Revista Mexicana de Ciencias Forestales Vol. 14 (79)

Septiembre - Octubre (2023)

Logotipo, nombre de la empresa

Descripción generada automáticamente

DOI: https://doi.org/10.29298/rmcf.v14i79.1352

Nota de Investigación

Diversidad y análisis germinativo de especies arbóreas y arbustivas de interés ecológico en un área incendiada

Diversity and germination analysis of tree and shrub species of ecological interest in a burned area

 

Homero Gárate-Escamilla1, Aldo Tovar-Cárdenas1, Enrique Jurado-Ybarra1, Mauricio Cotera-Correa1, Eduardo Alanís-Rodríguez1*, Maritza Gutiérrez-Gutiérrez1

 

Fecha de recepción/Reception date: 8 de marzo de 2023.

Fecha de aceptación/Acceptance date: 22 de julio de 2023.

_______________________________

1Universidad Autónoma de Nuevo León, Facultad de Ciencias Forestales. México.

 

*Autor de correspondencia: eduardoforestal@gmail.com

*Corresponding author; e-mail: eduardoforestal@gmail.com

 

Resumen

La vegetación de un ecosistema puede ser degradada por los incendios forestales; estos se originan por acciones humanas o de manera natural y por lo general reducen la diversidad y composición de especies, así como su regeneración natural. El presente trabajo se desarrolló en un bosque templado degradado por incendios forestales en el Área Natural Protegida El Tejocote, municipio Santiago, Nuevo León. Los objetivos fueron calcular el Índice de Valor de Importancia, analizar la diversidad de especies y determinar el porcentaje de germinación. El muestreo se realizó en 10 parcelas al azar de 1 000 m2. El Índice de Valor de Importancia (IVI), índices de diversidad (Margalef, Shannon-Weiner y Simpson) y los porcentajes de germinación se determinaron para cada especie. Pinus teocote tuvo el mayor IVI (45.5 %), también fue la más dominante al cubrir 69 % de la superficie muestreada. Quercus laeta tuvo 25 % de IVI y fue la más abundante de todas las especies (39 %). Agave scabra y Arbutus xalapensis tuvieron IVI de 7.9 % y 6.9 %, respectivamente; ambas se clasificaron como arbustivas. Se obtuvo una baja diversidad en todos los sitios muestreados, y los valores promedio fueron: Margalef (0.74), Shannon-Weiner (0.46) y Simpson (0.77). Los porcentajes de germinación más altos los presentaron Pinus pseudostrobus (97.40 %) y Agave scabra (84 %). La diferencia en la capacidad germinativa de los taxones podría cambiar la diversidad y composición de las especies de la comunidad El Tejocote después de su degradación por incendio.

Palabras clave: Área Natural Protegida, bosque templado, degradación, germinación, incendio, Índice de Valor de Importancia.

Abstract

The vegetation of an ecosystem can be degraded by forest fires; which are caused by human or natural actions and generally reduce the diversity and composition of species, as well as their natural regeneration. This work was carried out in a temperate forest degraded by forest fires in the El Tejocote Natural Protected Area, Santiago municipality, Nuevo León State. The objectives were to calculate the Importance Value Index, analyze species diversity and determine the percentage of germination. Sampling was carried out in 10 random plots of 1 000 m2. The Importance Value Index (IVI), diversity indexes (Margalef, Shannon-Weiner and Simpson) and the germination percentages were determined for each species. Pinus teocote had the highest IVI (45.5 %), it was also the most dominant, covering 69 % of the sampled area. Quercus laeta had 25 % IVI and was the most abundant of all species (39 %). Agave scabra and Arbutus xalapensis had IVIs of 7.9 % and 6.9 %, respectively; both were classified as shrubs. A low diversity was obtained in all the sites sampled; the average values were: Margalef (0.74), Shannon-Weiner (0.46), and Simpson (0.77). The highest germination percentages were presented by Pinus pseudostrobus (97.40 %) and Agave scabra (84 %). The difference in the germination capacity of taxa could change the diversity and species composition of the El Tejocote community after its degradation by fire.

