Revista Mexicana de Ciencias Forestales Vol. 15 (81)

Enero - Febrero (2024)

Logotipo, nombre de la empresa

Descripción generada automáticamente

DOI: https://doi.org/10.29298/rmcf.v15i81.1435

Artículo de investigación

 

Diferencias en la respuesta de indicadores dendrocronológicos a condiciones climáticas y topográficas

Differences in the response of dendrocronological indicators to climatic and topographic conditions

 

Marco Aurelio González-Tagle1, Marcos González-Cásares1*, Wibke Himmelsbach1, Homero Alejandro Gárate-Escamilla1

 

Fecha de recepción/Reception date: 5 de septiembre de 2023.

Fecha de aceptación/Acceptance date: 21 de diciembre de 2023.

_______________________________

1Universidad Autónoma de Nuevo León, Facultad de Ciencias Forestales. México.

 

*Autor para correspondencia; correo-e: marcos.gonzalezcs@uanl.edu.mx

*Corresponding author; e-mail: marcos.gonzalezcs@uanl.edu.mx

 

Resumen

La dinámica de la vegetación en ecosistemas forestales, comúnmente, se atribuye a factores climáticos. Sin embargo, aún existe un conocimiento limitado sobre cómo la topografía influye en la sensibilidad climática de especies forestales. Se determinó la respuesta de indicadores dendroecológicos de Pinus arizonica a la exposición y la variabilidad climática. Se obtuvieron índices de ancho de anillo (IAA) e incrementos de área basal (IAB). Se calculó la correlación entre los IAA, registros mensuales de precipitación acumulada (PP) y temperaturas medias (Tmáx y Tmín) en tres periodos: 1990-2000 (B1), 2001-2011 (B2) y 2012-2021 (B3). Se realizaron las pruebas de Mann-Whitney y de Kruskall-Wallis para comprobar diferencias en el IAB por exposición (noroeste, NO y noreste, NE) y por bloque temporal, respectivamente. La Tmáx limitó el crecimiento en los tres periodos, la Tmín lo restringió en el B2 y la PP lo favoreció en los B1 y B2. Se detectó un mayor IAB en la exposición NO (224.7 mm2 año-1) en comparación con la NE (143.9 mm2 año-1). Existió un aumento significativo en el IAB en los periodos B2 (62.1 mm2 año-1) y B3 (56.9 mm2 año-1) en comparación con el B1 (51.2 mm2 año-1). Esto resalta la importancia de considerar la topografía al analizar las asociaciones clima-crecimiento de especies forestales. Considerar la interacción de factores climáticos y microclimas asociados a la topografía específica del sitio, genera una visión integral de los procesos ecológicos, lo que permite proponer mejores estrategias de manejo forestal para la mitigación de los efectos del Cambio Climático.

Palabras claves: Incremento de área basal, dendroecología, dplR, anillos de crecimiento, exposición topográfica, Pinus arizonica Engelm.

Abstract

Vegetation dynamics in forest ecosystems are commonly attributed to climatic factors. However, there is still limited knowledge on how topography influences the climatic sensitivity of forest species. The response of dendroecological indicators of Pinus arizonica to exposure and climatic variability was determined. Indices of ring width (RWI) and Basal area increments (BAI) were obtained. The correlation between RWI and monthly records of accumulated precipitation (PP) and mean temperatures (Tmax and Tmin) was calculated for three periods: 1990-2000 (B1), 2001-2011 (B2), and 2012-2021 (B3). Mann-Whitney and Kruskall-Wallis tests were performed to test for differences in BAI by exposure (northwest, NW and northeast, NE) and by time period, respectively. Tmax limited growth in all three periods, Tmin restricted it in B2 and PP favored it in B1 and B2. A higher BAI was detected in the NW exposure (224.7 mm2 yr-1) compared to the NE (143.9 mm2 yr-1). There was a significant increase in BAI in periods B2 (62.1 mm2 yr-1) and B3 (56.9 mm2 yr-1) compared to B1 (51.2 mm2 yr-1). This highlights the importance of considering topography when analyzing climate-growth associations of forest species. Considering the interaction of climatic factors and microclimates associated with site-specific topography generates an integrated view of ecological processes. This allows proposing better forest management strategies to mitigate the effects of Climate Change.

Keywords: Basal area increment, dendroecology, dplR, growth rings, topographic exposure, Pinus arizonica Engelm.

 

 

Introducción

 

 

La variabilidad climática desempeña un papel fundamental en la distribución y desarrollo de las especies forestales (Diao et al., 2023). Además, se han observado efectos del Cambio Climático que han llevado al deterioro del crecimiento e incluso a la disminución de ciertos taxa en distintos ecosistemas forestales (Allen et al., 2010). El incremento en la severidad e intensidad de las sequías, relacionado con el aumento de la temperatura media global (IPCC, 2023), es un fenómeno significativo. Por lo tanto, comprender el impacto de las condiciones climáticas en el desarrollo de las comunidades vegetales es esencial para desentrañar los mecanismos de vulnerabilidad y adaptación de las especies.

