Revista Mexicana de Ciencias Forestales Vol. 14 (79)

Septiembre – Octubre (2023)

Logotipo, nombre de la empresa

Descripción generada automáticamente

DOI: https://doi.org/10.29298/rmcf.v14i79.1347

Research article

 

Rendimiento de aserrado en el sureste del estado de Chihuahua

Sawing yield in southeastern Chihuahua state

 

Joel Rascón-Solano1, Oscar Alberto Aguirre-Calderón2*

 

Fecha de recepción/Reception date: 2 Marzo de 2023

Fecha de aceptación/Acceptance date: 26 de Julio de 2023

_______________________________

1Universidad Autónoma de Nuevo León, Facultad de Ciencias Forestales, Programa de Doctorado en Ciencias con Orientación en Manejo de Recursos Naturales. México.

2Universidad Autónoma de Nuevo León, Facultad de Ciencias Forestales. México.

 

*Autor para correspondencia; correo-e: oscar.aguirrecl@uanl.edu.mx

*Corresponding author; e-mail: oscar.aguirrecl@uanl.edu.mx

 

Abstract

The objectives of this research were: (a) To learn the distribution of sawn pine species and to estimate a distribution of visual quality classes of the logs, (b) To find out the frequency of sawing yield and evaluate the effect of smallest diameter with bark and log taper on it, and (c) To estimate the volumetric yield and distribution of sawn products in the southwest of Chihuahua State. 182 logs were integrated in the sawing process, and the species, quality, yield by smallest diameter category and taper with bark were determined. The volumetric yield of thicknesses, widths, lengths, and quality of sawn timber obtained from 1 348 logs was evaluated. The variables were evaluated with normality tests, analyses of variance, and correlation tests in order to identify significant differences (p<0.05). Pinus arizonica was found to be the main species processed, representing 45.70 % of the total; quality 5 roundwood is the most common class, amounting to 27.67 % of the total; the most frequent sawing yield is 50.00 %; diameter category and log taper are variables that determine the sawing yield. The main dimensions generated in the southeastern state of Chihuahua are a thickness of 7/8", a width of 8", and a length of 16'.

Key words: Sawmill, industry, lumber, Pinus arizonica Engelm., volumetric yield, logs.

Resumen

Los objetivos de esta investigación fueron: (a) Conocer la distribución de las especies de pino aserradas y estimar una distribución de clases de calidad visual de las trozas, (b) Determinar la frecuencia de rendimiento de aserrado y evaluar el efecto del diámetro menor con corteza y la conicidad de la troza en el mismo, y (c) Estimar el rendimiento volumétrico y la distribución de productos aserrados en el suroeste del estado de Chihuahua. Se integraron en el proceso de aserrado 182 trozas a las que se les identificó la especie, se evaluó su calidad, el rendimiento por categoría de diámetro menor y la conicidad con corteza. Se calculó el rendimiento volumétrico de los espesores, anchos, largos y calidad de madera aserrada obtenida de 1 348 trozas. Las variables se evaluaron con pruebas de normalidad, análisis de varianza y pruebas de correlación con la finalidad de identificar diferencias significativas (p<0.05). Se concluyó que Pinus arizonica es la principal especie que se transforma, al representar 45.70 % del total; la madera en rollo de calidad 5 es la más común con 27.67 % del total; el rendimiento de aserrado más frecuente es de 50.00 %; la categoría de diámetro y la conicidad de la troza son variables que definen el rendimiento de aserrado. Las principales dimensiones que se generan en el sureste del estado de Chihuahua son de 7/8” de espesor, 8” de ancho y 16´ de largo.

Palabras clave: Aserradero, industria, madera, Pinus arizonica Engelm., rendimiento volumétrico, trozas.

 

 

Introduction

 

 

Sawmills are important and indispensable components of the lumber supply chain (Makkonen, 2018), for this reason, they tend to be economically relevant in countries with forests (Lundmark et al., 2021), which produce more than 5 000 types of wood products and generate an annual Gross Domestic Product (GDP) of just over 600 billion dollars, equivalent to approximately 1.00 % of the world's GDP (The World Bank Group, 2022).

In Mexico, forest production in 2022 accounted for an estimated GDP of 41 803 million pesos (Conafor, 2022). The sawmill industry is considered the most important economic activity in regions with timber forest activity (Rascón-Solano et al., 2022a), as it is made up of strategic micro-enterprises that contribute to national production (Moctezuma and Flores, 2020). Square lumber and ties account for 70.10 % of national production (5.8 million m3r) (Semarnat, 2021).

Lähtinen et al. (2016) point out that micro lumber enterprises play a crucial role in improving the productivity and competitiveness of a region. However, communication conflicts and uncertified raw materials are two factors that affect the industry (Hernández et al., 2023). In addition, this activity presents issues in terms of the quality and updating of sawmill equipment, limited knowledge in the handling of raw material, and changes in the production and consumption patterns of square lumber (Lauri et al., 2021).

