Revista Mexicana de Ciencias Forestales Vol. 15 (81)

Enero - Febrero (2024)

Logotipo, nombre de la empresa

Descripción generada automáticamente

DOI: https://doi.org/10.29298/rmcf.v15i81.1423

Artículo de investigación

 

Vertebrados terrestres en bosques de coníferas bajo manejo

Terrestrial vertebrates of managed coniferous forests

 

Gilberto Chávez-León1*

 

Fecha de recepción/Reception date: 25 de agosto de 2023.

Fecha de aceptación/Acceptance date: 2 de enero de 2024.

_______________________________

1Centro Nacional de Investigación Disciplinaria en Conservación y Mejoramiento de Ecosistemas Forestales, INIFAP. México.

 

*Autor para correspondencia; correo-e: chavez.gilberto@inifap.gob.mx

*Corresponding author; e-mail: chavez.gilberto@inifap.gob.mx

 

Resumen

El manejo forestal sustentable requiere de la integración de mejores prácticas de conservación de la diversidad biológica. Para esto, es necesario conocer la composición y riqueza de las comunidades silvestres en los sitios donde se aplican diferentes prácticas silvícolas. Con esta finalidad, se muestreó durante cuatro años la fauna de bosques productivos de la región de Chignahuapan, Puebla. Se registraron 112 especies: 13 de mamíferos medianos y grandes, 83 de aves, cuatro de anfibios y 12 de reptiles. A partir de la abundancia de estas especies observadas, se determinó la riqueza esperada con el estimador no paramétrico Chao1. El método de manejo con mayor riqueza esperada fue el Método de Desarrollo Silvícola (MDS) con 113, seguido por Cortas Sucesivas (CS) con 97, y la menor se observó en el Método Mexicano de Ordenación de Bosques Irregulares (MMOBI) con 71. La completitud de los muestreos varió del 92 % en anfibios al 99 % en mamíferos. Dieciséis especies se encuentran en alguna categoría de riesgo en la norma oficial mexicana NOM-059-SEMARNAT-2010, y 25 son endémicas de México. Se presentan listas taxonómicas con información sobre la situación de conservación, endemismo y abundancia relativa. Los métodos intensivos de manejo forestal, como MDS, tienen una comunidad de mamíferos y aves más rica que el MMOBI y CS, pero similar a las de áreas bajo protección. La riqueza y abundancia de anfibios y reptiles, la mayoría en alguna categoría de riesgo, son bajas, especialmente en el MMOBI y CS, y casi ausentes en zonas de protección.

Palabras clave: Anfibios, aves, mamíferos, Método de Desarrollo Silvícola, Método Mexicano de Ordenación de Bosques Irregulares, reptiles.

Abstract

Sustainable forest management requires the integration of better practices for the conservation of biological diversity. Therefore, it is necessary to know the composition and richness of wild communities in sites where different forest management practices are applied. To this end, the fauna of managed forests in the Chignahuapan region of Puebla State was sampled for four years. A total of 112 species were recorded: 13 medium and large mammals, 83 birds, four amphibians and 12 reptiles. The abundances of these observed species were used to calculate the expected richness with the non-parametric Chao1 estimator. The management method with the highest expected richness was the Silvicultural Development Method (MDS) with 113, followed by Successive Cutting (CS) with 97, and the lowest was observed in the Mexican Method for the Management of Irregular Forests (MMOBI) with 71. Sampling completeness ranged from 92 % in amphibians to 99 % in mammals. Sixteen species are in some risk category in the official Mexican standard NOM-059-SEMARNAT-2010, and 25 are endemic to Mexico. Taxonomic lists contain information on conservation status, endemism and relative abundance. Intensive forest management methods, such as MDS, have a richer mammal and bird community than MMOBI and CS but are similar to protected areas. The richness and abundance of amphibians and reptiles, most of them in some risk category, are low, especially in MMOBI and CS, and almost absent in protected areas.

Key words: Amphibians, birds, mammals, Silvicultural Development Method, Mexican Method for Irregular Forest Management, reptiles. 

 

 

Introducción

 

 

Los ecosistemas forestales proveen el hábitat de plantas y animales silvestres con los recursos necesarios para mantener sus poblaciones en el espacio y a través del tiempo (McComb, 2016). Los bosques templados de la Faja Volcánica Transmexicana (FVT) se encuentran en una zona de transición donde se sobreponen las regiones Neártica y Neotropical, por lo que se distinguen por su alta riqueza biológica y endemicidad (Luna et al., 2007; Suárez-Mota y Téllez-Valdés, 2014; Johnson et al., 2015). La variedad de climas y condiciones fisiográficas presentes en la FVT favorecen una rica flora representada por al menos 5 139 especies de plantas vasculares, el cual es el mayor número de taxones en estos ecosistemas de las principales regiones montañosas de México (Villaseñor y Ortíz, 2007). La diversidad de fauna silvestre también es alta en respuesta a la variedad de ambientes y riqueza florística (Escalante et al., 2007; Flores-Villela y Canseco-Márquez, 2007; Navarro-Sigüenza et al., 2007). La importancia de los vertebrados terrestres (anfibios, reptiles, aves y mamíferos) en esos ecosistemas consiste en el papel que tienen como polinizadores, dispersores de semillas, presas o depredadores y consumidores de invertebrados e insectos dañinos y de carroña (McComb, 2016).

La Faja Volcánica Transmexicana es una de las principales regiones de México por su importancia social y económica; su biodiversidad está sujeta a amenazas por presiones antropogénicas como el cambio de uso del suelo, deforestación y crecimiento de la población humana, entre otros factores.

Los pinos (Pinus L.) y los encinos (Quercus L.) son de los grupos de plantas en la FVT con mayor riqueza y de alta importancia económica, ya que son sobreexplotados por tala ilegal o aprovechados de manera sustentable (Suárez-Mota y Téllez-Valdés, 2014). Para su aprovechamiento se aplican diversos sistemas técnicos con diferentes grados de intensidad: el Método de Desarrollo Silvícola (MDS), que incluye prácticas intensivas que propician la regeneración (corta total, cortas de liberación y de aclareo), es el que predomina y se aplica en la mayor parte de la superficie de la región donde se realizó este estudio.

Lo anterior provoca que el arbolado resultante sea homogéneo, con edades uniformes y con pocas especies. Además, en las zonas más altas, a partir de los 3 000 msnm, se aplica el Método Mexicano de Ordenación de Bosques Irregulares (MMOBI), el cual es de tipo selectivo, por lo que se mantiene mayor diversidad específica y estructural de la vegetación arbórea, pero la superficie con ese tipo de manejo es poca en la zona de estudio. Por último, y en menor grado, se utiliza el Método de Cortas Sucesivas (CS), el cual es similar al MDS, que promueve la protección de árboles semilleros y la regeneración natural, lo que resulta en masas homogéneas (Morales, 2015; Ramírez, 2017).

Los sistemas de manejo antes referidos tienen un impacto en la abundancia y riqueza de los vertebrados silvestres, ya que transforman la estructura espacial y la composición florística de la vegetación, así como en la humedad y temperatura locales (Palik et al., 2021).

La legislación mexicana en la materia establece como una de sus prioridades integrar mejores prácticas para la conservación de la biodiversidad de bosques y selvas en los programas de manejo forestal (Semarnat, 2018, 2020). Para lograrlo, es necesario conocer su composición y estado. Como primera fase, se requiere de conocimiento generado a partir de un sistema de monitoreo con el que los encargados del manejo de predios boscosos obtengan información básica para identificar áreas en riesgo de pérdida de la diversidad biológica, y para aplicar procedimientos que mitiguen los impactos de los diversos sistemas silvícolas (Conafor, 2015, 2017). La segunda fase consiste en analizar el efecto de los diferentes sistemas silvícolas en la riqueza, diversidad y ocupación.