Key words: Natural Protected Area, temperate forest, degradation, germination, forest fire, Importance Value Index.

 

 

 

Desarrollo del tema

 

 

Los bosques templados proveen una variedad de servicios ecosistémicos, además de poseer alta biodiversidad (Prieto-Amparán et al., 2019). La degradación de los bosques afecta negativamente sus características funcionales y estructurales (Vásquez-Grandón et al., 2018), se refiere a procesos que cambian a largo plazo y de manera drástica a los ecosistemas (Thompson et al., 2013), y por lo general se asocian a una reducción de la biomasa, cambios en la estructura y composición de especies, así como en su regeneración natural (Chazdon et al., 2008).

Los incendios forestales se consideran uno de los principales factores naturales o antrópicos causantes de la degradación de los bosques templados (Pausas y Keeley, 2009). En México, el régimen de incendios se caracteriza por su intensidad moderada que ocurre en intervalos de dos a diez años (Santini et al., 2019). Algunas especies propias de los bosques templados (BT) pueden beneficiarse de los incendios bajos o moderados debido a que, al limpiarse el terreno, se estimula la liberación de semillas y se promueve la regeneración natural, sin embargo, cuando los incendios son severos, la viabilidad de las semillas decae (Rodríguez-Trejo y Fulé, 2003).

Múltiples áreas del Parque Nacional Cumbres de Monterrey (PNCM) se han degradado debido a los incendios forestales que han ocurrido a lo largo del tiempo (Cantú et al., 2013). Se desconoce el nivel de diversidad de especies y la capacidad germinativa de la comunidad El Tejocote en la Laguna de Sánchez, localizada en la zona central del PNCM, después de un incendio. Por lo anterior, se plantearon los siguientes objetivos: (1) Describir la importancia ecológica y la diversidad de las especies arbóreas y arbustivas en un área incendiada, y (2) Determinar el porcentaje de germinación de las especies arbóreas y arbustivas sobrevivientes después de un incendio.

El sitio incendiado tiene una extensión de 10 ha, y las coordenadas geográficas del centro del área son 25°19'54" N y 100°15'09" O, a una altitud media de 1 905 msnm. La precipitación promedio es de 640 mm y la temperatura media de 13 ºC (Cantú et al., 2013).

Se muestreó 10 % del área de estudio un año después de ocurrido el incendio. Se establecieron 10 unidades de muestreo (UM) circulares de 1 000 m2, localizadas aleatoriamente a una distancia mínima entre sitios de 20 m (Silva-García et al., 2021). Dentro de cada UM se censaron e identificaron todas las especies arbustivas y arbóreas; a cada una se le midió la altura total, diámetro de copa y diámetro basal a los 10 cm. Los diámetros de copa se midieron con longímetro Truper® modelo TP20ME, el área basal con cinta diamétrica Forestry Suppliers® modelo 283d y la altura total con telémetro láser Nikon®modelo B084G8TRG9.

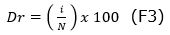
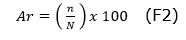
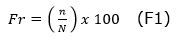
Para conocer el valor ecológico relativo de las especies, se calcularon la frecuencia relativa (Fr; Ecuación 1), abundancia relativa (Ar; Ecuación 2), dominancia relativa (Dr; Ecuación 3) e Índice de Valor de Importancia (IVI; Ecuación 4). El valor del IVI se dividió entre tres para estandarizar un intervalo de 0 al 100, ya que el valor máximo es de 300 al sumar Fr, Ar y Dr(Manzanilla et al., 2020). Las ecuaciones para calcularlas fueron las siguientes:

 

     

 

Donde:

Fr = Frecuencia relativa de la especie

n = Número de la UM en donde la especie está presente

N = Número total de UM

 

     

 

Donde:

Ar = Abundancia relativa por especie

n = Número de individuos de la especie

N = Número general de todas las especies

 

     

 

Donde:

Dr = Dominancia relativa de la especie

i = Área de copa de la especie

N = Área de copa general de todas las especies

 

    

 

Donde:

