Revista Mexicana de Ciencias Forestales Vol. 15 (83)

Mayo - Junio (2024)

Logotipo, nombre de la empresa

Descripción generada automáticamente

DOI: https://doi.org/10.29298/rmcf.v15i83.1433

Artículo de investigación

Estructura y caracterización de rodales de Pinus hartwegii Lindl. en el Parque Nacional Pico de Orizaba

Structure and characterization of Pinus hartwegii Lindl. stands in Pico de Orizaba National Park

Bernabé Colohua-Citláhua1, Armando Gómez-Guerrero1*, Arian Correa-Díaz2, J. Jesús Vargas Hernández1

 

Fecha de recepción/Reception date: 4 de septiembre de 2023.

Fecha de aceptación/Acceptance date: 30 de enero de 2024.

_______________________________

1Posgrado en Ciencias Forestales, Colegio de Postgraduados, Campus Montecillo. México.

2Centro Nacional de Investigación Disciplinaria en Conservación y Mejoramiento de Ecosistemas Forestales, INIFAP. México.

 

*Autor para correspondencia; correo-e: agomezg@colpos.mx

*Corresponding author; e-mail: agomezg@colpos.mx

 

Resumen

El Pico de Orizaba es un área natural protegida en la que destacan bosques de Pinus hartwegii sometidos a presiones naturales y antrópicas. El objetivo del presente estudio fue comparar los parámetros dasométricos de ocho rodales con cuatro exposiciones (N, S, E y O) y dos altitudes (3 700 y 3 900 m). Se ubicaron áreas con cobertura representativa y se establecieron tres sitios de dimensiones fijas de 1 000 m2 por cada combinación de exposición-altitud. La obtención de información se complementó con imágenes de un vehículo aéreo no tripulado (VANT). Se obtuvo mayor densidad de arbolado (593 árboles ha-1) en la combinación E-3 700 y la mínima en la zona O-3 900 (113 árboles ha-1). Los extremos de área basal mínima (11.9 m2 ha-1) y máxima (35.2 m2 ha-1) correspondieron a las combinaciones S-3 900 y E-3 700, respectivamente. El área basal y volumen disminuyeron con la altitud. La estructura horizontal mostró mayor número de individuos en categorías diamétricas bajas (10-40 cm) y la estructura vertical en las de 25 a 30 m de altura. La prueba de Kruskal-Wallis evidenció diferencias significativas entre las ocho combinaciones para las variables diámetro (DN), altura total (AT) y volumen (VOL), cuya reducción más notable fue sobre la exposición sur al incrementar la altitud de 3 700 a 3 900 m, lo que indica que la combinación S-3 900 es menos favorable para el crecimiento del arbolado. Las combinaciones exposición-altitud con parámetros dasométricos superiores y más potencial de crecimiento fueron N-3 700, E-3 700, S-3 700 y O-3 900.

Palabras clave: Distribución diamétrica, estructura de rodales, Parque Nacional Pico de Orizaba, Pinus hartwegii Lindl., topografía, VANT.

Abstract

Pico de Orizaba is a natural protected area with Pinus hartwegii forests subjected to natural and anthropogenic pressures. The objective of this study was to compare the mensuation parameters of eight stands with four exposures (N, S, E, and W) at two different altitudes (3 700 and 3 900 m). Areas with representative coverage were located and three sites of fixed dimensions of 1 000 m2 were established for each exposure-altitude combination. The collected information was complemented with images from an unmanned aerial vehicle (UAV). The highest tree density (593 trees ha-1) was obtained in the E-3 700 combination, and the lowest, in the W-3 900 area (113 trees ha-1). The extremes of minimum (11.9 m2 ha-1) and maximum (35.2 m2 ha-1) basimetric area corresponded to combinations S-3 900 and E-3 700, respectively. The basimetric area and volume decreased with the altitude. The horizontal structure showed a greater number of individuals in low diameter categories (10-40 cm), and the vertical structure in the 25 to 30 m height categories. The Kruskal-Wallis test showed significant differences between the eight combinations for the diameter (DN), total height (TA) and volume (VOL) variables. The most notable reduction was on the southern exposure, as the altitude increased from 3 700 to 3 900 m, indicating that the S-3 900 combination is less favorable for tree growth. The exposure-elevation combinations with superior mensuration parameters and more growth potential were N-3 700, E-3 700, S-3 700, and W-3 900.

Key words: Diametric distribution, stand structure, Pico de Orizaba National Park, Pinus hartwegii Lindl., topography, UAV.

 

 

 

Introducción

 

 

Los bosques son ecosistemas complejos y dinámicos que brindan múltiples bienes tangibles e intangibles a la humanidad (Hernández et al., 2021). De acuerdo con cifras oficiales, que incluyen al matorral xerófilo, las áreas forestales en México cubren 70.6 % del territorio, y la superficie arbolada de bosques corresponde a 25.1 % (Conafor, 2020). Dentro del bosque de coníferas, el de altura (mayor a 3 500 m de altitud) está representado, principalmente, por Pinus hartwegii Lindl., con distribución importante a lo largo de la Faja Volcánica Transversal del centro de México (Farjon y Filer, 2013).

El incremento global de temperatura de 1.5 °C pronosticado (Allen et al., 2019) , tendrá diversos efectos en las áreas forestales y su distribución espacial (Alfaro-Ramírez et al., 2020). Sin embargo, el bosque de Pinus hartwegii enfrentará circunstancias especiales dado que no existe profundidad de suelo suficiente hacia los límites superiores de su distribución (Gómez-Guerrero et al., 2021). Aunque algunos autores han citado evidencias de migración del bosque de altura hacia zonas más altas (Astudillo-Sánchez et al., 2017), se desconoce si la adaptación de P. hartwegii a esas zonas será exitosa, debido a otras consecuencias fisiológicas relacionadas con cambios en la eficiencia del uso del agua y los riesgos de deficiencia hidráulica, exacerbados por sequias y bajas reservas de agua en suelos delgados y de textura gruesa (CorreaDíaz et al., 2020; Gómez-Guerrero et al., 2021; Correa-Díaz et al., 2023) .

