Revista Mexicana de Ciencias Forestales Vol. 15 (82)

Marzo - Abril (2024)

Logotipo, nombre de la empresa

Descripción generada automáticamente

DOI: https://doi.org/10.29298/rmcf.v15i82.1450

Research article

 

Uso de guías para el manejo de la densidad en bosques mezclados de Michoacán

Use of density management diagrams for mixed stands in the state of Michoacán

 

Abel Joseph Hernández-Martínez1*, Valentín José Reyes-Hernández1, Héctor Manuel de los Santos-Posadas1, Alejandro Velázquez-Martínez1, Gerónimo Quiñonez-Barraza2

 

Fecha de recepción/Reception date: 23 de octubre de 2023.

Fecha de aceptación/Acceptance date: 9 de febrero de 2024.

_______________________________

1Colegio de Postgraduados, Campus Montecillo. México.

2Campo Experimental Valle del Guadiana, INIFAP. México.

 

*Autor para correspondencia; correo-e: ajhmtz@gmail.com

*Corresponding author; e-mail: ajhmtz@gmail.com

 

Abstract

Density guides (DG) are fundamental tools for silviculture, because they allow a better distribution of the growth space within the stand. The objective of this work was to construct and apply two DGs derived from a potential model (PM) and an exponential model (EM) for the thinning simulation. Two forest management objectives were tested: (1) To conserve, and (2) To change the proportion of species in the stand. Information from 1 346 minimum forest management units (MFMUs) with mixed species was used. The MFMUs were projected within the DGs in terms of the Stand Density Index (SDI), with respect to a maximum SDI (SDImax). An MFMU was then randomly selected to deal with the aftereffects of thinning according to the two objectives aforementioned. The SDImax were 883 (PM) and 800 (EM), on the basis of which the Langsaeter growth zones were defined as a percentage: 70 % imminent mortality, 40 % constant growth, and 20 % free growth. The thinning simulations indicated that in both 1 and 2, a greater tree and basimetric area removal was projected when using the PM DG than with the EM DG. The two DGs have implications for the final harvest projection due to the structure and definition of the SDIs.

Key words: Mixed forests, density index, exponential model, potential model, thinning simulation, growth zones.

Resumen

Las guías de densidad (GD) son herramientas fundamentales para la silvicultura porque permiten realizar una mejor distribución del espacio de crecimiento dentro del rodal. El objetivo de este trabajo fue construir y aplicar dos GD derivadas de un modelo potencial (MP) y uno exponencial (ME) para la simulación de aclareos. Se probaron dos objetivos de manejo forestal: (1) Para conservar, y (2) Para cambiar la proporción de especies del rodal. Se usó la información procedente de 1 346 unidades mínimas de manejo forestal (UMMF) con mezcla de especies. Las UMMF se proyectaron dentro de las GD en términos del Índice de Densidad de Rodal (IDR), con respecto a un IDR máximo (IDRmax). Después se seleccionó una UMMF de forma aleatoria para prescribir secuelas de aclareos de acuerdo con los dos objetivos planteados. Los IDRmax fueron de 883 (MP) y 800 (ME), con los cuales se definieron las zonas de crecimiento de Langsaeter en forma porcentual: 70 % mortalidad inminente, 40 % crecimiento constante y 20 % crecimiento libre. Las simulaciones de aclareos indicaron que, tanto en 1 como en 2, se proyectó una mayor remoción de árboles y de área basal cuando se usó la GD del MP con respecto a la GD del ME. Las dos GD tienen implicaciones en la proyección de la cosecha final debido a la estructura y a la definición de los IDR.

Palabras clave: Bosques mezclados, índice de densidad, modelo exponencial, modelo potencial, simulación de aclareos, zonas de crecimiento.

 

 

Introduction

 

 

Density control considers a thinning schedule during stand growth and development (Torres-Rojo and Velázquez-Martínez, 2000). Density guides (DG) are useful forestry tools to simulate the crowding of trees on a site (Quiñonez-Barraza et al., 2018) and project the stand dynamics (Cabrera-Pérez et al., 2019). Newton (2021) classifies DGs into three groups: (1) Static dimensional DGs (density-size or size-density ratio); (2) Three-dimensional DG (density-size-time), and (3) n-dimensional DG (density-size-time-size-distribution).

The first DGs were based on the density-size relationship proposed by Reineke (1933), who defined maximum density by means of a straight line. The ratio gives a degree of occupancy in relative terms at the stand level, with respect to a maximum Stand Density Index (SDI) (Torres-Rojo and Velázquez-Martínez, 2000). Relative SDIs are used to compare the density between stands and to delimit the growth areas (GA) proposed by Langsaeter (Shaw, 2006).

Another mathematical expression was proposed by Quiñonez-Barraza and Ramírez-Maldonado (2019) for estimating the density/size ratio. The model is of the exponential type and projects a curved line to delimit the maximum density. Unlike in Reineke's model, the function estimates more realistic values for the intercept, which is associated with the initial density that occurs in the early stages of stand development.

