Revista Mexicana de Ciencias Forestales Vol. 9 (45)

Enero – Febrero (2018)

DOI:https://doi.org/10.29298/rmcf.v9i45.142

Article

Estructura forestal de una zona de manglar en la laguna de Coyuca de Benítez, Guerrero

Forest structure of the mangrove zone of the Coyuca de Benítez lagoon, Guerrero state

Benjamín Castillo Elías1*, Herlinda Gervacio Jiménez1 y Ramón Bedolla Solano1

Fecha de recepción/Reception date: 25 de julio de 2017

Fecha de aceptación/Acceptance date: 15 de diciembre de 2017.

_______________________________

1Universidad Autónoma de Guerrero. México.

*Autor por correspondencia, correo-e: bcastilloe@hotmail.com

Abstract:

Mangroves are a forest resource of great importance in the wetlands, by its diversity and timber structure, as for the ecological values, socio-economic and environmental benefits that represent. Its composition depends on environmental factors, soil conditions, anthropogenic action and the ability to interact among themselves to share a space. For the state of Guerrero there are only records that indicate areas of distribution of mangrove forests and description of species. The objective was to know the ecological importance of the mangrove that is attached to the communities of El Carrizal and Playa Azul, at Coyuca de Benítez municipality, Guerrero State, through their density and relative abundance, diversity and timber volume. From July to December 2016, the structural composition of the mangrove vegetation was obtained, from 10 units of 10 × 10 m (100 m2) with a sampling intensity of 4 %. Nine forest species were identified in the sampling area associated with the mangrove ecosystem. A total volume of 10.30 m3 total tree roll was obtained, Laguncularia racemosa species (the white mangrove) having the largest volume of 8.05 m3 total tree roll, obtaining for the total area of the wetland zone a total volume of 218.92 m3 total tree roll.  This research was able to know the structural composition of the flora species in the study area, determining the ecological importance of the mangrove represented by L. racemosa, associating it as an alternative for conservation in the study area.

Key words: Sustainable use, diversity, wetlands, Laguncularia racemosa (L.) C. F. Gaertn, mangrove, timber volume.

Resumen:

Los manglares son un recurso forestal de gran importancia en los humedales, tanto por su diversidad y estructura maderable como por los beneficios ambientales y socioeconómicos que representan. Su composición depende de factores ambientales, condiciones edáficas, acción antrópica y de la capacidad de interrelacionarse entre sí para compartir un espacio. En el estado de Guerrero existen solo registros que indican áreas de distribución de bosques de manglar y descripción de especies. El objetivo fue conocer la importancia ecológica del manglar adjunto a las comunidades de El Carrizal y Playa Azul, municipio Coyuca de Benítez, Guerreo, a través de la obtención de su densidad y abundancia relativa, diversidad y volumen maderable. De julio a diciembre del 2016, se obtuvo la composición estructural de la vegetación asociada al manglar, con base en 10 unidades de 10 × 10 m (100 m2) y una intensidad de muestreo de 4 %. Se identificaron nueve especies forestales asociadas al ecosistema de manglar. Se determinó un volumen total de 10.30 m3 rollo total árbol, de los cuales Laguncularia racemosa (mangle blanco) aporta el mayor volumen con 8.05 m3 rollo total árbol; mientras que para el área total de la zona de humedal el valor fue de 218.92 m3 rollo total árbol. Con esta investigación se logró conocer la composición estructural de las especies de flora en el área de estudio, y la importancia ecológica del manglar constituido por L. racemosa, representada como alternativa de conservación para la zona.

Palabras clave: Aprovechamiento sustentable, diversidad, humedales, Laguncularia racemosa (L.) C. F. Gaertn, manglar, volumen maderable.

Introducción

En México, los manglares son extensos y existen tanto en los litorales del Océano Pacífico y Golfo de California, como del lado del Océano Atlántico en el Golfo de México y el Mar Caribe; están presentes en 17 estados de la república mexicana que tienen litoral costero. Para 2010, se les atribuyó una extensión territorial de 764 486 ha, de la cual, la región Pacífico reúne la menor proporción, 0.9 % (6 857 ha); particularmente en Guerrero, la cobertura de manglar es de 8 123 ha que carecen de protección estatal o federal (Rodríguez et al., 2013).

Los humedales de manglar son importantes por su extensión, diversidad, composición y estructura, como por los valores ecológicos, beneficios ambientales y socioeconómicos que representan (Oviedo y Labrada, 2006). En estos ecosistemas, la flora silvestre de las comunidades asociadas depende de factores ambientales (temperatura, precipitación, hidroperíodo, mareas, aportes de agua dulce, pH, sustrato adecuado para la colonización, intercambio de sales, nutrientes y gases), de la acción antrópica y de la capacidad de interrelacionarse entre sí para compartir un espacio. En el estado de Guerrero solo hay registros de áreas de distribución de bosques de manglar y descripción de las especies, por lo que en el presente trabajo se presentan datos de la composición estructural y diversidad de dicho bioma. El objetivo del estudio fue conocer la importancia ecológica del manglar adjunto a las comunidades de El Carrizal y Playa Azul, municipio Coyuca de Benítez, Guerrero, a través de su composición estructural, densidad, abundancia relativa, diversidad y volumen maderable.