El conocimiento del estado actual de los bosques permite tener un diagnóstico de la salud forestal para proponer acciones de uso, manejo y conservación. Asimismo, si se conoce su estructura y composición, es posible deducir indicadores de productividad (Návar-Cháidez y González-Elizondo, 2009) y funcionalidad (Fischer et al., 2019; Manzanilla-Quiñones et al., 2019).

El Parque Nacional Pico de Orizaba (PNPO) es una de las áreas naturales protegidas (ANP) de México (Conanp, 2023), en la cual se distribuyen bosques monoespecíficos de Pinus hartwegii (Narave y Taylor, 1997). Como otras áreas naturales, el PNPO está sometido a diversas presiones naturales y antrópicas como la tala ilegal, incendios forestales, pastoreo y turismo desordenado (Semarnat, 2015; Carreto et al., 2018). Estos factores modifican la estructura y composición del bosque, y hasta ahora, se desconoce el estado en el que están los rodales localizados en diferentes altitudes y exposiciones. De hecho, en algunos casos, el estudio de la estructura de este bosque ha evidenciado la falta de manejo (Buendía-Rodríguez et al., 2018). La investigación sobre la estructura del bosque es importante para proponer estrategias futuras de conservación que consideren su situación actual y posible comportamiento ante un escenario de cambio climático global.

Generalmente, la estructura y composición de las masas forestales se estudia a partir de los inventarios forestales. Sin embargo, dado el avance tecnológico, el uso de los Vehículos Aéreos No Tripulados (VANT), los cuales complementan la información de los inventarios con imágenes de alta resolución, proporcionan información de la distribución espacial del bosque. Los VANT han cobrado relevancia en la caracterización de zonas boscosas (Núñez et al., 2022) por sus ventajas en la generación de imágenes de alta resolución y de modelos 3D. Se puede prever que su uso no estará limitado a la obtención rápida de información espacial de la estructura del bosque, su empleo en prácticas forestales como siembra directa por semilla y aplicación puntual de fertilizante y pesticidas es un paso importante (Dainelli et al., 2021). Aunque actualmente los costos de esta tecnología son altos, es muy probable que con el tiempo sea económicamente accesible y ayude en el desarrollo de estudios muy detallados de la estructura del bosque y en algunas prácticas forestales.

El objetivo del presente estudio fue caracterizar dasométricamente los bosques de Pinus hartwegii del volcán Pico de Orizaba, mediante el establecimiento de sitios con dimensiones fijas e información gráfica obtenida de VANT; se consideraron cuatro exposiciones (N, S, E y O) y dos altitudes (3 700 y 3 900 m). La hipótesis general del estudio fue que en el PNPO no existen diferencias significativas entre los parámetros dasométricos del bosque y distintas combinaciones de exposición y altitud.

 

 

Materiales y Métodos

 

 

La zona de estudio se ubicó en el Pico de Orizaba, el cual, con una altitud de 5 636 m, es la montaña más alta de México (Semarnat, 2015). Se localiza en las coordenadas UTM Zona 14Q 680000 X, 2105000 Y (Figura 1), y forma parte de la franja volcánica Trans-Mexicana (Sánchez-González et al., 2005). La precipitación media anual varía de 800 a 1 300 mm de acuerdo con la altitud (Sieron et al., 2021). Los suelos son principalmente Andosoles y Regosoles (INEGI, 2014). La vegetación está representada por el bosque monoespecífico de P. hartwegii, con un sotobosque principalmente de Muhlenbergia quadridentata (Kunth) Trin., M. macroura (Kunth) Hitchc., Festuca hephaestophila (Nees) Nees, Lupinus montanus Kunth y Alchemilla procumbens Rose (Obieta y Sarukhán, 1981).

 

N = Norte; E = Este; S = Sur; O = Oeste.

Figura 1. Ubicación de las zonas y sitios de estudio en el Pico de Orizaba.

 

Se seleccionaron ocho zonas de observación considerando dos altitudes (3 700 y 3 900 m) y cuatro exposiciones (norte, sur, este y oeste). Las zonas se identificaron de acuerdo con su combinación de exposición y altitud. En cada zona se establecieron tres sitios de dimensiones fijas (1 000 m2) (Figura 1). Para fines de abreviación, en el resto del trabajo las combinaciones se describen con la letra inicial de la exposición seguida por la altitud. Por ejemplo, N-3 700, indica el sitio con exposición norte y 3 700 m.

 

 

Registro de la información en campo

 

 

En los sitios de 1 000 m2 se obtuvieron los siguientes datos: altitud, pendiente (%) y coordenadas (UTM) con un GPS (Garmin® eTrex20) y un clinómetro (Suunto® 360 PC Clinometer). El valor de la pendiente fue utilizado para realizar la compensación del terreno. Se midieron los diámetros y alturas de árboles de Pinus hartwegii a partir de 5 cm con una cinta diamétrica (Forestry Suppliers® 283D/5M) y un clinómetro (Suunto® 360 PC Clinometer). Se determinó la edad de una muestra de ocho árboles dominantes o codominantes para determinar la edad del arbolado maduro, se utilizó un taladro de Pressler (Haglöf®) de 5.15 mm de diámetro interno.

El volumen se estimó con la Ecuación 4051 (volumen total árbol con corteza para Pinus hartwegii Lindl.) de la biblioteca digital del sistema biométrico para la planeación del manejo forestal sustentable de los ecosistemas con potencial maderable en México (Sibifor, 2022). El área basal, volumen y número de individuos se expresaron por unidad de hectárea.

En cada zona de observación se realizó un levantamiento fotogramétrico con el uso de un VANT (MAVIC 2 ENTERPRISE DUAL® Cámara visual RGB); se cubrió un área aproximada de 15 ha. Con el software Agisoft Metashape Profesional 1.8.0 (Semyonov, 2021) se hicieron los procesamientos fotogramétricos. La altura del vuelo fue de 120 m, con traslape frontal y lateral de 80 y 70 %, respectivamente, y con dirección alineada con la pendiente. El tamaño de pixel fue de 0.052 m con una densidad media de puntos de 34.4 m2. Los resultados se exportaron al software Global Mapper versión 19.0.0 (Blue Marble Geographics, 2017), donde se trazó una línea de 300 m de distancia geométrica obtenida a partir de la distancia horizontal y la diferencia de altitud trazada sobre la pendiente y con 15 m de ancho para observar la estructura vertical del rodal de forma gráfica.

