Revista Mexicana de Ciencias Forestales Vol. 14 (79)
Septiembre - Octubre (2023)
DOI: https://doi.org/10.29298/rmcf.v14i79.1340 Artículo de Investigación
Evaluación de una reforestación y regeneración del matorral espinoso tamaulipeco en el noreste de México Assessment of a reforestation and a regeneration of the Tamaulipan Thorny Scrub at Northeastern Mexico
José Manuel Mata-Balderas1, Carla Sofía González-Sánchez1, Karen Alejandra Cavada-Prado2, Tania Isela Sarmiento-Muñoz3* |
Fecha de recepción/Reception date: 27 de febrero de 2023.
Fecha de aceptación/Acceptance date: 20 de junio de 2023.
_______________________________
1Facultad de Ciencias Forestales. Universidad Autónoma de Nuevo León. México.
2Gestión Estratégica y Manejo Ambiental, S. C. (GEMA, S. C.). México.
3Biólogos y Silvicultores Forestales por el Ambiente A. C. (BIOSFERA, A. C.). México.
*Autor para correspondencia; correo-e: tania.sarmz@gmail.com
*Corresponding author; e-mail: tania.sarmz@gmail.com
Resumen
Debido a la degradación en los ecosistemas del noreste de México, ha sido necesario desarrollar estrategias para restaurarlos. Los objetivos del presente estudio fueron estimar la supervivencia y composición de una reforestación con especies nativas, tres años después de su establecimiento, así como evaluar la composición florística y parámetros ecológicos del Matorral Espinoso Tamaulipeco (MET) a 11 años de su reconversión para aprovechamiento cinegético. Se caracterizó la vegetación regenerada a través de sus parámetros ecológicos en dos estratos, y se realizó el cálculo de sus índices de diversidad (Shannon-Wiener, Margalef y Pretzsch). Para la reforestación se estimó la supervivencia y parámetros ecológicos de las especies establecidas. Las especies con mayor importancia dentro de la regeneración fueron características de etapas de sucesión temprana, posterior a actividades antropogénicas. La mayor abundancia de familias e individuos se concentró en las familias Fabaceae y Poaceae, la primera representada por las mismas especies establecidas con éxito en la reforestación, y la segunda por taxones herbáceos de carácter invasor. Dentro de la reforestación, Prosopis glandulosa, Diospyros texana, Cordia boissieri, Ebenopsis ebano, Vachellia rigidula y Havardia pallens presentaron porcentajes de supervivencia de 76.92, 50.0, 40.0, 38.46, 24.24 y 20.0 %, respectivamente, y el resto de las especies registraron 0 %. Los resultados obtenidos son de relevancia para la toma de decisiones en el manejo forestal del MET, así como para el monitoreo de esta comunidad en sus diferentes etapas sucesionales.
Palabras clave: Actividades cinegéticas, daño por heladas, desertificación, índices de diversidad, posganadería, restauración ecológica.
Abstract
The ecosystems in northeastern Mexico have become degraded, and, therefore, it has been necessary to develop strategies to restore them. The objectives of this study were to estimate the survival and composition of a reforestation with native species three years after its establishment, as well as to assess the floristic composition and ecological parameters of the Tamaulipan Thorny Scrub (MET) 11 years after its reconversion for hunting use. Based on their ecological parameters, the regenerated vegetation was characterized into two strata, and their diversity indexes were calculated (Shannon-Wiener, Margalef, and Pretzsch). The survival and ecological parameters of the established species were estimated for reforestation purposes. The most important species within the regeneration were characteristic of early successional stages, following anthropogenic activities. The highest abundance of families and individuals was concentrated in the Fabaceae and Poaceae families; the former, represented by the same species successfully established in reforestation, and the latter, by invasive herbaceous taxa. Within reforestation, Prosopis glandulosa, Diospyros texana, Cordia boissieri, Ebenopsis ebano, Vachellia rigidula, and Havardia pallens had survival rates of 76.92, 50.0, 40.0, 38.46, 24.24, and 20.0 %, respectively; the rest of the species had 0 %. The results obtained are relevant for decision-making in forest management at the TTS, as well as for the monitoring of this community in its various successional stages.
Key words: Hunting activities, frost damage, desertification, diversity indexes, post-livestock, ecological restoration.
Introducción
En México, las zonas áridas y semiáridas conforman 60 % de su territorio (Pontifes et al.,2018). La importancia de su estudio radica en las condiciones extremas que inciden sobre sus ecosistemas, como las lluvias torrenciales, sequías y heladas, las cuales limitan el crecimiento y desarrollo de la flora (Filio-Hernández et al.,2019). Entre sus comunidades vegetales, destaca el Matorral Espinoso Tamaulipeco (MET) por ser el más abundante en la región noreste de México (Patiño-Flores et al.,2021). Este abarca una superficie aproximada de 125 000 km2, distribuida entre los estados de Tamaulipas, Nuevo León y Coahuila en México, y al sur de Texas en los Estados Unidos de América (Alanís et al.,2013). Se desarrolla en climas cálidos y semicálidos, entre las altitudes de 200 a 500 m, sobre terrenos planos, mesetas y lomeríos, en suelos profundos y arcillosos de tipo Vertisol (Molina-Guerra et al., 2019; Alanís-Rodríguez et al.,2021). La heterogeneidad de condiciones edáficas y climatológicas dentro del área de distribución ha dado lugar a una gran variedad de conjuntos taxonómicos que se manifiestan a través de la diversidad, riqueza, cobertura, altura y densidad entre especies vegetales (Pequeño-Ledezma et al., 2017). Respecto a los servicios ecosistémicos que ofrece están la captación de carbono, disminución de la erosión, mejora de la infiltración hídrica, belleza paísajistica y hábitat para la fauna silvestre (Molina-Guerra et al.,2023).
La vegetación del MET se aprovecha con fin maderable, artesanal, ornamental, medicinal y alimentario (Leal-Elizondo et al.,2018), mientras que su superficie se utiliza, mayormente, para la agrícultura de temporal y la ganadería, tanto intensiva como extensiva (Mora et al.,2013). En la actualidad, la superficie de desmonte se ha incrementado debido a la urbanización (Alanís-Rodríguez et al.,2015), explotación de combustibles y minerales (Marroquín-Castillo et al., 2017; Molina-Guerra et al., 2019), instalación de infraestructura para la generación de energía (Mata et al.,2022), entre otros factores.
De acuerdo con la Comisión Nacional Forestal (Conafor, 2015), el desmonte de superficie forestal para el desarrollo de esas actividades económicas ejerce un impacto sobre el ecosistema que debe ser equilibrado a través de acciones de compensación ecológica. Estas medidas se pueden implementar mediante la reforestación con especies nativas en áreas que presenten algún estado de degradación, y si la vegetación establecida se mantiene a largo plazo, puede dar lugar a la sucesión ecológica y a mejorar las condiciones del ecosistema (Venegas, 2016).
Una forma de aumentar sus posibilidades de permanencia es llevar a cabo la reforestación en áreas donde se desarrollen actividades económicas de bajo impacto, y que a la vez resulte conveniente para los propietarios el aumento de vegetación nativa (Martín et al., 2022). Un ejemplo de ello son las actividades cinegéticas (Serna-Lagunes et al.,2013), que tuvieron un gran auge a nivel nacional en la primera década de los 2000, principalmente, en los estados de Nuevo León, Coahuila, Tamaulipas, Sonora y Chihuahua (Gallina-Tessaro et al.,2009). Específicamente, el aprovechamiento cinegético del venado cola blanca (Odocoileus virginianus Zimmermann) depende de una cobertura vegetal de por lo menos 2.5 m de altura para su protección contra los depredadores y condiciones meteorológicas adversas (Villarreal, 2014).