Both the potential (PM) model of Reineke (1933) and the exponential model (EM) of Quiñonez-Barraza and Ramírez-Maldonado (2019) were used to estimate the maximum density line in mixed stands (Hernández-Martínez et al., 2023) and to build DG in order to simulate thinning across Langsaeter's GAs (Quiñonez-Barraza and Ramírez-Maldonado, 2019).

In Mexico, several DGs have been developed for both pure and mixed stands (Quiñonez-Barraza et al., 2018; Tamarit-Urias et al., 2019) . Most of the DGs generated have been carried out with coniferous species distributed in temperate climates (Cabrera-Pérez et al., 2019), and less frequently in forest plantations of tropical species (García et al., 1996; Minoche et al., 2017) .

Some examples of DG for Mexican natural coniferous forests are Pinus patula Schltdl. & Cham. (Santiago-García et al., 2013; Camacho-Montoya et al., 2018; Tamarit-Urias et al., 2019), Pinus rudis Endl. (Martínez et al., 2021), Pinus teocote Schltdl. & Cham. (Hernández et al., 2013), Pinus montezumae Lamb. (Rodríguez et al., 2009), Pinus cooperi C. E. Blanco var. ornelasi (Martínez) C. E. Blanco (Márquez-Linares and Álvarez-Zagoya, 1995), and Pinus hartwegii Lindl. (Zepeda and Villareal, 1987).

However, in forests with a mixture of Mexican species, there is little work on DGs. Corral-Rivas et al. (2015), Acevedo et al. (2018) and Cabrera-Pérez et al. (2019), used the Relative Spacing Index to construct DG in mixed stands for the north of the country. In the same region, Quiñonez-Barraza et al. (2018) and Quiñonez-Barraza and Ramírez-Maldonado (2019) created DGs using the Reineke Index (1933), while Martínez (2017) used both indices to develop DGs in mixed forests of San Pedro El Alto in Zimatlán, Oaxaca State.

The objective of this research study was to construct and apply two DGs to simulate thinning from two forest management approaches at the stand level: (1) Without considering the species composition and maintaining the current proportion of species, and (2) Consider the species composition and change their current proportion.

 

 

Materials and Methods

 

 

Study area

 

 

The study was carried out in the indigenous community of Nuevo San Juan Parangaricutiro (CINSJP), in the state of Michoacán, Mexico. It is located between 19°21’ and 19°34’ N and 102°08’ and 102°17’ W, with an average altitude of 2 550 m and a forest area of 9 914 ha. The climate is humid temperate, with different types of vegetation: coniferous, pine-oak, mountain mesophyll, and oak forests. The most economically important species are Pinus pseudostrobus Lindl., Pinus montezumae, Abies religiosa (Kunth) Schltdl. & Cham., Quercus rugosa Neé, and Quercus laurina Bonpl. (Hernández-Martínez et al., 2023).

 

 

Data and construction of the DGs

 

 

Data from 9 559 temporary circular 1 000 m2 sample plots distributed in 1 346 minimum forest management units (MFMU) in a natural forest, were utilized. In each plot, the tree diameter at 1.3 m height (D, cm) was measured with a model Inc. 800-647-5368 Jackson, MS Forestry Suppliers® diameter tape and the density (Np, number of trees per plot) was estimated. The D was used to obtain the individual basal area (ba, m2). The ba and Np values were scaled to the hectare level; BA, m2 ha-1 is the basal area, and N is the number of trees per hectare. In addition, the Quadratic mean diameter (Dq, cm) was calculated using Equation (1) :

 

   

 

Where:

Dq = Quadratic mean diameter (cm)

BA = Basal area (m2 ha-1)

 = 3.1416

 

In a previous study, the maximum density-to-size ratio (MDTSR) parameters were estimated for the PM and the EM (Hernández-Martínez et al., 2023). The parameters were used in this work to define the line of maximum density with the equations (2) and (3) .

 

    

Where:

N = Number of trees per hectare

Dq = Quadratic mean diameter (cm)

 

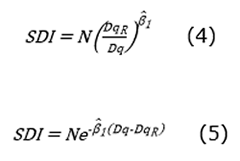
A reference Dq (Dqr) of 25 cm was used to compare densities between stands (Reineke, 1933). The maximum SDIs (SDImax) of the study area were 883 and 800 for the PM and EM, respectively. With these values, the relative SDIs of the MFMUs were calculated using Equation (4) for the PM and (5) for the EM.

 

    

 

Where:

 = Estimated value of the slope for the PM and the EM, respectively

 

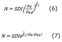
Equations (6) for PM and (7) for EM were used to estimate N based on a given SDI.

 

    

 

The isolines of the GAs were plotted according to the intervals proposed by Martínez (2017), and by Quiñonez-Barraza and Ramírez-Maldonado (2019). The limits were established with respect to the SDImax for the abovementioned PM and EM. The beginning of the free GA was defined at 20 %, the lower limit of the constant GA at 40 %, and the beginning of the area of imminent mortality or self-thinning at 70 % of the SDImax. The relative SDI was calculated for each of the MFMUs with the two models described above.

