Revista Mexicana de Ciencias Forestales Vol. 15 (83)

Mayo - Junio (2024)

Logotipo, nombre de la empresa

Descripción generada automáticamente

DOI: https://doi.org/10.29298/rmcf.v15i83.1433

Research article

Estructura y caracterización de rodales de Pinus hartwegii Lindl. en el Parque Nacional Pico de Orizaba

Structure and characterization of Pinus hartwegii Lindl. stands in Pico de Orizaba National Park

Bernabé Colohua-Citláhua1, Armando Gómez-Guerrero1*, Arian Correa-Díaz2, J. Jesús Vargas Hernández1

 

Fecha de recepción/Reception date: 4 de septiembre de 2023.

Fecha de aceptación/Acceptance date: 30 de enero de 2024.

_______________________________

1Posgrado en Ciencias Forestales, Colegio de Postgraduados, Campus Montecillo. México.

2Centro Nacional de Investigación Disciplinaria en Conservación y Mejoramiento de Ecosistemas Forestales, INIFAP. México.

 

*Autor para correspondencia; correo-e: agomezg@colpos.mx

*Corresponding author; e-mail: agomezg@colpos.mx

 

Abstract

Pico de Orizaba is a natural protected area with Pinus hartwegii forests subjected to natural and anthropogenic pressures. The objective of this study was to compare the mensuation parameters of eight stands with four exposures (N, S, E, and W) at two different altitudes (3 700 and 3 900 m). Areas with representative coverage were located and three sites of fixed dimensions of 1 000 m2 were established for each exposure-altitude combination. The collected information was complemented with images from an unmanned aerial vehicle (UAV). The highest tree density (593 trees ha-1) was obtained in the E-3 700 combination, and the lowest, in the W-3 900 area (113 trees ha-1). The extremes of minimum (11.9 m2 ha-1) and maximum (35.2 m2 ha-1) basimetric area corresponded to combinations S-3 900 and E-3 700, respectively. The basimetric area and volume decreased with the altitude. The horizontal structure showed a greater number of individuals in low diameter categories (10-40 cm), and the vertical structure in the 25 to 30 m height categories. The Kruskal-Wallis test showed significant differences between the eight combinations for the diameter (DN), total height (TA) and volume (VOL) variables. The most notable reduction was on the southern exposure, as the altitude increased from 3 700 to 3 900 m, indicating that the S-3 900 combination is less favorable for tree growth. The exposure-elevation combinations with superior mensuration parameters and more growth potential were N-3 700, E-3 700, S-3 700, and W-3 900.

Key words: Diametric distribution, stand structure, Pico de Orizaba National Park, Pinus hartwegii Lindl., topography, UAV.

Resumen

El Pico de Orizaba es un área natural protegida en la que destacan bosques de Pinus hartwegii sometidos a presiones naturales y antrópicas. El objetivo del presente estudio fue comparar los parámetros dasométricos de ocho rodales con cuatro exposiciones (N, S, E y O) y dos altitudes (3 700 y 3 900 m). Se ubicaron áreas con cobertura representativa y se establecieron tres sitios de dimensiones fijas de 1 000 m2 por cada combinación de exposición-altitud. La obtención de información se complementó con imágenes de un vehículo aéreo no tripulado (VANT). Se obtuvo mayor densidad de arbolado (593 árboles ha-1) en la combinación E-3 700 y la mínima en la zona O-3 900 (113 árboles ha-1). Los extremos de área basal mínima (11.9 m2 ha-1) y máxima (35.2 m2 ha-1) correspondieron a las combinaciones S-3 900 y E-3 700, respectivamente. El área basal y volumen disminuyeron con la altitud. La estructura horizontal mostró mayor número de individuos en categorías diamétricas bajas (10-40 cm) y la estructura vertical en las de 25 a 30 m de altura. La prueba de Kruskal-Wallis evidenció diferencias significativas entre las ocho combinaciones para las variables diámetro (DN), altura total (AT) y volumen (VOL), cuya reducción más notable fue sobre la exposición sur al incrementar la altitud de 3 700 a 3 900 m, lo que indica que la combinación S-3 900 es menos favorable para el crecimiento del arbolado. Las combinaciones exposición-altitud con parámetros dasométricos superiores y más potencial de crecimiento fueron N-3 700, E-3 700, S-3 700 y O-3 900.

Palabras clave: Distribución diamétrica, estructura de rodales, Parque Nacional Pico de Orizaba, Pinus hartwegii Lindl., topografía, VANT.

 

 

Introduction

 

 

Forests are complex and dynamic ecosystems that provide ecosystemic services with multiple tangible and intangible goods (Hernández et al., 2021). According to official figures, which include xerophilous scrubland, forest areas in Mexico cover 70.6 % of the territory, and the wooded area of forests corresponds to 25.1 % (Conafor, 2020). Within the coniferous forest, the high altitude forest (above 3 500 m altitude) is represented mainly by Pinus hartwegii Lindl., with an important distribution along the Transversal Volcanic Belt of central Mexico (Farjon and Filer, 2013).

The predicted global temperature increase of 1.5 °C (Allen et al., 2019) will have diverse effects on the forest areas and their spatial distribution (Alfaro-Ramírez et al., 2020). However, the Pinus hartwegii forest will face special circumstances given that there is insufficient soil depth towards the upper limits of its distribution (Gómez-Guerrero et al., 2021). Although some authors have cited evidence of forest migration from high to even higher altitudes (Astudillo-Sánchez et al., 2017), it is unknown whether the adaptation of P. hartwegii to these areas will be successful, due to other physiological consequences related to changes in water use efficiency and risks of hydraulic deficiency, exacerbated by drought and low water reserves in thin coarse-textured soils (Correa-Díaz et al., 2020; Gómez-Guerrero et al., 2021; Correa-Díaz et al., 2023).

