Revista Mexicana de Ciencias Forestales Vol. 14 (78)

Junio - Agosto (2023)

Logotipo, nombre de la empresa

Descripción generada automáticamente

DOI: https://doi.org/10.29298/rmcf.v14i78.1330

Research Article

 

Ecuaciones de razón de volumen para Pinus oocarpa Schiede ex Schltdl. del estado de Nayarit, México

Ratio volume equations of Pinus oocarpa Schiede ex Schltdl. from Nayarit State, Mexico

 

Francisco Javier Hernández1*, Luis Alberto Simental Serrano2, José Ciro Hernández Díaz3, Christian A. Wehenkel3, José Ángel Prieto Ruíz3, Juan Abel Nájera Luna1

 

Fecha de recepción/Reception date: 30 de diciembre de 2022

Fecha de aceptación/Acceptance date: 30 de junio del 2023

_______________________________

1Instituto Tecnológico de El Salto, División de Estudios de Posgrado e Investigación. México.

2Universidad Juárez del Estado de Durango, Facultad de Ciencias Forestales y Ambientales. México.

3Universidad Juárez del Estado de Durango, Instituto de Silvicultura e Industria de la Madera. México.

 

*Autor para correspondencia: correo-e: fcojhernan@yahoo.com.mx

*Corresponding author; e-mail: fcojhernan@yahoo.com.mx

 

Abstract

Ratio volume equations are precise mathematical alternatives to estimate merchantable volume of tree species. The objective of the present study was to evaluate the goodness of fit of three commercial volume models associated to height ratio and three taper models to conform a commercial volume-taper equations system of Pinus oocarpa growing at the state of Nayarit, Mexico. To carry out this study, 76 trees were selected for models fitting and 20 for validation over the entire study area. The models were fitted applying seemingly unrelated regression (SUR) in the statistic software SAR 9.2. The goodness of fit of the models was evaluated throughout the comparison of the Coefficient of determination, Root mean square error, Coefficient of variation and Akaike Information Criterium; meanwhile, it was considering the mean bias, absolute mean error, aggregate difference in percentage, Coefficient of determination, Root mean square error and the value of the slope parameter of a lineal regression model for equations validation. The Coefficient of determination and Root mean square error of the best commercial volume model were 0.9727 and 0.0651, and for taper models were 0.9579 and 2.7797, respectively. The validation process allowed to select the commercial volume and taper equations system S2 as the best to estimate volume and diameter at any stem height of P. oocarpa.

Key words: Tree taper, Pinus oocarpaSchiede ex Schltdl., Schumacher-Hall, commercial volume, ratio volume, total volume.

Resumen

Las ecuaciones de razón de volumen son una opción viable para estimar con precisión el volumen comercial maderable de las especies forestales. El objetivo del presente estudio fue evaluar el ajuste de tres modelos de volumen comercial asociados a la razón de la altura y tres de ahusamiento para conformar un sistema de ecuaciones de volumen comercial-ahusamiento para Pinus oocarpa en el estado de Nayarit. Los datos provienen de la medición de 76 árboles para ajustar los modelos y 20 para validarlos. El ajuste se hizo con PROC MODEL, y se aplicaron regresiones aparentemente no relacionadas (SUR) en el software estadístico SAS 9.2. Los estadísticos de ajuste fueron el Coeficiente de Determinación Ajustado, Raíz del Cuadrado Medio del Error, Coeficiente de Variación y Criterio de Información de Akaike; los de validación fueron el sesgo promedio, error absoluto promedio, porcentaje de la diferencia agregada, Coeficiente de Determinación, Raíz del Cuadrado Medio del Error y los valores del parámetro de la pendiente de la regresión lineal entre datos observados y estimados. El Coeficiente de Determinación y la Raíz del Cuadrado Medio del Error que resultaron del ajuste del mejor modelo de volumen comercial fueron 0.9727 y 0.0651, mientras que los del mejor modelo de ahusamiento fueron 0.9579 y 2.7797. En conclusión, el proceso de validación permitió seleccionar al sistema de ecuaciones de volumen comercial y ahusamiento S2 como el mejor para estimar el volumen y el diámetro a cualquier altura del fuste para P. oocarpa.

