Revista Mexicana de Ciencias Forestales Vol. 15 (84)

Julio - Agosto (2024)

Logotipo, nombre de la empresa

Descripción generada automáticamente

DOI: https://doi.org/10.29298/rmcf.v15i84.1402

Artículo de investigación

Long temporal trend and seasonal variation analysis of forest fires in Brazilian biomes: A stochastic approach

Tendencia de largo plazo y variación estacional de los incendios forestales en los biomas brasileños: Un enfoque estocástico

 

Bartolo de Jesús Villar-Hernández1*, Paulino Pérez-Rodríguez1, Amaury de Souza2

 

Fecha de recepción/Reception date: 3 de junio de 2023.

Fecha de aceptación/Acceptance date: 20 de marzo de 2024.

_______________________________

1Colegio de Postgraduados, Campus Montecillo. México.

2Federal University of Mato Grosso Do Sul. Brazil.

 

*Corresponding author; e-mail: bdjesusvh@gmail.com

*Autor para correspondencia; correo-e: bdjesusvh@gmail.com

 

Resumen

Este estudio aborda la creciente frecuencia de los incendios forestales en los biomas brasileños; para ello, se utilizó un modelo Bayesiano Estructural de Poisson. Se identificaron las tendencias a largo plazo, el comportamiento estacional y el impacto de determinadas variables meteorológicas en la ocurrencia de incendios forestales en los siguientes biomas: Amazonía, Caatinga, Cerrado, Bosque Atlántico, Pampa y Pantanal. Se observaron tendencias temporales no lineales en todos los biomas, con incrementos anuales variables entre 1999-2020: 5.5 % en Pampa, Pantanal 4.9 %, Catinga 3.0 %, Amazonía 2.3 %, Bosque Atlántico y Cerrado 2.2%. Los patrones estacionales estuvieron presentes en todos los biomas, con similitudes entre Amazonía, Catinga, Cerrado y Bosque Atlántico, mientras que la Pampa y el Pantanal mostraron un patrón bimodal. Factores ambientales como la evapotranspiración, las precipitaciones y la temperatura influyeron significativamente en el surgimiento de incendios en distintos biomas. Los resultados de este estudio aportan información valiosa sobre los patrones de incendios y su relación con los factores ambientales en los biomas brasileños, lo cual ayudará en el desarrollo de las estrategias de gestión y prevención de incendios.

Palabras clave: Modelado bayesiano, biomas brasileños, tendencias a largo plazo, modelo de Poisson, variación estocástica, incendios forestales.

Abstract

This study uses a Bayesian Structural Poisson model to address the increasing frequency of wildfires in Brazilian biomes. Long-term trends, seasonal behavior, and the impact of certain meteorological variables on the occurrence of forest fires were identified in the following biomes: Amazon, Caatinga, Cerrado, Atlantic Forest, Pampa, and Pantanal. Nonlinear temporal trends were observed in all biomes, with varying annual increments between 1999-2020: 5.5 % in Pampa, 4.9 % in Pantanal, 3.0 % in Caatinga, 2.3 % in Amazon, 2.2 % in Atlantic Forest, and 2.2 % in Cerrado. Seasonal patterns were present in all biomes, with similarities among the Amazon, Caatinga, Cerrado, and Atlantic Forest, while the Pampa and Pantanal displayed a bimodal pattern. Environmental factors such as evapotranspiration, precipitation, and temperature had significant effects on fire occurrence in different biomes. The findings of this study contribute valuable insights into fire patterns and their relationships with environmental factors in Brazilian biomes, helping to inform fire management and prevention strategies.

Keywords: Bayesian modeling, Brazilian biomes, long-term trends, Poisson model, stochastic variation, wildfires.

 

 

Introducción

 

 

La frecuencia y el alcance de los incendios forestales están aumentando en todo el mundo (Li et al., 2020). La intensificación de los regímenes de incendios originan fenómenos más graves que liberan una gran cantidad de energía en vastas zonas y en un corto periodo, lo que afecta tanto a terrenos públicos, como privados (Li et al., 2020; Schmidt y Eloy, 2020); además, tienen un fuerte impacto en los servicios ecosistémicos, reducen la calidad del agua y del suelo, empobrecen los hábitats y la biodiversidad, inciden en la productividad agrícola y el ciclo del carbono, así como en el clima (Brando et al., 2020; de Oliveira-Júnior et al., 2020). Lo anterior compromete la resiliencia de los ecosistemas terrestres (Pellegrini et al., 2021).

Los incendios forestales también causan importantes pérdidas económicas al dañar las infraestructuras, la agricultura, la silvicultura, y ponen en peligro los recursos hídricos y las actividades recreativas (da Silva et al., 2020). Asimismo, la contaminación atmosférica provocada por los incendios supone un grave peligro para la salud humana (Tedim et al., 2018).

Los incendios, sobre todo los que afectan a cientos o miles de hectáreas, suelen ser causados por actividades humanas (Cullen et al., 2021). Por lo general, estos inician en zonas agrícolas o periurbanas y posteriormente se extienden a bosques y matorrales. Así, la proximidad de tierras agrícolas, carreteras, pueblos y zonas urbanas influye en el surgimiento de los incendios forestales, sobre todo cuando el uso del fuego para el manejo agrícola es una práctica de tipo cultural (Ganteaume et al., 2013; de Oliveira et al., 2019).

