Revista Mexicana de Ciencias Forestales Vol. 15 (81)

Enero - Febrero (2024)

Logotipo, nombre de la empresa

Descripción generada automáticamente

DOI: https://doi.org/10.29298/rmcf.v15i81.1423

Research article

 

Vertebrados terrestres en bosques de coníferas bajo manejo

Terrestrial vertebrates of managed coniferous forests

 

Gilberto Chávez-León1*

 

Fecha de recepción/Reception date: 25 de agosto de 2023.

Fecha de aceptación/Acceptance date: 2 de enero de 2024.

_______________________________

1Centro Nacional de Investigación Disciplinaria en Conservación y Mejoramiento de Ecosistemas Forestales, INIFAP. México.

 

*Autor para correspondencia; correo-e: chavez.gilberto@inifap.gob.mx

*Corresponding author; e-mail: chavez.gilberto@inifap.gob.mx

 

Abstract

Sustainable forest management requires the integration of better practices for the conservation of biological diversity. Therefore, it is necessary to know the composition and richness of wild communities in sites where different forest management practices are applied. To this end, the fauna of managed forests in the Chignahuapan region of Puebla State was sampled for four years. A total of 112 species were recorded: 13 medium and large mammals, 83 birds, four amphibians and 12 reptiles. The abundances of these observed species were used to calculate the expected richness with the non-parametric Chao1 estimator. The management method with the highest expected richness was the Silvicultural Development Method (MDS) with 113, followed by Successive Cutting (CS) with 97, and the lowest was observed in the Mexican Method for the Management of Irregular Forests (MMOBI) with 71. Sampling completeness ranged from 92 % in amphibians to 99 % in mammals. Sixteen species are in some risk category in the official Mexican standard NOM-059-SEMARNAT-2010, and 25 are endemic to Mexico. Taxonomic lists contain information on conservation status, endemism and relative abundance. Intensive forest management methods, such as MDS, have a richer mammal and bird community than MMOBI and CS but are similar to protected areas. The richness and abundance of amphibians and reptiles, most of them in some risk category, are low, especially in MMOBI and CS, and almost absent in protected areas.

Key words: Amphibians, birds, mammals, Silvicultural Development Method, Mexican Method for Irregular Forest Management, reptiles.  

Resumen

El manejo forestal sustentable requiere de la integración de mejores prácticas de conservación de la diversidad biológica. Para esto, es necesario conocer la composición y riqueza de las comunidades silvestres en los sitios donde se aplican diferentes prácticas silvícolas. Con esta finalidad, se muestreó durante cuatro años la fauna de bosques productivos de la región de Chignahuapan, Puebla. Se registraron 112 especies: 13 de mamíferos medianos y grandes, 83 de aves, cuatro de anfibios y 12 de reptiles. A partir de la abundancia de estas especies observadas, se determinó la riqueza esperada con el estimador no paramétrico Chao1. El método de manejo con mayor riqueza esperada fue el Método de Desarrollo Silvícola (MDS) con 113, seguido por Cortas Sucesivas (CS) con 97, y la menor se observó en el Método Mexicano de Ordenación de Bosques Irregulares (MMOBI) con 71. La completitud de los muestreos varió del 92 % en anfibios al 99 % en mamíferos. Dieciséis especies se encuentran en alguna categoría de riesgo en la norma oficial mexicana NOM-059-SEMARNAT-2010, y 25 son endémicas de México. Se presentan listas taxonómicas con información sobre la situación de conservación, endemismo y abundancia relativa. Los métodos intensivos de manejo forestal, como MDS, tienen una comunidad de mamíferos y aves más rica que el MMOBI y CS, pero similar a las de áreas bajo protección. La riqueza y abundancia de anfibios y reptiles, la mayoría en alguna categoría de riesgo, son bajas, especialmente en el MMOBI y CS, y casi ausentes en zonas de protección.

Palabras clave: Anfibios, aves, mamíferos, Método de Desarrollo Silvícola, Método Mexicano de Ordenación de Bosques Irregulares, reptiles.

 

 

Introduction

 

 

Forest ecosystems provide the habitat of wild plants and animals with the necessary resources to maintain their populations in space and over time (McComb, 2016). The temperate forests of the Trans-Mexican Volcanic Belt (FVT, for its acronym in Spanish) are located in a transition zone where the Nearctic and Neotropical regions overlap, which is why they are distinguished by their high biological richness and endemicity (Luna et al., 2007; Suárez-Mota and Téllez-Valdés, 2014; Johnson et al., 2015). The variety of climates and physiographic conditions present in the FVT favor a rich flora represented by at least 5 139 species of vascular plants, which is the largest number of taxa in these ecosystems of the main mountainous regions of Mexico (Villaseñor and Ortíz, 2007). The diversity of wildlife is also high, in response to the variety of environments and floristic richness (Escalante et al., 2007; Flores-Villela and Canseco-Márquez, 2007; Navarro-Sigüenza et al., 2007). The importance of terrestrial vertebrates (amphibians, reptiles, birds and mammals) in these ecosystems consists of the role they have as pollinators, seed dispersers, prey or predators and consumers of invertebrates and harmful insects and carrion (McComb, 2016).

The Trans-Mexican Volcanic Belt (FVT) is one of the main regions of Mexico due to its social and economic importance; its biodiversity is subject to threats from anthropogenic pressures such as land use change, deforestation and human population growth.

Pines (Pinus L.) and oaks (Quercus L.) are among the groups of plants in the FVT with the greatest richness, and of high economic importance, since they are overexploited by illegal logging or sustainably harvested (Suárez-Mota and Téllez-Valdés, 2014). For their harvesting, several technical systems are practiced with different degrees of intensity: the Forestry Development Method (MDS), which includes intensive practices that promote regeneration (total felling, liberation felling and thinning), it predominates and is applied in most of the area of the region where this study was carried out.

The above causes the resulting trees to be homogeneous, with uniform ages and few species. Furthermore, in the highest areas, from 3 000 masl, the Mexican Method for the Management of Irregular Forests (MMOBI) is applied, which is selective, for this reason, greater specific and structural diversity of tree vegetation is maintained, but the surface area with this type of management is small in the study area. Finally, to a lesser extent, the Successive Cutting (CS) method is used, which is similar to the MDS, which promotes the protection of seed trees and natural regeneration, which results in homogeneous masses (Morales, 2015; Ramírez, 2017).

The aforementioned management systems have an impact on the abundance and richness of wild vertebrates, since they transform the spatial structure and floristic composition of the vegetation, as well as the local humidity and temperature (Palik et al., 2021).

The Mexican legislation on the matter establishes as one of its priorities to integrate best practices for the conservation of forests and tropical forests biodiversity in their management programs (Semarnat, 2018, 2020). To achieve this, it is necessary to know its composition and state. As a first phase, knowledge generated from a monitoring system is required with which those in charge of managing forest properties obtain basic information to identify areas at risk of loss of biological diversity, and to apply procedures that mitigate the impacts of the different forestry systems (Conafor, 2015, 2017). The second phase consists of analyzing the effect of different forestry systems on richness, diversity and occupation.

