Revista Mexicana de Ciencias Forestales Vol. 14 (80)

Noviembre - Diciembre (2023)

Logotipo, nombre de la empresa

Descripción generada automáticamente

DOI: https://doi.org/10.29298/rmcf.v14i80.1388

Artículo de investigación

 

Efecto del manejo forestal en las características físico-hidrológicas del suelo en un bosque de clima templado

Effect of forest management on the physical-hydrological characteristics of the soil in a temperate forest

 

Josué Fabián Pérez-Hernández1, Ramón Razo-Zárate1*, Rodrigo Rodriguez-Laguna1, Juan Capulín-Grande1, Ingrid Árcega-Santillán2, Nancy Manzur-Chávez2

 

Fecha de recepción/Reception date: 1 de febrero de 2023.

Fecha de aceptación/Acceptance date: 10 de octubre de 2023.

_______________________________

1Universidad Autónoma del Estado de Hidalgo, Instituto de Ciencias Agropecuarias. México.

2Universidad Autónoma del Estado de Hidalgo, Instituto de Ciencias Básicas e Ingeniería. México.

 

*Autor para correspondencia; correo-e: ramon_razo@uaeh.edu.mx

*Corresponding autor; e-mail: ramon_razo@uaeh.edu.mx

 

Resumen

El proceso de aprovechamiento del bosque templado genera impactos reversibles en el suelo al alterar sus propiedades, principalmente por la reducción de la vegetación, troceo y arrastre de la madera que ocasiona aumento en la densidad aparente y reduce la infiltración. El objetivo de este estudio fue evaluar el efecto de diferentes prácticas de manejo forestal sobre propiedades físico-hidrológicas del suelo y su relación con la infiltración del agua en los suelos de un bosque de clima templado. Las áreas de estudio fueron: área de reciente intervención, intervenida hace 18 años y área de conservación (testigo) en un bosque templado de pino-encino bajo aprovechamiento en el estado de Hidalgo. Las variables evaluadas fueron, densidad aparente y porosidad (metodología propuesta por USDA), granulometría (método de Bouyoucos) y pruebas de infiltración con el método de doble anillo. Los resultados de la densidad aparente fueron mayores en el área de reciente intervención (0.62 g cm-3) y menor en el área de conservación (0.32 g cm-3). La porosidad en el área conservada superó en 11 % al área de reciente intervención (88 y 77 %, respectivamente). La tasa de infiltración en el área conservada tuvo 2.641 cm min-1 en comparación con 0.655 cm min-1 del área intervenida hace 18 años. Se concluye que la densidad aparente del suelo se incrementa mientras que la porosidad y capacidad de infiltración disminuyen con la ejecución de las actividades de aprovechamiento, situación que se recupera en forma gradual con el establecimiento de los nuevos bosques.

Palabras clave: Agua de lluvia, densidad aparente, infiltración, mantos acuíferos, silvicultura, suelo.

Abstract

The process of temperate forest harvesting generates reversible impacts on the soil by altering its properties, mainly due to the reduction of vegetation, as well as to cutting and dragging of wood, which causes an increase in apparent density and reduces infiltration. The objective of this study was to evaluate the effect of different forest management practices on the physical-hydrological properties of the soil and their relationship with water infiltration in temperate forest soils. The study areas were: recently intervened area, with the intervention dating back 18 years, and conservation area (control) in a temperate pine-oak forest under exploitation in the state of Hidalgo. The variables evaluated were bulk density and porosity (methodology proposed by USDA), granulometry (Bouyoucos method), and infiltration tests with the double-ring method. The results for bulk density were higher in the recently intervened area (0.62 g cm-3) and lower in the conservation area (0.32 g cm-3). Porosity in the conserved area was 11 % higher than in the recently intervened area (88 and 77 %, respectively). The infiltration rate in the conserved area was 2.641 cm min-1 compared to 0.655 cm min-1 in the area intervened 18 years ago. The authors conclude that the bulk density of the soil increases, while the porosity and infiltration capacity decrease with the implementation of harvesting activities a situation that gradually recovers with the establishment of new forests.

Key words: Rainwater, bulk density, infiltration, water table, forestry, soil.

 

Introducción

 

 

En México, 36 % de los suelos se registran sin degradación aparente, lo que permite proporcionar estabilidad a los ecosistemas a través de la buena aireación, retención de humedad con suficientes espacios porosos que facilitan la penetración del sistema radicular y nutrientes para el establecimiento y desarrollo de la vegetación (Bolaños et al., 2016). Por el contrario, el resto de la superficie (64 %) está afectada por erosión hídrica, eólica y degradación química (Semarnat y CP, 2002). Otras actividades de tipo antrópico como el sobrepastoreo, la agricultura tradicional, el cambio de uso de suelo y el crecimiento de la población influyen en la degradación del suelo, ya que disminuyen la tasa de infiltración del agua de lluvia, lo que se traduce en el aumento de la escorrentía superficial (Turnbull et al., 2010; ONUAA, 2016; Béjar-Pulido et al., 2021) y en la alteración de los flujos de agua vinculados con los bosques (Pérez-Campomanes e Iannacone, 2020), lo cual condiciona la disponibilidad del recurso hídrico para abastecer las necesidades de la población (Chamizo-Checa et al., 2018), situación que se ha agudizado en las últimas décadas por el cambio climático.

