Revista Mexicana de Ciencias Forestales Vol. 15 (81)

Enero - Febrero (2024)

Logotipo, nombre de la empresa

Descripción generada automáticamente

DOI: https://doi.org/10.29298/rmcf.v15i81.1432

Artículo de investigación

 

Análisis de la temperatura superficial en las áreas verdes de la ciudad de Durango, Durango

Analysis of the land surface temperature in the green areas of Durango city, state of Durango

 

Claudia Fabiola Reyes Rodríguez1, Marcela Rosas Chavoya2, Pablito Marcelo López Serrano3*, José Ángel Prieto Ruiz1, Félix Hinojosa Espinoza1, Daniel José Vega Nieva1

 

Fecha de recepción/Reception date: 4 de septiembre de 2023.

Fecha de aceptación/Acceptance date: 24 de noviembre de 2023.

_______________________________

1Universidad Juárez del Estado de Durango, Facultad de Ciencias Forestales y Ambientales. México.

2Universidad Juárez del Estado de Durango, Instituto de Silvicultura e Industria de la Madera. México.

3Universidad Juárez del Estado de Durango, Programa Institucional de Doctorado en Ciencias Agropecuarias y Forestales. México.

 

*Autor para correspondencia; correo-e: p_lopez@ujed.mx

*Corresponding author; e-mail: p_lopez@ujed.mx

 

Resumen

Las áreas verdes de las zonas urbanas contribuyen a la regulación térmica y por lo tanto al confort de la población. El objetivo del presente trabajo fue analizar el efecto de las áreas verdes en la temperatura superficial (TS) registrada mediante sensores remotos en la ciudad de Durango, Durango. Se diferenciaron las áreas verdes públicas y privadas existentes en la ciudad y se calculó la superficie en metros cuadrados por habitante. Se realizó una clasificación por uso de suelo (urbano, cuerpo de agua, suelo desnudo y área verde) con el fin de analizar la TS derivada de imágenes del satélite Landsat 8 y sistemas de información geográfica (QGIS); además, se hizo una comparación de TS en tres tipos de áreas verdes (parques, plazas, jardines y camellones). Se analizó el comportamiento de la TS en dos estaciones del año, en invierno de 2021 y primavera de 2022; a partir de lo cual se identificaron las zonas con mayor incidencia de temperatura en dos periodos. Los resultados indicaron una TS menor en las áreas verdes comparada con el uso de suelo urbano (zonas de concreto, construcción y asfalto), así como una tendencia regulatoria en las áreas verdes de mayor extensión (parques). El producto satelital TS permitió evaluar la temperatura en espacios con vegetación dentro de una zona urbana, y se demuestra que entre mayor es el área verde, más regulación térmica existe en las zonas urbanas.

Palabras clave: Áreas verdes urbanas, islas de calor, Landsat 8, QGIS, regulación térmica, temperatura superficial.

Abstract

The green areas in urban areas have provided a variety of ecosystem services which influence the quality of life of the inhabitants. The objective of this work was to analyze the effect of green areas on the Land Surface Temperature (LST) recorded by remote sensors in the city of Durango, Durango. The existing public and private green areas in the city were differentiated and the area in square meters per inhabitant was calculated. A classification by land use (urban, body of water, bare soil and green area) was carried out in order to analyze the ST derived from Landsat 8 satellite images and geographic information systems (QGIS), in addition a comparison of ST in three types of green areas (parks, squares and gardens, and ridges). The behavior of the ST was analyzed in two seasons of the year, in winter 2021 and spring 2022, identifying the areas with the highest incidence of temperature in two periods. The results indicate a lower ST in green areas compared to urban areas (concrete, construction and asphalt areas), as well as a regulatory trend in larger green areas (parks). The ST satellite product allowed to evaluate the temperature in spaces with vegetation within an urban area and it is shown that the larger the green area, the more thermal regulation exists in urban areas.

Key words: Urban green areas, heat islands, Landsat 8, QGIS, thermal regulation, land surface temperature.

 

 

Introducción

 

 

En la actualidad, el fenómeno de migración poblacional ha presentado un incremento año con año. Se estima que 5 % de la población global habita en zonas urbanas y las proyecciones indican que esta cifra será de 68 % para el año 2050 (ONU, 2020; Balsa-Barreiro et al., 2021). Por ello, resulta relevante asegurar el bienestar de la población metropolitana.

Las zonas urbanas poseen características como superficies con poca o nula permeabilidad al agua de lluvia debido a la alteración de los suelos naturales, los cuales son remplazados por concreto, asfalto, viviendas y edificios (Villalba, 2017). El aumento de temperatura asociado a las zonas urbanas tiene repercusiones económicas, de confort, seguridad y en la salud poblacional (Aram et al., 2019; Javadi y Nasrollahi, 2021). En este sentido, se ha documentado que las áreas verdes se relacionan con el incremento de bienestar para los habitantes de zonas urbanas. Específicamente, la capacidad de la vegetación de regular el clima resulta en condiciones de confort térmico para la población cercana a ese tipo de infraestructura (Jabbar et al., 2022).