Brasil tiene la mayor frecuencia de incendios en Sudamérica (SA) (Li et al., 2020). Entre los biomas brasileños, el Cerrado es el único cuyo ecosistema ha evolucionado en asociación con el fuego (Schmidt y Eloy, 2020). Sin embargo, históricamente, los grandes incendios han devastado amplias zonas no solo de el Cerrado, sino también de la Amazonía (Schmidt y Eloy, 2020) y los biomas del Pantanal (Libonati et al., 2020). Estos tres biomas experimentaron importantes incendios durante las épocas de sequía en 2019 y 2020. El Cerrado tuvo 127 693 incendios forestales; la Amazonía, 320 036 y el Pantanal, 32 141; aunque las temporadas secas en la Amazonía no fueron tan excepcionales como las sequías de 2005, 2010 y 2015 (Schmidt y Eloy, 2020; Carvalho et al., 2022). En 2019, desde que se tienen registros, el humo de los incendios forestales en el Amazonas llegó a São Paulo, la ciudad más grande de SA, debido a la quema de más de 2.7 mil kilómetros al Sureste de la región quemada. En 2020, se quemó un tercio del bioma del Pantanal (Libonati et al., 2020; Oliveira et al., 2022).

A la fecha, los estudios realizados en los biomas brasileños han adoptado diversos enfoques, entre ellos el descriptivo mediante el uso de teledetección (Moreira et al., 2012; de Oliveira-Júnior et al., 2020), modelización inferencial con distribuciones de Valores Extremos Generalizados (VEG) (Carvalho et al., 2022), así como la aplicación de técnicas de aprendizaje automático y análisis no paramétricos basados en las proyecciones del Grupo Intergubernamental de Expertos sobre el Cambio Climático (IPCC) (da Silva et al., 2020).

Cabe destacar que ninguna de las investigaciones revisadas ha profundizado en el análisis de los datos de incendios desde la perspectiva de un Modelo Estructural de Poisson, en el que se incuyen elementos como el nivel, la tendencia latente, la estacionalidad y los términos estocásticos. En un modelo de Poisson estructural se considera que el número de incendios forestales dentro de una misma región y a lo largo del tiempo presenta patrones correlacionados.

El componente de nivel tiene en cuenta los efectos de las covariables ambientales en el logaritmo natural de los incendios esperados. La identificación de tendencias ayuda a comprender si el número de puntos críticos (hotspots) aumenta, disminuye o permanece estable a lo largo del tiempo. Esta información puede tener implicaciones significativas en la gestión y la política sobre incendios. La estacionalidad proporciona información valiosa para la preparación contra incendios y la asignación de recursos, ya que permite predecir los periodos con mayor o menor riesgo de incendio, con base en patrones históricos. Por último, el término estocástico o de error incluye todo lo no considerado por los otros elementos, incluidas las fluctuaciones debidas al azar.

Los objetivos de este trabajo fueron conocer la tendencia a largo plazo y el comportamiento estacional de los registros de incendios forestales en los biomas de Brasil; así como estimar el efecto de algunas variables meteorológicas que potencialmente podrían aumentar o disminuir el riesgo de incendios forestales.

 

 

Materiales y Métodos

 

 

Área de estudio

 

 

El estudio incluyó todo el territorio brasileño, con una extensión de 8.52 millones de km2; el análisis se realizó en seis biomas brasileños: Amazonía, Catinga, Cerrado, Bosque Atlántico, Pampa y Pantanal (Figura 1).

 

 

A = Regiones geográficas brasileñas; B = Biomas terrestres (AM = Amazonía; CT = Catinga; CE = Cerrado; PT = Pantanal; AF = Bosque Atlántico; PP = Pampa) según la clasificación oficial brasileña y la ubicación de las estaciones meteorológicas (Teixeira et al., 2023).

Figura 1. Distribución de los biomas brasileños descritos en este estudio y del modelo de elevación.

 

Biomas brasileños

 

 

El Amazonas es el más grande bioma de Brasil, y ocupa cerca de 49.3 % del territorio nacional (IBGE, 2004). Presenta una importante expansión en la región Septentrional; se caracteriza por sus vastos e imponentes bosques que la convierten en la mayor reserva de madera tropical del mundo (da Silva et al., 2020). Además, destaca la cuenca hidrográfica del Amazonas, el río más caudaloso del Planeta, que fluye a través de una red de 1 100 afluentes y cubre aproximadamente seis millones de km2(MMA, 2022).

El bioma del Cerrado, el segundo mayor de Sudamérica, ocupa aproximadamente 22 % del territorio brasileño. Se ubica en las regiones Norte, Nordeste, Sudeste y Centro-Oeste de Brasil (MMA, 2022). El Cerrado comprende varias fisionomías que incluyen al Campo Limpo, Campo Sujo, Campo Rupestre, Cerradão, Matas Secas, Ciliares, Galeria y Veredas (da Silva et al., 2020).

