Revista Mexicana de Ciencias Forestales Vol. 9 (45)

Enero – Febrero (2018)

DOI:https://doi.org/10.29298/rmcf.v9i45.142

Article

Estructura forestal de una zona de manglar en la laguna de Coyuca de Benítez, Guerrero

Forest structure of the mangrove zone of the Coyuca de Benítez lagoon, Guerrero state

Benjamín Castillo Elías1*, Herlinda Gervacio Jiménez1 y Ramón Bedolla Solano1

Fecha de recepción/Reception date: 25 de julio de 2017

Fecha de aceptación/Acceptance date: 15 de diciembre de 2017.

_______________________________

1Universidad Autónoma de Guerrero. México.

*Autor por correspondencia, correo-e: bcastilloe@hotmail.com

Resumen:

Los manglares son un recurso forestal de gran importancia en los humedales, tanto por su diversidad y estructura maderable como por los beneficios ambientales y socioeconómicos que representan. Su composición depende de factores ambientales, condiciones edáficas, acción antrópica y de la capacidad de interrelacionarse entre sí para compartir un espacio. En el estado de Guerrero existen solo registros que indican áreas de distribución de bosques de manglar y descripción de especies. El objetivo fue conocer la importancia ecológica del manglar adjunto a las comunidades de El Carrizal y Playa Azul, municipio Coyuca de Benítez, Guerreo, a través de la obtención de su densidad y abundancia relativa, diversidad y volumen maderable. De julio a diciembre del 2016, se obtuvo la composición estructural de la vegetación asociada al manglar, con base en 10 unidades de 10 × 10 m (100 m2) y una intensidad de muestreo de 4 %. Se identificaron nueve especies forestales asociadas al ecosistema de manglar. Se determinó un volumen total de 10.30 m3 rollo total árbol, de los cuales Laguncularia racemosa (mangle blanco) aporta el mayor volumen con 8.05 m3 rollo total árbol; mientras que para el área total de la zona de humedal el valor fue de 218.92 m3 rollo total árbol. Con esta investigación se logró conocer la composición estructural de las especies de flora en el área de estudio, y la importancia ecológica del manglar constituido por L. racemosa, representada como alternativa de conservación para la zona.

Palabras clave: Aprovechamiento sustentable, diversidad, humedales, Laguncularia racemosa (L.) C. F. Gaertn, manglar, volumen maderable.

Abstract:

Mangroves are a forest resource of great importance in the wetlands, by its diversity and timber structure, as for the ecological values, socio-economic and environmental benefits that represent. Its composition depends on environmental factors, soil conditions, anthropogenic action and the ability to interact among themselves to share a space. For the state of Guerrero there are only records that indicate areas of distribution of mangrove forests and description of species. The objective was to know the ecological importance of the mangrove that is attached to the communities of El Carrizal and Playa Azul, at Coyuca de Benítez municipality, Guerrero State, through their density and relative abundance, diversity and timber volume. From July to December 2016, the structural composition of the mangrove vegetation was obtained, from 10 units of 10 × 10 m (100 m2) with a sampling intensity of 4 %. Nine forest species were identified in the sampling area associated with the mangrove ecosystem. A total volume of 10.30 m3 total tree roll was obtained, Laguncularia racemosa species (the white mangrove) having the largest volume of 8.05 m3 total tree roll, obtaining for the total area of the wetland zone a total volume of 218.92 m3 total tree roll.  This research was able to know the structural composition of the flora species in the study area, determining the ecological importance of the mangrove represented by L. racemosa, associating it as an alternative for conservation in the study area.

Key words: Sustainable use, diversity, wetlands, Laguncularia racemosa (L.) C. F. Gaertn, mangrove, timber volume.

Introduction

Mangroves are extensive and exist both on the coastlines of the Pacific Ocean and the Gulf of California in Mexico, and on the Atlantic side of the Gulf of Mexico and the Caribbean Sea; they are present in 17 Mexican states that have a coastline. For 2010 it was attributed a territorial extension of 764 486 ha, of which, the Pacific region has the lowest proportion, 0.9 % (6 857 ha); particularly in Guerrero, the mangrove cover is 8 123 ha that lack state or federal protection (Rodríguez et al., 2013).