Palabras clave: Ahusamiento, Pinus oocarpaSchiede ex Schltdl., Schumacher-Hall, volumen comercial, volumen de razón, volumen total.

 

 

Introduction

 

 

One of the primary activities in the valuation of forests is the estimation of the total and commercial volumetric stocks of wood in tree species. It has been accomplished by applying independently adjusted (Demaerschalk, 1972; Burkhart, 1977; Clutter, 1980; Lynch et al., 1992) or simultaneously integrated volume and trade models (Fang et al., 2000; Cruz-Cobos et al., 2008; Crecente-Campo et al., 2009; Corral-Rivas et al., 2017; Silva-González et al., 2018; Flores et al., 2021). In the first case, although the adjustment of the regression models may be significant, the estimation of the commercial volume throughout the stem presents inconsistencies, evidenced by the crossing of the curves when estimating commercial volumes of trees of different diameter categories (Burkhart, 1977). For the second case, taper equations have been developed, which are adjusted simultaneously with their respective volume equations to estimate both the total volume and the commercial volume (Fang et al., 2000; Cruz-Cobos et al., 2008; Silva-González et al., 2018; Flores et al., 2021).

Another alternative to estimate the commercial volume of timber species is through the use of volume ratio equations integrated to one of total volume (Trincado et al., 1997; Zhao and Kane, 2017). Based on the minimum diameter or length of the logs required for processing, the percentage of the commercial volume of individual trees is estimated as the ratio of commercial volume over the total volume (Burkhart, 1977; Barrios et al., 2014). Although it is recognized that simultaneously adjusted taper and volume systems result in efficient and precise estimators, volume ratio models, apart from being also precise, have the advantage of avoiding complex integration methods in estimating trade volume (Trincado et al., 1997); in addition, they also allow to derive compatible taper equations based on the relative heights (García-Espinoza et al., 2018) from them.

Pinus oocarpa Schiede ex Schltdl. is widely distributed naturally over the Sierra Madre Oriental, the Sierra Madre Occidental and the Neovolcanic Cross Axis (Fabián-Plesníková et al., 2020), and therefore, in the temperate zones typical of the mid-mountain state of Nayarit. Its soft, moderately heavy and easy-drying wood is used for heavy construction, general use structures, as well as sleepers, packaging, joinery and carpentry, among other uses (Instituto Nacional de Bosques, 2017).

In order to present mathematical options that allow the assessment of timber products efficiently and accurately to contribute to sustainable forest management, this study aims to evaluate the fit of three commercial volume models, composed of the Schumacher-Hall total volume model (Schumacher y Hall, 1933) and the height ratio, and three tapers to form a system of commercial volume and taper equations for Pinus oocarpa in the state of Nayarit, Mexico.

 

 

Materials and Methods

 

 

Study area

 

 

This research study was carried out in the Santa María de Picachos ejido, Huajicori municipality, Nayarit, Mexico, located in the physiographic region of the Sierra Madre Occidental that crosses the northeastern part of the state. The ejido has 34 000 ha, mostly covered by pine and oak mixed species that grow between 1 800 and 2 180 masl (Figure 1). The climate is humid semi-warm of C group, the average annual temperature is 18 °C, and the annual mean rainfall was 1 294 mm. The dominant soils are of the eutric Regosol type, followed by eutric Cambisol and ortic Luvisol (INEGI, 2017).

 

 

Figure 1. Location of the study area in the Santa María de Picachos ejido, Huajicori municipality, Nayarit, Mexico. 

 

 

Sampling

 

 

The information on taper and volume was obtained from a sample of 96 P. oocarpa trees, which were healthy, straight and without damage or physical defects. The sample was representative of all the conditions where the species is distributed within the forest area of the ejido. Trees were cut as close to the ground surface as possible; once felled, the diameters of the stem with bark were measured at the height of the cut, 1.3 m from the ground and subsequently at intervals of 2.6 m until reaching the tip of the tree. For this measurement, a 283D Model Forestry Suppliers® diameter tape was used; the lengths of the sections, measured with a FH-8M Model Trupper® flexometer were recorded as the respective heights along the stem.