The identification of these limitations and the determination of efficiency can be analyzed by evaluating the volumetric yield of the sawing process in terms of such variables as log diameter, length, and taper (Casagrande et al., 2019), given that methodologies based on estimates of conversion coefficients have been developed in order to measure production efficiency (Gonçalves et al., 2018). In this regard, it is necessary to calculate the production efficiency based on the ratio of obtained sawn timber to the roundwood volume (Borz et al., 2021); it is also important to identify both the intrinsic (length, diameter, taper, and quality of the log) and the extrinsic variables (distribution of primary sawn products) that determine the sawing coefficients (Zavala and Hernández, 2000).

Based on the above, the objectives of the present research were as follows: (a) To gain knowledge of the distribution of sawn pine species and to estimate a distribution of visual quality classes of the logs, (b) To determine the sawing yield frequency and evaluate the effect of the smallest diameter with bark and log taper on it, and (c) To estimate the volumetric yield and distribution of sawn products in the southwestern part of the state of Chihuahua. It is assumed that the dimensional characteristics and quality of the raw material, as well as the distribution of sawn products have an effect on the production efficiency of the industries.

 

 

Materials and Methods

 

 

Study area

 

 

This research was carried out in the Sierra Madre Occidental physiographic province, in Balleza, Guachochi and Urique municipalities, located in the southwest of the state of Chihuahua, which is one of the most important timber-producing forest regions in the state (Rascón-Solano et al., 2021). Data collection was carried out in 2021 and 2022 in band sawmills of three private companies and in the Cieneguita de la Barranca, Corareachi and Samachique; in addition, horizontal sawmills from the Aboreachi, Caborachi, San Carlos, Santa Anita, Sehuerachi, Tecorichi, Tetahuichi and Tónachi ejidos were integrated.

 

 

Technical description of the sawmills

 

 

The sawmills of the three private companies and of the Cieneguita de la Barranca, Corareachi and Samachique ejidos have a vertical band saw with 1 473 mm diameter flywheels, 203.2 mm wide cutting bands, with a 17 gauge (1.37 mm). The installed capacity of the six sawmills is 10 000 board feet (Bd. Ft.) per eight-hour shift.

The sawmills of the Aboreachi, Caborachi, Tecorichi and San Carlos ejidos all have US-made MW3500 Wood-Mizer® horizontal cutting equipment with 635 mm diameter flywheels, fine cutting band, and a 35 mm wide and 1.07 mm thick locking tooth. The four ejidos have equal sawmills with an 8 000 Bd. Ft. capacity per shift.

The Sehuerachi and Tónachi ejidos use Canadian-made model 4221 Select Sawmill Co.® double-cutting equipment (front and back-cutting), horizontal cutting with 914 mm diameter flywheels, a fine-cutting band, a 152 mm wide and 1.20 mm thick locking tooth, and an installed capacity of 8 000 Bd. Ft. per shift.

The Tetahuichi ejido uses a US-made model LQ-72 Baker® sawmill with a horizontal cutting band, 711 mm diameter flywheels, a fine cutting band, and a 38 mm wide and 1.07 mm thick locking tooth; its production capacity is 8 000 Bd. Ft. per shift.

In the Santa Anita ejido, the sawmill works with model HTZ 1000 MEBOR® equipment manufactured in Slovenia, which is capable of cutting horizontally in the forward and reverse direction; the saw is 140 mm wide and 1.1 mm thick, and the flywheels are 1 120 mm in diameter. This sawing equipment can produce 10 000 Bd. Ft. per shift.

 

 

Methods

 

 

A sampling of 15 logs was carried out for each sawmill (14 industries). Out of the 210 sampled logs, a total of 182 logs were selected from the several sawmilling centers; the diameter with and without bark (cm) was measured with a Truper® flexometer 8 meter, length (m) was measured with a Truper® tape 50 meter, visual quality, and species of each log were recorded and identified based on botanical samples of foliage and cones, the physical characteristics of the bark, and the coloration of sapwood and heartwood. Table 1 shows the general data for each recorded species.

 

Table 1. Descriptive statistics of the raw material integrated into the sawing process.

Species

N

(cm)

SD (cm)

Var

CV (%)

Mean volume (m3)

With bark

Without bark

Bark

P. ari

68

32.2

7.7

59.7

23.9

14.6

12.1

1.9

P. dur

62

33.0

7.8

60.5

23.6

14.5

13.1

1.4

P. lei

15

27.6

7.9

63.4

28.6

2.4

2.1

0.4

P. eng

14

31.3

7.6

57.8

24.3

3.0

2.6

0.4

P. lum

5

29.6

8.8

78.1

29.7

0.9

0.8

0.1

P. str

10

38.8

9.1

82.8

23.5

2.9

2.7

0.3

P. chi

8

24.9

7.9

62.2

31.7

1.1

0.8

0.3

Total

182

31.1

8.1

66.4

26.0

39.6

34.8

4.8

N = Number of samples; Mean D = Mean diameter; SD = Standard deviation; Var = variance; CV = Coefficient of variation; P. ari = Pinus arizonica Engelm.; P. dur = Pinus durangensis Martínez; P. lei = Pinus leiophylla Schiede ex Schltdl. & Cham.; P. eng = Pinus engelmannii Carrière; P. lum = Pinus lumholtzii B. L. Rob. & Fernald; P. str = Pinus strobiformis Engelm.; P. chi = Pinus leiophylla Schiede ex Schltdl. & Cham. var. chihuahuana (Engelm.) Shaw.