Así, los espacios verdes en las ciudades son un recurso fundamental para favorecer la calidad de vida de sus habitantes. De acuerdo con Rendón (2010), brindan beneficios ecológicos y sociales que están vinculados a la calidad ambiental y de vida.Al respecto, la Organización Mundial de la Salud (WHO, 2012) establece que un factor indispensable para el acceso a una vida saludable en áreas urbanas se basa en la disponibilidad de espacios verdes, por lo que se propone que cada colonia cuente con 30 % de superficie cubierta por dosel arbóreo. Esta propuesta, sí bien es ambiciosa, garantizaría importantes ventajas a la salud física y mental de la población (Konijnendijk, 2021).

De acuerdo con Ghosh y Das (2018), las áreas verdes urbanas educen la temperatura ambiente de los sitios cercanos hasta en 1 °C, lo que permite tener ambientes más frescos y con beneficios asociados a la disminución del ozono, que generalmente se dispara en condiciones de calor intenso y aumenta la presencia de islas de calor. La información térmica de las áreas verdes puede estudiarse con datos in situ para estimar la sensación térmica o temperatura ambiental (Aram et al., 2019); sin embargo, las metodologías utilizadas conllevan altos costos.

En algunos estudios (Blancarte, 2016; Inevap, 2021) se han descrito las áreas verdes; por ejemplo, en Ciudad Victoria en el estado de Durango, trabajo que, aunque valioso, es insuficiente, pues sigue siendo indispensable generar información al respecto para fortalecer la toma de decisiones sobre el manejo y diseño de las áreas verdes de la ciudad. Por ello, existe la necesidad de implementar nuevas metodologías que permitan caracterizar, por un lado, las áreas verdes urbanas, y su efecto en la ecología urbana y el bienestar social. En este sentido, la implementación de nuevas fuentes de información de Temperatura Superficial (TS) derivada de sensores remotos es una alternativa para el análisis de las condiciones térmicas en ambientes urbanos, así como de los efectos térmicos de las áreas verdes (Sarricolea y Romero, 2010; Soto-Soto et al., 2020; Castro-Mendoza et al., 2022).

La TS es la energía en la porción del infrarrojo termal (TIR) que emite la superficie terrestre y es captada por el sensor (GUD, 2019). Bajo ese contexto, el objetivo del presente estudio fue analizar el efecto de las áreas verdes en la temperatura superficial registrada mediante sensores remotos en la ciudad de Durango, Durango, México.

 

 

Materiales y Métodos

 

 

Área de estudio

 

 

La ciudad de Durango, Durango se localiza en las coordenadas 24°01'26" norte y 104°40'13" oeste, a una altitud de 1 890 m (Inegi, 2022), y es la capital del estado de Durango, México (Figura 1). La ciudad tiene una superficie aproximada de 10 041 km2 y reúne a una población de 688 697 habitantes con un importante crecimiento urbano en los últimos años (Inegi, 2022). La temperatura media del mes más frío es de 1.7 °C y la del mes más caliente de 31 °C, con una precipitación media anual de 500 mm.

 

a) Polígono de la ciudad de Durango; b) Ubicación de la ciudad de Durango en el mapa de México; c) Diferenciación de altitud en el polígono de la ciudad de Durango.

Figura 1. Localización del área de estudio.

 

 

Información satelital

 

 

Se obtuvieron imágenes del satélite Landsat 8 OLI/TIRS de la ciudad de Durango (Cuadro 1). Dichas imágenes corresponden a las temporadas de invierno 2021 y primavera 2022 y están disponibles en el Servicio Geológico de los Estados Unidos de América (USGS, por sus siglas en inglés) (USGS, 2017); en dicho proceso se utilizó el paquete Rstudio getSpatialData (Kwok, 2018).

 

Cuadro 1. Características de las bandas espectrales de los sensores del satélite Landsat 8.

Nombre de banda

Banda

Longitud de onda (μm)

Resolución (m)

Aerosol costero

1

0.43-0.45

30

Azul

2

0.45-0.51

30

Verde

3

0.53-0.59

30

Rojo

4

0.64-0.67

30

Infrarrojo cercano (NIR)

5

0.85-0.88

30

Infrarrojo lejano

6

1.57-1.65

30

Infrarrojo medio

7

2.11-2.29

30

Pancromático

8

0.50-0.68

15

Cirrus

9

1.36-1.38

30

Infrarrojo termal (TIR)

10

10.60-11.19

100

11

-12.51

100

μm = Micras; m = Metros.

Fuente: USGS (2017).

 

 

Preprocesamiento de imágenes

 

 

Con el propósito de eliminar o disminuir factores causados por efectos atmosféricos y topográficos que pudieran alterar los resultados, las imágenes satelitales se preprocesaron, lo cual consistió en una corrección radiométrica y atmosférica con ayuda de la herramienta plug-in Semi Automatic Classification del software geoespacial QGIS versión 3.14 (QGIS Development Team, 2020), mediante la técnica de Reflectancia Aparente (TOA) que permite transformar los niveles digitales (ND) a una escala espectral normalizada (Chávez, 1988; López-Serrano et al., 2016).