Por ser una ANP, el área de trabajo no está exenta de influencias antrópicas externas. Sin embargo, durante la fase de muestreo se procuró evitar rodales con perturbación externa evidente. También es difícil encontrar rodales con edades y parámetros dasométricos similares en las diferentes combinaciones de altitud-exposición; no obstante, en términos de ocupación del sitio, de acuerdo con estudios previos (Zepeda y Villarreal, 1987), la mayoría de los rodales estudiados corresponden a la categoría de densidad suficiente, es decir, que no están en un extremo de competencia entre árboles, o que no subutilizan en extremo el potencial productivo del terreno. Además, por edad, los rodales han rebasado el pico de incremento corriente anual (productividad máxima por unidad de tiempo) que de acuerdo con los datos corresponde entre los 50 y 60 años.

 

 

Análisis estadístico

 

 

Se probó la distribución normal de los datos para su análisis de varianza de acuerdo con los factores de altitud y exposición. Sin embargo, no se cumplió el criterio de normalidad, por lo que se utilizaron pruebas no paramétricas que incluyeron la de Kruskal-Wallis(Kruskal y Wallis, 1952) y comparación por pares con la prueba de Mann-Whitney con ajuste de Bonferroni(Dunn, 1961) para probar las diferencias entre las ocho combinaciones de altitud-exposición. El análisis se hizo con el software R Studio (R Core Team, 2018). 

 

 

Resultados y Discusión

 

 

La mayor densidad (593 árboles ha-1) se registró en la combinación E-3 700, seguida por S-3 900 (343 árboles ha-1); en tanto que el menor número de árboles por hectárea se obtuvo en ambas altitudes (3 700 y 3 900 m) de la exposición oeste, con 140 y 113 árboles ha-1. Esto, posiblemente, se asocie con factores antropogénicos como la extracción de arbolado de mayores dimensiones que deja arbolado joven en el rodal (Cuadro 1). Sobresale que en la exposición sur exista un número relativamente alto de individuos (en promedio 258 ha-1), ya que para el hemisferio norte esta se relaciona a condiciones más secas (Schlesinger y Bernhardt, 2020); aunque presentó arbolado con menor diámetro y altura, comparado con otras combinaciones. También, es importante mencionar que la edad en el sitio S-3 900 corresponde aproximadamente a 50 % de la edad del resto de los sitios, lo que puede explicar, parcialmente, ese resultado en cuanto a dimensiones de los árboles y presencia de regeneración.

 

Cuadro 1. Resumen dasométrico de las poblaciones de Pinus hartwegii Lindl.en el área de estudio.

Zona

N

DN

AB

AT

VOL

Ed

E-3 700

593

±83

25.9

±9.4

35.22

±2.41

21.6

±4.7

446.08

±21.96

99

±48

E-3 900

273

±41

26.4

±15.0

19.79

±4.50

9.3

±4.4

118.12

±26.55

106

±45

N-3 700

173

±20

42.2

±14.3

26.98

±2.07

24.1

±6.3

369.25

±37.57

129

±43

N-3 900

167

±21

44.9

±14.9

29.25

±0.38

18.5

±4.8

287.27

±12.47

105

±16

O-3 700

140

±8

35.2

±19.8

17.83

±3.39

20.2

±10.9

257.04

±52.61

104

±29

O-3 900

113

±13

55.9

±17.8

30.53

±3.83

24.9

±3.6

383.24

±46.79

99

±15

S-3 700

273

±53

32.1

±21.1

31.57

±3.76

15.9

±10.7

390.14

±85.03

70

±30

S-3 900

343

±35

18.5

±9.9

11.85

±1.50

6.5

±3.0

54.96

±11.21

50

±43

La abreviación en la columna Zona corresponde a la exposición (norte, sur, este y oeste) y la altitud (m). N = Número de árboles por hectárea; DN = Diámetro normal promedio expresado en cm; AB = Área basal expresado en m2 por hectárea; AT = Altura promedio en metros; VOL = Volumen total por hectárea en m3; Ed = Edad promedio. ± Representa la desviación estándar.

 

El diámetro promedio mayor (DN) se observó en la combinación O-3 900 y el mínimo en la S-3 700, con valores de 55.9 y 18.5 cm, respectivamente. Se esperaba obtener diámetros mayores en algún sitio con altitud de 3 700 m, dado que a mayor altura sobre el nivel del mar, P. hartwegii enfrenta limitaciones de crecimiento por las condiciones de suelo y las bajas temperaturas prevalecientes (Alfaro-Ramírez et al., 2017).

Correa-Díaz et al. (2019) señalan que comparado con la altitud de 3 900 m, el arbolado ubicado a 3 500 m crece entre 30 y 50 % más en área basal si la exposición es sur o norte, respectivamente. En el caso del PNPO, el resultado anterior sugiere que, posiblemente, los sitios con menor acceso han mantenido arbolado de mayores dimensiones; mientras que los sitios en cotas bajas, con mayor facilidad de acceso, tienen más presión por factores externos que están determinando la estructura actual del bosque estudiado. Esto se relaciona con el hecho de que los sitios de exclusión de las áreas naturales protegidas pueden tener arbolado de mayores dimensiones (Buendía-Rodríguez et al., 2018), además de que acumulan más biomasa aérea y combustible sobre el piso forestal (Castañeda et al., 2015).

La mayor área basal (AB) por hectárea se obtuvo en la combinación E-3 700 (35.2 m2) y la mínima en S-3 900 (11.8 m2); el máximo registro para altura total (AT) fue 24.9 m en la zona O-3 900 y el mínimo (6.5 m) en S-3 900. Por último, el mayor volumen por hectárea se estimó en la combinación E-3 700 (446.08 m3) y el mínimo con 54.96 m3 en S-3 900 (Cuadro 1).

