Revista Mexicana de Ciencias Forestales Vol. 14 (80)
Noviembre - Diciembre (2023)
DOI: https://doi.org/10.29298/rmcf.v14i80.1363 Research article
Modelos para determinar las relaciones alométricas en Juniperus deppeana Steud. en el estado de Tlaxcala Models for determining allometric relationships in Juniperus deppeana Steud. in the state of Tlaxcala
Eulogio Flores Ayala1, Tomas Pineda Ojeda1, Jonathan Hernández Ramos2, Enrique Buendía Rodríguez1*, Andrés Flores3, Vidal Guerra de la Cruz4 |
Fecha de recepción/Reception date: 16 de marzo de 2023.
Fecha de aceptación/Acceptance date: 11 de julio de 2023.
_______________________________
1INIFAP, Campo Experimental Valle de México. México.
2INIFAP, Campo Experimental Bajío. México.
3INIFAP, Centro Nacional de Investigación Disciplinaria en Conservación y Mejoramiento de Ecosistemas Forestales. México.
4INIFAP, Sitio Experimental Tlaxcala
*Autor para correspondencia; correo-e: buendia.enrique@inifap.gob.mx
* Corresponding autor; e-mail: buendia.enrique@inifap.gob.mx
Abstract
Quantifying the stocking of trees by means of allometric relationships within a stand favors better forest management, timber harvesting and helps to estimate losses due to illegal logging. The objective of this study was to represent in a quantitative way the allometric relationships between the variables of forest interest for Juniperus deppeana, a species of restricted use. Several allometric models were fitted with 1 096 pairs of data for stump (sd), normal (nd), and crown (cd) diameters, total height (Th), and volume (V) of trees of two growth conditions in natural forests of northern and western Tlaxcala State, Mexico. An average statistical improvement of 16.63 % in the explanation of sampling variability and a reduction of 18.53 % in bias were obtained by including the site as a random effect in the mixed-effects modeling approach. Validation of the estimates with data that are independent of the adjustment showed no significant differences. Consistently, the estimates of cd, Th, or V as a function of sd were conservative compared to when nd is used as an explanatory variable. Models , R2=0.8187;
, R2=0.8195;
, R2=0.6281, and
, R2=0.9563 proved to be reliable for reconstructing the mensuration characteristics of trees in stands affected by illegal logging activities, and for accurately quantifying the actual stock of this species' forests, they can be a reliable option for Juniperus deppeana forest management plans.
Keywords: Allometric equations, restricted harvesting species, post-harvest assessment, forest management, mixed effects model, juniper.
Resumen
Cuantificar las existencias del arbolado por medio de las relaciones alométricas dentro de un rodal favorece una mejor gestión forestal, aprovechamiento maderable y ayuda a estimar las pérdidas por cortas clandestinas. El objetivo del presente estudio fue representar de manera cuantitativa las relaciones alométricas entre las variables de interés forestal para Juniperus deppeana, especie de aprovechamiento restringido. Se ajustaron distintos modelos alométricos con 1 096 pares de datos de los diámetros de tocón (dt), normal (dn) y de copa (dc), altura total (At) y volumen (V) de árboles de dos condiciones de crecimiento en bosques naturales del norte y poniente de Tlaxcala, México. Se obtuvo una mejora estadística promedio del 16.63 % en la explicación de la variabilidad muestral y una reducción de 18.53 % en el sesgo al incluir el sitio como efecto aleatorio en el enfoque de modelos de efectos mixtos. La validación de las estimaciones con datos independientes al ajuste no mostró diferencias significativas. De manera consistente, las estimaciones de dc, At o V en función del dt fueron conservadoras en comparación a cuando se utiliza como variable explicativa al dn. Los modelos , R2=0.8187;
, R2=0.8195;
, R2=0.6281 y
, R2=0.9563 evidenciaron ser confiables para reconstruir las características dasométricas del arbolado dentro de los rodales afectados por actividades de clandestinaje, y para cuantificar las existencias reales de los bosques de esta especie de forma precisa. Debido a lo anterior, pueden ser una alternativa confiable para la elaboración de planes de manejo forestal para Juniperus deppeana.
Palabras clave: Ecuaciones alométricas, especie de aprovechamiento restringido, evaluación posclandestinaje, manejo forestal, modelo de efectos mixtos, sabino.
Introduction
Juniperus is the second most diverse genus of the conifer group in the world, second only to Pinus. Mexico is home to 16 species, of which Juniperus deppeana Steud. and Juniperus flaccida Schldtl. are the most widely distributed (Farjon, 2005). J. deppeana forms copses in different geographic regions of Mexico. Particularly in the state of Tlaxcala, it covers approximately 12 711 ha; it is located in small and fragmented populations, to such extent that only patches of original vegetation can be observed (Islas et al., 2008; Herrerías and Nieto de Pascual, 2020). In the central-western region (study area), only 24.6 % of the forested area is subject to forest management based on technical criteria, which, together with the lack of monitoring, increases forest degradation, mainly due to land clearing for agricultural and livestock purposes, as well as to the extraction of firewood for fuel (Conafor, 2003). For this reason, it is necessary to know the dimensions of the subtracted trees (normal diameter, height, volume, biomass, carbon, among others), which is difficult if there are no models for estimating the dasometric variables of the trees such as normal diameter (nd, cm), total height (Th, m) or volume (V, m3) from the stump diameter (sd, cm) (residual variable). Based on this information, the losses can be quantified, and an appropriate forest management strategy can thus be designed (García-Cuevas et al., 2017).
