Revista Mexicana de Ciencias Forestales Vol. 9 (45)

Enero – Febrero (2018)

DOI:https://doi.org/10.29298/rmcf.v9i45.142

Article

Diversidad y estructura arbórea en un bosque de Abies vejarii Martínez en el sur del estado de Nuevo León

Tree diversity and structure in an Abies vejarii Martínez at the south of Nuevo León state

Rigoberto González Cubas1, Eduardo Javier Treviño Garza1*, Marco Aurelio González Tagle1, Álvaro Duque Montoya2 y Martín Gómez Cárdenas3

Fecha de recepción/Reception date: 4 de agosto de 2017

Fecha de aceptación/Acceptance date: 27 de noviembre de 2017.

_______________________________

1Facultad de Ciencias Forestales, Universidad de Nuevo León. México.

2Facultad de Ciencias Agrarias, Departamento de Ciencias Forestales, Universidad Nacional de Colombia-Sede Medellín. Colombia.

3Campo Experimental Uruapan. CIR-Pacífico Centro. INIFAP. México.

*Autor por correspondencia, correo-e: eduardo.trevinogr@uanl.edu.mx

Abstract:

To evaluate species diversity and tree density in natural forests of Abies vejarii in south Nuevo León, a directed sampling was applied in four Permanent Forest Research Sites of 2 500 m2, at 100 m high between each community. Tree diameter information was recorded for normal diameters greater than 7.5 cm. Species composition, diversity, density of individuals, basal area and dominance by species between altitudinal gradient were determined. A statistical analysis was performed with the hypothesis of equality of medians with Kruskal-Wallis nonparametric test; the effect of distance at altitude was evaluated by means of species rarefaction curves and tablecloth tests. It was a total of 553 individuals of 7 families, 10 genera and 15 species. Pinaceae and Fagaceae reached the highest importance value index; the first contributed with most species. The average forest density was 523 ha-1 individuals with an average basimetric area of 30.44 m2ha-1. The Shannon-Weiner index (H ') varied from 1.47 to 1.76. The mantel test did not recognize significant differences in the distance between the communities (p> 0.05); the Kruskal-Wallis test and the rarefaction curves revealed that the richness of species varied significantly (p <0.05). The most frequent diameters are less than 40 cm. It is concluded that the greatest diversity of species occurred in the lower elevation community and the structure corresponds to that of an irregular mature forest without management.

Key words: Abies vejarii Martínez, rarefaction curves, altitudinal gradient, diversity indexes, Kruskal-Wallis test, tablecloth test.

Resumen:

Para evaluar la diversidad de especies y la densidad arbórea en bosques naturales de Abies vejarii en el sur de Nuevo León, se aplicó un muestreo dirigido en cuatro Sitios Permanentes de Investigación Forestal de 2 500 m2, a 100 m de altitud entre cada comunidad. Se registró información dasométrica del arbolado para diámetros normales mayores a 7.5 cm. Se determinó la composición de especies, la diversidad, la densidad de individuos, el área basal y la dominancia por especie entre gradiente altitudinal. Se realizó un análisis estadístico con la hipótesis de igualdad de medianas mediante la prueba no paramétrica de Kruskal-Wallis; se evaluó el efecto de la distancia en altitud a partir de las curvas de rarefacción de especies y pruebas de mantel. Resultó un total de 553 individuos de siete familias, 10 géneros y 15 especies. Pinaceae y Fagaceae alcanzaron el mayor índice de valor de importancia; la primera aportó la mayoría de los taxa. La densidad forestal promedio fue de 523 individuos ha-1, con un área basal promedio de 30.44 m2ha-1. El índice de Shannon-Weiner (H') varió de 1.47 a 1.76. La prueba de mantel no reconoció diferencias significativas en la distancia entre las comunidades (p>0.05); la prueba de Kruskal-Wallis y las curvas de rarefacción revelaron que la riqueza de especies varió significativamente (p<0.05). Los diámetros más frecuentes son menores a 40 cm. Se concluye que la mayor diversidad se presentó en la comunidad de menor altitud y la estructura corresponde a la de un bosque maduro irregular sin manejo.

Palabras clave: Abies vejarii Martínez, curvas de rarefacción, gradiente altitudinal, índices de diversidad, prueba de Kruskal-Wallis, prueba de mantel.

Introducción

En el mundo se han consignado de 47 a 52 especies de Abies (oyameles), todas en el hemisferio norte; forman masas puras o asociadas con Pinus spp. y Quercus spp. (Xiang et al., 2007; Granados et al., 2007; Farjon y Filler, 2013). En México, el género está representado por 10 especies (Martínez-Méndez et al., 2016), en bosques que cubren alrededor de 144 mil hectáreas (FAO, 2010a); su mayor concentración se distribuye en el centro del país (Rzedowski, 1978; Sánchez et al., 2006).

La conservación de estos ecosistemas es importante; sin embargo, la extensión geográfica de las poblaciones de Abies se está reduciendo en la actualidad debido a problemas ecológicos, sociales, económicos y del cambio climático (Alvarado et al., 1991; Fagre y Peterson, 2002; Saavedra et al., 2003; Encina et al., 2008). Varios taxones del género están en alguna categoría de riesgo, como Abies vejarii Martínez, que constituye una de las seis especies endémicas de México (Semarnat, 2010; Gernandt y Pérez-de la Rosa, 2014; Martínez-Méndez et al., 2016).

A. vejarii crece en áreas muy específicas de la Sierra Madre Oriental de los estados de Coahuila, Nuevo León y Tamaulipas con poblaciones reducidas (Farjon, 2013). Por ello, se considera de gran interés científico conocer la dinámica poblacional de esas masas relictos, mediante la diversidad y estructura arbórea de sus comunidades.