El número de árboles por hectárea y sus dimensiones tienden a disminuir con la altitud (Alfaro-Ramírez et al., 2017), lo cual es consistente con los resultados del área basal por hectárea. Con respecto a la exposición, se observó que los valores más altos correspondieron a las zonas este y sur a una altitud de 3 700 m (593 y 273 árboles ha-1, respectivamente). La expectativa era que los parámetros dasométricos más altos ocurrieran en exposiciones al norte, por ser más húmedas y tener menores extremos en temperatura (Cavieres y Piper, 2004). Sin embargo, algunos estudios han mostrado una alta variación de la temperatura en bosques de alta montaña, con valores de hasta 40 °C (-4.8 a 35 °C), en exposiciones norte a 3 900 m (Correa-Díaz et al., 2021).

No obstante, el hecho de que P. hartwegii es una especie intolerante a la sombra indica que crece bien en exposiciones de alta radiación solar y en este caso, probablemente, en la zona de estudio la humedad del suelo no es un factor limitante en los sitios ubicados hacia el sur, mientras la altitud sea de 3 700 m. Rojas-García et al. (2022) observaron que si las condiciones del sitio son propicias, P. hartwegii responde favorablemente a las cortas de saneamiento a 3 880 m, aun en exposiciones contrastantes como este y oeste.

También es importante resaltar que la combinación sur con 3 900 m de altitud, presentó los parámetros dasométricos más bajos; lo cual indica que la estructura de estos rodales podría explicarse por las condiciones de profundidad del suelo y provisión de agua, como lo han sugerido otros autores (Correa-Díaz et al., 2019). Morgado-González et al. (2019) registran que en la combinación S-3 900, los anillos de P. hartwegii fueron de menor anchura que en otras combinaciones de exposición-altitud, especialmente después que el arbolado alcanzó los 30 años.

 

 

Estructura horizontal y vertical

 

 

Las categorías diamétricas presentaron más individuos hacia las clases más bajas (10-40 cm), en las cuales se acumularon 74 % de todas las observaciones; el porcentaje restante correspondió a las categorías superiores, hasta los 115 cm (Figura 2A). De estos, la mayor cantidad de individuos se registraron en la categoría de 25 cm (22.5 a 27.5 cm) con 14.0 %, seguida de la categoría 30 cm con 11.6 %. Si se considera a partir de la primera clase inventariable de DN=10 cm, la distribución de la estructura tuvo una tendencia exponencial negativa, típica de un bosque irregular.

 

A = Categorías diamétricas con intervalos de 5 cm; B = Categorías de altura con intervalos de 5 m.

Figura 2. Categorías diamétricas y categorías de altura.

 

Verticalmente, la mayor proporción de individuos se obtuvo en la clase de 25 a 30 m de altura, seguida de la clase de 5 a 10 m; mientras que los valores menores fueron para la categoría de 30 a 35 m (Figura 2B). Esta distribución de alturas coincide con otros trabajos de P. hartwegii realizados en el Parque Nacional Pico de Orizaba, en los que las alturas medias de los árboles se estabilizan en 30 m una vez que llegan a la categoría diamétrica de 40 o 50 cm (Buendía-Rodríguez et al., 2018). Por otra parte, la mayor frecuencia en categorías de 5-10 m y la de 25-30 m indica la presencia de al menos dos estratos de altura en el bosque, aunque también se define un estrato inferior de 0 a 5 m, lo que es consistente con otros estudios en los que se consignan tres pisos verticales en este bosque, con un estrato inferior que se define entre los 3 y 4 m (Castañeda et al., 2015).

 

 

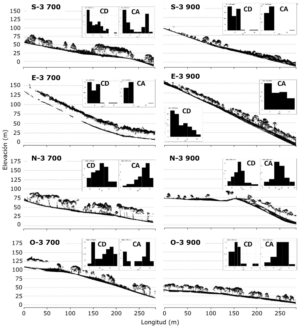
Relación de la estructura con el análisis del VANT

 

 

Los modelos 3D para las diferentes combinaciones de exposición-altitud se muestran en la Figura 3, y en la Figura 4 se presentan los perfiles del VANT. En la cota de 3 900 m, la gran mayoría de los individuos se ubicaron en los valores bajos de las categorías diamétricas (CD) y categorías de altura (CA), con una composición superior de renuevos y latizales, lo cual contrasta con lo observado a 3 700 m, donde existe una gran cantidad de renuevos y latizales, pero equilibrados con presencia de árboles más altos (25-30 m).

 

Las abreviaciones corresponden a la exposición (norte, sur, este u oeste) y la altitud (m).

Figura 3. Modelos en 3D para las diferentes exposiciones (N, S, E y O) y altitudes (3 700 y 3 900 m) en la zona de estudio.

 

CD = Frecuencia de categorías diamétricas agrupadas de izquierda a derecha (menor a mayor); CA = Frecuencia de categorías de altura de izquierda a derecha (mayor a menor). Las abreviaciones en la figura corresponden a la exposición (norte, sur, este y oeste) y la altitud (m).

Figura 4. Perfiles de terrenos. Escalas verticales y horizontales en metros. Para fines de comparación, a la cota más baja se asignó el valor de cero.

 

El mayor número de renuevos por hectárea se registró en la combinación N-3 700 (183 árboles ha-1), seguida de la S-3 700 (133 árboles ha-1); al observar los perfiles, esto se refleja en la existencia de arbolado adulto y aperturas en el dosel que definen un área del piso del bosque, directamente, bajo la superficie abierta del dosel, producida por la caída de árboles (Runkle, 1992), o debido a disturbios que disminuyen la dominancia y propician la regeneración natural.

En la zona N-3 700 se determinó el máximo número de tocones, en promedio por cada 1 000 m2, que correspondió a 60 árboles ha-1. Sin embargo, también es importante comentar que la exposición norte con altitud baja de 3 700 m, presentó las mejores condiciones de crecimiento para los árboles debido a que esta altitud está más cerca del óptimo de crecimiento de la especie, y las exposiciones norte tienden a ser más húmedas; por lo tanto, los suelos son más profundos (Marín et al., 2002). Lo anterior sugiere que la mayor presencia de renuevo se debe a las condiciones ambientales más favorables para la producción de semilla y el establecimiento de la regeneración.

