodales con base en el índice de Reineke. Revista Mexicana de Ciencias Forestales 11(61):4-26. Doi: 10.29298/rmcf.v11i61.728.

Tamarit-Urias, J. C., G. Quiñonez-Barraza, H. M. de los Santos-Posadas, A. Castañeda-Mendoza y W. Santiago-García. 2019. Diagrama para manejo de la densidad en rodales de Pinus patula Schiede ex Schltdl. & Cham. en Puebla, México. Revista Mexicana de Ciencias Forestales 10(51):157-181. Doi: 10.29298/rmcf.v10i51.223.

Torres-Rojo, J. M. y A. Velázquez-Martínez. 2000. Índice de densidad relativa para rodales coetáneos mezclados. Agrociencias 34(4):497-507. https://agrociencia-colpos.org/index.php/agrociencia/article/view/54. (18 de septiembre de 2023).

Zepeda B., E. M. y M. E. Villareal D. 1987. Guía de densidad para Pinus hartwegii Lindl., Zoquiapan, México. División de Ciencias Forestales de la Universidad Autónoma Chapingo. Texcoco de Mora, Edo. Méx., México. 52 p.

 

 

 

        

Todos los textos publicados por la Revista Mexicana de Ciencias Forestales sin excepción– se distribuyen amparados bajo la licencia Creative Commons 4.0 Atribución-No Comercial (CC BY-NC 4.0 Internacional), que permite a terceros utilizar lo publicado siempre que mencionen la autoría del trabajo y a la primera publicación en esta revista.