El bioma de la Catinga cubre alrededor de 11 % del territorio nacional. Se extiende por una parte importante de la región Nordeste de Brasil y otra más pequeña en el Norte del Sudeste (da Silva et al., 2020; MMA, 2022). La vegetación se desarrolla en entornos con una disponibilidad limitada de agua, lo que provoca condiciones de aridez en un periodo de siete a nueve meses, entre junio y diciembre.

El Bosque Atlántico se distribuye a lo largo de la mayor parte de la franja costera atlántica de Brasil. Se extiende en 15 % del territorio nacional y actualmente solo conserva cerca de 29 % de su cobertura original; su vegetación comprende Bosque Ombrófilo Denso, Bosque Antropófilo Mixto, Bosque Ombrófilo Abierto, Bosque Estacional Semicaducifolio, así como ecosistemas asociados como manglares, vegetación de restinga, campos de altitud, pantanos interiores y zonas forestales en el Nordeste (da Silva et al., 2020; MMA, 2022).

El bioma de la Pampa se caracteriza por la presencia de zonas templadas, está situado en la región Sur de Brasil, particularmente en el estado Rio Grande do Sul; abarca una superficie equivalente a 2.1 % del territorio nacional (da Silva et al., 2020).

El Pantanal, pese a ser el bioma más pequeño de Brasil, se considera uno de los mayores humedales continuos del Planeta; ocupa 1.8 % del territorio nacional (da Silva et al., 2020), y está directamente influido por tres importantes biomas brasileños: Amazonía, Cerrado y Bosque Atlántico. La cuenca del Amazonas contribuye significativamente a las precipitaciones anuales en el Pantanal, que lo convirten en un vasto humedal. Muchos ríos que desembocan en el Pantanal nacen en el Cerrado, y le aportan tanto sedimentos, como nutrientes cruciales.

Por último, el Bosque Atlántico es un bioma exuberante que se localiza a lo largo de la costa brasileña, e influye en la biodiversidad del Pantanal. Las especies de aves, en particular, migran entre estas dos regiones, enriqueciendo la diversidad aviar del Pantanal durante ciertas estaciones (Batista et al., 2017). Como llanura aluvial, también recibe el impacto de los ríos que drenan la cuenca del Alto Paraguay y el bioma del Chaco (Pantanal ubicado en el Norte de Paraguay y al Este de Bolivia) (de Oliveira-Júnior et al., 2020).

 

 

Variables

 

 

Se analizaron variables meteorológicas extraídas de la base de datos meteorológicos del Instituto Nacional de Meteorología (Inmet, www.inmet.gov.br) que cubren el periodo entre 1999 y 2020 (Figura 1B). Los datos sobre incendios se obtuvieron del Instituto Nacional de Investigaciones Espaciales (INPE, 2021), específicamente, de la División de Imágenes (DGI) que recoge y procesa imágenes de satélite procedentes de los satélites NOAA-12 y AQUA de la NASA. Las imágenes son captadas por los sensores AVHRR y MODIS. 

 

 

Modelo Bayesiano Estructural de Poisson

 

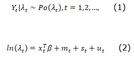
Los datos se modelaron usando un Modelo Estructural de Poisson (Villar-Hernández et al., 2022). La variable Yt, que representa el número de incendios en un momento dado (t) (mes) para un bioma específico, puede tomar valores de Yt=0,1,2,..., y así sucesivamente. Las variables exógenas fueron las siguientes variables meteorológicas: temperatura mensual máxima (Tmáx; °C) y mínima (Tmín; °C), velocidad media mensual del viento (VMmens; m s-1), precipitación mensual (PP; mm), presión de vapor (VP; hPa) y evapotranspiración mensual (ET0; mm).

Las dos ecuaciones siguientes constituyen la base del planteamiento de modelización:   

 

    

 

Donde

Yt = Número de incendios en un tiempo dado (t)

 = Número esperado de incendios en el momento t

 = Distribución de Poisson

 = Vector de covariables ambientales estandarizadas

 = Vector de los coeficientes de regresión 

 

El modelo en la Ecuación 2 consta de cuatro partes:  representan la contribución de las variables ambientales al logaritmo natural de incendios esperados,  representa la tendencia latente (variación a largo plazo),  representa la variación estacional, y  el término estocástico.

La tendencia latente determina si los datos aumentan, disminuyen o siguen una trayectoria específica a lo largo del tiempo. La variación estacional se refiere a los patrones o fluctuaciones recurrentes en los datos que siguen un ciclo regular y predecible. El término estocástico representa el componente aleatorio o imprevisible de los datos de la serie temporal; incluye el ruido, fluctuaciones irregulares o acontecimientos inesperados no atribuibles a las variables ambientales, tendencias o estacionalidad (Harvey y Koopman, 2014).

El modelo se ajustó desde una perspectiva bayesiana mediante la metodología de la Aproximación Integrada Anidada de Laplace (INLA, por sus siglas en inglés) (Rue et al., 2009) y se implementó en el lenguaje de programación R (R Core Team, 2022). Los detalles específicos de cada componente de la Ecuación 2, las distribuciones iniciales para los parámetros e hiperparámetros del modelo, así como el código en R pueden consultarse en https://github.com/bjesusvh/LTTSVABrazil.git.