The region where this study was carried out is located in the Sierra Norte de Puebla and it is known as Cuenca de Abasto Chignahuapan-Zacatlán due to its forestry importance, since it is home to more than half of the forested area under management of the state of Puebla, for the annual volumes of harvested wood and for having almost 50 % of the installed forestry industry of the entity. Therefore, the application of intensive management techniques is promoted with the incorporation of best practices that allow the conservation of biodiversity in the intervened areas (Morales, 2015; Conafor, 2017).

The importance of the conservation of biological diversity in areas subject to forest management has been promoted for a short time (Conafor, 2017), including the Sierra Norte de Puebla (Barrón, 2021); which has promoted the completion of academic studies, observations and faunal inventories to complement forest management programs. However, few have been recorded in the scientific literature since most of them remain in technical reports.

In this regard, formal and published studies in this area are scarce and partial; among them, the work of Chávez-León (2019) can mentioned, by phototrapping, he recorded the presence of nine species of medium and large mammals, in addition to seven birds, with a similar specific richness in stands where the MDS and MMOBI are applied. López-Becerra and Barrón-Sevilla (2018) documented 35 taxa of birds in managed forests of the Acolihuia ejido; they indicated greater richness in the silvicultural practices of the MDS than in those of the MMOBI. The herpetofauna of the region has received little attention, with specific reports of sightings of some species, such as that of González-Hernández et al. (2016) in which a snake: Thamnophis pulchrilatus (Cope, 1865), three lizards: Abronia graminea (Cope, 1864), Sceloporus microlepidotus (Herrera, 1890) (synonym of S. grammicus Wiegmann, 1828), and Lepidophyma sylvaticum Tailor, 1939, and two frogs: Dryophytes eximius (Baird, 1854) and Rheohyla miotympanum (Cope, 1863) were mentioned.

The objective of this work was to generate a general inventory of amphibians, reptiles, birds, and medium and large mammals, as well as estimate their richness in coniferous forests subject to three different forestry management methods in the region of Chignahuapan, Puebla, Mexico. Due to space limitations, the quantitative and comparative analysis of the effects of forest management on fauna diversity indicators will be documented in another article.

 

 

Materials and Methods

 

 

The study area is located in the region of the Trans-Mexican Volcanic Belt known as Sierra Norte de Puebla, mainly in the Chignahuapan municipality (Rinconada, Llano Verde, Villa Cuauhtémoc and Chignahuapan ejidos or common lands; private property Fraction III of the Former Ex Hacienda de Atlamaxac) and partially in Aquixtla municipalities, Puebla (El Manantial Multifunctional Forest Reserve) and Tlaxco, state of Tlaxcala (private property Fraction VI of the Former Ex Hacienda de Atlamaxac), in an altitudinal range of 2 400 to 3 550 m (Figure 1).

 

Figure 1. Location of wildlife sampling stations (yellow dots) on properties under forest management in Chignahuapan and Aquixtla, Puebla and Tlaxco, Tlaxcala, Mexico.

 

The predominant ecosystem is coniferous forest with vegetation types of pine, pine-oak, oak-pine, fir-pine and fir in different phases of development of secondary succession (Inegi, 2017). Up to three tree strata are distinguished, one bushy with different degrees of density and one herbaceous. The climate is temperate subhumid, and in the highest areas, it is semicold subhumid. Pinus patula Schltdl. & Cham. dominates these forests as a consequence of a long process of intervention and reforestation with this pine of high economic importance (Morales, 2015).

Sampling was carried out in the years 2019 (October 14 to December 6), 2020 (March 30 to June 5), 2021 (September 20 to December 7) and 2022 (April 25 to July 8) in 32 stations distributed, mostly, in stands where the MDS thinning felling forestry treatment was applied (17), since this method is the most widespread in the region. To a lesser extent, it was sampled in stands subject to selection felling by the MMOBI (4) and in liberation felling by the CS (1) which are applied on few areas; in addition, stands intended for protection were included (10), which do not receive silvicultural management. Data collection was repeated for two years in most of the sites (15) and in some up to three (2) and four (6), although once in 9.

The study focused on four groups of terrestrial vertebrates: amphibians, reptiles, birds, and medium and large mammals. Data collection of birds, herpetofauna and mammals tracks was carried out on three occasions (with 30-day intervals) in each annual sampling period.

The field methods consisted of circular sampling stations of 1 ha, with a minimum distance of 2 km from each other, located inside forested areas more than 50 m from the nearest edge with open environments such as clearings, clear cuts, areas agricultural or grassland. Two or three were established per property, depending on its size. Each one was instrumented with a Cuddeback® camera trap, models E3 (black flash) or C1 (white flash) to autonomously capture images of medium and large mammals, although birds were also recorded. They were kept operating continuously for a minimum of 60 days to simultaneously take 20 MP definition photos and 30-second videos. For recording, events of three synchronous shots were programmed with delay intervals between events of 1 minute. The status of the equipment was reviewed every 30 days.

The management, organization and analysis of the images was done with the camtrapR package in R (Niedballa et al., 2016; R Core Team, 2020). To complement and confirm the phototrapping records, an intensive search for tracks was carried out for 30 minutes throughout the 1 ha circular station (Aranda, 2012). The species were determined based on the descriptions of Ceballos and Oliva (2005).

The visual and auditory recording of birds was carried out using counting points lasting 15 minutes from the center of the station (Pierce et al., 2020). The identification of the observed species was corroborated by the descriptions of Howell and Webb (1995), and was complemented with sound recordings for 15 minutes, distributed in three continuous periods of three minutes active and two minutes of pause, with a DR-40X Tascam® portable equipment, which were analyzed online with the BirdNET application (Kahl et al., 2021).

For amphibians and reptiles, an intensive search was carried out for 30 minutes at the monitoring station (1 ha). The capture of the specimens was manual or with a herpetological stick (Lips et al., 2001). The individuals were released at the same site after taking photographs for later identification using the taxonomic keys of Lemos-Espinal and Dixon (2016).

Abundance was calculated according to the different sampling methods used for each taxonomic group. The number of records of individuals per species of birds, amphibians and reptiles was used to estimate the relative frequency: proportion of the number of records of each species per sampling station among the total (Pierce et al., 2020). In the case of mammals, the number of individuals detected by the cameras was calculated, standardized by 1 000 trap-days (Mandujano and Pérez-Solano, 2019).

To determine how complete a biological inventory is, recently developed advanced statistics are applied (Chao et al., 2020) as an alternative to traditional species accumulation curves. These statistics are parameterized by an order q to control the sensitivity to the relative abundances of the species. When q=0, species abundances are not considered and are reduced to the conventional measure of richness; and the completeness of sampling (C) is the relationship between the observed species richness and the expected richness (observed but not detected), which is expressed as a proportion or percentage. The completeness of the sampling and the expected richness of each group were calculated with the SpadeR program (Chao et al., 2019).

The structure of the four terrestrial vertebrate communities was analyzed in terms of the homogeneity of their abundances, for which range/abundance graphs or Whittaker plots were generated (Magurran, 2004) in which the species are ordered from highest to lowest quantity or its proportion.

Taxonomic lists of the four sampled groups were prepared, from which the taxa with some risk category in the Mexican Official Standard NOM-059-SEMARNAT-2010 (Semarnat, 2019) and with restricted distribution (endemic to Mexico) were identified, which should be considered priorities for conservation in managed forests. 