Knowledge of the current state of the forests allows a diagnosis of forest health to propose actions for use, management and conservation. Likewise, if their structure and composition are known, it is possible to deduce indicators of productivity (Návar-Cháidez and González-Elizondo, 2009) and functionality (Fischer et al., 2019; Manzanilla-Quiñones et al., 2019).

The Pico de Orizaba National Park (PONP) is one of the protected natural areas (PNA) of Mexico (Conanp, 2023), with monoespecific forest of Pinus hartwegii (Narave y Taylor, 1997). Like other natural areas, Pico de Orizaba National Park (PONP) is subject to various natural and anthropogenic pressures, such as illegal logging, forest fires, grazing and disorderly tourism (Semarnat, 2015; Carreto et al., 2018). These factors modify the structure and composition of the forest, and the condition of stands located at different altitudes and aspects is so far unknown. In fact, in some cases, the study of the structure of this forest has evidenced the lack of management (Buendía-Rodríguez et al., 2018). Research on forest structure is important to propose future conservation strategies that take into account its current situation and its potential behavior under a scenario of global climate change.

Generally, the structure and composition of forest stands are studied based on forest inventories. However, given technological advances, the use of Unmanned Aerial Vehicles (UAVs), which complement the inventory information with high resolution images, that provide information on the spatial distribution of the forest, has been a key factor in the development of the forest. UAVs have gained relevance in the characterization of forested areas due to their advantages in the generation of high-resolution images and 3D models (Núñez et al., 2022). Predictably, its use will not be limited to the rapid acquisition of spatial information on forest structure; its utilization in forestry practices such as direct sowing by seed and the timely application of fertilizer and pesticides is an important step (Dainelli et al., 2021). Although the costs of this technology are currently high, it is very likely that in time it will become economically accessible and will help in the development of very detailed studies of forest structure and in certain forestry practices.

The objective of this study was to characterize the Pinus hartwegii forests of the Pico de Orizaba volcano by means of mensuration data through the establishment of sites with fixed dimensions and graphic information obtained from UAVs, considering four aspects (N, S, E, and W) and two altitudes (3 700 and 3 900 m). The general hypothesis of the study was that in the PNPO there are no significant differences between the mensuration parameters of the forest and the different combinations of asppect and altitude.

 

 

Materials and Methods

 

 

The study area was located on the Pico de Orizaba, which, reaching an altitude of 5 636 m, is the highest mountain in Mexico (Semarnat, 2015). It is located at the coordinates UTM Zone 14Q 680000 X, 2105000 Y (Figure 1), and is part of the Trans-Mexican volcanic belt (Sánchez-González et al., 2005). Its mean annual precipitation varies from 800 to 1 300 mm according to altitude (Sieron et al., 2021). Its soil types are mainly Andosols and Regosols (INEGI, 2014). The vegetation is represented by monospecific P. hartwegii forest, with an undergrowth consisting mainly of Muhlenbergia quadridentata (Kunth) Trin., M. macroura (Kunth) Hitchc., Festuca hephaestophila (Nees) Nees, Lupinus montanus Kunth and Alchemilla procumbens Rose (Obieta and Sarukhán, 1981).

 

Puebla = Puebla State; Veracruz de Ignacio de la Llave = Veracruz de Ignacio de la Llave State; N = North; E = East; S = South; O = West.

Figure 1 . Location of the study areas and sites in Pico de Orizaba.

 

Eight observation areas were selected considering two altitudes (3 700 and 3 900 m) and four aspects (north, south, east, and west). The areas were identified according to their combination of aspect and altitude. Three sites of fixed dimensions (1 000 m2) were established in each area (Figure 1). For abbreviation purposes, in the rest of the paper the combinations are described by the initial letter of the aspect followed by the altitude. For example, N-3 700, indicates the site with northern aspect located at 3 700 m.

 

 

Data collection in the field

 

 

In the 1 000 m2 sites, the altitude, slope (%) and the coordinates (UTM) were estimated using a eTrex20 Garmin® GPS and a 360 PC Suunto® clinometer. The value of the slope was used to carry out the compensation of the terrain. Diameters and heights of Pinus hartwegii trees were measured from 5 cm onwards, using a 283D/5M Forestry Suppliers® diameter tape and the clinometer described above. The age of a sample of eight dominant or co-dominant trees was determined using a Haglöf® Pressler drill with an internal diameter of 5.15 mm to determine the age of the mature trees.

The volume was estimated with Equation 4051 (total volume of the Pinus hartwegii trees with bark) of the digital library of the biometric system for the planning of sustainable forest management of ecosystems with timber potential in Mexico (Sibifor, 2022). The basimetric area, volume, and number of individuals were expressed in units per hectare.

A photogrammetric survey was carried out in each observation area using a UAV (MAVIC 2 ENTERPRISE DUAL® RGB visual camera); an area of around 15 ha was covered. The photogrammetric processing was performed with the Agisoft Metashape Professional 1.8.0 software (Semyonov, 2021). The flight took place at a height of 120 m, with a frontal and a lateral overlap of 80 and 70 %, respectively, and in a direction aligned with the slope. The pixel size was 0.052 m, with an average point density of 34.4 m2. The results were exported to the Global Mapper software, version 19.0.0 (Blue Marble Geographics, 2017), where a 300 m long and 15 m wide geometric distance line, estimated based on the horizontal distance and the altitude difference, was plotted on the slope to observe the vertical structure of the stand in a graphic form.