 

 

Resultados y Discusión

 

 

Incendios en los biomas brasileños

 

 

Los biomas de la Amazonía y el Cerrado mostraron el mayor número de hotspots durante todo el periodo analizado, con más de 100 000 registros en algunos meses casi todos los años (Figura 2). Los biomas del Pantanal, la Catinga, el Bosque Atlántico y la Pampa también tuvieron valores altos (>60 000), particularmente en 2019 y 2020.

 

Figura 2. Número de hotspots mensuales en los biomas de Brasil (periodo 1999-2021).

 

Los hotspots en 2019 y 2020 coincidieron con fases específicas del fenómeno climático El Niño-Oscilación del Sur (ENOS), que influye significativamente en los patrones de precipitaciones, temperatura y humedad. Estas influencias climáticas, junto con sus efectos subsiguientes, como los periodos secos y las sequías graves, variaron en función de las regiones y contribuyeron a la intensificación de los incendios en los biomas de Brasil (de Oliveira-Júnior et al., 2020; Carvalho et al., 2022). Los ecosistemas como el del Cerrado son propensos a los incendios debido a la aridez, la vegetación adaptada al fuego y la actividad antrópica; mientras que los humedales, como los del Pantanal, son menos susceptibles debido a la humedad, la vegetación densa y el escaso impacto humano. La adaptación al fuego y las prácticas de manejo también influyen en la susceptibilidad (Pereira et al., 2014).

 

 

Efectos de las variables meteorológicas

 

 

Las variables meteorológicas estadísticamente relacionadas con los incendios son la precipitación mensual, la evapotranspiración mensual, la temperatura máxima y mínima mensual y la presión de vapor (Cuadro 1), indicadas por el Intervalo de Máxima Densidad a Posteriori (HPDI, por sus siglas en inglés) al 95 %, y que no contiene al cero. Los valores positivos indican un aumento de la media logarítmica de la media de los incendios, mientras que los negativos corresponden a una disminución. Por ejemplo, la precipitación presenta un coeficiente de regresión de -0.11, con un intervalo de credibilidad al 95 % que oscila entre -0.2 y -0.02. Para interpretar el coeficiente de forma más intuitiva, se considera la exponencial: el exp(-0.11) es igual a 0.89. Esto implica que por cada unidad estandarizada de aumento de las precipitaciones, el bioma amazónico experimentó una reducción de 11 % en el riesgo de surgimiento de incendios forestales, calculado como , manteniendo todas las otras variables constantes. Interpretaciones similares se aplican a los demás coeficientes. 

 

Cuadro 1. Resumen estadístico de los coeficientes de regresión asociados a las variables significativas (95 % de probabilidad) en cada bioma.

Bioma

Variable ambiental

Coeficiente

Intervalo HPDI al 95 %

Exp (Coeficiente)

Amazonía*

PP

-0.11

[-0.2, -0.02]

0.90

Amazonía*

ETo

0.38

[0.16, 0.6]

1.46

Catinga+

ETo

0.31

[0.01, 0.6]

1.36

Catinga+

VP

0.21

[0.02, 0.4]

1.24

Cerrado**

ETo

0.37

[0.26, 0.48]

1.45

Bosque Atlántico*

ETo

0.28

[0.01, 0.56]

1.33

Bosque Atlántico*

Tmáx

0.39

[0.02, 0.76]

1.48

Pampa**

PP

-0.16

[-0.24, -0.07]

0.85

Pampa**

VP

-1.17

[-1.9, -0.45]

0.31

Pampa**

Tmáx

1.33

[0.69, 1.98]

3.78

Pantanal**

PP

-0.27

[-0.44, -0.11]

0.76

Pantanal**

ETo

0.46

[0.22, 0.7]

1.58

Pantanal**

Tmáx

0.68

[0.08, 1.28]

1.98

Pantanal**

Tmín

-1.06

[-2.04, -0.08]

0.35

*Sensible al fuego; **Dependiente del fuego; +Independiente del fuego.

 

La evapotranspiración mensual mostró un efecto positivo significativo en cinco de los seis biomas (excepto la Pampa); la precipitación tuvo efectos negativos significativos en la Amazonía, la Pampa y el Pantanal. La temperatura máxima mensual registró efectos positivos en los biomas del Bosque Atlántico, la Pampa y el Pantanal; para la presión de vapor se observó un efecto positivo en el bioma la Catinga y uno negativo en la Pampa; y la Tmín tuvo un efecto positivo solo en el Pantanal.

Singh y Zhu (2021) destacan que en la Amazonía, la disminución de las precipitaciones y el aumento de la temperatura tienen un fuerte impacto en la dinámica de los incendios, este impacto es más significativo en los años con presencia de El Niño. En el caso de los biomas localizados en el Sur de Brasil, también hay evidencias de la correlación entre una menor precipitación y presión de vapor con una mayor incidencia de incendios forestales (de Andrade et al., 2020). Otra variable crucial es la evapotranspiración; a medida que esta aumenta, la pérdida de agua de la cubierta vegetal se incrementa, lo que conlleva a un aumento del combustible que facilita la ignición y propagación del fuego. La única señal inconsistente fue la observada para el coeficiente asociado a la presión de vapor en el bioma de la Catinga, lo cual podría deberse a que su efecto está enmascarado por la evapotranspiración.