Asimismo, los perfiles del bosque (Figura 3), también corroboran la estructura de los rodales (Cuadro 1); se observa una densidad arbórea superior en las zonas N-3 700 y E-3 700, que se corrobora con una mayor continuidad de las copas. Aunque existe continuidad de copas en E-3 900, las alturas son más bajas.

Por otra parte, el menor número de renuevos se observó en O-3 700, O-3 900, N-3 900 y E-3 700. En la zona oeste, a pesar de que existen aperturas en el dosel y hay arbolado de varias categorías diamétricas, se observaron indicios de incendios forestales recientes, lo que probablemente esté relacionado con la escasa regeneración. En la zona este (3 700) existe una alta densidad de arbolado y menor cantidad de luz bajo el dosel, lo que podría contribuir a una reducción en la regeneración. 

 

 

Análisis de la comparación de medias

 

 

En comparación con S-3 700, las zonas E-3 700, E-3 900 y O-3 700 no presentaron diferencias significativas entre la distribución de los diámetros, con excepción de la zona E-3 900, todas correspondieron a una altitud de 3 700 m. La comparación de la zona N-3 700 no resultó estadísticamente diferente de las zonas N-3 900 y O-3 700 (Cuadro 2). Cuando se hicieron comparaciones por exposición para diámetro, altura y volumen, la matriz de probabilidades indicó que solo las exposiciones norte y oeste eran similares (p=0.470), por lo que en estas exposiciones se encuentran estructuras arbóreas similares.

 

Cuadro 2. Comparación de medias de diámetro normal por zonas con la prueba de Mann-Whitney por parejas con ajuste de Bonferroni.

Zona

S-3 700

S-3 900

E-3 700

E-3 900

N-3 700

N-3 900

O-3 700

S-3 900

0.021*

 

 

 

 

 

 

E-3 700

1.000

0.000***

 

 

 

 

E-3 900

1.000

0.012*

1.000

 

 

 

 

N-3 700

0.008**

0.000***

0.000***

0.000***

 

 

 

N-3 900

0.001***

0.000***

0.000***

0.000***

1.000

 

O-3 700

1.000

0.000***

0.224

0.909

1.000

1.000

 

O-3 900

0.000***

0.000***

0.000***

0.000***

0.012*

0.064

0.005**

***Valores con un alfa menor o igual a 0.001; **Valores con un alfa menor o igual a 0.01; *Valores con un alfa menor o igual a 0.05. Las abreviaciones corresponden a la exposición (norte, sur, este y oeste) y a la altitud (m).

 

Para el caso de la AT se obtuvo una diferencia consistente para las zonas de la cota 3 900 (S, E y N), con excepción de la zona oeste donde se observaron alturas superiores a 20 m. Para la cota 3 700, las alturas fueron consistentes y homogéneas.

La prueba de Kruskal-Wallis mostró la existencia de diferencias en al menos un grupo (p<0.001), y la prueba de Mann-Whitney indicó que la zona S-3 700 fue estadísticamente similar a E-3 900 y N-3 900 (Cuadro 3); ello se debe a que en el sitio S-3 700 hay una mayor amplitud en categorías de alturas. Un trabajo en el que se ha demostrado que la combinación de altitud-exposición determina diferentes perfiles estructurales del bosque es el de Silva-García et al. (2022), aunque en este caso se estudiaron bosques de pino-encino y los resultados contrastan con lo aquí documentado, ya que los autores registraron mayor densidad del arbolado en altitudes superiores, independientemente si la exposición era N o S.

 

Cuadro 3. Comparación de medias de altura total por zonas, con la prueba de Mann-Whitney por parejas con ajuste de Bonferroni.

Zona

S-3 700

S-3 900

E-3 700

E-3 900

N-3 700

N-3 900

O-3 700

S-3 900

0.00***

NA

 

 

 

 

 

E-3 700

0.018*

0.000***

 

 

 

 

 

E-3 900

1.000

0.002**

0.000***

 

 

 

 

N-3 700

0.001***

0.000***

0.007**

0.000***

 

 

 

N-3 900

1.000

0.000***

0.001***

0.000***

0.000***

 

 

O-3 700

0.546

0.000***

1.000

0.000***

1.000

0.898

 

O-3 900

0.011*

0.000***

0.001***

0.000***

1.000

0.00***

1.000

***Valores con un alfa menor o igual a 0.001; **Valores con un alfa menor o igual a 0.01; *Valores con un alfa menor o igual a 0.05. Las abreviaciones corresponden a la exposición (norte, sur, este y oeste) y a la altitud (m).

 

La zona S-3 900 presentó diferencias significativas con todas las zonas, observándose lo mismo para la E-3 900. La combinación E-3 700 fue estadísticamente similar a la O-3 700 al igual que la N-3 700, y esta última también lo fue con la combinación O-3 900; tampoco existieron diferencias entre ambas zonas de la exposición oeste, a pesar de que en el primero (O-3 700) hubo árboles de menor altura, pero la desviación estándar fue mayor (Cuadro 3).

El análisis estadístico indicó que al menos una de las cuatro exposiciones fue estadísticamente diferente en AT (p<0.001); solo no hubo diferencias significativas entre las exposiciones norte y oeste. Esto es consistente con lo señalado por otros autores para P. hartwegii (Buendía-Rodríguez et al., 2018; Chávez-Aguilar et al., 2022).

En el caso del análisis por volumen, S-3 700 fue estadísticamente similar en las dos altitudes de la zona este, así como con la N-3 900 y O-3 700; sin embargo, S-3 900 resultó estadísticamente diferente a todas las zonas (Cuadro 4), con una tendencia muy similar a la comparación para DN y AT. Esto resalta la diferencia existente en crecimiento en la exposición sur a 3 900 m, que fue la zona con menor volumen (54.96 m3 ha-1) promedio en AT (6.5 m), AB (11.8 m2 ha-1) y DN (18.5 cm). Las combinaciones S-3 700 y S-3 900 fueron estadísticamente diferentes (p<0.05) al igual que en la zona este (p<0.001), pero no así con las exposiciones norte y oeste, donde las combinaciones resultaron estadísticamente similares (Cuadro 4).

 

Cuadro 4. Comparación de medias de volumen por zonas, con la prueba de Mann-Whitney por parejas con ajuste de Bonferroni.