La región donde se realizó el presente estudio se localiza en la Sierra Norte de Puebla y se conoce como Cuenca de Abasto Chignahuapan-Zacatlán por su importancia forestal, ya que en ella se ubica más de la mitad de la superficie boscosa bajo manejo del estado de Puebla, por los volúmenes anuales de madera cosechada y por tener casi 50 % de la industria forestal instalada de la entidad. Por lo tanto, se promueve la aplicación de técnicas de manejo intensivo con la incorporación de mejores prácticas que permitan conservar la biodiversidad en las áreas intervenidas (Morales, 2015; Conafor, 2017).

La importancia de la conservación de la diversidad biológica en zonas sujetas a manejo forestal se promueve desde hace poco tiempo (Conafor, 2017), incluyendo la Sierra Norte de Puebla (Barrón, 2021), lo que ha impulsado la realización de tesis, observaciones e inventarios faunísticos para complementar los programas de manejo forestal. Sin embargo, pocos se han publicado en la literatura científica ya que la mayoría quedan en informes técnicos.

Al respecto, estudios formales y publicados en esta zona son escasos y parciales; entre ellos se pueden citar a Chávez-León (2019), quien registró mediante fototrampeo la presencia de nueve especies de mamíferos medianos y grandes, además de siete aves, con una riqueza específica similar en rodales donde se aplican el MDS y el MMOBI. López-Becerra y Barrón-Sevilla (2018) documentaron 35 taxones de aves en bosques con manejo forestal del ejido Acolihuia, e indicaron mayor riqueza en las prácticas silvícolas del MDS que en las del MMOBI. La herpetofauna de la región ha recibido poca atención, con citas puntuales sobre avistamientos de algunas especies, como el de González-Hernández et al. (2016) en el que se mencionan una culebra: Thamnophis pulchrilatus (Cope, 1885), tres lagartijas: Abronia graminea (Cope, 1864), Sceloporus microlepidotus (Herrera, 1890) (sinónimo de S. grammicus Wiegmann, 1828) y Lepidophyma sylvaticum Taylor, 1939, y dos ranas: Dryophytes eximius (Baird, 1854) y Rheohyla miotympanum (Cope, 1863).

El objetivo de este trabajo fue generar un inventario general de anfibios, reptiles, aves y mamíferos medianos y grandes, así como estimar su riqueza en bosques de coníferas sujetos a tres diferentes métodos de manejo silvícola en la región de Chignahuapan, Puebla, México. Por limitaciones de espacio, en otro artículo se documentará el análisis cuantitativo y comparativo de los efectos del manejo forestal en los indicadores de diversidad de la fauna.

 

 

Materiales y Métodos

 

 

La zona de estudio se localiza en la región de la Faja Volcánica Transmexicana conocida como Sierra Norte de Puebla, principalmente en el municipio Chignahuapan (ejidos Rinconada, Llano Verde, Villa Cuauhtémoc y Chignahuapan, propiedad particular Fracción III de la Ex Hacienda de Atlamaxac) y parcialmente en los municipios Aquixtla, Puebla (Reserva Forestal Multifuncional El Manantial) y Tlaxco, Tlaxcala (propiedad particular Fracción VI de la Ex Hacienda de Atlamaxac), en un intervalo altitudinal de 2 400 a 3 550 m (Figura 1).

 

Figura 1. Ubicación de las estaciones de muestreo de fauna silvestre (puntos amarillos) en predios bajo manejo forestal en Chignahuapan y Aquixtla, Puebla y Tlaxco, Tlaxcala, México.

 

El ecosistema que predomina es bosque de coníferas con tipos de vegetación de pino, pino-encino, encino-pino, oyamel-pino y oyamel en diferentes fases de desarrollo de sucesión secundaria (Inegi, 2017). Se distinguen hasta tres estratos arbóreos, uno arbustivo con diferentes grados de densidad y uno herbáceo. El clima es templado subhúmedo, y en las zonas más altas es semifrío subhúmedo. En estos bosques domina Pinus patula Schltdl. & Cham. como consecuencia de un largo proceso de intervención y reforestación con este pino de alta importancia económica (Morales, 2015).

El muestreo se realizó en los años 2019 (octubre 14 a diciembre 6), 2020 (marzo 30 a junio 5), 2021 (septiembre 20 a diciembre 7) y 2022 (abril 25 a julio 8) en 32 estaciones distribuidas, mayoritariamente, en rodales donde se aplicó el tratamiento silvícola de cortas de aclareo del MDS (17), ya que este método es el más extendido en la región. En menor proporción, se muestreó en rodales sujetos a cortas de selección del MMOBI (4) y en cortas de liberación de CS (1) que se aplican en pocas superficies, además se incluyeron rodales destinados para su protección (10), los cuales no reciben manejo silvícola. La toma de datos se repitió por dos años en la mayoría de los sitios (15) y en algunos hasta en tres (2) y cuatro (6), aunque una vez en nueve.

El estudio se enfocó en cuatro grupos de vertebrados terrestres: anfibios, reptiles, aves, y mamíferos medianos y grandes. La toma de datos de aves, herpetofauna y rastros de mamíferos se llevó a cabo en tres ocasiones (con intervalos de 30 días) en cada periodo anual de muestreo.

Los métodos de campo consistieron en estaciones de muestreo circulares de 1 ha, con una distancia mínima de 2 km entre sí, ubicadas en el interior de áreas boscosas a más de 50 m del borde más cercano con ambientes abiertos como desmontes, cortas totales, áreas agrícolas o pastizales. Se establecieron dos o tres por predio, en función de su extensión. Cada una se instrumentó con una cámara trampa marca Cuddeback® modelos E3 (flash negro) o C1 (flash blanco) para captar de manera autónoma imágenes de mamíferos medianos y grandes, aunque también se registraron aves. Se mantuvieron operando continuamente por un mínimo de 60 días para tomar simultáneamente fotos con definición de 20 MP y videos de 30 segundos. Para su registro, se programaron eventos de tres tomas sincrónicas con intervalos de demora entre eventos de 1 minuto. La revisión del estado del equipo se realizó con una periodicidad de 30 días.

El manejo, organización y análisis de las imágenes se hizo con el paquete camtrapR en R (Niedballa et al., 2016; R Core Team, 2020). Para complementar y confirmar los registros del fototrampeo se llevó a cabo una búsqueda intensiva de rastros durante 30 minutos en toda la estación circular de 1 ha (Aranda, 2012). Las especies se determinaron con base en las descripciones de Ceballos y Oliva (2005).

El registro visual y auditivo de aves se realizó mediante puntos de conteo de 15 minutos de duración desde el centro de la estación (Pierce et al., 2020). La identificación de las especies observadas se corroboró mediante las descripciones de Howell y Webb (1995), y se complementó con grabaciones de sonidos durante 15 minutos, distribuidos en tres periodos continuos de tres minutos activos por dos minutos de pausa con un equipo portátil Tascam®DR-40X, las cuales se analizaron en línea con la aplicación BirdNET (Kahl et al., 2021).

Para anfibios y reptiles se efectuó una búsqueda intensiva durante 30 minutos en la estación de monitoreo (1 ha). La captura de los ejemplares fue manual o con bastón herpetológico (Lips et al., 2001); los individuos se liberaron en el mismo sitio después de tomarles fotografías para su posterior identificación mediante las claves taxonómicas de Lemos-Espinal y Dixon (2016).