 

 

 

Clasificación de cobertura

 

 

Se realizó una clasificación supervisada para diferenciar áreas verdes públicas y privadas con base en las áreas verdes de la ciudad (catastro) y se identificaron áreas como parques, camellones y jardines o plazas por medio de sensores remotos. La clasificación incluyó áreas verdes, urbano (zonas de concreto, construcción y asfalto), suelo desnudo y cuerpos de agua.

Además, se calculó la superficie en función de la extensión del área de cada clase. Para ello, se estimaron los siguientes índices espectrales: Índice de Vegetación de Diferencia Normalizada (NDVI), el cual fue matemáticamente desarrollado por Rouse et al. (1974) para mejorar la visualización de la cantidad y actividad fotosintética vegetal sobre la superficie terrestre.

 

     (1)

 

Donde:

NIR = Banda espectral en la región del infrarrojo cercano

R = Banda en la región rojo

 

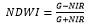
El Índice de Agua de Diferencia Normalizada (NDWI) se estimó mediante la técnica propuesta por McFeeters (1996) que utiliza la banda de la porción verde (GREEN) y la banda del infrarrojo termal (NIR).

 

     (2)

 

Donde:

NIR = Valores de reflectancia de banda infrarrojo cercano

G = Valores de reflectancia de banda de la porción verde

 

El Índice de Estrés Hídrico (MSI) permite identificar la superficie terrestre con mayor y menor contenido de humedad, tiene valores de 0.4 a 2, y los más altos se relacionan a la vegetación con estrés hídrico (Doraiswamy y Thompson, 1982).

 

     (3)

 

Donde:

SWIR = Valores de reflectancia de banda infrarrojo de onda corta

NIR = Valores de reflectancia de banda infrarrojo cercano

 

Se aplicó el análisis de imágenes basado en objetos (OBIA) mediante una segmentación con el algoritmo de Orfeo Tool Box (OTB), el cual consiste en agrupar pixeles contiguos que posean características similares y tiene como resultado una capa vectorial con tantos polígonos como el proceso de clasificación obtenga (Hossain y Chen, 2019). Los polígonos de entrenamiento representaron al menos 2 % de la superficie total del área de estudio (Congalton y Green, 2008). Por último, se utilizó el algoritmo de clasificación de Random Forest mediante la librería Random Forest (Liaw y Wiener, 2002) en Rstudio. Con el fin de evaluar la exactitud de la clasificación supervisada del área, se generó una matriz de confusión para estimar la estadística de Kappa y se calculó la precisión del usuario y el producto de la clasificación (Liu et al., 2007). Se usó 20 % de los pixeles de entrenamiento para el proceso de validación.

 

 

Temperatura superficial

 

 

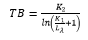
La temperatura superficial (TS) se estimó a partir de la banda 10 para Landsat OLI/TIRS. Para ello, se aplicó la fórmula que proporciona la temperatura de brillo (TB) mediante la ecuación de la Ley de Planck (Callejas et al., 2011) con la cual se transforma el valor del pixel de la banda de infrarrojo térmico a valores de temperatura en grados Kelvin.

 

     (4)

 

     (5)

 

Donde:

TB = Temperatura de brillo

K1 y K2 = Constantes de calibración presentes en el archivo de metadatos de cada imagen

Lλ = Radiancia espectral obtenida a partir de la corrección radiométrica (TOA), seguido por el cálculo de temperatura superficial (Ecuación 2)

TS = Temperatura superficial

 = Longitud de onda sin convertir a valores de radiancia

 = Valor de 14 380

 = Emisividad de la superficie terrestre

 

La emisividad de la superficie terrestre (Becker, 1987).

 

     (6)

 

     (7)

 

Donde:

0.986 y 0.0004 = Valores constantes definidos para cada sensor

Pv = Porción vegetal estimada con los valores de NDVI por pixel y los valores máximos y mínimos de NDVI presentes en el área de estudio

 

 

Análisis de datos térmicos con respecto a la cobertura

 

 

Una vez realizada la clasificación supervisada se extrajeron las temperaturas mínimas y máximas para cada una de las clases. De los tipos de suelo (por ejemplo áreas verdes, cuerpos de agua, suelo urbano, suelo desnudo) y los principales parques urbanos; la temperatura se asoció con el tipo de área verde (parque, plazas. jardines, y camellones). Finalmente, se dividió el polígono de la ciudad conforme a los puntos cardinales por zona. con el fin de clasificar la ciudad para el análisis de la TS de acuerdo a la distribución de sus áreas verdes a partir de la Catedral Basílica Menor de la Inmaculada Concepción, ubicada en el centro de la ciudad, como punto central.

 

 

Resultados y Discusión

 

 

Áreas verdes públicas, temperatura y superficie

 

 

La precisión general de la clasificación supervisada fue de 97 % (Kappa=0.95 %), resultado similar al obtenido por Amini et al. (2022) en un estudio del análisis de cambios en el uso del suelo urbano y la cobertura del suelo con imágenes Landsat y el algoritmo de Random Forest (Kappa=93-97 %). En el Cuadro 2 se muestra la matriz de precisión, en la cual la precisión del productor es la probabilidad específica de cada clase clasificada correctamente, mientras que la precisión del usuario es la posibilidad de que una muestra específica de cada clase represente la categoría en la realidad.