Las investigaciones realizadas en el MET con fines de uso cinegético se han enfocado, principalmente, en la estimación de indicadores de producción como la biomasa, capacidad de carga e importancia nutrimental (Domínguez et al.,2012; González-Saldívar et al.,2014), por lo que son escasos los estudios dirigidos a evaluar la composición de la vegetación dentro de las unidades de manejo autorizadas para la conservación de la vida silvestre (UMA) (Cantú et al.,2011; Alanís et al.,2015). Tampoco existen casos documentados referentes a la evaluación de reforestaciones en el MET con este tipo de aprovechamiento. Debido a ello, la presente investigación tuvo como objetivos: (1) estimar la supervivencia y composición de una reforestación como parte de una compensación ambiental tres años después de su establecimiento, y (2) evaluar la composición florística y parámetros ecológicos del MET a 11 años de su reconversión para el aprovechamiento cinegético.
Materiales y Métodos
Área de estudio
El área de estudio se localiza en el municipio Cadereyta Jiménez, Nuevo León. Las coordenadas de ubicación, tomadas con ayuda de un GPS marca eTrex® modelo 10, son 99°46'31.15" O y 25°39'3.27" N, r99°46'31.26" O y 25°37'11.92" N, a 252 msnm, con una superficie de 22.66 ha (Figura 1). El clima se clasifica como semiárido cálido BS1(h')w, con una temperatura y precipitación media anual de 22 a 24 °C y de 600 a 800 mm, respectivamente (García, 2004; Cuervo-Robayo et al.,2015a; Cuervo-Robayo et al.,2015b). Los suelos se clasifican como Kastañozem y Vertisol (INEGI, 2013). El sitio presenta un antecedente de aprovechamiento de especies maderables (Prosopis glandulosa Torr., Ebenopsis ebano (Berland.) Barneby & J. W. Grimes y Helietta parvifolia (A. Gray ex Hemsl.) Benth.), además de ganadería extensiva (ganado bovino). A partir de 2010, cesaron estas actividades para dar lugar a la caza de venado cola blanca (Odocoileus virginianus) y jabalí de collar (Pecari tajacu Linnaeus).
A = Estado de Nuevo León; B = Municipio Cadereyta Jiménez y ubicación del sitio de estudio; C = Sitios de muestreo.
Figura 1. Área de estudio.
Actividades de reforestación
Las actividades de reforestación se llevaron a cabo como resultado de la implementación de un programa de reforestación solicitado para la compensación ambiental del establecimiento de una central termoeléctrica en el municipio El Carmen, Nuevo León. Se utilizaron 16 especies leñosas nativas del MET con el fin de mejorar la diversidad dentro del sitio de estudio, las cuales se seleccionaron con base en registros taxonómicos del municipio correspondientes a la vegetación primaria y secundaria (López y Pando, 2014; Rodríguez-Rojas et al., 2017). Las semillas se colectaron durante la primavera de 2017 y se almacenaron en contenedores herméticos dentro de un refrigerador (marca Acros® modelo AT9007G) a una temperatura de 13 °C. Posteriormente, en septiembre de 2017 fueron germinadas; para ello, se utilizaron charolas de poliestireno (capacidad de 200 cavidades de 15 cm3 y calibre de 1 mm) (marca Hidro Enviroment®), el promedio de brotación fue de 8 a 15 días. Las plántulas germinadas fueron trasvasadas a bolsas de polietileno de 500 mL, rellenas al 95 % con mezcla de sustrato (70-30-10: suelo natural, piedra pómez de 22 mm y mineral de perlita). Los individuos se colocaron en plantabandas bajo media sombra de 40 % y se sometieron a una frecuencia de riego semanal por un periodo de 6 meses. Las plántulas fueron germinadas y desarrolladas en el vivero forestal de la empresa GEMA S. C., en el municipio Linares, Nuevo León.
La plantación se realizó en abril de 2018, considerando las lluvias de primavera, previo al aumento de temperatura en verano (ClimateData, 2023; Servicio Meteorológico Nacional, 2023). La densidad de plantación fue 1 283 individuos por hectárea con una distribución al azar dentro de toda la superficie del predio (22.66 ha). Se respetó un diseño de tres bolillo, técnica recomendada para minimizar el arrastre de suelo y a su vez aprovechar los escurrimientos de la zona (Conafor, 2010).
Las plantúlas utilizadas tenían una altura media de 0.35 m (Conafor, 2010), por lo que se colocaron dentro de cepas circulares con una profundidad de 0.50 m y 0.35 m de diámetro. Previamente, se agregó hidrogel agrícola de grano fino (Hidrogel MX) disuelto en agua, con una concentración de 3 g L-1 de acuerdo con las recomendaciones del proveedor (Maldonado-Benitez et al., 2011). Además, se adicionó enraizador fitorregulador en polvo Raizone-Plus®Fax (1.5 mg L-1), con el fin de promover el crecimiento radical y cicatrizar posibles heridas realizadas durante el proceso de plantación. Al termino de la plantación se aplicó un riego inicial de 25 L de agua por individuo, para permitir la adaptación de la planta a las condiciones del suelo. Cada individuo se aseguró con guías de madera, y se colocó un protector tubular horadado de poliuretano de alta densidad de 0.66 m de longitud por 0.35 m de altura.
De mayo de 2018 a mayo de 2020 se efectuaron actividades trimestrales de mantenimiento consistentes en riego por medio de pipa y manguera (10 L por plántula), y sustitución de plantas muertas a 100 %. Asimismo, se realizó mensualmente la remoción de herbáceas con machete dentro de 1 m2 alrededor de la planta por un periodo de cuatro meses. Las plántulas utilizadas para la sustitución se desarrollaron bajo el mismo procedimiento que las originales, hasta alcanzar un intervalo de altura de 0.35-0.50 m. Sin embargo, no en todos los casos fue posible usar la misma especie, por lo que la evaluación se hizo después de finalizar las actividades de mantenimiento.
Análisis de supervivencia de la reforestación
En agosto de 2021, se evaluó la supervivencia de la plantación a partir del número total plantado hasta mayo de 2020. Se utilizó un diseño de muestreo adaptado de Ramírez (2011) que resultó en el establecimiento de 10 parcelas circulares de muestreo (fracción de muestreo=1.19 %) de un área de 250 m2 (radio de 8.92 m). La distancia entre cada sitio fue de 150 m, estimada con base en las ecuaciones de Schlegel et al. (2001). En cada sitio se evaluó la supervivencia y cobertura (N-S y E-O) de los individuos plantados, los cuales se diferenciaron de la regeneración natural debido al previo uso de los protectores tubulares. Las medidas se hicieron con un flexómetro Truper® de 10 m. La supervivencia tanto de manera general, como por especie se obtuvo con la Ecuación (1) (García, 2011):
Donde:
%S = Porcentaje de supervivencia
Pv = Número de indivudos vivos
P = Número total de plantas vivas y muertas
Evaluación de la regeneración natural del MET
Para la caracterización de la regeneración natural del MET se emplearon las mismas parcelas circulares del análisis de supervivencia. Se dividió la vegetación en dos estratos: el estrato de porte alto que abarcó la vegetación con tallo leñoso (D1.5≥1 cm), así como las rosáceas y suculentas contadas dentro del área circular de 250 m2.
El estrato de porte bajo que incluyó a las especies herbáceas, se contabilizaron en un cuadrante de 1 m2 en el centro de cada parcela circular. Con el programa Stimates 9.1 (Colwell, 2023) se comprobó la completitud del muestreo para cada estrato mediante curvas de acumulación de especies y la evaluación de dos estimadores no paramétricos para la riqueza de especies: Chao 2 y Jackknife 1, recomendados para unidades pequeñas de muestreo (Hortal et al., 2006). La completitud de cada prospección se calculó en función de la relación entre la riqueza observada y la riqueza total estimada (Willott, 2001).
