Revista Mexicana de Ciencias Forestales Vol. 15 (84)

Julio - Agosto (2024)

Logotipo, nombre de la empresa

Descripción generada automáticamente

DOI: https://doi.org/10.29298/rmcf.v15i84.1402

Research article

Long temporal trend and seasonal variation analysis of forest fires in Brazilian biomes: A stochastic approach

Tendencia de largo plazo y variación estacional de los incendios forestales en los biomas brasileños: Un enfoque estocástico

 

Bartolo de Jesús Villar-Hernández1*, Paulino Pérez-Rodríguez1, Amaury de Souza2

 

Fecha de recepción/Reception date: 3 de junio de 2023.

Fecha de aceptación/Acceptance date: 20 de marzo de 2024.

_______________________________

1Colegio de Postgraduados, Campus Montecillo. México.

2Federal University of Mato Grosso Do Sul. Brazil.

 

*Corresponding author; e-mail: bdjesusvh@gmail.com

*Autor para correspondencia; correo-e: bdjesusvh@gmail.com

 

Abstract

This study uses a Bayesian Structural Poisson model to address the increasing frequency of wildfires in Brazilian biomes. Long-term trends, seasonal behavior, and the impact of certain meteorological variables on the occurrence of forest fires were identified in the following biomes: Amazon, Caatinga, Cerrado, Atlantic Forest, Pampa, and Pantanal. Nonlinear temporal trends were observed in all biomes, with varying annual increments between 1999-2020: 5.5 % in Pampa, 4.9 % in Pantanal, 3.0 % in Caatinga, 2.3 % in Amazon, 2.2 % in Atlantic Forest, and 2.2 % in Cerrado. Seasonal patterns were present in all biomes, with similarities among the Amazon, Caatinga, Cerrado, and Atlantic Forest, while the Pampa and Pantanal displayed a bimodal pattern. Environmental factors such as evapotranspiration, precipitation, and temperature had significant effects on fire occurrence in different biomes. The findings of this study contribute valuable insights into fire patterns and their relationships with environmental factors in Brazilian biomes, helping to inform fire management and prevention strategies.

Keywords: Bayesian modeling, Brazilian biomes, long-term trends, Poisson model, stochastic variation, wildfires.

Resumen

Este estudio aborda la creciente frecuencia de los incendios forestales en los biomas brasileños; para ello, se utilizó un modelo Bayesiano Estructural de Poisson. Se identificaron las tendencias a largo plazo, el comportamiento estacional y el impacto de determinadas variables meteorológicas en la ocurrencia de incendios forestales en los siguientes biomas: Amazonía, Caatinga, Cerrado, Bosque Atlántico, Pampa y Pantanal. Se observaron tendencias temporales no lineales en todos los biomas, con incrementos anuales variables entre 1999-2020: 5.5 % en Pampa, Pantanal 4.9 %, Catinga 3.0 %, Amazonía 2.3 %, Bosque Atlántico y Cerrado 2.2%. Los patrones estacionales estuvieron presentes en todos los biomas, con similitudes entre Amazonía, Catinga, Cerrado y Bosque Atlántico, mientras que la Pampa y el Pantanal mostraron un patrón bimodal. Factores ambientales como la evapotranspiración, las precipitaciones y la temperatura influyeron significativamente en el surgimiento de incendios en distintos biomas. Los resultados de este estudio aportan información valiosa sobre los patrones de incendios y su relación con los factores ambientales en los biomas brasileños, lo cual ayudará en el desarrollo de las estrategias de gestión y prevención de incendios.

Palabras clave: Modelado bayesiano, biomas brasileños, tendencias a largo plazo, modelo de Poisson, variación estocástica, incendios forestales.

 

 

 

Introduction

 

 

The frequency and extent of wildfires are increasing worldwide (Li et al., 2020). Enhanced fire regimes result in more severe events that release a large amount of energy over vast areas in a short period, affecting both public and private lands (Li et al., 2020; Schmidt and Eloy, 2020). These fires strongly impact ecosystem services, reduce water and soil quality, impoverish habitats and biodiversity, affect agricultural productivity and the carbon cycling, and the climate (Brando et al., 2020; de Oliveira-Júnior et al., 2020), thereby compromising the resilience of terrestrial ecosystems (Pellegrini et al., 2021).

Wildfires also cause substantial economic losses by damaging infrastructure, agriculture, and forestry, compromising water resources and recreational activities (da Silva et al., 2020). Additionally, air pollution from fires poses a serious health hazard (Tedim et al., 2018).