Within this context, the statistical modeling of the allometric relationships of trees is a useful resource for a correct estimation of their dimensions (Pompa-García et al., 2011; García-Cuevas et al., 2016). These tools are reliable and reduce both the time and resources used for obtaining forest inventory information (Picard et al., 2012).
In general, the dasometric variables have been statistically modeled by fitting regression techniques using the Ordinary Linear Squares (OLS) method (Hernández et al.,2016; García-Cuevas et al.,2017; Guerra-De la Cruz et al.,2019). However, these have some limitations when used with correlated data from the same locality, site or sampling unit, or from repeated measurements of a variable over time (Calama and Montero, 2004; Corral et al., 2019).
The application of Mixed Effects Models (MEM) is an alternative for statistical improvement, which allows the inclusion of covariates that reduce the error and the specific variability by classification level (Baty et al., 2015; Correa and Salazar, 2016; Corral et al., 2019). Therefore, and because there are no models in the region of Tlaxcala for estimating the mensuration variables in Juniperus deppeana trees, the objective of this study was to represent in a quantitative way the allometric relationships between the variables of forest interest—sd, nd, cd, Th, and V— for Juniperus deppeana trees, through the incorporation of mixed-effects modeling.
Materials and Methods
Study area
The study was carried out in two localities of Tlaxcala: Santa María Españita, in the Españita municipality, and San Pedro Ecatepec ejido, in the Atlangatepec municipality. The Santa María Españita forest zone is located in the western part of the state, between 19°30'00" and 19°28'40" N, and 98°26’25” and 98°25’20” W with an average altitude of 2 720 m; Atlangatepec is located in the north of the state, between 19°34'00" and 19°32'45" N, and 98°07'50" and 98°08'45" W, at an average altitude of 2 560 m.
The climate is type C(w2), with rainfall from July to September, averaging 700 to 1 215 mm; the mean annual temperature is 14.5 °C (García, 2004). The original vegetation is very fragmented and is mainly composed of mixed forests of J. deppeana, Pinus spp. and Quercus spp., in particular Q. obtusata Bonpl., Q. castanea Née and Q. frutex Trel. (INEGI, 2010). The floristic composition is varied, with a strong impact of natural and anthropogenic disturbances, evidenced by the fact that the native vegetation is disturbed or has been displaced by agriculture or livestock (Castañeda, 2015).
Data collection
Information was collected from 372 J. deppeana trees in the Españita area and from 724 trees in Atlangatepec (1 096 pairs of data), corresponding to 78 sampling 400 m2 sites (25 in Españita and 53 in Atlangatepec), randomly placed on a surface area of 1 000 ha. Each tree with a normal diameter larger than 7.5 cm (nd=1.3 m) was measured for stump diameter (sd, cm) and normal diameter (nd, cm) with a model 283D Forestry Suppliers, Inc.® brand diameter tape, and for crown diameter (cd, m) with a 30 m model 47322 ProTape® brand fiberglass tape. Th measurements were made with a model T3 Vertex III Haglöf® Vertex® digital hypsometer with ultrasonic transmitter. Subsequently, for each individual, the V was calculated with the equation: (R2=0.9342, RMSE=0.2442) (Graciano-Ávila et al., 2019). In addition to and independently of the aforementioned sample, 341 pairs of data were obtained with the same methodology to carry out the validation process of the models.
Data analysis
In a first analysis with 70 % of the total information, and in order to estimate the initial or seed parameters of each allometric relationship (dependent variable: nd and sd, and independent variable: cd, Th, and V), the different mathematical structures proposed in the specialized literature were adjusted (Table 1) (Quiñonez et al., 2012; Hernández et al., 2016; Guerra-De la Cruz et al., 2019). This was done with the linear models(lm) functions by means of the Ordinary Least-Squares (OLS) and nonlinear least-squares (NLLS) methods; RStudio® software version 2022.07.2 Build 576 was used for this purpose (R Core Team, 2022).
Table 1. Adjusted models to quantify the allometric relationship of the dasometric variables.
No. |
Model |
Expression |
Allometric relationship |
1 |
Linear |
|
nd-sd |
2 |
Potential |
|
cd-sd, cd-nd, Th-sd, Th-nd, V-sd, V-nd |
y = Dependent variable (sd = Stump diameter (cm) and nd = Normal diameter (cm)); x = Independent variable (cd = Crown diameter (m), Th = Total height (m), and V = Stem volume (m3)); a0 and a1 = Parameters.
Subsequently, in a second statistical approach, the structures of Table 1 were refitted with the nlme function by maximum likelihood using MEM in the same version of RStudio® (Pinheiro et al., 2022; R Core Team, 2022). For this purpose, the site effect () was included as an additive covariate (e.g.,
) in order to group (in the Españita or Atlangatepec site) and explain in greater detail the sample variability of the dimensions of the variables of forestry interest, and as a way of correcting the problems of heteroscedasticity that commonly occur in this type of research (Quiñonez-Barraza et al., 2018).
Mixed effects were incorporated individually for each parameter (e.g., ;
) and all its potential combinations (e.g.,
), where ai indicates the position of the random effects included in the models (Pinheiro and Bates, 2013; Gałecki and Burzykowski, 2013).
Fit assessment and analysis validation
Based on the contrast of the allometric relationship fits between OLS and NLLS versus the MEM approach, the quality of fit was verified by means of the Coefficient of determination (R²), the Root mean square of the error (RMSE), and the significance level of the estimated parameters (α<0.05). Likewise, the deviations of each estimation by best selected expression were quantified through the average error (Bias) (Corral et al., 2019; Guerra-De la Cruz et al., 2019). In addition, the assumptions of the regression model were checked to ensure that they were met: normality (graphical form), homogeneity of variance (homoscedasticity) (graphical form), and independence of the residuals. It was also verified that all parameters of the selected model were significantly different from zero (α<0.05) (Martínez et al., 2006; Zar, 2010).
