Revista Mexicana de Ciencias Forestales Vol. 9 (45)
Enero – Febrero (2018)
DOI:https://doi.org/10.29298/rmcf.v9i45.141 Artículo Diversidad y carbono almacenado en el área forestal permanente de Álvaro Obregón, Calakmul, Campeche Diversity and carbon storage in the Permanent Forest Area of Álvaro Obregón, Calakmul, Campeche Ligia Guadalupe Esparza Olguín1* y Eduardo Martínez Romero2 |
Fecha de recepción/Reception date: 2 de agosto de 2017
Fecha de aceptación/Acceptance date: 13 de noviembre de 2017
_______________________________
1El Colegio de la Frontera Sur. México.
2Investigación y Soluciones Socioambientales, A. C. México.
*Autor por correspondencia; correo-e: lesparza@ecosur.mx
Abstract:
Permanent Forest Area (AFP) in Álvaro Obregón, Calakmul has semi-evergreen tropical forests that have been exposed to forest management. Considering the importance of these tropical forests as reservoirs of carbon and biodiversity, the objective of this study was to analyze tree diversity, accumulation of biomass and carbon capture in different types of semi-evergreen tropical forests (medium forest - SMSP and floodable forest - SI). Circular plots of 1 000 m2 where used, in which tree species were tagged, measured (height and diameter at 1.30 m) and identified. The AFP that has been in the recovery period for more than 20 years. A richness of 90 species was found in the SMSP, with densities between 5 170 to 3 720 ind ha-1, with intermediate diversity (H) (2.8 to 2.65). In the IS, 75 species were found, with a high density (5 920 to 8 630 ind ha-1), and a high diversity (H) (3.02 to 3.06). The average structural diversity (Hsdh) was low for SMSP and SI, with carbon values between 16.6 and 37.17 MgCha-1 in SMSP and 36.44 to 44.58 in SI. It is concluded that the semi-evergreen tropical forests analyzed are in the process of recovery, with processes of regeneration and capture of carbon important for the conservation of diversity.
Key words: Biomass, composition, conservation, structure, structure diversity, forestry management.
Resumen:
El Área Forestal Permanente (AFP) del ejido Álvaro Obregón en Calakmul resguarda selvas subperennifolias que han estado expuestas al manejo forestal. Dada su importancia como reservorios de carbono y biodiversidad, el objetivo de este estudio fue analizar la diversidad arbórea, la acumulación de biomasa y la captura de carbono en diferentes comunidades de dicho tipo de vegetación (selva mediana – SMSP y selva inundable - SI) presentes en el AFP, las cuales están en periodo de recuperación desde hace más de 20 años. El trabajo se realizó en parcelas circulares de 1 000 m2, en donde se etiquetaron, midieron (altura y diámetro a la altura de 1.30 m), e identificaron los taxa arbóreos presentes. En las SMSP se determinó una riqueza de 90 especies, con densidades de 5 170 y 3 720 ind ha-1, con una diversidad (H) intermedia (2.8 a 2.65). En las SI se identificaron 75 especies, con una densidad (5 920 a 8 630 ind ha-1), y una diversidad (H) alta (3.02 a 3.06). La diversidad estructural promedio (Hsdh) fue baja para SMSP y SI, con valores de carbono de 16.6 a 37.17 Mg C ha-1, en SMSP; y 36.44 a 44.58 en SI. Se concluye que las selvas subperennifolias analizadas están en recuperación, con procesos de regeneración y captura de carbono importantes para la conservación de la diversidad.
Palabras clave: Biomasa, composición, conservación, estructura, diversidad estructural, manejo forestal.
Introducción
En México, la región sur de la Península de Yucatán está considerada como una de las mayores áreas de selva; destacan las existentes en la región de Calakmul, por su diversidad, extensión y estado de conservación (Martínez y Galindo, 2002). Estas han estado expuestas, desde los mayas hasta los nuevos pobladores que llegaron a finales de la década de los sesenta, a diversas actividades humanas entre ellas sobresalen las agropecuarias y la extracción de madera (Aryal et al., 2014; García-Licona et al., 2014). Lo anterior ha generado un mosaico heterogéneo de vegetación en diferentes estadíos sucesionales, desde selvas maduras hasta etapas tempranas de la sucesión; lo que permite que mantengan alta diversidad florística (Martínez y Galindo, 2002; Vester et al., 2007), y que presenten áreas con diferentes potenciales como reservorios de carbono (selvas maduras) o tasas altas de captura de carbono (etapas sucesionales tempranas e intermedias) (Aryal et al., 2014; Aryal et al., 2017).
Las selvas de Calakmul albergan 23 asociaciones vegetales con más de 1 500 especies (Martínez y Galindo, 2002). Mientras que en el caso del almacenamiento de carbono se citan hasta 99.56 Mg C ha-1 para selvas maduras, 40.89 - 55.52 Mg C ha-1 para las secundarias de 20 a 35 años, y 11.72 - 28.92 Mg C ha-1 para vegetación secundaria de entre 4 y 10 años de edad.
A nivel mundial, se considera que la pérdida de biodiversidad y el aumento de la concentración de bióxido de carbono en la atmósfera colabora al calentamiento global y son los problemas más importantes desde el punto de vista ambiental; por lo que, analizar el potencial de áreas forestales de selvas que pueden contribuir al mantenimiento de la biodiversidad y a disminuir la concentración de CO2 atmosférico es fundamental. En este contexto, el objetivo del presente trabajo es analizar la diversidad arbórea, la acumulación de biomasa y la captura de carbono por el componente aéreo en diferentes tipos de selva subperennifolia (selva mediana y selva inundable) del Área Forestal Permanente (AFP) del ejido Álvaro Obregón en Calakmul, Campeche.
Materiales y Métodos
Localización
El ejido Álvaro Obregón se ubica a 10 km de Xpujil, cabecera municipal de Calakmul, Campeche, a 265 m de altitud, en las coordenadas 18°35'33'' N y 89°25'04'' O. El área colinda al norte con terrenos propiedad de la nación, al sur con Xpujil y el predio Sinai, al este con el ejido Nuevo Becal, al oeste con terrenos nacionales y con El Porvenir y Valentín Gómez Farías. Los suelos en el ejido son rendzinas, Gleysol vertico, Vertisol gleico y Cambisol lítico (García y Pat, 2000; Márdero et al., 2012). El clima es cálido subhúmedo con lluvias en verano (Aw1). Los tipos de vegetación corresponden a selvas medianas subperennifolias (SMQ), selvas bajas subperennifolias (SBQ) y selvas bajas subperennifolias inundables (SBQI), conocidas localmente como bajos (Martínez y Galindo, 2002).
La historia de manejo forestal en el ejido comenzó alrededor de 1940 con la extracción de chicle y la consiguiente ocupación del territorio por campamentos chicleros. Para finales desea década, se estableció la empresa forestal Caobas Mexicanas S.A. que extrajo de Calakmul y Quintana Roo madera durante casi 40 años (Martínez, 2010). En 1968, el ejido se constituye oficialmente, manteniendo su vocación forestal. Durante el período 1993-1996, se elaboró un inventario forestal para el Programa de Manejo Forestal en una superficie de 10 000 hectáreas, área que fue asignada como el Área Forestal Permanente (AFP), misma que se evaluó en este estudio, cuya vegetación predominante es la selva subperennifolia, en la que destacan las medianas e inundables (Herrera-Gloria, 2007).