La abundancia se calculó acorde a los diferentes métodos de muestreo utilizados para cada grupo taxonómico. La cantidad de registros de individuos por especie de aves, anfibios y reptiles se usó para estimar la frecuencia relativa: proporción de la cantidad de registros de cada especie por estación de muestreo entre el total (Pierce et al., 2020). En el caso de los mamíferos, se calculó el número de individuos detectados por las cámaras estandarizado por 1 000 días-trampa (Mandujano y Pérez-Solano, 2019).

Para determinar qué tan completo es un inventario biológico, se aplican estadísticos avanzados desarrollados recientemente (Chao et al., 2020) como una alternativa a las tradicionales curvas de acumulación de especies. Esos estadísticos son parametrizados por un orden q para controlar la sensibilidad a las abundancias relativas de las especies. Cuando q=0, las abundancias de especies no se consideran y se reducen a la medida convencional de riqueza. La completitud del muestreo (C) es la relación entre la riqueza de especies observada y la riqueza esperada (observada mas no detectada) que se expresa como proporción o porcentaje. La completitud de los muestreos y la riqueza esperada de cada grupo se calcularon con el programa SpadeR (Chao et al., 2019).

La estructura de las cuatro comunidades de vertebrados terrestres se analizó en términos de la homogeneidad de sus abundancias, para lo cual se generaron gráficas de rango/abundancia o Whittaker plots (Magurran, 2004) en las que se ordenan las especies de mayor a menor cantidad o proporción.

Se elaboraron listas taxonómicas de los cuatro grupos muestreados, a partir de las cuales se identificaron los taxones con alguna categoría de riesgo en la Norma Oficial Mexicana NOM-059-SEMARNAT-2010 (Semarnat, 2019) y con distribución restringida (endémicas de México), los cuales deben considerarse como prioritarias para su conservación en bosques manejados. 

 

 

Resultados y Discusión

 

 

En total, se registraron 13 especies de mamíferos medianos y grandes, 83 de aves, cuatro de anfibios y 12 de reptiles (Cuadro 1). Esto representa 45 % de los mamíferos medianos y grandes (Escalante et al., 2007), 14 % de las aves, con excepción de las asociadas a ambientes acuáticos (Navarro-Sigüenza et al., 2007), 4 % de los anfibios y 9 % de los reptiles (Flores-Villela y Canseco-Márquez, 2007) de existencia total estimada de taxones de estos cuatro grupos en la FVT. Si se considera que la superficie de la FVT es de aproximadamente 156 mil km2 (Ferrusquía-Villafranca, 2007) y la del área boscosa donde se realizó el presente estudio abarca alrededor de 600 km2 (0.4 %), se infiere que el único grupo mejor representado fue el de los mamíferos.

 

Cuadro 1. Riqueza observada y estimada de anfibios, reptiles, aves y mamíferos y completitud del muestreo en bosques sujetos a manejo forestal en la región de Chignahuapan, Puebla.

 

n

Robs

q0

C (%)

Anfibios

Total

10

4

5

91.8

MDS

7

3

3

99.9

MMOBI

2

2

-

-

CS

1

1

-

-

Protección

0

0

-

-

Reptiles

Total

64

12

13

98.6

MDS

50

12

13

98.3

MMOBI

2

2

-

-

CS

3

4

-

-

Protección

9

4

6

80.2

Aves

Total

1 284

83

91

98.9

MDS

765

78

83

98.7

MMOBI

106

35

64

86.0

CS

27

47

88

84.1

Protección

386

61

69

96.1

Mamíferos

Total

502

13

14

99.6

MDS

262

12

14

99.5

MMOBI

9

3

3

96.3

CS

36

5

4

99.9

Protección

195

9

9

99.5

n = Cantidad de individuos registrados; Robs = Riqueza observada; q0 = Riqueza estimada (estimador de Chao1); C = Completitud del muestreo (cobertura de muestra estimada); - = Datos insuficientes para cómputo.

 

El análisis de completitud (C) indicó que el muestreo fue suficiente para registrar a la mayoría de las especies existentes en la zona de estudio (Cuadro 1), ya que el total por grupo taxonómico varió de un mínimo de 91.8 % para los anfibios a un máximo de 99.6 % para los mamíferos, con un poco menos para aves (98.9 %) y reptiles (98.6 %). En cuanto a los diferentes métodos de manejo forestal, en el MDS se lograron los valores más altos en los cuatro grupos, seguido por CS y MMOBI, aunque en las áreas bajo protección o sin manejo, la completitud y riqueza esperada fueron más altas que en estos dos y similares a lo registrado en MDS.

En el MDS se registró una mayor cantidad de especies de los cuatro grupos de vertebrados terrestres que en los rodales donde se utilizan los otros dos métodos de manejo forestal (Cuadro 1). Lo anterior se debe, principalmente, a las diferencias en el tamaño de las superficies: las del MMOBI y CS son menores que las correspondientes a MDS. Lo mismo ocurrió en el caso de los mamíferos y reptiles, y las cantidades de anfibios fueron mínimas. Es notable que en las áreas de protección no se registraran anfibios, pero sí reptiles. Posiblemente se deba a los cambios en humedad y temperatura ocasionados por la aplicación de las distintas etapas del ciclo de cortas y la gradual apertura del dosel (Iglesias-Carrasco et al., 2023; Sanczuk et al., 2023), las cuales modifican las condiciones del hábitat para estos organismos ectotermos que dependen de fuentes externas de calor para regular su temperatura corporal.

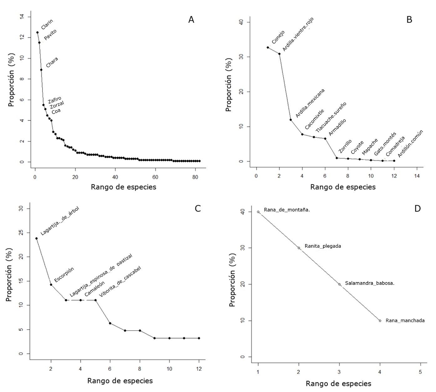
Las curvas de Whittaker ilustran la estructura de las comunidades de cada grupo taxonómico: dominancia, equidad y riqueza de especies (Figura 2). La de aves es cóncava, con pendiente muy pronunciada al inicio (Figura 2A), lo que indica que tres especies, Myadestes occidentalis Stejneger, 1882, Myioborus pictus (Swainson, 1829) y Cyanocitta stelleri (Gmelin, 1788), son las más abundantes y dominan esta comunidad con una proporción de 9 a 12 %, seguidas por cinco (proporción de 4 y 6 %), y el resto (75 especies) con muy baja abundancia. La gráfica de mamíferos medianos y grandes tiende a ser más convexa (Figura 2B) con dos taxones cuya abundancia proporcional es de aproximadamente 30 % (Sylvilagus Gray, 1867 spp. y Sciurus aureogaster F. Cuvier, 1829), otras cuatro entre 7 y 10 % y el resto (seis especies) con alrededor de 1 %. Es decir, al menos la mitad tienen una abundancia similar.

 

A = Aves; B= Mamíferos medianos y grandes; C = Anfibios; D = Reptiles.

Figura 2. Curvas de Whittaker.