Fires, particularly those that affect hundreds or thousands of hectares, are generally triggered by human activities (Cullen et al., 2021). Usually, these fires ignite in agricultural or peri-urban regions, subsequently extending their reach into encompassing forests and shrublands. Thus, the proximity to agricultural land, roads, villages, and urban areas influences the occurrence of forest fires, particularly when the use of fire for managing agricultural areas is a cultural practice (Ganteaume et al., 2013; de Oliveira et al., 2019).

Brazil has the highest frequency of fires in South America (SA) (Li et al., 2020). Among the Brazilian biomes, Cerrado is the only one whose ecosystems have evolved in association with fire (Schmidt and Eloy, 2020). However, historically, large fires have devastated wide areas not only in the Cerrado but also in the Amazon (Schmidt and Eloy, 2020) and the Pantanal biomes (Libonati et al., 2020). These three biomes experienced significant fires during the dry seasons of 2019 and 2020: Cerrado had 127 693 forest fire ignitions, Amazon 320 036 forest fire ignitions, and Pantanal with 32 141 forest fire ignitions, although the dry seasons in the Amazon were not as exceptional as the droughts of 2005, 2010, and 2015 (Schmidt and Eloy, 2020; Carvalho et al., 2022). In 2019, for the first time on record, smoke from forest fires in the Amazon reached São Paulo, the largest city in SA, due to the burning of more than 2.7 thousand kilometers Southeast of the burned regions. In 2020, one-third of the Pantanal biome was burned (Libonati et al., 2020; Oliveira et al., 2022).

To date, the studies conducted within the Brazilian biomes have taken various approaches, including descriptive utilizing remote sensing products (Moreira et al., 2012; de Oliveira-Júnior et al., 2020), inferential modeling with Generalized Extreme Values (GEV) distributions (Carvalho et al., 2022), as well as the application of machine learning techniques and non-parametric analyses based on IPCC projections (da Silva et al., 2020). However, it is noteworthy that none of the reviewed studies have delved into the analysis of fire data from the perspective of the Structural Poisson Model, which encompasses elements such as level, latent trend, seasonality, and stochastic terms. This model framework posits that wildfire counts within the same region over time exhibit correlated patterns.

The level component accounts for the effects of environmental covariates in the natural logarithm of expected fires. Trend identification assists in comprehending whether the number of hotspots is increasing, decreasing, or remaining stable over time. This information can have significant implications for fire management and policy. The seasonality component provides valuable insights for fire preparedness and resource allocation, enabling the prediction of periods with higher or lower fire risk based on historical patterns. Finally, the stochastic or error term includes everything not accounted by the other terms including random fluctuations.

The goal of this work is to comprehend the long-term trend and seasonal behavior of the time series corresponding to wildfire records in Brazil's biomes, as well as to estimate the effect of certain meteorological variables that potentially could increase or decrease the associated wildfire risk.

 

 

Material and Methods

 

 

Study Area

 

 

This study covered the entire Brazilian territory, spaning 8.52 million km2. We focused on the analysis of six Brazilian biomes: Amazon, Caatinga, Cerrado, Atlantic Forest, Pampa, and Pantanal (Figure 1).

 

A = Brazilian geographic regions; B = Terrestrial biomes (AM = Amazon; CT = Caatinga; CE = Cerrado; PT = Pantanal; AF = Atlantic Forest; PP = Pampa) according to the official Brazilian classification and meteorological stations locations (Teixeira et al., 2023).

Figure 1. Distribution of the Brazilian biomes described in this study and the elevation model across the territory.

 

 

Brazilian biomes

 

 

The Amazon biome is the largest in Brazil, occupying about 49.3 % of the national territory (IBGE, 2004). It experiences significant expansion in the Northern region and is characterized by vast, towering forests, making it the largest tropical timber reserve globally (da Silva et al., 2020). Additionally, the Amazon hydrographic basin is noteworthy, with the Amazon River being the largest in the world, flowing through a network of 1 100 tributaries and covering approximately six million km2 (MMA, 2022).

The Cerrado biome, the second largest in South America, occupies approximately 22 % of the national territory. It can be found in the North, Northeast, Southeast, and Midwest regions of Brazil (MMA, 2022). The Cerrado comprises various physiognomies, including Campo Limpo, Campo Sujo, Campo Rupestre, Cerradão, Matas Secas, Ciliares e Galeria, and Veredas (da Silva et al., 2020).