Selección de parcelas y diseño de muestreo
Se hizo un recorrido por el AFP de Álvaro Obregón, en compañía del responsable del manejo forestal; se eligieron seis áreas: cuatro de selva mediana subperennifolia (SMSP) y dos de selva mediana subperennifolia inundable (SI). Para la elección se tomaron en cuenta la accesibilidad, que no han sido empleadas para actividades agropecuarias y que fueron excluidas del aprovechamiento maderable desde 1990, de modo que el proceso de recuperación supera los 20 años.
En cada área de vegetación seleccionada se estableció una parcela rectangular de 20 × 50 m (1 000 m2), subdividida con un cuadro de 20 × 20 m (400 m2). Los individuos arbóreos con 1 cm de diámetro a la altura del pecho (DAP) en adelante, se etiquetaron, identificaron taxonómicamente y se les midió la altura con un Vertex IV, Hanglöf y el DAP con una cinta diamétrica modelo 283D/5m Forestry Suppliers. En el resto de la parcela de 1 000 m2, es decir los restantes 600 m2, se tomaron los mismos datos para los individuos con un DAP igual o mayor a 2.5 cm.
La identificación taxonómica se realizó con la ayuda de dos expertos parataxónomos (Demetrio Álvarez Montejo y Manuel Arana), quienes utilizaron el listado de Martínez et al. (2001).
Composición florística, diversidad de especies, estructura de la vegetación arbórea y diversidad estructural
A partir de los datos de identidad taxonómica, se elaboró un listado florístico por parcela, se corroboraron y en su caso actualizaron los datos taxonómicos con la base de datos del portal especializado The Plant List (www.theplantlist.org) y Jardín Botánico de Missouri (www.tropicos.org) (The Plant List, 2013; Tropicos, 2013). Se estimó la riqueza, como el número de especies por unidad de muestreo (parcela). La diversidad se calculó con el índice de Shannon-Wiener (H´) mediante la fórmula (Magurran, 2004):
Donde:
H = Índice de Shannon-Wiener
Pi = Abundancia relativa
log = Logaritmo base 10
Se estimaron la densidad (ind ha-1) y el área basal (m2 ha-1), así como el valor de importancia relativa de las especies por parcela (VIR), el cual se calculó como la sumatoria de la abundancia relativa (número de individuos por especies/número total de individuos de todas las especies * 100); la frecuencia relativa (frecuencia de una especie/suma de la frecuencia de todas las especies * 100); y área basal relativa (área basal de cada especie/área basal total de todas las especies * 100) (Magurran, 2004).
El análisis estructural horizontal (DAP) y vertical (altura) de la vegetación se llevó a cabo con las distribuciones de frecuencia agrupadas por clase, a partir de la fórmula (Martínez-Sánchez, 2016):
Donde:
K = Número de clases
n = Número de árboles
Se analizó la diversidad estructural, que consiste en la diversidad estimada como la combinación de la diversidad de especies y el tamaño del diámetro y la altura de los árboles (Lei et al., 2009, Martínez-Sánchez, 2016). Los indicadores evaluados fueron el índice de Shannon-Wiener para las especies (Hs), por clases diamétricas (Hd), por clases de altura (Hh) y el índice promedio de la diversidad estructural (Hsdh), calculados con las siguientes fórmulas:
Donde:
pi = Proporción del área basal para la especie i
m = Número de especies
log = Logaritmo base 10
Donde:
pi = Proporción del área basal por la clase diamétrica i
d = Número de clases diamétricas
log = Logaritmo base 10
Donde:
pi = Proporción del área basal para la clase de altura i
h= Número de clases de altura
log = Logaritmo base 10
Donde:
Hs = Diversidad por especies
Hd = Diversidad por clases diamétricas
Hh = Diversidad por clases de altura
Estimación de biomasa y carbono almacenado
El cálculo de biomasa por individuo se hizo con las ecuaciones alométricas generadas para las áreas más cercanas a las del presente estudio; es decir, con condiciones semejantes (tipo de vegetación). Se eligieron las empleadas previamente para estimar la biomasa en las selvas de la región (Aryal et al., 2014).
Para individuos con diámetros normales mayores o iguales a 10 cm se usó la fórmula siguiente (Cairns et al., 2003, modificada por Urquiza-Haas et al., 2007):
Donde:
D = Diámetro del tronco a 1.30 m de altura
H = Altura total del árbol
ρ1 = Densidad de madera por árbol (g cm-3)
ρm = Promedio de densidad de madera de árboles usado para generar la ecuación (0.75 g cm-3)
En el caso de individuos con diámetros normales entre 5 y 9.9 cm se utilizó la siguiente expresión (Chave et al., 2005):
Donde:
D = Diámetro del tronco a 1.30 m de altura
H = Altura total del árbol
ρ = Densidad de madera por árbol (g cm-3)
Finalmente, para individuos con diámetros normales menores a 5 cm se empleó la siguiente ecuación (Hughes et al., 1999):
Donde:
D = Diámetro del tronco a 1.30 m de altura
La densidad de la madera de cada especie correspondió a los valores citados para especies de árboles tropicales por diversos autores (Chave et al., 2006; Zanne et al., 2009). Cuando no se tuvo el dato, se calculó la densidad de madera promedio para el sitio de muestreo con la fórmula siguiente:
Donde:
BAi = Área basal por individuo
WSGi = Densidad de madera por especie con valores conocidos (g cm-3)
El área basal (BA) se estimó con la siguiente ecuación:
Donde:
DBHi = Diámetro a 1.30 m de altura del árbol
La estimación de biomasa por parcela se hizo a partir de la sumatoria de cada uno de los individuos presentes. Para calcular la cantidad de carbono contenido en el componente aéreo por individuo se hizo la conversión a carbono con el factor 0.47 (Fonseca et al., 2011).
Análisis estadísticos
Se aplicó un análisis de normalidad (Prueba de Levin) a las variables calculadas como riqueza de especies, densidad, área basal y carbono. Se hizo un análisis de varianza unifactorial (ANOVA) para determinar diferencias significativas para la densidad de individuos entre diferentes parcelas y una prueba de Kruskal Wallis para comparar este parámetro entre tipos de vegetación. En el caso del AB, la comparación tanto entre parcelas como entre tipo de cobertura vegetal se llevó a cabo mediante la prueba de Kruskal-Wallis, por no cumplir con los supuestos del ANOVA. Para estos análisis se empleó el programa Statistica 2007.
Los valores del índice de Shannon se compararon con una prueba de t de Student modificada por Hutcheson (1970), para probar diferencias significativas (p<0.05) entre pares de condiciones. También se usó para los índices de Shannon estimados, para evaluar la diversidad estructural.
Resultados y Discusión
Composición florística, diversidad de especies, estructura de la vegetación arbórea y diversidad estructural
Se etiquetaron y censaron en el área forestal permanente un total de 3 146 individuos, pertenecientes a 126 especies y 37 familias (Cuadro 1), de las cuales sobresalieron por el número de taxa: Fabaceae (20), Polygonaceae (7), Rubiaceae (10), Euphorbiaceae (6), Sapotaceae (6), Sapindaceae (5) y Rutaceae (5); equivalentes a 47 % de las especies presentes en el área de estudio.
Cuadro 1. Listado florístico de las especies arbóreas y sus abundancias en las selvas inundables (SI) y selvas medianas subperennifolias (SMSP) analizadas en el Área Forestal Permanente del ejido Álvaro Obregón.