Materiales y Métodos

Área de estudio

El área de estudio se ubica a 50 km al oeste de Acapulco por la carretera Federal Núm. 200 Acapulco–Zihuatanejo, a la altura de la localidad de Pénjamo, ubicada entre las coordenadas geográficas 16°57'36'' N; 100°08'33'' O y 16°57'34'' N; 100°08'34'' O. La superficie aproximada de la zona de humedal es de 212 434 m2 (21 ha). El clima es tropical subhúmedo del tipo A (W0), con lluvias en verano y sequías en invierno, con temperatura media anual de 26 °C y precipitación media anual entre 900 y 1 750 mm (Rzedowski, 2006). Se presenta un sistema dulceacuícola de baja inundación. Los suelos son de tipo Chernozem.

La fauna está compuesta por diferentes taxa entre los que destacan: la paloma de ala blanca (Zenaida asiatica Linnaeus, 1758), el zanate mexicano (Quiscalus mexicanus Gmelin, 1788), el zopilote (Coragyps atratus Bechstein,1793), la iguana verde (Iguana iguana Linnaeus, 1758), la boa (Boa constrictor Linnaeus, 1758), el tlacuache (Didelphis virginiana Allen, 1900) y el mapache (Procyon lotor Linnaeus, 1758), entre otros (Araujo, 2014).

Composición estructural de las especies de flora

Algunos métodos describen la composición florística y el funcionamiento biológico de los manglares, que contribuyen a la elaboración de programas de conservación y protección (Bautista et al. 2004).

De julio a diciembre del 2016 se llevó a cabo un estudio de composición estructural de la vegetación en la zona de manglar; se eligió el tamaño de muestra de 1 ha (10 000 m2) en la que se delimitaron al azar 10 unidades o cuadrantes de muestreo de 10 × 10 m2 (Ortíz y Carrera, 2002; Mora, 2003; Bautista et al. 2004; Ramos et al. 2004; Castillo, 2010), y una intensidad de muestreo de 4 %.

Para conocer la composición de la vegetación, se midieron los caracteres estructurales de diversidad biológica y forestal que a continuación se describen.

Densidad y abundancia relativa (ind ha-1)

Se estimó contabilizando el número de individuos por especie perenne que se encontraron en cada unidad de muestreo. La abundancia relativa por sitio se obtuvo multiplicando la frecuencia por las hectáreas que ocupa la extensión total del área muestreada del humedal (21 ha). Para conocer la abundancia y densidad relativa de cada especie se aplicó la fórmula:

Donde:

DR = Densidad Relativa

Ni = Número de individuos de una especie por hectárea (ha) o frecuencia

Nt = Número total de individuos

Los resultados de la abundancia relativa por sitio se obtuvieron al multiplicar la frecuencia por el número de hectáreas que ocupa la extensión total del área muestreada del humedal, de 21 ha (212 434 m2).

Riqueza de especies

La riqueza de especies (S) se calculó mediante el conteo del número de especies por sitio de muestreo (Moreno, 2001; Seaby y Henderson, 2006; Villarreal et al., 2006) y los valores de S fueron comparados para cada unidad de muestreo.

Curvas de acumulación

Para evaluar la representatividad del muestreo, de acuerdo con Escalante (2003), se elaboraron curvas de acumulación de especies, construidas a partir de modelos no paramétricos de riqueza específica y de abundancias proporcionales (número de especies, número de individuos, especies representadas por un individuo (singletons) e índice de riqueza esperada “Chao1”). Las curvas muestran el número de especies acumuladas conforme se avanza en el esfuerzo de muestreo de un sitio, de tal manera que la curva de riqueza aumentará hasta alcanzar un máximo y se estabilizará en una asíntota.

Diversidad

La diversidad se estimó mediante el índice de Shannon- Wiener (H') (Seaby y Henderson, 2006), que se consideró para medir la cantidad de información presente en un sistema binario, y se refiere al número de especies o taxa diferentes que conforman una comunidad. Se analiza, conjuntamente, sus distribuciones de abundancias con la siguiente fórmula:

Índice de diversidad de Shannon-Wiener (H’) basado en la abundancia proporcional:

Donde:

0-1 = Intervalo de diversidad (0=baja; 1=mayor).

pi = Abundancia proporcional de la i-ésima especie

pi = Ni/N (abundancia de la especie i-ésima entre abundancia total de todas

      las especies)

ln = Logaritmo natural

Afinidad entre unidades de muestreo

Se realizó un análisis de conglomerados, mediante la matriz de similitud de Bray y Curtis y el vecino más distante de las unidades de muestreo, se transformaron los datos de abundancia por especie con raíz cuarta (f) (Field et al., 1982); la clasificación se realizó con base en el promedio simple como estrategia de unión.