 

 

Tendencias a largo plazo

 

 

El modelo sugiere que las tendencias latentes en los seis biomas presentan incrementos no lineales a lo largo del tiempo (Figura 3). Los incrementos medios anuales a largo plazo (periodo 1999-2020) fueron los siguientes: 5.5 % para la Pampa, 4.9 % para el Pantanal, 3.0 % para la Catinga, 2.3 % para la Amazonía, 2.2 % para el Bosque Atlántico y 2.2 % para el Cerrado.

 

Figura 3. Media posterior de la tendencia latente (mt; azul), su Intervalo de Máxima Densidad a Posteriori al 95 % (HPDI, líneas punteadas) y periodos (líneas rojas) con tendencias similares basadas en puntos de ruptura para los seis biomas de Brasil.

 

En función del papel ecológico que desempeñan los incendios en los ecosistemas brasileños, los biomas pueden clasificarse en sensibles al fuego, dependientes del fuego e independientes del fuego. Los dependientes del fuego han coevolucionado con este y se caracterizan por la presencia dominante de gramíneas (praderas y sabanas). Por el contrario, los biomas sensibles al fuego no están adaptados a los incendios y no se queman fácilmente. Cuando estos bosques arden, el fuego causa graves impactos, como es el caso de los bosques tropicales. Por último, en los biomas independientes del fuego, este no es una característica esencial de su funcionamiento (Pivello et al., 2021).

La Amazonía (bioma sensible al fuego) presentó seis periodos de relativa homogeneidad en las tendencias a largo plazo. El periodo final se extendió de agosto de 2018 a diciembre de 2020. La diferencia en la tendencia media (por periodo) entre el último y el primero fue de 48 %. Al realizar el mismo análisis para los otros biomas, se observó que el Bosque Atlántico (sensible al fuego) y el Cerrado (dependiente del fuego) tuvieron tres periodos. En ambos biomas, el último comenzó en 2011 y se prolongó hasta diciembre de 2020, con diferencias de 37 y 36 %, entre el primero y el último periodo. La Pampa (dependiente del fuego) y la Catinga (independiente del fuego) compartieron similitudes, cada uno con cuatro periodos en la tendencia. La diferencia entre el último periodo y el primero fue de 137 y 53 %, respectivamente. Por último, el Pantanal (dependiente del fuego) presentó cuatro puntos de ruptura que generaron cinco periodos de la tendencia a largo plazo, el último de los cuales duró de finales de 2018 hasta el final de la serie de estudio, con una diferencia de 86 % en comparación con el primer periodo.

En general, en todos los biomas se observaron aumentos sustanciales en las tendencias a largo plazo entre 1999 y 2004. Después, la tendencia se estabilizó gracias a los esfuerzos del gobierno brasileño para combatir la deforestación (Pivello et al., 2021). Incluso en la Amazonía y la Pampa, la tendencia disminuyó durante una década. Sin embargo, en 2014 comenzó un nuevo periodo de incrementos significativos que alcanzaron máximos en 2020, por la combinación del clima seco y actividades antropogénicas, además de la falta de políticas y vigilancia ambientales (Pivello et al., 2021).

Los aumentos sustanciales de la tendencia a largo plazo inferida por el modelo se complementan con investigaciones previas desde una perspectiva inferencial distinta. Por ejemplo, Carvalho et al. (2022) descubrieron que existe una fuerte correlación entre los incendios y las actividades agrícolas, especialmente en los biomas de el Cerrado, el Pantanal y el Bosque Atlántico. Esto sugiere que los efectos antropogénicos desempeñan un papel clave en el incremento de la tendencia temporal prolongada en esos biomas. Lo anterior coincide con los hallazgos de Franco et al. (2020), quienes sugieren que en 50 % de la sabana original cambió el uso de la tierra para otros fines.

El escenario es sombrío para el bioma del Pantanal; el presente estudio y otros realizados (Pivello et al., 2021; Marengo et al., 2022) indican un aumento reciente del número y la extensión de los incendios, lo que provoca una pérdida significativa de vegetación e impactos sobre la fauna. Según Magalhães y Evangelista (2022), las actividades humanas cerca de carreteras y cursos de agua están relacionados con la incidencia de incendios, mientras que un episodio climático más seco proporciona las condiciones para que el fuego se propague en el Pantanal.

A pesar de que algunos biomas dependientes del fuego han evolucionado de tal manera que la biodiversidad que albergan ha desarrollado mecanismos de adaptación dependientes del fuego, los niveles crecientes en la tendencia temporal a largo plazo son alarmantes. Si esta se mantiene en los próximos años, continuarán agravándose sus impactos en la biodiversidad, los ecosistemas y la salud humana. 