 

Respecto a los reptiles, una lagartija (Sceloporus grammicus) fue la dominante con 23 % de los registros, cuatro acumulan entre 10 y 15 % y siete con menos de 5 %; la pendiente es menos marcada que las dos anteriores como consecuencia de una mayor equidad en la abundancia de los reptiles menos abundantes (Figura 2C). La curva de anfibios es un ejemplo de una comunidad pobre en especies y abundancia, lo que se nota por la pendiente recta y las diferencias proporcionales de 10 % entre cada una (Figura 2D). En comparación, la comunidad de aves fue la de mayor riqueza y la menos uniforme, seguida por la de mamíferos y reptiles con menos especies, pero mayor uniformidad, y la de anfibios fue la menos rica.

 

 

Especies prioritarias para su conservación  

 

 

Con fundamento en su categoría de riesgo establecida en la Norma Oficial Mexicana NOM-059-SEMARNAT-2010 (Semarnat, 2019) y su distribución restringida (endemismo), se determinaron las especies que deben ser consideradas prioritarias para su conservación en predios bajo manejo forestal. Del total de los taxones registrados, 13 están incluidos en la NOM-059-SEMARNAT-2010: seis reptiles, cuatro anfibios, cuatro aves y dos mamíferos. Por su distribución, 25 de las especies son endémicas de México: ocho aves, un mamífero, cuatro anfibios y 12 reptiles (Cuadro 2).

 

Cuadro 2. Especies en riesgo y endémicas de México prioritarias para su conservación en bosque bajo manejo en la región de Chignahuapan, Puebla.

 

NOM-059-SEMARNAT-2010

Distribución

Aves

Gavilán de Cooper

Accipiter cooperii (Bonaparte, 1828)

Pr

No endémica

Gallina de monte veracruzana

Dendrortyx barbatus Gould, 1846

P

Endémica

Carpintero de Strickland

Dryobates stricklandi (Malherbe, 1845)

A

Endémica

Cuitlacoche manchado

Toxostoma ocellatum (Sclater, 1862)

-

Endémica

Clarín jilguero

Myadestes occidentalis Stejneger, 1882

Pr

No endémica

Mirlo dorso canela

Turdus rufopalliatus de Lafresnaye, 1840

-

Endémica

Rascador ceja verde

Arremon virenticeps (Bonaparte, 1855)

-

Endémica

Zacatonero rayado

Oriturus superciliosus (Swainson, 1838)

-

Endémica

Rascador gorra canela

Atlapetes pileatus Wagler, 1831

-

Endémica

Chipe rojo

Cardellina rubra (Swainson, 1827)

-

Endémica

Mamíferos

Ardilla mexicana

Sciurus oculatus Peters, 1863

Pr

Endémica

Anfibios

Ranita de montaña

Dryophytes eximius (Baird, 1854)

-

Endémica

Ranita plegada

Dryophytes plicatus (Brocchi, 1877)

A

Endémica

Rana manchada

Rana spectabilis (Hillis & Frost, 1985)

-

Endémica

Salamandra babosa

Aquiloeurycea cephalica (Cope, 1865)

A

Endémica

Reptiles

Escorpión transvolcánico

Barisia imbricata (Wiegmann, 1828)

Pr

Endémica

Camaleón de montaña

Phrynosoma orbiculare (Linnaeus, 1758)

A

Endémica

Lagartija espinosa de pastizal

Sceloporus aeneus Wiegmann, 1828

-

Endémica

Lagartija espinosa de pastizal neovolcánica

Sceloporus bicanthalis Smith, 1937

-

Endémica

Lagartija de árbol

Sceloporus grammicus Wiegmann, 1828

Pr

No endémica

Lagartija espinosa de collar

Sceloporus torquatus Wiegmann, 1828

-

Endémica

Lincer de los encinos

Plestiodon lynxe (Wiegmann, 1834)

Pr

Endémica

Culebra toluqueña rayada

Conopsis lineata (Kennicott, 1859)

-

Endémica

Culebra parda mexicana

Storeria storerioides (Cope, 1866)

-

Endémica

Culebra jarretera mexicana del Altiplano

Thamnophis pulchrilatus (Cope, 1885)

-

Endémica

Culebra jarretera alpina cola-larga

Thamnophis scalaris Cope, 1861

A

Endémica

Cascabel enana

Crotalus ravus Cope, 1865

Pr

Endémica

Viborita de cascabel

Crotalus triseriatus Wagler, 1830

-

Endémica

P = Peligro de extinción; A = Amenazada; Pr = Sujeta a protección especial (Semarnat, 2019); Distribución: Endémica de México, No endémica de México (Avibase, 2023).

 

A continuación, se presentan las listas taxonómicas de los cuatro grupos de vertebrados registrados en el área de estudio.

 

 

Aves

 

 

Se registraron 83 especies de aves pertenecientes a 10 órdenes y 31 familias (Cuadro 3) con un esfuerzo de muestreo de 3 015 minutos de puntos de conteo. Con las cámaras trampa se captaron varios taxones, dos de ellos únicamente con esos equipos: Arremon virenticeps (Bonaparte, 1855) y Toxostoma ocellatum (Sclater, 1862), ambos endémicos de México. Dendrortyx barbatus Gould, 1846 se identificó sólo por su canto. López-Becerra y Barrón-Sevilla (2018) registraron 35 especies en el ejido Acolihuia, ubicado en la misma región donde se realizó este estudio, cantidad similar al promedio de registros en los siete predios considerados en la presente investigación. Los autores observaron la mayor riqueza en áreas manejadas por el MDS, particularmente en cortas de liberación y regeneración, e intermedia en las de aclareo. Igualmente, en el estudio que aquí se documenta fue mayor en MDS, aunque el muestreo solo se efectuó en rodales con cortas de aclareo.

 

Cuadro 3. Aves registradas mediante puntos de conteo en 32 estaciones de monitoreo establecidas en bosques de coníferas con manejo forestal.

 

Estacionalidad

Frecuencia relativa

Clase: Aves

Orden: Galliformes

Familia: Odontophoridae

 

 

Gallina de monte veracruzana

Dendrortyx barbatus Gould, 1846

R

3

Orden: Columbiformes

Familia: Columbidae

 

 

Paloma encinera

Patagioenas fasciata (Say, 1822)

R

10

Paloma arroyera

Leptotila verreauxi Bonaparte, 1855

R

10

Paloma huilota

Zenaida macroura (Linnaeus, 1758)

R

10

Orden: Caprimulgiformes

Familia: Caprimulgidae

 

 

Tapacamino cuerporruín mexicano

Antrostomus arizonae Brewster, 1881

R

7

Orden: Apodiformes

Familia: Trochilidae

 

 

Colibrí garganta azul

Lampornis clemenciae (Lesson, 1830)

R

3

Colibrí magnífico

Eugenes fulgens (Swainson, 1827)

R

7

Zumbador rufo

Selasphorus rufus (Gmelin, 1788)

MI

7

Zumbador cola ancha

Selasphorus platycercus (Swainson, 1827)

R

28

Colibrí piquiancho

Cynanthus latirostris Swainson, 1827

R

3

Zafiro orejas blancas

Basilinna leucotis (Vieillot, 1818)

R

76

Orden: Cathartiformes

Familia: Cathartidae

 

 

Zopilote aura

Cathartes aura (Linnaeus, 1758)

R

3

Orden: Accipitriformes

Familia: Accipiitridae

 

 

Gavilán pecho rufo

Accipiter striatus Vieillot, 1808

R

3

Gavilán de Cooper

Accipiter cooperi (Bonaparte, 1828)

MI

3

Aguililla cola roja

Buteo jamaicensis (Gmelin, 1788)