In order to perform the validation, it was hypothesized that the estimates obtained with the models are equal to the data of the validation sample (Ho: null hypothesis), and, as an alternative hypothesis (Ha), it was suggested that the information differs between the two models. For this purpose, the Student's t-test was used at a 95 % reliability (α<0.05) to test hypotheses about means in normally distributed populations with information from 341 completely random and independent pairs of data not used for model fitting (Zar, 2010).
Results
Descriptive statistics indicated that stump diameter ranged from 9.0 cm to 96.3 cm, the normal diameter of 7.5 cm to 88.0 cm with an average of 22.0 cm, and crown diameter from 0.9 m to 15.9 m. For total height the variation recorded was from 1.9 m to 17.0 m, and for the stem volume, from 0.0131 m3 to 4.0296 m3 per tree (Table 2).
Table 2. Basic statistics of the mensuration variables used for the adjustment and validation of the allometric equations.
Variable/ Statistic |
sd |
nd |
cd |
Th |
V |
sd |
nd |
cd |
Th |
V |
Calibration data (70 %) |
Validation data (30 %) |
|||||||||
Account |
1 096 |
341 |
||||||||
Minimum |
9.0 |
7.5 |
0.9 |
1.9 |
0.0131 |
10.0 |
7.5 |
1.4 |
2.5 |
0.0192 |
Maximum |
96.3 |
88.0 |
15.9 |
17.0 |
4.0296 |
92.3 |
88.0 |
12.2 |
14.0 |
2.2278 |
Mean |
29.0 |
22.0 |
4.8 |
6.2 |
0.2304 |
28.9 |
22.0 |
4.9 |
6.2 |
0.2225 |
Standard error |
0.408 |
0.325 |
0.065 |
0.069 |
0.009 |
0.725 |
0.574 |
0.116 |
0.115 |
0.013 |
Standard deviation |
13.518 |
10.765 |
2.154 |
2.274 |
0.287 |
13.382 |
10.604 |
2.137 |
2.121 |
0.247 |
Variance |
182.725 |
115.887 |
4.641 |
5.173 |
0.082 |
179.080 |
112.440 |
4.567 |
4.498 |
0.061 |
sd = Stump diameter (cm); nd = Normal diameter (cm); cd = Crown diameter (m); Th = Total height (m); V = Stem volume (m3).
OLS fits for the linear model and NLLS fits for the allometric expression were significant for all parameters (α<0.05), and the global deviations in the estimates resulted in less than two units (RMSE value), with the exception of the nd-sd ratio, which registered a value of 5.4 cm. Therefore, the selected equations correctly predict the nd-sd and cd-nd relationships with an R2=0.7517 and 0.7741, respectively; on the other hand, for the prediction of volume with respect to the nd was the best ratio with an R2=0.9442 (Table 3). The models for predicting Th from sd and nd had the lowest R2 (<0.50) in both cases (Table 3), this is due to the great variability in heights (Variance 5.173, Table 2) exhibited by the trees in the field.
Table 2. Basic statistics of the mensuration variables used for the adjustment and validation of the allometric equations.
Variable/ Statistic |
sd |
nd |
cd |
Th |
V |
sd |
nd |
cd |
Th |
V |
Calibration data (70 %) |
Validation data (30 %) |
|||||||||
Account |
1 096 |
341 |
||||||||
Minimum |
9.0 |
7.5 |
0.9 |
1.9 |
0.0131 |
10.0 |
7.5 |
1.4 |
2.5 |
0.0192 |
Maximum |
96.3 |
88.0 |
15.9 |
17.0 |
4.0296 |
92.3 |
88.0 |
12.2 |
14.0 |
2.2278 |
Mean |
29.0 |
22.0 |
4.8 |
6.2 |
0.2304 |
28.9 |
22.0 |
4.9 |
6.2 |
0.2225 |
Standard error |
0.408 |
0.325 |
0.065 |
0.069 |
0.009 |
0.725 |
0.574 |
0.116 |
0.115 |
0.013 |
Standard deviation |
13.518 |
10.765 |
2.154 |
2.274 |
0.287 |
13.382 |
10.604 |
2.137 |
2.121 |
0.247 |
Variance |
182.725 |
115.887 |
4.641 |
5.173 |
0.082 |
179.080 |
112.440 |
4.567 |
4.498 |
0.061 |
sd = Stump diameter (cm); nd = Normal diameter (cm); cd = Crown diameter (m); Th = Total height (m); V = Stem volume (m3).
OLS fits for the linear model and NLLS fits for the allometric expression were significant for all parameters (α<0.05), and the global deviations in the estimates resulted in less than two units (RMSE value), with the exception of the nd-sd ratio, which registered a value of 5.4 cm. Therefore, the selected equations correctly predict the nd-sd and cd-nd relationships with an R2=0.7517 and 0.7741, respectively; on the other hand, for the prediction of volume with respect to the nd was the best ratio with an R2=0.9442 (Table 3). The models for predicting Th from sd and nd had the lowest R2 (<0.50) in both cases (Table 3), this is due to the great variability in heights (Variance 5.173, Table 2) exhibited by the trees in the field.
Table 3. Parameters and statistics of allometric models using the linear (OLS) and nonlinear (NLLS) ordinary least squares methods.