The Caatinga biome covers around 11 % of the national territory. It extends across a significant portion of the Northeast Brazil region and a smaller portion in the North of Southeast Brazil (da Silva et al., 2020; MMA, 2022). The vegetation in this biome thrives in environments with limited water availability, resulting in aridity for seven to nine months, between June and December.

The Atlantic Forest stretches along the majority of the Atlantic coastal strip in Brazil. It occupies 15 % of the national territory and currently retains only about 29 % of its original coverage. The Atlantic Forest is composed of Dense Ombrófila Forest, Mixed Anthropophilic Forest, Open Ombrófila Forest, Semidecidual Seasonal Forest, as well as associated ecosystems such as mangroves, restinga vegetation, altitude fields, inland swamps, and forest enclaves in the Northeast (da Silva et al., 2020; MMA, 2022).

The Pampa biome, characterized by temperate zone fields, is situated in the Southern region of Brazil, confined to the state of Rio Grande do Sul. It covers an area equivalent to 2.1 % of the national territory (da Silva et al., 2020).

The Pantanal, although the smallest biome in Brazil, is considered one of the largest continuous wetlands on the planet. It occupies 1.8 % of the national territory (da Silva et al., 2020). This biome is directly influenced by three significant Brazilian biomes: the Amazon, Cerrado, and Atlantic Forest. The Amazon Basin contributes significantly to the Pantanal's annual rainfall, making it a vast wetland. Many rivers that flow into the Pantanal originate in the Cerrado, bringing sediment and nutrients crucial for the Pantanal's ecosystem.

Lastly, the Atlantic Forest, a lush biome along Brazil's coast, influences the Pantanal's biodiversity. Bird species, in particular, migrate between these two regions, enriching the Pantanal's avian diversity during certain seasons (Batista et al., 2017). As an alluvial plain, it is also impacted by rivers draining the Upper Paraguay basin and the Chaco biome (which refers to the Pantanal located in Northern Paraguay and Eastern Bolivia) (de Oliveira-Júnior et al., 2020).

 

 

Data

 

 

In this study, we analyzed meteorological variables extracted from the meteorological database of the National Institute of Meteorology (Inmet, www.inmet.gov.br) covering the period between 1999 and 2020 (Figure 1B). Fire data was obtained from the National Institute of Space Research (INPE, 2021), specifically the Imaging Division (DGI), which collects and processes satellite images from NOAA-12 and NASA AQUA satellites. The images are captured by AVHRR and MODIS sensors.

 

 

Bayesian Structural Poisson model

 

 

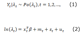
We fitted to data a Structural Poisson model used in similar studies (Villar-Hernández et al., 2022). The variable Yt that represents the number of fires at a given time (t) (month) for a specific biome, can take values Yt=0,1,2,…, and so on. The exogenous variables in our analysis were the following meteorological variables: maximum (Tmax; °C) and minimum (Tmin; °C) monthly temperature, average monthly wind speed (WS; m s-1), monthly precipitation (PP; mm), average monthly vapor pressure (VP; hPa), and monthly evaportranspiration (ET0; mm).

The following two equations form the foundation of our modeling approach: 

 

      

Where:

 = Number of fires at a given time (t)

 = Expected number of fire focis at time t

 = Poisson distribution

 = Vector of standardized environmental covariates

 = Vector of regression coefficients

 

Model formulation in Equation 2 consists of four parts:  represent the contribution of environmental variables into the natural logarithm of expected fires spots,  represents the latent trend (long-term variation),  representing the seasonal variation, and  represents the stochastic term.

The latent trend helps analysts and researchers understand whether the data is increasing, decreasing, or following a specific trajectory over time. Seasonal variation refers to the recurring patterns or fluctuations in the data that follow a regular, predictable cycle. The stochastic term represents the random or unpredictable component of the time series data. It includes noise, irregular fluctuations, or unexpected events that cannot be attributed to environmental variables, trends, or seasonality (Harvey and Koopman, 2014).

We fitted the aforementioned model from a Bayesian perspective using the Integrated Nested Laplace Approximation (INLA) methodology (Rue et al., 2009) implemented in the R programming language (R Core Team, 2022). The specific details of each component of Equation 2, priors and hyperpriors used, and example code can be consulted at https://github.com/bjesusvh/LTTSVABrazil.git.