El estudio entre el clima y el crecimiento se ha abordado a través de indicadores basados en los anillos de crecimiento (Acosta-Hernández et al., 2017). Se han identificado disparidades en la respuesta de los índices de ancho de anillo (IAA) entre especies que coexisten en un mismo hábitat (González-Cásares et al., 2017) y entre aquellas establecidas en distintas ubicaciones geográficas (Pompa-García et al., 2017). Estas respuestas diferenciadas se atribuyen a condiciones microambientales, en las cuales la topografía, la pendiente y la exposición emergen como variables destacadas (Urrutia-Jalabert et al., 2021). Por lo tanto, las formas heterogéneas del relieve originan microhábitats caracterizados por condiciones ambientales específicas, incluso en áreas con un clima local semejante. Elementos como la altitud, pendiente y exposición desempeñan un papel crucial en la generación de condiciones que influyen en el establecimiento y crecimiento de las especies forestales, los cuales afectan la humedad, la disponibilidad de luz solar y la exposición al viento, entre otros (Resler et al., 2005; Sundqvist et al., 2013; Pyatt et al., 2016).

En los últimos años, en México se ha observado un incremento en el interés por la ecología de los ecosistemas forestales mediante la adopción de enfoques dendroecológicos como vía de estudio (Acosta-Hernández et al., 2017). En múltiples investigaciones se ha indagado en el impacto de las condiciones climáticas y las sequías en el crecimiento radial de diversas especies (González-Cásares et al., 2017). Sin embargo, en el contexto nacional, aún persiste una brecha en cuanto al estudio de la influencia de las variables topográficas en indicadores dendroecológicos, como los índices de ancho de anillo o el incremento de área basal derivado de los anillos de crecimiento, y como responden a las variables climáticas.

Por lo tanto, en este estudio se analiza la respuesta del índice de ancho de anillo y el incremento anual de área basal ante condiciones climáticas y topográficas. Se establecieron dos objetivos: (1) Evaluar la respuesta del índice de ancho de anillo ante las variables mensuales de precipitación y temperatura, a partir de la exploración de posibles variaciones en dicha respuesta en intervalos de 10 años, y (2) Valorar el impacto de la exposición topográfica en el incremento de área basal en árboles de Pinus arizonica Engelm. var. stormiae Martínez, especie con distribución limitada en un área árida de la Sierra Madre Oriental. Las variaciones en los indicadores dendrocronológicos se relacionan con las variables mensuales de precipitación y temperatura. Además, se planteó la hipótesis de que la exposición topográfica ejercerá un impacto en el incremento del área basal en árboles de Pinus arizonica.

 

 

Materiales y Métodos

 

 

Área y especie de estudio

 

 

El sitio de estudio Río de San José se ubica en la Sierra Madre Oriental, específicamente en el municipio Galeana, Nuevo León (Figura 1).

 

Figura 1. Localización del área de estudio en el ejido Río de San José, municipio Galeana, Nuevo León, México.

 

El clima predominante es semiseco, semicálido, caracterizado por inviernos frescos. La temperatura media anual es de 21.3 °C, la precipitación acumulada alcanza los 663 mm anuales, 58 % se registra entre los meses de junio y septiembre (Figura 2) (Harris et al., 2020). El tipo de suelo predominante es el Litosol, caracterizado por su naturaleza pedregosa y poco desarrollado, con gran cantidad de material calcáreo (Schad, 2023).

 

Río de San José (1 240 m). 1990 a 2022. 21.3 °C, 660 mm.

Figura 2. Climograma de Walter-Lieth para la precipitación y temperatura media mensual del periodo 1990-2022

 

Pinus arizonica var. stormiae. Son árboles de tamaño medio, con altura de 15-20 m. Forma rodales puros, comúnmente se presenta mezclada con especies de Quercus L. spp., Pinus engelmannii Carrière y P. strobiformis Engelm. Crece en bosques moderadamente secos a mésicos, con suelos de tipo yesoso y altitudes de 1 500 a 2 800 m (Farjon et al., 1997). Principalmente se distribuye en el sur de Nuevo León, con algunas localidades en el sur de Coahuila, Zacatecas y San Luis Potosí (Farjon et al., 1997).

 

 

Muestreo y preparación de muestras 

 

 

Se seleccionaron dos sitios con exposiciones diferentes: noreste (NE) y noroeste (NO); en cada uno de ellos se eligieron cinco árboles (Figura 1) con diámetro normal >20 cm (forcípula, Haglöff® Mantax Blue), buen vigor, apariencia longeva y fuste recto, cilíndrico, sin bifurcaciones y que presentara el menor disturbio posible. Se registraron las coordenadas (GPS, Garmin eTrex® 25x) de cada árbol y se obtuvieron dos núcleos de crecimiento de cada uno con una barrena de Pressler (Hägloff®, 5 mm) y en sentidos opuestos, siempre en dirección perpendicular a la pendiente del terreno (González-Tagle et al., 2023). Los núcleos de incremento radial se fijaron a guías de madera con pegamento blanco y se dejaron secar a temperatura ambiente. Posteriormente se lijaron con lija de grano sucesivamente más fino (100:1 000) (González-Tagle et al., 2023).