Familia / Especie | SI1 | SI2 | SMSP3 | SMSP4 | SMSP5 | SMSP6 |
Aquifoliaceae | ||||||
Ilex sp. | 2 | |||||
Anacardiaceae | ||||||
Metopium brownei (Jacq.) Urb. | 4 | 45 | 2 | 4 | 2 | |
Annonaceae | ||||||
Malmea depressa (Baill.) R.E. Fr. | 9 | 5 | 21 | 7 | 11 | |
Apocynaceae | ||||||
Cameraria latifolia L. | 10 | |||||
Plumeria obtusa L. | 1 | 9 | ||||
Thevetia ahouai (L.) A. DC. | 1 | |||||
Thevetia gaumeri Hemsl. | 1 | 1 | 7 | 10 | 3 | |
Araliaceae | ||||||
Dendropanax arboreus (L.) Decne. & Planch. | 2 | 2 | 2 | |||
Arecaceae | ||||||
Cryosophila stauracantha (Heynh.) R. Evans | 27 | 1 | ||||
Sabal mexicana Mart. | 4 | |||||
Sabal mauritiiformis (H. Karst.) Griseb. & H. Wendl. | 1 | |||||
Bignoniaceae | ||||||
Crescentia cujete L. | 1 | |||||
Tabebuia chrysantha G. Nicholson | 1 | |||||
Boraginaceae | ||||||
Bourreria pulchra (Millsp.) Millsp. | 5 | |||||
Cordia dodecandra DC. | 1 | 3 | ||||
Ehretia tinifolia L. | 2 | |||||
Burseraceae | ||||||
Bursera simaruba (L.) Sarg. | 6 | 6 | 1 | 2 | 3 | 2 |
Protium copal (Schltdl. & Cham.) Engl. | 5 | 5 | 4 | 4 | ||
Canellaceae | ||||||
Canella winterana (L.) Gaertn. | 2 | 8 | 3 | |||
Capparaceae | ||||||
Capparis indica (L.) Druce | 4 | |||||
Celastraceae | ||||||
Maytenus schippii Lundell | 2 | |||||
Celastraceae | ||||||
Crossopetalum gaumeri (Loes.) Lundell | 1 | |||||
Hemiangium excelsum (Kunth) A.C. Sm. | 7 | |||||
Maytenus schippii Lundell | 2 | 3 | 1 | |||
Ebenaceae | ||||||
Diospyros bumelioides Standl. | 6 | |||||
Diospyros salicifolia Humb. & Bonpl. ex Willd. | 6 | 3 | 4 | 2 | 9 | |
Diospyros yatesiana Standl. | 2 | 24 | 4 | |||
Erythroxylaceae | ||||||
Erythroxylum rotundifolium Lunan | 10 | 90 | ||||
Euphorbiaceae | ||||||
Bernardia mexicana (Hook. & Arn.) Müll. Arg. | 1 | |||||
Croton arboreus Millsp. | 1 | 11 | 4 | 7 | 9 | |
Croton icche Lundell | 27 | 93 | ||||
Gymnanthes lucida Sw. | 2 | |||||
Jatropha gaumeri Greenman | 2 | 3 | 1 | |||
Sebastiania adenophora Pax et K. Horffm. | 7 | |||||
Fabaceae | ||||||
Acacia angustissima (Mill.) Kuntze | 2 | 1 | ||||
Acacia centralis (Britton & J. N. Rose) Lundell | 4 | 3 | 1 | |||
Acacia cornigera (L.) Willd. | 1 | |||||
Acacia sp. | 2 | |||||
Ateleia gummifera (Bertero ex DC.) D. Dietr. | 19 | |||||
Bauhinia divaricata L. | 1 | 2 | 2 | |||
Caesalpinia gaumeri Greenm. | 3 | 8 | ||||
Caesalpinia mollis (Kunth) Spreng. | 1 | |||||
Chloroleucon mangense (Jacq.) Britton & J. N. | 1 | |||||
Diphysa carthagenensis Jacq. | 2 | 1 | ||||
Gliricidia sepium (Jacq.) Kunth | 1 | 4 | ||||
Haematoxylum campechianum L. | 5 | 27 | ||||
Lonchocarpus castilloi Standl. | 3 | |||||
Lonchocarpus guatemalensis Benth. | 40 | 4 | 11 | 7 | 8 | 17 |
Lonchocarpus rugosus Benth. | 1 | 1 | 2 | |||
Lysiloma latisiliquum (L.) Benth. | 1 | |||||
Mimosa bahamensis Benth. | 2 | 2 | ||||
Pithecellobium albicans (Kunth) Benth. | 1 | 1 | ||||
Platymiscium yucatanum Standl. | 1 | |||||
Swartzia cubensis (Britton & P. Wilson) Standl. | 1 | 1 | ||||
Lamiaceae | ||||||
Vitex gaumeri Greenm. | 1 | 16 | 1 | 1 | 2 | 1 |
Lauraceae | ||||||
Licaria coriacea (Lundell) Kosterm. | 1 | |||||
Nectandra salicifolia (Kunth) Nees | 56 | 10 | 17 | 16 | 64 | |
Malpighiaceae | ||||||
Byrsonima bucidaefolia Standl. | 1 | 8 | ||||
Malpighia glabra L. | 7 | 12 | 9 | |||
Malpighia lundellii Morton | 1 | 13 | ||||
Malvaceae | ||||||
Ceiba schottii Britten & Baker f. | 1 | |||||
Hampea trilobata Standl. | 6 | 1 | 1 | |||
Pseudobombax ellipticum (Kunth) Dugand | 2 | |||||
Meliaceae | ||||||
Swietenia macrophylla King | 2 | 2 | 1 | |||
Trichilia pallida Sw. | 2 | |||||
Menispermaceae | ||||||
Hyperbaena winzerlingii Standl. | 4 | 75 | ||||
Moraceae | ||||||
Brosimum alicastrum Sw. | 1 | 16 | 3 | 5 | ||
Ficus obtusifolia Kunth | 1 | |||||
Trophis racemosa (L.) Urb. | 7 | 5 | 4 | |||
Myrtaceae | ||||||
Eugenia capuli Schltdl. & Cham. | 14 | 15 | ||||
Eugenia ibarrae Lundell | 41 | 44 | 66 | 31 | 105 | |
Eugenia winzerlingii Standl. | 5 | 146 | 12 | 13 | 27 | 24 |
Myrciaria floribunda (H. West) O. Berg | 42 | 32 | ||||
Pimenta dioica (L.) Merr. | 2 | 1 | ||||
Nyctaginaceae | ||||||
Guapira costaricana (Standl.) Woodson | 6 | 2 | ||||
Neea choriophylla Standl. | 1 | |||||
Neea psychotrioides Donn. Sm. | 1 | |||||
Opiliaceae | ||||||
Agonandra ovatifolia Miranda | 2 | 1 | 5 | |||
Piperaceae | ||||||
Piper yucatanense C. DC. | 59 | 2 | ||||
Polygonaceae | ||||||
Coccoloba acapulcensis Standl. | 1 | 2 | 8 | 10 | 8 | |
Coccoloba cozumelensis Hemsl. | 1 | 1 | 1 | |||
Coccoloba reflexiflora Standl. | 2 | 15 | 1 | 2 | ||
Coccoloba schiedeana Lindau | 26 | |||||
Coccoloba spicata Lundell | 2 | |||||
Gymnopodium floribundum Rolfe | 9 | 24 | 3 | 9 | ||
Neomillspaughia emarginata (H. Gross) S.F. Blake | 1 | |||||
Primulaceae | ||||||
Bonella macrocarpa subsp. macrocarpa (Cav.) B. Stahl & Källersjö | 1 | 4 | ||||
Bonellia flammea (Millsp. ex Mez) B. Stahl & Källersjö | 3 | 5 | 2 | |||
Parathesis cubana (A. DC.) Molinet et M. Gómez | 9 | 11 | 1 | |||
Putranjivaceae | ||||||
Drypetes lateriflora (Sw.) Krug et Urb. | 14 | 19 | ||||
Rhamnaceae | ||||||
Krugiodendron ferreum (Vahl) Urb. | 8 | 1 | 7 | 6 | 12 | 10 |
Rubiaceae | ||||||
Alseis yutanensis Standl. | 2 | 8 | 4 | |||
Cosmocalyx spectabilis Standl. | 1 | 2 | 2 | |||
Exostema mexicanum A. Gray | 1 | |||||