Mangrove wetlands are important for their extension, diversity, composition and structure, as for the ecological values, environmental and socioeconomic benefits they represent (Oviedo and Labrada, 2006). In the mangrove swamp, the wild flora of the associated communities depends on environmental factors (temperature, precipitation, hydro-period, tides, contributions of fresh water, pH, adequate substrate for colonization, exchange of salts, nutrients and gases), anthropic action and the ability to interrelate with each other to share a space. In the state of Guerrero there are only records of distribution areas of mangrove forests and description of species, so in this work we present data on the structural composition and diversity of this biome. The objective of the study was to know the ecological importance of the mangrove forest attached to the communities of El Carrizal and Playa Azul, of Coyuca de Benítez municipality, Guerrero, through its structural composition, density, relative abundance, diversity and timber volume.

Materials y Methods

Study area

The study area is located 50 km west of Acapulco by Federal Highway No. 200 Acapulco-Zihuatanejo at the height of the town of Pénjamo, located between the geographic coordinates 16º57'36'' N; 100º08'33'' O and 16º57'34'' N; 100º08'34'' O. The approximate surface of the wetland area is 212 434 m2 (21 ha). The climate is of the subhumid tropical type A (W0) with rains in summer and droughts in winter, with average annual temperature of 26 ºC and average annual rainfall between 900 and 1 750 mm (Rzedowski, 2006). There is a freshwater low-water system. The soils are of the Chernozem type.

Fauna is made up by different species, among which are the white-winged pigeon (Zenaida asiatica Linnaeus, 1758), the Mexican pintail (Quiscalus mexicanus Gmelin, 1788), the vulture (Coragyps atratus Bechstein, 1793), the green iguana (Iguana iguana Linnaeus, 1758), the boa (Boa constrictor Linnaeus, 1758), the opossum (Didelphis virginiana Allen, 1900) and the raccoon (Procyon lotor Linnaeus, 1758), among several species (Araujo, 2014).

Structural composition of the flora species

Some methods describe the floristic composition and biological functioning of mangrove ecosystems, and contribute to the development of conservation and protection programs (Bautista et al., 2004).

From July to December 2016, a study of the structural composition of the vegetation in the mangrove zone was carried out; the sample size of 1 ha was chosen (10 000 m2) within which 10 units or 10 × 10 m2 quadrants were randomly delimited (Ortíz and Carrera, 2002; Mora, 2003; Bautista et al. 2004; Ramos et al. 2004; Castillo, 2010), and a sampling intensity of 4 %.

In order to know the composition of the mangrove vegetation, the following structural characteristics of biological and forest diversity were measured.

Density and relative abundance (ind ha-1)

It was estimated by counting the number of individuals for each of the perennial species found in each sampling unit. The relative abundance per site was obtained by multiplying the frequency by the hectares occupied by the total extension of the sampled area of the wetland (21 ha). To know the abundance and relative density of each species, the following formula was used:

Where:

DR = Relative density

Ni = Number of individuals of one species per hectare (ha) or frequence

Nt = Total number of individuals

The results of the relative abundance per site were obtained by multiplying the frequency by the number of hectares occupied by the total extension of the sampled area of the wetland, from 21 ha (212 434 m2).

Richness of species

The species richness (S) was calculated by counting the number of species per sampling site (Moreno, 2001, Seaby and Henderson, 2006, Villarreal et al., 2006) and the values of S were compared for each sampling unit.

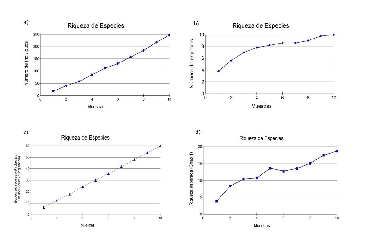
Accumulation curves

To evaluate the representativeness of the sampling, according to Escalante (2003), species accumulation curves were elaborated, constructed from non-parametric models of specific richness and proportional abundances (number of species, number of individuals, species represented by an individual (singletons) and expected richness index "Chao1"). These curves show the number of species accumulated as a result of the sampling effort of a site, in such a way that the richness curve will increase until reaching a maximum and stabilize in an asymptote.