 

Cuadro 2. Matriz de precisión.

Clase

Precisión usuario

Precisión productor

Urbano

0.96

0.94

Cuerpo de agua

0.98

0.96

Suelo desnudo

0.99

0.88

Área verde

0.93

0.95

Precisión General

97 %

Estadística de Kappa

0.9522

 

Los resultados de la superficie de área verde por habitante indican que, para áreas verdes públicas en la ciudad, de acuerdo a la Dirección Municipal de Servicios Públicos para el año 2018 (Inegi, 2018), fue de 2.49 m2 por habitante, mientras que para las áreas verdes obtenidas de INEGI (2005) fue de 2.03 m2. Con la presente metodología de clasificación supervisada se calculó un valor de 10.56 m2 por habitante. En este caso se consideran las áreas verdes de escuelas públicas y privadas, deportivas e instituciones de salud, las cuales no se incluyeron en las otras alternativas. Estos resultados muestran que el área verde por habitante en la ciudad de Durango está por debajo de la recomendación para GEO Ciudades que establece como valor de referencia 12 m2 por habitante como indicador de la calidad de vida en un área urbana (PNUMA, 2011). Algunos estudios efectuados en la ciudad registran resultados similares; como los de Blancarte (2016) quien determinó un promedio de 3.67 m2 por habitante y si se incluyen las áreas verdes privadas, su valor fue de 5.06 m2 por habitante. El Inevap (2021) cita una cobertura de área para el año 2021 de 6.64 m2 por habitante.

En Latinoamérica, Romero (2017) obtuvo un promedio de 2.71 m2 por habitante en la ciudad de Lima, Perú; una superficie reducida de áreas verdes que podría tener efectos negativos relacionados con la degradación de ecosistemas y detrimento en el confort térmico de la población (Ullah et al., 2019). Con frecuencia, la estimación de la relación metros cuadrados por habitante se basa en la información de las áreas verdes registradas por la administración pública; sin embargo, es importante considerar que dichos espacios con acceso restringido también ofrecen servicios ambientales a la población (Cilliers et al., 2013).

 

 

Distribución de la temperatura superficial

 

 

En la Figura 2 se ilustra la distribución de la temperatura superficial (TS) en la ciudad de Durango durante el invierno para las diferentes áreas verdes en la que se observa una temperatura máxima de 36 °C y una mínima de 13 °C. En el Cuadro 3 se muestra el promedio de la TS para el invierno que es menor en las áreas verdes de mayor extensión (parques), en comparación con plazas y jardines, seguido de camellones con una diferencia de 0.93 °C mayor que la de los parques. La temperatura máxima fue de 27.17 °C y la mínima de 20.88 °C en plazas y jardines. Los resultados coinciden con lo consignado por diversos autores sobre la relación negativa entre la superficie de las áreas verdes y la disminución de temperatura; mientras que los camellones, si bien son áreas verdes reducidas, deben considerarse como herramientas de planeación urbana que logran efectos positivos en la reducción de la TS (Meyers et al., 2020).

 

Figura 2. Mapa de la distribución de la TS en invierno del año 2021 en la ciudad de Durango, Durango, México.

 

Cuadro 3. Temperatura superficial en invierno en la ciudad de Durango.

Etiquetas de fila

Promedio de TS (ºC)

Máximo de TS (ºC)

Mínimo de TS (ºC)

Parques (>20 ha)

21.77

22.51

21.03

Plazas y jardines

23.11

27.17

20.88

Camellones

22.70

23.04

22.00

TS = Temperatura superficial.

 

Asimismo, en la Figura 3 se observa la distribución de la TS en la ciudad para la estación de primavera, cuya temperatura máxima fue de 50 °C y la mínima de 24 °C. En el Cuadro 4 se observa que el promedio de la TS de la ciudad de Durango para primavera fue menor (2.65 °C) en las áreas verdes de mayor extensión (parques), en comparación con plazas y jardines, seguido de camellones con una diferencia de 2.14 °C superior a la de los parques. En el presente estudio se registró un promedio de TS menor en las zonas de camellones con diferencia de plazas y jardines. A pesar de que estos resultados son contrastantes respecto a lo esperado, una explicación pudiera relacionarse a que los camellones reciben riego de manera constante por parte de los servicios municipales, ya que son áreas verdes de fácil acceso.

 

Figura 3. Mapa de la distribución de la TS en primavera del año 2022 en la ciudad de Durango, Durango, México.

 

Cuadro 4. Temperatura superficial en primavera en la ciudad de Durango, Durango, México.

Etiquetas de fila

Promedio de TS (ºC)

Máximo de TS (ºC)

Mínimo de TS (ºC)

Parques (>20 ha)

33.84

35.52

32.17

Plazas y jardines

36.49

42.75

34.17

Camellones

35.99

36.91

35.08

TS = Temperatura superficial.