Zona

S-3 700

S-3 900

E-3 700

E-3 900

N-3 700

N-3 900

O-3 700

S-3 900

0.009**

 

 

 

 

 

E-3 700

1.000

0.000***

 

 

 

 

 

E-3 900

1.000

0.005**

0.000***

 

 

 

 

N-3 700

0.001***

0.000***

0.000***

0.000***

 

 

 

N-3 900

0.081

0.000***

0.000***

0.000***

1.000

 

 

O-3 700

1.000

0.000***

0.621

0.012**

1.000

1.000

 

O-3 900

0.000***

0.000***

0.000***

0.000***

0.166

0.000***

0.079

***Valores con un alfa menor o igual a 0.001; **Valores con un alfa menor o igual a 0.01; *Valores con un alfa menor o igual a 0.05. Las abreviaciones corresponden a la exposición (norte, sur, este y oeste) y a la altitud (m).

 

Para la altitud de 3 700 m, las combinaciones E-3 700 y O-3 700 resultaron estadísticamente similares, lo mismo ocurrió entre las combinaciones O-3 700 y S-3 700, así como en N-3 700 y O-3 700, fueron similares tres de seis combinaciones posibles. En ese mismo sentido ninguna combinación de la altitud 3 900 m fue estadísticamente similar (Cuadro 4). Esto podría reflejar distintos comportamientos afectados por la exposición en los límites de la distribución de P. hartwegii.

 

 

Diferencias en estructura

 

 

Aunque con las diferencias en estructura registradas no es posible la comparación directa de la productividad maderable potencial, debido a que los rodales no son coetáneos y la densidad es variable, los resultados permitieron conocer las variantes de estructura actual del bosque bajo diversas condiciones de exposición y altitud. Esta información preliminar es muy relevante como línea base para observar los cambios futuros en estructura arbórea en el área de estudio.

 

 

Conclusiones

 

 

La estructura de los rodales de P. hartwegii del Parque Nacional Pico de Orizaba es estadísticamente diferente entre combinaciones de exposiciones (N, S, E y O) y de altitudes (3 700 y 3 900 m). La estructura del bosque se puede diferenciar mediante los perfiles generados por el VANT; destacan la zona S-3 900, donde se registran los valores dasométricos más bajos en diámetro normal (18.5 cm), área basal (11.8 m2 ha-1), altura total (6.5 m) y volumen (54.9 m3 ha-1), en comparación con la zona oeste a la misma altitud. La exposición este con 3 700 m de altitud muestra mayores parámetros dasométricos, lo que se refleja en los perfiles del VANT. Las laderas sur podrían ser las más vulnerables al cambio climático, por la baja presencia de renuevos y menores valores de diámetro, altura y volumen. Solo las estructuras arbóreas de las exposiciones norte y oeste son similares. La amplia variación de la condición de los rodales dificulta su comparación y hacer conclusiones más sólidas. Sin embargo, como una línea de referencia, los resultados son muy relevantes, ya que se desconocía esa información.

 

Agradecimientos

 

Al Consejo Nacional de Humanidades, Ciencia y Tecnología por la beca de Maestría para el primer autor. Al Colegio de Postgraduados Campus Montecillo. A la Dirección del Parque Nacional Pico de Orizaba por las facilidades para desarrollar el presente trabajo.

 

Conflicto de interés

 

Los autores declaran no tener conflicto de intereses. Arian Correa Díaz declara no haber participado en el proceso editorial del documento.

 

Contribuciones por autor

 

Bernabé Colohua-Citláhua: trabajo de campo, operación y planeación de vuelos del VANT, organización y análisis de datos, escritura del primer borrador; Armando Gómez-Guerrero: planeación y dirección del estudio, revisión de datos y escritura del manuscrito; Arian Correa-Díaz: planeación del estudio y escritura del manuscrito; J. Jesús Vargas Hernández: planeación del estudio y revisión del manuscrito.

 

 

Referencias

Alfaro-Ramírez, F. U., J. E. Ramírez-Albores, J. J. Vargas-Hernández, S. Franco-Maass and M. Pérez-Suárez. 2020. Potential reduction of Hartweg´s Pine (Pinus hartwegii Lindl.) geographic distribution. PLOS ONE 15(2):e0229178. Doi: 10.1371/journal.pone.0229178.

Alfaro-Ramírez, F. U., J. T. Arredondo-Moreno, M. Pérez-Suárez and Á. R. Endara-Agramont. 2017. Pinus hartwegii Lindl. treeline ecotone: structure and altitudinal limits at Nevado de Toluca, Mexico. Revista Chapingo Serie Ciencias Forestales y del Ambiente 23(2):261-273. Doi: 10.5154/r.rchscfa.2016.10.055.

Allen, M. R., M. Babiker, Y. Chen, H. de Conink, … y K. Zickfeld. 2019. Resumen para responsables de políticas. In: Masson-Delmotte, V., H. O. Pörtner, J. Skea, A. Pirani, … y T. Waterfield (Edits.). Calentamiento global de 1,5 °C. Informe especial del IPCC sobre los impactos del calentamiento global de 1,5 ºC con respecto a los niveles preindustriales y las trayectorias correspondientes que deberían seguir las emisiones mundiales de gases de efecto invernadero, en el contexto del reforzamiento de la respuesta mundial a la amenaza del cambio climático, el desarrollo sostenible y los esfuerzos por erradicar la pobreza. Resumen para responsables de políticas: resumen técnico: preguntas frecuentes. Grupo Intergubernamental de Expertos sobre el Cambio Climático (IPCC). Ginebra, GE, Suiza. pp. 3-26. https://www.ipcc.ch/site/assets/uploads/sites/2/2019/09/IPCC-Special-Report-1.5-SPM_es.pdf. (23 de noviembre del 2022).

Astudillo-Sánchez, C. C., J. Villanueva-Díaz, A. R. Endara-Agramont, G. E. Nava-Bernal y M. Á. Gómez-Albores. 2017. Influencia climática en el reclutamiento de Pinus hartwegii Lindl. del ecotono bosque-pastizal alpino en Monte Tláloc, México. Agrociencia 51(1):105-118. https://www.scielo.org.mx/pdf/agro/v51n1/1405-3195-agro-51-01-00105-en.pdf. (17 de noviembre de 2022).