 

In order to determine the class distribution among the 182 samples, the logs were classified as high quality, quality 1, quality 2, quality 3, quality 4, and quality 5 according to Mexican Standard NMX-C-359-1988 (Secretaría de Comercio y Fomento Industrial, 1988). The parameters include the log’s cross-sectional shape, the eccentricity of the pith, the log’s curvature and taper, cracks, protrusions, knots, burns, and insect attacks. High quality corresponds to the lowest number of visual defects, and quality 5, to the largest number of defects.

Table 2 shows the number of logs analyzed by sawmill (1 348 in total), the sample size was estimated with a pre-sampling of 15 logs per industry. The Coefficient of variation of the sawing yield was used as an estimator of the number of logs required to achieve a sampling error of 5.00 % and a reliability of 95.00 % (Barnes, 1968).

 

Table 2. Number of logs per sawmill and dimensional characteristics of the pine log yard.

Sawmill

N

Mean D

(cm)

SD

(cm)

Mean L

(m)

SD

(m)

Taper

(cm)

SD

(cm)

Private 1

108

36.1

8.2

4.9

0.2

1.5

0.8

Private 2

108

39.0

5.8

4.9

0.1

1.3

0.6

Private 3

87

39.6

10.6

5.1

0.1

0.8

0.7

Cieneguita ejido

101

38.2

8.4

4.9

0.1

1.2

0.7

Corareachi ejido

102

39.4

5.7

4.9

0.1

1.3

0.6

Samachique ejido

96

37.4

7.6

5.0

0.0

1.4

0.7

Aboreachi ejido

91

40.3

10.8

5.0

0.1

0.8

0.7

Caborachi ejido

94

38.8

7.8

4.9

0.1

0.9

0.7

San Carlos ejido

104

40.9

8.6

5.0

0.1

1.6

0.9

Santa Anita ejido

72

37.5

7.3

4.9

0.1

1.4

0.7

Sehuerachi ejido

79

38.7

9.2

4.9

0.1

1.7

1.2

Tecorichi ejido

117

36.9

8.9

4.9

0.1

1.5

1.0

Tetahuichi ejido

108

36.6

8.1

4.9

0.1

1.5

0.9

Tónachi ejido

81

44.1

15.3

4.9

0.1

2.1

1.2

Total

1 348

38.8

8.7

4.9

0.1

1.4

0.8

N = Number of samples; Mean D = Mean diameter; SD = Standard deviation; Mean L = Mean length.

 

The volume of each log was estimated with the Smalian formula (Husch et al., 2003). The taper of the logs, which refers to the difference between the largest and smallest diameters and the distance that separates them, was calculated. Once the wood was sawn, it was classified according to the parameters used in the state of Chihuahua, into classes 2 and better, class 3, class 4, and class 5, according to the Mexican Norm NMX-C-224-ONNCCE-2001 (ONNCCE, 2001), in which class 2 and better is the one with the best visual characteristics, and class 5 has the highest number of defects.

The defects considered were knots, resin pockets, bark, cracks, sapwood, and stains. Products were recorded according to their nominal dimensions (without reinforcement): board [22.23 mm (7/8") thick], plank [31.75, 38.10, and 44.45 mm (5/4", 6/4", and 7/4") thick], and beam [88.90 and 108.00 mm (3 1/2" and 4 1/4" thick)]. A sample of 1 348 logs was used to determine the percent yield by nominal thickness, nominal width, nominal length, and square lumber quality classes.

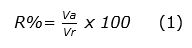
The sawn timber yield by nominal thickness, width, length and grade distribution was determined with the following relationship (Quirós et al., 2005):

 

    

 

Where:

R% = Percent yield of sawn lumber

Va = Volume of products (m3)

Vr = Volume of roundwood without bark (m3r)

 

 

Statistical procedure

 

 

In the sample of 182 logs, the evaluated variables were: the distribution of the harvested species, the distribution of visual quality of the logs, the Coefficient frequency of sawing, and the effect of the diameter and taper on the yield; the Shapiro-Wilk test (p<0.05) (Pedrosa et al., 2015) was applied to test the normality of a set of data, which were found to be parametric. An analysis of variance and Duncan's mean separation test were performed to identify the variables that presented significant differences at p<0.05. Pearson’s correlation tests (p<0.05) were performed to determine the effect of diameter and taper on the sawing yield (Rascón-Solano et al., 2023).

In the total sample of 1 348 logs, the following variables were considered: nominal thickness category, nominal width, nominal length, and visual lumber quality classes (2 and better, class 3, class 4 and class 5) and their volumetric yield distribution. The normality of the variables was analyzed with the Kolmogorov-Smirnov test (p<0.05) (Pedrosa et al., 2015). After verifying that the variables had a normal distribution, an analysis of variance with Duncan's mean comparison test (p<0.05) was carried out in order to identify the categories of each variable, with significant differences between categories. These tests were performed to determine the categories with a similar performance distribution. The IBM-SPSS version 25 statistical package was used to develop the analyses of the information (IBM, 2017).