 

 

Variación estacional

 

 

Se presentan los patrones estacionales para los incendios esperados y el Intervalo de Máxima Densidad a Posteriori (HPDI) al 95 % capturado por el modelo de Poisson (Figura 4). da Silva et al. (2020) señalan la existencia de una similitud en el componente estacional entre los biomas de la Amazonía y el Cerrado. Sin embargo, en el presente estudio, los biomas de la Catinga y el Bosque Atlántico registraron patrones estacionales similares a los de la Amazonía y el Cerrado. La mayoría de los incendios a lo largo del año en la Amazonía se concentraron en el periodo de agosto a octubre y representaron 61 % del total, septiembre fue el mes con la mayor incidencia. En el bioma de la Catinga, el periodo de máxima incidencia (amplitud) se extendió de septiembre a noviembre, con 68 %, su pico más alto se observó en octubre.

 

Figura 4. Media posterior del componente estacional (St; línea continua negra) y su Intervalo de Máxima Densidad Posterior de 95 % (HPDI; sombreado azul) para los seis biomas de Brasil.

 

En el bioma del Cerrado, el periodo comprendió de julio a octubre, con 74 % y su máxima incidencia en septiembre. En el Bosque Atlántico, fue de julio a octubre, con 75 %, y su máximo en agosto. Por otra parte, los biomas de la Pampa y el Pantanal presentaron patrones estacionales distintos; en la Pampa, el periodo fue de julio a septiembre, con su punto más alto en agosto, con 37 %. Por último, en el Pantanal, el periodo se prolongó de agosto a diciembre, con 70 % y dos máximos, uno en septiembre y otro en noviembre. El primer pico se dio como resultado de la reducción de las precipitaciones y otros factores naturales y humanos. El segundo coincidió con las condiciones más secas de la vegetación, debido principalmente a las actividades antropogénicas como la limpieza de terrenos para cultivo. En términos generales, los picos en todos los biomas se produjeron al final de la estación seca, justo antes del inicio de la temporada de lluvias. La estacionalidad de los incendios forestales según los biomas está influida por la Zona de Convergencia Intertropical, que migra estacionalmente siguiendo al sol, y cuya posición incide en el inicio y cese de la temporada de lluvias en Brasil.

La incertidumbre asociada a los patrones estacionales capturados por el HPDI (Figura 4) fue superior en la Catinga y el Pantanal, que en el resto de los biomas. La causa de esta incertidumbre se relaciona con las condiciones naturales en las que han evolucionado estos biomas; o bien, podría atribuirse a efectos antropogénicos o al cambio climático.

Finalmente, es importante señalar que las temporadas de gran amplitud provocan incendios intensos con graves riesgos ecológicos, económicos y humanos, que requieren grandes recursos. Por el contrario, las estaciones de baja amplitud dan lugar a incendios más suaves y controlables, lo que beneficia a los ecosistemas y reduce la amenaza para las comunidades. El periodo de agosto a noviembre es el que requiere una mayor atención por parte de las autoridades públicas en cuanto a la puesta en marcha de programas de prevención y control de incendios, tal como lo destacan Lopes et al. (2020).

 

 

Conclusiones

 

Entre los biomas brasileños, la Amazonía y el Cerrado presentan el mayor número de incendios forestales de Brasil, que a menudo superan los 100 000 eventos anuales. Estos focos coinciden con fases específicas de El Niño-Oscilación del Sur (ENOS).

Algunas variables meteorológicas están estadísticamente relacionadas con los incendios. Cuando las precipitaciones aumentan en una unidad normalizada, el riesgo de incendios forestales disminuye en 11 % en el bioma amazónico (sensible al fuego). La evapotranspiración incrementa el riesgo de incendios forestales en 33 %, cuando aumenta una unidad en el bioma del Bosque Atlántico (también sensible a los incendios), y la temperatura máxima lo hace en 48 %, si registra una unidad más en el mismo bioma.

En futuras investigaciones, será crucial evaluar el impacto potencial sobre el número previsto de incendios forestales para las regiones brasileñas en escenarios adversos de cambio climático, como el incremento de la temperatura y la evapotranspiración, así como la disminución de las precipitaciones, con base en las proyecciones del Grupo Intergubernamental de Expertos sobre el Cambio Climático.

El análisis de las tendencias a largo plazo revela un aumento no lineal de los incendios en todos los biomas, con incrementos medios anuales que oscilan entre 2.2 y 5.5 % en el periodo comprendido entre 1999 y 2020. En particular, los biomas de la Amazonía, el Bosque Atlántico y el Cerrado han tenido periodos de relativa estabilidad, seguidos de aumentos significativos en los últimos años.

Los biomas de la Amazonía, el Bosque Atlántico y el Cerrado muestran periodos distintos en las tendencias de incendios a largo plazo, con diferencias significativas entre el primer periodo y el último. En la Amazonía se registró una diferencia de 48 %, mientras que en el Bosque Atlántico y el Cerrado las diferencias fueron de 37 y 36 %, respectivamente. Otros biomas como la Pampa y la Catinga también muestran tendencias variadas, con diferencias de 137 y 53 %. El Pantanal tiene puntos de incendio notables, con una diferencia de 86 % con respecto al primer periodo.

Los biomas de la Amazonía, el Cerrado, la Catinga y el Bosque Atlántico presentan patrones estacionales similares, con picos de incidencia al final de la estación seca. En estos biomas, más de 60 % de los focos de incendios se concentran de julio a octubre. El bioma de la Pampa no presenta un patrón estacional destacable, mientras que en el Pantanal se producen dos picos en septiembre y noviembre que coinciden con la reducción de las precipitaciones y las condiciones de sequía de la vegetación.