 

 

Results and Discussion

 

 

A total number of 13 species of medium and large mammals, 83 of birds, four of amphibians and 12 of reptiles were recorded (Table 1). This means 45 % of medium and large mammals (Escalante et al., 2007), 14 % birds, except for those associated with aquatic environments (Navarro-Sigüenza et al., 2007), 4 % amphibians and 9 % reptiles (Flores-Villela and Canseco-Márquez, 2007) of the estimated total existence of taxa of these four groups in the FVT. If it is considered that the territory of the FVT is around 156 thousand km2 (Ferrusquía-Villafranca, 2007) and that of the forested area where the present study was carried out covers around 600 km2 (0.4 %), it is inferred that the only best group represented was that of mammals.

 

Table 1. Observed and estimated richness of amphibians, reptiles, birds and mammals and completeness of sampling in forests subject to forest management in the Chignahuapan, Puebla region.

 

n

Robs

q0

C (%)

Amphibians

Total

10

4

5

91.8

MDS

7

3

3

99.9

MMOBI

2

2

-

-

CS

1

1

-

-

Protection

0

0

-

-

Reptiles

Total

64

12

13

98.6

MDS

50

12

13

98.3

MMOBI

2

2

-

-

CS

3

4

-

-

Protection

9

4

6

80.2

Birds

Total

1 284

83

91

98.9

MDS

765

78

83

98.7

MMOBI

106

35

64

86.0

CS

27

47

88

84.1

Protection

386

61

69

96.1

Mammals

Total

502

13

14

99.6

MDS

262

12

14

99.5

MMOBI

9

3

3

96.3

CS

36

5

4

99.9

Protection

195

9

9

99.5

n = Number of registered individuals; Robs = Observed richness; q0 = Estimated richness (Chao1 estimator); C = Sampling completeness (estimated sample coverage); - = Insufficient data for computation.

 

The completeness analysis (C) indicated that sampling was enough to record most of the existing species in the study area (Table 1), since the total per taxonomic group varied from a minimum of 91.8 % for amphibians to a maximum of 99.6 % for mammals, with slightly less for birds (98.9 %) and reptiles (98.6 %). Regarding the different forest management methods, in MDS the highest values were achieved in the four groups, followed by CS and MMOBI, although in the areas under protection or without management, the expected completeness and richness were higher than in these two and similar to what was recorded in MDS.

A greater number of species from the four groups of terrestrial vertebrates were recorded in the MDS than in the stands where the other two forest management methods are used (Table 1). The above is mainly due to the differences in the size of the surfaces: those of MMOBI and CS are lower than those corresponding to MDS. The same happened in the case of mammals and reptiles, and the numbers of amphibians were minimal. It is notable that no amphibians were recorded in the protection areas, but reptiles were. It is possibly due to the changes in humidity and temperature caused by the application of the different stages of the felling cycle and the gradual opening of the canopy (Iglesias-Carrasco et al., 2023; Sanczuk et al., 2023), that modify the conditions of the habitat for these ectothermic organisms, which depend on external sources of heat to regulate their body temperature.

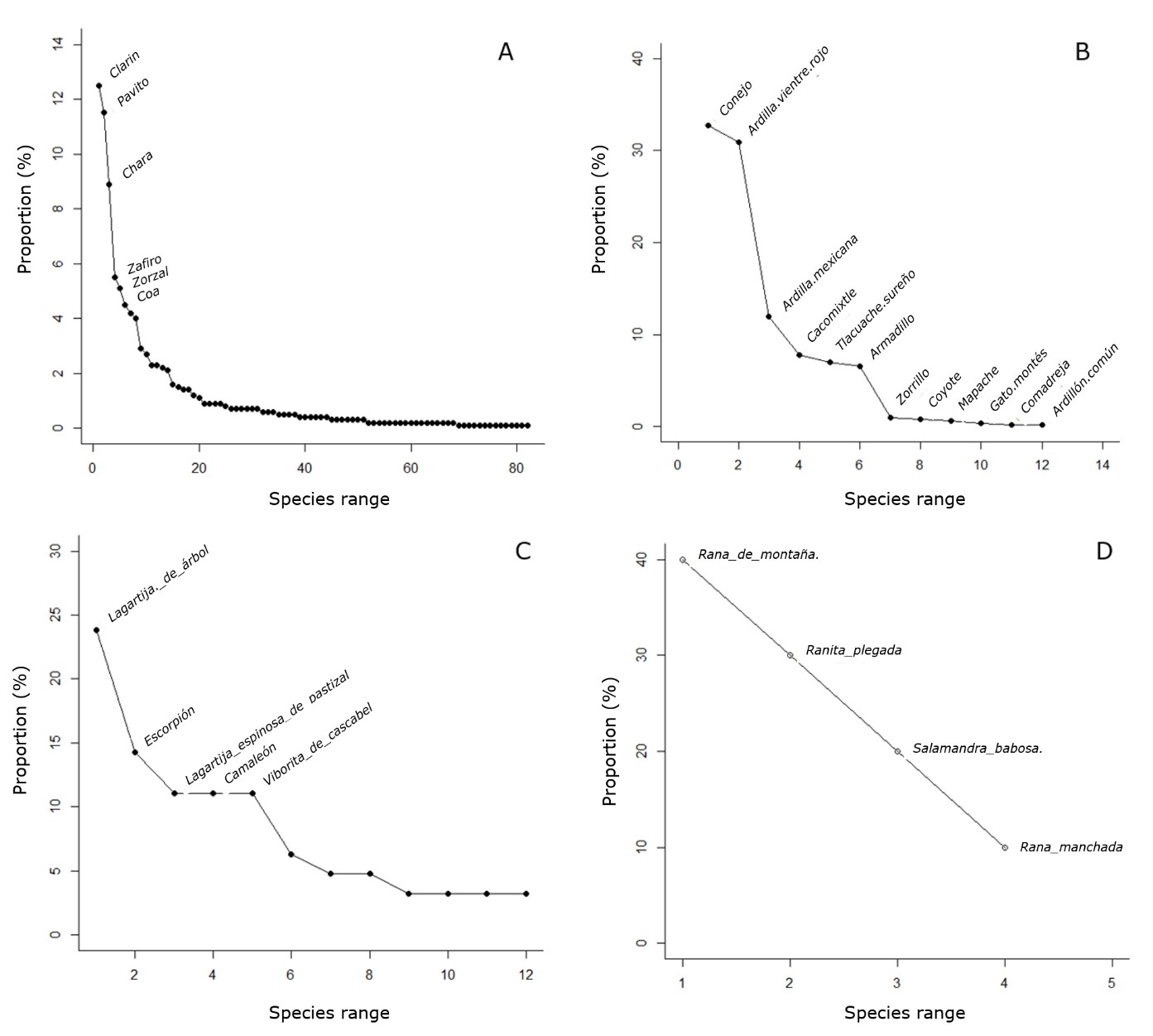
Whittaker curves illustrate the community structure of each taxonomic group: dominance, evenness, and species richness (Figure 2). That of birds is concave, with a very pronounced slope at the beginning (Figure 2A), which indicates that three species, Myadestes occidentalis Stejneger, 1882, Myioborus pictus (Swainson, 1829) and Cyanocitta stelleri (Gmelin, 1788), are the most abundant and dominate this community with a proportion of 9 to 12 %, followed by five (proportion of 4 and 6 %), and the rest (75 species) with very low abundance. The graph of medium and large mammals tends to be more convex (Figure 2B) with two taxa whose proportional abundance is approximately 30 % (Sylvilagus Gray, 1867spp. and Sciurus aureogaster F. Cuvier, 1829), another four between 7 and 10 %, and the rest (six species) with around 1 %. That is, at least half have a similar abundance.