Volumen maderable

El volumen de cada uno de los ejemplares arbóreos del manglar se obtuvo a partir de su diámetro o circunferencia a la altura de pecho (dap) a 1.30 m de altura (Conap-Inab, 2004; González y Cuadra, 2004; Valdez, 2004; Menéndez et al., 2006). La estimación del volumen (m3) por árbol en cada estación de muestreo se hizo con la ecuación:

Donde:

V = Volumen (m3)

D2 = Diámetro (m) dap

 = 3.1416 constante

CM = Coeficiente mórfico natural=0.5

h = Altura promedio

VU = Volumen unitario

N = Número de individuos por sitio

rta = Rollo total árbol

La estimación del volumen maderable (m3 rta) del área total de la zona de humedal se llevó a cabo con la ecuación:

Donde:

VT = Volumen total

VAC = Volumen área de conteo

AT = Área total de estudio

AC = Área de conteo

rta = Rollo total árbol

El área de conteo en cada estación de muestreo fue de 100 m2; el área total de conteo, de 10 000 m2 y el área total del estudio de 212 434 m2.

Resultados y Discusión

Composición estructural de la zona de manglar en el área de estudio

Se identificaron 10 especies de flora en el área de muestreo, con un total de 274 individuos (Cuadro 1). Contrario al estudio de Ramírez y Segura (1994), quienes registraron seis (Laguncularia racemosa (L.) C. F. Gaertn, Rhizophora mangle L., Conocarpus erectus L., Pachira aquatica Aubl., Cynometra oaxacana Brandegee y Paullinia pinnata L.) como componentes florísticos de una zona de manglar de la laguna de Panzacola, Chiapas, en dos humedales diferentes. En el área de estudio se presenta un sistema dulceacuícola de baja inundación, con un solo taxon de mangle dominante (L. racemosa); mientras que en Chiapas es un sistema hipersalino con inundaciones que permite la dominancia de más especies de mangle, lo que hace suponer que las condiciones del sitio, probablemente, definan la estructura forestal.

En comparación con este sistema de manglar, Ocaña y Lot (1996) describieron una comunidad de vegetación de manglar del sistema lagunar en Campecheen el que identificaron la presencia de 133 especies; de ellas, las dominantes correspondieron a las herbáceas, seguidas por el mangle rojo (Rhizophora mangle). El patrón de dominancia es similar en el presente estudio, pero el taxón principal es Lacuncularia racemosa.

El estudio de flora asociada a los manglares realizado por Oviedo et al. (2006) coincide con los resultados que aquí se documentan, ya que en ambos las herbáceas son las de mayor representatividad debido al estado natural de baja perturbación por actividades antropogénicas, seguidas de los elementos arbóreos. También concuerda con la presencia de palmas, en este caso la conocida como tasistal (Acoelorraphe wrightii H. Wendl.) que desempeña un papel importante en el paisaje de los humedales y que, generalmente, en trabajos ecológicos se asocian muy poco a los ecosistemas de manglar.

Densidad relativa

En la superficie muestreada (10 000 m2), las mayores densidades relativas se registran en el estrato herbáceo con 57.6 ind ha-1 de Crinum sp. (crino); loss taxa arbóreos mantienen mayor representatividad por Laguncularia racemosa, con 24.8 ind ha-1, Acrostichium aureum L. (helecho de río) y Phyllanthus sp. (maquilin) ambos con 6.2 ind ha-1; y Pithecellobium lanceolatum (Humb. & Bonpl. ex Willd.) Benth. (timuchi), con 2.9 ind ha-1, especies de vegetación secundaria derivadas de selva mediana subperennifolia (Cuadro 1).

Cuadro 1. Densidad relativa, abundancia relativa y frecuencia de especies de flora.

Especies dominantes

Forma de crecimiento

Frecuencia

(individuos ha-1)

Abundancia

relativa

(21 ha)

Densidad relativa

(%)

Laguncularia racemosa (mangle blanco)

Árbol

68

1 428

24.8

Acrostichium aureum (helecho de río)

Helecho

17

357

6.2

Phyllanthus sp. (maquilin)

Arbusto

17

357

6.2

Pithecellobium lanceolatum (timuchi)

Arbusto/árbol

8

29

2.9

Ficus insipida Willd.(amate)

Árbol

2

42

0.7

Annona glabra L. (anona)

Arbusto/árbol

1

21

0.4

Acoelorraphe wrightii (tasistal)

Palma

1

21

0.4

Acacia cornigera (L.) Willd. (cornezuelo)

Arbusto

1

21

0.4

Cocus nucifera L. (palma de coco)

Palma

1

21

0.4

Crinum sp. (crino)

Herbácea

158

3 318

57.6

Total

274

5 615

Ramírez y Segura (1994) consignaron densidades totales de 1 700 ind ha-1 para una zona de manglar de la laguna de Panzacola, Chiapas; Domínguez (2009) registró valores de densidad para el mangle blanco de hasta 200 ind ha-1 en una zona costera del Golfo de California, México. Estas cifras contrastantes pueden responder a las condiciones micro-topográficas locales, muy distintas a las de la zona de estudio que corresponde a los bosques húmedos tropicales del Pacífico Sur.