Estos hallazgos evidencian la dinámica multifacética de los incendios forestales en los biomas brasileños, y resaltan la importancia de la gestión integrada. Al combinar la evidencia de los datos y las medidas proactivas que han funcionado en el pasado, pueden mitigar los impactos y promover la resiliencia. Se recomienda que en las investigaciones futuras se utilicen modelos espacio-temporales para identificar las zonas de alta incidencia y delimitar las áreas naturales protegidas.

 

Agradecimientos

 

Agradecemos el apoyo proporcionado por el Colegio de Postgraduados Campus Montecillo para la financiación de la publicación de este artículo.

 

Conflicto de intereses

 

Los autores declaran no tener ningún conflicto de intereses.

 

Contribución por autor

 

Bartolo de Jesús Villar-Hernández: idea original, programación y ajuste del modelo estadístico; Paulino Pérez-Rodríguez: revisión del modelo estadístico ajustado; Amaury de Souza: acceso y depuración del conjunto de datos. Todos los autores redactaron, discutieron y revisaron el manuscrito. 

 

 

Referencias

Batista de P., J., M. Aragona, K. Y. Pioto H. and M. Â. Marini. 2017. Migration patterns and seasonal forest use by birds in the Brazilian Pantanal. Bird Conservation International 27(3):371-387. Doi: 10.1017/S0959270916000290.

Brando, P. M., B. Soares-Filho, L. Rodrigues, A. Assunção, ... and M. T. Coe. 2020. The gathering firestorm in southern Amazonia. Science Advances 6(2):1-9. Doi: 10.1126/sciadv.aay1632.

Carvalho A., M., G. Bastos L., J. F. de Oliveira-Júnior, A. Souza, ... and R. C. Real A. 2022. Temporal and spatial patterns of fire activity in three biomes of Brazil. Science of The Total Environment 844:138-157. Doi: 10.1016/j.scitotenv.2022.157138.

Cullen, A. C., T. Axe and H. Podschwit. 2021. High-severity wildfire potential–associating meteorology, climate, resource demand and wildfire activity with preparedness levels. International Journal of Wildland Fire 30(1):30-41. Doi: 10.1071/WF20066.

da Silva J., C. A., P. E. Teodoro, R. Coll D., L. P. Ribeiro T., … and C. U. Facco. 2020. Persistent fire foci in all biomes undermine the Paris Agreement in Brazil. Scientific Reports 10:16246. Doi: 10.1038/s41598-020-72571-w.

de Andrade, C. F., R. C. Delgado, M. L. F. Barbosa, P. E. Teodoro, … and G. F. Capristo-Silva. 2020. Fire regime in Southern Brazil driven by atmospheric variation and vegetation cover. Agricultural and Forest Meteorology 295:108194. Doi: 10.1016/j.agrformet.2020.108194.

de Magalhães N., N. and H. Evangelista. 2022. Human activity behind the unprecedented 2020 wildfire in Brazilian wetlands (Pantanal). Frontiers in Environmental Science 10:888578. Doi: 10.3389/fenvs.2022.888578.

de Oliveira, A. S., R. G. Rajão, B. S. Soares F., U. Oliveira, … and L. S. de Lima. 2019. Economic losses to sustainable timber production by fire in the Brazilian Amazon. The Geographical Journal 185(1):55-67. Doi: 10.1111/geoj.12276.

de Oliveira-Júnior, J. F., P. E. Teodoro, C. A. da Silva J., F. H. R. Baio, … and M. da Silva C. 2020. Fire foci related to rainfall and biomes of the state of Mato Grosso Do Sul, Brazil. Agricultural and Forest Meteorology 282-283:107861. Doi: 10.1016/j.agrformet.2019.107861.

Franco C., R., M. P. Ledru, R. de Almeida S. and C. Favier. 2020. Vegetation and fire variability in the central Cerrados (Brazil) during the Pleistocene-Holocene transition was influenced by oscillations in the SASM boundary belt. Quaternary Science Reviews 232:106209. Doi: 10.1016/j.quascirev.2020.106209.

Ganteaume, A., A. Camia, M. Jappiot, J. San-Miguel-Ayanz, M. Long-Fournel and C. Lampin. 2013. A review of the main driving factors of forest fire ignition over Europe. Environmental Management 51:651-662. Doi: 10.1007/s00267-012-9961-z.

Harvey, A. and S. J. Koopman. 2014. Structural time series models. In: Lovric, M. (Edit.). Wiley StatsRef: Statistics Reference Online. Springer. New York, NY, United States of America. pp. 1555-1558.

Instituto Brasileiro de Geografia e Estatística (IBGE). 2004. Mapa de Biomas do Brasil. IBGE. https://www.ibge.gov.br/geociencias/informacoes-ambientais/vegetacao/15842-biomas.html. (May 12, 2022).

Instituto Nacional de Pesquisas Espaciales (INPE). 2021. Fire Monitoring Program. INPE. https://www.gov.br/inpe/pt-br. (February 17, 2022).