 

 

Cronología de ancho de anillo e incremento de área basal

 

 

Las muestras se fecharon visualmente utilizando un estereomicroscopio (AmScopeTM SM-4TPZ-B). Se identificaron patrones de crecimiento y se le asignó a cada anillo su año de formación (Fritts, 2001). Se midió el ancho de anillo mediante el sistema de medición VELMEX® (0.001 mm) y el software Measure J2X V5.03 (VoorTech Consoulting, 2021). La calidad de la datación visual se evaluó estadísticamente, para ello se compararon las series individuales de cada árbol con la cronología maestra de la especie. Este procedimiento se realizó con el programa COFECHA (Grissino-Mayer, 2001). Se construyó una cronología residual de ancho de anillo de Pinus arizonica. Las series de ancho de anillo se estandarizaron para eliminar las tendencias de crecimiento no asociadas al clima como la geometría y edad del árbol para obtener índices de ancho de anillo (IAA). Se aplicó un modelo autorregresivo a los índices generados (Bunn, 2008). Posteriormente se calculó la cronología residual de ancho de anillo, para lo cual se usó una media robusta para determinar los promedios de los índices individuales. Se utilizaron los índices residuales de ancho de anillo para eliminar la mayor parte de la autocorrelación temporal relacionada con el crecimiento del año anterior (Cook and Holmes, 1986).

Se calculó el incremento de área basal (IAB) de Pinus arizonica mediante la siguiente fórmula (Bunn, 2008):

 

  

Donde:

R = Radio del árbol sin corteza a la altura donde se extrajo el núcleo (1.3 m)

t = Año de formación del anillo

 

Primero se obtuvo el IAB a nivel de muestra (núcleo), a continuación, se calculó la media anual de IAB para cada árbol. La construcción de la cronología y el cálculo del IAB se hizo con el paquete dplR (Dendrochronology Program Library in R) (Bunn, 2008) del software estadístico R (R Core Team, 2021).

 

 

Datos climáticos

 

 

Se obtuvieron datos climáticos mensuales: medias de temperatura máxima y mínima y precipitación total. Los datos se descargaron de Climate Research Unit de la página http://climexp.knmi.nl/ (Harris et al., 2020). Se calcularon coeficientes de correlación entre los datos climáticos y la cronología residual de la especie para el periodo 1920-2021, y se evaluó la variación de la sensibilidad del crecimiento radial de la especie en función del tiempo para ventanas temporales de 10 años: 1990-2000 (B1), 2001-2011 (B2) y 2012-2021 (B3).

 

 

Análisis estadístico

 

 

Para determinar si existían diferencias significativas en el incremento de área basal (IAB) entre las exposiciones noreste y noroeste, se empleó la prueba U de Mann-Whitney (Rubio-Cuadrado et al., 2021). La existencia de diferencias significativas entre los bloques temporales se evaluó mediante la prueba de Kruskall-Wallis y una prueba de comparación múltiple de Dunn (Hood et al., 2018). La elección de estos análisis se basó en la naturaleza de los datos, los cuales no mostraron una distribución normal. Ambos se realizaron con el paquete ggstatsplot de R (Patil, 2021).

 

 

Resultados

 

 

Asociación clima-crecimiento radial

 

 

La cronología de ancho de anillo (Figura 3) mostró el patrón de crecimiento de los 10 árboles de Pinus arizonica. Se obtuvo una correlación entre segmentos (0.38) que fue superior a 0.328 (p>0.01) requerido por COFECHA; la señal expresada de la población (EPS) fue de 0.88. La autocorrelación de primer orden fue de 0.49 y la relación señal ruido de 7.85. Se apreció un IAA bajo en los años 1996, 1998-1999, 2008-2009, 2019 y 2021; se observó un IAA alto en los años 1993, 2007, 2010 y 2016.

 

La línea sólida representa el índice de ancho de anillo.

Figura 3. Cronología de ancho de anillo de Pinus arizonica Engelm.var. stormiae Martínezpara el periodo de 1920 a 2021.

 

Al considerar el periodo 1990-2021, se determinaron correlaciones significativas entre las variables climáticas y el IAA. La precipitación de diciembre previo al año de crecimiento, así como la de enero y abril en el año de crecimiento, se correlacionó positiva y significativamente con el IAA. La temperatura máxima de diciembre previo al año de crecimiento y de enero, febrero y abril en el año de crecimiento, se correlacionó negativa y significativamente con el IAA (Figura 4).

 

PP = Precipitación mensual acumulada; Tmáx = Promedio de temperatura máxima; Tmín = Promedio de temperatura mínima. Las correlaciones significativas (95 %) se muestran representadas por barras de color rojo. Los meses en minúsculas corresponden al año previo del crecimiento y los que están en mayúsculas al año actual de crecimiento.

Figura 4. Asociaciones crecimiento-clima en el periodo 1990-2021.