Guettarda combsii Urb. | 1 | 1 | ||||
Guettarda gaumeri Standl | 23 | |||||
Machaonia lindeniana Baill. | 2 | 24 | ||||
Psychotria nervosa Sw. | 1 | |||||
Randia aculeata L. | 1 | 1 | 5 | 1 | ||
Randia longiloba Hemsl. | 7 | 2 | 2 | 5 | 4 | |
Simira salvadorensis (Standl.) Steyerm. | 2 | 3 | 1 | 5 | ||
Rutaceae | ||||||
Amyris elemifera L. | 8 | 1 | ||||
Casimiroa tetrameria Millsp. | 1 | 4 | ||||
Esenbeckia sp. | 1 | |||||
Murraya paniculata (L.) Jack | 36 | |||||
Zanthoxylum caribaeum Lam. | 1 | |||||
Salicaceae | ||||||
Casearia emarginata Wright ex Griseb. | 3 | |||||
Laetia thamnia L. | 7 | 6 | 3 | |||
Zuelania guidonia (Sw.) Britton & Millsp. | 1 | |||||
Sapindaceae | ||||||
Exothea diphylla (Standl.) Lundell | 1 | 5 | 1 | |||
Matayba oppositifolia (A. Rich.) Britton | 2 | |||||
Talisia floresii Standl. | 3 | 9 | 2 | |||
Talisia oliviformis (Kunth) Radlk. | 9 | 5 | 2 | |||
Thouinia paucidentata Radlk. | 1 | 5 | 2 | 1 | ||
Sapotaceae | ||||||
Chrysophyllum mexicanum Brandegee ex Standl. | 1 | 1 | 2 | |||
Manilkara zapota (L.) P. Royen | 26 | 50 | 7 | 19 | 27 | 12 |
Pouteria campechiana (Kunth) Baehni | 9 | 5 | 7 | |||
Pouteria reticulata (Engl.) Eyma | 153 | 41 | 149 | 126 | ||
Sideroxylon obtusifolium (Humb. ex Roem. & Schult.) T.D. Penn. | 1 | 7 | ||||
Sideroxylon salicifolium (L.) Lamarck | 155 | |||||
Solanaceae | ||||||
Nicotiana tabacum L. | 2 |
En las parcelas correspondientes a SI, las familias mejor representadas fueron Fabaceae (13), Rubiaceae (8), Polygonaceae (6) y Euphorbiaceae (5); mientras que, en las SMSP fueron Fabaceae (14), Rubiaceae (6) y Polygonaceae (5). Estos resultados concuerdan con las 10 familias más frecuentes y con mayor número de especies citadas para la Península de Yucatán (Carnevali et al., 2010).
Las familias más frecuentes en las parcelas de SI se han registrado como las más abundantes en SI del sur de México (Chiquini, 2016; Maldonado-Sánchez et al., 2016; Chiquini-Heredia et al., 2017). Las más comunes en las SMSP coinciden con las de otros estudios en Calakmul (Lawrence et al., 2004; Vester et al., 2007; Zamorano-Crescencio et al., 2012; García-Licona et al., 2014). Los resultados sugieren que el descanso del manejo forestal por más de 20 años ha permitido, a partir de los procesos sucesionales, mantener la composición, respecto a lo que se esperaría en selvas maduras de la Península de Yucatán.
Los taxones más abundantes en las SI fueron Pouteria reticulata (Engl.) Eyma (153 individuos), Eugenia winzerlingii Standl. (151 individuos) y Croton icche Lundell (120 individuos); en las SMSP: Pouteria reticulata (316 individuos), Eugenia ibarrae Lundell (202 individuos) y Sideroxylon salicifolium (L.) Lamarck (155 individuos); lo que concuerda con lo documentado en otros trabajos para ambos tipos de selvas (Martínez y Galindo, 2002; Díaz et al., 2002; Lawrence et al., 2004; Vester et al., 2007; Zamora-Crescencio et al., 2012; García-Licona et al., 2014; Chiquini, 2016; Maldonado-Sánchez et al., 2016; Chiquini-Heredia et al., 2017). Entre las especies identificadas en el área de estudio están Cryosophila argentea Bartlett y Tabebuia chrysantha (Jacq.) G. Nicholson clasificadas bajo la categoría de especies amenazadas en la Norma Oficial Mexicana NOM-059-SEMARNAT-2010 (Semarnat, 2010).
La riqueza de especies de la SMSP fue de 90 taxa, con una variación entre parcelas de 33 a 55 y una diversidad que varió de 2.65 a 2.80, sin que existan diferencias significativas entre parcelas (Cuadro 2). Valores mayores a los señalados por Zamora-Crescencio et al. (2012) y García-Licona et al. (2014), en SMSP de Calakmul, y menores a lo citado para otras SMSP del estado de Campeche (Gutiérrez-Báez et al., 2015).
En la SI se registraron 75 especies, con una variación en las parcelas de 44 a 65 y una diversidad de 3.02 a 3.06, sin diferencias significativas entre parcelas (Cuadro 2). La riqueza y la diversidad en las SI fueron superiores respecto a las consignadas por Díaz et al. (2002), Tun-Dzul et al. (2008), Vázquez et al. (2010), Chiquini (2016), Maldonado-Sánchez et al. (2016) y Chiquini-Heredia et al. (2017); lo que puede relacionarse con la precipitación en el área (García et al., 2002; Martínez y Galindo, 2002) y las características topográficas que influyen en la inundación (Palacio et al., 2002; Cortés-Castelán e Islebe, 2005).
La prueba de ANOVA para comparar la densidad (ind ha-1) en las parcelas de SI y SMSP evidenció que no hay diferencias significativas (Cuadro 2). Sin embargo, al comparar la densidad (ind ha-1) entre SI y SMSP con la prueba de Kruskal Wallis se observó una diferencia significativa [H(X2) = 12.16, p= 0.0077]. En el caso de la SI, los valores fueron superiores a los citados por otros autores para SI de Calakmul (Díaz et al., 2002; Tun-Dzul et al., 2008; Chiquini, 2016; Chiquini-Heredia et al., 2017); y semejantes a lo indicado para otras SI del sur de México (Cortés-Castelán e Islebe, 2005; Maldonado-Sánchez et al., 2016).
Al comparar los resultados con los documentados en otros estudios para SMSP en Calakmul, resultó que la densidad (ind ha-1) fue semejante a la señalada por Vester et al. (2007) y mayor a la estimada por Zamora-Crescencio et al. (2012) y García-Licona et al. (2014) en Calakmul.