Los resultados actuales son cercanos a lo citado por Foroughbakhch et al. (2004) para el Golfo de México, en el sentido de que la mayor densidad y valor de importancia corresponde a L. racemosa que representa 24 % de la densidad total, y el pocentaje restante (76 %) se distribuye entre el mangle rojo (R. mangle), el mangle negro (Avicennia germinans L.), el mangle botoncillo (C. erectus) y especies secundarias de halófitas y glicófitas.

Basáñez et al. (2006), en Tuxpan, Veracruz calcularon una densidad relativa de 17 ind ha-1 para mangle blanco, en comparación con 24.8 ind ha-1 del presente estudio. La menor densidad de Tuxpan puede explicarse por la presencia de otras especies asociadas de mangle (Rhizophora mangle y A. germinans), lo que favorece la competencia por espacio y una distribución muy irregular, en función de las condiciones de inundación, salinidad, sustrato y composición florística de la zona en la que se trabajó; a ello habría de agregarse el disturbio del área de manglar por actividades antrópicas que afectan negativamente a estas comunidades, ya que el área de estudio corresponde a un bosque húmedo tropical del Pacífico Sur y en Veracruz al Golfo de México.

Riqueza de especies

En el Cuadro 2 se ordena la riqueza de especies (S=10) para el área de muestreo (246 individuos para los 10 sitios de muestreo).

Cuadro 2. Riqueza de especies (S) en cada unidad de muestreo.

Unidad de muestreo

Total de especies

Total de individuos

1

4

35

2

4

12

3

5

45

4

4

11

5

4

12

6

5

31

7

2

12

8

3

12

9

4

36

10

5

40

La riqueza de las unidades de muestreo 3, 6 y 10 fue más alta por número de especies y de individuos, lo que posiblemente responda a que en esos sitios las condiciones de nutrimentos, temperatura y humedad fueron óptimas para su permanencia; resultado que confirma la importancia de esta área de manglar, porque muestra que el bosque estudiado reúne riquezas y diversidades altas, a pesar de evidenciar afectación por actividades antrópicas que limitan el número de especies; por ejemplo, la tala.

En contraste con los datos de abundancia y riqueza de especies, Ocaña y Lot (1996) en su investigación de la vegetación de manglar del sistema lagunar en Campeche, calcularon una abundancia y riqueza total de 133 especies, mucho mayor a las 10 especies del presente estudio; la diferencia puede deberse a que la extensión territorial de la zona de muestreo fue de 22 006.28 ha, de las cuales Rhyzophora mangle ocupa 9 889 ha, y las comunidades vegetales de tular, carrizal y R. mangle destacan por su extensión y riqueza.

Curvas de acumulación

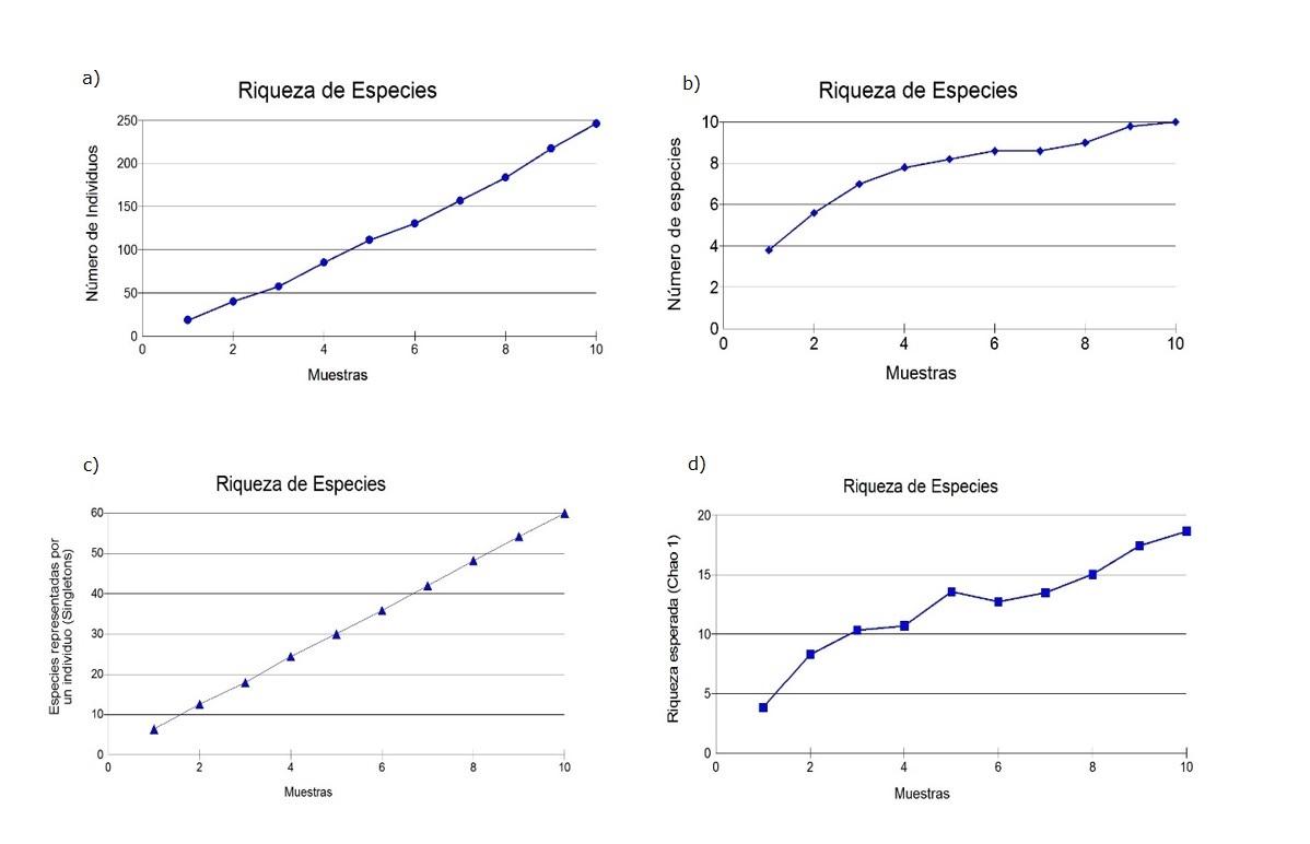
Mediante las curvas de acumulación de especies y los modelos utilizados, se observó que el muestreo fue representativo, porque en todos los casos los índices de riqueza esperada (número de especies, número de individuos, especies representadas por un individuo o singletons y el índice de riqueza esperada Chao1) demostraron que más de 85 % de las especies está presente en cada unidad de muestreo.