Para cada individuo en ambos estratos, se midió la cobertura horizontal (N-S y E-O) y la altura con una cinta métrica de 30 m marca Truper® modelo TFC 30ME. La identificación de las especies vegetales se realizó con la ayuda de catálogos de flora y claves taxonómicas (Alanís et al.,2011). Los parámetros ecológicos de la vegetación recuperada se analizaron mediante el cálculo de la abundancia, dominancia y frecuencia en su forma absoluta y relativa, así como el Índice de Valor de Importancia (IVI) de Whittaker (1972) y Mueller-Dombois y Ellenberg (1974). La diversidad de especies se evaluó a través del Índice de Shannon-Wiener (H’) (Shannon y Weaver, 1949), el cual indica la abundancia relativa de las especies. Se utilizó el Índice de Margalef (DMg) (Clifford y Stephenson, 1975) para calcular la riqueza de especies. Asimismo, se analizó la estructura vertical por estrato de muestreo, para ello se usó el Índice de Pretzsch, el cual categoriza la estructura vertical en tres estratos: el estrato I (alto) se refiere al intervalo entre 80 y 100 %, en el que 100 % es representado por el individuo más alto; estrato II (medio), con un intervalo de 50-80 %; y el estrato III (bajo) con los valores de 0-50 % (Pretzsch, 2009).
Resultados y Discusión
Supervivencia de la reforestación
De acuerdo con la evaluación de supervivencia, a 15 meses de suspender las actividades de mantenimiento en la plantación, se estimó la presencia de 407 individuos vivos por hectárea, lo que es igual a 31.72 % de supervivencia a partir de la densidad inicial de plantación. Las especies que lograron establecerse fueron Prosopis glandulosa, Vachellia rigidula (Benth.) Seigler & Ebinger, Ebenopsis ebano, Cordia boissieri A. DC., Diospyros texana Scheeley Havardia pallens (Benth.) Britton & Rose. El resto de las especies (10) resultaron con 0 % de supervivencia (Cuadro 1).
Cuadro 1. Valores por hectárea de los individuos plantados, individuos vivos por hectárea, supervivencia y cobertura en el área de reforestación.
Especie |
Individuos plantados ha-1 |
Individuos vivos ha-1 |
Supervivencia (%) |
Cobertura media (m2 ha-1) |
Prosopis glandulosa Torr. |
49 |
37 |
76.92 |
0.66±0.08 |
Diospyros texana Scheele |
242 |
121 |
50.00 |
0.58±0.09 |
Cordia boissieri A. DC. |
161 |
64 |
40.00 |
0.23±0.08 |
Ebenopsis ebano (Berland.) Barneby & J. W. Grimes |
215 |
82 |
38.46 |
0.66±0.08 |
Vachellia rigidula (Benth.) Seigler & Ebinger |
104 |
25 |
24.24 |
0.55±0.08 |
Havardia pallens (Benth.) Britton & Rose |
62 |
12 |
20.00 |
0.66±0.08 |
Ehretia anacua (Terán & Berland.) I. M. Johnst. |
189 |
0 |
0.00 |
0.00 |
Senegalia berlandieri (Benth.) Britton & Rose |
87 |
0 |
0.00 |
0.00 |
Celtis pallida Torr. |
42 |
0 |
0.00 |
0.00 |
Parkinsonia aculeata L. |
38 |
0 |
0.00 |
0.00 |
Vachellia farnesiana (L.) Wight & Arn. |
31 |
0 |
0.00 |
0.00 |
Erythrostemon mexicanus (A. Gray) Gagnon & G. P. Lewis |
22 |
0 |
0.00 |
0.00 |
Senegalia greggii (A. Gray) Britton & Rose |
18 |
0 |
0.00 |
0.00 |
Condalia hookeri M. C. Johnst. |
12 |
0 |
0.00 |
0.00 |
Leucophyllum frutescens (Berland.) I. M. Johnst. |
10 |
0 |
0.00 |
0.00 |
Yucca filifera Chabaud |
1 |
0 |
0.00 |
0.00 |
Total |
1 283 |
407 |
31.72 |
|
Este porcentaje de supervivencia, menor al obtenido en otras reforestaciones en el MET (Cuadro 2), puede atribuirse a distintos factores, uno de los principales son las condiciones climatológicas extremas prevalecientes en el noreste de México (Jurado et al.,2006).
Cuadro 2. Estudios previos de evaluación de supervivencia del Matorral Espinoso Tamaulipeco (MET).
Autores y año de publicación |
Municipio y estado |
Objetivo del estudio |
Porcentaje de supervivencia (%) |
Tiempo de establecimiento |
Jurado et al. (2006) |
Cd. Victoria, Tamaulipas |
Identificación de especies para restauración ecológica |
Presentado en gráficas por especie |
1 año |
López y López (2013) |
Linares, Nuevo León |
Plantación ornamental |
70.0 |
16 años |
Foroughbakhch et al. (2014) |
Linares, Nuevo León |
Identificación de especies para restauración ecológica |
99.11 |
5 años |
Vega-López et al. (2017) |
Pesquería, Nuevo León |
Identificación de especies para restauración ecológica |
51.6 |
1 año |
Gutiérrez-Barrientos et al. (2022) |
Pesquería, Nuevo León |
Uso de drones para el monitoreo de plantaciones forestales |
76.07 |
No especificado |
Patiño-Flores et al. (2022) |
Pesquería, Nuevo León |
Reforestación de un área degradada |
49.4 |
41 meses |
Mata et al. (2022) |
Los Ramones, Nuevo León |
Reforestación de un área degradada |
28.7 |
31 meses |
Entre los días del 13 a 20 de febrero de 2021, ocurrió un descenso de temperaturas de hasta -5 °C (Meteored, 2023) que abarcó gran parte del sur de los Estados Unidos de América y norte de México (Yang y Liu, 2023). En estudios previos se han registrado efectos negativos en ecosistemas del matorral debido a la presencia de heladas (Lonard y Judd, 1991; Bojórquez et al., 2021; Mata et al.,2022); los daños se producen en el interior de la planta debido a la formación de hielo en los espacios intercelulares, lo que provoca el rompimiento o deshidratación de la célula (Curzel y Hurtado, 2020).
Algunas especies del MET han desarrollado mecanismos de adaptación que les permiten supervivir a la incidencia de sequías o heladas (González et al., 2004). Los individuos que lograron establecerse en la reforestación (Cordia boissieri y Diospyros texana)tienen conductos estrechos que evitan el proceso de cavitación durante el aumento o descenso de temperaturas, además de que por ellos se desplaza el agua (Maiti et al., 2016). Prosopis glandulosa exhibe un decremento en el área foliar en condiciones de estrés hídrico (Qin et al., 2018), así como raíces profundas que le permiten alcanzar el agua del subsuelo (Johnson et al., 2018).
Ebenopsis ebano presenta una gruesa cutícula mediante la cual disminuye las pérdidas de agua por transpiración (González et al., 2017a), y su alto contenido de clorofila a y clorofila b se relaciona con una gran capacidad fotosintética durante las épocas secas (Maiti et al., 2016). De manera similar, Havardia pallens aumenta su contenido de clorofila, probablemente como adaptación a la temporada invernal (González et al., 2017b). Se ha demostrado que individuos de Vachellia rigidula enfrentan la falta de humedad con el incremento de su potencial hídrico (González et al., 2004).
En el área de estudio se obtuvo un mayor valor de dominancia en la cobertura del estrato herbáceo en comparación con la vegetación de porte arbóreo-arbustivo, tanto de la reforestación como de la regeneración (cuadros 2 y 3). Resultados similares presentaron Albrecht et al. (2022) en un área invadida por pastos exóticos, 23 años después de su reforestación con especies del MET, donde E. ebano y P. glandulosa registraron la menor mortalidad. No obstante, E. ebano y H. pallens,dos de las especies con más cobertura, se han citado como taxones que prefieren un dosel cerrado para su crecimiento (Jurado et al.,2006).
Cuadro 3. Parámetros ecológicos de la regeneración del MET y sus valores relativos.