 

Los análisis de correlación revelaron variaciones temporales significativas (Figura 5). Entre 1990-2000, la precipitación en enero del año de crecimiento influyó positiva y significativamente en el IAA. En los 10 años siguientes, el IAA se correlacionó positiva y significativamente con la precipitación del mes de junio del año de crecimiento.

 

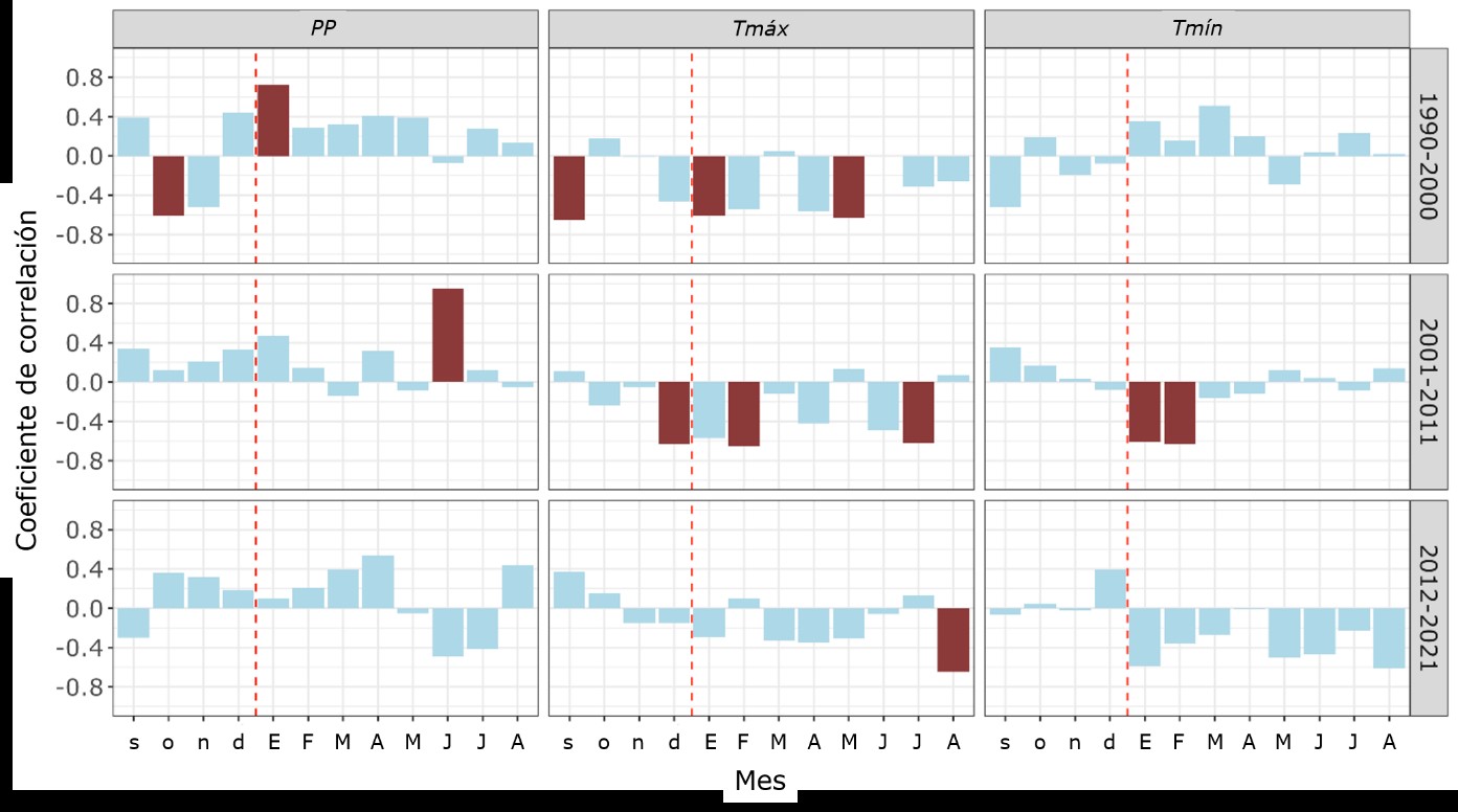
PP = Precipitación mensual acumulada; Tmáx = Promedio de temperatura máxima; Tmín = Promedio de temperatura mínima. Las correlaciones significativas (95 %) se muestran representadas por barras de color rojo. Los meses en minúsculas corresponden al año previo del crecimiento y los que están en mayúsculas al año actual de crecimiento.

Figura 5. Asociaciones crecimiento-clima en los bloques temporales 1990-2000 (B1), 2001-2011 (B2) y 2012-2021 (B3).

 

El IAA respondió negativa y significativamente a la Tmáx de diferentes meses entre periodos. Para el lapso de 1990-2000, fue la Tmáx de enero y mayo del año de crecimiento. Entre 2001-2011, con la Tmáx de diciembre previo, así como con las Tmáx de febrero y julio del año de crecimiento. En el periodo 2012-2021, con la Tmáx de agosto del año de crecimiento. La Tmín solo afectó negativa y significativamente el IAA en el periodo 2001-2011, particularmente, la Tmín de enero y febrero del año de crecimiento. 