Además, las curvas generadas a partir de los estimadores fueron muy parecidas a los valores de riqueza (S=10); las curvas se mantuvieron asintóticas (Figura 1a, b, c y d), sin descender, se ajustaron a los valores y demostraron alta representatividad. El número de especies acumulado en el inventario florístico frente al esfuerzo de muestreo empleado indica que conforme se avanza en el muestreo en el sitio, la cantidad de taxones se acumula y aumenta hasta alcanzar el máximo de estabilidad en la estimación de la riqueza de especies.

A) Número de individuos; B) Número de especies; C) Especies representadas por un individuo; D) Índice de riqueza esperada “Chao1”.

Figura 1. Curvas de acumulación de especies y los modelos utilizados.

La curva de acumulación de singletons fue la que mantuvo un comportamiento de crecimiento constante sin altibajos, seguida por la del número de individuos, la del número de especies y, en último sitio, la de riqueza esperada (Chaos).

En todos los casos, se obtuvo una saturación de la curva especies-área, lo que significa que el área de muestreo es suficiente para medir la riqueza de especies, resultado similar al estudio de Yockteng y Cavelier (1998) que comparan la flora de la isla Gorgona (Colombia) y la de los bosques del Chocó biogeográfico (Colombia y Ecuador), quienes utilizaron cinco curvas de acumulación a partir de inventarios florísticos y obtuvieron equivalencias de saturación de la curva especie-área al reforzar un muestreo representativo para la riqueza de especies de los bosques húmedos tropicales del Pacífico.

Diversidad

Los valores para la diversidad son muy semejantes entre las unidades de muestreo (UM). Los valores de Shannon-Wiener (H') fueron para UM5=0.521 y para UM6=0.597, diferencia que atribuible, en parte, al número de especies registradas. En contraste, en la unidad de muestreo 2 se calcularon valores de 0.486; en la 4, 0.487 y en la 8, 0.417. En las 1, 3, 9 y 10 fueron de 0.339, 0.335, 0.381 y 0.362, respectivamente, que revelan menor diversidad. La unidad de muestreo 7 presentó una acentuada diferencia con el valor más bajo de 0.244 (Cuadro 3 y Figura 5).

Cuadro 3. Índice de diversidad Shannon-Wiener (H’).

Índice

UM-1

UM-2

UM-3

UM-4

UM-5

UM-6

UM-7

UM-8

UM-9

UM-10

Shannon H' Log base 10

0.339

0.486

0.335

0.487

0.521

0.597

0.244

0.417

0.381

0.362

Shannon Hmax Log base 10

0.602

0.602

0.699

0.602

0.602

0.699

0.301

0.477

0.602

0.699

Shannon J'

0.563

0.807

0.479

0.809

0.865

0.854

0.811

0.873

0.634

0.519

UM = Unidad de Muestreo

F:\RESPALDO TESIS DOCTORADO\TESIS DOCTORADO CIEN.AMB.-UCDR\OBJETIVOS TESIS\DEN-AB-DIV\resultados\INDICE DE SHANNON-WIENER.jpg

Figura 2. Representación gráfica del índice de Diversidad de Shannon-Wiener (H’).

Los resultados anteriores son similares a los de Foroughbakhch et al. (2004) para el Golfo de México, en los que destacan valores máximos de índice de diversidad de Shannon de hasta 0.510 para el estrato arbóreo de manglar.