En los últimos tiempos se ha reconocido que los bosques suministran bienes y servicios ambientales que contribuyen al desarrollo humano (López-Hernández et al., 2017), entre ellos destaca la captación de agua de lluvia, que en ocasiones es afectada por el uso no sustentable del recurso forestal (Dourojeanni, 2020) cuando se realizan malas prácticas de manejo silvícola (Endara y Herrera, 2016).

Durante el aprovechamiento de los bosques templados se generan impactos negativos temporales en el suelo debido a las actividades como el corte y troceo del arbolado, arrastre de trocería, maniobras de carga, construcción de caminos forestales y extracción de la madera (Dueñez-Alanís et al., 2006; Valladares-Samperio y Galicia-Sarmiento, 2021). Esas acciones alteran las propiedades del suelo en los primeros meses ya que se reduce la cobertura vegetal, lo que deja expuesto el terreno a las lluvias (Muñoz et al., 2013), que a su vez causa un aumento en la densidad aparente (Chaudhari et al., 2013), reducción en la tasa de infiltración y pérdida del suelo por erosión hídrica (Matías et al., 2020). Ante esto, se planteó la necesidad de evaluar el efecto de diferentes prácticas de manejo forestal sobre las propiedades físico-hidrológicas del suelo y su relación con la infiltración del agua en los suelos de un bosque de clima templado.

 

 

Materiales y Métodos

 

 

Ubicación del área de estudio

 

 

El área de estudio se localiza en la sierra alta del estado de Hidalgo, entre las coordenadas geográficas 20⁰36’11’’ latitud Norte y 98⁰36’28’’ longitud Oeste, con altitud de 2 048 msnm (Figura 1).

 

Figura 1. Mapa de ubicación de las áreas de estudio.

 

El clima del área es de tipo C(m)a que corresponde a un templado húmedo con lluvias abundantes en verano, la temperatura media anual es de 12.7 °C y la precipitación de 1 278 mm anuales (Cruz-Leyva et al., 2010). La zona de estudio se sitúa en la región hidrológica RH-26 río Pánuco, cuenca D río Moctezuma y subcuenca V río Metztitlán. El suelo predominante corresponde a un Luvisol crómico y el secundario a un Feozem háplico (Figura 2) pertenecientes a suelos volcánicos (INEGI, 1992).

 

Figura 2. Mapa de edafología en relación a las áreas de estudio.

 

La vegetación predominante corresponde al bosque de pino-encino con presencia de especies como Pinus patula Schltdl. & Cham.(ocote), P. teocote Cham. & Schltdl. (ocote chino), Quercus rugosa Née (encino de hoja ancha), Q. laurina Bonpl. (encino), Q. laeta Liebm. (quebrache), Q. crassifolia Bonpl. (encino blanco), Alnus arguta (Schltdl.) Spach (aile) (sinonimia de Alnus acuminata subsp. arguta (Schltdl.) Furlow), Arbutus xalapensis Kunth (madroño), Prunus serotina Ehrh. subsp. capuli (Cav.) McVaugh (capulín), Clethra mexicana DC. (pahuilla), Crataegus mexicana DC. (tejocote), Vaccinium leucanthum Schltdl. (cocol), Ternstroemia sylvatica Schltdl. & Cham. (trompillo), entre otras (Servicios Forestales de Hidalgo, 2011).

 

 

Tratamientos y condiciones de las áreas

 

 

El estudio se realizó en áreas con condiciones similares de tipo de suelo, topografía, pendiente y exposición del terreno dentro de un predio forestal, pero con diferente vegetación, las cuales se describen a continuación:

Área de conservación. Corresponde a un rodal con vegetación original de pino-encino que no ha sido intervenida en más de 50 años, de tal manera que presenta alta diversidad y densidad de arbolado que depositan cantidades considerables de materia orgánica en el piso forestal (Cuadro 1).

 

Cuadro 1. Datos dasométricos de las áreas de estudio.

Áreas de estudio

Intensidad de corta (%)

Diámetro promedio (cm)

Altura promedio (m)

Densidad (Árboles ha-1)

Área basal (m2 ha-1)

Área de conservación

0

42.50

25.70

165

23.41

Área intervenida hace 18 años

25

12.50

10.00

1,665

20.43

Área de reciente intervención

90

37.50

28.50

16

1.77

 

Área intervenida hace 18 años. Las condiciones de vegetación fueron similares al anterior, pero con los tratamientos silvícolas aplicados hace 18 años se modificó la cobertura vegetal y gradualmente se recuperó hasta que en la actualidad está en etapa de latizal con predominancia de Pinus patula en altas densidades, además, a través del tiempo se han aplicado tratamientos secundarios de limpias, podas, preaclareos y aclareos que han permitido la incorporación de los desperdicios al suelo (Cuadro 1).

Área de reciente intervención. Corresponde a la última área de aprovechamiento (año 2016), donde se eliminó el total de la vegetación a excepción de 16 árboles ha-1 a partir de la aplicación del método de árboles padre. Lo anterior provocó impactos sobre algunas características del suelo como la compactación por el derribo del arbolado, arrastre de trocerías y movimiento de camiones madereros, así como la modificación de materia orgánica por el control de desperdicios del aprovechamiento que, tradicionalmente, se realiza en la zona mediante quemas puntuales con poco riesgo de generar un incendio forestal (Cuadro 1).