R

52

Orden: Strigiformes

Familia: Tytonidae

 

 

Lechuza de campanario

Tyto alba (Scopoli, 1769)

R

3

Familia: Strigidae

 

 

Búho cornudo

Bubo virginianus (Gmelin, 1788)

R

3

Tecolote serrano

Glaucidium gnoma Wagler, 1832

R

14

Tecolote afilador

Aegolius acadicus (Gmelin, 1788)

R

14

Orden: Trogoniformes

Familia: Trogonidae

 

 

Coa mexicana

Trogon mexicanus Swainson, 1827

R

72

Orden: Piciformes

Familia: Picidae

 

 

Carpintero arlequín

Melanerpes formicivorus (Swainson, 1827)

R

17

Carpintero moteado

Sphyrapicus varius (Linnaeus, 1766)

MI

3

Carpintero velloso mayor

Dryobates villosus (Linnaeus, 1766)

R

7

Carpintero de Strickland

Dryobates stricklandi (Malherbe, 1845)

R

3

Carpintero de pechera

Colaptes auratus (Linnaeus, 1758)

R

3

Orden: Passeriformes

Familia: Tyrannidae

 

 

Mosquero copetón

Mitrephanes phaeocercus (Sclater, 1859)

R

3

Pibí boreal

Contopus cooperi (Nuttall, 1831)

T

3

Pibí tengo frío

Contopus pertinax Cabanis and Heine, 1859

R

10

Pibí oriental

Contopus virens (Linnaeus, 1766)

T

10

Mosquero de los pinos

Empidonax affinis (Swainson, 1827)

R

3

Mosquero barranqueño

Empidonax occidentalis Nelson, 1897

R

21

Familia: Vireonidae

 

 

Vireo reyezuelo

Vireo huttoni Cassin, 1851

R

17

Vireo verde amarillo

Vireo flavoviridis (Cassin, 1851)

RV

3

Vireo ojo rojo

Vireo olivaceus (Linnaeus, 1766)

M

10

Familia: Corvidae

 

 

Chara copetona

Cyanocitta stelleri (Gmelin, 1788)

R

97

Cuervo común

Corvus corax Linnaeus, 1758

R

17

Familia: Paridae

 

 

Carbonero mexicano

Poecile sclateri (Kleinschmidt, 1897)

R

52

Familia: Hirundinidae

 

 

Golondrina verdemar

Tachycineta thalassina (Swainson, 1827)

R

3

Familia: Aegithalidae

 

 

Sastrecillo

Psaltriparus minimus (Townsend, 1837)

R

24

Familia: Regulidae

 

 

Reyezuelo corona roja

Corthylio calendula (Linnaeus, 1766)

MI

24

Familia: Ptiliogonatidae

 

 

Capulinero gris

Ptiliogonys cinereus (Swainson, 1827)

R

21

Familia: Sittidae

 

 

Sita pecho blanco

Sitta carolinensis Latham, 1790

R

24

Familia: Certhidae

 

 

Trepadorcito americano

Certhia americana Bonaparte, 1838

R

62

Familia: Polioptilidae

 

 

Perlita

Polioptila caerulea (Linnaeus, 1766)

R

10

Familia: Troglodytidae

 

 

Chivirín saltapared

Troglodytes aedon Vieillot, 1809

R

31

Chivirín cola oscura

Thryomanes bewickii (Audubon, 1827)

R

14

Chivirín pecho gris

Henicorhina leucophrys (Tschudi, 1844)

R

3

Familia: Mimidae

 

 

Cuitlacoche manchado

Toxostoma ocellatum (Sclater, 1862)

R

3

Familia: Turdidae

 

 

Azulejo garganta azul

Sialia mexicana Swainson, 1832

R

3

Clarín jilguero

Myadestes occidentalis Stejneger, 1882

R

90

Zorzal mexicano

Catharus occidentalis Sclater, 1859

R

76

Mirlo dorso canela

Turdus rufopalliatus de Lafresnaye, 1840

R

3

Mirlo primavera

Turdus migratorius Linnaeus, 1766

R

62

Familia: Peucedramidae

 

 

Ocotero enmascarado

Peucedramus taeniatus (Du Bus de Gisignies, 1847)

R

52

Familia: Fringillidae

 

 

Pinzón mexicano

Haemorhous mexicanus (Müller, 1776)

R

10

Picotuerto rojo

Loxia curvirostra Linnaeus, 1758

R

14

Jilguero pinero

Spinus pinus (Wilson, 1810)

R

31

Jilguero dominico

Spinus psaltria (Say, 1822)

R

3

Familia: Passerellidae

 

 

Gorrión ceja blanca

Spizella passerina (Bechstein, 1798)

R

3

Rascador ceja verde

Arremon virenticeps (Bonaparte, 1855)

R

3

Junco ojos de lumbre

Junco phaeonotus Wagler, 1831

R

34

Zacatonero rayado

Oriturus superciliosus (Swainson, 1838)

R

3

Rascador moteado

Pipilo maculatus Swainson, 1827

R

31

Rascador gorra canela

Atlapetes pileatus Wagler, 1831

R

66

Familia: Icteridae

 

 

Bolsero encapuchado

Icterus cucullatus Swainson, 1827

T

10

Tordo ojo rojo

Molothrus aeneus (Wagler, 1829)

R

10

Familia: Parulidae

 

 

Chipe trepador

Mniotilta varia (Linnaeus, 1766)

MI

14

Chipe cejas blancas

Oreothlypis superciliosa (Hartlaub, 1844)

R

48

Chipe oliváceo

Leiothlypis celata (Say, 1822)

MI

3

Chipe cabeza gris

Leiothlypis ruficapilla (Wilson, 1811)

MI

24

Chipe flameante

Setophaga ruticilla (Linnaeus, 1758)

M

14

Chipe coronado

Setophaga coronata (Linnaeus, 1766)

MI

28

Chipe ceja amarilla

Setophaga graciae (Baird, 1865)

R

10

Chipe negro amarillo

Setophaga townsendi (Townsend, 1837)

MI

24

Chipe cabeza amarilla

Setophaga occidentalis (Townsend, 1837)

MI

28

Chipe gorra canela

Basileuterus rufifrons (Swainson, 1838)

R

10

Chipe ceja dorada

Basileuterus belli (Giraud, 1841)

R

17

Chipe corona negra

Cardellina pusilla (Wilson, 1811)

MI

24

Chipe cara roja

Cardellina rubrifrons (Giraud, 1841)

MI

10

Chipe rojo

Cardellina rubra (Swainson, 1827)

R

69

Pavito aliblanco

Myioborus pictus (Swainson, 1829)

R

7

Pavito alas negras

Myioborus miniatus (Swainson, 1827)

R

83

Familia: Cardinalidae

 

 

Tángara encinera

Piranga flava (Vieillot, 1822)

R

14

Cardenal rojo

Cardinalis cardinalis (Linnaeus, 1758)

R

7

Picogordo tigrillo

Pheucticus melanocephalus (Swainson, 1827)

R

38

Familia: Thraupidae

 

 

Picaflor canelo

Diglossa baritula Wagler, 1832

R

3

R = Residente todo el año; MI = Migratorio de invierno; T = Transitorio, solo durante migración; RV = Residente de verano, migra al sur (Avibase, 2023); Frecuencia relativa = Proporción de estaciones de monitoreo en las que se detectó cada especie. Se sigue la nomenclatura y secuencia taxonómica de la American Ornithological Society (Chesser et al., 2023). Los nombres comunes son los propuestos por Escalante et al. (2014). 