 

 

Results and Discussion

 

 

Fires in Brazilian Biomes

 

 

The Amazon and Cerrado biomes in Brazil exhibited the highest number of fire hotspots throughout the analyzed time period, with more than 100 000 hotspots recorded in some months almost every year (Figure 2). The Pantanal, Caatinga, Atlantic Forest, and Pampa biomes also experienced higher hotspot values (>60 000), particularly in 2019 and 2020. 

 

Figure 2. Number of monthly fire spots in the biomes of Brazil (period 1999-2021).

 

The fire hotspots recorded in 2019 and 2020 coincide with specific phases of the El Niño-Southern Oscillation climate variability mode (ENSO), which significantly impacts rainfall, temperature, and humidity patterns. These climatic influences, along with their subsequent effects such as dry spells and severe drought, vary across regions and contribute to the intensification of fires in Brazil’s biomes (de Oliveira-Júnior et al., 2020; Carvalho et al., 2022). Ecosystems like the Cerrado are prone to fires due to dry conditions, fire-adapted vegetation, and human activity, while wetlands like the Pantanal are less susceptible due to moist conditions, dense vegetation, and limited human impact. Fire adaptation and management practices also influence susceptibility (Pereira et al., 2014).

 

 

Effects of meteorological variables

 

 

The meteorological variables statistically related to fire outbreaks are monthly precipitation, monthly evapotranspiration, maximum and minimum monthly temperature, and vapor pressure (Table 1) indicated by the 95 % Highest Posterior Density Interval (HPDI) not containing the zero. Positive values indicate an increase in the logarithm of the mean of fire outbreaks, while negative values indicate a decrease. For instance, precipitation exhibits a Regression coefficient of -0.11, with a 95 % credible interval ranging from -0.2 to -0.02. To interpret the coefficient more intuitively, we take the exponential: exp(-0.11) equals 0.89. This implies that for everyone standardized unit increase in precipitation, the Amazon biome experiences an 11 % reduction in the risk of wildfire occurrence, calculated as , while keeping all other variables constant. Similar interpretations apply to the other coefficients.

 

Table 1. Summary statistics for regression coefficients associated with statistically significant (95 % probability) variables in each biome.

Biome

Environmental variable

Coefficient

95 % HPDI interval

Exp (Coefficient)

Amazon*

PP

-0.11

[-0.2, -0.02]

0.90

Amazon*

ETo

0.38

[0.16, 0.6]

1.46

Caatinga+

ETo

0.31

[0.01, 0.6]

1.36

Caatinga+

VP

0.21

[0.02, 0.4]

1.24

Cerrado**

ETo

0.37

[0.26, 0.48]

1.45

Atlantic Forest*

ETo

0.28

[0.01, 0.56]

1.33

Atlantic Forest*

Tmax

0.39

[0.02, 0.76]

1.48

Pampa**

PP

-0.16

[-0.24, -0.07]

0.85

Pampa**

VP

-1.17

[-1.9, -0.45]

0.31

Pampa**

Tmax

1.33

[0.69, 1.98]

3.78

Pantanal**

PP

-0.27

[-0.44, -0.11]

0.76

Pantanal**

ETo

0.46

[0.22, 0.7]

1.58

Pantanal**

Tmax

0.68

[0.08, 1.28]

1.98

Pantanal**

Tmin

-1.06

[-2.04, -0.08]

0.35

*Fire sensitive; **Fire dependent; +Fire independent.

 

Monthly evapotranspiration exhibited a statistically significant positive effect in five out of the six biomes (excluding the Pampa biome); while precipitation had statistically significant negative effects in the Amazon, Pampa, and Pantanal biomes. Maximum monthly temperature had positive effects in Atlantic Forest, Pampa, and Pantanal biomes; vapor pressure had a positive effect in the Caatinga biome and a negative effect in the Pampa biome, and Tmin had a positive effect only in the Pantanal biome.

Singh and Zhu (2021) highlight that in the Amazon, a decrease in precipitation and an increase in temperature strongly impact fire dynamics, with this impact being much more significant in years with the presence of El Niño. In the case of biomes located in Southern Brazil, there is also evidence of the correlation between lower precipitation and vapor pressure and a higher incidence of forest fires (de Andrade et al., 2020). Another crucial variable is evapotranspiration; as it increases, it implies greater water loss from vegetative cover, leading to an increase in fuel that facilitates fire ignition and propagation. The only inconsistent sign is observed for the coefficient associated with vapor pressure in the Caatinga biome, but this might be due to its effect being masked by evapotranspiration.