Blue Marble Geographics. 2017. Global Mapper (19.0.0). Maine, ME, United States of America. Blue Marble Geographics. (16 de julio de 2022).

Buendía-Rodríguez, E., E. Alanís-Rodríguez, O. A. Aguirre-Calderón, E. J. Treviño-Garza, E. Flores-Ayala y F. Carrillo-Anzures. 2018. Efecto de la exclusión de un área natural protegida en la composición y estructura arbórea. Revista Mexicana de Ciencias Agrícolas 9(5):981-992. Doi: 10.29312/remexca.v9i5.1506.

Carreto, F., S. Menchaca y K. Sieron. 2018. Diagnóstico de las actividades turísticas que se realizan en el Parque Nacional Pico de Orizaba, Veracruz. UVserva (6):24-32. Doi: 10.25009/uvs.v0i6.2579.

Castañeda R., M. F., A. R. Endara A., M. de L. Villers R. y E. G. Nava B. 2015. Evaluación forestal y de combustibles en bosques de Pinus hartwegii en el Estado de México según densidades de cobertura y vulnerabilidad a incendios. Madera y Bosques 21(2):45-58. Doi: 10.21829/myb.2015.212444.

Cavieres, L. A. y F. I. Piper. 2004. Determinantes ecofisiológicos del límite altitudinal de los árboles. In: Marino C., H. (Edit.). Fisiología ecológica en plantas. Mecanismos y respuestas a estrés en los ecosistemas. Ediciones Universitarias Valparaiso. Valparaíso, VAP, Chile. pp. 221-234.

Chávez-Aguilar, G., G. V. Campos-Ángeles y M. Pérez-Suárez. 2022. Estructura y composición del bosque de Pinus hartwegii Lindl. en su distribución altitudinal en el Nevado de Toluca. Revista Mexicana de Ciencias Forestales 13(74):54-76. Doi: 10.29298/rmcf.v13i74.1257.

Comisión Nacional de Áreas Naturales Protegidas (Conanp). 2023. Pico de Orizaba. https://simec.conanp.gob.mx/ficha.php?anp=106&reg=5. (3 de agosto de 2023).

Comisión Nacional Forestal (Conafor). 2020. Datos del Inventario. Principales indicadores forestales (Ciclo 2015-2020). https://snmf.cnf.gob.mx/principaleindicadoresforestalesciclo-2015-2020/. (15 de febrero de 2023).

Correa-Díaz, A., A. Gómez-Guerrero and E. Velasco-Bautista. 2021. A close up of daily temperature and moisture in two Mexican high-elevation forests. Madera y Bosques 27(3):e2732206. Doi: 10.21829/myb.2021.2732206.

Correa Díaz, A., J. Villanueva Díaz, A. Gómez-Guerrero, H. Martínez Bautista, … and L. C. R. Silva. 2023. A comprehensive resilience assessment of Mexican tree species and their relationship with drought events over the last century. Global Change Biology 29(13):3652-3666. Doi: 10.1111/gcb.16705.

Correa Díaz, A., L. C. R. Silva, W. R. Horwath, A. Gómez-Guerrero, … and A. Velázquez Martínez. 2020. From trees to ecosystems: Spatiotemporal scaling of climatic impacts on montane landscapes using dendrochronological, isotopic, and remotely sensed data. Global Biogeochemical Cycles 34(3):e2019GB006325. Doi: 10.1029/2019GB006325.

Correa-Díaz, A., L. C. R. Silva, W. R. Horwath, A. Gómez-Guerrero, … and J. Suárez-Espinoza. 2019. Linking remote sensing and dendrochronology to quantify climate-induced shifts in high-elevation forests over space and time. Journal of Geophysical Research: Biogeosciences 124(1):166-183. Doi: 10.1029/2018JG004687.

Dainelli, R., P. Toscano, S. F. Di Gennaro and A. Matese. 2021. Recent advances in Unmanned Aerial Vehicles forest remote sensing—A systematic review. Part II: Research applications. Forests 12(4):397. Doi: 10.3390/f12040397.

Dunn, O. J. 1961. Multiple comparisons among means. Journal of the American Statistical Association 56(293):52-64. Doi: 10.1080/01621459.1961.10482090.

Farjon, A. and D. Filer. 2013. An atlas of the world’s conifers: An analysis of their distribution, biogeography, diversity and conservation status. Brill. Boston, MA, United States of America. 524 p.

Fischer, R., N. Knapp, F. Bohn, H. H. Shugart and A. Huth. 2019. The relevance of forest structure for biomass and productivity in temperate forests: New perspectives for remote sensing. Surveys in Geophysics 40(4):709-734. Doi: 10.1007/s10712-019-09519-x.

Gómez-Guerrero, A., A. Correa-Díaz y L. U. Castruita-Esparza. 2021. Cambio climático y dinámica de los ecosistemas forestales. Revista Fitotecnia Mexicana 44(4):673-682. Doi: 10.35196/rfm.2021.4.673.

Hernández R., G., S. Díaz A. y M. Díaz I. 2021. Programa de sensibilización sobre los bienes y servicios ecosistémicos. Cooperativismo y Desarrollo 9(2):593-615. http://scielo.sld.cu/pdf/cod/v9n2/2310-340X-cod-9-02-593.pdf. (4 de abril de 2023).

Instituto Nacional de Estadística y Geografía (INEGI). 2014. Conjunto de datos vectoriales edafológico, escala 1:250 000 Serie II. (Continuo Nacional). INEGI. http://geoportal.conabio.gob.mx/metadatos/doc/html/eda250s2gw.html. (6 de febrero de 2023).

Kruskal, W. H. and W. A. Wallis. 1952. Use of ranks in one-criterion variance analysis. Journal of the American Statistical Association 47(260):583-621. Doi: 10.2307/2280779.