Los principales elementos que determinan la composición, diversidad y estructura de las comunidades vegetales dependen del tamaño del área (Aguirre, 2002; Condit et al., 2002). La dinámica de población de las especies en ecosistemas forestales es un indicador de la sucesión de la vegetación, y de los cambios climáticos en el ecotono de los ecosistemas (Camarero y Gutiérrez, 2004). Los disturbios como los deslizamientos de tierra, el sobrepastoreo y el fuego promueven cambios en la composición y diversidad de especies que varían con la altitud (Stephenson y Mantgem, 2005; Cuyckens et al., 2015).

Los gradientes altitudinales en particular están muy asociados a las modificaciones ambientales, las que llevan implícitas a su vez, un cambio en la biodiversidad (Meraz et al., 2017); además, la altitud es un factor importante que condiciona de modo directo las variables ambientales e indirectamente las poblacionales, como crecimiento y mortalidad (Homeier et al., 2010, Girardin et al., 2010, Blundo et al., 2012; Anderson et al., 2013).

El cambio de valores de los índices dentro y entre comunidades proporciona información de la competencia interespecífica sobre la estructura de un rodal (Castellanos et al., 2010). Por lo tanto, el objetivo del presente trabajo fue describir la composición de la comunidad, la diversidad de especies y la estructura de la población de árboles en cuatro ecosistemas forestales con presencia de Abies vejarii a lo largo de un gradiente altitudinal, en el Sur de Nuevo León, México.

Materiales y Métodos

Área de estudio

Se seleccionaron masas forestales con presencia de Abies vejarii en el ejido La Encantada del municipio General Zaragoza estado de Nuevo León, México, que se localiza en las coordenadas 23°54’18.36’’ norte y 99°47’44.04’’ oeste, en un intervalo altitudinal de 2 400 a 2 700 m. Los datos se obtuvieron de cuatro sitios denominados por el paraje de ubicación (Figura 1).

C:\Users\Rigoberto\AppData\Local\Microsoft\Windows\INetCache\Content.Word\Figura 1_final.jpg

Figura 1. Localidades de muestreo en el área de estudio.

De acuerdo con el sistema nacional de información de estaciones climatológicas y del WorldClim, la temperatura media anual osciló entre 12.6 °C y 14.8 °C, con una precipitación media anual de 800 mm (Conagua, 2010; Fick y Hijmans, 2017). La superficie del terreno es accidentada con pendientes pronunciadas. En el área, el clima es de tipo C(E)(w2) cálido semifrío subhúmedo con lluvias en verano (Inegi, 2010). La vegetación natural corresponde a un bosque de coníferas destinado a la provisión y mejoramiento de los servicios ambientales forestales.

Metodología

Se implementó un diseño de muestreo dirigido, en el que los estratos fueron rodales en diferentes condiciones de desarrollo natural, determinados por su altitud (Figura 2). El muestreo cubrió un área de 10 000 m2 (1 ha-1), resultado del levantamiento de cuatro sitios, cada uno con un área de 2 500 m2 (50 m × 50 m), en donde se aplicó la metodología recomendada por Corral et al. (2009). Se registró información para las especies arbóreas mayores de 7.5 cm de diámetro; las variables cuantificadas fueron: especie, número de árboles, el diámetro normal (DN1.30), altura total (ht) y diámetro de copa (norte-sur y este-oeste), así como las distancias del árbol central a cada uno de los árboles dentro del sitio. El diámetro se midió con una forcípula Haglöf de 80 cm y una cinta diamétrica Forestry Suppliers de 5 m, para la altura se utilizó un hipsómetro Vertex Forestor Haglöf; mientras que para los diámetros de copa se empleó un longimetro Lufkin de 30 m. Se hizo una colecta botánica de todas las especies vegetales asociadas para su identificación posterior.

Figura 2. Composición y estructura de la dinámica de bosques de Abies vejarii Martínez en el ejido La Encantada, Nuevo León. Imágenes de cada sitio donde se ilustran las características del ecosistema estudiado.

Análisis de los datos

La base de datos elaborada con el registro de los individuos en los sitios de muestreo se analizó cuantitativamente para obtener la densidad relativa, frecuencia relativa y la dominancia relativa, y con ellos calcular el índice de valor de importancia (IVI) de las especies arbóreas, que se obtiene a partir de la suma de las tres variables (Curtis y McIntosh, 1950; Mueller-Dombois y Ellemberg, 1974; Mostacedo y Fredericksen, 2000; Treviño et al., 2001).

La diversidad se determinó a través del índice de diversidad de Shannon para cada comunidad (Shannon y Weaver, 1949), el cual es un algoritmo que describe dicho componente como independiente de la distancia y que refleja la heterogeneidad de una comunidad sobre la base de dos factores: el número de especies presentes y su abundancia relativa (Castellanos et al., 2008) (ecuación 1):

                            (1)

Donde:

Pi = ni/N = Proporción de individuos de la i-ésima especie

ni = Número de individuos de la especie i

N = Número total de individuos de todas las especies de ese tipo de vegetación en el bosque

ln = Logaritmo natural

La dominancia de especies se calculó mediante el índice de Simpson (1949), un índice de diversidad ponderado hacia los taxa más abundantes en la muestra; cuando su valor aumenta, disminuye la diversidad y se expresa, generalmente, de 0 a 1 (ecuación 2):

                                            (2)

Donde:

Pi = La función de información de Shannon

El índice de equidad se refiere al grado de dominancia relativa de cada taxon por sitio, que cuantifica la igualdad como la proporción de la diversidad observada en relación con la máxima diversidad esperada, cuyos valores varían entre 0 y 1; mientras más alto sea el índice, mayor igualdad de las especies. Se calcula de acuerdo con Pielou (1966) con la siguiente expresión matemática (3):

                         (3)

Donde:

H´ = Índice de Shannon

S = Número de especies

La riqueza de especies dentro de cada comunidad se determinó por el índice de Margalef (1968), mediante la ecuación (4):

                                               (4)

Donde:

S = Número de especies

N = Número de individuos

El análisis de la composición estructural consideró la comparación de la distribución de las categorías diamétricas, y para determinar si hay diferencias significativas en la diversidad y en la estructura arbórea entre los cuatro gradientes altitudinales, se utilizó la prueba no paramétrica de Kruskal-Wallis (ecuación 5) (Kruskal y Wallis, 1952), con la hipótesis nula de igualdad de medianas y con un nivel de significancia de 95 %; esto se debe a que, previamente, los datos fueron sometidos a pruebas de normalidad de Kolmogorov-Smirnov (K-S), los cuales no presentaron una distribución normal.