The constant GA was considered as the density optimum and is where the maximum growth potential is expressed before self-thinning (Santiago-García et al., 2013). Thinning simulations were performed according to the methodology proposed by Martínez (2017), which is described in the following sections.

 

 

Simulation with constant species ratio

 

 

The objective is to obtain the ith response (Ri) and the ith growth projection (Pi) of a global thinning, where i=1,...,n, and n is the number of thinnings or the growth projection after thinning. Another objective is to evaluate the response and projection individually for the jth species or group of species as appropriate, where j=1,...,m, and m is the number of species. When i=n in the projection, Pi will be treated as the final harvest that is the result of the last thinning Ri.

To exemplify the above, we start from an initial condition (IC) in which the stand is in the self-thinning zone. Its values at stand level are N0, BA0, and Dq0, and by species N0,j, BA0,j, and Dq0,j, where j is the jthspecies. The proportion by species [Prop0,j(%)] is calculated using the Equation (8) .

 

    

 

Where:

N0,j= Number of trees of the jthspecies in the initial stand condition

 

When the stand exceeds the upper limit of the constant GA, a first thinning is applied to reduce the density to the lower limit of that GA. The results of the first overall thinning are as follows: NR1, BAR1, and DqR1, and, at the individual level: NR1,j, BAR1,j, and DqR1,j. Then, the stand undergoes an overall (Np1, BAp1, and Dqp1) and an individual (Np1,j, BAp1,j, and Dqp1,j) growth projection. The latest growth projection (i=n) is the final overall harvest for the Npn, BApn, and Dqpn, and of the final harvest by species (Npn,j, BApn,j, and Dqpn,j).

The procedure considers several steps to perform the simulation of thinning. The following sections describe in detail the steps and equations for two situations: thinning response and growth projection.

 

 

Thinning response

 

1. The overall number of residual trees (NRi) is estimated using Equation (9) for the PM, and Equation (10) for the EM. The Dq0 is replaced with the DqPi-1 when i>1, and corresponds to the Dq of the growth prior to thinning i.

 

    

 

Where:

SDILLCGA = SDI relative to the lower limit of the constant GA

 

2. The number of residual trees by species (NRi,j) is estimated based on its initial ratio [Prop0,j (%)], as shown in the expression (11).

 

    

 

3. The overall DqRi is equal to Dq0 when i=1, or DqPi-1, which corresponds to the growth prior to thinning i when i>1. At the level of species, the DqRi,j will be equal to Dq0,j or DqPi-1,j, the latter corresponds to the growth of the jth species prior to thinning i.

4. The overall residual basal area after a thinning (BARi) is estimated using Equation (12), and by species (BARi,j), with Equation (13).

 

    

 

5. The overall cutting intensity (CIRi, %) is the difference between N0 and NRi after thinning i when i=1, divided by N0, as shown in expression (14). The value N0 cannot be replaced by NP-1, which indicates the number of trees projected prior to thinning i when i>1, as shown in Equation (15).

 

    

 

Expressions (14) and (15) are applied in order to know the CI by species, which will be equal to the global CIRi, as the proportion of species is maintained in each thinning, without modifying the stand composition.

 

 

Projected growth

 

6. It is assumed that, after thinning i, the growth (Pi) will have the same number of residual trees from thinning, both overall and by species. Therefore, the following is true: NPi=NRi and NPi,j=NRi,j.

7. The growth of Dq at stand level is obtained by clearing Dq in (6) for the PM and (7) for the EM, but expressed as a projection (DqPi). In addition, the SDI value is replaced by the relative SDI of the upper limit of the constant GA (SDIULCGA). Therefore, the DqPi are obtained with Equation (16) for the PM and (17) for the EM.

 

    

 

8. Dq projection by species (DqPi,j) is calculated using the expression (18), which applies to both models.

 

    

 

9. The overall projected basal area and by species is obtained with equations (12) and (13), respectively, expressed as BAPi and BAPi,j.

10. When obtaining the proportion by species with Equation (11) at this stage, the proportion is maintained according to the initial values of the stand.

11. Finally, when i=n in the projection stage, the results obtained in the growth will refer to the final harvest.

The described steps are done iteratively until the number of thinnings n is reached. Analyses can be performed globally, without considering the species composition, as other authors have done in monospecific forests (Camacho-Montoya et al., 2018; Tamarit-Urías et al., 2019) and in mixed forests (Quiñonez-Barraza et al., 2018; Quiñonez-Barraza and Ramírez-Maldonado, 2019) .

 

 

Simulation with changes in the proportion of species

 

 

For the second management approach, the initial proportion of species will change at the end of the thinning simulation. Therefore, it is necessary to consider a taxon as a priority and its presence will be higher in terms of absolute density ratio (N); it will have higher values of N, Dq and BA in the final harvest. Species selection will depend on the needs of the forest owner, as well as on the management objective and production.