 

 

Long-term trends

 

 

Our model suggested that the latent trends in the six biomes exhibit nonlinear increments over time (Figure 3). The annual average increments in the long-term (period 1999-2020) were as follows: 5.5 % for Pampa, 4.9 % for Pantanal, 3.0 % for Caatinga, 2.3 % for Amazon, 2.2 % for Atlantic Forest, and 2.2 % for Cerrado.

 

Figure 3. Posterior mean of the latent trend (mt; blue), its 95 % Highest Posterior Density Interval (HPDI, dotted lines), and time periods (red lines) with similar trends based on breakpoints for the six biomes in Brazil.

 

According to ecological role that fires plays in Brazilian ecosystems, biomes can be classified into fire-sensitive, fire-dependent, and fire-independent. Fire-dependent biomes are coevolved with fire and are characterized by ecosystems dominated by grasses-grasslands and savannas. Conversely, fire-sensitive biomes are not adapted to fire, and not easily burn. When these forest do burn, fire can cause severe impacts, as is the case with tropical forests. Finally, in fire-independent biomes, fire is not an essential feature of their functioning (Pivello et al., 2021).

The Amazon (fire-sensitive biome) exhibits six periods of relative homogeneity in long-term trends. The final period extends from August 2018 to December 2020. The difference in average trend (per period) between the last and the first was 48 %. When conducting the same analysis for the other biomes, we observe that the Atlantic Forest (fire-sensitive) and Cerrado (fire-dependent) have three periods. For both biomes, the latest of these begins in 2011 and extends to December 2020, with differences of 37 and 36 %, respectively, between the first and last periods. Pampa (fire-dependent) and Caatinga (fire-independent) share similarities, each displaying four periods in the trend. The difference between the last and the first period were 137 and 53 %, respectively. Finally, Pantanal (fire-dependent) exhibits four breakpoints, generating five periods in the long-term trend, with the last period spanning from late 2018 to the end of the study series, featuring an 86 % difference compared to the first period.

In general, all biomes experienced substantial increases in long-term trends from 1999-2004. Following this, the trend stabilized due to efforts made by the Brazilian government to combat deforestation (Pivello et al., 2021). Even in the Amazon and the Pampa, the trend decreased for a decade. However, by 2014, a new period of significant increases began, reaching new highs in 2020 by combination of dry weather, human activities and lack of adequate environmental policies and surveillance (Pivello et al., 2021).

The substantial increases in the long-term trend inferred by the model are complemented by previous research from a distinct inferential perspective. For example, Carvalho et al. (2022) found that there is a strong correlation between fire occurrences and agricultural activities, especially in Cerrado, Pantanal, and Atlantic Forest biomes. This leads us to suggest that antropogenic effects play a key role in the increase of the long temporal trend in these biomes. This is inline with Franco et al. (2020) that suggest that 50 % of the original Cerrado has been converted for other purposes.

The scenario is grim for the Pantanal biome; our work and other studies (Pivello et al., 2021; Marengo et al., 2022) indicates a recent increase in the number and extension of fires, leading to significant vegetation loss and fauna impacts. According to de Magalhães and Evangelista (2022), human activities near roads and waterways triggered fire events, while a dryer climate episode provided conditions for the fire to spread in this biome.

Despite the fact that some biomes have evolved such that the biodiversity within them has developed fire-dependent adaptation mechanisms, the increasing levels in the long-term temporal trend are alarming. If this trend continues to rise in the coming years, the impacts on biodiversity, ecosystems, and human health will continue to worsen. 

 

 

Seasonal variation

 

 

The seasonal patterns are provided for the log expected fire outbreaks and the 95 % Highest Posterior Density Interval (HPDI) captured by the Poisson model (Figure 4). According to da Silva et al. (2020), there is a similarity in the seasonal component between the Amazon and Cerrado biomes. However, this study also observes that the Caatinga and Atlantic Forest biomes exhibit similar seasonal patterns to those of the Amazon and Cerrado. The majority of fire hotspots throughout the year for the Amazon are concentrated from August to October, accounting for 61 % of the total, being September with the highest incidence. For the Caatinga biome, the period of peak incidence (amplitude) extends from September to November, constituting 68 %, with the highest peak occurring in October.

 

Figure 4. Posterior mean of the seasonal component (St; black solid line) and its 95 % Highest Posterior Density Interval (HPDI; blue shade) for the six biomes in Brazil.