Respecto al área basal (AB), la prueba de Kruskal-Wallis mostró que no hay diferencias significativas entre las parcelas de SI; mientras que en las SMSP la parcela SMSP_2 tuvo un AB significativamente más grande que la SMSP_4 (Cuadro 2). Al comparar entre tipos de selvas, se obtuvo una diferencia significativa [H(X2)= 10.19, p= 0.0204]. Las SI estudiadas tuvieron un AB mayor que la registrada para selvas de este tipo en Calakmul (Díaz et al., 2002; Zamora-Crescecio et al., 2012; Chiquini, 2016; Chiquini-Heredia et al., 2017) y semejante al de otras SI del sur de México (Cortés-Castelán e Islebe, 2005; Maldonado-Sánchez et al., 2016).
Las SMSP presentaron valores de AB menores a las otras selvas en Calakmul (Read y Lawrence, 2003; Zamora-Crescencio et al., 2012; García-Licona et al., 2014), lo que se relaciona con el impacto del manejo forestal que hubo en el pasado (Martínez y Galindo, 2002; Martínez, 2010).
Cuadro 2. Diversidad de especies y estructural (Hs, Hd, Hh y Hsdh), riqueza, densidad y área basal promedio (AB) en las selvas inundables (SI) y selvas medianas subperennifolias (SMSP) analizadas en el Área Forestal Permanente del ejido Álvaro Obregón.
Variable | SI_1 | SI_2 | SMSP_1 | SMSP_2 | SMSP_3 | SMSP_4 |
Riqueza | 65 | 44 | 52 | 33 | 40 | 55 |
Diversidad | 3.06 | 3.02 | 2.7 | 2.79 | 2.65 | 2.80 |
Equitatividad | 0.73 | 0.80 | 0.68 | 0.80 | 0.72 | 0.70 |
Densidad | 5920 | 8630 | 3940 | 3720 | 4080 | 5170 |
AB (m) | 30.83 | 34.26 | 25.11 | 37.42 | 31.11 | 22.66 |
Hs | 1.29 | 1.15 | 1.23 | 1.18 | 1.13 | 1.33 |
Hd | 0.94 | 0.92 | 0.96 | 0.88 | 0.91 | 0.95 |
Hh | 0.75 | 0.62 | 0.76 | 0.70 | 0.73 | 0.78 |
Hsdh | 0.73 | 0.80 | 0.68 | 0.80 | 0.72 | 0.70 |
AB = Área basal, Hs = Índice de Shannon-Wiener para las especies, Hd = Índice de Shannon-Wiener por clases diamétricas, Hh = Índice de Shannon-Wiener por clases de altura, Hsdh = Índice promedio de la diversidad estructural.
Las especies con mayor VIR en las SI fueron Pouteria reticulata, Haematoxylum campechianum L., Manilkara zapota (L.) P. Royen, y Eugenia winzerlingii (Cuadro 3), lo que coincide con lo citado por Díaz et al. (2002), Palacio et al. (2002), Chiniquini (2016) y Chiquini-Heredia et al. (2017) para SI del centro y sur de Calakmul. En tanto que, en las SMSP los VIR más altos correspondieron a: Sideroxylon salicifolium, P. reticulata, M. zapota y Brosimum alicastrum Sw., que han sido registradas por diversos autores como dominantes y con altos VIR para SMSP en Calakmul (Read y Lawrence, 2003; Vester et al., 2007; Zamora-Crescencio et al., 2012; García-Licona et al., 2014).
Cuadro 3. Lista de las especies con mayor VIR en cada una de las selvas inundables (SI) y selvas medianas subperennifolias (SMSP) analizadas en el Área Forestal Permanente del ejido Álvaro Obregón.
Parcela | Especie | Ab_rel. | AB_rel | Frec_rel | VIR |
SI_1 | P. reticulata M. zapota L. guatemalensis | 8.61 1.46 2.25 | 6.39 5.94 1.63 | 1.49 1.65 1.32 | 16.49 9.05 5.20 |
SI_2 | H. campechianum E. winzerlingii H. winzerlingii | 1.04 5.64 2.90 | 9.62 1.17 3.13 | 1.47 1.47 1.47 | 12.13 8.28 7.50 |
SMSP_1 | S. salicifolium D. lateriflora C. argentea | 13.11 1.61 2.28 | 9.82 4.01 0.83 | 2.19 1.97 1.97 | 25.13 7.59 5.08 |
SMSP_2 | M. zapota B. alicastrum E. ibarrae P. reticulata | 1.70 1.43 5.91 3.67 | 6.46 5.74 1.10 2.93 | 1.53 1.83 1.83 1.93 | 9.69 9.01 8.85 8.44 |
SMSP_3 | P. reticulata M. zapota M. brownei | 12.17 2.21 0.33 | 7.14 6.90 4.10 | 1.69 1.69 0.85 | 21.01 10.80 5.27 |
SMSP_4 | P. reticulata E. ibarrae M. zapota | 8.12 6.77 0.77 | 6.75 0.77 5.09 | 1.43 1.43 1.19 | 16.31 8.96 7.06 |
La estructura horizontal (distribución de DAP), en todas las parcelas tanto de SI como de SMSP presentó una distribución en forma de “J invertida”, con más de 70 % de los individuos en las primeras dos categorías diamétricas; es decir, entre 1 y 7.7 cm (Figura 1). La distribución en forma de J invertida indica que estas selvas mantienen procesos de recambio natural que garantizan el reemplazo de árboles eliminados por diversas causas (Zamora-Crescencio et al., 2012; García-Licona et al., 2014; Maldonado-Sánchez et al., 2016).
La estructura vertical (distribución de alturas) evidenció una distribución en forma de campana, en la que más de 60 % de los individuos correspondieron a las categorías 2 a 4, (3.3 y 9.6 m) (Figura 2). Las parcelas de SMSP siguieron un patrón similar, salvo en el caso de la SMSP_6, cuya primera categoría tuvo alrededor de 40 % de los individuos. Estos resultados coinciden con los ducumentados por Díaz et al. (2002), Zamora-Crescencio et al. (2011), García-Licona et al. (2014), Chiquini (2016) y Chiquini-Heredia et al., (2017), quienes señalan que el patrón en cuestión muestra la recuperación de la vegetación a través del proceso sucesional.
Figura 1. Estructura vertical (alturas) de las selvas inundables (SI) y selvas medianas subperennifolias (SMSP) en el Área Forestal Permanente del ejido Álvaro Obregón.
Figura 2. Estructura horizontal (DAP) de las selvas inundables (SI) y selvas medianas subperennifolias (SMSP) analizadas en el Área Forestal Permanente del ejido Álvaro Obregón.
Al comparar los índices de diversidad estructural Hs, Hd, Hh y Hsdh entre parcelas estudiadas tanto de SI como de SMSP (Cuadro 2), se determinaron diferencias significativas en el caso del índice de Shannon-Wiener para las especies (Hs). Las SI registraron una diversidad significativamente mayor en la SI_1, respecto a la SI_2 (t de Hutchenson= 4.23, p= 0.001). En el caso de las parcelas de SMSP se obtuvo que el Hs de la parcela SMSP_4 fue significativamente superior a los estimados para las SMSP_1 (t de Hutchenson= 3.14, p= 0.001), SMSP_2 (t de Hutchenson= 4.40, p= 0.001) y SMSP_3 (t de Hutchenson= 6.13, p= 0.001). No hubo diferencias significativas en Hh (índice de diversidad por clases de altura) entre SI y SMSP; mientras que, para el Hd (índice de diversidad por clases diamétricas) las diferencias significativas solamente se observaron entre las parcelas SMSP_2 y SMSP_3 (t de Hutchenson= 1.72, p= 0.05). En el caso de Hsdh (índice de diversidad estructural promedio), el valor más alto estimado fue para la SMSP_6 y en las SI para la SI_1.