Familia |
Nombre científico |
Abundancia |
Cobertura |
Frecuencia |
Abundancia Relativa |
Dominancia Relativa |
Frecuencia Relativa |
IVI |
Estrato alto |
||||||||
Fabaceae |
Vachellia rigidula (Benth.) Seigler & Ebinger |
764 |
5.51 |
10 |
23.46 |
5.56 |
7.63 |
12.22 |
Scrophulariaceae |
Leucophyllum frutescens (Berland.) I. M. Johnst. |
344 |
4.73 |
9 |
10.57 |
4.77 |
6.87 |
7.40 |
Celastraceae |
Schaefferia cuneifolia A. Gray |
324 |
3.88 |
8 |
9.95 |
3.91 |
6.11 |
6.66 |
Rhamnaceae |
Rhamnus humboldtiana Schult. |
236 |
4.03 |
9 |
7.25 |
4.06 |
6.87 |
6.06 |
Fabaceae |
Cercidium macrum I. M. Johnst. |
120 |
7.80 |
8 |
3.69 |
7.87 |
6.11 |
5.89 |
Euphorbiaceae |
Jatropha dioica Sessé ex Cerv. |
272 |
1.87 |
9 |
8.35 |
1.89 |
6.87 |
5.70 |
Verbenaceae |
Lantana camara L. |
236 |
2.57 |
9 |
7.25 |
2.59 |
6.87 |
5.57 |
Fabaceae |
Eysenhardtia texana Scheele |
116 |
4.93 |
8 |
3.56 |
4.97 |
6.11 |
4.88 |
Cordiaceae |
Cordia boissieri A. DC. |
76 |
6.15 |
7 |
2.33 |
6.20 |
5.34 |
4.63 |
Solanaceae |
Lycium berlandieri Dunal |
124 |
3.75 |
8 |
3.81 |
3.78 |
6.11 |
4.57 |
Rubiaceae |
Randia rhagocarpa Standl. |
136 |
4.09 |
6 |
4.18 |
4.12 |
4.58 |
4.29 |
Oleaceae |
Forestiera angustifolia Torr. |
72 |
5.21 |
6 |
2.21 |
5.26 |
4.58 |
4.02 |
Asparagaceae |
Yucca filifera Chabaud |
44 |
6.47 |
4 |
1.35 |
6.53 |
3.05 |
3.64 |
Fabaceae |
Havardia pallens (Benth.) Britton & Rose |
32 |
5.46 |
4 |
0.98 |
5.51 |
3.05 |
3.18 |
Zygophyllaceae |
Guaiacum angustifolium Engelm. |
124 |
2.65 |
3 |
3.81 |
2.67 |
2.29 |
2.92 |
Cactaceae |
Cylindropuntia leptocaulis (DC.) F. M. Knuth |
64 |
2.13 |
5 |
1.97 |
2.14 |
3.82 |
2.64 |
Fabaceae |
Chamaecrista greggii (A. Gray) Pollard ex A. Heller |
20 |
3.03 |
5 |
0.61 |
3.06 |
3.82 |
2.50 |
Fabaceae |
Vachellia farnesiana (L.) Wight & Arn. |
16 |
4.85 |
2 |
0.49 |
4.89 |
1.53 |
2.30 |
Euphorbiaceae |
Bernardia myricifolia (Scheele) S. Watson |
8 |
4.10 |
1 |
0.25 |
4.14 |
0.76 |
1.71 |
Verbenaceae |
Lippia graveolens Kunth |
40 |
3.00 |
1 |
1.23 |
3.03 |
0.76 |
1.67 |
Fabaceae |
Prosopis glandulosa Torr. |
4 |
3.60 |
1 |
0.12 |
3.63 |
0.76 |
1.51 |
Euphorbiaceae |
Croton incanus Kunth |
40 |
1.59 |
2 |
1.23 |
1.60 |
1.53 |
1.45 |
Verbenaceae |
Aloysia macrostachya (Torr.) Moldenke |
8 |
3.20 |
1 |
0.25 |
3.23 |
0.76 |
1.41 |
Verbenaceae |
Lantana achyranthifolia Desf. |
4 |
2.00 |
1 |
0.12 |
2.02 |
0.76 |
0.97 |
Asparagaceae |
Agave lechuguilla Torr. |
4 |
1.80 |
1 |
0.12 |
1.82 |
0.76 |
0.90 |
Cactaceae |
Homalocephala texensis (Hopffer) Britton & Rose |
8 |
0.50 |
2 |
0.25 |
0.50 |
1.53 |
0.76 |
Cactaceae |
Ancistrocactus scheeri (Salm-Dyck) Britton & Rose |
20 |
0.24 |
1 |
0.61 |
0.24 |
0.76 |
0.54 |
Total |
3 256 |
99.14 |
131 |
100.00 |
100.00 |
100.00 |
100.00 |
|
Estrato bajo |
||||||||
Poaceae |
Bouteloua gracilis (Kunth) Lag. ex Griffiths |
120 000 |
137.50 |
9 |
45.45 |
7.80 |
20.00 |
24.42 |
Poaceae |
Cynodon dactylon (L.) Pers. |
21 000 |
408.33 |
4 |
7.95 |
23.17 |
8.89 |
13.34 |
Acanthaceae |
Ruellia nudiflora (Engelm. & A. Gray) Urb. |
40 000 |
115.38 |
7 |
15.15 |
6.55 |
15.56 |
12.42 |
Convolvulaceae |
Evolvulus alsinoides (L.) L. |
32 000 |
80.16 |
7 |
12.12 |
4.55 |
15.56 |
10.74 |
Ehretiaceae |
Tiquilia canescens (A. DC.) A. T. Richardson |
15 000 |
235.00 |
4 |
5.68 |
13.33 |
8.89 |
9.30 |
Poaceae |
Melinis repens (Willd.) Zizka |
5 000 |
292.00 |
2 |
1.89 |
16.57 |
4.44 |
7.64 |
Malvaceae |
Meximalva filipes (A. Gray) Fryxell |
6 000 |
63.33 |
3 |
2.27 |
3.59 |
6.67 |
4.18 |
Heliotropiaceae |
Heliotropium angiospermum Murray |
1 000 |
165.00 |
1 |
0.38 |
9.36 |
2.22 |
3.99 |
Malvaceae |
Malvastrum sect. coromandelianum (L.) Garcke |
3 000 |
71.67 |
3 |
1.14 |
4.07 |
6.67 |
3.96 |
Asteraceae |
Thymophylla pentachaeta (DC.) Small |
8 000 |
76.25 |
2 |
3.03 |
4.33 |
4.44 |
3.93 |
Euphorbiaceae |
Euphorbia aleppica var. prostata Kasapligil |
12 000 |
47.92 |
2 |
4.55 |
2.72 |
4.44 |
3.90 |
Bixaceae |
Cochlospermum wrightii (A. Gray) Byng & Christenh |
1 000 |
70.00 |
1 |
0.38 |
3.97 |
2.22 |
2.19 |
Total |
264 000 |
1,763.54 |
45 |
100.00 |
100.00 |
100.00 |
100.00 |
|
Abundancia (N ha-1), Cobertura (m2 ha-1), Frecuencia (N) y Dominancia (%) ordenados de mayor a menor Índice de Valor de Importancia (IVI %).
Caracterización de la vegetación regenerada del MET
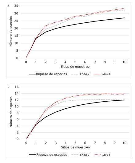
Las curvas de acumulación de especies mostraron una tendencia creciente no asintótica, lo cual indica que se esperaba un mayor número de taxones en ambos estratos (Figura 2). La completitud del muestreo varió entre los estratos alto y bajo (Chao 2=85.09 % y 98.12 %; Jackknife 1=81.08 % y 86.96 %), así como la riqueza estimada entre estimadores (Chao 2=32 y 12 especies; Jackknife 1=33 y 14 especies). No existe un estimador definitivo para todas las situaciones, sin embargo el estimador Jackknife 1 es el más comúnmente aceptado (González-Oreja et al., 2010). Las comunidades arbóreo-arbustivas son las que más se han estudiado para el MET, con registros de riqueza de 30 a 40 especies (Alanís et al., 2015), lo cual denota que el esfuerzo de muestreo ha sido aceptable para este parametro.
a = Estrato alto; b = Estrato bajo.
Figura 2. Curvas de acumulación de especies con dos estimadores no paramétricos (Chao 2 y Jackknife 1).
La comunidad vegetal del estrato alto en el área de estudio está representada por 27 especies distribuidas en 20 familias (Cuadro 3). La abundancia total fue de 3 256 N ha-1 (Figura 3), con una cobertura de 99.14 m2 ha-1. La abundancia es semejante a la de un área de conservación (Yerena et al.,2014), superior a la existente en una de uso pastoril silvícola (Patiño-Flores et al.,2021), pero menor a la de un rancho cinegético en el estado de Coahuila (Encina-Domínguez et al.,2020).
a = Estrato alto; b = Estrato bajo.