 

Cabe destacar que la temperatura máxima del mes de abril fue de 42.7 °C en plazas y jardines, y la mínima de 32.17 °C en parques. Al comparar ambos cuadros para las dos estaciones (invierno y primavera), la mayor diferencia en promedio se verificó en plazas y jardines con 7.5 °C entre invierno y primavera; igualmente, se reconoce una diferencia entre las dos épocas del año de hasta 15.58 °C en la temperatura máxima de plazas y jardines.

Los resultados muestran un incremento considerable en la TS en la primavera, pero resalta la dinámica térmica en el tipo de áreas verdes al exhibir que en dicha estación los camellones parecen tener menor temperatura respecto a los parques y jardines, lo que sugiere un mayor efecto regulador en esta temporada. Los datos permiten inferir que los camellones, a pesar de su pequeña superficie, son mecanismos de regulación térmica importantes para la ciudad de Durango. Se recomienda destinar mayor cantidad de recursos (económicos y humanos) a la prestación de los servicios municipales para el mantenimiento de parques y jardines en la primavera, a fin de incrementar los beneficios de estos lugares para sus habitantes. 

 

 

Efecto térmico por zona de la ciudad

 

 

Al realizar la división del polígono de la ciudad con el fin de analizar el efecto térmico por zona (Figura 4) se observó una temperatura constante que mantuvo más frescos ambos periodos (invierno y primavera), con una temperatura de 22.80 y 36.60 °C, respectivamente (Cuadro 5). Lo anterior se debe a que en el centro de la ciudad es donde se concentra la mayor extensión de áreas verdes con 250.95 ha, seguida de la zona sur con una tendencia similar en cuanto a temperatura y una superficie de 149.79 ha de áreas verdes (figuras 5 y 6). La zona sureste es la que presenta la mínima extensión de áreas verdes y a su vez una temperatura más fresca, pues ahí hay una gran cobertura de terrenos de cultivo, que pueden fungir como áreas de regulación térmica, a la vez  que presta servicios de provisión de alimentos para la población cercana (FAO, 2023).

 

Figura 4. Mapa de distribución de temperatura por zona en la ciudad de Durango, Durango, México.

 

Cuadro 5. Distribución de TS por zona en invierno y primavera en la ciudad de Durango, Durango, México.

Zona

TS Inv. Prom.

TS Inv. Mín.

TS Inv. Máx.

TS Prim. Prom.

TS Prim. Mín.

TS Prim. Máx.

Extensión (ha)

Centro

22.8

13.85

29.07

36.6

27.67

44.06

250.95

Sur

23.11

17.13

28.27

36.89

29.33

45.29

149.79

Sureste

23.3

19.6

30.07

36.91

30.51

45.71

26.48

Oeste

23.82

20.27

27.93

37.04

32.85

42.95

37.11

Este

23.66

13.85

31.73

37.04

24.49

48.2

100.7

Noreste

24.51

15.75

31.45

37.55

24.93

49.29

36.3

Suroeste

24.99

20.79

28.41

38.34

29.38

44.57

36.3

Noroeste

24.38

20.68

28.31

38.47

35.29

42.41

79.17

Norte

24.67

19.02

30.9

38.61

28.14

45.67

47.11

TS Inv. Prom. = Temperatura superficial promedio de invierno; TS Inv. Mín. = Temperatura superficial mínima de invierno; TS Inv. Máx. = Temperatura superficial máxima de invierno; TS Prim. Prom. = Temperatura superficial promedio de primavera; TS Prim. Mín. = Temperatura superficial mínima de primavera; TS Prim. Máx. = Temperatura superficial máxima de primavera.

 

Figura 5. Temperatura y áreas verdes por zona en periodo de invierno.

 

Figura 6. Temperatura y áreas verdes por zona en periodo de primavera.

 

Por último, las zonas que muestran una temperatura más elevada son la noroeste y la norte, en donde la primera tiene una extensión de 79.17 ha con temperaturas de 24.38 y 38.47 °C en cada periodo, y la parte norte tiene 47.11 ha de áreas verdes y una temperatura de 24.67 °C en invierno (Figura 5) y de 38.61 °C en primavera (Figura 6).

La extensión de áreas verdes de una ciudad tiene la capacidad de reducir el tamaño e intensidad de la isla de calor urbano (ICU) mediante el proceso de evapotranspiración considerado como un mecanismo natural de refrigeración (Qiu et al., 2013). Con estos resultados se observa que, a mayor extensión de área verde la temperatura es menor; esto concuerda con Kurbán et al. (2007) quienes indican que una mínima superficie con vegetación producirá un aumento de humedad relativa, pero su alcance se limitará al ámbito del propio espacio verde (EV). Solamente, al incrementar dicha superficie a 2 500 m2, el alcance del efecto abarcará el área urbana circundante; por consiguiente, la TS de las áreas urbanas aledañas será influenciada por las áreas verdes: entre más grande sea su extensión, aumentará su efecto regulador.

La tendencia de la TS aparente es más alta en suelo urbano que en área verde. Soto-Soto et al. (2020) obtuvieron resultados que lo demuestran en suelos urbanos continuos y discontinuos que presentan mayor TS, con valores promedio de 23.2 y 21.6 °C, respectivamente; a diferencia de vegetación baja con 20 °C y vegetación boscosa con 18.8 °C.