As in the previous approach, the starting point is an initial condition at the global level (N0, BA0, and Dq0) and at the level of species (N0,j, BA0,j, Dq0,j, and Prop0,j (%)). For some calculations, the initial condition is referred to as Ri-1 or Ri-1,j when i=1. When i>1, it will correspond to the stand growth projection (Pi-1) or species (Pi-1,j) before the second or a later thinning. If the growth projection is i=n, it will correspond to the final harvest of the stand after the last thinning is applied. At the end of the thinning simulation, a stand dominated by the priority species and a species proportion different from the initial condition will be obtained.

 

 

 

Thinning response

 

12. When thinning is applied, the overall number of residual trees (NRi) is calculated with equations (9) and (10) according to the following model.

13. The NRi,j will be a function of the cutting intensity (CIRi) that the forester applies to each species according to his criteria and experience, as long as a lower CI is applied to the priority species, compared to the rest of the taxa. Expression (19) is utilized to estimate the NRi,j.

 

    

 

The  in order to reach the SDIULCGA.

 

14. It is assumed that DqRi,j is equal to DqRi-1,j. If i=1, will be treated as the initial condition; when i>1 it will be the stand growth projection before or after the second thinning.

15. The basal area by species (BARi,j) is obtained with Equation (13) and the overall basal area (BARi) is calculated with Equation (20).

 

    

 

16. The DqSi is calculated based on the BARi and NRi. Unlike in the previous approach, this will vary for each thinning, and is obtained with the expression (21).

 

    

 

Projected growth

 

 

1. After thinning, it is assumed that the stand maintains the following equalities: NPi=NRi and NPi,j=NRi,j, respectively.

2. Global Dq growth projection (DqPi) is calculated with (16) and (17) of the first approach, according to the model being used.

3. Dq growth projection by species group (DqPi,j) is similar to Equation (18) of the first approach, however, we add a quotient of DqRi,j and DqPi additively as shown in expression (22).

 

    

 

4. The basal area of the growth projection by species BARi,j and overall BARi is calculated using Equation (20) described above.

5. Finally, we obtain the proportion of species for each growth projection with the expression (11). If a higher CI is assigned to lower priority species, the stand will be dominated by taxa of greater economic importance, or of a particular purpose assigned by the forester.

The procedures described above have the advantage of implementing various strategies for simulating thinning (Martínez, 2017). According to the forest management approaches to be defined, pure or composite stands will be obtained with respect to the current stand conditions.

 

 

Results

 

 

Density guides

 

 

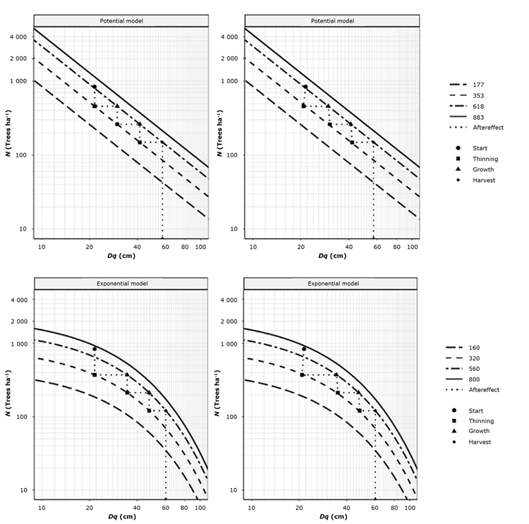
The SDImax was 883 for the PM, and 800 for the EM. The relative SDI of the limits of the GA boundaries were, for the PM and the EM, as follows: (a) Start of self-thinning (SDI=618 and 560), (b) LLCGA (SDI=309 and 280), and (c) Beginning of the free GA (SDI=177 and 160). The SDI of the 1 349 MFMUs were projected in the DG (Figure 1). 0.5 % of the MFMU were found in the area of self-thinning (five MFMU with PM and seven with EM), while 21.8 % (294 MFMU) and 24.1 % (325 MFMU) were located within the constant GA; the rest were located below the upper limit of the free GA (Figure 1).

 

Figure 1 . Density guides with the PM and the EM, with the observations recorded in the MFMUs.

 

In the thinning simulation, a MFMU located in the self-thinning area was selected. The selected MFMU had a surface area of 1 409 ha and consisted of Pinus montezumae, Pinus lawsonii Roezl ex Gordon, and Abies religiosa. Currently, the stand is under forest management with the Mexican Irregular Forest Management Method and the Regeneration by Selection Method. It has a relative SDI of 648 (73 % of the SDImax of the PM) and 723 (90 % of the SDImax of the EM). Pinus montezumae was considered as the priority species for the second approach. Initial stand condition data are shown in Table 1.

 

Table 1. Initial stand condition variables selected for thinning simulation.

Variable

Pinus montezumae Lamb.

Pinus lawsonii Roezl ex Gordon

Abies religiosa (Kunth) Schltdl. & Cham.