Diversity

Diversity was calculated by using the Shannon-Wiener (H') index (Seaby and Henderson, 2006). This index (or function) was considered to measure the amount of information present in a binary system and refers to the number of different species or taxa that make up a community, analyzing together their distributions of abundances by the following formula:

Shannon-Wiener diversity index (H') based on proportional abundance:

Where:

0-1 = Range of diversity (0=low; 1=great).

pi = Proportional abundance of the i th species

pi = Ni/N (abundance of the i th species divided into the total abundance of

      all the species)

ln = Natural logarithm

Affinity among sampling units

Conglomerate analysis was performed by using the similarity matrix of Bray and Curtis and the most distant neighbor of the sampling units, transforming the abundance data by species with fourth root (f) (Field et al., 1982); the classification was made using the simple average as a union strategy.

Timber volume

The volume of each of the arboreal specimens of the mangrove was obtained from its diameter or circumference at breast height (dap) at 1.30 m in height (Conap-Inab, 2004; González and Cuadra, 2004; Valdez, 2004; Menéndez et al., 2006). The estimation of the volume (m3) per tree in each sampling station was by means of the equation:

Where:

V = Volume (m3)

D2 = Diameter (m) dap

 = 3.1416 constant

CM = Natural morphic coefficient =0.5

h = Average height

VU = Unitary volume

N = Number of individuals per site

rta = Total tree roll

In order to obtain the estimation of timber volumen of the total area of the wetland zone, calculations were made with the following equation:

Where:

VT = Total volume

VAC = Counting area volume

AT = Total study area

AC = Counting area

rta = Total tree roll

The counting area in each sampling station was 100 m2; the total counting area, 10 000 m2 and the total study area, 212 434 m2.

Results and Discussion

Structural composition of the mangrove zone in the study area

Ten plant species were identified in the sampling area and associated with the mangrove ecosystem, with a total of 274 individuals (Table 1), which is different from the results of the study by Ramírez and Segura (1994) who recorded six (Laguncularia racemosa) (L.) C. F. Gaertn, Rhizophora mangle L., Conocarpus erectus L., Pachira aquatica Aubl., Cynometra oaxacana Brandegee and Paullinia pinnata L.) as floristic components of a mangrove zone of the Panzacola lagoon, Chiapas, in two different wetlands in the actual study area there is a low-flood freshwater system with a single dominant mangrove species (L. racemosa), while in Chiapas it is a hypersaline system with floods that allows dominance of more mangrove species, which suggests that the conditions of each site probably define the forest structure.

Compared to this mangrove system, Ocaña and Lot (1996) described a community of mangrove vegetation of the lagoon system in Campeche with 133 species; the dominant were herbaceous, followed by the red mangrove (Rhizophora mangle). The dominance pattern is similar in the present study, but the main species is Lacuncularia racemosa or white mangrove.

The study of flora associated with mangroves carried out by Oviedo et al. (2006) coincides with the results obtained in the present study, since in both the herbaceous are the most representative due to the natural state of low disturbance by anthropogenic activities, followed by the arboreal elements. It also coincides with the presence of palms, in this case known as tasistal (Acoelorraphe wrightii H. Wendl.) which play an important role in the landscape of wetlands and that generally in ecological studies are scarcely associated with this kind of ecosystems.

Relative density

In the sampled surface area (10 000 m2), the highest relative densities are recorded in the herbaceous stratum with 57.6 ind ha-1 of Crinum sp. (Crino); the arboreal species maintain greater representation by the white mangrove (Laguncularia racemosa) with 24.8 ind ha-1 followed by Acrostichium aureum L. (River fern) and Phyllanthus sp. (Maquilin) both with 6.2 ind ha-1 and Pithecellobium lanceolatum (Humb. & Bonpl. ex Willd.) Benth. (Timuchi) with 2.9 ind ha-1, secondary vegetation species derived from medium subperennifolio forest (Table 1).

Table 1. Relative density, relative abundance and frequency of flora species.