Por su parte, López et al. (2021) llegaron a conclusiones similares para la ciudad árida de Hermosillo, Sonora, donde identificaron islas de calor urbanas y oasis urbanos mediante el procesamiento de imágenes Landsat 8; los puntos de TS más elevados estuvieron en suelo desnudo con 44.2 °C y los oasis urbanos variaron en áreas verdes y pastizales como campos de golf, los cuales se estimaron mediante el índice de Moran.

 

 

Conclusiones

 

 

El producto satelital TS derivado del sensor Landsat 8 permitió evaluar la temperatura en espacios con vegetación dentro de la ciudad de Durango y se demuestra que entre mayor sea el área verde, más regulación térmica existe en las zonas urbanas. La TS de dicha metrópoli varía en las dos estaciones del año de acuerdo a sus usos de suelo (urbano, suelo desnudo, cuerpo de agua y áreas verdes). La mayor diferencia en TS urbano y de parques fue 4.77 °C en primavera y 3.03 °C en invierno. Este tipo de estudio permite identificar la isla de calor urbano en la ciudad de Durango para la prevención de golpes de calor que afectan a la sociedad.

 

Agradecimientos

 

Se agradece a la Dirección Municipal de Servicios Públicos del estado de Durango por facilitar la información necesaria.

 

Conflicto de intereses

 

Los autores declaran no tener conflicto de intereses.

 

Contribución por autor

 

Claudia Fabiola Reyes Rodríguez: concepción, escritura y revisión el documento; Marcela Rosas Chavoya: revisión y colaboración en los análisis del estudio; Pablito Marcelo López Serrano: concepción, escritura de la metodología y revisión de manuscrito; José Ángel Prieto Ruiz y Félix Hinojosa Espinoza: revisión y coordinación del proceso de edición; Daniel José Vega Nieva: revisión y corrección del manuscrito.

 

 

 

References

Amini, S., M. Saber, H. Rabiei-Dastjerdi and S. Homayouni. 2022. Urban land use and land cover change analysis using Random Forest Classification of Landsat Time Series. Remote Sensing 14(11):2654. Doi: 10.3390/rs14112654.

Aram, F., E. Higueras G., E. Solgi and S. Mansournia. 2019. Urban green space cooling effect in cities. Heliyon 5(4):e01339. Doi: 10.1016/j.heliyon.2019.e01339.

Balsa-Barreiro, J., A. J. Morales and R. C. Lois-González. 2021. Mapping population dynamics at local scales using spatial networks. Complexity 2021:1-14. Doi: 10.1155/2021/8632086.

Becker, F. 1987. The impact of spectral emissivity on the measurement of land surface temperature from a satellite. International Journal of Remote Sensing 8(10):1509-1522. Doi: 10.1080/01431168708954793.

Blancarte S., R. H. 2016. La relación entre las áreas verdes y la calidad de vida en ambientes urbanos. Tesis de Maestría en Gestión Ambiental. Centro Interdisciplinario de Investigación para el Desarrollo Integral Regional (CIIDIR), Instituto Politécnico Nacional. Durango, Dgo., México. 113 p.

Callejas, I. J. A., A. Santana de O., F. M. de Moura S., L. C. Durante, M. C. de J. Albuquerque N. and P. Zeilhofer. 2011. Relationship between land use/cover and surface temperatures in the urban agglomeration of Cuiabá-Várzea Grande, Central Brazil. Journal of Applied Remote Sensing 5(1):569-573. Doi: 10.1117/1.3666044.

Castro-Mendoza, I., J. R. Valdez-Lazalde, G. Donovan, T. Martínez-Trinidad, F. O. Plascencia-Escalante and W. Vázquez-Morales. 2022. Does land-use affect the temperature distribution across the city of Tuxtla Gutiérrez, Chiapas, México? Investigaciones Geográficas (107):1-19. Doi: 10.14350/rig.60394.

Chávez, P. S. 1988. An improved dark-object subtraction technique for atmospheric scattering correction of multispectral data. Remote Sensing of Environment 24(3):459-479. Doi: 10.1016/0034-4257(88)90019-3.

Cilliers, S., J. Cilliers, R. Lubbe and S. Siebert. 2013. Ecosystem services of urban green spaces in African countries—perspectives and challenges. Urban Ecosystems 16:681-702. Doi: 10.1007/s11252-012-0254-3.

Congalton, R. G. and K. Green. 2008. Assessing the accuracy of remotely sensed data. Principles and practices. CRC Press. Boca Raton, FL, United States of America. 183 p.

Doraiswamy, P. C. and D. R. Thompson. 1982. A crop moisture stress index for large areas and its application in the prediction of spring wheat phenology. Agricultural Meteorology 27(1-2):1-15. Doi: 10.1016/0002-1571(82)90014-0.

Food and Agriculture Organization of the United Nations (FAO). 2023. Servicios ecosistémicos y biodiversidad.https://www.fao.org/ecosystem-services-biodiversity/background/regulatingservices/es/. (17 de mayo de 2023).