 

In the Cerrado biome, the period spans from July to October, comprising 74 %, with the peak in September. In the Atlantic Forest, the period is from July to October, making up 75 %, with the peak in August. On the other hand, the Pampa and Pantanal biomes showcase distinct seasonal patterns. The Pampa experiences a period from July to September, contributing to 37 %, with the peak occurring in August. Lastly, for the Pantanal, the period extends from August to December, accounting for 70 %, featuring two peaks in September and November. The first peak is driven by reduced rainfall and natural and human factors. The second peak, coincides with the driest vegetation conditions, mainly due to human activities like land clearing. Broadly speaking, peaks in all biomes occurred at the end of the dry season, just before the onset of the rainy season. Seasonality of forest fires accros biomes is influenced by the Intertropical Convengence Zone that migrate seasonally following the sun, and its position influences the onset and cessation of the rainy season in Brazil.

The uncertainty associated with seasonal patterns captured by the HPDI (Figure 4) is higher in Caatinga and Pantanal compared with the rest of the biomes. The cause of this uncertainty would be linked to the natural conditions under which these biomes have evolved or if it is attributed to anthropogenic effects or climate change.

Finally, it is important to note that high-amplitude seasons lead to intense fires with severe ecological, economic, and human risks, requiring extensive resources. In contrast, low amplitude seasons result in milder, more manageable fires, benefiting ecosystems and reducing the threat to communities. The period from August to November need the greather attention on from the public authorities regarding the implementation of prevention and control fire programs, as emphasized by Lopes et al. (2020).

 

 

Conclusions

 

 

Among the Brazilian biomes, the Amazon and Cerrado consistently harbor the highest number of fire hotspots in Brazil, often exceeding 100 000 annually. These hotspots coincide with specific phases of the El Niño-Southern Oscillation (ENSO).

Some meteorological variables are statistically related to fire outbreaks. When precipitation increases by one standardized unit, the risk of wildfires decreases by 11 % in the Amazon biome (a fire-sensitive biome). Evapotranspiration increases the risk by 33 % when it increases by one unit in the Atlantic Forest biome (also fire-sensitive), and maximum temperature increases the risk of wildfires by 48 % when it increases by one unit in the same biome.

In future research, it will be crucial to assess the potential impact on the expected number of forest fires under adverse scenarios of climate change, such as temperature and evapotranspiration increases, as well as precipitation decreases, based on projections from the Intergovernmental Panel on Climate Change for the Brazilian regions.

The analysis of long-term trends reveals nonlinear increases in fire occurrences across all biomes, with annual average increments ranging from 2.2 to 5.5 % over the period from 1999 to 2020. Notably, the Amazon, Atlantic Forest, and Cerrado biomes have experienced periods of relative stability followed by significant increases in recent years.

Amazon, Atlantic Forest, and Cerrado biomes exhibit distinct periods in long-term fire trends, with significant differences between first and last periods. Amazon saw a 48 % difference, while Atlantic Forest and Cerrado experienced differences of 37 and 36 %, respectively. Other biomes like Pampa and Caatinga also show varied trends, with differences of 137 and 53 %. Pantanal displays notable breakpoints, with an 86 % difference compared to first period.

The Amazon, Cerrado, Caatinga, and Atlantic Forest biomes exhibit similar seasonal patterns, with peak incidences typically occurring at the end of the dry season. In these biomes, more than 60 % of fire hotspots are concentrated from July to October. The Pampa biome does not exhibit a remarkable seasonal pattern, while in the Pantanal biome, two peaks occur in September and November, coinciding with reduced rainfall and dry vegetation conditions.

These findings highlight multifaceted wildfire dynamics in Brazilian biomes, emphasizing integrated management. Leveraging evidence and proactive measures can mitigate impacts and promote resilience. Future research should employ space-time modeling for identifying high-incidence zones and delineating protected areas.

 

Acknowledges

 

We appreciate the support provided by the Campus Montecillo Postgraduate College in financing the publication of this article.

 

Conflict of interests

 

The authors declare that they have no conflict of interest.

 

Contribution by author

 

Bartolo de Jesús Villar-Hernández: original idea, coding and fitting the statistical model; Paulino Pérez-Rodríguez: revision of the fitted statistical model; Amaury de Souza: accessing and cleaning datasets. All authors wrote, discussed, and revised the manuscript.

 

 

References

Batista de P., J., M. Aragona, K. Y. Pioto H. and M. Â. Marini. 2017. Migration patterns and seasonal forest use by birds in the Brazilian Pantanal. Bird Conservation International 27(3):371-387. Doi: 10.1017/S0959270916000290.