 

 

Mamíferos

 

 

Con un esfuerzo de muestreo de 3 574 días-cámara se registraron 13 especies de mamíferos medianos y grandes distribuidos en seis órdenes y 10 familias (Cuadro 4). Esto representa 15 % de las 87 especies que se distribuyen en bosques de coníferas de la Sierra Norte de Puebla (Peralta-Moctezuma y Martínez-Vázquez, 2014), aunque la mayoría (72 %) son taxones de tamaño pequeño que no son captados por las cámaras (murciélagos), o no se pueden distinguir detalles morfológicos en las imágenes para su determinación taxonómica hasta género o especie; tal es el caso de musarañas, topos, tuzas y ratones. También se obtuvieron fotos y videos de animales domésticos como perros y ovejas, y de personas, principalmente recolectores de hongos y leña, además de operarios forestales.

 

Cuadro 4. Mamíferos registrados mediante cámaras trampa en 32 estaciones de monitoreo establecidas en bosques de coníferas con manejo forestal.

Nombre

Índice de abundancia relativa

Clase: Mammalia

Orden: Didelphimorphia

Familia: Didelphidae

 

Tlacuache sureño

Didelphis marsupialis Linnaeus, 1758

46

Orden: Cingulata

Familia: Dasypodidae

 

Armadillo

Dasypus novemcinctus Linnaeus, 1758

9

Orden: Lagomorpha

Familia: Leporidae

 

Conejo mexicano

Sylvilagus cunicularius (Waterhouse, 1848)

46

Conejo del este

Sylvilagus floridanus (J. A. Allen, 1890)

43

Orden: Rodentia

Familia: Sciuridae

 

Ardillón común

Otospermophilus variegatus (Erxleben, 1777)

1

Ardilla de vientre rojo

Sciurus aureogaster F. Cuvier, 1829

44

Ardilla mexicana

Sciurus oculatus Peters, 1863

17

Orden: Carnivora

Familia: Felidae

 

Gato montés

Lynx rufus (Schreber, 1777)

1

Familia: Canidae

 

Coyote

Canis latrans Say, 1822

1

Familia: Mephitidae

 

Zorrillo rayado sureño

Mephitis macroura Lichtenstein, 1832

1

Familia: Mustelidae

 

Comadreja

Mustela frenata Lichtenstein, 1831

1

Familia: Procyonidae

 

Cacomixtle

Bassariscus astutus (Lichtenstein, 1830)

11

Mapache

Procyon lotor (Linnaeus, 1758)

1

Índice de abundancia relativa = Número de individuos detectados por cámaras trampa, estandarizado por 1 000 días-trampa. Se sigue la nomenclatura y secuencia taxonómica de Ramírez-Pulido et al. (2014). Los nombres comunes son los propuestos por Álvarez-Castañeda y González-Ruiz (2018).

 

 

Anfibios y reptiles

 

 

Se registraron cuatro especies de anfibios y 12 de reptiles con un esfuerzo de muestreo de 6 030 minutos de búsqueda intensiva (Cuadro 5). Aldape-López y Santos-Moreno (2016) citaron una riqueza similar en bosques templados bajo manejo forestal en Oaxaca: seis anfibios y 15 reptiles. La mayor abundancia de anfibios se observó en sitios con tratamientos correspondientes a corta de baja intensidad (selección en grupo), mientras que la de reptiles fue mayor en los tratamientos intensivos (árboles Padre), la mayor riqueza fue en rodales sin manejo. En el presente estudio se registraron más especies de ambos grupos en los tratamientos silvícolas del MDS y muy pocas en el MMOBI; en los sitios de protección (sin manejo) no hubo anfibios.

 

Cuadro 5. Anfibios y reptiles registrados mediante búsqueda intensiva en 32 estaciones de monitoreo en bosques de coníferas con manejo forestal.

Nombre

Abundancia relativa

Clase: Amphibia

Orden: Anura

Familia: Hylidae

 

Ranita de montaña

Dryophytes eximius (Baird, 1854)

40

Ranita plegada

Dryophytes plicatus (Brocchi, 1877)

30

Familia: Ranidae

 

Rana manchada

Rana spectabilis (Hillis & Frost, 1985)

10

Orden: Caudata

Familia: Plethodontidae

 

Salamandra babosa

Aquiloeurycea cephalica (Cope, 1865)

20

Clase: Reptilia

Orden: Squamata

Suborden: Lacertilia

Familia: Anguidae

 

Escorpión transvolcánico

Barisia imbricata (Wiegmann, 1828)

14

Familia: Phrynosomatidae

 

Camaleón de montaña

Phrynosoma orbiculare (Linnaeus, 1758)

11

Lagartija espinosa de pastizal

Sceloporus aeneus Wiegmann, 1828

11

Lagartija espinosa de pastizal neovolcánica

Sceloporus bicanthalis Smith, 1937

5

Lagartija de árbol

Sceloporus grammicus Wiegmann, 1828

24

Lagartija espinosa de collar

Sceloporus torquatus Wiegmann, 1828

4

Familia: Scincidae

 

Lincer de los encinos

Plestiodon lynxe (Wiegmann, 1834)

3

Orden: Squamata

Suborden: Serpentes

Familia: Colubridae

 

Culebra toluqueña rayada

Conopsis lineata (Kennicott, 1859)

3

Familia: Natricidae

 

Culebra jarretera mexicana del Altiplano

Thamnophis pulchrilatus (Cope, 1885)

3

Culebra jarretera alpina cola-larga

Thamnophis scalaris Cope, 1861

3

Familia: Viperidae

 

Cascabel enana

Crotalus ravus Cope, 1865

5

Viborita de cascabel

Crotalus triseriatus Wagler, 1830

5

Abundancia relativa = Número de individuos por especie detectados por búsqueda intensiva (30 min) entre el total por 100. Se sigue la clasificación y nomenclatura de AmphibiaWeb(2023) y Uetz et al. (2023), respectivamente. Los nombres comunes son de Lemos-Espinal y Dixon (2016).

 

 

Conclusiones

 

 

En las áreas sujetas a métodos intensivos de manejo forestal, como el MDS, se observa una comunidad de mamíferos y aves más rica que en el MMOBI y CS, pero similar a las de áreas bajo protección, sin manejo. La riqueza y abundancia de anfibios y reptiles, la mayoría en alguna categoría de riesgo, son bajas en todos los métodos de manejo, especialmente en el MMOBI y CS, y casi ausentes en zonas de protección. Aunque esto se puede deber a las diferencias en los tamaños de muestra, el análisis de completitud indica que el muestreo fue suficiente para detectar a la mayoría de los taxones. Es también un reflejo de la dimensión de las áreas donde se aplican los métodos mencionados.

Las comunidades de aves y mamíferos muestreadas están dominadas por pocas especies (dos o tres) con abundancia alta, mientras que el resto tuvo pocos individuos. Las de anfibios y reptiles tienen menos especies, pero la mayoría con abundancias similares.

Por último, es importante que los responsables de los programas de manejo forestal consideren como prioritarias para su conservación a las especies que están en alguna categoría de riesgo en la NOM-059-SEMARNAT-2010 y las endémicas de México. Esto indica que son vulnerables a cambios en las condiciones de su hábitat, como los causados en la estructura y composición de la vegetación arbórea por las intervenciones silviculturales y otras actividades humanas.

Los inventarios taxonómicos son esenciales para el conocimiento de la biodiversidad en bosques productivos. Deben ser considerados como una herramienta para fundamentar planes para la aplicación de mejores prácticas para su conservación.