Manzanilla-Quiñones, U., C. A. Martínez-Adriano and Ó. A. Aguirre-Calderón. 2019. Historical and current spatial modeling of the sacred fir (Abies religiosa [Kunth] Schltdl. & Cham.) in the Trans-Mexican Volcanic Belt. Revista Chapingo Serie Ciencias Forestales y del Ambiente 25(2):201-217. Doi: 10.5154/r.rchscfa.2018.10.076.

Marín, L. E., O. Escolero-Fuentes and A. Trinidad-Santos. 2002. Physical geography, hydrogeology, and forest soils of the basin of Mexico. In: Fenn, M. E., L. I. Bauer y T. Hernández-Tejeda (Edits.). Urban air pollution and forests. Resources at Risk in the Mexico City air basin. Springer. New York, NY, United States of America. pp. 44-67.

Morgado-González, G., A. Gómez-Guerrero, J. Villanueva-Díaz, T. Terrazas, C. Ramírez-Herrera y P. Hernández de la Rosa. 2019. Densidad de la madera de Pinus hartwegii Lind. en dos niveles altitudinales y de exposición. Agrociencia 53(4):645-660. https://www.agrociencia-colpos.org/index.php/agrociencia/article/view/1834. (6 de febrero de 2023).

Narave F., H. y K. Taylor. 1997. Pinaceae. Flora de Veracruz. Instituto de Ecología, A. C. Xalapa, Ver., México. 53 p.

Návar-Cháidez, J. de J. y S. González-Elizondo. 2009. Diversidad, estructura y productividad de bosques templados de Durango, México. Polibotánica (27):71-87. https://www.encb.ipn.mx/assets/files/encb/docs/polibotanica/revistas/pb27/dura.pdf. (14 de mayo de 2023).

Núñez, J. M., A. Penella S., R. Perez-Gil R., I. Costes M., J. A. Gallardo-Cruz y D. A. Perez De la M. 2022. Presencia de la tecnología de Vehículos Aéreos No Tripulados en los dominios de investigación en ciencias de la sustentabilidad. Interciencia 47(6):232-239. https://www.interciencia.net/wp-content/uploads/2022/07/04_6839_Com_Nunez_v47n6_8.pdf. (1 de mayo de 2023).

Obieta, M. C. y J. Sarukhán. 1981. Estructura y composición de la vegetación herbácea de un bosque uniespecífico de Pinus hartwegii I. Estructura y composición florística. Boletín de la Sociedad Botánica de México (41):75-125. Doi: 10.17129/botsci.1249.

R Core Team. 2018. R: A language and environment for statistical computing (3.5.1). Vienna, W, Austria. R Foundation for Statistical Computing. https://www.R-project.org/. (14 de mayo de 2023).

Rojas-García, F., A. Gómez-Guerrero, Á. R. Endara-Agramont, G. Gutiérrez G., … y B. H. J. de Jong. 2022. Efecto de una corta de saneamiento sobre el crecimiento radial del bosque de Pinus hartwegii. Madera y Bosques 28(2):e2822402. Doi: 10.21829/myb.2022.2822402.

Runkle, J. R. 1992. Guidelines and sample protocol for sampling forest gaps. United States Department of Agriculture, Forest Service, Pacific Northwest Research Station. Portland, OR, United States of America. 44 p.

Sánchez-González, A., L. López-Mata y D. Granados-Sánchez. 2005. Semejanza florística entre los bosques de Abies religiosa (H. B. K.) Cham. & Schltdl. de la Faja Volcánica Transmexicana. Investigaciones Geográficas Boletín del Instituto de Geografía 56:62-76. http://www.investigacionesgeograficas.unam.mx/index.php/rig/article/view/30097/27974. (20 de mayo de 2023).

Schlesinger, W. H. and E. S. Bernhardt. 2020. Biogeochemistry: an analysis of global change. Academic Press. San Diego, CA, United States of America. 762 p.

Secretaría de Medio Ambiente y Recursos Naturales (Semarnat). 2015. Acuerdo por el que se da a conocer el Resumen del Programa de Manejo del Parque Nacional Pico de Orizaba. Diario Oficial de la Federación, Segunda Sección, 9 de julio del 2015. Ciudad de México, México. 28 p. https://www.conanp.gob.mx/programademanejo/resumenes/ResumenPicoDeOrizaba.pdf. (24 de marzo de 2023).

Semyonov, D. 2021. Agisoft Metashape 1.8.0 pre-release. St. Petersburg, SPE, Russia. Agisoft. https://www.agisoft.com/forum/index.php?topic=13736.0. (10 de septiembre de 2022).

Sieron, K., B. P. Weissling, M. A. Morales M., F. Córdoba M. and S. Teran. 2021. Hydrometeorologic and geologic hazards at Pico de Orizaba volcano, Mexico. In: Swinford, B. and A. Abubakar (Comps.). First International Meeting for Applied Geoscience & Energy. Society of Exploration Geophysicists (SEG). Denver, CO, United States of America. pp. 3073-3076.

Silva-García, J. E., O. A. Aguirre-Calderón, E. Alanís-Rodríguez, E. Jurado-Ybarra, … y J. J. Corral Rivas. 2022. Influencia de la altitud y exposición en la estructura y composición de un bosque templado en Durango. Revista Mexicana de Ciencias Forestales 13(70):64-84. Doi: 10.29298/rmcf.v13i70.1163.

Sistema Biométrico Forestal para el manejo de los bosques de México (Sibifor). 2022. Ecuación: 4051. Universidad Juárez del estado de Durango (UJED), Comisión Nacional Forestal (Conafor) y Consejo Nacional de Ciencias y Tecnologías (Conacyt). http://fcfposgrado.ujed.mx/sibifor/inicio/. (17 de noviembre de 2022).

Zepeda B., E. M. y M. Villarreal D. 1987. Guía de densidad para Pinus hartwegii Lindl. de Zoquiapan, México. Universidad Autónoma Chapingo. Texcoco de Mora, Edo. Méx., México. 72 p.

 

 

 

        

Todos los textos publicados por la Revista Mexicana de Ciencias Forestales sin excepción– se distribuyen amparados bajo la licencia Creative Commons 4.0 Atribución-No Comercial (CC BY-NC 4.0 Internacional), que permite a terceros utilizar lo publicado siempre que mencionen la autoría del trabajo y a la primera publicación en esta revista.