 

A = Birds; B = Medium and large mammals; C = Amphibians; D = Reptiles.

Figure 2. Whittaker curves.

 

In regard to reptiles, a lizard (Sceloporus grammicus) was the dominant one with 23 % of the records, four accumulated between 10 and 15 % and seven with less than 5 %; the slope is less marked than the previous two as a consequence of greater equity in the abundance of the least abundant reptiles (Figure 2C). The amphibian curve is an example of a community poor in species and abundance, which is noted by the straight slope and the proportional differences of 10 % between each one (Figure 2D). In comparison, the bird community was the richest and least uniform, followed by the mammal and reptile community with fewer species but greater uniformity, and the amphibian community was the least rich.

 

 

Priority species for conservation

 

 

Based on its risk category established in the Official Mexican Standard NOM-059-SEMARNAT-2010 (Semarnat, 2019) and its restricted distribution (endemism), the species that should be considered priorities for conservation in properties under forest management were determined. Of the total registered taxa, 13 are included in NOM-059-SEMARNAT-2010: six reptiles, four amphibians, four birds and two mammals. Due to their distribution, 25 of the species are endemic to Mexico: eight birds, one mammal, four amphibians and 12 reptiles (Table 2).

 

Table 2. Species at risk and endemic to Mexico priorities for conservation in forests under management in the Chignahuapan region, Puebla.

 

NOM-059-SEMARNAT-2010

Distribution

Birds

Gavilán de Cooper

Accipiter cooperii (Bonaparte, 1828)

Pr

Non-endemic

Gallina de monte veracruzana

Dendrortyx barbatus Gould, 1846

P

Endemic

Carpintero de Strickland

Dryobates stricklandi (Malherbe, 1845)

A

Endemic

Cuitlacoche manchado

Toxostoma ocellatum (Sclater, 1862)

-

Endemic

Clarín jilguero

Myadestes occidentalis Stejneger, 1882

Pr

Non-endemic

Mirlo dorso canela

Turdus rufopalliatus de Lafresnaye, 1840

-

Endemic

Rascador ceja verde

Arremon virenticeps (Bonaparte, 1855)

-

Endemic

Zacatonero rayado

Oriturus superciliosus (Swainson, 1838)

-

Endemic

Rascador gorra canela

Atlapetes pileatus Wagler, 1831

-

Endemic

Chipe rojo

Cardellina rubra (Swainson, 1827)

-

Endemic

Mammals

Ardilla mexicana

Sciurus oculatus Peters, 1863

Pr

Endemic

Amphibians

Ranita de montaña

Dryophytes eximius (Baird, 1854)

-

Endemic

Ranita plegada

Dryophytes plicatus (Brocchi, 1877)

A

Endemic

Rana manchada

Rana spectabilis (Hillis & Frost, 1985)

-

Endemic

Salamandra babosa

Aquiloeurycea cephalica (Cope, 1865)

A

Endemic

Reptiles

Escorpión transvolcánico

Barisia imbricata (Wiegmann, 1828)

Pr

Endemic

Camaleón de montaña

Phrynosoma orbiculare (Linnaeus, 1758)

A

Endemic

Lagartija espinosa de pastizal

Sceloporus aeneus Wiegmann, 1828

-

Endemic

Lagartija espinosa de pastizal neovolcánica

Sceloporus bicanthalis Smith, 1937

-

Endemic

Lagartija de árbol

Sceloporus grammicus Wiegmann, 1828

Pr

Non-endemic

Lagartija espinosa de collar

Sceloporus torquatus Wiegmann, 1828

-

Endemic

Lincer de los encinos

Plestiodon lynxe (Wiegmann, 1834)

Pr

Endemic

Culebra toluqueña rayada

Conopsis lineata (Kennicott, 1859)

-

Endemic

Culebra parda mexicana

Storeria storerioides (Cope, 1866)

-

Endemic

Culebra jarretera mexicana del Altiplano

Thamnophis pulchrilatus (Cope, 1885)

-

Endemic

Culebra jarretera alpina cola-larga

Thamnophis scalaris Cope, 1861

A

Endemic

Cascabel enana

Crotalus ravus Cope, 1865

Pr

Endemic

Viborita de cascabel

Crotalus triseriatus Wagler, 1830

-

Endemic

P = Danger of extinction; A = Threatened; Pr = Subject to special protection (Semarnat, 2019); Distribution: Endemic to Mexico, Non-endemic to Mexico (Avibase, 2023).

 

Below are the taxonomic lists of the four groups of vertebrates recorded in the study area. 

 

 

Birds

 

 

83 species of birds which belong to 10 orders and 31 families were recorded (Table 3) with a sampling effort of 3 015 minutes of counting points. Several taxa were captured with the camera traps, two of them only with this equipment: Arremon virenticeps (Bonaparte, 1855) and Toxostoma ocellatum (Sclater, 1862), both endemic to Mexico. Dendrortyx barbatus Gould, 1846 was identified only by its song. López-Becerra and Barrón-Sevilla (2018) recorded 35 species in the Acolihuia ejido, located in the same region where this study was carried out, a similar number to the average number of records in the seven properties considered in this research. The authors observed the greatest richness in areas managed by the MDS, particularly in release and regeneration fellings, and intermediate in thinning ones. Likewise, in the study documented here it was higher in MDS, although sampling was only carried out in stands with thinning.

 

Table 3. Birds recorded using point counts at 32 monitoring stations established in coniferous forests with forest management.

Name

Seasonality

Relative frequency

Class: Birds

Order: Galliformes

Family: Odontophoridae

 

 

Gallina de monte veracruzana

Dendrortyx barbatus Gould, 1846

R

3

Order: Columbiformes

Family: Columbidae

 

 

Paloma encinera

Patagioenas fasciata (Say, 1822)

R

10

Paloma arroyera

Leptotila verreauxi Bonaparte, 1855

R

10

Paloma huilota

Zenaida macroura (Linnaeus, 1758)

R

10

Order: Caprimulgiformes

Family: Caprimulgidae

 

 

Tapacamino cuerporruín mexicano

Antrostomus arizonae Brewster, 1881

R

7

Order: Apodiformes

Family: Trochilidae

 

 

Colibrí garganta azul

Lampornis clemenciae (Lesson, 1830)

R

3

Colibrí magnífico

Eugenes fulgens (Swainson, 1827)

R

7

Zumbador rufo

Selasphorus rufus (Gmelin, 1788)

MI

7

Zumbador cola ancha

Selasphorus platycercus (Swainson, 1827)

R

28

Colibrí piquiancho

Cynanthus latirostris Swainson, 1827

R

3

Zafiro orejas blancas

Basilinna leucotis (Vieillot, 1818)

R

76

Order: Cathartiformes

Family: Cathartidae

 

 

Zopilote aura

Cathartes aura (Linnaeus, 1758)

R

3

Order: Accipitriformes

Family: Accipiitridae

 