As a PNA, the study area is not exempt from external anthropogenic influences. However, during the sampling phase, care was taken to avoid stands with obvious external disturbance. Also, it is difficult to find stands with similar age and mensuration parameters in different altitude-aspect combinations. However, in terms of site occupancy, according to previous research (Zepeda and Villarreal, 1987), most of the studied stands belong to the sufficient density category, i. e., they are not in extreme competition between trees, nor do they grossly underutilize the productive potential of the land. In addition, by age, the stands have exceeded the peak of current annual increment (maximum productivity per unit of time) which, according to the data, occurs between 50 and 60 years of age.

 

 

Statistical analysis

 

 

The normal distribution of the data was tested by analysis of variance according to the factors of altitude and aspect. However, the normality criterion was not met; therefore, nonparametric tests including the Kruskal-Wallis test (Kruskal and Wallis, 1952) and pairwise comparison with the Mann-Whitney test with Bonferroni adjustment (Dunn, 1961) were used to test for differences among the eight altitude-aspect combinations. The analysis was performed with the R Studio software (R Core Team, 2018).

 

 

Results and Discussion

 

 

The highest density (593 trees ha-1) was recorded in the E-3 700 combination, followed by S-3 900 (343 trees ha-1), while the lowest number of trees per hectare was obtained at both altitudes (3 700 and 3 900 m) with the western aspect, the number of trees per hectare ranging between 140 and 113. This may be related to anthropogenic factors, such as the extraction of larger trees leaving young trees in the stand (Table 1). Notably, there is a relatively high number of individuals (on average 258 ha-1) in the southern aspect, as for the northern hemisphere this is related to drier conditions (Schlesinger and Bernhardt, 2020); however, the trees were smaller in diameter and height, compared to other combinations. It is also important to mention that the age of the trees at site S-3 900 is approximately 50 % of the age of the rest of the sites; this fact may partially account for this result in terms of tree size and presence of regeneration.

 

Table 1 . Mensuration summary of Pinus hartwegii Lindl. populations in the study area.

Area

N

ND

BA

AH

VOL

Age

E-3 700

593

±83

25.9

±9.4

35.22

±2.41

21.6

±4.7

446.08

±21.96

99

±48

E-3 900

273

±41

26.4

±15.0

19.79

±4.50

9.3

±4.4

118.12

±26.55

106

±45

N-3 700

173

±20

42.2

±14.3

26.98

±2.07

24.1

±6.3

369.25

±37.57

129

±43

N-3 900

167

±21

44.9

±14.9

29.25

±0.38

18.5

±4.8

287.27

±12.47

105

±16

W-3 700

140

±8

35.2

±19.8

17.83

±3.39

20.2

±10.9

257.04

±52.61

104

±29

W-3 900

113

±13

55.9

±17.8

30.53

±3.83

24.9

±3.6

383.24

±46.79

99

±15

S-3 700

273

±53

32.1

±21.1

31.57

±3.76

15.9

±10.7

390.14

±85.03

70

±30

S-3 900

343

±35

18.5

±9.9

11.85

±1.50

6.5

±3.0

54.96

±11.21

50

±43

The abbreviation in the Area column corresponds to the aspect (north, south, east, and west) and the altitude (m). N = Number of trees per hectare; ND = Average normal diameter expressed in cm; BA = Basimetric area expressed in m2 per hectare; AH = Average height in meters; VOL = Total volume per hectare in m3; Age = Average age. ± Represents the standard deviation.

 

The largest mean diameter (ND) was observed in the combination W-3 900, and the smallest in S-3 700, with values of 55.9 and 18.5 cm, respectively. Larger diameters were expected to be obtained at a site at the altitude of 3 700 m, given that P. hartwegii faces growth limitations at higher altitudes above sea level due to the prevailing soil conditions and low temperatures (Alfaro-Ramírez et al., 2017).

Correa-Díaz et al. (2019) point out that, compared to the altitude of 3 900 m, trees located at 3 500 m grow between 30 % more in the basimetric area with a southern aspect, and 50 % more with a northern aspect. In PNPO, the above result suggests that sites with less access may have maintained larger trees; while sites located at lower altitudes, with easier access, may be under more pressure from external factors that are determining the current structure of the studied forest. This is related to the fact that exclusion sites in natural protected areas may have larger tree stands (Buendía-Rodríguez et al., 2018); in addition, they accumulate more biomass and fuel above the forest floor (Castañeda et al., 2015).

The highest basimetric area (BA) per hectare was obtained in the E-3 700 combination (35.2 m2), and the lowest in S-3 900 (11.8 m2); the maximum record for total height (TA) was 24.9 m in the W-3 900 area, and the lowest (6.5 m), in area S-3 900. Finally, the highest volume per hectare was estimated in the combination E-3 700 (446.08 m3), and the lowest, with 54.96 m3 in S-3 900 (Table 1).

The number of trees per hectare and their dimensions tend to decrease with altitude (Alfaro-Ramírez et al., 2017), consistently with the results of the basimetric area per hectare. As for the aspect, the highest values were observed in the eastern and southern areas at 3 700 m (593 and 273 trees ha-1, respectively). The expectation was that the highest mensuration parameters would occur in the northern aspects, as they are more humid and have lower temperature extremes (Cavieres and Piper, 2004). However, some studies have shown a high temperature variation in high mountain forests, with values of up to 40 °C (-4.8 °C to 35 °C) in northern aspects at 3 900 m (Correa-Díaz et al., 2021).