Relationship |
Model |
Parameter |
Estimation |
Standard error |
t value |
Pr>|t| |
R2 |
RMSE |
nd-sd |
1 |
|
1.8430 |
0.4654 |
3.96 |
<0.0001 |
0.7517 |
5.4003 |
|
0.6920 |
0.0145 |
47.74 |
<0.0001 |
||||
Th-sd |
2 |
|
1.1085 |
0.0901 |
12.30 |
<0.0001 |
0.4010 |
1.8111 |
|
0.5197 |
0.0232 |
22.43 |
<0.0001 |
||||
cd-sd |
1 |
|
0.4130 |
0.0333 |
12.41 |
<0.0001 |
0.5948 |
1.3761 |
|
0.7363 |
0.0224 |
32.81 |
<0.0001 |
||||
V-sd |
2 |
|
0.0001 |
0.0000 |
4.69 |
<0.0001 |
0.6729 |
0.1735 |
|
2.2400 |
0.0527 |
42.53 |
<0.0001 |
||||
Th-nd |
2 |
|
1.2010 |
0.0804 |
14.93 |
<0.0001 |
0.4746 |
1.6961 |
|
0.5416 |
0.0206 |
26.30 |
<0.0001 |
||||
cd-nd |
1 |
|
0.4151 |
0.0218 |
19.08 |
<0.0001 |
0.7741 |
1.0274 |
|
0.8008 |
0.0156 |
51.35 |
<0.0001 |
||||
V-nd |
2 |
|
0.0002 |
0.0000 |
16.18 |
<0.0001 |
0.9442 |
0.0717 |
|
2.1540 |
0.0158 |
136.48 |
<0.0001 |
nd = Normal diameter (cm); sd = Stump diameter (cm); Th = Total height (m); cd = Crown diameter (m); V = Stem volume (m3); R2= Coefficient of determination; RMSE = Root mean square error.
When applying the MEM technique, better statistical fit values were observed for all relationships, since the random effect of site was included in an additive way, as a variable that groups individuals in one of the two locations (Españita, Atlangatepec), which ranged from 1.3 % in explaining the sample variability of V as a function of nd, to 42.3 % in the Th-sd relationship. Furthermore, the RMSE value decreased by 54.4 % for nd-sd, and by 7.4 % when V was estimated as a function of the stump dimensions (Table 4). The intervals of the estimated parameters, fixed and random effects fit value, and the variance-covariance matrix (vcov) of each allometric relationship are shown in Table 5.
Table 4. Parameters and statistics of allometric models using the mixed effects modeling (MEM) approach.
Relationship |
Parameter |
Estimation |
Standard error |
t value |
R2 |
RMSE |
Bias |
>%-R2 |
>%-RMSE |
nd-sd |
|
2.5413 |
0.604 |
4.21 |
0.8187 |
2.4624 |
<0.01 |
8.9 |
54.4 |
|
0.6778 |
0.016 |
43.52 |
||||||
Th-sd |
|
1.2512 |
0.099 |
12.58 |
0.5706 |
1.5343 |
0.02 |
42.3 |
15.3 |
|
0.4819 |
0.024 |
19.79 |
||||||
cd-sd |
|
0.4490 |
0.036 |
12.47 |
0.7062 |
1.1727 |
0.01 |
18.7 |
14.8 |
|
0.7124 |
0.024 |
29.44 |
||||||
V-sd |
|
0.0002 |
0.000 |
8.76 |
0.7199 |
0.1606 |
<0.01 |
7.0 |
7.4 |
|
1.9788 |
0.036 |
55.23 |
||||||
Th-nd |
|
1.3382 |
0.088 |
15.13 |
0.6281 |
1.4280 |
0.01 |
32.3 |
15.8 |
|
0.5039 |
0.022 |
22.79 |
||||||
cd-nd |
|
0.4513 |
0.026 |
17.46 |
0.8195 |
0.9192 |
<0.01 |
5.9 |
10.5 |
|
0.7733 |
0.018 |
42.75 |
||||||
V-nd |
|
0.0003 |
0.000 |
17.28 |
0.9563 |
0.0634 |
0.00 |
1.3 |
11.5 |
|
2.1005 |
0.018 |
119.01 |
sd = Stump diameter (cm); nd = Normal diameter (cm); cd = Crown diameter (m); Th = Total height (m); V = Stem volume (m3); R2= Coefficient of determination; RMSE = Root mean square error; >%-R2= Percentage improvement of the fit in the value of the Coefficient of determination; >%-RMSE = Percentage improvement of the fit to the root mean square error value.
Table 5. Intervals of the estimated parameters, fixed and random effects fit value, and variance-covariance matrix (vcov) of each allometric relationship.