 

Gavilán pecho rufo

Accipiter striatus Vieillot, 1808

R

3

Gavilán de Cooper

Accipiter cooperi (Bonaparte, 1828)

MI

3

Aguililla cola roja

Buteo jamaicensis (Gmelin, 1788)

R

52

Order: Strigiformes

Family: Tytonidae

 

 

Lechuza de campanario

Tyto alba (Scopoli, 1769)

R

3

Family: Strigidae

 

 

Búho cornudo

Bubo virginianus (Gmelin, 1788)

R

3

Tecolote serrano

Glaucidium gnoma Wagler, 1832

R

14

Tecolote afilador

Aegolius acadicus (Gmelin, 1788)

R

14

Order: Trogoniformes

Family: Trogonidae

 

 

Coa mexicana

Trogon mexicanus Swainson, 1827

R

72

Order: Piciformes

Family: Picidae

 

 

Carpintero arlequín

Melanerpes formicivorus (Swainson, 1827)

R

17

Carpintero moteado

Sphyrapicus varius (Linnaeus, 1766)

MI

3

Carpintero velloso mayor

Dryobates villosus (Linnaeus, 1766)

R

7

Carpintero de Strickland

Dryobates stricklandi (Malherbe, 1845)

R

3

Carpintero de pechera

Colaptes auratus (Linnaeus, 1758)

R

3

Order: Passeriformes

Family: Tyrannidae

 

 

Mosquero copetón

Mitrephanes phaeocercus (Sclater, 1859)

R

3

Pibí boreal

Contopus cooperi (Nuttall, 1831)

T

3

Pibí tengo frío

Contopus pertinax Cabanis and Heine, 1859

R

10

Pibí oriental

Contopus virens (Linnaeus, 1766)

T

10

Mosquero de los pinos

Empidonax affinis (Swainson, 1827)

R

3

Mosquero barranqueño

Empidonax occidentalis Nelson, 1897

R

21

Family: Vireonidae

 

 

Vireo reyezuelo

Vireo huttoni Cassin, 1851

R

17

Vireo verde amarillo

Vireo flavoviridis (Cassin, 1851)

RV

3

Vireo ojo rojo

Vireo olivaceus (Linnaeus, 1766)

M

10

Family: Corvidae

 

 

Chara copetona

Cyanocitta stelleri (Gmelin, 1788)

R

97

Cuervo común

Corvus corax Linnaeus, 1758

R

17

Family: Paridae

 

 

Carbonero mexicano

Poecile sclateri (Kleinschmidt, 1897)

R

52

Family: Hirundinidae

 

 

Golondrina verdemar

Tachycineta thalassina (Swainson, 1827)

R

3

Family: Aegithalidae

 

 

Sastrecillo

Psaltriparus minimus (Townsend, 1837)

R

24

Family: Regulidae

 

 

Reyezuelo corona roja

Corthylio calendula (Linnaeus, 1766)

MI

24

Family: Ptiliogonatidae

 

 

Capulinero gris

Ptiliogonys cinereus (Swainson, 1827)

R

21

Family: Sittidae

 

 

Sita pecho blanco

Sitta carolinensis Latham, 1790

R

24

Family: Certhidae

 

 

Trepadorcito americano

Certhia americana Bonaparte, 1838

R

62

Family: Polioptilidae

 

 

Perlita

Polioptila caerulea (Linnaeus, 1766)

R

10

Family: Troglodytidae

 

 

Chivirín saltapared

Troglodytes aedon Vieillot, 1809

R

31

Chivirín cola oscura

Thryomanes bewickii (Audubon, 1827)

R

14

Chivirín pecho gris

Henicorhina leucophrys (Tschudi, 1844)

R

3

Family: Mimidae

 

 

Cuitlacoche manchado

Toxostoma ocellatum (Sclater, 1862)

R

3

Family: Turdidae

 

 

Azulejo garganta azul

Sialia mexicana Swainson, 1832

R

3

Clarín jilguero

Myadestes occidentalis Stejneger, 1882

R

90

Zorzal mexicano

Catharus occidentalis Sclater, 1859

R

76

Mirlo dorso canela

Turdus rufopalliatus de Lafresnaye, 1840

R

3

Mirlo primavera

Turdus migratorius Linnaeus, 1766

R

62

Family: Peucedramidae

 

 

Ocotero enmascarado

Peucedramus taeniatus (Du Bus de Gisignies, 1847)

R

52

Family: Fringillidae

 

 

Pinzón mexicano

Haemorhous mexicanus (Müller, 1776)

R

10

Picotuerto rojo

Loxia curvirostra Linnaeus, 1758

R

14

Jilguero pinero

Spinus pinus (Wilson, 1810)

R

31

Jilguero dominico

Spinus psaltria (Say, 1822)

R

3

Family: Passerellidae

 

 

Gorrión ceja blanca

Spizella passerina (Bechstein, 1798)

R

3

Rascador ceja verde

Arremon virenticeps (Bonaparte, 1855)

R

3

Junco ojos de lumbre

Junco phaeonotus Wagler, 1831

R

34

Zacatonero rayado

Oriturus superciliosus (Swainson, 1838)

R

3

Rascador moteado

Pipilo maculatus Swainson, 1827

R

31

Rascador gorra canela

Atlapetes pileatus Wagler, 1831

R

66

Family: Icteridae

 

 

Bolsero encapuchado

Icterus cucullatus Swainson, 1827

T

10

Tordo ojo rojo

Molothrus aeneus (Wagler, 1829)

R

10

Family: Parulidae

 

 

Chipe trepador

Mniotilta varia (Linnaeus, 1766)

MI

14

Chipe cejas blancas

Oreothlypis superciliosa (Hartlaub, 1844)

R

48

Chipe oliváceo

Leiothlypis celata (Say, 1822)

MI

3

Chipe cabeza gris

Leiothlypis ruficapilla (Wilson, 1811)

MI

24

Chipe flameante

Setophaga ruticilla (Linnaeus, 1758)

M

14

Chipe coronado

Setophaga coronata (Linnaeus, 1766)

MI

28

Chipe ceja amarilla

Setophaga graciae (Baird, 1865)

R

10

Chipe negro amarillo

Setophaga townsendi (Townsend, 1837)

MI

24

Chipe cabeza amarilla

Setophaga occidentalis (Townsend, 1837)

MI

28

Chipe gorra canela

Basileuterus rufifrons (Swainson, 1838)

R

10

Chipe ceja dorada

Basileuterus belli (Giraud, 1841)

R

17

Chipe corona negra

Cardellina pusilla (Wilson, 1811)

MI

24

Chipe cara roja

Cardellina rubrifrons (Giraud, 1841)

MI

10

Chipe rojo

Cardellina rubra (Swainson, 1827)

R

69

Pavito aliblanco

Myioborus pictus (Swainson, 1829)

R

7

Pavito alas negras

Myioborus miniatus (Swainson, 1827)

R

83

Family: Cardinalidae

 

 

Tángara encinera

Piranga flava (Vieillot, 1822)

R

14

Cardenal rojo

Cardinalis cardinalis (Linnaeus, 1758)

R

7

Picogordo tigrillo

Pheucticus melanocephalus (Swainson, 1827)

R

38

Family: Thraupidae

 

 

Picaflor canelo

Diglossa baritula Wagler, 1832

R

3

R = Year-round resident; MI = Winter migratory; T = Transient, only during migration; RV = Summer resident, migrates south (Avibase, 2023); Relative frequency = Proportion of monitoring stations in which each species was detected. The nomenclature and taxonomic sequence of the American Ornithological Society is followed (Chesser et al., 2023). The common names are those proposed by Escalante et al.(2014).