Los datos estructurales de diversidad biológica obtenidos en el presente estudio son cercanos a los de Ramírez y Segura (1994) y a los de Foroughbakhch et al. (2004); los últimos autores refieren que el mangle blanco, especie de gran importancia maderable, es dominante en los índices de densidad relativa, abundancia, riqueza y diversidad. Este planteamiento es contrario al de Menéndez et al. (2006), quienes citan esa condición para Conocarpus erectus o mangle botoncillo, y en menor proporción, para L. racemosa, con variaciones en la altura del dosel, el área basal y la densidad de árboles; todo lo anterior depende de las condiciones de inundación, salinidad, sustrato y composición florística de la zona, además la poda indiscriminada puede afectar negativamente a estas comunidades.

Afinidad entre unidades de muestreo

A través del análisis por conglomerados (Cuadro 4) y la Matriz de Similitud (Cuadro 5), se identificaron tres grupos integrados de la siguiente manera: el primer bloque por UM8 y UM2, con un porcentaje de similitud de 91.66 %; el segundo por UM10 y UM3, con un porcentaje de similitud de 91.76 %; y un tercer grupo conformado por UM9 y UM1, con un porcentaje de similitud de 90.14 %.

Cuadro 4. Análisis de conglomerados.

Peldaño

Racimos

Similitud

(%)

Unión 1

Unión 2

1

9

91.76

3

10

2

8

91.66

2

8

3

7

90.14

1

9

4

6

86.95

2

4

5

5

86.95

2

5

6

4

84.21

1

3

7

3

75

2

7

8

2

74.62

1

6

9

1

55.81

1

2

Cuadro 5. Matriz de Similitud.

UM-1

UM-2

UM-3

UM-4

UM-5

UM-6

UM-7

UM-8

UM-9

UM-10

UM-1

*

29.7872

77.5

26.087

25.5319

63.6364

34.0426

29.7872

90.1408

82.6667

UM-2

*

*

24.5614

86.9565

83.3333

51.1628

66.6667

91.6667

41.6667

26.9231

UM-3

*

*

*

25

28.0702

60.5263

28.0702

21.0526

79.0123

91.7647

UM-4

*

*

*

*

86.9565

52.381

60.8696

86.9565

42.5532

27.451

UM-5

*

*

*

*

*

55.814

75

75

37.5

30.7692

UM-6

*

*

*

*

*

*

41.8605

51.1628

74.6269

64.7887

UM-7

*

*

*

*

*

*

*

58.3333

33.3333

30.7692

UM-8

*

*

*

*

*

*

*

*

41.6667

23.0769

UM-9

*

*

*

*

*

*

*

*

*

84.2105

UM-10

*

*

*

*

*

*

*

*

*

*

Los resultados del índice de afinidad de los sitios de muestreo son opuestos a los de Foroughbakhch et al. (2004) para el Golfo de México, cuyos valores de afinidad entre los sitios de manglar varían de 0.154 a 0.667.

El análisis de agrupamiento en conglomerados permitió distinguir la máxima homogeneidad en cada grupo de individuos y la mayor diferencia entre las unidades de muestreo, a partir de la composición florística y la densidad de las especies, a un nivel de similitud de 90 % entre unidades de muestreo, como se muestra en el dendrograma de similitud de Bray-Curtis. Se enlazó un primer grupo formado por las unidades 7, 5, 4, 8 y 2 y un segundo grupo con las 6, 10, 3, 9 y 1. En la Figura 3 se ilustra la ubicación de los sitios muestreados para tener el comparativo de ambos grupos.

F:\RESPALDO TESIS DOCTORADO\TESIS DOCTORADO CIEN.AMB.-UCDR\OBJETIVOS TESIS\DEN-AB-DIV\resultados\PARA RESULTADOS TESIS\UBICACIÓN DE UNIDADES DE MUETREO MANGLAR.jpg

Figura 3. Las unidades de muestreo en el área de humedal.

El comportamiento de los grupos se representa en la Figura 4, en la que se se aprecia la ramificación de las unidades de muestreo y la similitud entre la abundancia y densidad de los individuos. Se observa el agrupamiento de unidades de muestreo en cuanto a composición de especies vegetales y población de cada una, lo que elimina cualquier criterio subjetivo acerca de la catalogación de una formación vegetal basada solo en inspecciones visuales o características físicas del área de muestreo.

Figura 4. Dendrograma del análisis de similitud de Bray-Curtis.

Volumen maderable

Se calculó el volumen de las especies maderables, que sumó un total de 10.30 m3 rta en 1 ha de terreno (Cuadro 6); de ellas, el mangle blanco aporta el mayor volumen (8.05 m3 rta).

Cuadro 6. Volumen maderable en 1 ha de muestreo.

Unidad de muestreo

Volumen

m3 rta

Individuos con características maderables

1

1.01

3

2

0.47

4

3

1.89

4

4

0.468

4

5

0.48

4

6

1.72

4

7

0.85

2

8

0.60

3

9

1.18

3

10

1.61

4

La estimación del volumen total de especies maderables fue de 218.92 m3 rta para el área total de la zona de humedal, con base en el área de conteo equivalente a 10 000 m2 y el área total de estudio correspondiente a 21 ha (212 434 m2).