Figura 3. Intervalo de abundancia de especies (N ha-1).
La familia con mayor IVI fue Fabaceae, con 26.58 %. Se ha documentado su presencia después de actividades antropogénicas, debido a la tendencia de las especies a esteblecerse en suelos perturbados y con baja concentración de nutrientes, ya que pueden fijar N2 atmósferico (Alanís-Rodríguez et al.,2018).
Vachellia rigidula (Fabaceae) presentó la mayor abundancia en el estrato arbóreo-arbustivo, seguida de Leucophyllum frutescens (Berland.) I. M. Johnst. (Scrophulariaceae) (Figura 3a). Ambos taxones se consideran pioneros y presentan un alto valor de importancia en evaluaciones posteriores a distintos tipos de aprovechamientos (Patiño-Flores et al.,2022). Además, se identifican como parte de la dieta del venado cola blanca (Lozano-Cavazos et al.,2020), lo que contribuye en los procesos de dispersión de estas especies.
Los valores de diversidad alfa (2.63) y de riqueza especifica (3.87) para el estrato alto son superiores a los registrados para una UMA del estado de San Luís Potosí, donde se practica el manejo del venado cola blanca (Dávila-Lara et al.,2019).
Se registró un total de 12 especies para el estrato herbáceo, con una abundancia de 264 000 N ha-1 (Figura 3b) y una cobertura de 1 762.53 m2 ha-1. A la familia Poaceae le correspondió 45.39 %, registrando la mayor importancia; los taxa con el valor de IVI más alto fueron Bouteloua gracilis (Kunth) Lag. ex Griffiths (24.42 %) y Cynodon dactylon (L.) Pers. (13.34 %). La dominancia de estas y otras especies clasificadas como de carácter invasivo en el estrato herbáceo (Carrillo et al.,2009) puede ser el producto de un banco de semillas prevalenciente del periodo de aprovechamiento ganadero, actividad en la cual es común el uso de pastos de rápido crecimiento (Jurado-Guerra et al.,2021).
Para el análisis de la estructura vertical se definieron tres estratos. En el estrato I (alto) se registraron 28 N ha-1, únicamente para Yucca filifera Chabaud; para el estrato II (medio), se tuvieron 112 N ha-1 de las especies Cercidium macrum I. M. Johnst., Cordia boissieri, Havardia pallens, Schaefferia cuneifolia A. Grayy Vachellia rigidula; y en el estrato III (bajo) se presentaron todas las especies del estudio, con un total de 4 084 N ha-1, las más abundantes fueron V. rigidula y B. gracilis. Es importante destacar que la altura de Y. filifera afectó los resultados de este índice, ya que fue la única presente en el estrato I.
El índice de Pretzsch arrojó un resultado de Arel (68.91 %) que se relaciona con una diversidad media, ya que sus valores cercanos a 100 % indican una distribución equitativa de las especies en los tres estratos (Pequeño et al.,2021). Este valor es menor a los indicados para un pastizal con uso agroforestal (Sarmiento-Muñoz et al.,2019) y al de un bosque templado (Silva-García et al.,2021). Lo anterior puede deberse a que las áreas de uso agroforestal sostienen, además de los pastizales, especies leñosas de porte alto con valor comercial, mientras que la altura de los árboles dentro de un bosque templado es mayor a los que se encuentran en ecosistemas de matorral (Vargas-Vázquez et al.,2022).
Finalmente, todas las especies que superviven en la reforestación, con excepción de Ebenopsis ebano y Diospyros texana, estánpresentes en la regeneración de la vegetación, por lo que aportan diversidad al ecosistema (Patiño-Flores et al.,2022).
Conclusiones
El presente estudio aporta información valiosa sobre el estado actual del MET en proceso de recuperación y sometido a una reforestación para la aportación de estructura y diversidad de especies. La diversidad de la vegetación regenerada de manera natural es mayor a la existente en algunas áreas de conservación del MET, y puede atribuirse a la coexistencia de taxa de flora en diferentes etapas de sucesión. Aquellas especies con mayor valor de importancia son características de sitios con historial de aprovechamiento, además de pertenecer a la dieta del venado cola blanca, por lo que la fauna cinegética estaría contribuyendo a su dispersión. Los taxones que lograron establecerse se han citado con un óptimo crecimiento en una densidad de plantación estándar, bajo un dosel arboreo-arbustivo cerrado y una alta dominancia y cobertura de especies herbáceas. Además, en diversos estudios se indican los mecanismos de adaptación que presentan ante las condiciones climatológicas propias de la región. Por lo tanto, se recomienda su uso para futuras reforestaciones con especies nativas que se implementen en condiciones similares al sitio de estudio.
Los resultados ofrecen información de utilidad para la toma de decisiones en el monitoreo y reforestación de las comunidades del MET, además de que resalta la importancia de conocer y estudiar las diferentes etapas sucesionales de un ecosistema previo a su intervención.
Agradecimientos
Se agradece a la empresa IBERDROLA ENERGIA ESCOBEDO, S. A. DE C. V., por todas las facilidades otorgadas para el desarrollo de la presente investigación, y a la Facultad de Ciencias Forestales de la Universidad Autónoma de Nuevo León, particularmente al Programa de Maestría en Restauración Ecológica, por el apoyo brindado.
Conflicto de intereses
Los autores declaran no tener conflicto de intereses.
Contribución por autor
Jose Manuel Mata-Balderas: diseño experimental, gestión de la plantación y escritura del manuscrito; Carla Sofía González-Sánchez: análisis de datos, revisión de literatura y escritura del manuscrito; Karen Alejandra Cavada-Prado: revisión de escritura y redacción; Tania Isela Sarmiento-Muñoz: escritura del manuscrito, revisión de análisis de datos y resultados.
Referencias
Alanís F., G. J., M. A. Alvarado V., L. Ramírez F., C. G. Velazco M. y R. Foroughbakhch P. 2011. Flora endémica de Nuevo León, México y estados colindantes. Journal of the Botanical Research Institute of Texas 5(1):275-298. www.jstor.org/stable/41972517. (17 de junio de 2021).
Alanís R., E., J. Jímenez P., M. A. González T., J. I. Yerena Y., G. Cuellar R. y A. Mora-Olivo. 2013. Análisis de la vegetación secundaria del matorral espinoso tamaulipeco, México. Phyton Revista Internacional de Botánica Experimental 82:185-191. http://www.revistaphyton.fund-romuloraggio.org.ar/vol82/ALANIS_RODRIGUEZ.pdf. (3 de septiembre de 2021).
Alanís R., E., J. Jiménez P., P. A. Canizalez V., H. González R. y A. Mora-Olivo. 2015. Estado actual del conocimiento de la estructura arbórea y arbustiva del matorral espinoso tamaulipeco del noreste de México. Revista Iberoamericana de Ciencias 2(7):69-80. www.researchgate.net/publication/328729600_Estado_actual_del_conocimiento_de_la_estructura_arborea_y_arbustiva_del_matorral_espinoso_tamaulipeco_del_noreste_de_Mexico. (4 de abril de 2022).
Alanís-Rodríguez, E., A. Valdecantos-Dema, P. A. Canizales-Velázquez, A. Collantes-Chávez-Costa, E. Rubio-Camacho y A. Mora-Olivo. 2018. Análisis estructural de un área agroforestal en una porción del matorral xerófilo del noreste de México. Acta Botanica Mexicana 125:133-156. Doi: 10.21829/abm125.2018.1329.
Alanís-Rodríguez, E., J. Jiménez-Pérez, A. Mora-Olivo, J. G. Martínez-Ávalos, … y E. A. Rubio-Camacho. 2015. Estructura y diversidad del matorral submontano contiguo al área metropolitana de Monterrey, Nuevo León, México. Acta Botanica Mexicana 113:1-19. Doi: 10.21829/abm113.2015.1093.