Brando, P. M., B. Soares-Filho, L. Rodrigues, A. Assunção, ... and M. T. Coe. 2020. The gathering firestorm in southern Amazonia. Science Advances 6(2):1-9. Doi: 10.1126/sciadv.aay1632.

Carvalho A., M., G. Bastos L., J. F. de Oliveira-Júnior, A. Souza, ... and R. C. Real A. 2022. Temporal and spatial patterns of fire activity in three biomes of Brazil. Science of The Total Environment 844:138-157. Doi: 10.1016/j.scitotenv.2022.157138.

Cullen, A. C., T. Axe and H. Podschwit. 2021. High-severity wildfire potential–associating meteorology, climate, resource demand and wildfire activity with preparedness levels. International Journal of Wildland Fire 30(1):30-41. Doi: 10.1071/WF20066.

da Silva J., C. A., P. E. Teodoro, R. Coll D., L. P. Ribeiro T., … and C. U. Facco. 2020. Persistent fire foci in all biomes undermine the Paris Agreement in Brazil. Scientific Reports 10:16246. Doi: 10.1038/s41598-020-72571-w.

de Andrade, C. F., R. C. Delgado, M. L. F. Barbosa, P. E. Teodoro, … and G. F. Capristo-Silva. 2020. Fire regime in Southern Brazil driven by atmospheric variation and vegetation cover. Agricultural and Forest Meteorology 295:108194. Doi: 10.1016/j.agrformet.2020.108194.

de Magalhães N., N. and H. Evangelista. 2022. Human activity behind the unprecedented 2020 wildfire in Brazilian wetlands (Pantanal). Frontiers in Environmental Science 10:888578. Doi: 10.3389/fenvs.2022.888578.

de Oliveira, A. S., R. G. Rajão, B. S. Soares F., U. Oliveira, … and L. S. de Lima. 2019. Economic losses to sustainable timber production by fire in the Brazilian Amazon. The Geographical Journal 185(1):55-67. Doi: 10.1111/geoj.12276.

de Oliveira-Júnior, J. F., P. E. Teodoro, C. A. da Silva J., F. H. R. Baio, … and M. da Silva C. 2020. Fire foci related to rainfall and biomes of the state of Mato Grosso Do Sul, Brazil. Agricultural and Forest Meteorology 282-283:107861. Doi: 10.1016/j.agrformet.2019.107861.

Franco C., R., M. P. Ledru, R. de Almeida S. and C. Favier. 2020. Vegetation and fire variability in the central Cerrados (Brazil) during the Pleistocene-Holocene transition was influenced by oscillations in the SASM boundary belt. Quaternary Science Reviews 232:106209. Doi: 10.1016/j.quascirev.2020.106209.

Ganteaume, A., A. Camia, M. Jappiot, J. San-Miguel-Ayanz, M. Long-Fournel and C. Lampin. 2013. A review of the main driving factors of forest fire ignition over Europe. Environmental Management 51:651-662. Doi: 10.1007/s00267-012-9961-z.

Harvey, A. and S. J. Koopman. 2014. Structural time series models. In: Lovric, M. (Edit.). Wiley StatsRef: Statistics Reference Online. Springer. New York, NY, United States of America. pp. 1555-1558.

Instituto Brasileiro de Geografia e Estatística (IBGE). 2004. Mapa de Biomas do Brasil. IBGE. https://www.ibge.gov.br/geociencias/informacoes-ambientais/vegetacao/15842-biomas.html. (May 12, 2022).

Instituto Nacional de Pesquisas Espaciales (INPE). 2021. Fire Monitoring Program. INPE. https://www.gov.br/inpe/pt-br. (February 17, 2022).

Li, P., C. Xiao, Z. Feng, W. Li and X. Zhang. 2020. Occurrence frequencies and regional variations in Visible Infrared Imaging Radiometer Suite (VIIRS) global active fires. Global Change Biology 26(5):2970-2987. Doi: 10.1111/gcb.15034.

Libonati, R., C. C. DaCamara, L. F. Peres, L. A. Sander de C. and L. C. Garcia. 2020. Rescue Brazil’s burning Pantanal wetlands. Nature 588(7837):217-219. Doi: 10.1038/d41586-020-03464-1.