Li, P., C. Xiao, Z. Feng, W. Li and X. Zhang. 2020. Occurrence frequencies and regional variations in Visible Infrared Imaging Radiometer Suite (VIIRS) global active fires. Global Change Biology 26(5):2970-2987. Doi: 10.1111/gcb.15034.

Libonati, R., C. C. DaCamara, L. F. Peres, L. A. Sander de C. and L. C. Garcia. 2020. Rescue Brazil’s burning Pantanal wetlands. Nature 588(7837):217-219. Doi: 10.1038/d41586-020-03464-1.

Lopes P., D., A. Gonçalves S., S. Guedes B., G. Souza L., ... and F. T. Pereira T. 2020. Periods of highest occurrence of forest fires in Brazil. Floresta 51(2):484-491. Doi: 10.5380/rf.v51i2.70286.

Marengo, J. A., A. P. Cunha, L. A. Cuartas, K. R. Deusdará L., ... and F. Bender. 2022. Corrigendum: Extreme drought in the Brazilian Pantanal in 2019–2020: Characterization, causes, and impacts. Frontiers in Water 4:942068. Doi: 10.3389/frwa.2022.942068.

Ministério do Meio Ambiente (MMA). 2022. Biomas. https://antigo.mma.gov.br/biomas.html. (August 1, 2022).

Moreira de A., F., L. Guimarães F. and A. E. Arantes. 2012. Distribution patterns of burned areas in the brazilian biomes: An analysis based on satellite data for the 2002-2010 period. Remote Sensing 4(7):1929-1946. Doi: 10.3390/rs4071929.

Oliveira, U., B. Soares-Filho, M. Bustamante, L. Gomes, J. P. Ometto and R. Rajão. 2022. Determinants of fire impact in the Brazilian biomes. Frontiers in Forests and Global Change 5:735017. Doi: 10.3389/ffgc.2022.735017.

Pellegrini, A. F. A., A. M. Hein, J. Cavender-Bares, R. A. Montgomery, … and P. B. Reich. 2021. Disease and fire interact to influence transitions between savanna–forest ecosystems over a multi-decadal experiment. Ecology Letters 24(5):1007-1017. Doi: 10.1111/ele.13719.

Pereira J., A. C., S. L. J. Oliveira, J. M. C. Pereira and M. A. Amaral T. 2014. Modelling fire frequency in a Cerrado Savanna Protected Area. PLoS ONE 9(7):1-11. Doi: 10.1371/journal.pone.0102380.

Pivello, V. R., I. Vieira, A. V. Christianini, D. B. Ribeiro, … and G. E. Overbeck. 2021. Understanding Brazil’s catastrophic fires: Causes, consequences and policy needed to prevent future tragedies. Perspectives in Ecology and Conservation 19(3):233-255. Doi: 10.1016/j.pecon.2021.06.005.

R Core Team. 2022. R: A language and environment for statistical computing (v. 4.2.1). R Foundation for Statistical Computing. Vienna, W, Austria. https://www.R-project.org/. (June 12, 2020).

Rue, H., S. Martino and N. Chopin. 2009. Approximate bayesian inference for latent Gaussian models by using integrated nested laplace approximations. Journal of the Royal Statistical Society: Series B Statistical Methodology 71(2):319-392. Doi: 10.1111/j.1467-9868.2008.00700.x.

Schmidt, I. B. and L. Eloy. 2020. Fire regime in the Brazilian Savanna: Recent changes, policy and management. Flora 268:151613. Doi: 10.1016/j.flora.2020.151613.

Singh, M. and X. Zhu. 2021. Analysis of how the spatial and temporal patterns of fire and their bioclimatic and anthropogenic drivers vary across the Amazon rainforest in El Niño and Non-El Niño years. PeerJ. 9:e12029. Doi: 10.7717/peerj.12029.

Tedim, F., V. Leone, M. Amraoui, C. Bouillon, … and G. Xanthopoulos. 2018. Defining extreme wildfire events: Difficulties, challenges, and impacts. Fire 1(1):9. Doi: 10.3390/fire1010009.

Teixeira, A., J. Leivas, C. Takemura, G. Bayma, … and C. Silva. 2023. Remote sensing environmental indicators for monitoring spatial and temporal dynamics of weather and vegetation conditions: applications for Brazilian biomes. Environmental Monitoring and Assessment 195(8):944. Doi: 10.1007/s10661-023-11560-8.

Villar-Hernández, B. de J., S. Pérez-Elizalde, D. A. Rodríguez-Trejo and P. Pérez-Rodríguez. 2022. Spatio-temporal analysis of wildfires occurrence in the mexican state of Oaxaca. Revista Mexicana de Ciencias Forestales 13(74):120-144. Doi: 10.29298/rmcf.v13i74.1274.

 

 

 

        

Todos los textos publicados por la Revista Mexicana de Ciencias Forestales sin excepción– se distribuyen amparados bajo la licencia Creative Commons 4.0 Atribución-No Comercial (CC BY-NC 4.0 Internacional), que permite a terceros utilizar lo publicado siempre que mencionen la autoría del trabajo y a la primera publicación en esta revista.