 

 

Efecto de la exposición en el incremento de área basal

 

 

El análisis de U de Mann-Whitney reveló diferencias significativas en el incremento de área basal entre exposiciones (p<0.001) para el periodo 1990-2021 (Figura 6). Los árboles de Pinus arizonica en la exposición noroeste presentaron un IAB medio significativamente mayor (224.7 mm2 año-1) en comparación con los árboles expuestos en la dirección noreste (143.9 mm2 año-1).

 

En el recuadro amarillo se muestra el periodo analizado de 1990-2021.

Figura 6. Comparación entre el incremento de área basal (IAB) de los árboles de Pinus arizonica Engelm.var. stormiae Martínez entre la exposición noreste (NE) y noroeste (NO).

 

La prueba de Kruskall-Wallis presentó diferencias significativas en el incremento de área basal entre los bloques temporales de crecimiento (p<0.001) (Figura 7). La prueba de comparación múltiple de Dunn indicó que el IAB en los periodos 2001-2011 (B2, 62.1 mm2 año-1) y 2012-2021 (B3, 56.9 mm2 año-1) no mostraron una diferencia significativa entre sí (p>0.05). Sin embargo, tanto B2 como B3 exhibieron diferencias significativas (p<0.05) en el IAB en comparación con el periodo 1990-2000 (B1, 51.2 mm2 año-1).

 

B1 = 1990-2000; B2 = 2001-2011; B3 = 2012-2021.

Figura 7. Comparación entre el incremento de área basal (IAB) de los árboles de Pinus arizonica Engelm.var. stormiae Martínez entre los bloques temporales de crecimiento.

 

Los años que registraron bajos IAA (Figura 3) coincidieron con bajos registros en el sitio del índice de sequía de Palmer (PDSI) (Stahle et al., 2016). Asimismo, concordaron con los registros más bajos del índice estandarizado de precipitación-evapotranspiración (SPEI) (Vicente-Serrano et al., 2010) y el análisis de superposición de épocas (Figura 8).

 

Figura 8. Resultados del análisis de superposición de épocas (SEA) que muestran la influencia significativa de los episodios de sequía en IAA de Pinus arizonica Engelm. var. stormiae Martínez.

 

 

Discusión

 

 

En el presente estudio se investigó la influencia de variables climáticas mensuales, como la temperatura y la precipitación, en el crecimiento radial de Pinus arizonica en una región semiárida de la Sierra Madre Oriental. También se evaluó si esta respuesta variaba en intervalos de 10 años. Para comprender la productividad forestal en exposiciones topográficas específicas (noreste y noroeste), se examinó el incremento de área basal (IAB). Estos análisis enriquecen la comprensión de la sensibilidad y adaptabilidad de Pinus arizonica var. stormiae a las condiciones climáticas.

La importancia de los hallazgos radica en su potencial para mejorar la comprensión de la ecología de Pinus arizonica, especialmente en el contexto de la mitigación de los efectos previstos del Cambio Climático y sus posibles implicaciones, como el aumento de la temperatura media global (IPCC, 2023).

 

 

Asociación clima-crecimiento radial

 

 

Se obtuvo una correlación significativa entre el índice de ancho de anillo (IAA) y las condiciones climáticas, específicamente la precipitación y la temperatura máxima. Un mayor crecimiento radial de la especie estuvo relacionado con mayores niveles de precipitación en diciembre previo a enero y abril del año de crecimiento, mientras que la temperatura máxima en esos mismos meses y febrero limitó el IAA(González-Cásares et al., 2017).

En la Sierra Madre Occidental se observó que Pinus arizonica fue altamente sensible a las variables climáticas, en particular a la temperatura máxima durante un periodo más amplio, que abarcó desde octubre previo hasta junio de crecimiento. Además se identificó que la temperatura mínima de abril tuvo un efecto limitante significativo en el crecimiento (González-Cásares et al., 2017). Esas diferencias en la sensibilidad se atribuyen tanto a las características específicas de la variedad estudiada como a las condiciones del sitio, que se caracteriza por ser un área seca durante todo el año (Harris et al., 2020).

Adicionalmente, se ha constatado que los índices de ancho de anillo de esta especie en el noroeste de México exhiben una estrecha conexión con los fenómenos circulatorios de gran escala como El Niño-Oscilación del Sur (ENSO), la oscilación del Pacífico Norte (NPO) y El Niño en la región 3.4 (González-Cásares et al., 2017).

Además, se detectaron diferencias en la respuesta del IAA a las variables climáticas en función de los bloques temporales. Durante el periodo 1990-2000, la precipitación de enero influyó significativamente en el crecimiento radial, mientras que en el periodo 2001-2011, fue la precipitación de junio la que tuvo un impacto significativo debido a la ocurrencia de huracanes y tormentas tropicales en esos años (NHC y CPH, 2023).