                          (5)

Donde:

N = Número total de elementos

Ri = Rango promedio del grupo i

ni = Número de elementos del grupo i

Se evaluó el efecto de la abundancia de individuos sobre el número de especies entre las altitudes, para lo cual se construyeron curvas de rarefacción realizadas para cada altitud del bosque, en función del número de especies y el número de individuos muestreados (Colwell, 2006; Colwell et al., 2012; Oksanen et al., 2017); lo anterior hizo posible comparar la riqueza de especies entre altitudes. Además, se aplicó el índice de Sørensen entre los sitios, con la finalidad de conocer el porcentaje de especies compartidas (Chao et al., 2005).

Finalmente, a partir de las coordenadas geográficas y la altitud, se evaluó la diversidad beta, con base en la relación de la distancia geográfica entre los sitios de muestreo de cada altitud con pruebas de mantel, en el paquete estadístico de Vegan en R (Rosenberg y Anderson, 2011). Para comparar la estructura espacial se elaboró una matriz de distancias en los cuatro sitios, basada en la composición florística de cada uno, con sus coordenadas X y Y. Todos los procedimientos para la diversidad se realizaron en el paquete estadístico R Project (R Core Team, 2017).

Resultados y Discusión

En las cuatro parcelas de 2 500 m2 ha-1 se obtuvo un promedio de 523 individuos de 15 especies, 10 géneros y siete familias. De estos, seis familias que comprenden nueve géneros, 11 especies y 154 individuos, se registraron en El Bosque; cuatro familias que representan seis géneros, siete especies y 105 individuos se consignaron en El Rosal; seis especies pertenecientes a cinco géneros, tres familias y 97 árboles, en la parcela La Tinaja; y el sitio Las Antenas reunió a 167 individuos agrupados en seis especies, cuatro géneros y tres familias (Cuadro 1).

Cuadro 1. Riqueza florística, número de individuos e índices de diversidad para los cuatro sitios del sur de Nuevo León.

Variable

Sitios

El Bosque

El Rosal

La Tinaja

Las Antenas

Número de especies

11

7

6

6

Número de géneros

9

6

5

4

Número de familias

7

4

3

3

Densidad (individuos ha-1)

616

420

388

668

Área Basal (m2 ha-1)

27.78

48.62

23.99

21.38

Shannon

1.76

1.47

1.69

1.6

Simpson

0.79

0.73

0.8

0.79

Equidad

0.73

0.75

0.94

0.89

Margalef

1.98

1.28

1.09

0.97

Elevación

2 386

2 500

2 593

2 686

Exposición

Norte

Norte

Norte

Norte

Latitud

23°53´24.9” N

23°55'07.6" N

23°53´22.6” N

23°54'49.4" N

Longitud

99°46´26.3” O

99°48'17.8" O

99°47´31.5” O

99°47'54.8" O

El número de especies arbóreas en este estudio fue similar al citado por varios autores en bosques templados con Abies, que fluctó entre 5 y 13 (Encina et al., 2008; García et al., 2012; Ávila et al., 2012; Guerrero et al., 2014). La diversidad estuvo influenciada por la estructura del bosque y la composición de las especies (FAO, 2010b).

En general fueron siete familias de árboles taxonómicamente bien representadas en el área de estudio. Pinaceae tiene el máximo de las especies (seis), seguido de Fagaceae (cuatro); Cupressaceae, Ericaceae, Rutaceae, Taxaceae y Ulmaceae tuvieron solo una especie. Sobre la base de la densidad, Pinaceae contribuyó con 56.5 %, seguida de Fagaceae (27.3 %), Cupressaceae (7.2 %), Taxaceae (5.16 %) y Ericaceae (3.25 %). Para el índice de valor de importancia, Pinaceae aportó 54.8 %, Fagaceae (25.33 %), Cupressaceae (8.35 %), Taxaceae (5.54 %) y Ericaceae con 3.76 % (Cuadro 2). Aunado a lo anterior, Valdez et al. (2003) describen una localidad en Nuevo León a 2 100 msnm, en donde se presenta una asociación caracterizada por Picea martinezii T. F. Patt, Cornus florida L., Ilex rubra S. Wats, Quercus greggii (A. DC.) Trel., Abies durangensis var. coahuilensis (I. M. Johnst.) Martínez, Carya ovata (Mill.) K. Koch y Taxus globosa Schltdl.

Cuadro 2. Familias de mayor relevancia con base en el Índice de Valor de Importancia (IVI) y el número de especies, géneros e individuos.

Número

Familia

Número de especies

Número de géneros

Número de individuos

IVI %

1

Pinaceae

6

4

296

54.8

2

Fagaceae

4

1

143

25.33

3

Cupressaceae

1

1

38

8.35

4

Taxaceae

1

1

27

5.54

5

Ericaceae

1

1

17

3.76

6

Rutaceae

1

1

1

1.12

7

Ulmaceae

1

1

1

1.1

Total

15

10

523

100

Los índices de la diversidad se calculan, principalmente, para comparar la diversidad y abundancia de especies en diferentes hábitats a una escala similar, y cuanto mayor es su valor, más grande es la riqueza de especies. El análisis de diversidad de especies de árboles muestra que la localidad con menor altitud, El Bosque, mostró la diversidad más destacada con base en el índice de Shannon (H') (1.76), así como el índice de Margalef más alto con 1.98 y el más bajo valor de equidad (índice de Simpson) con 0.73.