Dominant species

Growth form

Frequency

(individuals ha-1)

Relative abundance

(21 ha)

Relative density

(%)

Laguncularia racemosa (White mangrove)

Tree

68

1 428

24.8

Acrostichium aureum (River fern)

Fern

17

357

6.2

Phyllanthus sp. (Maquilin)

Shrub

17

357

6.2

Pithecellobium lanceolatum (Timuchi)

Shrub/tree

8

29

2.9

Ficus insipida Willd.(Amate)

Tree

2

42

0.7

Annona glabra L. (Anona)

Shrub/tree

1

21

0.4

Acoelorraphe wrightii (Tasistal)

Palm

1

21

0.4

Acacia cornigera (L.) Willd. (Cornezuelo)

Shrub

1

21

0.4

Cocus nucifera L. (Coconut tree)

Palm

1

21

0.4

Crinum sp. (Crino)

Herb

158

3 318

57.6

Total

274

5 615

Ramírez and Segura (1994) reported total densities of 1 700 ind ha-1 for a mangrove zone in the Panzacola lagoon, Chiapas; Domínguez (2009) recorded density values for the white mangrove of up to 200 ind ha-1 in a coastal area of the Gulf of California, Mexico. These contrasting figures can respond to local micro-topographic conditions that are very different from those of the study area that corresponds to the tropical moist forests of the South Pacific.

The present results are close to those cited by Foroughbakhch et al. (2004) for the Gulf of Mexico as the highest density and value of importance corresponds to L. racemosa representing 24 % of the total density, and the remaining 76 % is distributed among the red mangrove (R. mangle), the black mangrove (Avicennia germinans L.), the mangrove botoncillo (C. erectus) and secondary species of halophytes and glycophytes.

Basáñez et al. (2006) in Tuxpan, Veracruz State, calculated a relative density of 17 ind ha-1 in white mangrove compared to 24.8 ind ha-1 of the present study. The lower density of Tuxpan can be explained by the presence of other associated mangrove species (Rhizophora mangle and A. germinans) which favors competition for space and a very irregular distribution, depending on the conditions of flood, salinity, substrate and composition floristry of the area in which it was worked; this should be added to the disturbance of the mangrove area by anthropogenic activities that can negatively affect these communities since the study area was a tropical humid forest of the South Pacific and in Veracruz to the Gulf of Mexico.

Species richness

In Table 2 is listed the species richness (S=10) for the sampling area (246 individuals for the 10 sampling sites).

Table 2. Species richness (S) in each sampling unit.

Sampling unit

Species total

Individuals total

1

4

35

2

4

12

3

5

45

4

4

11

5

4

12

6

5

31

7

2

12

8

3

12

9

4

36

10

5

40

The richness of sampling units 3, 6 and 10 was higher by number of species found by the number of individuals, which probably corresponds to the fact that in those sampling sites the conditions of nutrients, temperature and humidity were optimal for their permanence. This result confirms the importance of this mangrove area because it shows that the forest studied gathers riches and high diversity, despite being affected by anthropogenic activities that limit the number of species, such as logging.

In contrast to the abundance and species richness data, Ocaña and Lot (1996) in their study of mangrove vegetation of the lagoon system in Campeche, calculated an abundance and total richness of 133 species, which is much higher than the 10 species of the present study. The difference may be due to the fact that the territorial extension of the sampling area was 22 006.28 ha, of which the red mangrove vegetation (Rhyzophora mangle) occupies 9 889 ha and the tular, carrizal and R. mangle plant communities are outstanding from their extension and richness.

Accumulation curves

Through the species accumulation curves and the models used, it was observed that the sampling was representative, because in all cases, the indices of expected wealth (number of species, number of individuals, species represented by an individual or singletons and the index of expected richness Chao1), showed that more than 85 % of the species is present in each sampling unit.

In addition, the curves generated from the estimators were very similar to the values of wealth (S = 10); the curves remained asymptotic (Figure 1 a, b, c and d), without decreasing, they were adjusted to the values and showed high representativeness. The number of species accumulated in the floristic inventory compared to the sampling effort used indicates that as the sampling progresses at the site, the number of species accumulates and increases until reaching the maximum stability in the estimation of the species richness obtained.

Riqueza de especies = Species richness; Muestras = Samples; Número de individuos = Number of individuals; Número de especies = Number of species; Especies representadas por un individuo (singletons) = Species represented by an individual (singletons); Riqueza esperada (Caho 1) = Expected richness (Chao1).

A)Number of individuals; B) Number of species; C) Species represented by one individual; D) Index of expected richness “Chao1”.