Al comparar los resultados entre tipos de selva, la SMSP_4 tiene un valor de diversidad para especies (Hs) significativamente mayor que el de la SI_2 (t de Hutchenson= 5.48, p= 0.001); mientras que en lo referente a la diversidad por clases de altura (Hh) la SI_2 tiene un valor significativamente menor que las SMSP_1 (t de Hutchenson= 1.67, p= 0.001) y SMSP_4 (t de Hutchenson= 2.01, p= 0.001).
Respecto a la diversidad estructural estimada para las SMSP fue menor a la señalada por Martínez-Sánchez (2016) para selvas del mismo tipo en Tabasco; para la SI los valores fueron semejantes a los citados por Chiquini-Heredia et al. (2017).
Estimación de biomasa y carbono almacenado
Las estimaciones de biomasa para las SI fueron de 94.85 t ha-1 para la SI_1 y 77.53 t ha-1 en la SI_2; en las SMSP oscilaron entre 72.70 y 35.31 t ha-1 (Cuadro 4). El cálculo de carbono en la biomasa aérea en las SI fue de 44.58 a 36.44 Mg C ha-1, y en las SMSP varió de 34.17 a 16.60 Mg C ha-1(Cuadro 4). En las SI, las especies con mayor valor de biomasa y, por tanto, de carbono fueron H. campechianum, M. zapota, Canella winterana (L.) Gaertn. y Metopium brownei (Jacq.) urb. En las SMSP fueron M. zapota, M. brownei y S. salicifolium; en las SI y las SMSP (salvo el caso de SMSP_3) son semejantes a lo indicado por otros autores para la vegetación secundaria derivada de selvas con 20 – 25 años de recuperación, en la región de Calakmul (Lawrence y Foster, 2003; Eaton y Lawrence, 2008; Aryal et al., 2014) y en otras áreas (Urquiza-Haas, et al., 2007; Berenguer et al., 2014).
La biomasa y carbono acumulados en la SMSP_3 coincide con lo registrado para vegetación secundaria derivada de selvas en fases tempranas de la sucesión (10 años de recuperación) en Calakmul (Lawrence y Foster, 2003; Eaton y Lawrence, 2008; Aryal et al., 2014). Estos resultados, probablemente, se relacionen con el largo periodo durante el cual se extrajo madera en el AFP, y muestran la forma en que se han recuperado a partir de que se dejó de efectuar el aprovechamiento (Eaton y Lawrence, 2008; Berenguer et al. 2014).
Cuadro 4. Biomasa y carbono acumulados promedio y por categorías diamétricas en las selvas inundables (SI) y selvas medianas subperennifolias (SMSP) analizadas en el Área Forestal Permanente del ejido Álvaro Obregón.
SI_1 | SI_2 | SMSP_1 | SMSP_2 | SMSP_3 | SMSP_4 | ||
Biomasa (t ha-1) | 94.85 | 77.53 | 72.70 | 63.22 | 35.35 | 50.63 | |
Carbono (MgCha-1) | 44.58 | 36.44 | 34.17 | 29.71 | 16.60 | 23.79 | |
Categorías diamétricas (biomasa / carbono) | |||||||
1 a 4.3 | 0.36 0.17 | 0.77 0.36 | 0.24 0.11 | 0.30 0.14 | 0.24 0.11 | 0.36 0.17 | |
>4.3 a 7.7 | 1.64 0.77 | 1.99 0.94 | 1.39 0.65 | 0.75 0.35 | 1.23 0.58 | 0.63 0.29 | |
>7.7 a 11.1 | 2.63 1.24 | 2.04 1.13 | 6.06 2.85 | 2.08 0.98 | 3.03 1.43 | 3.46 1.63 | |
>11.1 a 14.5 | 12.27 5.76 | 4.85 2.28 | 8.75 4.11 | 4.00 1.88 | 1.99 0.93 | 5.83 2.74 | |
>14.5 a 17.9 | 3.55 1.67 | 4.74 2.23 | 8.20 3.85 | 17.19 8.08 | 2.53 1.19 | 5.47 2.57 | |
>17.9 a 21.3 | 17.00 7.99 | 5.06 2.38 | 12.71 5.98 | 12.99 6.11 | 2.77 1.30 | 17.95 8.44 | |
>21.3 a 24.7 | 1.33 0.63 | 4.51 2.12 | 9.18 4.32 | 2.67 1.25 | 0.86 0.40 | 6.47 3.04 | |
>24.7 a 28.1 | 7.90 3.71 | 0.00 0.00 | 6.07 2.85 | 8.84 4.16 | 1.84 0.87 | 0.56 0.26 | |
>28.1 a 31.5 | 1.33 0.63 | 9.19 4.32 | 9.21 4.33 | 6.50 3.06 | 4.78 2.24 | 4.70 2.21 | |
>31.5 | 46.85 22.02 | 44.02 20.69 | 10.87 5.12 | 7.88 3.70 | 16.05 7.54 | 5.20 2.44 | |
En relación con la estimación de biomasa y carbono por categorías diamétricas, se observó que en las SI la cantidad más grande de biomasa y, por tanto, de carbono se concentra en la última categoría diamétrica (>31.5 cm) con porcentajes cercanos a 50 % del carbono acumulado total de las parcelas muestreadas (SI_1= 49.39 % y SI_2= 56.78 %). Mientras que en las SMSP se tienen los porcentajes más altos de carbono acumulado en las categorías intermedias, entre los 11.1 y 21.3 cm de DAP, en tres de las parcelas (SMSP_1= 40.80 %, SMSP_2= 54.09 % y SMSP_4= 57.78 %), y solo la SMSP_3 en la última categoría diamétrica (45.45 %). Lo anterior es semejante a lo citado en diversos estudios (Santamaria, 2014; Berenguer et al., 2014), en los que se señala que la cantidad más alta de carbono se presenta en los individuos de las categorías diamétricas intermedias (10 a 20 cm) y superiores (más de 20 cm).
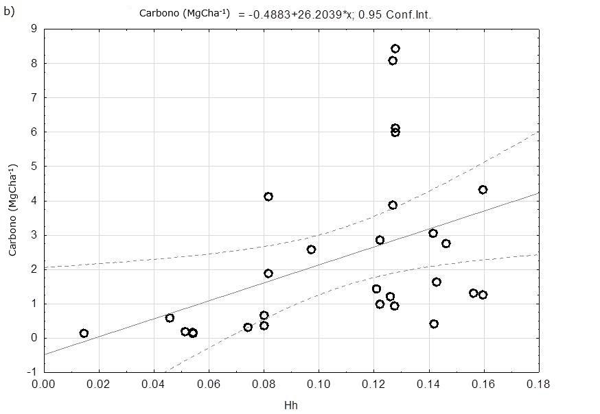
Al observar la relación entre la diversidad estructural (Hd y Hh) y la cantidad de carbono almacenado en cada parcela (figuras 3a, 3b, 4a y 4b), se evidenció que tanto en las SI, como en las SMSP hubo una correlación positiva y significativa entre Hd y carbono almacenado y Hh y carbono almacenado, que coinciden con los resultados de Wang et al. (2011), quienes señalan que hay una relación positiva entre los índices de diversidad estructural y los reservorios de carbono; es decir que, con más diversidad, aumenta el carbono almacenado.