En cuanto a las temperaturas máximas, se registró una disminución significativa en el crecimiento radial de Pinus arizonica en los periodos 1990-2000 y 2001-2011 como respuesta a las temperaturas máximas de tres meses. Sin embargo, durante el último periodo de estudio (2012-2021), solo la temperatura máxima de agosto tuvo un efecto limitante en el IAA, lo cual indica que el aumento de la temperatura está afectando el crecimiento de la especie. Además, la temperatura mínima influyó significativamente solo el periodo 2001-2011, con una asociación negativa entre la temperatura mínima de enero y febrero y el IAA de Pinus arizonica. Dichas variaciones en la sensibilidad del crecimiento radial se relacionaron con cambios en las temperaturas locales a lo largo de los tres períodos (Harris et al., 2020).

 

 

Efecto de la exposición y bloques temporales en el IAB

 

 

El aumento del incremento de área basal (IAB) responde a la exposición topográfica; tal comportamiento está documentado en diversos estudios debido a la compleja interacción de factores como la radiación solar y el microclima que, en conjunto, generan diversos microhábitats (Vitali et al., 2017). Esos micrositios albergan condiciones que influyen en las diferencias del incremento de área basal de la especie. Elementos como la temperatura y la disponibilidad de agua y nutrientes (Lévesque et al., 2016) impactan en los indicadores dendrocronológicos. Aunque el género Pinus se puede desarrollar bien en sitios pobres y secos, es importante considerar la composición del suelo Regosol, pedregoso y con baja capacidad de almacenamiento de agua (Eilmann et al., 2013), condiciones que se acentúan con la variación topográfica.

Las diferentes exposiciones tienen como resultado condiciones específicas en espacios geográficos limitados. Aunque la altitud y pendiente no fueron abordadas en esta investigación, son variables topográficas que influyen en las relaciones clima-crecimiento radial (Pompa-García et al., 2017). En un estudio realizado en un bosque templado seco con presencia de coníferas, se documentó que la heterogeneidad y escasa vegetación en aumenta la temperatura del suelo, lo cual favorece una alta tasa de evapotranspiración (Breshears et al., 1998). Comparativamente, en el área de la región del ejido Río San José se puede observar la escasa vegetación y una alta heterogeneidad espacial de los individuos. Estos factores pueden conducir a variaciones en el crecimiento de los árboles y en el IAB a través de diferentes exposiciones topográficas dentro del área de estudio.

Se observó un aumento significativo en el IAB de los árboles de Pinus arizonica en los bloques temporales B2 y B3 en comparación con el periodo B1. Este aumento en el IAB podría relacionarse con cambios en las condiciones ambientales durante esos periodos. Lo anterior se refleja en las variables climáticas, especialmente durante el periodo 1990-2000, en el que se documentó una menor precipitación en contraste con los otros dos segmentos temporales. En esa década, se registró una precipitación media anual de 556 mm, es decir, 159 y 167 mm menos que los bloques B2 y B3, respectivamente. Además, fue el único periodo que presentó un mes de verano seco (Figura 7) (Harris et al., 2020).

 

 

Limitaciones y perspectivas

 

 

La distribución restringida de una especie vulnerable en una zona propensa a la sequía limitó la disponibilidad de árboles para el muestreo. En consecuencia, la poca cantidad de individuos analizados compromete la adecuada representación de la variabilidad intrínseca de la población. Ello implica que la escasa muestra podría no abarcar completamente la diversidad de respuestas individuales a las condiciones climáticas y topográficas. Adicionalmente, la capacidad para identificar patrones temporales y tendencias a lo largo de los bloques, posiblemente también se comprometa con un número reducido de árboles. Esto podría afectar la capacidad del estudio para detectar respuestas en el corto plazo a eventos climáticos o disturbios. Para fortalecer la robustez de futuros análisis, se recomienda ampliar la cantidad de árboles muestreados, así como considerar distintas exposiciones y evaluar otras variables ambientales que influyan en el crecimiento de la especie, como los índices de sequía. No obstante, es importante destacar que, a pesar de las limitaciones en la cantidad de árboles muestreados, la investigación aporta significativamente al conocimiento general de la especie.

 

 

Conclusiones

 

 

Se confirma la premisa del impacto significativo de las condiciones climáticas y de la exposición sobre el índice de ancho de anillo y el incremento de área basal, respectivamente. Se evidencia una diferencia en el incremento de área basal entre ventanas temporales. El crecimiento de Pinus arizonica presenta diferencias en respuesta a la variación climática a lo largo de tres décadas, lo cual permite discernir como responde el incremento del área basal ante las cambiantes condiciones de temperatura y precipitación. Estos hallazgos consolidan la importancia de considerar la topografía cuando se evalúen las dinámicas de crecimiento en el contexto del Cambio Climático.

El empleo de estas técnicas dendrocronológicas es fundamental para comprender el comportamiento de la especie frente a condiciones climáticas cambiantes y, por lo tanto, ofrecer información valiosa para la gestión forestal y la evaluación de los recursos forestales en el área de estudio. Se sugiere explorar la aplicabilidad de este enfoque en diferentes regiones geográficas y con diversas especies arbóreas para mejorar la comprensión de la respuesta de los indicadores dendrocronológicos ante las influencias del clima y la topografía en un entorno árido. Además, este estudio enriquece el conocimiento sobre la ecología de Pinus arizonica en relación con la exposición topográfica y las condiciones climáticas; ambos factores deben considerarse en las estrategias de manejo de las especies forestales, especialmente, en el contexto de la adaptación de los efectos del cambio climático.