 

 

Results

 

 

Characteristics of the sampled logs

 

 

The main species harvested and processed into lumber products were Pinus arizonica Engelm. and Pinus durangensis Martínez, which represented 45.70 and 40.95 %, respectively, of the processed stocks and had a similar range of presence in the studied sawmills (p>0.05) (Figure 1a). As for the distribution of the roundwood quality classes, grades 3 and 5 were the most abundant and presented a similar distribution >0.05); grade 5 was the most important with 27.67 % of the logs processed. A similar proportion (p>0.05) was detected in grades 1, 2, and 4; grade 1 was the least representative of the total sample recorded (14.84 %) (Figure 1b).

 

(a) Distribution of species recorded in the process; (b) Distribution of roundwood quality classes. Variables within common a globe are not significantly different (p>0.05). P. ari = Pinus arizonica Engelm.; P. dur = Pinus durangensis Martínez; P. lei = Pinus leiophylla Schiede ex Schltdl. & Cham.; P. eng = Pinus engelmannii Carrière; P. lum = Pinus lumholtzii B. L. Rob. & Fernald; P. str = Pinus strobiformis Engelm.; P. chi = Pinus leiophylla Schiede ex Schltdl. & Cham. var. chihuahuana (Engelm.) Shaw.

Figure 1. Characteristics of the sampled logs estimated on a sample of 182 logs of Pinus spp.

 

 

Sawing coefficient

 

 

The overall average Sawing coefficient (yield) corresponded to 45.01 % within a range of 40.53 to 50.87 % with the presence of bark on the log; the yield (sawing coefficient) without bark increased to 51.10 %, within a range of 46.67 to 57.68 %, which amounts to an influence of the bark of 6.09 %. The above information indicates that it is possible to obtain 190.84 and 216.66 board feet (Bd. Ft.), respectively, when transforming a cubic meter of wood into pine logs (m3r), if we consider that a cubic meter of log has 424 board feet (Bd. Ft.) without reinforcement.

According to Figure 2, sawing yield ranges between 35.00 and 70.00 % were obtained. The most frequent yields were 50.00 and 45.00 %; the extremes (35.00, 65.00, and 70.00 %) represented the lowest sawing frequency. This indicates a normal distribution (p>0.05) of the sawing coefficient in the sawmill industries of southeastern Chihuahua.

 

Figure 2. Relative frequency of the estimated Sawing coefficient in a sample of 182 logs of Pinus spp.

 

The sawing yield exhibited significant differences in terms of smallest diameter categories with bark (p<0.05). The average yield of the 20 to 70-cm diameter categories was not significantly different. Pearson's correlation indicates that there is a positive relationship between a log’s diameter and yield (Figure 3a), which reveals that a larger diameter will result in greater productivity. Figure 3b shows significant differences in yield by taper category (p<0.05). The 0 cm taper category recorded the highest yields and are significantly different from the 0.5 to 5 cm categories. The trend of the data and Pearson correlation analysis indicated that increasing the log taper will significantly reduce the sawing yield. The value r=-0.429 indicates a decrease in yield in relation to the increase in taper.

 

(a) Sawing yield by smallest diameter category with bark; (b) Sawing yield by bark taper category. Variables within a common globe are not significantly different (p>0.05). R2 = Coefficient of determination; r = Pearson´s correlation coefficient; p = Significance of the P value.

Figure 3. Sawing performance estimated on a sample of 182 logs of Pinus spp.

 

 

Sawing yield by nominal thickness

 

 

According to the analysis of variance, there were significant differences in the yield by nominal thickness of sawn timber (p<0.05) (Figure 4). The square lumber production was concentrated mainly in the nominal thickness of 7/8'' (54.12 %), followed by 5/4'', 6/4'', and 3 1/2'', which amounted to a similar volumetric contribution (p>0.05). The yield of 7/4'' and 4 1/4'' lumber was not significant. Thus, for each cubic meter of sawn roundwood, there is a production of 117.26 Bd. Ft. with a nominal thickness of 7/8'', 90.05 Bd. Ft. of 5/4'', 6/4'', and 3 1/2'', and only 5.35 Bd. Ft. for the thicknesses of 7/4'' and 4 1/4'' (without reinforcement).

 

Variables within a common globe are not significantly different (p>0.05).

Figure 4. Sawing yield by product thickness estimated on a sample of 1 348 logs of Pinus spp. processed in 14 sawmills in the southeast of the state of Chihuahua, Mexico.

 

 

Sawing yield by nominal width

 

 

Figure 5 shows the volumetric yield by nominal width; significant differences (p<0.05) were obtained in the distribution of widths. The 4'' to 8'' categories contributed in a similar proportion in the process, with yield ranges of 23.10, 30.78, and 32.48 % (p>0.05). The 10'' and 12'' widths were significantly different (p<0.05). It is estimated that for each cubic meter of roundwood without bark there is a production of 187.11 Bd. Ft. of 4'', 6'', and 8'' nominal width; the 10'' lumber contributes 24.09 Bd. Ft., while the nominal width of 12'' does not contribute significantly to the yield, as only 5.46 Bd. Ft. of this product is obtained.