Relationship |
Parameter |
Lower limit |
Estimated value |
Upper limit |
vcov matrix |
|
|
|
|||||
nd-sd |
|
1.3573 |
2.5413 |
3.7252 |
0.3636 |
-0.0076 |
|
0.6473 |
0.6778 |
0.7083 |
-0.0076 |
0.0002 |
|
SD( |
1.4622 |
2.1008 |
3.0182 |
Residual: |
5.0955 |
|
G-SE |
4.8309 |
5.0955 |
5.3745 |
|||
Th-sd |
|
1.0562 |
1.2512 |
1.4461 |
0.0099 |
-0.0023 |
|
0.4342 |
0.4819 |
0.5297 |
-0.0023 |
0.0006 |
|
SD( |
0.0345 |
0.0439 |
0.0560 |
Residual: |
0.3151 |
|
G-SE |
0.2224 |
0.3151 |
0.4466 |
|||
Vvf(p) |
0.6760 |
0.8691 |
1.0623 |
|||
cd-sd |
|
0.3784 |
0.4490 |
0.5196 |
0.0013 |
-0.0008 |
|
0.6650 |
0.7124 |
0.7599 |
-0.0008 |
0.0006 |
|
SD( |
0.0324 |
0.0411 |
0.0523 |
Residual: |
0.3813 |
|
G-SE |
0.3032 |
0.3813 |
0.4795 |
|||
Vvf(p) |
0.5734 |
0.7222 |
0.8710 |
|||
V-sd |
|
0.0002 |
0.0002 |
0.0003 |
7.55E-10 |
-9.49E-07 |
|
1.9086 |
1.9788 |
2.0491 |
-9.49E-07 |
1.28E-03 |
|
SD( |
0.0448 |
0.0582 |
0.0756 |
Residual: |
0.4722 |
|
G-SE |
0.4199 |
0.4722 |
0.5309 |
|||
Vvf(p) |
1.0685 |
1.1238 |
1.1791 |
|||
Th-nd |
|
1.1648 |
1.3382 |
1.5117 |
0.0078 |
-0.0019 |
|
0.4606 |
0.5039 |
0.5473 |
-0.0019 |
0.0005 |
|
SD( |
0.0343 |
0.0437 |
0.0558 |
Residual: |
0.3678 |
|
G-SE |
0.2628 |
0.3678 |
0.5149 |
|||
Vvf(p) |
0.5630 |
0.7497 |
0.9365 |
|||
cd-nd |
|
0.4006 |
0.4513 |
0.5020 |
0.0007 |
-0.0005 |
|
0.7378 |
0.7733 |
0.8087 |
-0.0005 |
0.0003 |
|
SD( |
0.0206 |
0.0273 |
0.0362 |
Residual: |
0.5715 |
|
G-SE |
0.4638 |
0.5715 |
0.7043 |
|||
Vvf(p) |
0.1900 |
0.3248 |
0.4595 |
|||
V-nd |
|
0.0002 |
0.0003 |
0.0003 |
2.55E-10 |
-2.68E-07 |
|
2.0659 |
2.1005 |
2.1351 |
-2.68E-07 |
3.11E-04 |
|
SD( |
2.34E-05 |
3.11E-05 |
4.13E-05 |
Residual: |
0.1707 |
|
G-SE |
0.1517 |
0.1707 |
0.1921 |
|||
Vvf(p) |
0.8573 |
0.9108 |
0.9643 |
|||
sd = Stump diameter (cm); nd = Normal diameter (cm); cd = Crown diameter (m); Th = Total height (m); V = Stem volume (m3); SD = Standard deviation of the effect parameter; G-SE = Within-group standard error; Vvf(p) = Value of the variance function of power type.
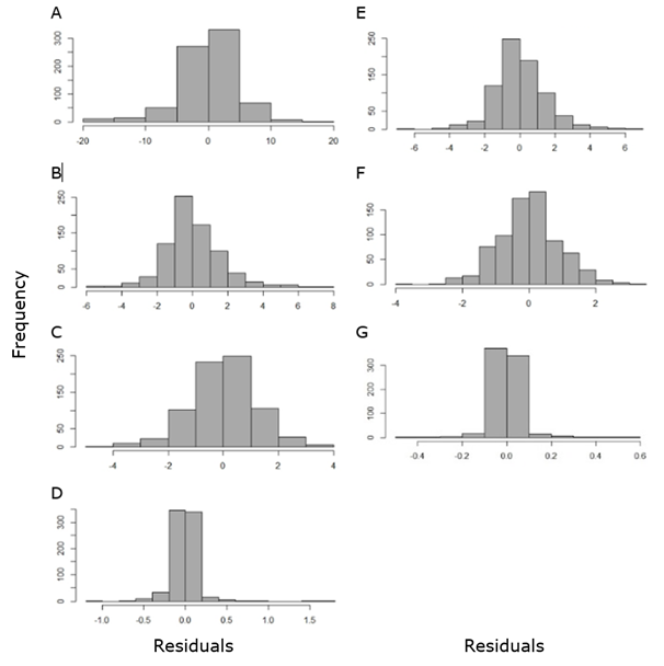
No issues of non-compliance with the regression assumptions were observed for the fit in any of the proposed allometric relationships when the MEM was used, because the frequency distribution of the residuals is Gaussian (bell-shaped) for all variables (Figure 1), and the dispersion of the residuals showed a random trend (Figure 2).
A = nd-sd; B = Th-sd; C = cd-sd; D = V-sd; E = Th-nd; F = cd-nd; G = V-nd.
sd = Stump diameter (cm); nd = Normal diameter (cm); cd = Crown diameter (m); Th = Total height (m); V = Stem volume (m3).
Figure 1. Graphical normality test for the proposed models in each allometric relationship.
A = nd-sd; B = Th-sd; C = cd-sd; D = V-sd; E = Th-nd; F = cd-nd; G = V-nd.
sd = Stump diameter (cm); nd = Normal diameter (cm); cd = Crown diameter (m); Th = Total height (m); V = Stem volume (m3).
Figure 2. Graphical homoscedasticity test for the proposed models in each allometric relationship.
The validation of the estimates made with the MEM-adjusted models for the various allometric relationships showed no significant differences (p<0.05) in any case. Therefore, Ho for equality of means is accepted, while Ha is rejected (Table 6).
Table 6. Validation test between the estimates of each allometric relationship and observed data of the independent sample.