 

Agradecimientos

 

Los autores agradecen a Azeneth García por su apoyo en la recolecta y extracción de los núcleos de incremento en campo, así como en la medición de los anillos en el Laboratorio de Dendrocronología de la Facultad de Ciencias Forestales de la Universidad Autónoma de Nuevo León. Marcos González Cásares agradece a Conahcyt por la beca otorgada por el programa Estancias Posdoctorales por México 2022.

 

Conflicto de intereses

 

Los autores declaran no tener conflicto de intereses.

 

Contribución por autor

 

Marco Aurelio González-Tagle: concepción y diseño del experimento, procuración de fondos y desarrollo del manuscrito; Marcos González-Cásares: realización del análisis de datos y desarrollo del manuscrito; Wibke Himmelsbach: revisión del manuscrito y colecta de campo; Homero Alejandro Gárate-Escamilla: revisión del manuscrito.

 

 

Referencias

Acosta-Hernández, A. C., M. Pompa-García and J. J. Camarero. 2017. An updated review of dendrochronological investigations in Mexico, a megadiverse country with a high potential for Tree-Ring Sciences. Forests 8(5):160. Doi: 10.3390/f8050160.

Allen, C. D., A. K. Macalady, H. Chenchouni, D. Bachelet, … and N. Cobb. 2010. A global overview of drought and heat-induced tree mortality reveals emerging climate change risks for forests. Forest Ecology and Management 259(4):660-684. Doi: 10.1016/j.foreco.2009.09.001.

Breshears, D. D., J. W. Nyhan, C. E. Heil and B. P. Wilcox. 1998. Effects of woody plants on microclimate in a semiarid woodland: Soil temperature and evaporation in canopy and intercanopy patches. International Journal of Plant Sciences 159(6):1010-1017. Doi: 10.1086/314083.

Bunn, A. G. 2008. A dendrochronology program library in R (dplR). Dendrochronologia 26(2):115-124. Doi: 10.1016/j.dendro.2008.01.002.

Cook, E. R. and R. L. Holmes. 1986. Appendix 2: Users manual for program ARSTAN. In: Holmes, R. L., R. K. Adams and H. C. Fritts. Tree-ring chronologies of western North America: California, eastern Oregon and northern Great Basin with procedures used in the chronology development work including users manuals for computer programs COFECHA and ARSTAN. Laboratory of Tree-Ring Research, University of Arizona. Tucson, AZ, United States of America. pp. 50-65.

Diao, Y., S. Zhang, Y. Liu, G. Jin, S. Tian and Y. Liu. 2023. Effects of topography on radial growth of tree species with different mycorrhizal types. Forests 14(3):546. Doi: 10.3390/f14030546.

Eilmann, B., M. Dobbertin and A. Rigling. 2013. Growth response of Scots pine with different crown transparency status to drought release. Annals of Forest Science 70:685-693. Doi: 10.1007/s13595-013-0310-z.

Farjon, A., J. A. Pérez de la Rosa and B. T. Styles. 1997. A field guide to the pines of Mexico and Central America. Royal Botanic Gardens. Richmond, LDN, England. 147 p.

Fritts, H. C. 2001. Tree rings and climate. Blackburn Press. Caldwell, NJ, United States of America. 567 p.

González-Cásares, M., M. Pompa-García and J. J. Camarero. 2017. Differences in climate-growth relationship indicate diverse drought tolerances among five pine species coexisting in Northwestern Mexico. Trees 31:531-544. Doi: 10.1007/s00468-016-1488-0.

González-Tagle, M. A., J. Cerano-Paredes, W. Himmelsbach, E. Alanís-Rodríguez and Á. A. Colazo-Ayala. 2023. Fire records based on dendrochronological techniques for a coniferous forest in the southeastern region of Jalisco, Mexico. Revista Chapingo Serie Ciencias Forestales y del Ambiente 29(1):35-50. Doi: 10.5154/r.rchscfa.2022.03.018.

Grissino-Mayer, H. D. 2001. Evaluating crossdating accuracy: A manual and tutorial for the computer program COFECHA. Tree-Ring Research 57(2):205-221. https://www.ltrr.arizona.edu/~ellisqm/outgoing/dendroecology2014/readings/Grissino_mayer_COFECHA_2001.pdf. (20 de septiembre de 2023).

Harris, I., T. J. Osborn, P. Jones and D. Lister. 2020. Version 4 of the CRU TS monthly high-resolution gridded multivariate climate dataset. Scientific Data 7:1-18. Doi: 10.1038/s41597-020-0453-3.