Total

N0 (trees ha-1)

730

10

100

840

BA0 (m2 ha-1)

24.85

0.18

5.44

30.46

Dq0 (cm)

20.82

15

26.32

21.49

Prop0 (%)

87

1

12

100

N0 = Number of trees; BA0 = Basal area; Dq0 = Quadratic mean diameter; Prop0 (%) = Ratio of the number of trees of the jth species to the N0.

 

 

Simulation of thinnings with two approaches to forest management

 

 

Three thinning operations were simulated in the selected MFMU. The results are shown in Table 2. The CIR1 applied in the first approach was higher in the EM (56 %) than in the PM (46 %). This is due to the curvature projected by the EM DG isolines, as well as to the asymptotic effect of the lines of the GA. After the second thinning, a CIRi>1 of 43 % was applied in both models and remained within the constant GA. 

 


Table 2. Thinning aftereffects of a mixed stand with the PM and EM under two forest management objectives.

ST/RST

Variable

O1: With constant species ratio

O2: With changes in the species ratio

PM

EM

PM

EM

Pm

(j=1)

Pl

(j=2)

Ar

(j=3)

Overall total

Pm

(j=1)

Pl

(j=2)

Ar

(j=3)

Overall total

Pm

(j=1)

Pl

(j=2)

Ar

(j=3)

Overall total

Pm

(j=1)

Pl

(j=2)

Ar

(j=3)

Overall total

CI

N0

730

10

100

840

730

10

100

840

730

10

100

840

730

10

100

840

BA0

24.85

0.18

5.44

30.46

24.85

0.18

5.44

30.46

24.85

0.18

5.44

30.46

24.85

0.18

5.44

30.46

Dq0

20.82

15

26.32

21.49

20.82

15

26.32

21.49

20.82

15

26.32

21.49

20.82

15

26.32

21.49

Prop0 (%)

87

1

12

100

87

1

12

100

87

1

12

100

87

1

12

100

R1

NR1

398

5

54

458

323

4

44

372

458

0

0

458

372

0

0

372

BAR1

13.53

0.10

2.96

16.59

11.00

0.08

2.41

13.49

15.58

0

0

15.58

12.67

0

0

12.67

DqR1

20.82

15

26.32

21.49

20.82

15

26.32

21.49

20.82

0

0

20.82

20.82

0

0

20.83

CIR1 (%)

46

46

46

46

56

56

56

56

37.3

100.0

100.0

45.5

49

100

100

55.7

P1

NP1

398

5

54

458

323

4

44

372

458

0

0

458

372

0

0

372

BAP1

26.05

0.19

5.70

31.93

28.43

0.2

6.22

34.85

33.45

0

0

33.45

36.08

0

0

36.08

DqP1

28.88

20.81

36.51

29.81

33.46

24.11

42.29

34.54

30.5

0

0

29.81

35.13

0

0

34.54

PropP1 (%)

87

1

12

100

87

1

12

100

100

0

0

100

100

0

0

100

R2

NR2

227

3

31

261

185

3

25

213

261

0

0

261

213

0

0

213

BAR2

14.88

0.11

3.26

18.25

16.24

0.12

3.56

19.91

19.10

0

0

19.1

20.6

0

0

20.6

DqR2

28.88

20.81

36.51

29.81

33.46

24.11

42.29

34.54

30.50

0

0

30.5

35.13

0

0

35.13

CIR2 (%)

43

43

43

43

43

43

43

43

42.9

0

0

42.9

42.9

0

0

42.9

P2

NP2

227

3

31

261

185

3

25

213

261

0

0

261

213

0

0

213

BAP2

28.64

0.2

6.27

35.12

30.83

0.22

6.75

37.8

36.38

0

0

36.38

38.99

0

0

38.99

DqP2

40.07

28.87

50.65

41.36

46.10

33.22

58.27

47.58

42.09

0

0

41.36

48.32

0

0

47.58

PropP2 (%)

87

1

12

100

87

1

12

100

100

0

0

100

100

0

0

100

R3

NR3

130

2

18

149

106

1

14

121

149

0

0

149

121

0

0

121

BAR3

16.37

0.12

3.58

20.07

17.62

0.13

3.86

21.6

20.79

0

0

20.79

22.26

0

0

22.26

DqR3

40.07

28.87

50.65

41.36

46.10

33.22

58.27

47.58

42.09

0

0

42.1

48.32

0

0

48.3

CIR3 (%)

43

43

43

43

43

43

43

43

42.9

0

0

42.9

42.9

0

0

42.9

P3

NP3

130

2

18

149

106

1

14

121

149

0

0

149

121

0

0

121

BAP3

31.50

0.22

6.9

38.62

28.61

0.2

6.26

35.07

39.61

0

0

39.61

36.00

0

0

36

DqP3

55.58

40.05

70.26

57.37

58.74

42.32

74.25

60.63

58.10

0

0

57.37

61.45

0

0

60.63

PropP3 (%)

87

1

12

100

87

1

12

100

100

0

0

100

100

0

0

100

O1 = Forest management objective 1; O2 = Forest management objective 2; ST/RST = Silvicultural treatment/response to the silvicultural treatment; N = Number of trees ha-1; BA = Basal area (m2 ha-1); Dq = Quadratic mean diameter (cm); Prop = Proportion of N by species group (%); IC and suffix 0 = Initial condition of the stand; The suffix R = Thinning response (residual); The suffix P = Growth projection; Pm = Pinus montezumae Lamb.; Pl = Pinus lawsonii Roezl ex Gordon; Ar = Abies religiosa (Kunth) Schltdl. & Cham.