However, the fact that P. hartwegii is a shade-intolerant species indicates that it grows well in aspects to high solar radiation and, in this case, within the study area soil moisture is probably not a limiting factor in sites located to the south, as long as the altitude is 3 700 m. Rojas-García et al. (2022) observed that, if the site conditions are appropriate, P. hartwegii responds favorably to clear-cutting at 3 880 m, even in contrasting aspects like east and west.

Also, it is important to highlight that the southern combination with an altitude of 3 900 m presented the lowest mensuration parameters; which indicates that the structure of these stands could be explained by soil depth and water supply conditions, as suggested by other authors (Correa-Díaz et al., 2019). According to Morgado-González et al. (2019), in the S-3 900 combination, P. hartwegii rings were smaller in width than in other aspect-altitude combinations, especially after the trees reached 30 years of age.

 

 

Horizontal and vertical structure

 

 

The diameter categories contained more individuals in the lower classes (10-40 cm), where 74 % of all observations took place; the remaining percentage was allotted to the higher categories, of up to 115 cm (Figure 2A). Among these, the largest number of individuals was registered in the 25 cm category (22.5 to 27.5 cm) with 14.0 %, followed by the 30 cm category with 11.6 %. Starting from the first ND class susceptible to being inventoried (ND=10 cm), the distribution of the structure had a negative exponential tendency, typical of an irregular forest.

 

A = Diameter categories with 5 cm intervals; B =Height categories with 5 m intervals.

Figure 2. Diameter categories and height categories.

 

Vertically, the highest proportion of individuals was obtained in the 25 to 30 m height class, followed by the 5 to 10 m class; while the lowest values were for the 30 to 35 m category (Figure 2B). This height distribution coincides with other research on P. hartwegii conducted at the Pico de Orizaba National Park, in which mean tree heights stabilize at 30 m once they reach the 40 or 50 cm diameter category (Buendía-Rodríguez et al., 2018). On the other hand, the higher frequency in categories of 5-10 m and 25-30 m indicates the presence of at least two height strata in the forest, although a lower stratum of 0 to 5 m is also defined, consistently with other studies that register in this forest three vertical floors, with the lowest layer defined as 3 to 4 m (Castañeda et al., 2015).

 

 

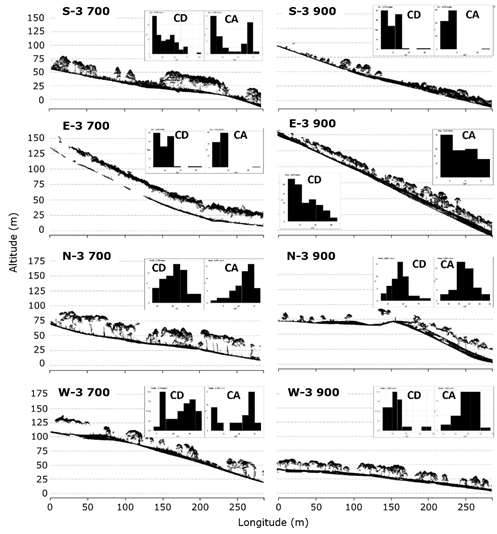
Relationship of the structure to the UAV analysis

 

 

Figure 3 shows the 3D models for the different aspect-altitude combinations, and Figure 4 depicts the UAV profiles. At an altitude of 3 900 m, most of the individuals were located within the lower values of the diameter (DC) and altitude categories (AC), with a higher composition of young trees and grasses. This contrasts with what was observed at 3 700 m, where there is a large amount of regrowth and grasslands, but it is balanced with the presence of taller trees (25-30 m).

 

Abbreviations correspond to aspect (north, south, east, or west) and altitude (m).

Figure 3. 3D models for the different aspects (N, E, S, and W) and altitudes (3 700 and 3 900 m) in the study area.

 

CD = Frequency of diametric categories grouped from left to right (smallest to largest); CA = Frequency of height categories from left to right (highest to lowest). The abbreviations in the figure correspond to the aspect (north, south, east, and west) and altitude (m).

Figure 4. Terrain profiles. Vertical and horizontal scales in meters. For comparison purposes, the lowest altitude was assigned a value of zero.

 

The highest number of new shoots per hectare was registered in the N-3 700 combination (183 trees ha-1), followed by S-3 700 (133 trees ha-1). Based on the profiles, this is reflected in the presence of adult trees and openings in the canopy that defines an area of the forest floor located directly under the open surface of the canopy, produced by the falling of trees or by disturbances that reduce their dominance and favor natural regeneration (Runkle, 1992).

In the N-3 700 area, the maximum number of stumps was determined per 1 000 m2, corresponding to an average of 60 trees ha-1. However, it is also noteworthy that the area with the northern aspect at a low altitude of 3 700 m exhibited the best growth conditions for the trees because this altitude is closer to the optimum growth of the species; also, areas with a northern aspect tend to be more humid and, therefore, their soils are deeper (Marín et al., 2002). This suggests that the greater presence of regrowth is due to more favorable environmental conditions for seed production and regeneration establishment.

The forest profiles (Figure 3) also corroborate the stand structure (Table 1); a higher tree density is observed in areas N-3 700 and E-3 700, evidenced by a greater crown continuity. Although there is crown continuity in E-3 900, the heights are lower.

On the other hand, the lowest number of new shoots was observed in W-3 700, W-3 900, N-3 900, and E-3 700. Although openings in the canopy and trees of different diameter categories can be found in the western area, there are signs of recent forest fires, which are probably related to the scarce regeneration. In the eastern area (3 700), there is a high density of trees and less light under the canopy, which could contribute to a reduction in regeneration.