Figure 1. Species accumulation curves and the models used.

The curve of accumulation of singletons was the one that maintained a behavior of constant growth without ups and downs, followed by the number of individuals, the number of species and, lastly, the expected richness (Chaos).

In all cases, a saturation of the area-species curve was obtained, which means that the sampling area is sufficient to measure the species richness at the sampling site, a result similar to the Yockteng and Cavelier (1998) study, when comparing the flora of the Gorgona Island (Colombia) and that of the forests of the biogeographic Chocó (Colombia and Ecuador). They used five accumulation curves from floristic inventories; they obtained saturation equivalences of the species-area curve by reinforcing a representative sample for the species richness of the tropical humid forests of the Pacific.

Diversity

The values for diversity are very similar among the Sampling Units (UM). The values of Shannon-Wiener (H') were for UM5 = 0.521 and for UM6 = 0.597, a difference that may be attributable in part to the number of registered species. In contrast, in the sampling unit 2 values of 0.486 were calculated; in the 4, 0.487 and in the 8, 0.417. In the 1, 3, 9 and 10 were 0.339, 0.335, 0.381 and 0.362, respectively, which reveal less diversity. The sampling unit 7 shows a marked difference with the lowest value of 0.244 (Table 3 and Figure 5).

Table 3. Shannon-Wiener (H’) diversity index.

Index

UM-1

UM-2

UM-3

UM-4

UM-5

UM-6

UM-7

UM-8

UM-9

UM-10

Shannon H' Log 10 base

0.339

0.486

0.335

0.487

0.521

0.597

0.244

0.417

0.381

0.362

Shannon Hmax Log 10 base

0.602

0.602

0.699

0.602

0.602

0.699

0.301

0.477

0.602

0.699

Shannon J'

0.563

0.807

0.479

0.809

0.865

0.854

0.811

0.873

0.634

0.519

UM = Sampling Unit

F:\RESPALDO TESIS DOCTORADO\TESIS DOCTORADO CIEN.AMB.-UCDR\OBJETIVOS TESIS\DEN-AB-DIV\resultados\INDICE DE SHANNON-WIENER.jpg

Valores = Values; Índice de Shannon-Wiener (H´) = Shannon-Wiener index (H´); Unidades de muestreo = Sampling units

Figure 2. Graphic of the Shannon-Wiener Diversity Index (H’).

The previous results are similar to those of Foroughbakhch et al. (2004) for the Gulf of Mexico in which maximum values of Shannon diversity index of up to 0.510 stand out for the arboreal mangrove stratum in the study sites.

The structural data on biological diversity obtained in the present study are similar as well to those of Ramírez and Segura (1994) and Foroughbakhch et al. (2004); the last authors mention that the white mangrove, which is a species of great timber importance, is dominant in the indices of relative density, abundance, richness and diversity. This approach is contrary to that of Menéndez et al. (2006), who cite this condition for Conocarpus erectus or mangrove botoncillo, and to a lesser extent, for L. racemosa, with variations in the height of the canopy, the basal area and the density of trees; all of the above depends on the conditions of flood, salinity, substrate and floristic composition of the study area, as well as indiscriminate pruning that can negatively affect these communities.

Affinity among sampling units

Through the cluster analysis (Table 4) and the Similarity Matrix (Table 5), three integrated groups were identified as follows: the first block by UM8 and UM2 with a similarity percentage of 91.66 %; the second block by UM10 and UM3 with a percentage of similarity of 91.76 % and a third group made up of UM9 and UM1 with a percentage of similarity of 90.14 %.

Table 4. Conglomerate analysis.

Step

Cluster

Similitude

(%)

Union 1

Union 2

1

9

91.76

3

10

2

8

91.66

2

8

3

7

90.14

1

9

4

6

86.95

2

4

5

5

86.95

2

5

6

4

84.21

1

3

7

3

75

2

7

8

2

74.62

1

6

9

1

55.81

1

2

Table 5. Similitude Matrix.