IVI = Índice de Valor de Importancia

ARi = Abundancia relativa por especie

DRi = Dominancia relativa de la especie

FRi = Frecuencia relativa de la especie

 

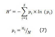
Los índices que se utilizaron para medir la diversidad de especies fueron: (1) Margalef (DMg; Ecuación 5), los valores superiores a 5 indican alta diversidad y los valores inferiores a 2 sugieren poca diversidad (Margalef, 1972), (2) Complemento de Simpson (ʎ; Ecuación 6), el intervalo de valores fluctúa entre 0 y 1, la alta diversidad está asociada a valores cercanos a 1, y un valor cercano a 0 indica un sitio con poca diversidad (Soler et al., 2012; Salmerón et al., 2017), y (3) Shannon-Weiner (H’; Ecuación 7), los valores oscilan entre 0.5 y 5, valores superiores a 3 aluden alta diversidad, mientras que inferiores a 2 denotan lo contrario (Somarriba, 1999). Las ecuaciones para calcular los índices de diversidad fueron las siguientes (Moreno, 2001):

 

     

 

Donde:

DMg = Índice de diversidad de Margalef

S = Número de especies presentes

ln = Logaritmo natural

N = Número total de individuos

 

     

 

Donde:

ʎ = Índice de Simpson

pi = Abundancia conforme a la especie i

 

    

 

Donde:

H= Índice de Shannon-Wiener

Pi = Abundancia proporcional de la especie

S = Número total de las especies

ln = Logaritmo natural

ni = Número de individuos de la especie i

N = Número total de individuos

 

Se efectuó un análisis de porcentaje de semillas germinadas; el experimento consistió en lo siguiente: (1) Colectar semillas de los individuos vivos después del incendio, (2) Identificar las semillas que no tuvieran daño aparente, (3) Realizar pruebas de flotabilidad para detectar las semillas vanas, (4) Aplicar un proceso pregerminativo según el tipo de semilla: (i) Pinus L. y Quercus L. se sumergieron en agua durante 24 horas, (ii) Juniperus L. se colocaron en ácido sulfúrico al 100 % durante 15 minutos, y (iii) Agave L., Arbutus L. y Rhus L. sin tratamiento (Antonio et al., 2020), y (5) Sembrar 144 semillas de cada una de las siete especies que se identificaron en un contenedor de plástico semirrígido marca GLL® modelo ch288de 288 cavidades.

Se utilizó un diseño completamente al azar distribuido en cuatro repeticiones (36 semillas por repetición), donde la variable de respuesta fue la germinación. Se consideraron siete tratamientos que correspondieron a cada una de las especies arbóreas y arbustivas. Para los datos de germinación, se hizo una prueba de normalidad de Shapiro-Wilk(González-Estrada y Cosmes, 2019) y se detectó que no existía normalidad (p≤0.00097). Por ello, se ejecutó una prueba de Kruskal-Wallis para determinar la presencia de diferencias entre los tratamientos(McKight y Najab, 2010). La comparación de las medias de las diferentes especies se realizó mediante una prueba U de Mann-Whitney (McKight y Najab, 2010).

Los taxa presentes en el área de estudio fueron Pinus teocote Schltdl. & Cham. (pino azteca), Pinus pseudostrobusLindl. (pino blanco), Juniperus flaccida Schltdl. (cedro), Quercus laeta Liebm. (encino blanco), Rhus virens Lindh. ex A. Gray (lantrisco), Arbutus xalapensis Kunth(madroño) y Agave scabra Ortega (maguey).