Validation |
Independent variable |
t value |
p value |
nd |
Stump diameter (sd, cm) |
-0.2332 |
0.816 |
cd |
0.1356 |
0.981 |
|
Th |
-0.0476 |
0.962 |
|
V |
-0.1996 |
0.842 |
|
cd |
Normal diameter (nd, cm) |
0.0475 |
0.962 |
Th |
-0.0835 |
0.934 |
|
V |
-0.4201 |
0.675 |
cd = Crown diameter (m); Th = Total height (m); V = Stem volume (m3).
In order to exemplify the application of the models, a clandestine logging area of one hectare with a density of 190 individuals was assumed, with J. deppeana trees whose sd averages 29 cm. Therefore, when applying model 1 (: linear) to the nd-sd relationship, we have:
.
Subsequently, the cd-nd, Th-nd, and V-nd ratios were calculated with the structure of model 2 (: potential):
;
and
.
This procedure allows us to determine the dasometric characteristics of the trees within the affected stand. By multiplying the V by the density, it is possible to quantify the surface area subjected to clandestine felling, whose value would be 38.3609 m3. The same procedure can be performed by considering the sd.
Discussion
In general, the traditional approach provided acceptable results for the different allometric relationships, as in other related works (Quiñonez et al., 2012; Hernández et al., 2016; Guerra-De la Cruz et al.,2019). However, the inclusion of the site within the MEM approach improved the average explanation of sampling variability by 16.63 % and reduced model deviations by 18.53 %. This situation is attributed to the fact that the variability of the analyzed information is grouped by site (Castedo et al., 2006; Corral et al., 2019).
The proposed volume model(R2=0.9563) does not explain the sample variability as well as the model utilized by Buendía-Rodríguez et al. (2022) (R2=0.971), which is also potential; however, these authors only adjusted a homogeneous population of J. deppeana. The resulting gain was improved with the implementation of the MEM for the V-sd (7 %) and V-nd (1.3 %) ratios, with which higher increases were achieved than those quoted by Guangyi et al. (2015) of 1.3-2 %, when estimating the volume of Cunninghamia lanceolata (Lamb.) Hook trees.
The nd-sd, cd-sd and cd-nd models had conservative gains of 8.9, 18.7 and 5.9 %, respectively, with R2 values of 0.8187 (nd-sd), 0.7062 (cd-sd), and 0.8195 (cd-nd), which are lower than those recorded by Pompa-García et al. (2011) in Pinus durangensis Martínez (R2=0.96) for nd-sd.
In a similar way, the models fitted by MEM (Th-sd, Th-nd) exhibited a better fit (0.5706 and 0.6281) than those documented by Buendía-Rodríguez et al. (2022), who used a traditional OLS fit (R2=0.427).
Guerra-De la Cruz et al. (2023) report that the incorporation of MEM in order to fit Th-nd models, as well as of the covariate sub-watershed as a grouping factor in Abies religiosa (Kunth) Schltdl. & Cham., results in gains of 12.19 % (R2), while, in this study, 32.3 % gain was achieved, and a better result was obtained with the grouping factor (site) for J. deppeana forests. In this regard, Salas-Eljatib et al. (2019) indicate that, by incorporating the effect of the covariate with the MEM approach, the variance is reduced and rendered homogeneous.
Juniperus deppeana requires forest management based on the use of models according to the mensuration characteristics of each region, since it is a species with great interspecific variation (Flores et al., 2018), which in turn helps maintain biodiversity, as other taxa are associated with it (Maxted, 2013), such as Quercus potosina Trel. and Pinus cembroides Zucc. (Díaz-Núñez et al., 2016). Therefore, it is a conifer with high ecological and scientific potential.
Conclusions
Allometric models fitted using the mixed-effects approach satisfactorily explain the behavior of the analyzed mensuration variables
R2=0.8187
R2=0.8195
R2=0.6281
R2=0.9563
In addition, modeling using the MEM technique improves the fit with respect to the traditional linear Ordinary Least Squares (OLS) and nonlinear ordinary least squares (NLLS) techniques.
The results prove to be reliable for reconstructing the dasometric characteristics of trees within stands affected by illegal logging activities and for accurately quantifying the actual stocking of J. deppeana forests; therefore, they are a reliable alternative for the preparation of forest management plans in Tlaxcala and neighboring states.
Acknowledgements
To INIFAP for financing this research through the fiscal project: “Estimación de variables dasométricas, biomasa y carbono aéreo almacenado en bosques de clima templado mediante datos LiDAR” (“Estimation of dasometric variables, biomass and aerial carbon stored in temperate forests using LiDAR data”), SIGI number: 13222634815.
Conflict of interest
Enrique Buendía Rodríguez declares not to have participated in the editorial process of the manuscript.
Contribution by author
Eulogio Flores Ayala: planning and development of the research, data collection; Tomás Pineda Ojeda: data collection and drafting of the manuscript; Jonathan Hernández Ramos: statistical analysis, drafting and revision of the manuscript; Enrique Buendía Rodríguez: statistical analysis, drafting, and revision of the manuscript; Andrés Flores García: drafting and editing of the manuscript; Vidal Guerra de la Cruz: data collection, drafting and editing of the manuscript.
References
Baty, F., C. Ritz, S. Charles, M. Brutsche, J.-P. Flandrois and M.-L. Delignette-Muller. 2015. A Toolbox for Nonlinear Regression in R: The Package nlstools. Journal of Statistical Software 66(5):1-21. Doi: 10.18637/jss.v066.i05.