Alanís-Rodríguez, E., V. M. Molina-Guerra, A. Collantes-Chávez-Costa, E. Buendía-Rodríguez, … and A. G. Alcalá-Rojas. 2021. Structure, composition and carbon stocks of woody plant community in assisted and unassisted ecological succession in a Tamaulipan thornscrub, Mexico. Revista Chilena de Historia Natural 94:1-12. Doi: 10.1186/s40693-021-00102-6.
Albrecht, C., Z. Contreras, K. Wahl-Villareal, M. Sternberg and B. O. Christoffersen. 2022. Winners and losers in dryland reforestation: species survival, growth, and recruitment along a 33-year planting chronosequence. Restoration Ecology The Journal of the Society for Ecological Restoration 30(4):e13559. Doi: 10.1111/rec.13559.
Bojórquez, A., A. Martínez-Yrízar and J. C. Álvarez-Yépiz. 2021. A landscape assessment of frost damage in the northmost Neotropical dry forest. Agricultural and Forest Meteorology 308-309:108562. Doi: 10.1016/j.agrformet.2021.108562.
Cantú A., C., F. González S., P. Koleff O., J. Uvalle S., … y E. Ortíz H. 2011. El papel de las unidades de manejo ambiental en la conservación de los tipos de vegetación de Coahuila. Revista Mexicana de Ciencias Forestales 2(6):113-123. Doi: 10.29298/rmcf.v2i6.578.
Carrillo S., S. M., T. Arredondo M., E. Huber-Sannwald y J. Flores R. 2009. Comparación en la germinación de semillas y crecimiento de plántulas entre gramíneas nativas y exóticas del pastizal semiárido. Técnica Pecuaria en México 47(3):299-312. https://repositorio.ipicyt.edu.mx/handle/11627/3656. (20 de julio de 2022).
Clifford, H. T. and W. Stephenson. 1975. An Introduction to Numerical Classification. Academic Press. New York, NY, United States of America. 229 p.
ClimateData. 2023. Clima Cadereyta Jiménez, México. https://es.climate-data.org/america-del-norte/mexico/nuevo-leon/cadereyta-jimenez-58888/. (23 de abril de 2023).
Colwell, R. K. 2023. EstimateS: Statistical estimation of species richness and shared species form samples Versión 9.1. Boulder, CO, United States of America. University of Colorado. https://www.robertkcolwell.org/pages/estimates. (18 de abril de 2023).
Comisión Nacional Forestal (Conafor). 2010. Prácticas de reforestación. Manual básico. Secretaría del Medio Ambiente y Recursos Naturales (Semarnat) y Conafor. Zapopan, Jal., México. 64 p. https://www.conafor.gob.mx/BIBLIOTECA/MANUAL_PRACTICAS_DE_REFORESTACION.PDF. (10 de julio de 2018).
Comisión Nacional Forestal (Conafor). 2015. Compensación Ambiental. Conafor. Zapopan, Jal., México. 5 p. https://www.gob.mx/cms/uploads/attachment/file/123875/Compensacion_Ambiental.pdf. (23 de abril del 2023).
Cuervo-Robayo, A. P., O. Téllez-Valdés, M. A. Gómez-Albores, C. S. Venegas-Barrera, J. Manjarrez y E. Martínez-Meyer. 2015a. Temperatura media anual en México (1910-2009). Comisión Nacional para el Conocimiento y Uso de la Biodiversidad. http://geoportal.conabio.gob.mx/metadatos/doc/html/tman13gw.html. (22 de enero de 2023).
Cuervo-Robayo, A. P., O. Téllez-Valdés, M. A. Gómez-Albores, C. S. Venegas-Barrera, J. Manjarrez y E. Martínez-Meyer. 2015b. Precipitación anual en México (1910-2009). http://geoportal.conabio.gob.mx/metadatos/doc/html/preanu13gw.html. (22 de enero de 2023).
Curzel, V. y R. Hurtado. 2020. Daños por heladas en plantas frutales. Ministerio de Desarrollo Social Argentina, Instituto Nacional de Tecnología Agropecuaria y Ministerio de Agricultura, Ganadería y Pesca Argentina. Ciudad Autónoma de Buenos Aires, C, Argentina. 32 p. https://repositorio.inta.gob.ar/handle/20.500.12123/9286. (23 de abril de 2023).
Dávila-Lara, M. A., Ó. A. Aguirre-Calderón, E. Jurado-Ybarra, E. Treviño-Garza, M. A. González-Tagle y G. Trincado. 2019. Estructura y diversidad de especies arbóreas en bosques templados de San Luis Potosí, México. Ecosistemas y Recursos Agropecuarios 6(18):399-409. Doi: 10.19136/era.a6n18.2112.
Domínguez G., T. G., R. G. Ramírez L., A. E. Estrada C., L. M. Scott M., H. González R. y M. del S. Alvarado. 2012. Importancia nutrimental en plantas forrajeras del matorral espinoso tamaulipeco. CIENCIA UANL 15(59):77-93. www.researchgate.net/publication/264041669_Importancia_nutrimental_en_plantas_forrajeras_del_matorral_espinoso_tamaulipeco. (30 de noviembre de 2021).
Encina-Domínguez, J. A., J. R. Arévalo-Sierra, J. A. Villarreal-Quintanilla y E. Estrada C. 2020. Composición, estructura y riqueza de plantas vasculares del matorral xerófilo en el norte de Coahuila, México. Botanical Sciences 98(1):1-15. Doi: 10.17129/botsci.2251.
Filio-Hernández, E., H. González-Rodríguez, T. G. Domínguez-Gómez, R. G. Ramírez-Lozano, I. Cantú-Silva and M. Del S. Alvarado. 2019. Seasonal water relations in four native plants from northeastern Mexico. Revista Bio Ciencias 6:e605. Doi: 10.15741/revbio.06.e605.
Foroughbakhch, R., J. L. Hernández-Piñero and A. Carrillo-Parra. 2014. Adaptability, growth and firewood volume yield of multipurpose tree species in semiarid regions of Northeastern Mexico. International Journal of Agricultural Policy and Research 2(12):444-453. Doi: 10.15739/IJAPR.016.
Gallina-Tessaro, S. A., A. Hernández-Huerta, C. A. Delfín-Alfonso y A. González-Gallina. 2009. Unidades para la conservación, manejo y aprovechamiento sustentable de la vida silvestre en México (UMA). Retos para su correcto funcionamiento. Investigación Ambiental1(2):143-152. https://biblat.unam.mx/es/revista/investigacion-ambiental-ciencia-y-politica-publica/articulo/unidades-para-la-conservacion-manejo-y-aprovechamiento-sustentable-de-la-vida-silvestre-en-mexico-uma-retos-para-su-correcto-funcionamiento. (23 de marzo de 2022).
García, E. 2004. Modificaciones al sistema de clasificación climática de Köppen (para adaptarlo a las condiciones de la República Mexicoana). Instituto de Geografía de la Universidad Nacional Autónoma de México. Coyoacán, México D. F., México. 90 p. http://www.publicaciones.igg.unam.mx/index.php/ig/catalog/view/83/82/251-1. (22 de enero de 2023).
García, J. F. 2011. Can environmental variation affect seedling survival of plants in northeastern Mexico? Archives of Biological Sciences 63(3):731-737. Doi: 10.2298/ABS1103731G.
González R., H., I. Cantú S., M. V. Gómez M. and R. G. Ramírez L. 2004. Plant water relations of thornscrub shrub species, north-eastern Mexico. Journal of Arid Environments 58(4):483-503. Doi: 10.1016/j.jaridenv.2003.12.001.
González R., H., R. Maiti and A. Kumari C. 2017a. Comparative anatomy of leaf lamina of twenty six woody species of Tamaulipan thornscrub from northeastern Mexico and its significance in taxonomic delimitation and adaptation of the species to xeric environments. Pakistan Journal of Botany 49(2):589-596. https://www.pakbs.org/pjbot/PDFs/49(2)/27.pdf. (3 de mayo de 2021).
González R., H., R. Maiti and A. Kumari. 2017b. Seasonal variation in specific leaf area, epicuticular wax and pigments in 15 woody species from northeastern Mexico during summer and winter. Pakistan Journal of Botany 49(3):1023-1031. http://www.pakbs.org/pjbot/papers/1497350316.pdf. (2 de abril de 2021).