 

 

Mean comparison analysis

 

 

Compared to S-3 700, zones E-3 700, E-3 900, and W-3 700 did not show significant differences in diameter distribution, except for area E-3 900, all of which corresponded to an altitude of 3 700 m. Area N-3 700 was not statistically different from areas N-3 900 and W-3 700 (Table 2). When comparisons were made by aspect for diameter, height, and volume, the probability matrix indicated that only the northern and western aspects were similar (p=0.470), and therefore, similar tree structures were found in these aspects.

 

Table 2. Comparison of normal diameter means by areas with Mann-Whitney pairwise test with Bonferroni adjustment.

Area

S-3 700

S-3 900

E-3 700

E-3 900

N-3 700

N-3 900

W-3 700

S-3 900

0.021*

 

 

 

 

 

 

E-3 700

1.000

0.000***

 

 

 

 

E-3 900

1.000

0.012*

1.000

 

 

 

 

N-3 700

0.008**

0.000***

0.000***

0.000***

 

 

 

N-3 900

0.001***

0.000***

0.000***

0.000***

1.000

 

W-3 700

1.000

0.000***

0.224

0.909

1.000

1.000

 

W-3 900

0.000***

0.000***

0.000***

0.000***

0.012*

0.064

0.005**

***Values with an alpha below or equal to 0.001; **Values with an alpha below or equal to 0.01; *Values with an alpha below or equal to 0.05. Abbreviations correspond to aspect (north, south, east, and west) and altitude (m).

 

In the case of the TA, a consistent difference was obtained for the areas located at the altitude of 3 900 m (S, E, and N), except for the western area, where heights above 20 m were observed. At the altitude of 3 700 m, heights were consistent and homogeneous.

The Kruskal-Wallis test showed differences in at least one group (p<0.001), and the Mann-Whitney test indicated that the S-3 700 area was statistically similar to areas E-3 900 and N-3 900 (Table 3). This is because there is a broader range of height categories at site S-3 700. The research by Silva-García et al. (2022) has proven that the combination of altitude and aspect determines different structural profiles of the forest, although it is a study on pine-oak forests, and its results contrast with those documented herein, where the authors registered a higher tree density at higher altitudes regardless of whether the aspect was N or S.

 

Table 3. Comparison of total height means by areas, using the Mann-Whitney pairwise test with Bonferroni adjustment.

Area

S-3 700

S-3 900

E-3 700

E-3 900

N-3 700

N-3 900

W-3 700

S-3 900

0.00***

NA

 

 

 

 

 

E-3 700

0.018*

0.000***

 

 

 

 

 

E-3 900

1.000

0.002**

0.000***

 

 

 

 

N-3 700

0.001***

0.000***

0.007**

0.000***

 

 

 

N-3 900

1.000

0.000***

0.001***

0.000***

0.000***

 

 

W-3 700

0.546

0.000***

1.000

0.000***

1.000

0.898

 

W-3 900

0.011*

0.000***

0.001***

0.000***

1.000

0.00***

1.000

***Values with an alpha below or equal to 0.001; **Values with an alpha below or equal to 0.01; *Values with an alpha below or equal to 0.05. Abbreviations correspond to aspect (north, south, east, and west) and altitude (m).

 

The S-3 900 zone showed significant differences with respect to all the other areas, and the same was observed for E-3 900. The E-3 700 combination was statistically similar to W-3 700, as was N-3 700, which also was statistically similar to the W-3 900 combination. There were also no differences between the two areas of the western aspect; although in the first (W-3 700) there were trees of lesser height, but the standard deviation was greater (Table 3).

Statistical analysis indicated that at least one of the four aspects was different in TA (p<0.001); only there was no significant difference between the northern and western aspects. This is consistent with that reported by other authors for P. hartwegii (Buendía-Rodríguez et al., 2018; Chávez-Aguilar et al., 2022).

In the case of the volume analysis, S-3 700 was statistically similar at the two altitudes of the area with the eastern aspect, and so were areas N-3 900 and W-3 700. However, S-3 900 was statistically different from all other areas (Table 4), with a very similar tendency to that shown by the comparison for ND and TA. This highlights the difference in growth in the area with the southern aspect at 3 900 m, which was the one with the lowest average volume (54.96 m3 ha-1) for TA (6.5 m), BA (11.8 m2 ha-1), and ND (18.5 cm). The combinations S-3 700 and S-3 900 were statistically different (p<0.05) as was the area with eastern aspect (p<0.001), unlike the northern and western aspects, where the combinations were statistically similar (Table 4).

 

Table 4. Comparison of volume means by areas, using the Mann-Whitney pairwise test with the Bonferroni adjustment.

Area

S-3 700

S-3 900

E-3 700

E-3 900

N-3 700

N-3 900

W-3 700

S-3 900

0.009**

 

 

 

 

 

E-3 700

1.000

0.000***

 

 

 

 

 

E-3 900

1.000

0.005**

0.000***

 

 

 

 

N-3 700

0.001***

0.000***

0.000***

0.000***

 

 

 

N-3 900

0.081

0.000***

0.000***

0.000***

1.000

 

 

W-3 700

1.000

0.000***

0.621

0.012**

1.000

1.000

 

W-3 900

0.000***

0.000***

0.000***

0.000***

0.166

0.000***

0.079

***Values with an alpha below or equal to 0.001; **Values with an alpha below or equal to 0.01; *Values with an alpha below or equal to 0.05. The abbreviations indicate the aspect (north, south, east, and west) and the altitude (m).

 

For the altitude of 3 700 m, the combinations E-3 700 and W-3 700 were statistically similar, the same occurred between the combinations W-3 700 and S-3 700, as well as in N-3 700 and W-3 700, three of the six possible combinations were similar. In the same sense, no combination at the altitude of 3 900 m was statistically similar (Table 4). This could reflect different behaviors affected by aspect at the limits of the distribution of P. hartwegii.