Buendía-Rodríguez, E., J. Hernández-Ramos, E. Flores A., T. Pineda O., F. Carrillo A. y M. Acosta-Mireles. 2022. Modelo para estimar altura y volumen en Juniperus deppeana Steud. a partir diámetro normal. Revista Tecnológica CEA 3(18):1068-1076. https://revistatecnologicacea.mx/revista18-2/. (10 de enero de 2023).
Calama, R. and G. Montero. 2004. Interregional nonlinear height–diameter model with random coefficients for stone pine in Spain. Canadian Journal of Forest Research 34(1):150-163. Doi: 10.1139/x03-199.
Castañeda D., S. 2015. Sucesión ecológica en fragmentos forestales con vegetación secundaria en Españita, Tlaxcala. Tesis Doctorado en Ciencias. Postgrado en Ciencias Forestales, Colegio de Postgraduados Campus Montecillo. Texcoco, Edo. Méx., México. 85 p. http://colposdigital.colpos.mx:8080/xmlui/bitstream/handle/10521/2635/Castaneda_Diaz_S_DC_Forestal_2015.pdf. (25 de enero de 2023).
Castedo D., F., U. Diéguez-Aranda, M. Barrio A., M. Sánchez R. and K. von Gadow. 2006. A generalized height-diameter model including random components for radiata pine plantations in northwestern Spain. Forest Ecology and Management 229(1-3):202-213. Doi: 10.1016/j.foreco.2006.04.028.
Comisión Nacional Forestal (Conafor). 2003. Programa estratégico forestal para el estado de Tlaxcala 2025. Conafor. Zapopan, Jal., México. 91 p. http://www.conafor.gob.mx:8080/documentos/docs/12/192Programa%20Estrat%c3%a9gico%20Forestal%20del%20Estado%20de%20Tlaxcala.pdf. (25 de abril de 2023).
Corral R., S., A. M. Silva A. y G. Quiñonez B. 2019. Modelo generalizado no-lineal altura-diámetro con efectos mixtos para siete especies de Pinus en Durango, México. Revista Mexicana de Ciencias Forestales 10(53):86-117. Doi: 10.29298/rmcf.v10i53.500.
Correa M., J. C. y J. C. Salazar U. 2016. Introducción a los modelos mixtos. Universidad Nacional de Colombia. Medellín, ANT, Colombia. 257 p. https://medellin.unal.edu.co/todos-los-libros/images/gratuitos/pdf/Introduccion-a-los-modelos-Mixtos_Mayo_2017.pdf. (23 de diciembre de 2022).
Díaz-Núñez, V., J. Sosa-Ramírez and D. R. Pérez-Salicrup. 2016. Vegetation patch dynamics and tree diversity in a diverse conifer and oak forest in central Mexico. Botanical Sciences 94(2):229-240. Doi: 10.17129/botsci.284.
Farjon, A. 2005. A monograph of Cupressaceae and Sciadopitys. Royal Botanical Gardens, Kew. Richmond, LDN, United Kingdom. 643 p.
Flores M., F., D. J. Vega-Nieva, J. J. Corral-Rivas, J. G. Álvarez-González, … y A. Carillo P. 2018. Desarrollo de ecuaciones alométricas de biomasa para la regeneración de cuatro especies en Durango, México. Revista Mexicana de Ciencias Forestales 9(46):157-182. Doi: 10.29298/rmcf.v9i46.119.
Gałecki, A. and T. Burzykowski. 2013. Linear mixed-effects models using R. A step-by-step approach. Springer. New York, NY, United States of America. 542 p. https://wiki.usask.ca/download/attachments/1256423465/linear%20mixed%20effects%20models%20using%20R.pdf?api=v2. (25 de noviembre de 2022).
García, E. 2004. Modificaciones al sistema de clasificación climática de Köppen. Instituto de Geografía de la Universidad Nacional Autónoma de México. Coyoacán, México D. F., México. 90 p. http://www.publicaciones.igg.unam.mx/index.php/ig/catalog/view/83/82/251-1. (10 de diciembre de 2022).
García-Cuevas, X., J. Hernández-Ramos, J. J. García-Magaña, A. Hernández-Ramos, … y E. J. Garfias-Mota. 2017. Predicción de diámetro normal, altura y volumen de Abies religiosa a partir del diámetro del tocón. Madera y Bosques 23(3):61-70. Doi: 10.21829/myb.2017.2331528.
García-Cuevas, X., V. Herrera-Ávila, J. Hernández-Ramos, J. de J. García-Magaña y A. Hernández R. 2016. Ecuaciones para predecir el diámetro normal en función del diámetro del tocón para Abies religiosa (Kunth) Schltdl. et Cham. Revista Mexicana de Ciencias Forestales 7(37):95-103. Doi: 10.29298/rmcf.v7i37.54.
Graciano-Ávila, G., E. Alanís-Rodríguez, O. A. Aguirre-Calderón, M. A. González-Tagle, … y E. Buendía-Rodríguez. 2019. Estimación de volumen, biomasa y contenido de carbono en un bosque de clima templado-frío de Durango, México. Fitotecnia Mexicana 42(2):119-127. https://www.scielo.org.mx/pdf/rfm/v42n2/0187-7380-rfm-42-02-119.pdf. (15 de enero de 2023).
Guangyi, M., S. Yujun, X. Hao and S. de-Miguel. 2015. A mixed-effects model with different strategies for modeling volume in Cunninghamia lanceolata plantations. PLoS ONE 10(10):e0140095. Doi: 10.1371/journal.pone.0140095.
Guerra-De la Cruz, V., F. Islas-Gutiérrez, E. Flores-Ayala, M. Acosta-Mireles, … y T. Pineda-Ojeda. 2019. Modelos locales altura-diámetro para Pinus montezumae Lamb. y Pinus teocote Schiede ex Schltdl. en Nanacamilpa, Tlaxcala. Revista Mexicana de Ciencias Forestales 10(51):133-156. Doi: 10.29298/rmcf.v10i51.407.