Lopes P., D., A. Gonçalves S., S. Guedes B., G. Souza L., ... and F. T. Pereira T. 2020. Periods of highest occurrence of forest fires in Brazil. Floresta 51(2):484-491. Doi: 10.5380/rf.v51i2.70286.

Marengo, J. A., A. P. Cunha, L. A. Cuartas, K. R. Deusdará L., ... and F. Bender. 2022. Corrigendum: Extreme drought in the Brazilian Pantanal in 2019–2020: Characterization, causes, and impacts. Frontiers in Water 4:942068. Doi: 10.3389/frwa.2022.942068.

Ministério do Meio Ambiente (MMA). 2022. Biomas. https://antigo.mma.gov.br/biomas.html. (August 1, 2022).

Moreira de A., F., L. Guimarães F. and A. E. Arantes. 2012. Distribution patterns of burned areas in the brazilian biomes: An analysis based on satellite data for the 2002-2010 period. Remote Sensing 4(7):1929-1946. Doi: 10.3390/rs4071929.

Oliveira, U., B. Soares-Filho, M. Bustamante, L. Gomes, J. P. Ometto and R. Rajão. 2022. Determinants of fire impact in the Brazilian biomes. Frontiers in Forests and Global Change 5:735017. Doi: 10.3389/ffgc.2022.735017.

Pellegrini, A. F. A., A. M. Hein, J. Cavender-Bares, R. A. Montgomery, … and P. B. Reich. 2021. Disease and fire interact to influence transitions between savanna–forest ecosystems over a multi-decadal experiment. Ecology Letters 24(5):1007-1017. Doi: 10.1111/ele.13719.

Pereira J., A. C., S. L. J. Oliveira, J. M. C. Pereira and M. A. Amaral T. 2014. Modelling fire frequency in a Cerrado Savanna Protected Area. PLoS ONE 9(7):1-11. Doi: 10.1371/journal.pone.0102380.

Pivello, V. R., I. Vieira, A. V. Christianini, D. B. Ribeiro, … and G. E. Overbeck. 2021. Understanding Brazil’s catastrophic fires: Causes, consequences and policy needed to prevent future tragedies. Perspectives in Ecology and Conservation 19(3):233-255. Doi: 10.1016/j.pecon.2021.06.005.

R Core Team. 2022. R: A language and environment for statistical computing (v. 4.2.1). R Foundation for Statistical Computing. Vienna, W, Austria. https://www.R-project.org/. (June 12, 2020).

Rue, H., S. Martino and N. Chopin. 2009. Approximate bayesian inference for latent Gaussian models by using integrated nested laplace approximations. Journal of the Royal Statistical Society: Series B Statistical Methodology 71(2):319-392. Doi: 10.1111/j.1467-9868.2008.00700.x.

Schmidt, I. B. and L. Eloy. 2020. Fire regime in the Brazilian Savanna: Recent changes, policy and management. Flora 268:151613. Doi: 10.1016/j.flora.2020.151613.

Singh, M. and X. Zhu. 2021. Analysis of how the spatial and temporal patterns of fire and their bioclimatic and anthropogenic drivers vary across the Amazon rainforest in El Niño and Non-El Niño years. PeerJ. 9:e12029. Doi: 10.7717/peerj.12029.

Tedim, F., V. Leone, M. Amraoui, C. Bouillon, … and G. Xanthopoulos. 2018. Defining extreme wildfire events: Difficulties, challenges, and impacts. Fire 1(1):9. Doi: 10.3390/fire1010009.

Teixeira, A., J. Leivas, C. Takemura, G. Bayma, … and C. Silva. 2023. Remote sensing environmental indicators for monitoring spatial and temporal dynamics of weather and vegetation conditions: applications for Brazilian biomes. Environmental Monitoring and Assessment 195(8):944. Doi: 10.1007/s10661-023-11560-8.

Villar-Hernández, B. de J., S. Pérez-Elizalde, D. A. Rodríguez-Trejo and P. Pérez-Rodríguez. 2022. Spatio-temporal analysis of wildfires occurrence in the mexican state of Oaxaca. Revista Mexicana de Ciencias Forestales 13(74):120-144. Doi: 10.29298/rmcf.v13i74.1274.

 

 

 

        

Todos los textos publicados por la Revista Mexicana de Ciencias Forestales sin excepción– se distribuyen amparados bajo la licencia Creative Commons 4.0 Atribución-No Comercial (CC BY-NC 4.0 Internacional), que permite a terceros utilizar lo publicado siempre que mencionen la autoría del trabajo y a la primera publicación en esta revista.