 

The values of the final harvest NP3, BAP3, and DqP3 of the thinning simulation were similar in both models. The PM projected a larger basal area and more trees, whereas the EM projected a smaller basal area and fewer trees.

In the second management approach, Pinus montezumae was considered a priority species, and a higher CI was used for Pinus lawsonii and Abies religiosa. Due to the low density of Pinus lawsonii (N0,2) and Abies religiosa (N0,3), a 100 % CI was applied in the first thinning (CIR1,2 and CIR1,3, respectively) and only one CI of 37.7 % (PM) and 40 % (EM) for Pinus montezumae (CIR1,1). The second and third thinning were only practiced on Pinus montezumae with a CI of 42.9 % in both models. The difference between this simulation and the previous one lies in obtaining a different DqRi at each thinning. Therefore, DqRiDq0 and DqPi (Table 2, Figure 2).

 

 

Approach 1: Upper and lower left panels. Approach 2: upper and lower right panels.

Figure 2 . Density guides and thinning simulation with PM and EM.

 

The initial condition of the stands in the EM DG was close to the maximum density limit. In the DG for the PM, the initial condition was close to the lower limit of the self-thinning area. The differences are due to the shape of the isolines of the SDIs of the GAs of both DGs. The EM is more restrictive in the early stages of stand development, due to the asymptote present before 10 cm of Dq. The PM is more flexible, with a greater margin to reach the maximum density line in the early stages of stand development.

The CIs calculated in the two management approaches were close to 50 % of the initial density. A key factor of the CI in the first thinning is the initial condition of the stands; as long as the relative SDI of the stand is high and higher than the self-thinning, its CI will be higher. The CI of the thinnings after the first one remained fixed, as the simulation was programmed between the lower and upper limits of the constant GA.

The results indicate that using the PM DG, the final harvest projects a greater tree removal and a larger basal area than with the EM DG. Also, the N, Dq and BA were similar in the two models, according to the final harvest values shown in the first approach. 

 

 

Discussion

 

 

This article presents a methodology and results of an alternative to simulate thinning in mixed stands, differentiating the species that make up the stand and their response in the dynamics of development and growth after a silvicultural intervention. In Mexico, DGs have been developed for several commercial species (Quiñonez-Barraza et al., 2018), most of which have been built assuming monospecific and coetaneous stands (Camacho-Montoya et al., 2018). This limits their use for managing the density of mixed forests because other tree species that are part of the site composition are not considered.

Other research has expanded Reineke’s ratio to define the line of maximum density in stands with more than two species, and the expression generated thereby allows estimating specific intercept and slope parameters for each species or group of species (Torres-Rojo and Velázquez-Martínez, 2000). Thus, the equations proposed by Torres-Rojo and Velázquez-Martínez (2000) are another alternative for constructing DGs to those presented herein.

The approaches expressed in the analysis have been tested in very few papers. For example, Quiñonez-Barraza and Ramírez-Maldonado (2019) developed two DGs with the models presented in this research; and they point out that the EM is a more logical alternative than the PM, as the parameter  is more realistic under natural conditions in the initial trajectory of the maximum density line. However, the PM tends to project very high estimates, perhaps because the maximum density line is drawn at a specific threshold of the density-size ratio (Hernández-Martínez et al., 2023).

The relative SDIs are essential to define the GAs within the DGs, since they are associated with Langsaeter's theory to identify the status of the stand according to its degree of intra- and interspecific competition (Quiñonez-Barraza et al., 2018). In addition, GAs are useful for achieving individual growth or biomass production maximization objectives (Santiago-García et al., 2013), mainly in the constant GA. One of the advantages of the DGs presented herein is the ease of changing the LLCGA in equations (9) and (10) to reduce the CI and set a narrower range in the constant GA.

Different types of DGs have been discussed in other papers, resulting in a diversity of forms and designs, depending on the number and types of variables (Tamarit-Urias et al., 2020). Prominent among them are the DGs proposed by Ginrich (1967), who uses the variables of BA, N, and Dq (Rodríguez et al., 2009; Hernández et al., 2013; Martínez et al., 2021) , as well as the DGs constructed through the Relative Spacing Index or the Hart-Becking Index using the variables N, dominant height, Dq, and volume (Corral-Rivas et al., 2015; Acevedo et al., 2018; Cabrera-Pérez et al., 2019) . Finally, there are the traditional DGs that use Reineke’s ratio (Reineke, 1933) with a smaller number of variables for its construction, such as N and the Dq.