Al respecto, en bosques similares al área de estudio, García et al. (2012) determinaron que el índice de diversidad de Shannon fue de 1.82 y 2.0, que corresponden a la máxima diversidad de la Sierra Madre Oriental del estado de Nuevo León; Martínez (2014) realizó una investigación sobre sucesión vegetal de un bosque de Abies guatemalensis Rehder en el occidente de Guatemala, y obtuvo resultados en riqueza de especies de 3.67 a 3.95. Esta variación puede atribuirse a la disponibilidad de luz, las prácticas de manejo, la competencia con otras plantas y las actividades de pastoreo (Alexander et al., 2006).

El análisis de la estructura florística muestra que, en la localidad más baja la especie dominante es Abies vejarii (IVI = 29.42), con dos especies codominantes: Quercus affinis Scheidw (18.53) y Quercus mexicana Bonpl. (17.23) para formar un bosque de Abies – Quercus. En la localidad de 2 500 m de altitud, el bosque cambia su estructura para tener dos especies dominantes, Abies vejarii (29.47) en el estrato alto y Cupressus sp. (31.46), en el medio. Al subir a 2 593 m, Quercus affinis (24.07) y Picea martinezii (22.59) son dominantes; y Abies vejarii (16.91) codominante. En el sitio de mayor altitud, Quercus affinis (24.74) es dominante; Pinus ayacahuite Ehrenb. et Schltdl. (20.91) y Abies vejarii (18.39) son codominantes (Cuadro 3).

Cuadro 3. Densidad (individuos ha-1), Índice de Valor de Importancia (IVI), y el área basal (AB) de las especies en los cuatro sitios de estudio.

Spp

El Bosque

Spp

El Rosal

Spp

La Tinaja

Spp

Las Antenas

IVI

N ha-1

AB

IVI

N ha-1

AB

IVI

N ha-1

AB

IVI

N ha-1

AB

AbVe

29.4

224

10.3

CuAr

31.4

152

18.0

QuAf

24.0

68

8.7

QuAf

24.7

192

6.0

QuAf

18.5

124

5.7

AbVe

29.4

144

16.0

PcMa

22.5

128

5.0

PiAy

20.9

152

4.8

QuMe

17.2

100

6.7

PiAy

14.4

44

5.6

AbVe

16.9

64

3.8

AbVe

18.3

160

2.9

QuPo

9.21

36

2.9

PsMe

11.6

32

5.6

PiAy

14.2

44

3.2

PiTe

18.2

88

5.1

PcMa

8.7

52

0.8

QuAf

8.5

40

2.7

TaGl

13.0

48

2.0

ArXa

12.68

64

2.3

TaGl

8.7

56

0.6

PiPs

2.2

4

0.2

PiPs

9.0

36

1.0

QuFu

5.0

12

0. 8

PsMe

1.9

8

0.1

TaGl

2.2

4

0.1

ZaFa

1.6

4

0.1

PiAy

1.5

4

0.1

UlCr

1.5

4

0.8

ArXa

1.5

4

0.5

Spp = Especies; AbVe = Abies vejarii; ArXa = Arbutus xalapensis; CuAr = Cupressus arizonica Greene Kunth; PcMa = Picea martinezii; PiAy = Pinus ayacahuite Ehrenb. ex Schltdl.; PiPs = Pinus pseudostrobus Lindl.; PiTe = Pinus teocote Schiede ex Schltdl. & Cham.; PsMe = Pseudotsuga menziesii (Mirb.) Franco; QuAf = Quercus affinis; QuFu = Quercus fulva Liebm.; QuMe = Quercus mexicana; QuPo = Quercus polymorpha Schltdl. & Cham.; TaGl = Taxus globosa Schltdl.; UlCr = Ulmus crassifolia Nutt; ZaFa = Zanthoxylum fagara (L.) Sarg.

En todas las localidades, las coníferas son el grupo con más especies asociadas a Abies, lo que coincide con lo registrado por otros autores (Rzedowski, 1978; Sánchez y López, 2003; Encina et al., 2008).

La densidad de especies arbóreas fue diferente a lo largo del gradiente altitudinal; la más alta se determinó en el sitio Las Antenas (668 individuos ha-1) y la más baja en La Tinaja (388 individuos ha-1); estos valores son comparables con los de otros autores en bosques templados del noreste de México. Jiménez et al. (2001) con 297 individuos ha-1; Aguirre et al. (2003), 420-777 individuos ha-1; Návar (2010), 424-700 individuos ha-1; Ávila et al. (2012), 150-185 individuos ha-1; y Hernández et al. (2013) 716-940 individuos ha-1. El área basal calculada fue de 21.38 m2 ha-1 a 48.62 m2 ha-1 y la media para los cuatro sitios fue de 30.44 m2 ha-1 (Cuadro 3).

La distribución del arbolado en las diversas categorías diamétricas describe las características de un bosque maduro sin manejo en tres de los cuatro sitios, donde se concentra el número más alto de árboles en las clases diamétricas menores, pero la mayor dominancia por área basal corresponde a las categorías superiores (Figura 3). Estas características son atribuibles a la alta competencia y a la intolerancia a la sombra de algunos taxa (Castellanos et al., 2008).

A = El Bosque; B = El Rosal; C = La Tinaja; D = Las Antenas.

Figura 3. Distribución de la densidad de los árboles y el área basal en los rodales, con base en clases de diámetros.

La conformación diamétrica y el área basal para cada masa forestal en los sitios pueden deberse a la composición de las especies, la edad de los árboles, los disturbios y las estrategias de sucesión de los estratos arbóreos (Yu et al., 2009; Price et al., 2011). Neumann (2001) establece que la distribución regular proporciona el máximo espacio y condiciones de crecimiento óptimas para cada individuo, mientras que la de conglomerados provoca pérdidas de incremento. Zenner y Hibbs (2000) señalan que los patrones de distribución han sido vinculados a diferentes procesos como la mortalidad de árboles, la competencia, la regeneración, la creación de huecos y la semillación, que posiblemente son los responsables de los patrones espaciales observados.