 

 

Diseño de muestreo

 

 

En cada área seleccionada, se establecieron sitios de muestreo con cinco repeticiones mediante un diseño sistemático a distancias de 150 m y un arreglo en zig-zag (Azañero et al., 2020). En cada punto de muestreo se realizaron pruebas de infiltración y se recolectaron muestras de suelo para determinar en el laboratorio de semillas y suelos del Instituto de Ciencias Agropecuarias de la Universidad Autónoma del Estado de Hidalgo, el contenido de materia orgánica, densidad aparente, porosidad y granulometría. 

 

 

Medición de variables

 

 

Contenido de materia orgánica

 

 

Para la determinación del contenido de materia orgánica (MO) en las áreas de estudio, se aplicó la metodología que se resume en el Cuadro 2.

 

Cuadro 2. Metodología para la determinación de materia orgánica.

Variable

Método

Unidades

Autor

Contenido de materia orgánica

Walkley y Black

%

Walkley y Black (1934)

 

El porcentaje de materia orgánica se determinó mediante las siguientes formulas:

 

    

 

Donde:

% MO = Porcentaje de materia orgánica

M = mL de FeSO4 0.5 N gastado en la muestra

B= mL de FeSO4 0.5 N gastado en el blanco

 

El cálculo del factor correspondiente para el porcentaje de MO se determinó con la expresión:

 

   

 

Donde:

1.0 = Normalidad del K2Cr2O7

= Peso miliequivalente del carbono

1.72 = Factor de transformación de carbono en MO

0.77 = Factor de recuperación de 77 % descubierto por Walkey

PS = Peso de la muestra (g)

 

 

Granulometría

 

 

Con la finalidad de clasificar las partículas de suelo, se preparó una muestra compuesta (Vargas et al., 2021) por cada área de estudio, posteriormente se aplicó la metodología descrita en el Cuadro 3.

 

Cuadro 3. Muestra compuesta y método de Bouyoucos.

Variable

Método

Unidades

Autor

Muestra

Muestra compuesta

g

Vargas et al. (2021)

Granulometría

Bouyoucos

%

Silva et al. (2020)

 

Para obtener la granulometría en porcentajes de arcilla, limo y arena se emplearon las ecuaciones siguientes (Silva et al., 2020):

 

    

 

  

 

    

 

Donde:

L1 = Lectura del hidrómetro tomada a los 60 segundos

T1 = Temperatura uno ±1

L2 = Lectura del hidrómetro tomada a las dos horas

T2 = Temperatura dos ±1

 

Después de realizar los cálculos respectivos, se procedió a la caracterización del porcentaje mediante el triángulo textural para determinar la granulometría correspondiente al suelo de cada área de estudio (USDA, 1999).

 

 

Densidad aparente y porosidad del suelo

 

 

Como se observa en el Cuadro 4, para la densidad aparente (Da) y la porosidad del suelo (P) se utilizó la metodología conocida como bolsa abierta propuesta por USDA (1999).

 

Cuadro 4. Metodología de bolsa abierta propuesta por USDA.

Variable

Método

Unidades

Autor

Densidad aparente

Open-bag

g cm-3

USDA (1999)

Porosidad

%

 

Para determinar la densidad aparente (Da) y posteriormente la porosidad (P) se utilizaron las fórmulas siguientes (USDA, 1999):

 

    

 

    

 

Donde:

Da = Densidad aparente (g cm-3)

P = Porosidad del suelo en porcentaje

2.65 = Constante de la densidad de todo mineral (g cm-3) 

 

 

Pruebas de infiltración

 

 

Para las tasas de infiltración se usó el método de infiltrómetro de doble anillo (anillo interno: 25 cm de diámetro, anillo externo: 35 cm de diámetro) (Figura 3) propuesto por Chagoya et al. (2015), que se aplicó en la temporada de lluvia cuando el suelo estaba a capacidad de campo. Posteriormente, el anillo interior se enterró al suelo a 15 cm y el externo a 25 cm; se adicionó una lámina de agua a nivel constante y el descenso del agua se midió en función del tiempo durante dos horas hasta que la velocidad de infiltración fue constante durante un lapso de dos horas (Zapata-Sierra y Manzano-Agugliaro, 2008). Para la obtención de la tasa de infiltración se aplicó el modelo de Kostiakow (Guerrero et al., 2016; Weber y Apestegui, 2016) (Ecuación 8).

 

Figura 3. Infiltrómetro de doble anillo.

 

    

 

Donde:

I = Infiltración acumulada

t = Tiempo acumulado

(a) y (b) = Parámetros del suelo

 

 

Análisis estadísticos

 

 

Los datos de los parámetros físicos del suelo (densidad aparente, porosidad y capacidad de infiltración del suelo) de las tres diferentes áreas de estudio, se analizaron mediante un análisis de varianza (ANOVA) y la prueba del rango múltiple de Duncan (Rodríguez et al., 2020) con la finalidad de identificar diferencias significativas. El proceso de los datos se realizó con el paquete estadístico Statistical Analysis System para Windows® (SAS Institute, 1985).

 

 

Resultados y Discusión

 

 

Se determinó el porcentaje del contenido de materia orgánica en el suelo (MOS), la cual varió de 6.9 a 16.2 %. El área intervenida hace 18 años y la de conservación fueron las zonas con mayor y menor contenido de MOS, con un intervalo de concentración de materia orgánica medio y muy alto, respectivamente (Cuadro 5), lo anterior de acuerdo a la NOM-021-SEMARNAT-2000 (Semarnat, 2002).