González-Oreja, J. A., A. A. de la Fuente-Díaz-Ordaz, L. Hernández-Santín, D. Buzo-Franco y C. Bonache-Regidor. 2010. Evaluación de estimadores no paramétricos de la riqueza de especies. Un ejemplo con aves en áreas verdes de la ciudad de Puebla, México. Animal Biodiversity and Conservation 33:31-45. Doi: 10.32800/abc.2010.33.0031.
González-Saldívar, F., J. Uvalle-Sauceda, C. Cantú-Ayala, L. Reséndiz-Dávila, D. González-Uribe y C. A. Olguín-Hernández. 2014. Efecto de la precipitación sobre la productividad del matorral espinoso tamaulipeco disponible para Odocoileus virginianus. Agroproductividad 7(5):3-8. https://revista-agroproductividad.org/index.php/agroproductividad/article/view/548. (28 de octubre de 2022).
Gutiérrez-Barrientos, M., J. D. Marín-Solís, E. Alanís-Rodríguez y E. Buendía-Rodríguez. 2022. Evaluación de una restauración mediante dron en el matorral espinoso tamaulipeco. Polibotánica 54(27):71-85. Doi: 10.18387/polibotanica.54.5.
Hortal, J., P. A. V. Borges and C. Gaspar. 2006. Evaluating the performance of species richness estimators: sensitivity to sample grain size. Journal of Animal Ecology 75(1):274-287. Doi: 10.1111/j.1365-2656.2006.01048.x.
Instituto Nacional de Estadística, Geografía e Informática (INEGI). 2013. Ciudad Río Bravo G14-8, Carta Edafológica Serie II, Escala 1:25 000. INEGI. https://www.inegi.org.mx/contenidos/productos/prod_serv/contenidos/espanol/bvinegi/productos/geografia/tematicas/Edafologia_hist/1_250_000/702825236199.pdf. (11 de julio de 2022).
Johnson, D. M., J-C. Domec, Z. Carter B., A. M. Schwantes, … and R. B. Jackson. 2018. Co-occurring woody species have diverse hydraulic strategies and mortality rates during an extreme drought. Plant, Cell & Environment 41(3):576-588. Doi: 10.1111/pce.13121.
Jurado, E., J. F. García, J. Flores and E. Estrada. 2006. Leguminous seedling establishment in Tamaulipan thornscrub of northeastern Mexico. Forest Ecology and Management 221(1-3):133-139. Doi: 10.1016/j.foreco.2005.09.011.
Jurado-Guerra, P., M. Velázquez-Martínez, R. A. Sánchez-Gutiérrez, A. Álvarez-Holguín, … y M. G. Chávez-Ruiz. 2021. Los pastizales y matorrales de zonas áridas y semiáridas de México: Estatus actual, retos y perspectivas. Revista Mexicana de Ciencias Pecuarias 12(3):261-285. Doi: 10.22319/rmcp.v12s3.5875.
Leal-Elizondo, N. A., E. Alanís-Rodríguez, J. M. Mata-Balderas, E. J. Treviño-Garza y J. I. Yerena-Yamallel. 2018. Estructura y diversidad de especies leñosas del matorral espinoso tamaulipeco regenerado postganadería en el noreste de México. Polibotánica 45(23):75-88. https://polibotanica.mx/index.php/polibotanica/article/view/220. (24 de abril de 2023).
Lonard, R. I. and F. W. Judd. 1991. Comparison of the effects of the severe freezes of 1983 and 1989 on native woody plants in the lower Rio Grande Valley, Texas. The Southwestern Naturalist 36(2):213-217. Doi: 10.2307/3671923.
López A., R. y M. López G. 2013. Evaluación y comportamiento paisajístico de especies nativas en Linares, N. L., 16 años de evaluación. Revista Mexicana de Ciencias Forestales 4 (17):164-173. Doi: 10.29298/rmcf.v4i17.429.
López L., Á. y M. Pando M. (Coords.). 2014. Región Citrícola de Nuevo León. Su complejidad territorial en el marco global. Instituto de Geografía de la Universidad Nacional Autónoma de México y Facultad de Ciencias Forestales de la Universidad Autónoma de Nuevo León. Coyoacán, México D. F., México. 382 p.
Lozano-Cavazos, E. A., F. I. Gastelum-Mendoza, L. Reséndiz-Dávila, G. Romero-Figueroa, F. N. González-Saldívar and J. I. Uvalle-Sauceda. 2020. Diet composition of white-tailed deer (Odocoileus virginianus texanus Mearns) identified in ruminal content in Coahuila, Mexico. Agroproductividad 13(6):49-54. Doi: 10.32854/agrop.vi.1702.
Maiti, R., H. Gonzalez R., A. Kumari and N. C. Sarkar. 2016. Research advances on experimental biology of woody plants of a Tamaulipan thorn scrub, northeastern Mexico and research needs. International Journal of Bio-resource and Stress Management 7(5):1197-1205. Doi: 10.23910/IJBSM/2016.7.5.1632a.
Maldonado-Benitez, K. R., A. Aldrete, J. López-Upton, H. Vaquera-Huerta y V. M. Cetina-Alcalá. 2011. Producción de Pinus greggii Engelm. en mezclas de sustrato con hidrogel y riego, en vivero. Agrociencia 45(3):389-398. http://www.redalyc.org/articulo.oa?id=30219764011. (21 de junio del 2023).
Marroquín-Castillo, J. J., E. Alanís-Rodríguez, J. Jiménez-Pérez, O. A. Aguirre-Calderón, … y A. Collantes-Chávez-Costa. 2017. Efecto de la restauración post-minería de la comunidad vegetal del matorral xerófilo, en Nuevo León, México. Acta Botanica Mexicana (120):7-20. Doi: 10.21829/abm120.2017.1262.
Martín C., B. del R., M. Vanoye E., H. A. Dzib R., G. Avilés R. y J. A. Alavez G. 2022. Sobrevivencia de plantas nativas forestales para la reforestación en áreas perturbadas por actividades agropecuarias en el ejido de Arellano, Champotón, Campeche, México. Ciencia Latina Revista Multidisciplinar 6(6):11041-11059. Doi: 10.37811/cl_rcm.v6i6.4184.
Mata B., J. M., K. A. Cavada P., T. I. Sarmiento M. y H. González R. 2022. Monitoreo de la supervivencia de una reforestación con especies nativas del matorral espinoso tamaulipeco. Revista Mexicana de Ciencias Forestales 13(71):28-52. Doi: 10.29298/rmcf.v13i71.1229.
Meteored. 2023. Histórico del clima en Guadalupe. https://www.meteored.mx/guadalupe/historico. (24 de abril de 2023).
Molina-Guerra, V. M., A. Mora-Olivo, E. Alanís-Rodríguez, B. E. Soto-Mata y A. M. Patiño-Flores. 2019. Plantas características del matorral espinoso tamaulipeco en México. Universitaria de la Universidad Autónoma de Nuevo León. Monterrey, NL, México. 114 p.
Molina-Guerra, V. M., E. Alanís-Rodríguez, A. Collantes-Chávez-Costa, A. Mora-Olivo, E. Buendía-Rodríguez y E. de la Rosa-Manzano. 2023. Restauración de un fragmento de matorral espinoso tamaulipeco: respuesta de ocho especies leñosas. Colombia Forestal 26(1):36-47. Doi: 10.14483/2256201X.19056.
Mora D., C. A., E. Alanís R., J. Jiménez P., M. A. González T., J. I. Yerena Y. y L. G. Cuellar R. 2013. Estructura, composición florística y diversidad del matorral espinoso tamaulipeco, México. Ecología Aplicada 12(1):29-34. Doi: 10.21704/rea.v12i1-2.435.
Mueller-Dombois, D. and H. Ellenberg. 1974. Aims and methods of vegetation ecology. John Wiley and Sons, Inc. New York, NY, United States of America. 547 p.