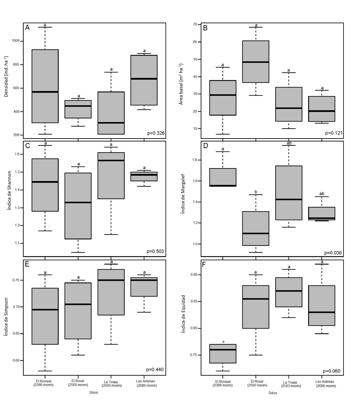
Sin embargo, y aunado a lo anterior, la prueba de Kruskal-Wallis muestra que la diversidad y la estructura de los rodales no tuvieron diferencias estadísticas significativas entre los intervalos de altitud (p>0.05), excepto en el índice de Margalef que fue ligeramente inferior en los rodales de mayor altitud (p<0.05), lo que indica que sí hubo una diferencia significativa en la riqueza de especies en el intervalo altitudinal (Figura 4). Probablemente, este patrón se explica porque las especies que se desarrollan en diferentes altitudes experimentan diversas condiciones ambientales y a factores como la edad de los árboles, el tipo de rodal en función de la composición de las especies arbóreas o el efecto de las copas de los árboles que inducen presiones de selección contrastantes que conducen a la diferenciación o aclimatación entre las poblaciones (Sagar et al., 2008; Smith et al., 2008; Coote et al., 2013; Latreille et al., 2017).

C:\Users\Rigoberto\AppData\Local\Microsoft\Windows\INetCache\Content.Word\Figura4.jpg

A = Densidad; B = Área basal; C = Índice de Shannon; D = Índice de Margalef; E = índice de Simpson; F = Índice de Equidad entre los cuatro sitios.

Valores con diferente letra son significativos (Tukey-Kramer; p≤0.05).

Figura 4. Gráficos de la prueba de Kruskal-Wallis.

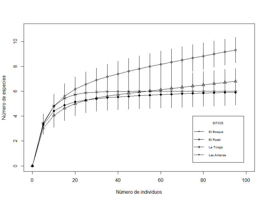
El análisis de las curvas de rarefacción de las especies estimadas para el gradiente altitudinal presentó asíntota en nueve aproximadamente; en general, se necesitaron 97 individuos para lograr la riqueza máxima y en los intervalos de confianza hubo una superposición en tres parcelas, por lo que no presentaron diferencias significativas en la riqueza. La comunidad de El Bosque estuvo, ligeramente, por encima de los tres sitios; es decir, hay una mayor concentración de la riqueza en la localidad más baja de 2 386 msnm (Figura 5).

Figura 5. Curva de rarefacción que de la riqueza de especies y el número de individuos entre las comunidades a lo largo del gradiente altitudinal.

Uno de los factores que parece haber influido en la baja diversidad es la distancia que separa una comunidad de otra y con el tipo de bosque bajo estudio. Por lo tanto, esta información evidencia que las especies de bosques templados muestran una cierta equidad en la abundancia relativa (Návar-Cháidez y González-Elizondo, 2009; López-Hernández et al., 2017).

La comparación de los cuatro bosques mediante el índice de Sørensen indicó que la similitud florística en los cuatros sitios en promedio fue de 44 %. Esta semejanza es consistente, ya que los bosques mixtos de coníferas albergan grupos de especies dependientes (Gao et al., 2014; Junyan et al., 2014).

El recambio de especies con la distancia geográfica y la altitud entre los cuatro sitios no se correlacionó positivamente (p>0.05); es decir, la distancia a la que están los sitios y la altitud de cada uno no tuvo efecto en la composición florística del bosque. Resultado que es posible asociarlo a factores ambientales como el tipo de bosque, las variaciones topográficas y climáticas, el suelo y la ubicación (Suding et al., 2008; Hirota et al., 2009).

Conclusiones

La composición florística y la dinámica estructural del bosque de Abies vejarii estudiado son de gran importancia ecológica por su distribución poblacional restringida y por su valor excepcional para la conservación de la biodiversidad de las masas relictos del noreste de México. Además, facilita la descripción de estos ecosistemas vulnerables ante cambios climáticos, a partir de las respuestas en diferentes altitudes en las interacciones entre las especies.

Los bosques de A. vejarii en la región son heterogéneos y contienen comunidades conformadas, principalmente, por especies de los géneros: Abies, Quercus y Pinus que destacan por su dominancia a lo largo del gradiente. El cambio de la diversidad estimada mediante los índices de Shannon, de Equidad y de Simpson no varió significativamente entre los sitios de muestreo; sin embargo, con el índice de Margalef y las curvas de rarefacción. La mayor riqueza de especies a lo largo del gradiente altitudinal se presenta en la comunidad de menor elevación y solo 44 % de las especies mostraron una similitud entre las comunidades.

La distribución de los árboles por clases diamétricas confirma que 90 % de los ejemplares corresponden a diámetros de pequeñas dimensiones menores a 40 cm, característica de un bosque maduro irregular no manejado, y 70 % para área basal. Finalmente, cabe mencionar que esa ligera variación está influenciada por la distancia que separa a una comunidad de otra, que fue de 300 m en altitud. Estos factores contribuyen a la comprensión de la incidencia de los factores ambientales en el desarrollo de los bosques templados.

Agradecimientos

Los autores agradecen a las autoridades del ejido La Encantada, municipio General Zaragoza, Nuevo León, por las facilidades brindadas. A la Facultad de Ciencias Forestales de la Universidad Autónoma de Nuevo León por el financiamiento, a través del Programa de Apoyo a la Investigación Científica y Tecnológica, denominado “Análisis de la estructura, diversidad y volumen de ecosistemas forestales con especies arbóreas amenazadas en el sur del estado de Nuevo León” con clave: PAICyT CT245-15, bajo la responsabilidad del Dr. Eduardo Javier Treviño Garza. Al equipo de trabajo en campo: Humberto López Alejandro, Israel López Martínez y Valeria Araceli Valdés Castillo.

Conflicto de intereses

Los autores declaran no tener conflicto de intereses.