 

Cuadro 5. Contenido de materia orgánica y granulometría en el suelo de tres áreas con diferente grado de perturbación en un bosque de clima templado.

Área de estudio

Área de conservación

Área intervenida hace 18 años

Área de reciente intervención

Variables

Materia orgánica (%)

16.2

6.9

15.7

Intervalo de concentración de MOS

Muy alto

Medio

Alto

Granulometría (%)

Arcilla

9.4

17.4

11.4

Limo

17.2

24.5

28.5

Arena

73.2

58

60

Clase textual

Franco-Arenoso

Franco-Arenoso

Franco-Arenoso

 

Algunas de las diferencias pueden deberse a que la velocidad de humificación de la materia orgánica es diferente en las áreas de reciente intervención y de conservación (hojarasca) en comparación con el área intervenida hace 18 años (mantillo de pino). Una situación similar se presentó en el estudio realizado por Romero-Barrios et al. (2015) en un bosque de oyamel, pino y encino.

La granulometría es relativa a la proporción de partículas presentes en el suelo. En el área de conservación se presentó 9.4 % de arcillas y un máximo de partículas de arena de 73.2 %, mientras que en el área intervenida hace 18 años se tuvo 17.4 % de arcillas y 58.0 % de arenas (Cuadro 5). Con base en el triángulo de texturas (USDA, 1999), las tres áreas que se evaluaron en esta investigación mostraron la clase textural franco-arenosa (Cuadro 5). Estos resultados se asemejan a los publicados por Cruz-Ruiz et al. (2012), quienes evaluaron el efecto en las características edáficas de un bosque templado por el cambio de uso de suelo en la ladera Norte del Parque Nacional Nevado de Toluca, y cuyos resultados indicaron que el uso de suelo de bosque tuvo una proporción de partículas de 6.8 % de arcilla, 38.6 % de limo y 54.7 % de arena. De manera similar, Bayuelo et al. (2019) para un bosque de pino-encino de la Meseta Purépecha, Michoacán registraron 11.8 % de partículas de arcilla, limo 16.0 % y arena 72.2 %, valores muy semejantes a los resultados encontrados en este estudio.

Por otro lado, la densidad aparente como característica física del suelo presentó diferencias significativas (F=3.17, P≤0.0782) entre las áreas evaluadas. En el área de reciente intervención se registró 0.62 g cm-3 en comparación con el área de conservación que presentó 0.32 g cm-3 (Cuadro 6). Estos resultados mostraron que en las áreas de reciente intervención, el suelo se compactó hasta 48.4 % más que en las otras áreas.

 

Cuadro 6. Densidad aparente, porosidad y capacidad de infiltración del suelo en tres áreas con diferente grado de perturbación en un bosque de clima templado.

Áreas de estudio

Área de conservación

Área intervenida hace 18 años

Área de reciente intervención

Variables

Densidad aparente (g cm-3)

Media

0.32 a

0.54 ab

0.62 b

Mínima

0.23

0.31

0.33

Máxima

0.39

0.68

1.06

Desviación estándar +/-

0.07

0.16

0.29

Porosidad del suelo (%)

Media

88a

80ab

77b

Mínima

85

74

60

Máxima

91

88

87

Desviación estándar +/-

0.02

0.06

0.11

Capacidad de infiltración (cm min-1)

Media

2.67

0.65

0.89

Mínima

1.13

0.18

0.04

Máxima

6.27

0.98

1.54

Desviación estándar +/-

1.84

0.27

0.49

Letras iguales en la misma columna indica que no existe diferencia significativa de acuerdo con la prueba de Duncan (P≤0.05).

 

Los resultados son inferiores a los documentados por Romero-Barrios et al. (2015) en un estudio realizado para materia orgánica y densidad aparente en suelos del Suroeste de la Malinche, Tlaxcala, México, en el cual se consignan 1.5 g cm-3 de densidad aparente, pero coincide con lo establecido en la NOM-021-SEMARNAT-2000 (Semarnat, 2002) para suelos orgánicos y volcánicos, cuya densidad aparente debe ser menor a 1 g cm-3. Se infiere que en las áreas de estudio existe un adecuado flujo de agua e intercambio gaseoso en el suelo que favorece la recarga del acuífero de la región.

Otra variable evaluada fue la porosidad, la cual está directamente relacionada con la densidad aparente. Los resultados indicaron diferencias significativas (F=3.17, P≤0.0783) entre las áreas de estudio. El área de conservación presentó en promedio 88 % de porosidad en el suelo, mientras que en el área de reciente intervención fue de 77 % (Cuadro 6). Los datos de porosidad del suelo en las tres áreas evaluadas evidenciaron que el impacto generado fue mayor en el área de reciente intervención, con un intervalo de 60 a 87 %.

Los valores obtenidos de porosidad en este estudio son similares a los registrados por González-Barrios et al. (2011) quienes señalan que los espacios porosos en suelo de bosque son superiores a 62 % del volumen total. Por otro lado, Jourgholami et al. (2019) en el distrito de Tangar, en la región de Tyrumrud de los bosques de Hyrcanian (Irán), estimaron indicadores físicos, químicos y biológicos del suelo para evaluar la restauración de un suelo compactado después de la reforestación, y obtuvieron en cuatro tratamientos una máxima porosidad de 57.31 %.