The database included 1 201 pairs of diameter (dij) and height (hij), data including normal diameter (Dni) and total height (Hi), where the subscripts i and jindicate tree number and any point on the stem, respectively. Of the total pairs of data obtained from 76 trees, 888 were used to fit the models of commercial volume and taper, the complement was used for the validation process.

The volumes of the stump, logs and tip of the stems of each tree were estimated with the geometric equations of the cylinder, Smalian and cone, respectively (Cancino, 2012). The sum of the volumes of the stump, stem and tip of each tree is equal to the total volume of the stem with bark of each tree.

 

 

Volume Ratio, Trade Volume and Taper Models

 

 

The volume ratio models  that use as an independent variable the proportion  of the given heights along the stem (h) over the total height (H) (Table 1), were selected from Zhao and Kane (2017). Such models have the following properties:

  1. The ratio of the commercial volume to the total volume is equal to zero at the base of the tree when the ratio of the commercial height to the total is equal to zero.
  2. The ratio of the commercial volume to the total volume is equal to one to the total height of the tree when the ratio of the commercial height to the total is equal to one.
  3. The increase in the ratio of the commercial volume to the total volume with respect to the increase in the ratio of the commercial height to the total height would be equal to or greater than zero.
  4. The increase in the ratio of the commercial volume with respect to the increase in the height ratio decreases as the ratio of the commercial height of the tree increases.

 

Table 1. Simultaneously fitted models of commercial volume and taper for Pinus oocarpa Schiede ex Schltdl. in Santa María de Picachos ejido, Huajicori municipality, Nayarit, Mexico.

S1, S2, S3 = Systems of commercial volume-taper equations; Dn = Diameter at 1.3 m height from the ground; h = Commercial height of the stem; p = ; H = Total height of the tree; k = ;  = 3.141592; αi y βi = Parameters to estimate. 

 

The commercial volume (Vh) models, composed of the Schumacher-Hall total volume model implicit in the volume ratio models, which were adjusted simultaneously with the taper models (Vh), were derived and referred by Lynch et al. (2017). The simultaneous adjustment of the models allows algebraic compatibility, in such a way that the equations of commercial volume share the same estimators of the parameters with those of taper, and minimize the errors of commercial volume and diameters (Álvarez-González et al., 2007; Quiñonez-Barraza et al., 2019).

The estimation of commercial volume from the volume ratio requires the application of a total volume equation; in this case, the Schumacher-Hall total volume model was selected, which considers the normal diameter (Dn) and the total height of the stem (H) as predictor variables: 

 

    

 

Where:

Vt = Total volume (m3)

Dn = Normal diameter (cm)

H = Total height (m)

 = Error term

Bi = Parameters to be estimated

 

The simultaneous adjustment of the commercial volume models with the taper models was carried out with the PROC MODEL command, in which apparently unrelated regressions (SUR) were applied, in the statistical program SAS 9.2 (Statistical Analysis System, 2004).

Normally, volume estimates present heteroscedasticity problems, which makes it necessary to eliminate their impact. In this study, the heteroscedasticity problem was corrected in the trade volume models using weighted regression. The weighting factor of the models was the reciprocal of , where Dn and Hare the allometric variables used in the volume model, θ the parameter that is estimated from the potential regression  (Parresol, 1999; Zhang et al., 2016; Simental-Cano et al., 2017). The diagnosis of autocorrelation between the errors of the trade volume and taper models was made by applying the Durbin Watson (DW) test and the correction with the CAR(2) second-order autoregressive model (Zimmerman et al., 2001), using the following structure:

 

    

 

Where:

eij = jth ordinary residual of the ith tree

d1 = 1 for j>1

d2 = 1 for j>2

d1 = 0 for j=1

d2 = 0 for j≤2

hij-hij−1 and hij-hij−2 = Distances between the observations  j to j-1 and j to j-2 within each tree, hij>hij-1 and hij>hij−2