Hood, S. M., D. R. Cluck, B. E. Jones and S. Pinnell. 2018. Radial and stand-level thinning treatments: 15-year growth response of legacy ponderosa and Jeffrey pine trees. Restoration Ecology 26(5):813-819. Doi: 10.1111/rec.12638.

Intergovernmental Panel on Climate Change (IPCC). 2023. Climate Change 2023: Synthesis Report, Contribution of Working Groups I, II and III to the Sixth Assessment Report of the Intergovernmental Panel on Climate Change. IPCC, World Meteorological Organization (WMO) and United Nations Environment Programme (UNEP). Geneva, GE, Switzerland. 184 p.

Lévesque, M., L. Walthert and P. Weber. 2016. Soil nutrients influence growth response of temperate tree species to drought. Journal of Ecology 104(2):377-387. Doi: 10.1111/1365-2745.12519.

National Hurricane Center (NHC) and Central Pacific Hurricane Center (CPHC). 2023. NHC Data Archive, Tropical Cyclone Reports (TCRs). National Oceanic and Atmospheric Administration (NOOA). https://www.nhc.noaa.gov/data/#tcr. (20 de septiembre de 2023).

Patil, I. 2021. statsExpressions: R Package for Tidy Dataframes and Expressions with Statistical Details. Journal of Open Source Software 6(61):3236. Doi: 10.21105/joss.03236.

Pompa-García, M., M. González-Cásares, A. C. Acosta-Hernández, J. J. Camarero and M. Rodríguez-Catón. 2017. Drought influence over radial growth of Mexican conifers inhabiting mesic and xeric sites. Forests 8(5):175. Doi: 10.3390/f8050175.

Pyatt, J. C., D. F. Tomback, S. C. Blakeslee, M. B. Wunder, … and H. D. Bevency. 2016. The importance of conifers for facilitation at treeline: Comparing biophysical characteristics of leeward microsites in Whitebark Pine Communities. Arctic, Antarctic, and Alpine Research 48(2):427-444. Doi: 10.1657/AAAR0015-055.

R Core Team. 2021. R: A language and environment for statistical computing (version 4.0.3). Vienna, W, Austria. R Foundation for Statistical Computing.

Resler, L. M., D. R. Butler and G. P. Malanson. 2005. Topographic shelter and conifer establishment and mortality in an alpine environment, Glacier National Park, Montana. Physical Geography 26(2):112-125. Doi: 10.2747/0272-3646.26.2.112.

Rubio-Cuadrado, Á., C. Gómez, J. Rodríguez-Calcerrada, R. Perea, … and L. Gil. 2021. Differential response of oak and beech to late frost damage: an integrated analysis from organ to forest. Agricultural and Forest Meteorology 297:108243. Doi: 10.1016/j.agrformet.2020.108243.

Schad, P. 2023. World Reference Base for Soil Resources-Its fourth edition and its history. Journal of Plant Nutrition and Soil Science 186(2):151-163. Doi: 10.1002/jpln.202200417.

Stahle, D. W., E. R. Cook, D. J. Burnette, J. Villanueva, … and I. M. Howard. 2016. The Mexican drought atlas: Tree-ring reconstructions of the soil moisture balance during the late pre-Hispanic, colonial, and modern eras. Quaternary Science Reviews 149:34-60. Doi: 10.1016/j.quascirev.2016.06.018.

Sundqvist, M. K., N. J. Sanders and D. A. Wardle. 2013. Community and ecosystem responses to elevational gradients: Processes, mechanisms, and insights for global change. Annual Review of Ecology, Evolution, and Systematics 44:261-280. Doi: 10.1146/annurev-ecolsys-110512-135750.

Urrutia-Jalabert, R., J. Barichivich, V. Rozas, A. Lara, … and E. Cuq. 2021. Climate response and drought resilience of Nothofagus obliqua secondary forests across a latitudinal gradient in south-central Chile. Forest Ecology and Management 485:118962. Doi: 10.1016/j.foreco.2021.118962.

Vicente-Serrano, S. M., S. Beguería and J. I. López-Moreno. 2010. A multiscalar drought index sensitive to global warming: the Standardized Precipitation Evapotranspiration Index. Journal of Climate 23(7):1696-1718. Doi: 10.1175/2009JCLI2909.1.

Vitali, A., J. J. Camarero, M. Garbarino, A. Piermattei and C. Urbinati. 2017. Deconstructing human-shaped treelines: Microsite topography and distance to seed source control Pinus nigra colonization of treeless areas in the Italian Apennines. Forest Ecology and Management 406:37-45. Doi: 10.1016/j.foreco.2017.10.004.

VoorTech Consoulting. 2021. The tree ring measuring program project J2X. (V5.03). Holderness, NH, United States of America. VoorTech. http://www.voortech.com/projectj2x/. (22 de septiembre de 2023).

 

 

 

        

Todos los textos publicados por la Revista Mexicana de Ciencias Forestales sin excepción– se distribuyen amparados bajo la licencia Creative Commons 4.0 Atribución-No Comercial (CC BY-NC 4.0 Internacional), que permite a terceros utilizar lo publicado siempre que mencionen la autoría del trabajo y a la primera publicación en esta revista.