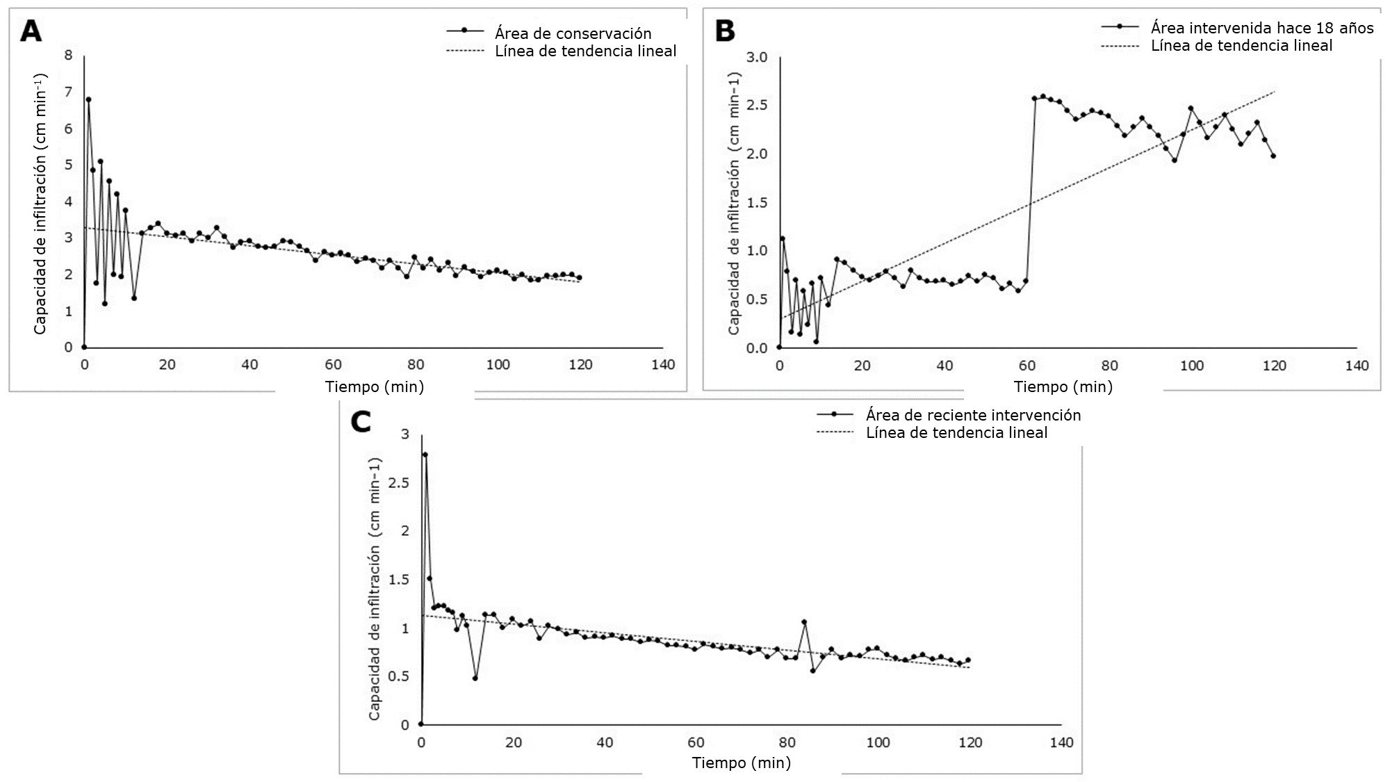
El análisis de la prueba de infiltración vertical del recurso hídrico en el suelo forestal indicó diferencias significativas (F=3.95, P≤0.0481) entre las áreas. La capacidad de infiltración del suelo en el área de conservación tuvo en promedio una tasa de 2.67 cm min-1. El área de reciente intervención registró el valor mínimo de movimiento vertical del agua con 0.04 cm min-1 (Cuadro 6). Cabe añadir que la capacidad de infiltración del suelo en el área de conservación tuvo valores entre 1.22 y 6.80 cm min-1 durante los primeros 12 minutos, en ese mismo tiempo las variaciones en las otras dos áreas fueron de 0.06 hasta 2.78 cm min-1. A partir del minuto 14, la capacidad de infiltración fue mayor en el área de conservación con tendencia a estabilizarse (1.84 a 3.03 cm min-1) a los 120 minutos. Sin embargo, para el área de reciente intervención, los valores de la capacidad de infiltración fueron menores en el mismo periodo (0.55 a 1.13 cm min-1). Por último, hay que resaltar que el área intervenida hace 18 años presentó menor capacidad de infiltración del minuto 14 al 58 (Figura 4B), pero experimentó un incremento notorio a partir del minuto 60, con valores similares (1.97 a 2.57 cm min-1) al área de conservación (Figura 4A). 

 

Figura 4. Comportamiento de la capacidad de infiltración (cm/min-1) del suelo en tres áreas con diferente grado de perturbación en un bosque de clima templado.