UM-1

UM-2

UM-3

UM-4

UM-5

UM-6

UM-7

UM-8

UM-9

UM-10

UM-1

*

29.7872

77.5

26.087

25.5319

63.6364

34.0426

29.7872

90.1408

82.6667

UM-2

*

*

24.5614

86.9565

83.3333

51.1628

66.6667

91.6667

41.6667

26.9231

UM-3

*

*

*

25

28.0702

60.5263

28.0702

21.0526

79.0123

91.7647

UM-4

*

*

*

*

86.9565

52.381

60.8696

86.9565

42.5532

27.451

UM-5

*

*

*

*

*

55.814

75

75

37.5

30.7692

UM-6

*

*

*

*

*

*

41.8605

51.1628

74.6269

64.7887

UM-7

*

*

*

*

*

*

*

58.3333

33.3333

30.7692

UM-8

*

*

*

*

*

*

*

*

41.6667

23.0769

UM-9

*

*

*

*

*

*

*

*

*

84.2105

UM-10

*

*

*

*

*

*

*

*

*

*

The results of the affinity index of the sampling sites are opposite with respect to the report by Foroughbakhch et al. (2004) for the Gulf of Mexico with affinity values between mangrove sites ranging from 0.154 to 0.667.

The clustering analysis allowed to distinguish the maximum homogeneity in each group of individuals and the biggest difference between the sampling units from the floristic composition and the density of the species, at a similarity level of 90 % between sampling units, as shown in the Bray-Curtis similarity dendrogram. A first group formed by the units 7, 5, 4, 8 and 2 was linked and a second group was the 6, 10, 3, 9 and 1. Figure 3 illustrates the location of the sites sampled to have the comparison of both groups.

F:\RESPALDO TESIS DOCTORADO\TESIS DOCTORADO CIEN.AMB.-UCDR\OBJETIVOS TESIS\DEN-AB-DIV\resultados\PARA RESULTADOS TESIS\UBICACIÓN DE UNIDADES DE MUETREO MANGLAR.jpg

Figure 3. Sampling units in the wetland area.

The behavior of these groups is represented graphically in Figure 4 through the Bray-Curtis dendrogram, which shows the branching of the sampling units and the similarity between the abundance and density of the individuals. The grouping of sampling units in terms of composition of plant species and population of each one is observed, which eliminates any subjective criterion about the cataloging of a plant formation based only on visual inspections or physical characteristics of the sampling area.

Similitud = Similitude; Matriz de similitud de Bray-Curtis = Bray-Curtis similarity matrix.

Figure 4. Bray-Curtis similarity analysis dendrogram.

Timber volume

The volume of only the timber species was calculated, adding a total of 10.30 m3 to 1 ha of land (Table 6); the white mangrove provides the largest volume (8.05 m3 rta).

Table 6. Timber volume in 1 ha of sampling area.

Sampling units

Volume

m3 rta

Individuals with timber features

1

1.01

3

2

0.47

4

3

1.89

4

4

0.468

4

5

0.48

4

6

1.72

4

7

0.85

2

8

0.60

3

9

1.18

3

10

1.61

4

Therefore, the estimate of the total volume of timber species of 218.92 m3 rta was obtained for the total area of the wetland area, based on the count area equivalent to 10 000 m2 and the total area of study of the area of wetland corresponding to 21 ha (212 434 m2).

The data obtained are similar to those reported by Oviedo et al. (2006) in the sense that the white mangrove is of great timber importance for the estimated volume, followed by other timber species also; the herbaceous species are best represented.

In relation to the research conducted by Valdez (2004) in mangrove areas of the Ejido de San Blas, Nayarit, the wood volumes of Laguncularia racemosa were 26 595.8 m3, which contrasts with 8.05 m3 of the present study. In this site the total area is 1 897 ha and, therefore, the population of the white mangrove species is much higher; in the present study the surface area is 21 ha, which influences the density of trees and therefore the floristic composition of the study area.

Conclusions

The species of flora found in the sampling area associated with the mangrove ecosystem are representative of the place, 274 individuals corresponding to 10 species among tree, shrub, fern, herbaceous and palms forms.

The highest relative densities were found in the herbaceous stratum represented by Crinum sp. with 57.6 % and in the arboreal stratum the white mangrove (L. racemosa) with 24.8 %, which is the most representative timber species with a volume of 8.05 m3 rta.

The diversity (Shannon-Wiener H ') reached maximum values of 0.597 for the arboreal stratum of mangrove in the sampling stations, difference attributable to the number of species.