Patiño-Flores, A. M., E. Alanís-Rodríguez, E. Jurado, H. González-Rodríguez, O. A. Aguirre-Calderón y V. M. Molina-Guerra. 2021. Estructura y diversidad del matorral espinoso tamaulipeco regenerado posterior a uso pecuario. Polibotánica 52(26):75-88. Doi: 10.18387/polibotanica.52.6.
Patiño-Flores, A. M., E. Alanís-Rodríguez, V. M. Molina-Guerra, E. Jurado, … y A. Collantes-Chávez-Costa. 2022. Regeneración natural en un área restaurada del matorral espinoso tamaulipeco del Noreste de México. Ecosistemas y Recursos Agropecuarios 9(1):e2853. Doi: 10.19136/era.a9n1.2853.
Pequeño L., M. Á., E. Alanís R., V. M. Molina G., A. Collantes-Chávez-Costa and A. Mora-Olivo. 2021. Structure and diversity of a shrub Helietta parvifolia (A. Gray ex Hemsl.) Benth. Revista Mexicana de Ciencias Forestales 12(63):88-113. Doi: 10.29298/rmcf.v12i63.762.
Pequeño-Ledezma, M. Á., E. Alanís-Rodríguez, J. Jiménez-Pérez, O. A. Aguirre-Calderón, M. A. González-Tagle y V. M. Molina-Guerra. 2017. Análisis estructural de dos áreas del matorral espinoso tamaulipeco del noreste de México. Madera y Bosques 23(1):121-132. Doi: 10.21829/myb.2017.2311125.
Pontifes, P. A., P. M. García-Meneses, L. Gómez-Aíza, A. I. Monterroso-Rivas and M. Caso-Chávez. 2018. Land use/land cover change and extreme climatic events in the arid and semi-arid ecoregions of Mexico. Atmósfera 31(4):355-372. Doi: 10.20937/atm.2018.31.04.04.
Pretzsch, H. 2009. Forest Dynamics, Growth and Yield. From Measurement to Model. Springer-Verlag. Heidelberg, BW, Germany. 664 p.
Qin, J., Z. Shangguan and W. Xi. 2018. Seasonal variations of leaf traits and drought adaptation strategies of four common woody species in South Texas, USA. Journal of Forestry Research 30(3):1-11. Doi: 10.1007/s11676-018-0742-2.
Ramírez D., M. 2011. Metodología para realizar y presentar los Informes de Supervivencia Inicial (ISI) de las plantaciones forestales comerciales (Aspectos técnicos). Comisión Nacional Forestal (Conafor), ProÁrbol y Secretaría de Medio Ambiente y Recursos Naturales (Semarnat). Zapopan, Jal., México. 19 p. www.conafor.gob.mx:8080/documentos/ver.aspx?grupo=6&articulo=1564. (03 de junio de 2021).
Rodríguez-Rojas, J. J., Á. Rodríguez-Moreno, M. Berzunza-Cruz, G. Gutiérrez-Granados, … and E. A. Rebollar-Téllez. 2017. Ecology of phlebotomine sandflies and putative reservoir hosts of leishmaniasis in a border area in Northeastern Mexico: implications for the risk of transmission of Leishmania mexicana in Mexico and the USA. Parasite 24:1-17. Doi: 10.1051/parasite/2017034.
Sarmiento-Muñoz, T. I., E. Alanís-Rodríguez, J. M. Mata-Balderas y A. Mora-Olivo. 2019. Estructura y diversidad de la vegetación leñosa en un área de matorral espinoso tamaulipeco con actividad pecuaria en Nuevo León, México. CienciaUAT 14(1):31-44. Doi: 10.29059/cienciauat.v14i1.1001.
Schlegel, B., J. Gayoso y J. Guerra. 2001. Manual de procedimientos para inventarios de carbono en ecosistemas forestales. Universidad Austral de Chile. Valdivia, ZAL, Chile. 15 p. https://www.ccmss.org.mx/wp-content/uploads/2014/10/Manual_de_procedimiento_para_inventarios_de_carbono_en_ecosistemas_forestales.pdf. (3 de junio de 2021).
Serna-Lagunes, R., A. Olguín-Hernández, J. A. Pérez-Sato, C. G. García-García, I. Casas-López y J. Salazar-Ortíz. 2013. Venado Veracruzano (Odocoileus virginianus veraecrucis): Una opción para la ganadería diversificada y la conservación de ecosistemas. Agroproductividad 6(5):58-64. https://revista-agroproductividad.org/index.php/agroproductividad/article/view/485. (23 de abril del 2023).
Servicio Meteorológico Nacional (SMN). 2023. Normales Climatológica por Estado.https://smn.conagua.gob.mx/es/informacion-climatologica-por-estado?estado=nl.(21 de abril del 2023).
Shannon, C. E. and W. Weaver. 1949. The Mathematical Theory of Communication. University of Illinois Press. Illinois, IL, United States of America. 117 p.
Silva-García, J. E., O. A. Aguirre-Calderón, E. Alanís-Rodríguez, E. Jurado-Ybarra, J. Jiménez-Pérez y B. Vargas-Larreta. 2021. Estructura y diversidad de especies arbóreas en un bosque templado del noroeste de México. Polibotánica 52:89-102. Doi: 10.18387/polibotanica.52.7.
Vargas-Vázquez, V. A., N. I. Sánchez-Rangel, C. J. Vázquez-Reyes, J. G. Martínez-Ávalos and A. Mora-Olivo. 2022. Composition and structure of a low semi-thorn shrubland in Northeastern Mexico. Botanical Sciences 100(3):748-758. Doi: 10.17129/botsci.2970.
Vega-López, J. A., E. Alanís-Rodríguez, V. M. Molina-Guerra, E. Buendía-Rodríguez, J. D. Marín-Solís y A. G. Alcalá-Rojas. 2017. Selección de especies arbóreas y arbustivas para la restauración del matorral espinoso tamaulipeco. Árido-Ciencia 2(1):3-10. http://fcbujed.com/aridociencia/numeros/2017/VIIN2/articulo1.pdf. (21 de abril del 2023).
Venegas L., M. 2016. Manual de mejores prácticas de restauración de ecosistemas degradados, utilizando para reforestación solo especies nativas en zonas prioritarias. Comisión Nacional Forestal, Comisión Nacional para el Conocimiento y Uso de la Biodiversidad, Global Environment Facility y Programa de las Naciones Unidas para el Desarrollo. Zapopan, Jal., México. 160 p. https://www.biodiversidad.gob.mx/media/1/especies/Invasoras/files/comp1/Manual_reforestacion_utilizando_especies_nativas.pdf. (14 de marzo de 2022).
Villarreal G., J. G. 2014. Veinte años de la repoblación de venado cola blanca texano en Cerralvo, Nuevo León, México. CIENCIA UANL 17(67):63-68. https://cienciauanl.uanl.mx/wp-content/uploads/2014/07/repoblarvenado1767.pdf. (7 de julio de 2022).
Whittaker, R. H. 1972. Evolution and measurement of species diversity. Taxon The Journal of the International Association for Plant Taxonomy 21(2-3):213-251. Doi: 10.2307/1218190.
Willott, S. J. 2001. Species accumulation curves and the measure of sampling effort. Journal of Applied Ecology 38(2):484-486. Doi: 10.1046/j.1365-2664.2001.00589.x.
Yang L. and M. Liu. 2023. 2021 February Texas ice storm induced spring GPP reduction compensated by the higher precipitation. Earth's Future (11):1-13. Doi: 10.1029/2022EF003030.
Yerena Y., J. I., J. Jiménez P., E. Alanís R., O. A. Aguirre C., M. A. González T. y E. J. Treviño G. 2014. Dinámica de la captura de carbono en pastizales abandonados del noreste de México. Tropical and Subtropical Agroecosystems 17:113-121. https://www.redalyc.org/pdf/939/93930735009.pdf. (19 de noviembre de 2022).
Todos los textos publicados por la Revista Mexicana de Ciencias Forestales –sin excepción– se distribuyen amparados bajo la licencia Creative Commons 4.0 Atribución-No Comercial (CC BY-NC 4.0 Internacional), que permite a terceros utilizar lo publicado siempre que mencionen la autoría del trabajo y a la primera publicación en esta revista.