 

Los resultados obtenidos en este trabajo son semejantes a los documentados por Lozano-Trejo et al. (2020) en un estudio realizado en la cuenca del Sur de México sobre infiltración y escurrimiento de agua en el suelo, donde obtuvieron una infiltración básica del suelo de 2.29 cm min-1 para un bosque similar al área de conservación a diferencia de Matías et al. (2020), quienes en una investigación referente a los factores que influyen en la erosión hídrica del suelo en un bosque templado, observaron que en la vegetación de pino se puede llegar a tener una infiltración de 0.19 cm min-1 (11.76 cm h-1), datos que difieren a lo registrado en el presente estudio. Por otro lado, Monárrez-González et al. (2018) señalan que los bosques bajo aprovechamiento forestal tienden a recuperar su flujo de infiltración con el tiempo, después de las actividades de abastecimiento que causan un impacto temporal sobre las variables hidrológicas, como se refleja en los resultados que aquí se documentan.

 

 

Conclusiones

 

 

Las características físico-hidrológicas en el suelo forestal se modifican de manera temporal por las actividades propias del aprovechamiento forestal maderable de los bosques templados de pino-encino, lo que aumenta la densidad aparente, reduce la porosidad y disminuye la tasa de infiltración del recurso hídrico durante un evento de precipitación.

Durante el establecimiento y desarrollo de las nuevas masas forestales resultantes del aprovechamiento, el suelo forestal tiende a recuperar sus condiciones físicas y químicas a través del tiempo, lo que incrementa la porosidad y la capacidad de infiltración del agua de lluvia. Este impacto positivo se atribuye al crecimiento y desarrollo del sistema radicular de la nueva vegetación, a la incorporación constante de materia orgánica y a poblaciones de microorganismos presentes en suelo.

 

Agradecimientos

 

Al Consejo Nacional de Humanidades, Ciencia y Tecnología (Conahcyt) por la beca económica otorgada a Josué Fabián Pérez Hernández, lo cual permitió realizar esta investigación.

 

Conflicto de intereses

 

Los autores declaran no tener ningún conflicto de interés.

 

Contribución de los autores

 

Josué Fabián Pérez-Hernández: toma de datos de campo y elaboración del manuscrito; Ramón Razo-Zárate: preparación del borrador original; Rodrigo Rodríguez-Laguna: análisis estadístico; Juan Capulín-Grande: revisión de la metodología; Ingrid Arcega-Santillán y Nancy Manzur-Chávez: revisión del manuscrito.

 

 

Referencias

Azañero A., L., M. Ñique Á. y N. Florida R. 2020. Calidad del suelo en diferentes sistemas de uso en selva alta de Huánuco, Perú. Revista Tayacaja 3(1):112-125. Doi: 10.46908/rict.v3i1.75.

Bayuelo J., J. S., I. Ochoa, E. de la Cruz T. y T. Muraoka. 2019. Efecto del uso del suelo en las formas y disponibilidad de fósforo de un Andisol de la Meseta P´urhépecha, Michoacán. Terra Latinoamericana 37(1):35-44. Doi: 10.28940/tl.v37i1.367.

Béjar-Pulido, S. J., I. Cantú-Silva, H. González-Rodríguez, J. G. Marmolejo-Moncivais, M. I. Yáñez-Díaz and E. O. Luna-Robles. 2021. Effect of land use change and agricultural management on physical and hydrological properties of an Andosol in Uruapan, Michoacán. Revista Chapingo Serie Ciencias Forestales y del Ambiente 27(2):323-335. Doi: 10.5154/r.rchscfa.2020.04.032.

Bolaños G., M. A., F. Paz P., C. O. Cruz G., J. A. Argumedo E., V. M. Romero B. y J. C. de la Cruz C. 2016. Mapa de erosión de los suelos de México y posibles implicaciones en el almacenamiento de carbono orgánico del suelo. Terra Latinoamericana 34(3):271-288. http://www.scielo.org.mx/pdf/tl/v34n3/2395-8030-tl-34-03-00271.pdf. (20 de octubre de 2022).

Chagoya F., J. L., C. Mallén R., M. A. McDonald, F. Jiménez O., … y F. Becerra L. 2015. Información hidrológica, primer paso para diseñar una política local de pago por servicios ambientales. Revista Mexicana de Ciencias Forestales 6(29):24-43. http://www.scielo.org.mx/pdf/remcf/v6n29/v6n29a3.pdf. (28 de octubre de 2022).

Chamizo-Checa, S., E. Otazo-Sánchez, A. J. Gordillo-Martínez, C. A. González-Ramírez, J. Suárez-Sánchez y H. Muñoz-Nava. 2018. El cambio climático y la disponibilidad agua en sub-cuencas del Valle del Mezquital, México. Revista Iberoamericana de Ciencias 5(5):40-51. http://www.reibci.org/publicados/2018/oct/3000102.pdf. (29 de noviembre de 2022).

Chaudhari, P. R., D. V. Ahire, V. D. Ahire, M. Chkravarty and S. Maity. 2013. Soil bulk density as related to soil texture, organic matter content and available total nutrients of Coimbatore soil. International Journal of Scientific and Research Publications 3(2):1-8. https://citeseerx.ist.psu.edu/viewdoc/download?doi=10.1.1.299.7022&rep=rep1&type=pdf. (8 de enero de 2023).

Cruz-Leyva, I. A., J. R. Valdez-Lazalde, G. Ángeles-Pérez y H. M. de los Santos-Posadas. 2010. Modelación espacial de área basal y volumen de madera en bosques manejados de Pinus patula y P. teocote en el ejido Atopixco, Hidalgo. Madera y Bosques 16(3):75-97. https://www.scielo.org.mx/pdf/mb/v16n3/v16n3a6.pdf. (12 de enero de 2023).