Guerra-De la Cruz, V., J. Hernández-Ramos, E. Buendía-Rodríguez, J. C. Tamarit-Urías and F. Islas-Gutiérrez. 2023. A local height-diameter model with mixed effects for Abies religiosa in Tlaxcala, Mexico. Revista Bosque 44(1):137-147. Doi: 10.4067/s0717-92002023000100137.
Hernández R., J., X. García C., J. J. García M., H. J. Muñoz F., J. C. Velarde R. y E. H. Olvera D. 2016. Factores de proporción y ecuaciones de diámetro normal a partir del tocón para Pinus greggii Engelm. Revista Mexicana de Ciencias Forestales 7(35):7-18. Doi: 10.29298/rmcf.v7i35.71.
Herrerías M., L. G. y M. C. del C. Nieto de Pascual P. 2020. Características estructurales y demográficas de Juniperus deppeana Steud. en dos localidades del estado de Tlaxcala. Revista Mexicana de Ciencias Forestales 11(61):124-151. Doi: 10.29298/rmcf.v11i61.618.
Instituto Nacional de Estadística y Geografía (INEGI). 2010. Compendio de información geográfica municipal 2010 Atlangatepec, Tlaxcala. INEGI. Aguascalientes, Ags., México. 10 p. https://www.inegi.org.mx/contenidos/app/mexicocifras/datos_geograficos/29/29003.pdf. (10 de enero 2023).
Islas G., J., O. S. Magaña-Torres y E. Buendía R. 2008. Entorno físico, político-administrativo, social y económico de la actividad forestal. In: Guerra de la C., V. y C. Mallén R. (Comps.). Tlaxcala sus recursos forestales: conservación, aprovechamiento y bases para su manejo sustentable. INIFAP-Centro Nacional de Investigación Disciplinaria en Conservación y Mejoramiento de Ecosistemas Forestales. Coyoacán, México D. F., México. pp. 1-28.
Martínez G., M. Á., A. Sánchez V. y J. Faulin F. 2006. Bioestadística amigable. Díaz de Santos. Madrid, MD, España. 936 p.
Maxted, N. 2013. In Situ, Ex Situ conservation. In: Levin, S. A. (Edit.). Encyclopedia of Biodiversity. Elsevier Inc. Cambridge, MA, United States of America. pp. 313-323.
Picard, N., L. Saint-André y M. Henry. 2012. Manual de construcción de ecuaciones alométricas para estimar el volumen y la biomasa de los árboles: del trabajo de campo a la predicción. Naciones Unidas para la Alimentación y la Agricultura (FAO) y Centre de Coopération Internationale en Recherche Agronomique pour le Développement (CIRAD). Roma, RM, Italia. 223 p. http://www.globallometree.org/media/cms_page_media/6/tarifs_sp_web_19jun.pdf. (6 de febrero de 2023).
Pinheiro, J. C. and D. M. Bates. 2013. Mixed-effects models in S and S-PLUS. Springer. New York, NY, United States of America. 528 p.
Pinheiro, J., D. Bates, S. DebRoy, D. Sarka, … and J. Ranke. 2022. Linear and Nonlinear Mixed Effects Models. R Foundation for Statistical Computing. Vienna, W, Austria. 339 p. https://cran.r-project.org/web/packages/nlme/nlme.pdf. (25 de noviembre de 2022).
Pompa-García, M., H. M. de los Santos-Posadas, M. E. Zepeda-Bautista y J. J. Corral-Rivas. 2011. Un modelo dendrométrico para estimación del diámetro normal a partir de las dimensiones del tocón. Agrociencias 45(3):379-387. http://www.redalyc.org/articulo.oa?id=30219764010. (6 de enero de 2023).
Quiñonez B., G., F. Cruz C., B. Vargas L. y F. J. Hernández. 2012. Estimación del diámetro, altura y volumen a partir del tocón para especies forestales de Durango. Revista Mexicana de Ciencias Forestales 3(9):23-39. Doi: 10.29298/rmcf.v3i9.535.
Quiñonez-Barraza, G., G. G. García-Espinoza y O. A. Aguirre-Calderón. 2018. ¿Cómo corregir la heterocedasticidad y autocorrelación de residuales en modelos de ahusamiento y crecimiento en altura? Revista Mexicana de Ciencias Forestales 9(49):28-59. Doi: 10.29298/rmcf.v9i49.151.
R Core Team. 2022. R: A language and environmental for statistical computing (version 2022.07.2 Build 576). Vienna, Austria. R Foundation for Statistical Computing. http:www.R-project.org/. (10 de agosto de 2022).
Salas-Eljatib, C., P. Corvalán, N. Pino, P. J. Donoso y D. P. Soto. 2019. Modelos de efectos mixtos de altura-diámetro para Drimys winteri en el sur (41-43° S) de Chile. Bosque 40(1):71-80. Doi: 10.4067/S0717-92002019000100071.
Zar, J. H. 2010. Biostatistical analysis. Pearson. Upper Saddle River, NJ, United States of America. 960 p.
Todos los textos publicados por la Revista Mexicana de Ciencias Forestales –sin excepción– se distribuyen amparados bajo la licencia Creative Commons 4.0 Atribución-No Comercial (CC BY-NC 4.0 Internacional), que permite a terceros utilizar lo publicado siempre que mencionen la autoría del trabajo y a la primera publicación en esta revista.