 

 

Mammals

 

 

With a sampling effort of 3 574 camera-days, 13 species of medium and large mammals were recorded, distributed in six orders and 10 families (Table 4). This represents 15 % of the 87 species that are distributed in coniferous forests of the Sierra Norte de Puebla (Peralta-Moctezuma and Martínez-Vázquez, 2014), although most of them (72 %) are small taxa that are not captured by cameras (bats), or morphological details cannot be distinguished in the images for taxonomic determination to genus or species; such is the case of shrews, moles, gophers and mice. Also, photos and videos of domestic animals, such as dogs and sheep, were obtained, and people, mainly mushroom and firewood collectors, as well as forestry workers.

 

Table 4. Mammals recorded using camera traps at 32 monitoring stations established in coniferous forests with forest management.

Name

Relative abundance index

Class: Mammalia

Order: Didelphimorphia

Family: Didelphidae

 

Tlacuache sureño

Didelphis marsupialis Linnaeus, 1758

46

Order: Cingulata

Family: Dasypodidae

 

Armadillo

Dasypus novemcinctus Linnaeus, 1758

9

Order: Lagomorpha

Family: Leporidae

 

Conejo mexicano

Sylvilagus cunicularius (Waterhouse, 1848)

46

Conejo del este

Sylvilagus floridanus (J. A. Allen, 1890)

43

Order: Rodentia

Family: Sciuridae

 

Ardillón común

Otospermophilus variegatus (Erxleben, 1777)

1

Ardilla de vientre rojo

Sciurus aureogaster F. Cuvier, 1829

44

Ardilla mexicana

Sciurus oculatus Peters, 1863

17

Order: Carnivora

Family: Felidae

 

Gato montés

Lynx rufus (Schreber, 1777)

1

Family: Canidae

 

Coyote

Canis latrans Say, 1822

1

Family: Mephitidae

 

Zorrillo rayado sureño

Mephitis macroura Lichtenstein, 1832

1

Family: Mustelidae

 

Comadreja

Mustela frenata Lichtenstein, 1831

1

Family: Procyonidae

 

Cacomixtle

Bassariscus astutus (Lichtenstein, 1830)

11

Mapache

Procyon lotor (Linnaeus, 1758)

1

Relative abundance index = Number of individuals detected by camera traps, standardized by 1 000 trap-days. The nomenclature and taxonomic sequence of Ramírez-Pulido et al. (2014). The common names are those proposed by Álvarez-Castañeda and González-Ruiz (2018).

 

 

Amphibians and reptiles

 

 

Four species of amphibians and 12 species of reptiles were recorded with a sampling effort of 6 030 minutes of intensive search (Table 5). Aldape-López and Santos-Moreno (2016) cited similar richness in temperate forests under forest management in the state of Oaxaca: six amphibians and 15 reptiles. The greatest abundance of amphibians was observed in sites with treatments corresponding to low intensity cutting (group selection), while that of reptiles was greater in the intensive treatments (Parent trees or seed trees), the greatest richness was in unmanaged stands. In the present study, more species of both groups were recorded in the MDS forestry treatments and very few in MMOBI; in the protection sites (without management) there were no amphibians.

 

Table 5. Amphibians and reptiles recorded through intensive search at 32 monitoring stations in coniferous forests with forest management.

Name

Relative abundance

Class: Amphibia

Order: Anura

Family: Hylidae

 

Ranita de montaña

Dryophytes eximius (Baird, 1854)

40

Ranita plegada

Dryophytes plicatus (Brocchi, 1877)

30

Family: Ranidae

 

Rana manchada

Rana spectabilis (Hillis & Frost, 1985)

10

Order: Caudata

Family: Plethodontidae

 

Salamandra babosa

Aquiloeurycea cephalica (Cope, 1865)

20

Class: Reptilia

Order: Squamata

Suborder: Lacertilia

Family: Anguidae

 

Escorpión transvolcánico

Barisia imbricata (Wiegmann, 1828)

14

Family: Phrynosomatidae

 

Camaleón de montaña

Phrynosoma orbiculare (Linnaeus, 1758)

11

Lagartija espinosa de pastizal

Sceloporus aeneus Wiegmann, 1828

11

Lagartija espinosa de pastizal neovolcánica

Sceloporus bicanthalis Smith, 1937

5

Lagartija de árbol

Sceloporus grammicus Wiegmann, 1828

24

Lagartija espinosa de collar

Sceloporus torquatus Wiegmann, 1828

4

Family: Scincidae

 

Lincer de los encinos

Plestiodon lynxe (Wiegmann, 1834)

3

Order: Squamata

Suborder: Serpentes

Family: Colubridae

 

Culebra toluqueña rayada

Conopsis lineata (Kennicott, 1859)

3

Family: Natricidae

 

Culebra jarretera mexicana del Altiplano

Thamnophis pulchrilatus (Cope, 1885)

3

Culebra jarretera alpina cola-larga

Thamnophis scalaris Cope, 1861

3

Family: Viperidae

 

Cascabel enana

Crotalus ravus Cope, 1865

5

Viborita de cascabel

Crotalus triseriatus Wagler, 1830

5

Relative abundance = Number of individuals per species detected by intensive search (30 min) among the total times 100. The classification and nomenclature of AmphibiaWeb (2023) and Uetz et al. (2023) are followed, respectively. Common names are from Lemos-Espinal and Dixon (2016).

 

 

Conclusions

 

 

In areas subject to intensive forest management methods, such as the MDS, a richer community of mammals and birds is observed than MMOBI and CS, but similar to those in areas under protection, without management. The richness and abundance of amphibians and reptiles, most in some risk category, are low in all management methods, especially in MMOBI and CS, and almost absent in protection zones. Although this may be due to differences in sample sizes, completeness analysis indicates that sampling was sufficient to detect most taxa. It is also a reflection of the dimension of the areas where the mentioned methods are applied.

The bird and mammal communities sampled are dominated by a few species, two or three, with high abundance, while the rest had few individuals. Amphibians and reptiles have fewer species, but most have similar abundances.

Finally, it is important that those responsible for forest management programs consider species that are in some risk category in NOM-059-SEMARNAT-2010 and those endemic to Mexico as priorities for their conservation. This indicates that they are vulnerable to changes in their habitat conditions, such as those caused in the structure and composition of tree vegetation by forestry interventions and other human activities.

Taxonomic inventories are essential for understanding biodiversity in productive forests. They should be considered as a tool to base plans for the application of best practices for their conservation.

 

Acknowledgements

 

To the ejido authorities and owners of the properties on which the field work was carried out for allowing access to them. To the technicians who supported in data collection: Luz María Olivares García, Leyver Martínez Cuaymat, Daniel Rodríguez Fernández, Daniel Guerrero Mote, José Antonio Luna Hernández, Érika Cruz Gutiérrez and Francisco Roldán Islas. This study was funded by the Instituto Nacional de Investigaciones Forestales, Agrícolas y Pecuarias (National Institute of Forest, Agricultural and Livestock Research). To three anonymous reviewers for their helpful comments and suggestions to improve this article.