 

 

Differences in structure

 

 

It is not possible to make a direct comparison of the potential timber productivity based on the registered differences in structure, because the stands are not coeval and their density is variable; nevertheless, the results allowed us to know the variants of the current forest structure under different conditions of aspect and altitude. This preliminary information is very relevant as a baseline for observing future changes in tree structure in the study area.

 

 

Conclusions

 

 

The structure of P. hartwegii stands in Pico de Orizaba National Park differs statistically between combinations of aspects (N, S, E, and W) and altitudes (3 700 and 3 900 m). The structure of the forest can be differentiated through the profiles generated by the UAV; the S-3 900 area has the lowest mensuration values for normal diameter (18.5 cm), basimetric area (11.8 m2 ha-1), total height (6.5 m) and volume (54.9 m3 ha-1), unlike the western area at the same altitude. The area with an eastern aspect at an altitude of 3 700 m exhibits higher dasometric parameters, as reflected in the UAV profiles. The southern slopes could be the most vulnerable to climate change, due to the low presence of saplings and the lower values for diameter, height, and volume. Only the tree structures with northern and western aspects are similar. The large variation in the condition of the stands makes it difficult to compare these and reach more solid conclusions. However, the results are very relevant as a baseline, given that this information had been hitherto unknown.

 

Ackowledgements

 

The authors are grateful to the Consejo Nacional de Humanidades, Ciencia y Tecnología (National Council for Humanities, Science and Technology) for the Master's scholarship for the first author. To the Colegio de Postgraduados Montecillo campus. To the Direction of Pico de Orizaba National Park for the facilities provided to develop this work.

 

Conflict of interest

 

The authors declare that they have no conflict of interest. Arian Correa Díaz declares that he did not participate in the editorial process of the document.

 

Contributions by author

 

Bernabé Colohua-Citláhua: field work, operation and planning of UAV flights, organization and analysis of data, writing of the first draft; Armando Gómez-Guerrero: planning and conduction of the study, review of data and drafting of the manuscript; Arian Correa-Díaz: planning of the study and drafting of the manuscript; J. Jesús Vargas Hernández: planning of the study and review of the manuscript.

 

 

 

Referencias

Alfaro-Ramírez, F. U., J. E. Ramírez-Albores, J. J. Vargas-Hernández, S. Franco-Maass and M. Pérez-Suárez. 2020. Potential reduction of Hartweg´s Pine (Pinus hartwegii Lindl.) geographic distribution. PLOS ONE 15(2):e0229178. Doi: 10.1371/journal.pone.0229178.

Alfaro-Ramírez, F. U., J. T. Arredondo-Moreno, M. Pérez-Suárez and Á. R. Endara-Agramont. 2017. Pinus hartwegii Lindl. treeline ecotone: structure and altitudinal limits at Nevado de Toluca, Mexico. Revista Chapingo Serie Ciencias Forestales y del Ambiente 23(2):261-273. Doi: 10.5154/r.rchscfa.2016.10.055.

Allen, M. R., M. Babiker, Y. Chen, H. de Conink, … y K. Zickfeld. 2019. Resumen para responsables de políticas. In: Masson-Delmotte, V., H. O. Pörtner, J. Skea, A. Pirani, … y T. Waterfield (Edits.). Calentamiento global de 1,5 °C. Informe especial del IPCC sobre los impactos del calentamiento global de 1,5 ºC con respecto a los niveles preindustriales y las trayectorias correspondientes que deberían seguir las emisiones mundiales de gases de efecto invernadero, en el contexto del reforzamiento de la respuesta mundial a la amenaza del cambio climático, el desarrollo sostenible y los esfuerzos por erradicar la pobreza. Resumen para responsables de políticas: resumen técnico: preguntas frecuentes. Grupo Intergubernamental de Expertos sobre el Cambio Climático (IPCC). Ginebra, GE, Suiza. pp. 3-26. https://www.ipcc.ch/site/assets/uploads/sites/2/2019/09/IPCC-Special-Report-1.5-SPM_es.pdf. (23 de noviembre del 2022).

Astudillo-Sánchez, C. C., J. Villanueva-Díaz, A. R. Endara-Agramont, G. E. Nava-Bernal y M. Á. Gómez-Albores. 2017. Influencia climática en el reclutamiento de Pinus hartwegii Lindl. del ecotono bosque-pastizal alpino en Monte Tláloc, México. Agrociencia 51(1):105-118. https://www.scielo.org.mx/pdf/agro/v51n1/1405-3195-agro-51-01-00105-en.pdf. (17 de noviembre de 2022).

Blue Marble Geographics. 2017. Global Mapper (19.0.0). Maine, ME, United States of America. Blue Marble Geographics. (16 de julio de 2022).

Buendía-Rodríguez, E., E. Alanís-Rodríguez, O. A. Aguirre-Calderón, E. J. Treviño-Garza, E. Flores-Ayala y F. Carrillo-Anzures. 2018. Efecto de la exclusión de un área natural protegida en la composición y estructura arbórea. Revista Mexicana de Ciencias Agrícolas 9(5):981-992. Doi: 10.29312/remexca.v9i5.1506.

Carreto, F., S. Menchaca y K. Sieron. 2018. Diagnóstico de las actividades turísticas que se realizan en el Parque Nacional Pico de Orizaba, Veracruz. UVserva (6):24-32. Doi: 10.25009/uvs.v0i6.2579.