Contribución por autor

Rigoberto González Cubas: planeación, levantamiento de datos en campo, análisis de la información y redacción del texto; Eduardo Javier Treviño Garza y Marco Aurelio González Tagle: planeación, análisis de la información, y revisión del documento, Álvaro Duque Montoya: análisis estadístico de la información; Martín Gómez Cárdenas planeación de la investigación y revisión del manuscrito.

Referencias

Aguirre C., O. A. 2002. Índices para la caracterización de la estructura del estrato arbóreo de ecosistemas forestales. Revista Mexicana de Ciencias Forestales 27(92): 5-28.

Aguirre C., O. A., J. Jiménez P. H. Kramer y A. Akça, 2003. Análisis estructural de ecosistemas forestales en el Cerro del Potosí, Nuevo León, México. Ciencia UANL 6(2): 219-225.

Alexander, K., J. Butler and T. Green. 2006. The value of different tree and shrub species to wildlife. British Wildlife 18(1): 18.

Alvarado R., D., L. Bauer y J. Galindo A. 1991. Declinación y muerte de bosque de oyamel (Abies religiosa) en el sur del Valle de México. Agrociencia. Serie Recursos Naturales Renovables 3: 123-143.

Anderson T., K. J., A. D. Miller, J. E. Mohan, T. W. Hudiburg, B. D. Duval and E. H. de Lucía. 2013. Altered dynamics of forest recovery under a changing climate. Global Change Biology 19(7): 2001–2021.

Ávila F., D. Y., M. A. González T., J. Jiménez P., O. A. Aguirre C., E. J. Treviño G. y B. Vargas L. 2012. Estructura de rodales de Pinus hartwegii afectados por incendios utilizando parámetros de vecindad en la Sierra Madre Oriental, México. Tropical and Subtropical Agroecosystems 15: 377–387.

Blundo, C., L. R. Malizia, J. G. Blake and A. D. Brown. 2012. Tree species distribution in Andean forests: influence of regional and local factors. Journal of Tropical Ecology 28(1): 83–95.

Camarero, J. J. y E. Gutiérrez. 2004. Pace and pattern of recent treeline dynamics: response of ecotones to climatic variability in the Spanish Pyrenees. Climatic Change 63: 181–200.

Castellanos B., J. F., E. J. Treviño G., O. A. Aguirre C., J. Jiménez P., M. Musálem S. y R. López A. 2008. Estructura de bosques de pino pátula bajo manejo en Ixtlán de Juárez, Oaxaca, México. Madera y Bosques 14(2): 51-63.

Castellanos B., J. F., E. J. Treviño G., O. A. Aguirre C., J. Jiménez P. y A. Velázquez M. 2010. Diversidad arbórea y estructura espacial de bosques de pino-encino en Ixtlán de Juárez, Oaxaca. Revista Mexicana de Ciencias Forestales 1(2): 39-52.

Chao, A., R. L. Chazdon, R. K. Colwell y T. Shen. 2005. A new statistical approach for assessing similarity of species composition with incidence and abundance data. Ecology Letters 8(2): 148-159.

Colwell, R. K. 2006. Estimates: statistical estimation of species richness and shared species from samples. Ver 8. www.purl.oclc.org/estimates (12 de agosto de 2017).

Colwell, R. K., A. Chao, N. J. Gotelli, S. Y. Lin, C. X. Mao, R. L. Chazdon and J. T. Longino. 2012. Models and estimators linking individual-based and sample-based rarefaction, extrapolation, and comparison of assemblages. Journal of Plant Ecology 5:3-21.

Comisión Nacional del Agua (Conagua). 2010. Información climatológica por estado. <http://smn.cna.gob.mx/es/informacion-climatologica-ver-estado?estado=nl> (15 de septiembre de 2017).

Condit, R., N. Pitman, E. G. Leigh, J. Chave, J. Terborgh, R. B. Foster, P. Núnez, S. Aguilar, R., Valencia, G. Villa, H. C. Muller L., E. Losos and S. P. Hubbell. 2002. Beta-diversity in tropical forest trees. Science 295 (5555): 666-669.

Coote, L., A. C. Dietzsch, M. W. Wilson, C. T. Graham, L. Fuller, A. T. Walsh, S. Irwin, D. L. Kelly, F. J. G. Mitchell, T. C. Kelly and J. O’Halloran. 2013. Testing indicators of biodiversity for plantation forests. Ecological Indicators 32: 107-115.

Corral R., J., B. Vargas L., C. H., Wehenkel, O. A. Aguirre C., J. G. Álvarez G. y A. Rojo A. 2009. Guía para el establecimiento de sitios de investigación forestal y de suelos en bosques del estado de Durango. Universidad Juárez del Estado de Durango. Durango, Dgo., México. 81 p.

Curtis, J. T. and R. P. McIntosh, 1950. The interrelations of certain analytic and synthetic phytosociological characters. Ecology 31: 434-455.

Cuyckens G., A. E., L. R. Malizia y C. Blundo. 2015. Composición, diversidad y estructura de comunidades de árboles en un gradiente altitudinal de selvas subtropicales de montaña (Serranías de Zapla, Jujuy, Argentina). Madera y Bosques 21(3): 137-148.

Encina D., D. J. A., F. J. Encina D., E. Mata R. y J. Valdés R. 2008. Aspectos estructurales, composición florística y caracterización ecológica del bosque de oyamel de la sierra de Zapalinamé, Coahuila, México. Boletín de la Sociedad Botánica de México 83: 13-24.

Fagre, D. and D. L. Peterson. 2002. Modelling and monitoring ecosystem responses to climate chance in three North American mountain ranges. In: Körner, C. and E. M. Spehn (eds.). Mountain biodiversity a global assessment. Parthenon Publishing Group. New York, NY, USA. pp. 249–259.

Farjon, A. 2013. Abies vejarii. The IUCN Red List of threatened species 2013: e.T42302A2970671. http://dx.doi.org/10.2305/IUCN.UK.2013-1.RLTS.T42302A2970671 (12 de agosto de 2017).