Cruz-Ruiz, E., A. Cruz-Ruiz, L. I. Aguilera-Gómez, H. T. Norman-Mondragón, … y B. G. Reyes-Reyes. 2012. Efecto en las características edáficas de un bosque templado por el cambio de uso de suelo. Terra Latinoamericana 30(2):189-197. http://www.scielo.org.mx/pdf/tl/v30n2/2395-8030-tl-30-02-00189.pdf. (5 de enero de 2023).

Dourojeanni, M. J. 2020. ¿Es sostenible el aprovechamiento maderero de bosques naturales en el Perú? Revista Forestal del Perú 35(2):80-93. Doi: 10.21704/rfp.v35i2.1577.

Dueñez-Alanís, J., J. Gutiérrez, L. Pérez and J. Návar. 2006. Manejo silvícola, capacidad de infiltración, escurrimiento superficial y erosión. Terra Latinoamericana 24(2):233-240. https://www.redalyc.org/pdf/573/57311108010.pdf. (17 de octubre de 2022).

Endara A., Á. R. y F. Herrera T. 2016. Deterioro y conservación de los bosques del Nevado de Toluca y el rol de los actores locales. CIENCIA ergo-sum 23(3):247-254. https://dialnet.unirioja.es/servlet/articulo?codigo=5713913. (10 de octubre de 2022).

González-Barrios, J. L., G. González-Cervantes, I. Sánchez-Cohen, A. López-Santos y L. M. Valenzuela-Núñez. 2011. Caracterización de la porosidad edáfica como indicador de la calidad física del suelo. Terra Latinoamericana 29(4):369-377. http://www.scielo.org.mx/scielo.php?script=sci_arttext&pid=S0187-57792011000400369. (18 de febrero de 2023).

Guerrero A., A. M., N. Tornés O., O. Brown M. y Y. Gómez M. 2016. Evaluación de tres modelos en la estimación de la infiltración acumulada. Revista Ingeniería Agrícola 6(3):41-47. https://revistas.unah.edu.cu/index.php/IAgric/article/view/826/859. (15 de diciembre de 2022).

Instituto Nacional de Estadística, Geografía e Informática (INEGI). 1992. Síntesis geográfica del estado de Hidalgo. INEGI. Aguascalientes, Ags., México. 136 p.

Jourgholami, M., T. Ghassemi and E. R. Labelle. 2019. Soil physio-chemical and biological indicators to evaluate the restoration of compacted soil following reforestation. Ecological Indicators (101):102-110. Doi: 10.1016/j.ecolind.2019.01.009.

López-Hernández, J. A., Ó. A. Aguirre-Calderón, E. Alanís-Rodríguez, J. C. Monarrez-Gonzalez, M. A. González-Tagle y J. Jiménez-Pérez. 2017. Composición y diversidad de especies forestales en bosques templados de Puebla, México. Madera y Bosques 23(1):39-51. Doi: 10.21829/myb.2017.2311518.

Lozano-Trejo, S., J. Olazo-Aquino, M. I. Pérez-León, E. Castañeda-Hidalgo, G. O. Díaz-Zorrilla y G. M. Santiago-Martínez. 2020. Infiltración y escurrimiento de agua en suelos de una cuenca en el sur de México. Terra Latinoamericana 38(1):57-66. Doi: 10.28940/terra.v38i1.443.

Matías R., M., J. D. Gómez D., A. I. Monterroso R., M. Uribe G., … y C. Asencio. 2020. Factores que influyen en la erosión hídrica del suelo en un bosque templado. Revista Mexicana de Ciencias Forestales 11(59):51-71. Doi: 10.29298/rmcf.v11i59.673.

Monárrez-González, J. C., G. Pérez-Verdín, C. López-González, M. A. Márquez-Linares y M. del S. González-Elizondo. 2018. Efecto del manejo forestal sobre algunos servicios ecosistémicos en los bosques templados de México. Madera y Bosques 24(2):e2421569. Doi: 10.21829/myb.2018.2421569.

Muñoz I., D. J., M. Ferreira R., I. B. Escalante A. y J. López G. 2013. Relación entre la cobertura del terreno y la degradación física y biológica de un suelo aluvial en una región semiárida. Terra Latinoamericana 31(3):201-210. http://www.scielo.org.mx/pdf/tl/v31n3/2395-8030-tl-31-03-00201.pdf. (22 de noviembre de 2022).

Organización de las Naciones Unidas para la Alimentación y la Agricultura (ONUAA). 2016. Evaluación de los recursos forestales mundiales 2015 ¿Cómo están cambiando los bosques del mundo? ONUAA. Roma, RM, Italia. 44 p. http://www.fao.org/3/i4793s/i4793s.pdf. (21 de diciembre de 2022).

Pérez-Campomanes, G. y J. Iannacone. 2020. Impacto del cambio climático en la disponibilidad de las aguas superficiales en Sudamérica. Paideia XXI 10(1):173-202. Doi: 10.31381/paideia.v10i1.2981.