Tamarit-Urías et al. (2020) point out that a DG has to be developed with the minimum number of variables useful to the forester; those that include more than two variables are difficult to manipulate and interpret and are of little use (Quiñonez-Barraza et al., 2018). On the other hand, specialized programs have also been created to encapsulate the complexity of mixed forests through computational systems to facilitate their use (Newton, 2021).

Density management in mixed forests still has areas for further development of knowledge and generation of forestry tools to facilitate decision making.

 

 

Conclusions

 

 

The density guidelines proposed in this research allow the forester to perform thinning simulations and final harvest projections, and determine felling intensities according to the current condition of a stand, based on management objectives and goals in mixed stands.

The density-size ratio (number of trees-mean square diameter) provides indices of stand density with respect to a maximum value, which is important for estimating stand occupancy in relative terms. The Relative Density Index is used to locate the stands within the density guidelines and their position in the Langsaeter growth areas in order to define strategies for future density management.

 

Acknowledgments

 

The authors are grateful to the Consejo Nacional de Humanidades, Ciencias y Tecnologías, Conahcyt (National Council for Humanities, Science, and Technology) for having financed the first author's studies for obtaining a Master's degree in Science and Technology. To the Indigenous Community of Nuevo San Juan Parangaricutiro, Michoacán, for having provided databases and access to their forests. To the Colegio de Postgraduados (Graduate Studies School) for their support to carry out the research.

 

Conflict of interest

 

The authors declare that they have no conflict of interest. Gerónimo Quiñonez-Barraza declares that he did not participate in the editorial process of this article.

 

Contribution by author

 

Abel Joseph Hernández-Martínez: data analysis, literature review, and drafting of the manuscript; Valentín José Reyes-Hernández: drafting and revision of the manuscript; Héctor Manuel de los Santos-Posadas: data analysis and drafting of the manuscript; Alejandro Velázquez-Martínez: review of the manuscript; Gerónimo Quiñonez-Barraza: data analysis and results.

 

 

References

Acevedo B., F. del C., M. A. González T., W. Himmelsbach, Ó. A. Aguirre C. y J. Jiménez P. 2018. Diagrama de manejo de densidad para el género Pinus en el ejido Pueblo Nuevo, Durango. Revista Mexicana de Ciencias Forestales 9(50):68-87. Doi: 10.29298/rmcf.v9i50.262.

Cabrera-Pérez, R. S., S. Corral-Rivas, G. Quiñonez-Barraza, J. A. Nájera-Luna, F. Cruz-Cobos and V. H. Calderón-Leal. 2019. Density management diagram for mixed-species forests in the El Salto region, Durango, Mexico. Revista Chapingo Serie Ciencias Forestales y del Ambiente 25(1):17-29. Doi: 10.5154/r.rchscfa.2018.03.026.

Camacho-Montoya, J. A., W. Santiago-García, G. Rodríguez-Ortiz, P. Antúnez, E. Santiago-García y M. E. Suárez-Mota. 2018. Autoaclareo y manejo de la densidad en rodales coetáneos de Pinus patula Schiede ex Schlechtdl. & Cham. Revista Mexicana de Ciencias Forestales 9(49):188-212. Doi: 10.29298/rmcf.v9i49.162.

Corral-Rivas, S., J. G. Álvarez-González, J. J. Corral-Rivas, C. Wehenkel y C. A. López-Sánchez. 2015. Diagramas para el manejo de la densidad en bosques mixtos e irregulares de Durango, México. Bosque 36(3):409-421. Doi: 10.4067/S0717-92002015000300008.

García C., X., C. Parraguirre L. y H. Ramírez M. 1996. Guía de densidad para manejo de plantaciones de Swietenia macrophylla King. (Caoba). Ciencia Forestal en México 21(80):79-95. https://cienciasforestales.inifap.gob.mx/index.php/forestales/article/view/989. (19 de diciembre de 2023).

Ginrich, S. F. 1967. Measuring and evaluating stocking and stand density in upland hardwood forests in the Central States. Forest Science 13(1):38-53. Doi: 10.1093/forestscience/13.1.38.

Hernández-Martínez, A. J., V. J. Reyes-Hernandez, H. M. de los Santos-Posadas, A. Velázquez-Martínez and G. Quiñonez-Barraza. 2023. Maximum size-density relationship for mixed forests of Nuevo San Juan Parangaricutiro, Michoacán, Mexico. Revista Chapingo Serie Ciencias Forestales y del Ambiente 29(3):129-146. Doi: 10.5154/r.rchscfa.2023.02.011.

Hernández R., J., J. J. García M., H. J. Muñoz F., X. García C., ... y A. Hernández R. 2013. Guía de densidad para manejo de bosques naturales de Pinus teocote Schlecht. et Cham. en Hidalgo. Revista Mexicana de Ciencias Forestales 4(19):62-77. Doi: https://doi.org/10.29298/rmcf.v4i19.379.

Márquez-Linares, M. A. y R. Álvarez-Zagoya. 1995. Construcción de una guía de densidad para Pinus cooperi var. ornelasi con base en la clase de copa en Durango, México. Madera y Bosques 1(2):23-36. https://www.redalyc.org/pdf/617/61700204.pdf. (18 de diciembre de 2023).