El encino blanco fue la especie más abundante (Cuadro 1), lo que guarda relación con el comportamiento que tienen otras especies del mismo género (Quercus) al sobrevivir después de los incendios severos en el Parque Ecológico Chipinque (Alanís-Rodríguez et al., 2011). El árbol más dominante fue el pino azteca (Cuadro 2), lo cual coincide con lo citado en otros bosques templados del estado de Nuevo León con daño por incendio, donde Pinus es el más dominante sobre todas las especies (Alanís-Rodríguez et al., 2011). Los árboles más frecuentes fueron Pinus teocote y Quercus laeta (Cuadro 1), tal comportamiento es normal en este tipo de ecosistemas debido a que en otros bosques templados de la Sierra Madre Occidental, con condiciones ambientales y composiciones florísticas diferentes, los porcentajes de frecuencia para pinos y encinos son similares a lo obtenido en la presente investigación (Hernández-Salas et al., 2013). Ambas especies registraron un mayor IVI (Cuadro 2); esta relación difiere con la indicada en el Parque Ecológico Chipinque tras un incendio, donde Quercus tuvo un mayor IVI en comparación con el valor de Pinus(Alanís-Rodríguez et al., 2011). Sin embargo, esto coincide con lo señalado por Méndez et al. (2014) en un BT de la Sierra Madre de Guerrero afectado por un incendio, donde el IVI de Pinus radiata D. Don fue alto, mientras que el de Quercus glaucescens Bonpl. fue bajo.

 

Cuadro 1. Indicadores ecológicos de las especies arbóreas y arbustivas.

Especie

Abundancia

Dominancia

Frecuencia

IVI

N ha-1

Ar

m2 ha-1

Dr

N/Sitio

Fr

Pinus teocote Schltdl. & Cham.

280

32.18

5816.08

69.91

9

34.62

45.57

Quercus laeta Liebm.

340

39.08

956.37

11.49

7

26.92

25.83

Agave scabra Ortega

100

11.49

78.45

0.94

3

11.54

7.99

Pinus pseudostrobus Lindl.

50

5.75

875.71

10.53

2

7.69

7.99

Arbutus xalapensis Kunth

40

4.6

390.44

4.69

3

11.54

6.94

Rhus virens Lindh. ex A. Gray

40

4.6

32.77

0.39

1

3.85

2.95

Juniperus flaccida Schltdl.

20

2.3

170.09

2.04

1

3.85

2.73

Total

870

100

8 319.92

100

26

100

100

Ar = Abundancia relativa; Nha-1 = Número de individuos por hectárea; Dr = Dominancia relativa; m2 ha-1 = Cobertura de copa en metros cuadrados por hectárea; Fr = Frecuencia relativa; N/Sitio = Número de sitios donde la especie está presente; IVI = Índice de Valor de Importancia.

 

Cuadro 2. Índices de diversidad de especies.

Unidad de muestreo

Índice de Margalef

Complemento de Simpson

Índice de Shannon-Weiner

1

0.40

0.49

0.68

2

0.42

0.30

0.47

3

0.91

0.37

0.68

4

0.48

0.50

0.69

5

0.62

0.32

0.50

6

0.00

0.00

0.00

7

0.62

0.48

0.67

8

1.74

0.78

1.56

9

0.80

0.65

1.08

10

1.44

0.72

1.32

Promedio

0.74

0.46

0.77

 

Tras un año del incendio, los índices de diversidad de especies indican valores bajos en El Tejocote (Cuadro 2), lo que concuerda con los estudios de Méndez et al. (2014) y Méndez et al. (2018), quienes también citan valores bajos para los índices de Margalef y Shannon-Weiner en un bosque templado incendiado en la Sierra de Guerrero.

Diferencias significativas se obtuvieron entre la germinación de las especies arbustivas y arbóreas (H=17.42, Hc=17.62, p=0.0015). Las especies de pinos tuvieron un porcentaje de germinación contrastante (Cuadro 3); valores similares se han documentado para Pinus pseudostrobus en Michoacán (Sáenz et al., 2011) y para P. teocote en Veracruz (Ramírez, 2000). La baja germinación de Quercus laeta (Cuadro 3) puede asociarse a que las semillas de Quercus son recalcitrantes y pierden su viabilidad rápidamente debido a su rápida desecación (Wawrzyniak et al., 2022).

 

Cuadro 3. Porcentaje de germinación de las especies arbóreas y arbustivas.

Especie

Nombre común

Porcentaje de germinación

Pinus pseudostrobus Lindl.

Pino blanco

94.4±10.09a

Agave scabra Ortega

Maguey

84.00±7.96a

Pinus teocote Schltdl. & Cham.