Los datos son semejantes a los consignados por Oviedo et al. (2006) en el sentido de que el mangle blanco es de gran importancia maderable por el volumen estimado, seguido de otras especies maderables; las especies herbáceas son las mejor representadas.

Con relación a la investigación realizada por Valdez (2004) en zonas de manglar del ejido de San Blas, Nayarit, los volúmenes de madera de Laguncularia racemosa fueron de 26 595.8 m3, lo que contrasta con 8.05 m3 del presente estudio. En este sitio la superficie total es de 1 897 ha y, por lo tanto, la población de mangle blanco es mucho mayor; en la presente investigación la superficie es de 21 ha, lo que influye en la densidad de árboles y por consiguiente en la composición florística de la zona.

Conclusiones

Las especies de flora identificadas asociadas al ecosistema de manglar son representativas del lugar, 274 individuos correspondientes a 10 especies entre formas arbóreas, arbustivas, helechos, herbáceas y palmas.

Las mayores densidades relativas se presentan en el estrato herbáceo representado por Crinum sp., con 57.6 % y en el estrato arbóreo L. racemosa, con 24.8 %, la cual es la especie maderable con mayor representatividad y un volumen de 8.05 m3 rta.

La diversidad (Shannon-Wiener, H') alcanzó valores máximos de 0.597 para el estrato arbóreo de manglar, diferencia atribuible al número de especies.

Con la descripción de la composición estructural de la vegetación de manglar a través de los caracteres estructurales de diversidad biológica y forestal, se determinó la importancia ecológica que tiene ese ecosistema por su dinámica de comunidad vegetal representada por L. racemosa, como ecosistema que debe ser sujeto de conservación y protección.

Agradecimientos

Los autores desean expresar su agradecimiento a las autoridades ejidales de El Carrizal y Playa Azul del municipio Coyuca de Benítez, Guerrero, por su apoyo incondicional de manera personal para la realización del presente estudio.

Conflicto de interés

Los autores declaran no tener conflicto de intereses

Contribución por autor

Benjamín Castillo Elías: trabajo de campo y elaboración del manuscrito; Herlinda Gervacio Jiménez: trabajo de campo, elaboración del manuscrito, revisión general y aplicación de correcciones al mismo; Ramón Bedolla Solano: revisión y sugerencias al manuscrito y aplicación de correcciones.

Referencias

Araujo V., J. Elías. 2014. Biodiversidad del Estado de Guerrero. Ed. Anaya. México. Guerrero, Gro., México. 439 p.

Basáñez M., A. de J., G. Olmedo P. y P. Rojas M. 2006. Características estructurales y usos del manglar en el ejido Cerro de Tumilco, Tuxpan, Veracruz, México. Revista UDO Agrícola 6 (1): 114-120.

Bautista Z., F., H. Delfín G., J. L. Palacio P. y M. C. Delgado C. 2004. Técnicas de muestreo para manejadores de recursos naturales. Universidad Nacional Autónoma de México - Universidad Autónoma de Yucatán-Consejo Nacional de Ciencia y Tecnología-Instituto Nacional de Ecología. México, D.F., México. 507 p.

Castillo E., B. 2010. Diagnóstico ambiental del manglar en la laguna de Coyuca de Benítez Guerrero. Tesis de Doctorado. Unidad de Ciencias de Desarrollo Regional de la Universidad Autónoma de Guerrero. Acapulco, Gro., México. 241 p.

Consejo Nacional de Áreas Protegidas-Instituto Nacional de Bosques (Conap-Inab). 2004. Guía de cubicación y transporte forestal. Proyecto de Biodiversidad y manejo forestal sostenible (BIOFOR). Santa Elena, Petén, Guatemala. 39 p. http://www.educacionforestal.Org/Documentos /cubicacion.pdf (15 de septiembre de 2016).

Domínguez C., R. 2009. Análisis de la micro-topografía, la fenología reproductiva y el reclutamiento de especies de mangles en la costa sur-occidental del Golfo de California, México. Tesis Doctoral. Universidad Autónoma de Baja California Sur (UABCS). La Paz, BCS., México. 100 p.

Escalante E., T. 2003. ¿Cuántas especies hay? Los estimadores no paramétricos de Chao. Universidad Autónoma de Puebla. Revista Ciencia y Cultura - Elementos. 52 (10): 53-56.

Field, J. G., K. Clarke and R. Warwick. 1982. A practical strategy for analysing multispecies distributions patterns. Marine Ecology Progress Series 8: 37-52.

Foroughbakhch, P. R., A. E. Céspedes C., M. A. Alvarado V., A. Núñez G. y M. H. Badii. 2004. Aspectos ecológicos de los manglares y su potencial como fitorremediadores en el Golfo de México. Ciencia UANL 7 (2): 203-208.

González, Y. y M. Cuadra C. 2004. Estandarización de unidades de medidas y cálculo de volúmenes de madera. Instituto Nacional Forestal. Departamento de Monitoreo y Seguimiento Forestal, Departamento de Ordenación Forestal Gobierno de Nicaragua. Managua, Nicaragua. 22 p.