 

Conflict of interests

 

The author declares that he has no conflict of interest.

 

Contribution by author

 

Gilberto Chávez-León: conceptualization, field supervision, taxonomic determination, data verification and analysis, writing of the original manuscript, and preparation of maps, figures and tables.

 

 

 

References

Aldape-López, C. T. y A. Santos-Moreno. 2016. Efecto del manejo forestal en la herpetofauna de un bosque templado del occidente de Oaxaca, México. Revista de Biología Tropical 64(3):931-943. Doi: 10.15517/rbt.v64i3.21525.

Álvarez-Castañeda, S. T. and N. González-Ruiz. 2018. Spanish and English vernacular names of mammals of North America. Therya 9(1):73-84. Doi: 10.12933/therya-18-587.

AmphibiaWeb. 2023. AmphibiaWeb. University of California. https://amphibiaweb.org. (15 de agosto de 2023).

Aranda S., J. M. 2012. Manual para el rastreo de mamíferos silvestres de México. Comisión Nacional para el Conocimiento y Uso de la Biodiversidad (Conabio). Tlalpan, México D. F., México. 255 p.

Avibase. 2023. Avibase-Bird Checklists of the World. Mexico. Birds Canada and Bird Life International. https://avibase.bsc-eoc.org/checklist.jsp?lang=EN&p2=1&list=aou&synlang=&region=MX&version=text&lifelist=&highlight=0. (15 de agosto de 2023).

Barrón S., J. A. 2021. Biodiversidad y manejo forestal en la Sierra Norte de Puebla. Elementos 123:45-49. https://elementos.buap.mx/directus/storage/uploads/00000006072.pdf. (20 de diciembre de 2023).

Ceballos, G. y G. Oliva (Coords.). 2005. Los mamíferos silvestres de México. Fondo de Cultura Económica y Comisión Nacional para el Conocimiento y Uso de la Biodiversidad (Conabio). Tlalpan, México D. F., México. 986 p.

Chao, A., K. H. Ma, T. C. Hsieh and C. H. Chiu. 2019. User’s Guide for Online Program SpadeR (Species-richness Prediction and Diversity Estimation in R). Institute of Statistics and National Tsing Hua University. Guangfu, Ji, Taiwan. 88 p. https://sites.google.com/view/chao-lab-website/software/spade. (14 de noviembre de 2023).

Chao, A., Y. Kubota, D. Zelený, C. H. Chiu, … and R. K. Colwell. 2020. Quantifying sample completeness and comparing diversities among assemblages. Ecological Research 35(2):292–314. Doi: 10.1111/1440-1703.12102.

Chávez-León, G. 2019. Mammal and bird diversity in coniferous forests under management in the Trans-Mexican Neovolcanic Belt. Revista Mexicana de Ciencias Forestales 10(56):85-112. Doi: 10.29298/rmcf.v10i56.499.

Chesser, R. T., S. M. Billerman, K. J. Burns, C. Cicero, … and K. Winker. 2023. Check-list of North American Birds (online). American Ornithological Society. http://checklist.americanornithology.org/taxa. (15 de agosto de 2023).

Comisión Nacional Forestal (Conafor). 2015. Sistema de Certificación Forestal Mexicano (Sceformex). https://www.gob.mx/conafor/acciones-y-programas/certificacion-forestal-59242. (15 de agosto de 2023).

Comisión Nacional Forestal (Conafor). 2017. Biodiversidad en Bosques de Producción y Mercados Certificados. https://www.gob.mx/conafor/es/documentos/biodiversidad-en-bosques-de-produccion-y-mercados-certificados-27692?state=published. (15 de agosto de 2023).

Escalante, P., A. M. Sada y J. Robles G. 2014. Listado de nombres comunes de las aves de México. Universidad Nacional Autónoma de México y Sociedad para el Estudio y Conservación de las Aves en México A. C. (Cipamex). Coyoacán, México D. F., México. 39 p.

Escalante, T., G. Rodríguez, N. Gámez, L. León-Paniagua, O. Barrera y V. Sánchez-Cordero. 2007. Biogeografía y conservación de los mamíferos. In: Luna, I., J. J. Morrone y D. Espinoza (Edits.). Biodiversidad de la Faja Volcánica Transmexicana. Universidad Nacional Autónoma de México. Coyoacán, México D. F., México. pp. 485-502.

Ferrusquía-Villafranca, I. 2007. Ensayo sobre la caracterización y significación biológica. In: Luna, I., J. J. Morrone y D. Espinoza (Edits.). Biodiversidad de la Faja Volcánica Transmexicana. Universidad Nacional Autónoma de México. Coyoacán, México D. F., México. pp. 7-23.

Flores-Villela, Ó. y L. Canseco-Márquez. 2007. Riqueza de la herpetofauna. In: Luna, I., J. J. Morrone y D. Espinoza (Edits.). Biodiversidad de la Faja Volcánica Transmexicana. Universidad Nacional Autónoma de México. Coyoacán,México D. F., México. pp. 407-420.

González-Hernández, A., D. M. Moro-Hernández y J. A. Cruz. 2016. Distribución y uso de hábitat de Thamnophis pulchrilatus (Cope, 1885) en Chignahuapan, Puebla, México. Acta Zoológica Mexicana (Nueva Serie) 32(3):390-392. Doi: 10.21829/azm.2016.323975.

Howell, S. N. G. and S. Webb. 1995. A guide to the birds of Mexico and Northern Central America. Oxford University Press. Oxford, OX, United Kingdom. 1010 p.

Iglesias-Carrasco, M., I. Medina and T. J. Ord. 2023. Global effects of forest modification on herpetofauna communities. Conservation Biology 37(1):1-12. Doi: 10.1111/cobi.13998.

Instituto Nacional de Estadística y Geografía (Inegi). 2017. Guía para la interpretación de cartografía: Uso del suelo y vegetación. Escala 1:250 000, Serie VI. Inegi. Aguascalientes, Ags., México. 204 p. http://internet.contenidos.inegi.org.mx/contenidos/Productos/prod_serv/contenidos/espanol/bvinegi/productos/nueva_estruc/702825092030.pdf. (3 de noviembre de 2023).

Johnson, J. D., V. Mata-Silva and L. D. Wilson. 2015. A conservation reassessment of the Central American herpetofauna based on the EVS measure. Amphibian & Reptile Conservation 9(2):1–94. http://amphibian-reptile-conservation.org/pdfs/Volume/Vol_9_no_2/ARC_9_2_[General_Section]_1-94_e100_high_res.pdf. (28 de octubre de 2023).

Kahl, S., C. M. Wood, M. Eibl and H. Klinck. 2021. BirdNET: A deep learning solution for avian diversity monitoring. Ecological Informatics 61:101236. Doi: 10.1016/j.ecoinf.2021.101236.

Lemos-Espinal, J. A. y J. R. Dixon. 2016. Anfibios y reptiles de Hidalgo. Comisión Nacional para el Conocimiento y Uso de la Biodiversidad (Conabio). Tlalpan, México D. F., México. 763 p.