Martínez L., J. 2017. Guías de densidad para masas mezcladas de San Pedro el Alto, Zimatlán, Oaxaca. Tesis de Maestría en Ciencias. Colegio de Postgraduados, Campus Montecillo. Texcoco de Mora, Est. Méx., México. 99 p.

Martínez S., D., P. Caballero C., E. Filio H., A. Garzón T., ... y C. Sandoval G. 2021. Guía de densidad para el manejo de rodales naturales de Pinus rudis Endl. en Oaxaca. Revista Mexicana de Ciencias Forestales 12(64):23-44. Doi: 10.29298/rmcf.v12i64.822.

Minoche, D., L. Risio-Allione, C. Herrero De A. and P. Martínez-Zurimendi. 2017. Density management diagram for teak plantations in Tabasco, Mexico. iForest-Biogeosciences and Forestry 10(6):909-915. Doi: 10.3832/ifor2247-010.

Newton, P. F. 2021. Croplanner: A stand density management decision-support software suite for addressing volumetric yield, end-product and ecosystem service objectives when managing boreal conifers. Forests 12(4):448. Doi: 10.3390/f12040448.

Quiñonez-Barraza, G. and H. Ramírez-Maldonado. 2019. Can an exponential function be applied to the asymptotic density–size relationship? Two new stand-density indices in mixed-species forests. Forests 10(1):9. Doi: 10.3390/f10010009.

Quiñonez-Barraza, G., J. C. Tamarit-Urias, M. Martínez-Salvador, X. García-Cuevas, H. M. de los Santos-Posadas and W. Santiago-García. 2018. Maximum density and density management diagram for mixed-species forests in Durango, Mexico. Revista Chapingo Serie Ciencias Forestales y del Ambiente 24(1):73-90. Doi: 10.5154/r.rchscfa.2017.09.056.

Reineke, L. H. 1933. Perfection a stand-density index for even-aged forest. Journal of Agricultural Research 46(7):627-638. https://www.fs.usda.gov/psw/publications/cfres/cfres_1933_reineke001.pdf. (12 de septiembre de 2023).

Rodríguez L., R., R. Razo Z., D. Díaz H. y J. Meza R. 2009. Guía de densidad para Pinus montezumae en su área de distribución natural en el estado de Hidalgo. Instituto de Ciencias Agropecuarias de la Universidad Autónoma del Estado de Hidalgo. Tulancingo de Bravo, Hgo., México. 33 p.

Santiago-García, W., H. M. De los Santos-Posadas, G. Ángeles-Pérez, J. R. Valdez-Lazalde, D. H. Del Valle-Paniagua y J. J. Corral-Rivas. 2013. Auto-aclareo y guías de densidad para Pinus patula mediante el enfoque de regresión de frontera estocástica. Agrociencia 47:75-89. https://www.scielo.org.mx/pdf/agro/v47n1/v47n1a7.pdf. (8 de septiembre de 2023).

Shaw, J. D. 2006. Reineke's stand density index: Where are we and where do we go from here? In: Society of American Foresters (Edit.). National Convention of the Society of American Foresters 2005. Society of American Foresters. Fort Worth, TX, United States of America. pp. 69-81. https://www.fs.usda.gov/research/treesearch/25003. (2 de septiembre de 2023).

Tamarit-Urias, J. C., G. Quiñonez-Barraza y J. Hernández-Ramos. 2020. Aspectos metodológicos para generar diagramas de manejo de la densidad de rodales con base en el índice de Reineke. Revista Mexicana de Ciencias Forestales 11(61):4-26. Doi: 10.29298/rmcf.v11i61.728.

Tamarit-Urias, J. C., G. Quiñonez-Barraza, H. M. de los Santos-Posadas, A. Castañeda-Mendoza y W. Santiago-García. 2019. Diagrama para manejo de la densidad en rodales de Pinus patula Schiede ex Schltdl. & Cham. en Puebla, México. Revista Mexicana de Ciencias Forestales 10(51):157-181. Doi: 10.29298/rmcf.v10i51.223.

Torres-Rojo, J. M. y A. Velázquez-Martínez. 2000. Índice de densidad relativa para rodales coetáneos mezclados. Agrociencias 34(4):497-507. https://agrociencia-colpos.org/index.php/agrociencia/article/view/54. (18 de septiembre de 2023).

Zepeda B., E. M. y M. E. Villareal D. 1987. Guía de densidad para Pinus hartwegii Lindl., Zoquiapan, México. División de Ciencias Forestales de la Universidad Autónoma Chapingo. Texcoco de Mora, Edo. Méx., México. 52 p.

 

 

 

        

Todos los textos publicados por la Revista Mexicana de Ciencias Forestales sin excepción– se distribuyen amparados bajo la licencia Creative Commons 4.0 Atribución-No Comercial (CC BY-NC 4.0 Internacional), que permite a terceros utilizar lo publicado siempre que mencionen la autoría del trabajo y a la primera publicación en esta revista.