 

Agradecimientos

 

A las autoridades ejidales y propietarios de los predios en los que se llevó a cabo el trabajo de campo por permitir el acceso a los mismos. A los técnicos que apoyaron en la toma de datos: Luz María Olivares García, Leyver Martínez Cuaymat, Daniel Rodríguez Fernández, Daniel Guerrero Mote, José Antonio Luna Hernández, Érika Cruz Gutiérrez y Francisco Roldán Islas. Este estudio fue financiado por el Instituto Nacional de Investigaciones Forestales, Agrícolas y Pecuarias. A tres revisores anónimos por sus útiles comentarios y sugerencias para mejorar este artículo.

 

Conflicto de intereses

 

El autor declara no tener conflicto de intereses.

 

Contribución por autor

 

Gilberto Chávez-León: conceptualización, supervisión de campo, determinación taxonómica, verificación y análisis de datos, redacción del manuscrito original, y elaboración de mapas, figuras y cuadros.

 

 

Referencias

Aldape-López, C. T. y A. Santos-Moreno. 2016. Efecto del manejo forestal en la herpetofauna de un bosque templado del occidente de Oaxaca, México. Revista de Biología Tropical 64(3):931-943. Doi: 10.15517/rbt.v64i3.21525.

Álvarez-Castañeda, S. T. and N. González-Ruiz. 2018. Spanish and English vernacular names of mammals of North America. Therya 9(1):73-84. Doi: 10.12933/therya-18-587.

AmphibiaWeb. 2023. AmphibiaWeb. University of California. https://amphibiaweb.org. (15 de agosto de 2023).

Aranda S., J. M. 2012. Manual para el rastreo de mamíferos silvestres de México. Comisión Nacional para el Conocimiento y Uso de la Biodiversidad (Conabio). Tlalpan, México D. F., México. 255 p.

Avibase. 2023. Avibase-Bird Checklists of the World. Mexico. Birds Canada and Bird Life International. https://avibase.bsc-eoc.org/checklist.jsp?lang=EN&p2=1&list=aou&synlang=&region=MX&version=text&lifelist=&highlight=0. (15 de agosto de 2023).

Barrón S., J. A. 2021. Biodiversidad y manejo forestal en la Sierra Norte de Puebla. Elementos 123:45-49. https://elementos.buap.mx/directus/storage/uploads/00000006072.pdf. (20 de diciembre de 2023).

Ceballos, G. y G. Oliva (Coords.). 2005. Los mamíferos silvestres de México. Fondo de Cultura Económica y Comisión Nacional para el Conocimiento y Uso de la Biodiversidad (Conabio). Tlalpan, México D. F., México. 986 p.

Chao, A., K. H. Ma, T. C. Hsieh and C. H. Chiu. 2019. User’s Guide for Online Program SpadeR (Species-richness Prediction and Diversity Estimation in R). Institute of Statistics and National Tsing Hua University. Guangfu, Ji, Taiwan. 88 p. https://sites.google.com/view/chao-lab-website/software/spade. (14 de noviembre de 2023).

Chao, A., Y. Kubota, D. Zelený, C. H. Chiu, … and R. K. Colwell. 2020. Quantifying sample completeness and comparing diversities among assemblages. Ecological Research 35(2):292–314. Doi: 10.1111/1440-1703.12102.

Chávez-León, G. 2019. Mammal and bird diversity in coniferous forests under management in the Trans-Mexican Neovolcanic Belt. Revista Mexicana de Ciencias Forestales 10(56):85-112. Doi: 10.29298/rmcf.v10i56.499.

Chesser, R. T., S. M. Billerman, K. J. Burns, C. Cicero, … and K. Winker. 2023. Check-list of North American Birds (online). American Ornithological Society. http://checklist.americanornithology.org/taxa. (15 de agosto de 2023).

Comisión Nacional Forestal (Conafor). 2015. Sistema de Certificación Forestal Mexicano (Sceformex). https://www.gob.mx/conafor/acciones-y-programas/certificacion-forestal-59242. (15 de agosto de 2023).

Comisión Nacional Forestal (Conafor). 2017. Biodiversidad en Bosques de Producción y Mercados Certificados. https://www.gob.mx/conafor/es/documentos/biodiversidad-en-bosques-de-produccion-y-mercados-certificados-27692?state=published. (15 de agosto de 2023).

Escalante, P., A. M. Sada y J. Robles G. 2014. Listado de nombres comunes de las aves de México. Universidad Nacional Autónoma de México y Sociedad para el Estudio y Conservación de las Aves en México A. C. (Cipamex). Coyoacán, México D. F., México. 39 p.

Escalante, T., G. Rodríguez, N. Gámez, L. León-Paniagua, O. Barrera y V. Sánchez-Cordero. 2007. Biogeografía y conservación de los mamíferos. In: Luna, I., J. J. Morrone y D. Espinoza (Edits.). Biodiversidad de la Faja Volcánica Transmexicana. Universidad Nacional Autónoma de México. Coyoacán, México D. F., México. pp. 485-502.

Ferrusquía-Villafranca, I. 2007. Ensayo sobre la caracterización y significación biológica. In: Luna, I., J. J. Morrone y D. Espinoza (Edits.). Biodiversidad de la Faja Volcánica Transmexicana. Universidad Nacional Autónoma de México. Coyoacán, México D. F., México. pp. 7-23.

Flores-Villela, Ó. y L. Canseco-Márquez. 2007. Riqueza de la herpetofauna. In: Luna, I., J. J. Morrone y D. Espinoza (Edits.). Biodiversidad de la Faja Volcánica Transmexicana. Universidad Nacional Autónoma de México. Coyoacán,México D. F., México. pp. 407-420.

González-Hernández, A., D. M. Moro-Hernández y J. A. Cruz. 2016. Distribución y uso de hábitat de Thamnophis pulchrilatus (Cope, 1885) en Chignahuapan, Puebla, México. Acta Zoológica Mexicana (Nueva Serie) 32(3):390-392. Doi: 10.21829/azm.2016.323975.

Howell, S. N. G. and S. Webb. 1995. A guide to the birds of Mexico and Northern Central America. Oxford University Press. Oxford, OX, United Kingdom. 1010 p.

Iglesias-Carrasco, M., I. Medina and T. J. Ord. 2023. Global effects of forest modification on herpetofauna communities. Conservation Biology 37(1):1-12. Doi: 10.1111/cobi.13998.

Instituto Nacional de Estadística y Geografía (Inegi). 2017. Guía para la interpretación de cartografía: Uso del suelo y vegetación. Escala 1:250 000, Serie VI. Inegi. Aguascalientes, Ags., México. 204 p. http://internet.contenidos.inegi.org.mx/contenidos/Productos/prod_serv/contenidos/espanol/bvinegi/productos/nueva_estruc/702825092030.pdf. (3 de noviembre de 2023).

Johnson, J. D., V. Mata-Silva and L. D. Wilson. 2015. A conservation reassessment of the Central American herpetofauna based on the EVS measure. Amphibian & Reptile Conservation 9(2):1–94. http://amphibian-reptile-conservation.org/pdfs/Volume/Vol_9_no_2/ARC_9_2_[General_Section]_1-94_e100_high_res.pdf. (28 de octubre de 2023).

Kahl, S., C. M. Wood, M. Eibl and H. Klinck. 2021. BirdNET: A deep learning solution for avian diversity monitoring. Ecological Informatics 61:101236. Doi: 10.1016/j.ecoinf.2021.101236.