With the description of the structural composition of the mangrove vegetation in the study area through the structural characteristics of biological and forest diversity, the ecological importance of this ecosystem was determined by its dynamics of plant community represented by the species of mangrove white (L. racemosa), as an ecosystem that should be subject to conservation and protection.

Acknowledgements

The authors wish to express their gratitude to the ejido authorities of El Carrizal and Playa Azul of Coyuca de Benitez municipality, Guerrero State, for their unconditional personal support to accomplish the actual study.

Conflict of interest

The authors declare no conflict of interests.

Contribution by author

Benjamín Castillo Elías: field work and writing of the document; Herlinda Gervacio Jiménez: field work, writing, general review and corrections of the document; Ramón Bedolla Solano: review and suggestions to the manuscript and corrections to the document.

References

Araujo V., J. Elías. 2014. Biodiversidad del Estado de Guerrero. Ed. Anaya. México. Guerrero, Gro., México. 439 p.

Basáñez M., A. de J., G. Olmedo P. y P. Rojas M. 2006. Características estructurales y usos del manglar en el ejido Cerro de Tumilco, Tuxpan, Veracruz, México. Revista UDO Agrícola 6 (1): 114-120.

Bautista Z., F., H. Delfín G., J. L. Palacio P. y M. C. Delgado C. 2004. Técnicas de muestreo para manejadores de recursos naturales. Universidad Nacional Autónoma de México - Universidad Autónoma de Yucatán-Consejo Nacional de Ciencia y Tecnología-Instituto Nacional de Ecología. México, D.F., México. 507 p.

Castillo E., B. 2010. Diagnóstico ambiental del manglar en la laguna de Coyuca de Benítez Guerrero. Tesis de Doctorado. Unidad de Ciencias de Desarrollo Regional de la Universidad Autónoma de Guerrero. Acapulco, Gro., México. 241 p.

Consejo Nacional de Áreas Protegidas-Instituto Nacional de Bosques (Conap-Inab). 2004. Guía de cubicación y transporte forestal. Proyecto de Biodiversidad y manejo forestal sostenible (BIOFOR). Santa Elena, Petén, Guatemala. 39 p. http://www.educacionforestal.Org/Documentos /cubicacion.pdf (15 de septiembre de 2016).

Domínguez C., R. 2009. Análisis de la micro-topografía, la fenología reproductiva y el reclutamiento de especies de mangles en la costa sur-occidental del Golfo de California, México. Tesis Doctoral. Universidad Autónoma de Baja California Sur (UABCS). La Paz, BCS., México. 100 p.

Escalante E., T. 2003. ¿Cuántas especies hay? Los estimadores no paramétricos de Chao. Universidad Autónoma de Puebla. Revista Ciencia y Cultura - Elementos. 52 (10): 53-56.

Field, J. G., K. Clarke and R. Warwick. 1982. A practical strategy for analysing multispecies distributions patterns. Marine Ecology Progress Series 8: 37-52.

Foroughbakhch, P. R., A. E. Céspedes C., M. A. Alvarado V., A. Núñez G. y M. H. Badii. 2004. Aspectos ecológicos de los manglares y su potencial como fitorremediadores en el Golfo de México. Ciencia UANL 7 (2): 203-208.

González, Y. y M. Cuadra C. 2004. Estandarización de unidades de medidas y cálculo de volúmenes de madera. Instituto Nacional Forestal. Departamento de Monitoreo y Seguimiento Forestal, Departamento de Ordenación Forestal Gobierno de Nicaragua. Managua, Nicaragua. 22 p.

Menéndez, L., J. M. Guzmán, R. T. Capote F., R. Gómez y A. Sotillo. 2006. Estructura de los bosques de mangle en Cuba. In: Menéndez C., L. y J. M. Guzmán (eds.). Ecosistemas de manglar en el archipiélago cubano Estudios y experiencias enfocados a su gestión. Editorial Academia. UNESCO. MAB. IES. La Habana, Cuba. pp. 70-89.

Mora, E. M. 2003. Algunas consideraciones sobre muestreo. Revista Geográfica Venezolana 41 (1):30-46.

Moreno C., E. 2001. Métodos para medir la biodiversidad. M&T–Manuales y Tesis SEA. Vol. 1. Zaragoza, España. 84 p.