Castañeda R., M. F., A. R. Endara A., M. de L. Villers R. y E. G. Nava B. 2015. Evaluación forestal y de combustibles en bosques de Pinus hartwegii en el Estado de México según densidades de cobertura y vulnerabilidad a incendios. Madera y Bosques 21(2):45-58. Doi: 10.21829/myb.2015.212444.

Cavieres, L. A. y F. I. Piper. 2004. Determinantes ecofisiológicos del límite altitudinal de los árboles. In: Marino C., H. (Edit.). Fisiología ecológica en plantas. Mecanismos y respuestas a estrés en los ecosistemas. Ediciones Universitarias Valparaiso. Valparaíso, VAP, Chile. pp. 221-234.

Chávez-Aguilar, G., G. V. Campos-Ángeles y M. Pérez-Suárez. 2022. Estructura y composición del bosque de Pinus hartwegii Lindl. en su distribución altitudinal en el Nevado de Toluca. Revista Mexicana de Ciencias Forestales 13(74):54-76. Doi: 10.29298/rmcf.v13i74.1257.

Comisión Nacional de Áreas Naturales Protegidas (Conanp). 2023. Pico de Orizaba. https://simec.conanp.gob.mx/ficha.php?anp=106&reg=5. (3 de agosto de 2023).

Comisión Nacional Forestal (Conafor). 2020. Datos del Inventario. Principales indicadores forestales (Ciclo 2015-2020). https://snmf.cnf.gob.mx/principaleindicadoresforestalesciclo-2015-2020/. (15 de febrero de 2023).

Correa-Díaz, A., A. Gómez-Guerrero and E. Velasco-Bautista. 2021. A close up of daily temperature and moisture in two Mexican high-elevation forests. Madera y Bosques 27(3):e2732206. Doi: 10.21829/myb.2021.2732206.

Correa Díaz, A., J. Villanueva Díaz, A. Gómez-Guerrero, H. Martínez Bautista, … and L. C. R. Silva. 2023. A comprehensive resilience assessment of Mexican tree species and their relationship with drought events over the last century. Global Change Biology 29(13):3652-3666. Doi: 10.1111/gcb.16705.

Correa Díaz, A., L. C. R. Silva, W. R. Horwath, A. Gómez-Guerrero, … and A. Velázquez Martínez. 2020. From trees to ecosystems: Spatiotemporal scaling of climatic impacts on montane landscapes using dendrochronological, isotopic, and remotely sensed data. Global Biogeochemical Cycles 34(3):e2019GB006325. Doi: 10.1029/2019GB006325.

Correa-Díaz, A., L. C. R. Silva, W. R. Horwath, A. Gómez-Guerrero, … and J. Suárez-Espinoza. 2019. Linking remote sensing and dendrochronology to quantify climate-induced shifts in high-elevation forests over space and time. Journal of Geophysical Research: Biogeosciences 124(1):166-183. Doi: 10.1029/2018JG004687.

Dainelli, R., P. Toscano, S. F. Di Gennaro and A. Matese. 2021. Recent advances in Unmanned Aerial Vehicles forest remote sensing—A systematic review. Part II: Research applications. Forests 12(4):397. Doi: 10.3390/f12040397.

Dunn, O. J. 1961. Multiple comparisons among means. Journal of the American Statistical Association 56(293):52-64. Doi: 10.1080/01621459.1961.10482090.

Farjon, A. and D. Filer. 2013. An atlas of the world’s conifers: An analysis of their distribution, biogeography, diversity and conservation status. Brill. Boston, MA, United States of America. 524 p.

Fischer, R., N. Knapp, F. Bohn, H. H. Shugart and A. Huth. 2019. The relevance of forest structure for biomass and productivity in temperate forests: New perspectives for remote sensing. Surveys in Geophysics 40(4):709-734. Doi: 10.1007/s10712-019-09519-x.

Gómez-Guerrero, A., A. Correa-Díaz y L. U. Castruita-Esparza. 2021. Cambio climático y dinámica de los ecosistemas forestales. Revista Fitotecnia Mexicana 44(4):673-682. Doi: 10.35196/rfm.2021.4.673.

Hernández R., G., S. Díaz A. y M. Díaz I. 2021. Programa de sensibilización sobre los bienes y servicios ecosistémicos. Cooperativismo y Desarrollo 9(2):593-615. http://scielo.sld.cu/pdf/cod/v9n2/2310-340X-cod-9-02-593.pdf. (4 de abril de 2023).

Instituto Nacional de Estadística y Geografía (INEGI). 2014. Conjunto de datos vectoriales edafológico, escala 1:250 000 Serie II. (Continuo Nacional). INEGI. http://geoportal.conabio.gob.mx/metadatos/doc/html/eda250s2gw.html. (6 de febrero de 2023).

Kruskal, W. H. and W. A. Wallis. 1952. Use of ranks in one-criterion variance analysis. Journal of the American Statistical Association 47(260):583-621. Doi: 10.2307/2280779.

Manzanilla-Quiñones, U., C. A. Martínez-Adriano and Ó. A. Aguirre-Calderón. 2019. Historical and current spatial modeling of the sacred fir (Abies religiosa [Kunth] Schltdl. & Cham.) in the Trans-Mexican Volcanic Belt. Revista Chapingo Serie Ciencias Forestales y del Ambiente 25(2):201-217. Doi: 10.5154/r.rchscfa.2018.10.076.

Marín, L. E., O. Escolero-Fuentes and A. Trinidad-Santos. 2002. Physical geography, hydrogeology, and forest soils of the basin of Mexico. In: Fenn, M. E., L. I. Bauer y T. Hernández-Tejeda (Edits.). Urban air pollution and forests. Resources at Risk in the Mexico City air basin. Springer. New York, NY, United States of America. pp. 44-67.