Pino azteca

31.9±3.49b

Rhus virens Lindh. ex A. Gray

Lantrisco

10.40±1.32c

Quercus laeta Liebm.

Encino blanco

7.60±0.74c

Arbutus xalapensis Kunth

Madroño

0±0

Juniperus flaccida Schltdl.

Cedro

0±0

Las letras indican diferencias entre los tratamientos.

 

Agave scabra alcanzó un porcentaje de germinación alto (Cuadro 3), lo cual ha sido registrado en diversas especies de Agave (germinación promedio de 91 %) en diferentes condiciones ambientales (Campos et al., 2020; Castillo et al., 2022). La germinación baja de Rhus virens y la nula de Juniperus flaccida y Arbutus xalapensis sugiere un cambio en la escarificación utilizada: Para J. flaccida se propone aumentar el tiempo de exposición al ácido sulfúrico hasta 5 horas (Martínez-Pérez et al., 2006) y la estratificación en frío (Yucedag et al., 2021), y para R. virens y A. xalapensis se recomienda un tratamiento similar, pero con tiempos de exposición al ácido sulfúrico de 30 minutos (Olmez et al., 2007). 

 

Agradecimientos

 

Agradecemos al Consejo Nacional de Humanidades, Ciencia y Tecnología por proporcionar la beca de maestría de Aldo Tovar-Cárdenas. Además, a los habitantes de la Comunidad El Tejocote, Santiago, Nuevo León, por permitir la realización de esta investigación.

 

Conflicto de intereses

 

Los autores declaran no tener ningún conflicto de interés.

 

Contribución por autor

 

Homero Gárate-Escamilla: desarrollo del manuscrito y análisis estadístico; Aldo Tovar-Cárdenas: interpretación de resultados; Enrique Jurado-Ybarra y Mauricio Cotera-Correa: revisión del manuscrito; Eduardo Alanís-Rodríguez y Maritza Gutiérrez-Gutiérrez: análisis de datos.

 

 

Referencias

Alanís-Rodríguez, E., J. Jiménez-Pérez, A. Valdecantos-Dema, M. Pando-Moreno, O. Aguirre-Calderón y E. J. Treviño-Garza. 2011. Caracterización de regeneración leñosa post-incendio de un ecosistema templado del Parque Ecológico Chipinque, México. Revista Chapingo Serie Ciencias Forestales y del Ambiente 17(1):31-39. https://www.scielo.org.mx/scielo.php?script=sci_arttext&pid=S2007-40182011000100004. (20 de mayo de 2023).

Antonio B., A., C. V. Velarde N. y O. L. Rumayor R. 2020. Manual para el análisis físico y biológico de semillas forestales. Quintanilla Ediciones. Saltillo, Coah., México. 131 p. https://sma.gob.mx/wp-content/uploads/2022/08/Manual-semillas-.pdf . (22 de mayo de 2023).

Campos, H., C. Trejo, C. B. Peña-Valdivia, R. García-Nava, F. V. Conde-Martínez and R. Cruz-Ortega. 2020. Water availability effects on germination, membrane stability and initial root growth of Agave lechuguilla and A. salmiana. Flora 268:151606. Doi: 10.1016/j.flora.2020.151606.

Cantú A., C., S. Ortiz H. y M. Rovalo M. 2013. Consideraciones Finales. In: Cantú A., C., M. Rovalo M., J. Marmolejo M., S. Ortiz H. y F. Seriñá G. (Edits.). Historia natural del Parque Nacional Cumbres de Monterrey, México. Universidad Autónoma de Nuevo León y Comisión Nacional de Áreas Naturales Protegidas. Linares, NL, México. pp. 410-414.

Castillo R., F., D. Castillo Q., J. E. Sáenz C., A. Rueda S. and J. T. Sáenz R. 2022. Effects of Trichoderma and Bacillus pre-treatments on the germination of Agave victoriae-reginae T. Moore seeds. Revista Mexicana de Ciencias Forestales 13(69):56-72. Doi: 10.29298/rmcf.v13i69.844.

Chazdon, R. L. 2008. Beyond deforestation: restoring forests and ecosystem services on degraded lands. Science 320(5882):1458-1460. Doi: 10.1126/science.1155365.