Lemos-Espinal, J. A. y J. R. Dixon. 2016. Anfibios y reptiles de Hidalgo. Comisión Nacional para el Conocimiento y Uso de la Biodiversidad (Conabio). Tlalpan, México D. F., México. 763 p.

Lips, K. R., J. K. Reaser, B. E. Young and R. Ibáñez. 2001. Amphibian monitoring in Latin America: A protocol manual. Society for the Study of Amphibians and Reptiles. Virginia, VA, United States of America. 115 p.

López-Becerra, J. L. y J. A. Barrón-Sevilla. 2018. Diversidad de aves en un bosque bajo manejo forestal en la Sierra Norte de Puebla, México. Huitzil Revista Mexicana de Ornitología 19(2):168-179. Doi: 10.28947/hrmo.2018.19.2.338.

Luna V., M. I., J. J. Morrone y D. Espinoza O. (Edits.). 2007. Biodiversidad de la Faja Volcánica Transmexicana. Universidad Nacional Autónoma de México. Coyoacán, México D. F., México. 514 p.

Magurran, A. E. 2004. Measuring biological diversity. Blackwell Publishing. Malden, MA, United States of America. 256 p.

Mandujano R., S. y L. A. Pérez-Solano (Edits.). 2019. Fototrampeo en R; organización y análisis de datos. Instituto de Ecología A. C. Xalapa, Ver., México. 248 p.

McComb, B. C. 2016. Wildlife habitat management. Concepts and applications in forestry. CRC Press. Boca Raton, FL, United States of America. 401 p.

Morales M., M. 2015. Estudio de cuenca de abasto para la región Chignahuapan-Zacatlán, Puebla. Asesores en Manejo de Recursos Forestales S. C. Chignahuapan, Pue., México. 217 p. http://www.conafor.gob.mx:8080/documentos/docs/22/6249Chignahuapan%20-%20Zacatlan.pdf. (21 de octubre de 2023).

Navarro-Sigüenza, A. G., A. Lira-Noriega, A. T. Peterson, A. Oliveras de Ita y A. Gordillo-Martínez. 2007. Diversidad, endemismo y conservación de las aves. In: Luna, I., J. J. Morrone y D. Espinoza (Edits.). Biodiversidad de la Faja Volcánica Transmexicana. Universidad Nacional Autónoma de México. Coyoacán,México D. F., México. pp. 461-483.

Niedballa, J., R. Sollmann, A. Courtiol and A. Wilting. 2016. camtrapR: an R package for efficient camera trap data management. Methods in Ecology and Evolution 7(12):1457-1462. Doi: 10.1111/2041-210X.12600.

Palik, B. J., A. W. D’Amato, J. F. Franklin and K. N. Johnson. 2021. Ecological silviculture. Foundations and applications. Waveland Press, Inc. Long Groove, IL, United States of America. 343 p.

Peralta-Moctezuma, J. V. y J. Martínez-Vázquez. 2014. Biodiversidad mastofaunística de la Sierra Norte de Puebla, México. In: Sigala R., J. J. (Coord.). Memorias del XXI Congreso Nacional de Zoología 2013. Universidad de Aguascalientes. Aguascalientes, Ags., México. pp. 719-723. https://www.researchgate.net/publication/292145521_Biodiversidad_mastofaunistica_de_la_Sierra_Norte_de_Puebla_Mexico. (14 de noviembre de 2023).

Pierce, B. L., R. R. Lopez and N. J. Silvy. 2020. Estimating animal abundance. In: Silvy, N. J. (Edit.). The Wildlife Techniques Manual. Johns Hopkins University Press. Baltimore, MD, United States of America. pp. 297-334.

Ramírez M., H. 2017. Manual para la elaboración de programas de manejo forestal maderable en clima templado frío. Comisión Nacional Forestal (Conafor). Zapopan, Jal., México. 134 p.

Ramírez-Pulido, J., N. González-Ruiz, A. L. Gardner and J. Arroyo-Cabrales. 2014. List of Recent Land Mammals of Mexico, 2014. Natural Science Research Laboratory, Texas Tech University. Lubbock, TX, United States of America. 69 p.

R Core Team. 2020. The R Project for Statistical Computing (version 4.3.2). R Foundation for Statistical Computing. Vienna, W, Austria. https://www.R-project.org/. (14 de noviembre de 2023).

Sanczuk, P., K. De Pauw, E. De Lombaerde, M. Luoto, … and P. De Frenne. 2023. Microclimate and forest density drive plant population dynamics under climate change. Nature Climate Change 13:840-847. Doi: 10.1038/s41558-023-01744-y.

Secretaría de Medio Ambiente y Recursos Naturales (Semarnat). 2018. Decreto por el que se abroga la Ley General de Desarrollo Forestal Sustentable, publicada en el Diario Oficial de la Federación, el 25 de febrero de 2003, se expide la Ley General de Desarrollo Forestal Sustentable; y se reforma el primer párrafo al artículo 105 y se adiciona un segundo párrafo al mismo artículo de la Ley General del Equilibrio Ecológico y la Protección al Ambiente. Diario Oficial de la Federación, 5 de junio de 2018. https://dof.gob.mx/nota_detalle.php?codigo=5525247&fecha=05/06/2018#gsc.tab=0. (17 de octubre de 2023).

Secretaría de Medio Ambiente y Recursos Naturales (Semarnat). 2019. Modificación del Anexo Normativo III, Lista de especies en riesgo de la Norma Oficial Mexicana NOM-059-SEMARNAT-2010, Protección ambiental-Especies nativas de México de flora y fauna silvestres-Categorías de riesgo y especificaciones para su inclusión, exclusión o cambio-Lista de especies en riesgo, publicada el 30 de diciembre de 2010. Diario Oficial de la Federación,14 de noviembre de 2019. https://www.dof.gob.mx/nota_detalle.php?codigo=5578808&fecha=14/11/2019#gsc.tab=0. (17 de octubre de 2023).

Secretaría de Medio Ambiente y Recursos Naturales (Semarnat). 2020. Reglamento de la Ley General de Desarrollo Forestal Sustentable. Diario Oficial de la Federación, 9 de diciembre de 2020. https://www.dof.gob.mx/nota_detalle.php?codigo=5607136&fecha=09/12/2020. (14 de octubre de 2023).

Suárez-Mota, M. E. y O. Téllez-Valdés. 2014. Red de áreas prioritarias para la conservación de la biodiversidad del Eje Volcánico Transmexicano analizando su riqueza florística y variabilidad climática. Polibotánica 38:67-93. https://polibotanica.mx/index.php/polibotanica/article/view/379/245. (10 de diciembre de 2023).

Uetz, P., P. Freed, R. Aguilar, F. Reyes, J. Kudera and J. Hošek. (Edits.). 2023. The Reptile Database. Virginia Commonwealth University. http://www.reptile-database.org. (15 de agosto de 2023).

Villaseñor, J. L. y E. Ortiz. 2007. La familia Asteraceae. In: Luna, I., J. J. Morrone y D. Espinoza (Edits.). Biodiversidad de la Faja Volcánica Transmexicana. Universidad Nacional Autónoma de México. Coyoacán, México D. F., México. pp. 289-310.

 

 

        

Todos los textos publicados por la Revista Mexicana de Ciencias Forestales sin excepción– se distribuyen amparados bajo la licencia Creative Commons 4.0 Atribución-No Comercial (CC BY-NC 4.0 Internacional), que permite a terceros utilizar lo publicado siempre que mencionen la autoría del trabajo y a la primera publicación en esta revista.