Ocaña, D. y A. Lot. 1996. Estudio de la vegetación acuática vascular del sistema fluvio-lagunar-deltaico del río Palizada, en Campeche, México. Anales del Instituto de Biología Serie Botánica 67(2):303-327.

Ortíz, E. y F. Carrera, 2002. Muestreo en Inventarios Forestales. In: Orozco, L. y C. Brumér (eds.). Inventarios forestales para bosques latifoliados en América Central. Corredor Biológico Mesoamericano. Centro Agronómico Tropical de Investigación y Enseñanza. Turrialba, Costa Rica. pp. 101-120.

Oviedo, P. R. y M. Labrada. 2006. Los manglares en el humedal Ciénaga de Zapata. Matanzas, Cuba. In: Menéndez C., L. y J. M. Guzmán (eds.). Ecosistemas de manglar en el archipiélago cubano Estudios y experiencias enfocados a su gestión. Editorial Academia. UNESCO. MAB. IES. La Habana, Cuba. pp. 293-301.

Oviedo, P. R., L. Menéndez C. y J. M. Guzmán M. 2006. Flora asociada a manglares y sus ecotonos en Cuba. In: Menéndez C., L. y J. M. Guzmán (eds.). Ecosistemas de manglar en el archipiélago cubano Estudios y experiencias enfocados a su gestión. Editorial Academia. UNESCO. MAB. IES. La Habana, Cuba. pp. 48-69.

Ramírez G., P. y D. Segura Z. 1994. Ordenación de la Vegetación de Manglar de La Laguna Panzacola, Chiapas. Serie: Grandes Temas de la Hidrobiología: Los Sistemas Litorales. Universidad Autónoma Metropolitana–Iztapalapa (UAM-I) - Universidad Nacional Autónoma de México (UNAM) - Instituto de Biología. Vol. 2. México, D. F., México. pp. 105-113.

Ramos D., F. J., A. de J. Quiroz F., A. J. Ramírez G. y A. Lot H. 2004. Manual de hidrobotánica. Muestreo y análisis de la vegetación acuática. AGT Editor. México, D. F., México. 158 p.

Rodríguez Z., M. T., C. Troche S., A. D. Vázquez L., J. D. Márquez M., B. Vázquez B., L. Valderrama L., S. Velázquez S., M. I. Cruz L., R. Ressl, A. Uribe M., S. Cerdeira E., J. Acosta V., J. Díaz G., R. Jiménez R., L. Fueyo Mac D. y C. Galindo L. 2013. Manglares de México, extensión, distribución y monitoreo. Comisión Nacional para el Conocimiento y Uso de la Biodiversidad (Conabio). México D.F., México. 128 p.

Rzedowski, J. 2006. La vegetación de México. Comisión Nacional para el Conocimiento y Uso de la Biodiversidad. México, D.F., México. 504 p.

Seaby, R. M. and P. A. Henderson. 2006. Species diversity and richness version 4. Pisces Conservation. Lymington, UK. 125 p.

Valdez H., J. I. 2004. Manejo forestal de un manglar al sur de Marismas Nacionales, Nayarit. Madera y Bosques 10 (número especial 2):93-104.

Villarreal, H., M. Álvarez, S. Córdoba, F. Escobar, G. Fagua, F. Gast, H. Mendoza, M. Ospina y A. M. Umaña. 2006. Inventarios de biodiversidad. In: Manual de métodos para el desarrollo de inventarios de biodiversidad Programa de Inventarios de Biodiversidad. Instituto de Investigación de Recursos Biológicos Alexander von Humboldt. 2ª edición. Bogotá, Colombia. pp. 19-28.

Yockteng, R. y J. Cavelier. 1998. Diversidad y mecanismos de dispersión de árboles de la Isla Gorgona y de los bosques húmedos tropicales del Pacífico colombo-ecuatoriano. Revista de Biología Tropical 46(1): 45-53.

All the texts published by Revista Mexicana de Ciencias Forestaleswith no exception– are distributed under a Creative Commons License Attribution-NonCommercial 4.0 International (CC BY-NC 4.0), which allows third parties to use the publication as long as the work’s authorship and its first publication in this journal are mentioned.