Figura 3. Relación entre el carbono almacenado y la diversidad estructural Hd (índice de diversidad por clases diamétricas) en las selvas inundables (SI – 3a) y en las selvas medianas subperennifolias (SMSP – 3b) en el Área Forestal Permanente del ejido Álvaro Obregón.
Figura 4. Relación entre el carbono almacenado y la diversidad estructural Hh (índice de diversidad por clases de altura) en las selvas inundables (SI – 4a) y en las selvas medianas subperennifolias (SMSP – 4b) en el Área Forestal Permanente del ejido Álvaro Obregón.
Conclusiones
La diversidad del Área Forestal Permanente en el ejido Álvaro Obregón permite concluir que las selvas subperennifolias, tanto las SI como las SMSP presentan buen estado de conservación, con procesos de regeneración vegetal apropiados para este tipo de selvas. Las características de riqueza, abundancia, área basal, biomasa y carbono muestran que las SMSP son las que mayor impacto tuvieron en relación con el aprovechamiento. Las SI y las SMSP mantienen buenas condiciones estructurales, de composición y carbono, semejantes a las de vegetación secundaria vieja (25 a 30 años); es decir, están en recuperación, después del período de aprovechamiento al que estuvieron sometidas.
Agradecimientos
Los autores agradecen a los habitantes del ejido Álvaro Obregón por las facilidades brindadas para la realización de este estudio. A Manuel Arana Cua y Demetrio Álvarez Montejo por su apoyo en campo y en la identificación de especies. El estudio fue realizado con recursos del proyecto Monitoreo Adaptativo de la Reserva de la Biosfera de Calakmul (Proyectos de Innovación Estratégica – FMCN) y de El Colegio de la Frontera Sur (ECOSUR).
Conflicto de intereses
Los autores declaran no tener conflicto de intereses.
Contribución por autor
Ligia Guadalupe Esparza Olguín: análisis de datos, elaboración del manuscrito en lo relativo al título, resumen, abstract, introducción, métodos, resultados, discusión y conclusiones, diseño de figuras y cuadros; Eduardo Martínez Romero: trabajo de campo, elaboración del manuscrito en lo relativo al abstract, métodos, resultados, discusión y conclusiones.
Referencias
Aryal D. R., B. H. J. de Jong, S. Ochoa-Gaona, L. Esparza-Olguín and J. Mendoza-Vega. 2014. Carbon stocks and changes in tropical secondary forests of southern Mexico. Agriculture, Ecosystems and Environment 195:220-230.
Aryal D.R., B. H. J. de Jong, J. Mendoza-Vega, S. Ochoa-Gaona and L. Esparza-Olguín. 2017. Soil organic carbon stocks and soil respiration in tropical secondary forests in Southern Mexico. In: Damien, D. J., C. Field, L. S. Morgan and A. B. McBratney. (eds.). Global Soil Security. Springer. Cham, Switzerland. pp. 153-165.
Berenguer E., J. Ferreira, T. A. Gardner, L. E. Oliveira C. A., P. Barbosa C., C. E. Cerri, M. Durigan, R. C. de Oliveira Jr., I. C. Guimarães V. and J. Barlow. 2014. A large-scale field assessment of carbon stocks in human-modified tropical forest. Global Change Biology 20:3713-3726.
Cairns M. A., I. Olmsted, J. Granados and J. Argaez. 2003. Composition and aboveground tree biomass of a dry semi-evergreen forest on Mexico´s Yucatan Peninsula. Forest Ecology and Management 186(1-3):125-132.
Carnevali F.-C., G., J. L. Tapia-Muñoz, R. Duno S. y I. Ramírez M. (eds). 2010. Flora Ilustrada de la Península de Yucatán: Listado Florístico. Centro de Investigación Científica de Yucatán, A.C. Mérida, Yuc., México. 328 p.
Cortés-Castelán, J. C. y G. A. Islebe. 2005. Influencia de factores ambientales en la distribución de especies arbóreas en las selvas del sureste de México. Revista de Biología Tropical 53:115-133.
Chave, J., C., Andalo, S. Brown, M. A. Cairns, J. Q. Chambers, D. Eamus, H. Fölster, F. Fromard, N. Higuchi, T. Kira, J.-P. Lescure, B. W. Nelson, H. Ogawa, H. Puig, B. Riéra and T. Yamakura. 2005. Tree allometry and improved estimation of carbon stocks and balance in tropical forest. Oecologia 145:87-99.
Chave, J., H. C. Muller-Landau, T. R. Baker, T. A. Easdale, H. ter Steege and C. O. Webb. 2006. Regional and phylogenetic variation of wood density across 2456 Neotropical tree species. Ecological Applications 16(6):2356-2367.
Chiquini H., W. A. 2016. Diversidad florística de la selva inundable de Calakmul. Tesis de Maestría. El Colegio de la Frontera Sur, Unidad Campeche. Lerma Campeche, Camp., México. 60 p.
Chiquini-Heredia, W. A., L. Esparza-Olguín, Y. Peña-Ramírez, A. Maya-Martínez y E. Martínez-Romero. 2017. Estructura y diversidad en selva inundable al centro y sur de Calakmul. Ecosistemas y Recursos Agropecuarios 4(12):511-524.
Díaz G., J. R., O. Castillo A. y G. García G. 2002. Distribución espacial y estructura arbórea de la selva baja subperennifolia en un ejido de la Reserva de la Biosfera de Calakmul, Campeche, México. Universidad y Ciencia 18(35):11-28.
Eaton, J. M. and D. Lawrence. 2008. Loss of carbon sequestration potential after several decades of shifting cultivation in the Southern Yucatán. Forest Ecology and Management 258(6):949-958.
Fonseca, W., J. M. Rey B. and F. E. Alice. 2011. Carbon accumulation in the biomass and soil of different aged secondary forests in the humid tropics of Costa Rica. Forest Ecology and Management 262(8):1400-1408.
García G., G. y J. M. Pat F. 2000. Apropiación del espacio y colonización en la Reserva de la Biosfera de Calakmul, Campeche, México. Revista Mexicana del Caribe 5(10):212-231.
García G., G, J. L. Palacio P. y M. A. Ortiz P. 2002. Reconocimiento geomorfológico e hidrográfico de la Reserva de la Biosfera Calakmul, México. Investigaciones Geográficas 48:7–23.
García-Licona J. B., L. Esparza-Olguín y E. Martínez-Romero. 2014. Estructura y composición de la vegetación leñosa de selvas en diferentes estadios sucesionales en el ejido El Carmen II, Calakmul, México. Polibotánica 38(1):1-26.
Gutiérrez-Báez C., P. Zamora-Crescencio y G. G. Cabrera-Mis. 2015. Estructura y composición florística de la selva mediana subperennifolia El Remate, Calkiní, Campeche, México. Foresta Veracruzana 18(2):1-12.
Herrera-Gloria, J. M. 2007. Estudio de Impacto Ambiental. Aprovechamiento Forestal en Selvas Tropicales, ejido Álvaro Obregón. http://sinat.semarnat.gob.mx/dgiraDocs/documentos/camp/estudios/2007/04CA2007FD033.pdf (10 de febrero de 2009).