 

Variables within a common globe are not significantly different (p>0.05).

Figure 5. Sawing yield by product width estimated on a sample of 1 348 logs of Pinus spp. processed in 14 sawmills in the municipality of Guachochi, Chihuahua, Mexico.

 

 

Sawing yield by nominal length

 

 

The results indicate that there were significant differences in the nominal long-term yield (p<0.05). Sawn timber lengths from 4' to 7' corresponded to the lowest yielding categories and were not significantly different from one another (p>0.05). The yield of the 8' to 14' length classes was non-significantly different (p>0.05). Finally, 16' long lumber was the main product generated, being the only length grade that differed significantly from the rest (p<0.05). Overall, lumber of 4' to 7' in length represents a production of 4.54 Bd. Ft. per cubic meter of sawn roundwood; 8' to 14' length grades have a production of 55.64 Bd. Ft.; 16' long lumber is the most important, as it contributes 156.72 Bd. Ft. per cubic meter of sawn roundwood (Figure 6).

 

Variables within a common globe are not significantly different (p>0.05).

Figure 6. Sawing yield by length of products estimated based on a sample of 1 348 logs of Pinus spp. processed in 14 sawmills in the municipality of Guachochi, Chihuahua, Mexico.

 

 

Sawing yield by quality classes

 

 

Figure 7 shows significant differences in yield between the various lumber grades (p<0.05). Quality 2 and better (5.35 %) and grade 3 (7.29 %) were not significantly different with respect to yield per cubic meter of bark-free sawn timber and contributed the least volume to production (12.64 % of the total). The yield was similar in class 4, and lumber beams had a similar yield (15.21 and 14.20 %, respectively), together representing a production of 29.41 % (63.73 Bd. Ft.). The remaining 57.95 % was made up of class 5 lumber and plank, products that have a lower economic value (price) per unit. Together, grades 2 and better and grade 3 represent an average production of 27.39 Bd. Ft. with reinforcement per cubic meter of roundwood. Grade 4 lumber and beams contributed 63.73 Bd. Ft. with reinforcement. Finally, class 5 and the plank contributed the largest volume, 125.55 Bd. Ft. with reinforcement per cubic meter of processed roundwood, and a total of 216.67 Bd. Ft. m-3r were obtained without bark, which represents a Sawing coefficient with nominal dimensions of 51.10 %, on average.

 

Variables within a common globe are not significantly different (p>0.05).

Figure 7. Sawing yield by classes and products registered according to the norm NMX-C-224-ONNCCE-2001 (ONNCCE, 2001) estimated in a sample of 1 348 Pinus spp. Logs, processed in 14 sawmills in the municipality of Guachochi, Chihuahua, Mexico. 

 

 

Discussion

 

 

According to the results of this study, the most frequently transformed pine species were Pinus arizonica and Pinus durangensis. This is mainly because they are the most abundant in the temperate forests of the state of Chihuahua (Hernández-Salas et al., 2018; Holguín-Estrada et al., 2021).

Logging grades 3 and 5 are the most abundant because roundwood with physical defects is found in natural forests that are not pruned to increase the quality of the wood. In this sense, Jelonek et al. (2022) point out that pruning pine trees in natural forests increases wood quality, since this practice reduces the number of knots and increases the volume of clean wood in the trunk. For their part, Krajnc et al. (2019) indicate that in order to increase wood quality it is necessary to apply thinning to stands, concentrating higher densities, which induces natural pruning.

The average Sawing coefficient of sawmills in the southeastern part of the state of Chihuahua is 45.01 % with bark, without bark, the yield increases to 51.10 %. Rascón-Solano et al. (2022b) estimated a sawing coefficient of 51.87 % with bark, with a range of 42.47 to 55.79 % in a sawmill in southeastern Chihuahua; this result is close to what was estimated in this research. In contrast, Nájera-Luna et al. (2011) calculated yields with bark in sawmills in the region of El Salto, Durango of 57.50 %, and Orozco et al. (2016) obtained an average bark yield of 47.47 % in different pine species, also in the state of Durango. In the present study, a sawing yield with bark between 35.00 and 70.00 % was recorded, with a normal distribution of the sawing coefficients, and the yield of 50.00 % is the most frequent. Ortiz et al. (2016) cite a normal distribution of the pine Sawing coefficient in the state of Oaxaca, indicating that the estimated probability of the average volumetric yield is 48.27 %, within an interval of 21.87 to 62.71 %.

Borz et al. (2021) evaluated the yield of the Norwegian spruce [Picea abies (L.) H. Karst.] and the silver fir (Abies alba Mill.) at a sawmill in Romania, the Sawing coefficient ranged between 38.80 and 95.00 % per log, with an average of approximately 69.00 %; it should be noted that only sawn lumber (primary product) production was considered. The wide variation in Romanian sawmill yields is mainly related to the size of the raw material, since variables such as diameter and taper have a significant influence on the productivity.