Morgado-González, G., A. Gómez-Guerrero, J. Villanueva-Díaz, T. Terrazas, C. Ramírez-Herrera y P. Hernández de la Rosa. 2019. Densidad de la madera de Pinus hartwegii Lind. en dos niveles altitudinales y de exposición. Agrociencia 53(4):645-660. https://www.agrociencia-colpos.org/index.php/agrociencia/article/view/1834. (6 de febrero de 2023).

Narave F., H. y K. Taylor. 1997. Pinaceae. Flora de Veracruz. Instituto de Ecología, A. C. Xalapa, Ver., México. 53 p.

Návar-Cháidez, J. de J. y S. González-Elizondo. 2009. Diversidad, estructura y productividad de bosques templados de Durango, México. Polibotánica (27):71-87. https://www.encb.ipn.mx/assets/files/encb/docs/polibotanica/revistas/pb27/dura.pdf. (14 de mayo de 2023).

Núñez, J. M., A. Penella S., R. Perez-Gil R., I. Costes M., J. A. Gallardo-Cruz y D. A. Perez De la M. 2022. Presencia de la tecnología de Vehículos Aéreos No Tripulados en los dominios de investigación en ciencias de la sustentabilidad. Interciencia 47(6):232-239. https://www.interciencia.net/wp-content/uploads/2022/07/04_6839_Com_Nunez_v47n6_8.pdf. (1 de mayo de 2023).

Obieta, M. C. y J. Sarukhán. 1981. Estructura y composición de la vegetación herbácea de un bosque uniespecífico de Pinus hartwegii I. Estructura y composición florística. Boletín de la Sociedad Botánica de México (41):75-125. Doi: 10.17129/botsci.1249.

R Core Team. 2018. R: A language and environment for statistical computing (3.5.1). Vienna, W, Austria. R Foundation for Statistical Computing. https://www.R-project.org/. (14 de mayo de 2023).

Rojas-García, F., A. Gómez-Guerrero, Á. R. Endara-Agramont, G. Gutiérrez G., … y B. H. J. de Jong. 2022. Efecto de una corta de saneamiento sobre el crecimiento radial del bosque de Pinus hartwegii. Madera y Bosques 28(2):e2822402. Doi: 10.21829/myb.2022.2822402.

Runkle, J. R. 1992. Guidelines and sample protocol for sampling forest gaps. United States Department of Agriculture, Forest Service, Pacific Northwest Research Station. Portland, OR, United States of America. 44 p.

Sánchez-González, A., L. López-Mata y D. Granados-Sánchez. 2005. Semejanza florística entre los bosques de Abies religiosa (H. B. K.) Cham. & Schltdl. de la Faja Volcánica Transmexicana. Investigaciones Geográficas Boletín del Instituto de Geografía 56:62-76. http://www.investigacionesgeograficas.unam.mx/index.php/rig/article/view/30097/27974. (20 de mayo de 2023).

Schlesinger, W. H. and E. S. Bernhardt. 2020. Biogeochemistry: an analysis of global change. Academic Press. San Diego, CA, United States of America. 762 p.

Secretaría de Medio Ambiente y Recursos Naturales (Semarnat). 2015. Acuerdo por el que se da a conocer el Resumen del Programa de Manejo del Parque Nacional Pico de Orizaba. Diario Oficial de la Federación, Segunda Sección, 9 de julio del 2015. Ciudad de México, México. 28 p. https://www.conanp.gob.mx/programademanejo/resumenes/ResumenPicoDeOrizaba.pdf. (24 de marzo de 2023).

Semyonov, D. 2021. Agisoft Metashape 1.8.0 pre-release. St. Petersburg, SPE, Russia. Agisoft. https://www.agisoft.com/forum/index.php?topic=13736.0. (10 de septiembre de 2022).

Sieron, K., B. P. Weissling, M. A. Morales M., F. Córdoba M. and S. Teran. 2021. Hydrometeorologic and geologic hazards at Pico de Orizaba volcano, Mexico. In: Swinford, B. and A. Abubakar (Comps.). First International Meeting for Applied Geoscience & Energy. Society of Exploration Geophysicists (SEG). Denver, CO, United States of America. pp. 3073-3076.

Silva-García, J. E., O. A. Aguirre-Calderón, E. Alanís-Rodríguez, E. Jurado-Ybarra, … y J. J. Corral Rivas. 2022. Influencia de la altitud y exposición en la estructura y composición de un bosque templado en Durango. Revista Mexicana de Ciencias Forestales 13(70):64-84. Doi: 10.29298/rmcf.v13i70.1163.

Sistema Biométrico Forestal para el manejo de los bosques de México (Sibifor). 2022. Ecuación: 4051. Universidad Juárez del estado de Durango (UJED), Comisión Nacional Forestal (Conafor) y Consejo Nacional de Ciencias y Tecnologías (Conacyt). http://fcfposgrado.ujed.mx/sibifor/inicio/. (17 de noviembre de 2022).

Zepeda B., E. M. y M. Villarreal D. 1987. Guía de densidad para Pinus hartwegii Lindl. de Zoquiapan, México. Universidad Autónoma Chapingo. Texcoco de Mora, Edo. Méx., México. 72 p.

 

 

 

        

Todos los textos publicados por la Revista Mexicana de Ciencias Forestales sin excepción– se distribuyen amparados bajo la licencia Creative Commons 4.0 Atribución-No Comercial (CC BY-NC 4.0 Internacional), que permite a terceros utilizar lo publicado siempre que mencionen la autoría del trabajo y a la primera publicación en esta revista.