Farjon, A. and D. Filler. 2013. An Atlas of the World's Conifers: An Analysis of their Distribution, Biogeography, Diversity and Conservation Status. Brill, The Netherlands. 524 p.

Fick, S. E. and R. J. Hijmans. 2017. Worldclim 2: New 1-km spatial resolution climate surfaces for global land areas. International Journal of Climatology 37(12):4302-4315.

Gao, T., M. Hedblom, T. Emilsson and A. B. Nielsen. 2014. The role of forest stand structure as biodiversity indicator. Forest Ecology and Management 330: 82-93.

García A., M. A., A. E. Estrada C., C. M. Cantú A. y M. Pando M. 2012. Clasificación de nueve sitios de bosque mixto de coníferas con presencia de Taxus globosa en la Sierra Madre Oriental, Nuevo León y Tamaulipas, México. Botanical Sciences 90(1): 53-62.

Gernandt, D. S. y J. A. Pérez de la Rosa. 2014. Biodiversidad de Pinophyta (coníferas) en México. Revista Mexicana de Biodiversidad 85: 126-133.

Girardin, C. A. J., Y. Malhi, L. E. O. C. Aragao, M. Mamani, W. Huaraca H., L. Durand, K. J. Feeley, J. Rapp, J. E. Silva E., M. Silman, N. Salinas and R. J. Whittaker. 2010. Net primary productivity allocation and cycling of carbon along a tropical forest elevational transect in the Peruvian Andes. Global Change Biology 16(12): 3176–3192.

Granados S., D., G. F. López R. y M. A. Hernández G. 2007. Ecología y silvicultura en bosques templados. Revista Chapingo. Serie: Ciencias Forestales y del Ambiente 13(1): 67-83.

Guerrero H., R., J. G. González G. y A. Castro C. 2014. Análisis florístico de un bosque de Abies y el bosque mesófilo de montaña adyacente en Juanacatlán, Mascota, Jalisco, México. Botanical Sciences 92(4): 541-562.

Hernández S., J., O. A. Aguirre C., E. Alanís R., J., Jiménez P., E. J. Treviño G., M. A. González T., C. Luján Á., J. M. Olivas G. y L. A. Domínguez P. 2013. Efecto del manejo forestal en la diversidad y composición arbórea de un bosque templado del noroeste de México. Revista Chapingo. Serie: Ciencias Forestales y del Ambiente 19(2):189-200.

Hirota, M., P. Zhang, S. Gu, M. Du, A. Shimono, H. Shen, Y. Li and Y. Tang. 2009. Altitudinal variation of ecosystem CO2 fluxes in an alpine grassland from 3600 to 4200 m. Journal of Plant Ecology 2(4):197-205.

Homeier, J., S. W. Breckle, S. Günter, R. T. Rollenbeck and C. Leuschner. 2010. Tree Diversity, Forest Structure and Productivity along Altitudinal and Topographical Gradients in a Species-Rich Ecuadorian Montane Rain Forest: Ecuadorian Montane Forest Diversity and Structure. Biotropica 42(2): 140–148.

Instituto Nacional de Estadística y Geografía (Inegi). 2010. Compendio de información geográfica municipal. Gral. Zaragoza. Nuevo León. http://www.inegi.org.mx/geo/contenidos/Topografia/Compendio.aspx Fecha de consulta (6 de 12 de 2017).

Jiménez, J., O. Aguirre y H. Kramer. 2001. Análisis de la estructura horizontal y vertical en un ecosistema multicohortal de pino-encino en el norte de México. Investigación Agraria. Sistemas y Recursos Forestales 10(2): 355-366.

Junyan, Z., C. Kewu, Z. Runguo and D. Yi. Changes in floristic composition, community structure and species diversity across a tropical coniferous broadleaved forest ecotone. Tropical Conservation Science 7: 126–144.

Kruskal, W. H. and A. W. Wallis. 1952. Use of ranks in one-criterion variance analysis. Journal of the American Statistical Association 47(260): 583-621.

Latreille, A., H. Davi, F. Huard and C. Pichot. 2017. Variability of the climate-radial growth relationship among Abies alba trees and populations along altitudinal gradients. Forest Ecology and Management 396: 150-159.

López-Hernández, J. A. L., O. A., Aguirre-Calderón, E. Alanís-Rodríguez, J. C. Monarrez-González, M. A. González-Tagle y J. Jiménez-Pérez. 2017. Composición y diversidad de especies forestales en bosques templados de Puebla, México. Madera y Bosques 23(1): 39-51.

Margalef, R. 1968. Perspectives in Ecological Theory, University of Chicago Press, Chicago, IL USA. 111 p.

Martínez A., J. V. 2014. Sucesión vegetal en bordes de bosques de pinabete (Abies guatemalensis Rehder) del occidente de Guatemala. Revista Mexicana de Ciencias Forestales 5(23): 64-77.

Martínez-Méndez, N., E. Aguirre-Planter, L. E. Eguiarte y J. P. Jaramillo-Correa. 2016. Modelado de nicho ecológico de las especies del género Abies (Pinaceae) en México: Algunas implicaciones taxonómicas y para la conservación. Botanical Sciences 94(1): 5-24.

Meraz M., M. J., F. J. Hernández, S. Corral R. y J. A. Nájera L. 2017. Diversidad arbórea a diferentes niveles de altitud en la región de El Salto, Durango. Revista Mexicana de Ciencias Forestales 8(40): 57-68.

Mostacedo, B. y T. S. Fredericksen. 2000. Manual de métodos básicos de muestreo y análisis en ecología vegetal. Editora El País. Santa Cruz, Bolivia. 87 p.

Mueller-Dombois, D. and H. Ellenberg. 1974. Aims and methods of vegetation ecology. John Wiley and Sons Co. New York NY, USA. 547 p.

Návar Ch., J. J. 2010. Los bosques templados del estado de Nuevo León: el manejo sustentable para bienes y servicios ambientales. Madera y bosques 16(1): 51-69.