Menéndez, L., J. M. Guzmán, R. T. Capote F., R. Gómez y A. Sotillo. 2006. Estructura de los bosques de mangle en Cuba. In: Menéndez C., L. y J. M. Guzmán (eds.). Ecosistemas de manglar en el archipiélago cubano Estudios y experiencias enfocados a su gestión. Editorial Academia. UNESCO. MAB. IES. La Habana, Cuba. pp. 70-89.

Mora, E. M. 2003. Algunas consideraciones sobre muestreo. Revista Geográfica Venezolana 41 (1):30-46.

Moreno C., E. 2001. Métodos para medir la biodiversidad. M&T–Manuales y Tesis SEA. Vol. 1. Zaragoza, España. 84 p.

Ocaña, D. y A. Lot. 1996. Estudio de la vegetación acuática vascular del sistema fluvio-lagunar-deltaico del río Palizada, en Campeche, México. Anales del Instituto de Biología Serie Botánica 67(2):303-327.

Ortíz, E. y F. Carrera, 2002. Muestreo en Inventarios Forestales. In: Orozco, L. y C. Brumér (eds.). Inventarios forestales para bosques latifoliados en América Central. Corredor Biológico Mesoamericano. Centro Agronómico Tropical de Investigación y Enseñanza. Turrialba, Costa Rica. pp. 101-120.

Oviedo, P. R. y M. Labrada. 2006. Los manglares en el humedal Ciénaga de Zapata. Matanzas, Cuba. In: Menéndez C., L. y J. M. Guzmán (eds.). Ecosistemas de manglar en el archipiélago cubano Estudios y experiencias enfocados a su gestión. Editorial Academia. UNESCO. MAB. IES. La Habana, Cuba. pp. 293-301.

Oviedo, P. R., L. Menéndez C. y J. M. Guzmán M. 2006. Flora asociada a manglares y sus ecotonos en Cuba. In: Menéndez C., L. y J. M. Guzmán (eds.). Ecosistemas de manglar en el archipiélago cubano Estudios y experiencias enfocados a su gestión. Editorial Academia. UNESCO. MAB. IES. La Habana, Cuba. pp. 48-69.

Ramírez G., P. y D. Segura Z. 1994. Ordenación de la Vegetación de Manglar de La Laguna Panzacola, Chiapas. Serie: Grandes Temas de la Hidrobiología: Los Sistemas Litorales. Universidad Autónoma Metropolitana–Iztapalapa (UAM-I) - Universidad Nacional Autónoma de México (UNAM) - Instituto de Biología. Vol. 2. México, D. F., México. pp. 105-113.

Ramos D., F. J., A. de J. Quiroz F., A. J. Ramírez G. y A. Lot H. 2004. Manual de hidrobotánica. Muestreo y análisis de la vegetación acuática. AGT Editor. México, D. F., México. 158 p.

Rodríguez Z., M. T., C. Troche S., A. D. Vázquez L., J. D. Márquez M., B. Vázquez B., L. Valderrama L., S. Velázquez S., M. I. Cruz L., R. Ressl, A. Uribe M., S. Cerdeira E., J. Acosta V., J. Díaz G., R. Jiménez R., L. Fueyo Mac D. y C. Galindo L. 2013. Manglares de México, extensión, distribución y monitoreo. Comisión Nacional para el Conocimiento y Uso de la Biodiversidad (Conabio). México D.F., México. 128 p.

Rzedowski, J. 2006. La vegetación de México. Comisión Nacional para el Conocimiento y Uso de la Biodiversidad. México, D.F., México. 504 p.

Seaby, R. M. and P. A. Henderson. 2006. Species diversity and richness version 4. Pisces Conservation. Lymington, UK. 125 p.

Valdez H., J. I. 2004. Manejo forestal de un manglar al sur de Marismas Nacionales, Nayarit. Madera y Bosques 10 (número especial 2):93-104.

Villarreal, H., M. Álvarez, S. Córdoba, F. Escobar, G. Fagua, F. Gast, H. Mendoza, M. Ospina y A. M. Umaña. 2006. Inventarios de biodiversidad. In: Manual de métodos para el desarrollo de inventarios de biodiversidad Programa de Inventarios de Biodiversidad. Instituto de Investigación de Recursos Biológicos Alexander von Humboldt. 2ª edición. Bogotá, Colombia. pp. 19-28.

Yockteng, R. y J. Cavelier. 1998. Diversidad y mecanismos de dispersión de árboles de la Isla Gorgona y de los bosques húmedos tropicales del Pacífico colombo-ecuatoriano. Revista de Biología Tropical 46(1): 45-53.

Todos los textos publicados por la Revista Mexicana de Ciencias Forestales–sin excepción– se distribuyen amparados bajo la licencia Creative Commons 4.0 Atribución-No Comercial (CC BY-NC 4.0 Internacional), que permite a terceros utilizar lo publicado siempre que mencionen la autoría del trabajo y a la primera publicación en esta revista.