Lips, K. R., J. K. Reaser, B. E. Young and R. Ibáñez. 2001. Amphibian monitoring in Latin America: A protocol manual. Society for the Study of Amphibians and Reptiles. Virginia, VA, United States of America. 115 p.

López-Becerra, J. L. y J. A. Barrón-Sevilla. 2018. Diversidad de aves en un bosque bajo manejo forestal en la Sierra Norte de Puebla, México. Huitzil Revista Mexicana de Ornitología 19(2):168-179. Doi: 10.28947/hrmo.2018.19.2.338.

Luna V., M. I., J. J. Morrone y D. Espinoza O. (Edits.). 2007. Biodiversidad de la Faja Volcánica Transmexicana. Universidad Nacional Autónoma de México. Coyoacán, México D. F., México. 514 p.

Magurran, A. E. 2004. Measuring biological diversity. Blackwell Publishing. Malden, MA, United States of America. 256 p.

Mandujano R., S. y L. A. Pérez-Solano (Edits.). 2019. Fototrampeo en R; organización y análisis de datos. Instituto de Ecología A. C. Xalapa, Ver., México. 248 p.

McComb, B. C. 2016. Wildlife habitat management. Concepts and applications in forestry. CRC Press. Boca Raton, FL, United States of America. 401 p.

Morales M., M. 2015. Estudio de cuenca de abasto para la región Chignahuapan-Zacatlán, Puebla. Asesores en Manejo de Recursos Forestales S. C. Chignahuapan, Pue., México. 217 p. http://www.conafor.gob.mx:8080/documentos/docs/22/6249Chignahuapan%20-%20Zacatlan.pdf. (21 de octubre de 2023).

Navarro-Sigüenza, A. G., A. Lira-Noriega, A. T. Peterson, A. Oliveras de Ita y A. Gordillo-Martínez. 2007. Diversidad, endemismo y conservación de las aves. In: Luna, I., J. J. Morrone y D. Espinoza (Edits.). Biodiversidad de la Faja Volcánica Transmexicana. Universidad Nacional Autónoma de México. Coyoacán,México D. F., México. pp. 461-483.

Niedballa, J., R. Sollmann, A. Courtiol and A. Wilting. 2016. camtrapR: an R package for efficient camera trap data management. Methods in Ecology and Evolution 7(12):1457-1462. Doi: 10.1111/2041-210X.12600.

Palik, B. J., A. W. D’Amato, J. F. Franklin and K. N. Johnson. 2021. Ecological silviculture. Foundations and applications. Waveland Press, Inc. Long Groove, IL, United States of America. 343 p.

Peralta-Moctezuma, J. V. y J. Martínez-Vázquez. 2014. Biodiversidad mastofaunística de la Sierra Norte de Puebla, México. In: Sigala R., J. J. (Coord.). Memorias del XXI Congreso Nacional de Zoología 2013. Universidad de Aguascalientes. Aguascalientes, Ags., México. pp. 719-723. https://www.researchgate.net/publication/292145521_Biodiversidad_mastofaunistica_de_la_Sierra_Norte_de_Puebla_Mexico. (14 de noviembre de 2023).

Pierce, B. L., R. R. Lopez and N. J. Silvy. 2020. Estimating animal abundance. In: Silvy, N. J. (Edit.). The Wildlife Techniques Manual. Johns Hopkins University Press. Baltimore, MD, United States of America. pp. 297-334.

Ramírez M., H. 2017. Manual para la elaboración de programas de manejo forestal maderable en clima templado frío. Comisión Nacional Forestal (Conafor). Zapopan, Jal., México. 134 p.

Ramírez-Pulido, J., N. González-Ruiz, A. L. Gardner and J. Arroyo-Cabrales. 2014. List of Recent Land Mammals of Mexico, 2014. Natural Science Research Laboratory, Texas Tech University. Lubbock, TX, United States of America. 69 p.

R Core Team. 2020. The R Project for Statistical Computing (version 4.3.2). R Foundation for Statistical Computing. Vienna, W, Austria. https://www.R-project.org/. (14 de noviembre de 2023).

Sanczuk, P., K. De Pauw, E. De Lombaerde, M. Luoto, … and P. De Frenne. 2023. Microclimate and forest density drive plant population dynamics under climate change. Nature Climate Change 13:840-847. Doi: 10.1038/s41558-023-01744-y.

Secretaría de Medio Ambiente y Recursos Naturales (Semarnat). 2018. Decreto por el que se abroga la Ley General de Desarrollo Forestal Sustentable, publicada en el Diario Oficial de la Federación, el 25 de febrero de 2003, se expide la Ley General de Desarrollo Forestal Sustentable; y se reforma el primer párrafo al artículo 105 y se adiciona un segundo párrafo al mismo artículo de la Ley General del Equilibrio Ecológico y la Protección al Ambiente. Diario Oficial de la Federación, 5 de junio de 2018. https://dof.gob.mx/nota_detalle.php?codigo=5525247&fecha=05/06/2018#gsc.tab=0. (17 de octubre de 2023).

Secretaría de Medio Ambiente y Recursos Naturales (Semarnat). 2019. Modificación del Anexo Normativo III, Lista de especies en riesgo de la Norma Oficial Mexicana NOM-059-SEMARNAT-2010, Protección ambiental-Especies nativas de México de flora y fauna silvestres-Categorías de riesgo y especificaciones para su inclusión, exclusión o cambio-Lista de especies en riesgo, publicada el 30 de diciembre de 2010. Diario Oficial de la Federación,14 de noviembre de 2019. https://www.dof.gob.mx/nota_detalle.php?codigo=5578808&fecha=14/11/2019#gsc.tab=0. (17 de octubre de 2023).

Secretaría de Medio Ambiente y Recursos Naturales (Semarnat). 2020. Reglamento de la Ley General de Desarrollo Forestal Sustentable. Diario Oficial de la Federación, 9 de diciembre de 2020. https://www.dof.gob.mx/nota_detalle.php?codigo=5607136&fecha=09/12/2020. (14 de octubre de 2023).

Suárez-Mota, M. E. y O. Téllez-Valdés. 2014. Red de áreas prioritarias para la conservación de la biodiversidad del Eje Volcánico Transmexicano analizando su riqueza florística y variabilidad climática. Polibotánica 38:67-93. https://polibotanica.mx/index.php/polibotanica/article/view/379/245. (10 de diciembre de 2023).

Uetz, P., P. Freed, R. Aguilar, F. Reyes, J. Kudera and J. Hošek. (Edits.). 2023. The Reptile Database. Virginia Commonwealth University. http://www.reptile-database.org. (15 de agosto de 2023).

Villaseñor, J. L. y E. Ortiz. 2007. La familia Asteraceae. In: Luna, I., J. J. Morrone y D. Espinoza (Edits.). Biodiversidad de la Faja Volcánica Transmexicana. Universidad Nacional Autónoma de México. Coyoacán, México D. F., México. pp. 289-310.

 

 

        

Todos los textos publicados por la Revista Mexicana de Ciencias Forestales sin excepción– se distribuyen amparados bajo la licencia Creative Commons 4.0 Atribución-No Comercial (CC BY-NC 4.0 Internacional), que permite a terceros utilizar lo publicado siempre que mencionen la autoría del trabajo y a la primera publicación en esta revista.