According to the results of this study, lumber yield increases significantly as the diameter of pine logs increases. Borges et al. (2020) document that there is no linear increase between diameter and sawn timber yield in ten commercial Amazonian species in the state of Amapá in Brazil. In contrast, Nájera-Luna et al. (2011) and Leyva et al. (2020) indicate that log size is one of the factors that most affect lumber yield, since as the diameter increases, the yield too increases; therefore, this variable has a significant effect. According to the data trend and correlation analysis, it was observed that increasing log taper reduces sawing yield. Zavala and Hernández (2000) point out that log taper is an important factor in lumber productivity. In this regard, Ortiz et al. (2016) recorded that taper categories of 1 and 6 cm were superior in lumber yields. In this study, the highest value taper shows high yields due to the effect of log diameter.

The performance by nominal thickness was mainly represented by 7/8'' lumber (54.12 %). In this study, the importance of this dimension is higher than that described by Nájera et al. (2011), who observed that the production of square lumber in the region of El Salto, Durango is concentrated in the nominal thickness of 7/8'', with 38.82 %. The 4'', 6'', and 8'' (23.10, 30.78 and 32.48 %) width categories contributed in a similar proportion to the production of the sawmills analyzed, accounting for 86.36 % of the total. Otherwise, Ortiz et al. (2016) found that the width of 12'' represents 54.18 %. The difference is mainly attributed to the average die diameter. With respect to the distribution of volumetric yield by nominal length, 16' long lumber, being the most important, contributes 72.33 % to the total production of the sawmills considered. Nájera et al. (2011) indicate that the length of 16' corresponds to the highest value with 47.30 % of the total volume sawn. Finally, in terms of lumber quality, class 5 and the plank provided the largest amount of volume in terms of yield (26.27 and 31.68 %). Ortiz et al. (2016) note that lower-grade wood accounts for up to 50.98 % of the total. For class 5 wood, Orozco et al. (2016) estimate a yield of 46.98 %. These results are mainly related to the quality of the roundwood, which as mentioned above, is represented by quality 5 logs.

 

 

Conclusions

 

 

In the state of Chihuahua, the main species harvested and processed into lumber products are Pinus arizonica and Pinus durangensis. Together, they represent up to 86.65 % of the stocks in the studied sawmills. In the distribution of roundwood grades, grades 3 and 5 are the most abundant and have a similar distribution.

For the sawing centers studied, the average Sawing coefficient corresponds to 45.01 % with bark on the log, while without bark, the yield increases to 51.10 %. This parameter has a normal distribution, with sawing yield ranges of 35.00 to 70.00 %. The most frequent yields are 50.00 and 45.00 %. There is a positive relationship between log diameter and sawing yield; increasing log taper was also found to significantly reduce the sawing yield. That is, there is a significant effect on the sawing yield in relation to the smallest diameter and taper.

The main product generated in sawmills is 7/8" thick lumber. 8" is the main lumber width produced, however, it is not significantly different from the 4" and 6" widths. The main nominal length produced is 16' long lumber. Grade 5 lumber and planks are the main products generated by the company.

 

Acknowledgments

 

The authors are grateful for the collaboration of the private and socially owned sawmills that made the field data collection possible. The first author would like to thank the Consejo Nacional de Humanidades, Ciencia y Tecnología, Conahcyt, for the scholarship granted him to pursue his PhD studies in Science with a focus on Natural Resource Management. The authors would like to thank the anonymous reviewers for their comments, which helped to improve this manuscript.

 

Conflict of interest

 

The authors declare that they have no conflict of interest.

 

Contribution by author

 

Joel Rascón-Solano: research design, data collection, drafting of the manuscript, and generation of results; Oscar Alberto Aguirre-Calderón: research design, editing and discussion of results.

 

 

 

 

Referencias

Barnes, R. M. 1968. Motion and time study: design and measurement of work. John Willey & Sons. New York, NY, United States of America. 799 p.

Borges De L., R., R. L. Caraciolo F., J. A. Aleixo Da S., M. Carneiro G., … y L. F. Da Cruz S. 2020. Effect of species and log diameter on the volumetric yield of lumber in northern Brazilian Amazonia: preliminary results. Journal of Sustainable Forestry 39(3):283-299. Doi: 10.1080/10549811.2019.1636661.

Borz, S. A., M. Oghnoum, M. V. Marcu, A. Lorincz and A. R. Proto. 2021. Performance of Small-Scale sawmilling operations: A case study on time consumption, productivity and main ergonomics for a manually driven bandsaw. Forests 12(6):810. Doi: 10.3390/f12060810.

Casagrande S., M., A. Costa O., B. L. Corradi P. and J. Melo F. 2019. Yield in sawn wood and residue utilization of Qualea paraensis ducke and Erisma uncinatum warm. Floresta 49(2):257-266. Doi: 10.5380/rf.v49i2.57284.

Comisión Nacional Forestal (Conafor). 2022. PIB Forestal. https://snif.cnf.gob.mx/indicadores-economicos/. (24 de mayo de 2023).