Ghosh, S. and A. Das. 2018. Modelling urban cooling island impact of green space and water bodies on surface urban heat island in a continuously developing urban area. Modeling Earth Systems and Environment 4:501-515. Doi: 10.1007/s40808-018-0456-7.

Green Urban Data (GUD). 2019. Temperatura superficial terrestre ¿afecta mi ciudad? https://www.greenurbandata.com/2019/02/20/temperatura-superficial. (14 de marzo de 2023).

Hossain, M. D. and D. Chen. 2019. Segmentation for Object-Based Image Analysis (OBIA): A review of algorithms and challenges from remote sensing perspective. ISPRS Journal of Photogrammetry and Remote Sensing (150):115-134. Doi: 10.1016/j.isprsjprs.2019.02.009.

Instituto de Evaluación de Políticas Públicas del Estado de Durango (Inevap). 2021. Programa anual de evaluación 2021. Evaluación específica. Programa de crecimiento verde, incluyente, sostenible y sustentable, municipio de Durango. Inevap. Durango, Dgo., México. 116 p. https://implandgo.gob.mx/IMPLAN/Sistema%20de%20Evaluaci%C3%B3n%20del%20Desempe%C3%B1o/Informe%20Final%20Programa%20Crecimiento%20Verde%202021.pdf. (7 de septiembre de 2023).

Instituto Nacional de Estadística y Geografia (Inegi). 2018. Directorio Estadístico Nacional de Unidades Económicas 2018. Información para la actualización e incorporación de unidades económicas al DENUE. Datos a noviembre de 2018 (DENUE-2018). https://www.inegi.org.mx/rnm/index.php/catalog/341/data-dictionary. (15 de marzo de 2023).

Instituto Nacional de Estadística y Geografía (Inegi). 2022. Aspectos geográficos, Durango. Inegi. Aguascalientes, Ags., México. 44 p. https://www.inegi.org.mx/contenidos/app/areasgeograficas/resumen/resumen_10.pdf. (15 de marzo de 2023).

Instituto Nacional de Estadística, Geografía e Informática (INEGI). 2005. Cartografía Geoestadística Urbana 2005. Durango. INEGI. https://www.inegi.org.mx/app/mapas/?t=7100000000000000&tg=3604. (6 de septiembre de 2023).

Jabbar, M., M. M. Yusoff and A. Shafie. 2022. Assessing the role of urban green spaces for human well-being: a systematic review. GeoJournal 87:4405-4423. Doi: 10.1007/s10708-021-10474-7.

Javadi, R. and N. Nasrollahi. 2021. Urban green space and health: The role of thermal comfort on the health benefits from the urban green space; a review study. Building and Environment 202:108039. Doi: 10.1016/j.buildenv.2021.108039.

Konijnendijk, C. 2021. The 3-30-300 rule for urban forestry and greener cities. Biophilic Cities Journal 4(2):1-2. https://static1.squarespace.com/static/5bbd32d6e66669016a6af7e2/t/6101ce2b17dc51553827d644/1627508274716/330300+Rule+Preprint_7-29-21.pdf. (5 de septiembre de 2023).

Kurbán, A., A. Papparelli, M. Cúnsulo, E. Montilla y E. Ríos. 2007. Espacios verdes y variación de la humedad relativa en entornos urbanos áridos. In: Saravia, L., R. Echazú, R. Abalone, R. Caso, … y M. Tamasi (Comps.). XXX Congreso de la Asociación Argentina de Energías Renovables y Medio Ambiente (Asades). Asades. San Luis, D, Argentina. pp. 1-6. http://sedici.unlp.edu.ar/bitstream/handle/10915/94022/Documento_completo.pdf?sequence=1. (6 de mayo de 2023).

Kwok, R. 2018. Ecology’s remote-sensing revolution. Nature 556:137-138. https://www.nature.com/articles/d41586-018-03924-9. (5 de septiembre de 2023).

Liaw, A. and M. Wiener. 2002. Classification and Regression by randomForest. R News 2-3:18-22. https://cogns.northwestern.edu/cbmg/LiawAndWiener2002.pdf. (5 de septiembre de 2023).

Liu, C., P. Frazier and L. Kumar. 2007. Comparative assessment of the measures of thematic classification accuracy. Remote Sensing of Environment 107(4):606-616. Doi: 10.1016/j.rse.2006.10.010.

López G., F. M, L. A. Navarro N., R. E. Díaz C. y J. Navarro-Estupiñán. 2021. Cobertura vegetal y la distribución de islas de calor/oasis urbanos en Hermosillo, Sonora. Frontera Norte 33:1-32. Doi: 10.33679/rfn.v1i1.2088.

López-Serrano, P. M., J. J. Corral-Rivas, R. A. Díaz-Varela, J. G. Álvarez-González and C. A. López-Sánchez. 2016. Evaluation of radiometric and atmospheric correction algorithms for aboveground forest biomass estimation using Landsat 5 TM data. Remote Sensing 8(5):369. Doi: 10.3390/rs8050369.

McFeeters, S. K. 1996. The use of the Normalized Difference Water Index (NDWI) in the delineation of open water features. International Journal of Remote Sensing 17(7):1425-1432. Doi: 10.1080/01431169608948714.