Rodríguez D., I., H. I. Pérez I., R. M. García B. y A. J. Quezada M. 2020. Efecto del manejo agrícola en propiedades físicas y químicas del suelo en diferentes agroecosistemas. Revista Universidad y Sociedad 12(5):389-398. http://scielo.sld.cu/pdf/rus/v12n5/2218-3620-rus-12-05-389.pdf. (23 de febrero de 2023).

Romero-Barrios, C., E. García-Gallegos y E. Hernández-Acosta. 2015. Materia orgánica y densidad aparente en suelos del suroeste de La Malinche, Tlaxcala, México. Revista Iberoamericana de Ciencias 2(5):63-70. http://www.reibci.org/publicados/2015/septiembre/1200108.pdf. (27 de enero de 2023).

Secretaria de Medio Ambiente y Recursos Naturales (Semarnat) y Colegio de Postgraduados (CP). 2002. Evaluación de la degradación del suelo causada por el hombre en la República Mexicana. Escala 1:250 000. Memoria Nacional 2001-2002. Semarnat y CP. Texcoco, Edo. Méx., México. 69 p. https://www.researchgate.net/publication/307967321_SEMARNAT-CP_2003_Memoria_Nacional_2001,2002_Evaluacion_de_la_Degradacion_del_Suelo_causada_por_el_Hombre_en_la_Republica_Mexicana_escala_1250000_Memoria_Nacional. (27 de noviembre de 2022).

Secretaría de Medio Ambiente y Recursos Naturales (Semarnat). 2002. NORMA Oficial Mexicana NOM-021-RECNAT-2000, Que establece las especificaciones de fertilidad, salinidad y clasificación de suelos. Estudios, muestreo y análisis. Diario Oficial de la Federación, 31 de diciembre de 2002. México D. F., México. 73 p. http://www.ordenjuridico.gob.mx/Documentos/Federal/wo69255.pdf. (14 de enero de 2023).

Servicios Forestales de Hidalgo (Serforh). 2011. Estudio Regional Forestal de la Unidad de Manejo Forestal 1302 “Zacualtipán-Molango”. Serforh S. C. y Asociación de Productores Forestales de la Región Zacualtipán-Molango, A. C. Mineral de la Reforma, Hgo., México. 423 p. http://www.conafor.gob.mx:8080/documentos/docs/9/2943Estudio%20Regional%20Forestal%201302..pdf. (18 de diciembre de 2022).

Silva P., A., B. A. Rodríguez R. y N. Vargas A. 2020. Análisis textural en la regulación de funciones ecosistémicas en sistemas agroforestales de un oxisol de Piedemonte Llanero en época seca, Colombia. Idesia 38(3):43-51. Doi: 10.4067/S0718-34292020000300043.

Statistical Analysis System Institute (SAS). 1985. SAS/STAT Guide for Personal Computers, Version 6 Edition. SAS Institute. Ann Arbor, MI, United States of America. 378 p.

Turnbull, L., J. Wainwright and R. E. Brazier. 2010. Changes in hydrology and erosion over a transition from grassland to shrubland. Hydrological Processes 24(4):393-414. Doi: 10.1002/hyp.7491.

United States Department of Agriculture (USDA). 1999. Guía para la evaluación de la calidad y salud del suelo. USDA. Washington, DC, Estados Unidos de América. 82 p. https://www.nrcs.usda.gov/sites/default/files/2022-10/Gu%C3%ADa%20para%20la%20Evaluaci%C3%B3n%20de%20la%20Calidad%20y%20Salud%20del%20Suelo.pdf. (6 de enero de 2023).

Valladares-Samperio, K. and L. Galicia-Sarmiento. 2021. Impacts of forest management on soil properties: a fundamental research topic for Mexico. Revista Chapingo Serie Ciencias Forestales y del Ambiente 27(1):33-52. Doi: 10.5154/r.rchscfa.2019.11.088.

Vargas D., R. E., J. R. Galindo P. y R. Giraldo H. 2021. Análisis espacial de propiedades físicas del suelo de la Hoya del Río Suárez, Boyacá–Santander (Colombia), utilizando componentes principales. Investigación Agraria 23(1):8-16. Doi: 10.18004/investig.agrar.2021.junio.2301657.

Walkley, A. and I. A. Black. 1934. An examination of the Degtjareff method for determining soil organic matter, and a proposed modification of the chromic acid titration method. Soil Science 37(1):29-38. Doi: 10.1097/00010694-193401000-00003.

Weber, J. F. y L. Apestegui. 2016. Relaciones entre parámetros de los modelos de infiltración de Kostiakov y Lewis-Kostiakov, Córdoba, Argentina. Tecnología y Ciencias del Agua 7(2):115-132. http://www.scielo.org.mx/pdf/tca/v7n2/2007-2422-tca-7-02-00115.pdf. (12 de enero de 2023).

Zapata-Sierra, A. y F. Manzano-Agugliaro. 2008. Influencia de seis especies arbóreas en la infiltración de agua en el suelo. Agrociencia 42(7):835-845. http://www.scielo.org.mx/pdf/agro/v42n7/v42n7a10.pdf. (19 de diciembre de 2022).

 

 

        

Todos los textos publicados por la Revista Mexicana de Ciencias Forestales sin excepción– se distribuyen amparados bajo la licencia Creative Commons 4.0 Atribución-No Comercial (CC BY-NC 4.0 Internacional), que permite a terceros utilizar lo publicado siempre que mencionen la autoría del trabajo y a la primera publicación en esta revista.