González-Estrada, E. and W. Cosmes. 2019. Shapiro–Wilk test for skew normal distributions based on data transformations. Journal of Statistical Computation and Simulation 89(17):3258-3272. Doi: 10.1080/00949655.2019.1658763.

Hernández-Salas, J., Ó. A. Aguirre-Calderón, E. Alanís-Rodríguez, J. Jiménez-Pérez, … y L. A. Domínguez-Pereda. 2013. Efecto del manejo forestal en la diversidad y composición arbórea de un bosque templado del noroeste de México. Revista Chapingo Serie Ciencias Forestales y del Ambiente 19(2):189-199. Doi: 10.5154/r.rchscfa.2012.08.052.

Manzanilla Q., G. E., J. M. Mata B., E. J. Treviño G., Ó. A. Aguirre C., E. Alanís R. y J. I. Yerena Y. 2020. Diversidad, estructura y composición florística de bosques templados del sur de Nuevo León. Revista Mexicana de Ciencias Forestales 11(61):94-123. Doi: 10.29298/rmcf.v11i61.703.

Margalef, R. 1972. Homage to Evelyn Hutchinson, or why there is an upper limit to diversity. Connecticut Academy of Arts and Sciences 44:211-235. https://digital.csic.es/handle/10261/166281. (26 de junio de 2022).

Martínez-Pérez, G., A. Orozco-Segovia and C. Martorell. 2006. Effectiveness of some pre-germination treatments eight woody species of the Oaxacan Mixteca Alta with relevant features for restoration. Boletín de la Sociedad Botánica de México (79):9-20. Doi: 10.17129/botsci.1729.

McKight, P. E. and J. Najab. 2010. Kruskal-Wallis test. In: Weiner, I. B. and W. E. Craighead (Edits). The Corsini Encyclopedia of Psychology. John Wiley & Sons, Inc. New York, NY, United States of America. pp. 1413-1422.

Méndez O., C., C. A. Mora D., E. Alanís R., J. Jiménez P., … y M. Á. Pequeño L. 2018. Fitodiversidad y estructura de un bosque de pino-encino en la Sierra Madre del Sur, México. Revista Mexicana de Ciencias Forestales 9(50):35-53. Doi: 10.29298/rmcf.v9i50.236.

Méndez O., C., E. Alanís R., J. Jiménez P., Ó. A. Aguirre C. y E. J. Treviño G. 2014. Análisis de la regeneración postincendio en un bosque de pino-encino de la Sierra de Guerrero, México. CIENCIA UANL 17(69):63-70. https://cienciauanl.uanl.mx/wp-content/uploads/2014/10/Art.-de-la-Sierra-Guerrero-a-colorts.pdf. (3 de abril de 2023).

Moreno, C. E. 2001. Métodos para medir la biodiversidad. Sociedad Entomológica Aragonesa (SEA). Zaragoza, Z, España. 84 p. https://www.researchgate.net/publication/304346666_Metodos_para_medir_la_biodiversidad. (12 de diciembre de 2022).

Olmez, Z., A. Gokturk and F. Temel. 2007. Effects of some pretreatments on seed germination of nine different drought-tolerant shrubs. Seed Science and Technology 35(1):75-87. Doi: 10.15258/sst.2007.35.1.07.

Pausas, J. G. and J. E. Keeley. 2009. A burning story: The role of fire in the history of life. BioScience 59(7):593-601. Doi: 10.1525/bio.2009.59.7.10.

Prieto-Amparán, J. A., F. Villarreal-Guerrero, M. Martínez-Salvador, C. Manjarrez-Domínguez, G. Vázquez-Quintero and A. Pinedo-Alvarez. 2019. Spatial near future modeling of land use and land cover changes in the temperate forests of Mexico. PeerJ 7:e6617. Doi: 10.7717/peerj.6617.

Ramírez G., E. O. 2000. Variación de semillas y plántulas de tres procedencias de Pinus teocote Schl. & Cham. Tesis de Maestría en Ecología Forestal. Instituto de Genética Forestal, Universidad Veracruzana. Xalapa, Ver., México. 78 p. https://www.uv.mx/iif/files/2014/10/Tesis-Elba-Pinus-teocote-MC.pdf. (22 de marzo de 2022).