Gonçalves P., A. L., A. Negrão M., S. Silva e S. e E. Leite C. 2018. Análise dos resíduos gerados por indústrias de beneficiamento de madeira na região metropolitana de Belém. In: Instituto Brasileiro da Madeira e das Estruturas de Madeira. XVI Encontro Brasileiro em Madeiras e em Estruturas de Madeira e III Congresso Latino-americano de Estruturas de Madeira. São Carlos, SP, Brasil. pp. 1-11. https://www.researchgate.net/publication/324921233_ANALISE_DOS_RESIDUOS_GERADOS_POR_INDUSTRIAS_DE_BENEFICIAMENTO_DE_MADEIRA_NA_REGIAO_METROPOLITANA_DE_BELEM#fullTextFileContent. (25 de febrero de 2023).

Hernández H., R., Y. Mayett M., S. Rodríguez P. y G. Fernández L. 2023. Retos ambientales, económicos y sociales, en la cadena de valor del sector maderero de Puebla. Revista Mexicana de Ciencias Forestales 14(75):68-96. Doi: 10.29298/rmcf.v14i75.1275.

Hernández-Salas, J., Ó. A. Aguirre-Calderón, E. Alanís-Rodríguez, J. Jiménez-Pérez, … y L. A. Domínguez-Pereda. 2018. Dinámica del crecimiento de un bosque templado bajo manejo en el noroeste de México. Madera y Bosques 24(2):e2421767. Doi: 10.21829/myb.2018.2421767.

Holguín-Estrada, V. A., E. Alanís-Rodríguez, O. Aguirre-Calderón, J. I. Yerena-Yamallel y M. Á. Pequeño-Ledezma. 2021. Estructura y composición florística de un bosque de galería en un gradiente altitudinal en el noroeste de México. Madera y Bosques 27(2):e2722123. Doi: 10.21829/myb.2021.2722123.

Husch, B., T. W. Beers and J. A. Kershaw. 2003. Forest Mensuration. John Wiley and Sons, Inc. New York, NY, United States of America. 456 p.

International Business Machines (IBM). 2017. IBM SPSS Statistics 25. Armonk, NY, United States of America. International Business Machines Corp. https://www.ibm.com/support/pages/downloading-ibm-spss-statistics-25. (23 de febrero de 2023).

Jelonek, T., J. Kopaczyk, M. Neumann, A. Tomczak, … and T. Szwed. 2022. How wood quality can be shaped: Results of 70 years of experience. Forests 13(12):2103. Doi: 10.3390/f13122103.

Krajnc, L., N. Farrelly and A. M. Harte. 2019. The influence of crown and stem characteristics on timber quality in softwoods. Forest Ecology and Management 435:8-17. Doi: 10.1016/j.foreco.2018.12.043

Lähtinen, K., A. Toppinen, M. Mikkilä, M. Toivio and O. Suur-Uski. 2016. Corporate responsibility reporting in promoting social license to operate in forestry and sawmilling industries. Forestry An International Journal of Forest Research 89(5):525–541. Doi: 10.1093/forestry/cpv055.

Lauri, P., N. Forsell, F. Di Fulvio, T. Snäll and P. Havlik. 2021. Material substitution between coniferous, non-coniferous and recycled biomass. Impacts on forest industry raw material use and regional competitiveness. Forest Policy and Economics 132:102588. Doi: 10.1016/j.forpol.2021.102588.

Leyva M., I., D. Álvarez L., Y. La O M., G. Céspedes C. and Y. Segurado G. 2020. Yield and dimensional quality of Samanea saman Jacq. Sawn timber at Guantanamo Agroforestry Enterprise sawmill. Revista Cubana de Ciencias Forestales 8(3):507-518. http://scielo.sld.cu/scielo.php?pid=S2310-34692020000300507&script=sci_abstract&tlng=en. (26 de febrero de 2023).

Lundmark, R., T. Lundgren, E. Olofsson and W. Zhou. 2021. Meeting challenges in forestry: Improving performance and competitiveness. Forests 12(2):208. Doi: 10.3390/f12020208.

Makkonen, M. 2018. Stakeholder perspectives on the business potential of digitalization in the wood products industry. BioProducts Business 3(6):63-80. Doi: 10.22382/bpb-2018-006.

Moctezuma L., G. y A. Flores. 2020. Importancia económica del pino (Pinus spp.) como recurso natural en México. Revista Mexicana de Ciencias Forestales 11(60):161-185. Doi: 10.29298/rmcf.v11i60.720.

Nájera L., J. A., O. A. Aguirre C., E. J. Treviño G., J. Jiménez P., … y B. Vargas L. 2011. Rendimiento volumétrico y calidad dimensional de la madera aserrada en aserraderos de El Salto, Durango. Revista Mexicana de Ciencias Forestales 2(4):77-92. Doi: 10.29298/rmcf.v2i4.610.

Nájera-Luna, J. A., O. A. Aguirre-Calderón, E. J. Treviño-Garza, J. Jiménez-Pérez, … y B. Vargas-Larreta. 2011. Tiempos y rendimientos del aserrío en la región de El Salto, Durango, México. Revista Chapingo Serie Ciencias Forestales y del Ambiente 17(2):199-213. Doi: 10.5154/r.rchscfa.2010.05.034.