Hughes, R. F., J. B. Kauffman and V. J. Jaramillo. 1999. Biomass, carbon, and nutrient dynamics of secondary forests in humid tropical region of México. Ecology 80(6):1892-1907.
Hutcheson, K. 1970. A test for comparing diversities based on the Shannon formula. Journal of Theoretical Biology 29(1):151-154.
Lawrence, D. and D. R. Foster. 2003. Chapter 5. Recovery of nutrient cycling and ecosystem properties following swidden cultivation: regional and stand-level constraints. In: Turner II, B. L., J. Geoghegan, D. R. Foster (eds.). Integrated Land-Change Science and Tropical Deforestation in Southern Yucatán. Final Frontiers, Oxford University Press. New York, NY, USA. pp. 81-104.
Lawrence, D., H. F. M. Vester, D. Pérez-Salicrup, J. R. Eastman, B. L. Turner II and J. Geoghegan. 2004. Integrated analysis of ecosystem interactions with land-use change: The Southern Yucatán peninsular region. In: Defries, R. S., G. P. Asner and R. A. Houghton (eds.). Ecosystems and land use change. American Geophysical Union. Washington DC, USA. pp. 277-292 p.
Lei, X., W. Wang and C. Peng. 2009. Relations hips between stand growth and structural diversity in spruce-dominated forest in New Brunswick, Canada. Canadian Journal of Forest Research 39(10):1835-1847.
Magurran, A. E. 2004. Measuring biological diversity. Blackwell Publishing. Oxford, England. 264 p.
Maldonado-Sánchez, E. A., S. Ochoa-Gaona, R. Ramos-Reyes, M. A. Guadarrama-Olivera, N. González-Valdivia y B. H. J. de Jong. 2016. La selva inundable de canacoite en Tabasco, México, una comunidad vegetal amenazada. Acta Botánica Mexicana 115: 75-101.
Márdero, S., E. Nickl, B. Schmook, L. Schneider, J. Rogan, Z. Christman y D. Lawrence. 2012. Sequías en el sur de la península de Yucatán: análisis de la variabilidad anual y estacional de la precipitación. Investigaciones Geográficas 78:19-33.
Martínez, E., M. Sousa S. y C. H. Ramos Á. 2001. Listados Florísticos de México, XXII. Región de Calakmul, Campeche. Instituto de Biología, Universidad Nacional Autónoma de México. México, D.F., México. 57 p.
Martínez, E. y C. Galindo L. 2002. La vegetación de Calakmul, Campeche, México: Clasificación, descripción y distribución. Boletín de la Sociedad Botánica de México 71:7-32.
Martínez R., E. 2010. Factores de impacto directos e indirectos que determinaron el proceso complejo de la deforestación a nivel ejidal, en la región de Calakmul, Campeche, durante el período 1976-2008. Tesis de doctorado. Facultad Latinoamericana de Ciencias Sociales (FLACSO). Sede Académica México. México, D.F., México. 296 p.
Martínez-Sánchez, J. L. 2016. Comparación de la diversidad estructural de una selva alta perennifolia y una mediana subperennifolia en Tabasco, México. Madera y Bosques 22(2):29-40.
Palacio A., A. G., R. NoriegaT. y P. Zamora C. 2002. Caracterización físico-geográfica del paisaje conocido como “bajos inundables”. El caso del Área Natural Protegida Balamkín, Campeche. Investigaciones Geográficas 49:57–73.
Read, L. and D. Lawrence. 2003. Recovery of biomass following shifting cultivation in dry tropical forests of the Yucatan. Ecological Applications 13(1):85-97.
Santamaria R., S. L. 2014. Aboveground biomass and carbon stock of a medium stature semi-evergreen tropical forest in the Intensive Carbon Monitoring Site of Calakmul-Campeche, Mexico. Thesis of Master of Science. Technische Universität Dresden. The Faculty of Environmental Science, Institute of International Forestry and Forest Products. Dresden, Germany. 47 p.
Secretaría de Medio Ambiente y Recursos Naturales (Semarnat). 2010. Norma Oficial Mexicana NOM-059-SEMARNAT-2010. 2010. Protección ambiental-especies nativas de México de flora y fauna silvestres-categorías de riesgo y especificaciones para su inclusión, exclusión o cambio-lista de especies en riesgo. Diario Oficial de la Federación. México, D.F., México. 78 p.
The Plant List. 2013. The Plant List. http://www.theplantlist.org/ (20 de junio de 2017).
Tropicos. 2013. Missouri Botanical Garden. htpp://www.tropicos.org/ (20 de junio de 2017).
Tun-Dzul, F. J., H. Vester, R. Durán G. and B. Schmook. 2008. Estructura arbórea y variabilidad temporal de los “bajos inundables” de la Península de Yucatán, México. Polibotánica 25:69-90.
Urquiza-Haas, T., P. M. Dolman and C. A. Peres. 2007. Regional scale variation in forest structure and biomass in the Yucatan Peninsula, Mexico: Effects of forest disturbance. Forest Ecology and Management 247(1-3): 80-90.
Vázquez N., I., D. López P., H. E. Montalvo U., C. A. Méndez S. y O. Castillo A. 2010. Estructura y composición florística de vegetación inundable en la División Académica de Ciencias Biológicas, Villahermosa, Tabasco. Kuxulkab´ Revista de Divulgación 17(31):21-30.
Vester, H. F., D. Lawrence, J. R. Eastman, B. L. Turner II, S. Calmé, R. Dickson, C. Pozo and F. Sangermano. 2007. Land change in the southern Yucatán and Calakmul biosphere reserve: effects on habitat and biodiversity. Ecological Applications 17(4):989-1003.
Wang, W., X. Lei, Z. Ma, D. D. Kneeshaw and C. Peng. 2011. Positive relationship between aboveground carbon stocks and structural diversity in spruce-dominated forest stands in New Brunswick, Canada. Forest Science 57(6):506-515.
Zamora-Crescencio, P., M. R. Domínguez-Carrasco, P. Villegas, C. Gutiérrez-Báez, L. A. Manzanero-Acevedo, J. J. Ortega-Hass, S. Hernández-Mundo, E. C. Puc-Garrido y R. Puch-Chávez. 2011. Composición florística y estructura de la vegetación secundaria en el norte del estado de Campeche, México. Boletín de la Sociedad Botánica de México 89:27-35.
Zamora-Crescencio, P., C. Gutiérrez-Báez, W. J. Folan, M. R. Domínguez-Carrasco, P. Villegas, G. Cabrera-Mis, C. M. Castro-Angulo y J. C. Carballo. 2012. La vegetación leñosa del sitio arqueológico de Oxpemul, municipio de Calakmul, Campeche, México. Polibotánica 33: 131-150.
Zanne, A. E., G. López-González, D. A. Coomes, J. Ilic, S. Jansen, S. L. Lewis, J. Chave. 2009. Global Wood Density Database. Dryad Identififier. htpp:/hdl.handle.net/1025/dryad.235 (12 de julio de 2017).
Todos los textos publicados por la Revista Mexicana de Ciencias Forestales–sin excepción– se distribuyen amparados bajo la licencia Creative Commons 4.0 Atribución-No Comercial (CC BY-NC 4.0 Internacional), que permite a terceros utilizar lo publicado siempre que mencionen la autoría del trabajo y a la primera publicación en esta revista.