Návar-Cháidez, J. J. y S. González-Elizondo. 2009. Diversidad, estructura y productividad de bosques templados de Durango, México. Polibotánica 27: 71-87.

Neumann, M. and F. Starlinger. 2001. The significance of different indices for stand structure and diversity in forest. Forest Ecology and Management 145: 91-106.

Oksanen, J., F. G. Blanchet, R. Kindt, P. Legendre, P. R.  Minchin, R. B. O'Hara, G. L. Simpson, P. Solymos, M. H. H Stevens and H. Wagner. 2017. Vegan: Community ecology package. https://cran.r-project.org/web/packages/vegan/index.html         (6 de diciembre de 2017).

Organización de las Naciones Unidas para la Alimentación y la Agricultura (FAO). 2010a. Evaluación de los recursos forestales mundiales 2010: Informe nacional, México. FRA2010/132. Roma, Italia. 98 p.

Organización de las Naciones Unidas para la Alimentación y la Agricultura (FAO). 2010b. Evaluación de los recursos forestales mundiales 2010: Informe principal. FRA2010/041. Roma, Italia. 381 p.

Pielou, E. C. 1966. Pieloum. The measurement of diversity in different types of biological collectionsm. Journal of Theoretical Biology 13: 131-144.

Price, M. F., G. Gratzer, L. Alemayehu D., T. Kohler, D. Maselli and R. Romeo (eds.). 2011. Mountain Forests in a Changing World: Realizing Values, Adressing Challenges. Food and Agriculture Organization of the United Nations (FAO) and Centre of Development and Environment (CDE). Rome, Italy. 82 p.

R Core Team. 2017. R: A language and environment for statistical computing. R Foundation for Statistical Computing. Vienna, Austria. URL https://www.R-project.org/ (6 de diciembre de 2017).

Rosenberg, M. S. and C. D. Anderson. 2011. PASSaGE: Pattern Analysis, Spatial Statistics and Geographic Exegesis. Version 2. Methods in Ecology and Evolution 2(3): 229–232.

Rzedowski, J. 1978. Vegetación de México. Ed. Limusa. México, D. F., México. 432 p.

Saavedra-Romero, L. L., D. Alvarado-Rosales, J. Vargas-Hernández y T. Hernández-Tejeda. 2003. Análisis de la precipitación pluvial en bosques de Abies religiosa (HBK.) Schlecht. et Cham., en el sur de la ciudad de México. Agrociencia 37(1): 57-64.

Sagar, R., A. Singh and J. S. Singh. 2008. Differential effect of woody plant canopies on species composition and diversity of ground vegetation: a case study. Tropical Ecology 49(2): 189-197.

Sánchez G., A., L. López M. y H. Vibrans. 2006. Composición y patrones de distribución geográfica de la flora del bosque de oyamel del cerro Tláloc, México. Boletín de la Sociedad Botánica de México 79: 67-78.

Sánchez G., A. y L. López M. 2003. Clasificación y ordenación de la vegetación del norte de la Sierra Nevada, a lo largo de un gradiente altitudinal. Anales del Instituto de Biología. Serie Botánica 74(1):47-71.

Secretaria de Medio Ambiente de Recursos Naturales (Semarnat). 2010. NOM-059-Semarnat-2010. Protección ambiental – especies nativas de México de flora y fauna silvestres - categorías de riesgo y especificaciones para su inclusión, exclusión o cambio - lista de especies en riesgo. Diario Oficial de la Federación (30 de diciembre de 2010). México, D.F., México. 77 p.

Shannon, C. E. and W. Weaver. 1949. The mathematical theory of communication University of Illinois. Press Urbana and Chicago. Chicago, IL, USA. 28 p.

Simpson, E. 1949. Measurement of diversity. Nature 163, 688. doi:10.1038/163688a0.

Smith, G. F., T. Gittings, M. Wilson, L. French, A. Oxbrough, S. O’Donoghue, J. O’Halloran, D. L. Kelly, F. J. G. Mitchell, T. Kelly, S. Iremonger, A McKee and P. Giller. 2008. Identifying practical indicators of biodiversity for stand-level management of plantation forests. Biodiversity and Conservation 17(5): 991-1015.

Stephenson, N. L. and P. J. Mantgem. 2005. Forest turnover rates follow global and regional patterns of productivity: Patterns in forest turnover rates. Ecology Letters 8(5): 524–531.

Suding, K. N., S. Lavorel, F. S. Chapin, J. H. C. Cornelissen, S. Díaz, E. Garnier, D. Goldberg, D. U. Hooper, S. T. Jackson and M. L. Navas. 2008. Scaling environmental change through the communitylevel: a traitbased responseandeffect framework for plants. Global Change Biology 14: 11251140.

Treviño G., E. J., C. Cavazos C. y O. A. Aguirre C. 2001: Distribución y estructura de los bosques de galería en dos ríos del centro sur de Nuevo León. Madera y Bosques 7(1):13- 25.

Valdez T., V., R. Foroughbakhch P. y G. J. Alanís F. 2003. Distribución relictual del bosque mesófilo de montaña en el noreste de México. Ciencia 6(3):360-365.

Xiang, X., M. Cao and Z. Zhou. 2007. Fossil history and modern distribution of the genus Abies (Pinaceae). Frontiers of Forestry in China 2(4): 355-365.

Yu, H., T. Wiegand, X. Yang and L. Ci. 2009. The impact of fire density-dependent mortality on the spatial patterns of a pine forest in the Hulun Buir sandland, Inner Mongolia, China. Forest Ecology and Management 257(10): 2098-2107.

Zenner, E. K. and D. E. Hibbs. 2000. A new method for modelling the heterogeneity of forest structure. Forest Ecology and Management 129(1): 75-87.

Todos los textos publicados por la Revista Mexicana de Ciencias Forestalessin excepción– se distribuyen amparados bajo la licencia Creative Commons 4.0 Atribución-No Comercial (CC BY-NC 4.0 Internacional), que permite a terceros utilizar lo publicado siempre que mencionen la autoría del trabajo y a la primera publicación en esta revista.