Organismo Nacional de Normalización y Certificación de la Construcción y Edificación, S. C. (ONNCCE). 2001. NMX-C-224-ONNCCE-2001. Industria de la Construcción-Vivienda de Madera y Equipamiento Urbano-Dimensiones de la Madera Aserrada para su uso en la Construcción. Dirección General de Normas (DGN). México, D. F., México. 41 p. http://cgservicios.df.gob.mx/prontuario/vigente/744.pdf. (24 de febrero de 2023).

Orozco C., R., J. C. Hernández D., J. A. Nájera L., P. A. Domínguez C., … y J. J. Corral R. 2016. Rendimiento en calidad de la madera aserrada de pino. Revista Mexicana de Ciencias Forestales 7(36):37-50. Doi: 10.29298/rmcf.v7i36.58.

Ortiz B., R., S. D. Martínez, D. E. Vázquez R. y W. S. Juárez. 2016. Determinación del coeficiente y calidad de aserrío del género Pinus en la región Sierra Sur, Oaxaca, México. Colombia Forestal 19(1):79-93. Doi: 10.14483/udistrital.jour.colomb.for.2016.1.a06.

Pedrosa, I., J. Juarros-Basterretxea, A. Robles-Fernández, J. Basteiro y E. García-Cueto. 2015. Pruebas de bondad de ajuste en distribuciones simétricas, ¿qué estadístico utilizar? Universitas Psychologica 14(1):245–254. Doi: 10.11144/Javeriana.upsy14-1.pbad.

Quirós, R., O. Chinchilla y M. Gómez. 2005. Rendimiento en aserrío y procesamiento primario de madera proveniente de plantaciones forestales. Agronomía Costarricense, 29(2):7-15. https://www.redalyc.org/pdf/436/43629201.pdf. (25 de febrero de 2023).

Rascón-Solano, J., J. E. Magaña-Magaña, C. M. Kiessling-Davison, L. P. Licón-Trillo, M. Portillo-Vázquez y V. S. Galván-Moreno. 2021. Viabilidad técnica, financiera y económica de establecer un aserradero privado en el Noroeste de México. Custos e @gronegócio online 17(4):332-357. http://www.custoseagronegocioonline.com.br/numero4v17/OK%2016%20aserradero.pdf. (24 de mayo de 2023).

Rascón-Solano, J., J. M. Olivas-García, O. A. Aguirre-Calderón, J. Hernández-Salas, M. Portillo-Vázquez, S. A. García-García y V. S. Galván-Moreno. 2022a. Proyecto de inversión industrial: Una alternativa para el desarrollo comunitario del ejido forestal Basihuare, Chihuahua, México. Revista Chapingo Serie Ciencias Forestales y del Ambiente 28(2):169-187. Doi: 10.5154/r.rchscfa.2020.12.070.

Rascón-Solano, J., Ó. A. Aguirre-Calderón, E. Alanís-Rodríguez, J. Jiménez-Pérez, E. J. Treviño-Garza y J. A. Nájera-Luna. 2022b. Productividad del abastecimiento e industrialización maderable en el ejido Aboreachi, Guachochi, Chihuahua. Revista Mexicana de Ciencias Forestales 13(71):133-158. Doi: 10.29298/rmcf.v13i71.1142.

Rascón-Solano, J., O. A. Aguirre-Calderón, E. Alanís-Rodríguez, J. Jiménez-Pérez, E. J. Treviño-Garza y J. A. Nájera-Luna. 2023. Rendimiento y distribución de clases de madera aserrada de pinos del norte de México. Colombia Forestal 26(2):60-76. Doi: 10.14483/2256201X.20082.

Secretaría de Comercio y Fomento Industrial. 1988. Norma Mexicana NMX-C-359-1988. Industria Maderera-Trocería de Pino-Clasificación. Dirección General de Normas (DGN). México, D. F., México. 26 p. https://vdocuments.mx/nmx-c-359-1988.html?page=1. (24 de febrero de 2023).

Secretaría de Medio Ambiente y Recursos Naturales (Semarnat). 2021. Anuario estadístico de la producción forestal 2018. Semarnat. Miguel Hidalgo, Cd. Mx., México. 297 p. https://dsiappsdev.semarnat.gob.mx/datos/portal/publicaciones/2021/2018.pdf. (24 de mayo de 2023).

The World Bank Group. 2022. Global Gridded Agricultural Gross Domestic Product (AgGDP) Data Catalog (Version 3). https://datacatalog.worldbank.org/search/dataset/0061507/Global-Gridded-Agricultural-Gross-Domestic-Product--AgGDP-. (24 de mayo de 2023).

Zavala Z., D. y R. Hernández C. 2000. Análisis del rendimiento y utilidad del proceso de aserrío de trocería de pino. Madera y Bosques 6(2):41-55. Doi: 10.21829/myb.2000.621374.

 

 

        

Todos los textos publicados por la Revista Mexicana de Ciencias Forestales sin excepción– se distribuyen amparados bajo la licencia Creative Commons 4.0 Atribución-No Comercial (CC BY-NC 4.0 Internacional), que permite a terceros utilizar lo publicado siempre que mencionen la autoría del trabajo y a la primera publicación en esta revista.