Rodríguez-Trejo, D. A. and P. Z. Fulé. 2003. Fire ecology of Mexican pines and a fire management proposal. International Journal of Wildland Fire 12(1):23-37. Doi: 10.1071/WF02040.

Sáenz R., J. T., H. J. Muñoz F. y A. Rueda S. 2011. Especies promisorias de clima templado para plantaciones forestales comerciales en Michoacán. INIFAP-Campo Experimental Uruapan. Uruapan, Mich., México. 64 p. https://es.scribd.com/document/401504925/Especies-promisorias-de-clima-templado-para-plantaciones-forestales-comerciales-en-Michoacan-J-Trinidad-Saenz-Reyes-pdf. (10 de enero de 2023).

Salmerón L., A., G. Geada L. y M. C. Fagilde E. 2017. Propuesta de un índice de diversidad funcional: Aplicación a un bosque semideciduo micrófilo de Cuba Oriental. Bosque 38(3):457-466. Doi: 10.4067/S0717-92002017000300003.

Santini, N. S., M. F. Adame, R. H. Nolan, Y. Miquelajauregui, … and D. Eamus. 2019. Storage of organic carbon in the soils of Mexican temperate forests. Forest Ecology and Management 446:115-125. Doi: 10.1016/j.foreco.2019.05.029.

Silva-García, J. E., O. A. Aguirre-Calderón, E. Alanís-Rodríguez, E. Jurado-Ybarra, J. Jiménez-Pérez y B. Vargas-Larreta. 2021. Estructura y diversidad de especies arbóreas en un Bosque templado del Noroeste de México. Polibotánica (52):88-102. Doi: 10.18387/polibotanica.52.7.

Soler, P. E., J. L. Berroterán, J. L. Gil y R. A. Acosta. 2012. Índice valor de importancia, diversidad y similaridad florística de especies leñosas en tres ecosistemas de los llanos centrales de Venezuela. Agronomía Tropical 62(1-4):25-37. http://ve.scielo.org/scielo.php?script=sci_arttext&pid=S0002-192X2012000100003. (16 de febrero de 2023).

Somarriba, E. 1999. Diversidad Shannon. Agroforestería en las Américas 6(23):72-74. http://bco.catie.ac.cr:8087/portal-revistas/index.php/AGRO/article/view/707. (28 de marzo de 2022).

Thompson, I. D., M. R. Guariguata, K. Okabe, C. Bahamondez, … and C. Sabogal. 2013. An operational framework for defining and monitoring forest degradation. Ecology and Society 18(2):20. https://www.jstor.org/stable/26269330. (28 de marzo de 2023).

Vásquez-Grandón, A., P. J. Donoso and V. Gerding. 2018. Forest degradation: when is a forest degraded? Forests 9(11):726. Doi: 10.3390/f9110726.

Wawrzyniak, M. K., E. M. Kalemba, T. P. Wyka and P. Chmielarz. 2022. Changes in reserve materials deposited in cotyledons of Pedunculate Oak (Quercus robur L.) Seeds during 18 Months of Storage. Forests 13(12):2142. Doi: 10.3390/f13122142.

Yucedag, C., M. Cetin, H. B. Ozel, A. E. S. A. Aisha, O. B. M. Alrabiti and A. M. O. Al Jama. 2021. The impacts of altitude and seed pretreatments on seedling emergence of Syrian juniper (Juniperus drupacea (Labill.) Ant. et Kotschy). Ecological Processes 10(1):1-6. Doi: 10.1186/s13717-020-00276-z.

 

 

        

Todos los textos publicados por la Revista Mexicana de Ciencias Forestales sin excepción– se distribuyen amparados bajo la licencia Creative Commons 4.0 Atribución-No Comercial (CC BY-NC 4.0 Internacional), que permite a terceros utilizar lo publicado siempre que mencionen la autoría del trabajo y a la primera publicación en esta revista.