Meyers, J., A. Langston, D. Devereux and B. Lin. 2020. Mapping land surface temperatures and heat-health vulnerability in Darwin. Commonwealth Scientific and Industrial Research Organisation (CSIRO). Canberra, ACT, Commonwealth of Australia. https://research.csiro.au/darwinlivinglab/wp-content/uploads/sites/278/2020/12/CSIRO_Mapping_LST__Heat_Health_Vulnerability_In_Darwin_Final.pdf. (28 de septiembre de 2023).

Organización de las Naciones Unidas (ONU). 2020. Día Mundial de las Ciudades: Las comunidades son la raíz de las urbes sostenibles. https://news.un.org/es/story/2020/10/1483282. (3 de marzo de 2023).

Programa de las Naciones Unidas para el Medio Ambiente (PNUMA). 2011. Informe Anual 2010. Síntesis del año. PNUMA. Nairobi, KE, Kenia. 124 p. https://www.iri.edu.ar/publicaciones_iri/anuario/cd_anuario_2011/Mayd/Programa%20de%20las%20Naciones%20Unidas%20para%20el%20Medio%20Ambiente%20-%20Informe%202010.pdf. (28 de septiembre de 2023).

QGIS Development Team. 2020. Geographic Information System version 3.14. Open Source Geospatial Foundation Project. http://qgis.osgeo.org. (26 de enero de 2020).

Qiu, G. Y., H. Y. Li, Q. T. Zhang, W. Chen, X. J. Liang and X. Z. Li. 2013. Effects of evapotranspiration on mitigation of urban temperature by vegetation and urban agriculture. Journal of Integrative Agriculture 12(8):1307-1315. Doi: 10.1016/S2095-3119(13)60543-2.

Rendón G., R. E. 2010. Espacios verdes públicos y calidad de vida. In: Centre de Política de Sòl i Valoracions y Universidad Autónoma de Baja California (Edits.). Memorias del 6o Congreso Internacional Ciudad y Territorio Virtual. Centre de Política de Sòl i Valoracions y Universidad Autónoma de Baja California. Mexicali, BC, México. pp. 1-14. https://upcommons.upc.edu/handle/2099/12860. (14 de marzo de 2023).

Romero B., R. 2017. Lima tiene un déficit de 56 millones de metros cuadrados de áreas verdes. https://rpp.pe/politica/actualidad/lima-tiene-un-deficit-de-61-millones-de-metros-cuadrados-en-areas-verdes-noticia-1021931. (6 de septiembre de 2023).

Rouse, J. W., R. H. Haas, J. A. Schell and D. W. Deering. 1974. Monitoring vegetation systems in the Great Plains with ERTS. In: Freden, C. S. and E. P. Mercanti (Edits.). Proceedings of the Third ERTS-1 Symposium. National Aeronautics and Space Administration. Washington, DC, United States of America. pp. 309-317.

Sarricolea E., P. y H. Romero A. 2010. Análisis de los factores condicionantes sobre las temperaturas de emisión superficial en el área metropolitana de Valparaíso, Chile. ACE: Architecture, City and Environment 5(14):79-96. Doi: 10.5821/ace.v5i14.2507.

Soto-Soto, J. E., J. Garzón-Barrero y G. Jiménez-Cleves. 2020. Análisis de islas de calor urbano usando imágenes Landsat: caso de estudio Armenia-Colombia 1996-2018. Revista Espacios 41(8):9. https://www.revistaespacios.com/a20v41n08/a20v41n08p09.pdf. (5 de septiembre de 2023).

Ullah, S., K. Ahmad, R. U. Sajjad, A. M. Abbasi, A. Nazeer and A. A. Tahir. 2019. Analysis and simulation of land cover changes and their impacts on land surface temperature in a lower Himalayan region. Journal of Environmental Management 245:348-357. Doi: 10.1016/j.jenvman.2019.05.063.

United States Geological Survey (USGS). 2017. Landsat 8. Discover the science that our satellites bring to you. https://geonarrative.usgs.gov/landsat-8/. (14 de marzo de 2023).

Villalba M., J. C. 2017. Las áreas verdes urbanas y su relación con la infiltración de agua al subsuelo como servicio ambiental en Xalapa, Veracruz. Tesis de Maestría en Desarrollo Regional Sustentable. El Colegio de Veracruz. Xalapa de Enríquez, Ver., México. 111 p.

World Health Organization (WHO). 2012. Health indicators of sustainable cities in the context of the Rio+20. UN Conference on Sustainable Development. https://www.who.int/docs/default-source/environment-climate-change-and-health/sustainable-development-indicator-cities.pdf?sfvrsn=c005156b_2. (6 de septiembre de 2023).

 

 

 

        

Todos los textos publicados por la Revista Mexicana de Ciencias Forestales sin excepción– se distribuyen amparados bajo la licencia Creative Commons 4.0 Atribución-No Comercial (CC BY-NC 4.0 Internacional), que permite a terceros utilizar lo publicado siempre que mencionen la autoría del trabajo y a la primera publicación en esta revista.