ρ1 and ρ2 = First and second order autoregressive parameters, respectively

 

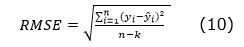
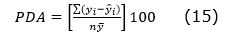
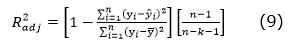
The goodness of fit of the commercial volume-taper systems were evaluated by comparing the adjusted Coefficient of determination , Root mean square of the error (RMSE), Akaike's information criterion (AIC) and Coefficient of variation (CV), while the validation was determined through the average bias (E), average absolute error (EAP) and the percentage of the added difference (PDA) (Diéguez et al., 2003; Barrios et al., 2014; García et al., 2017). In addition, the relationship between the observed and estimated values was analyzed, using the coefficient of determination (R2) and the RMSE (García et al., 2017).

 

     

 

     

 

     

 

     

 

    

 

    

 

    

 

Where:

 

Results

 

 

The R2adj, RMSE, AIC and CVstatistics derived from the simultaneous adjustment of the compatible models of commercial volume and taper indicated that those that make up the S2 system were the best fit. In turn, by applying the CAR(2) second-order autoregressive error structure to the data used to fit the commercial volume models, DW values around 1.98 were obtained, while those of taper varied between 1.43 and 1.75, which showed that the correction of the autocorrelation of the errors in the estimation of the commercial volume is fulfilled (Table 2).

 

Table 2. Goodness-of-fit statistics of the commercial volume (Vh) y and taper (d) models for Pinus oocarpa Schiede ex Schltdl. in Santa María de Picachos ejido, Huajicori municipality, Nayarit, Mexico.

System

Model

R2adj

RMSE

AIC

CV

DW

S1

Vh

d

0.9702

0.9319

0.0687

3.7485

836.1585

-1 666.7140

15.1914

11.9578

1.9794

1.4411

S2

Vh

d

0.9727

0.9579

0.0651

2.7797

-1 734.9126

614.3040

15.1408

8.3741

1.9805

1.4299

S3

Vh

d

0.8187

0.6412

0.1694

8.6036

-1 101.5739

1 356.2510

32.8997

31.4545

1.9830

1.7540

R2adj = Adjusted coefficient of determination; RMSE = Root mean square of the error; AIC = Akaike information criterion; CV = Coefficient of variation; DW = Value of the Durbin-Watson statistic.

 

Based on the significance level of 0.05, all the estimators of the parameters of the fitted models are highly significant (Pr<0.0001) (Table 3); therefore, they are reliable in predicting commercial volume and tree taper of P. oocarpa. 

 

Table 3. Parameter estimators and associated statistics of the adjusted commercial volume and taper systems in Pinus oocarpa Schiede ex Schltdl. in Santa María de Picachos ejido, Huajicori municipality, Nayarit, Mexico.

 

The validation of the adjusted commercial volume and taper systems indicates that S2 presents the best statistics. The average bias is close to zero, while the average absolute bias, the percentage in accumulated difference and the RMSE, present the lowest values, as well as the highest R2. In addition to the good adjustment of the models of commercial volume and the taper that make up the S2 system, these models are parsimonious and, therefore, easier to apply than others with a greater number of parameters (Table 4).

 

Table 4. Statistics of the validation process of the commercial volume (Vh) and taper (d) models adjusted for Pinus oocarpa Schiede ex Schltdl. in Santa María de Picachos ejido, Huajicori municipality, Nayarit, Mexico.

System

Model

E

EAP

PDA

R2

RMSE

β1

S1

Vh

d

-0.0299

2.1253

0.0496

2.9145

16.29

12.15

0.9761

0.9546

0.0614

3.0593

0.985

0.977

S2

Vh

d

-0.0017

1.4181

0.0397

1.8153

13.13

6.78

0.9773

0.9751

0.0599

2.1336

1.036

1.062

S3

Vh

d

0.1035

2.8761

0.1127

5.4071

30.34

18.89

0.9057

0.8098

0.1222

5.9083

1.166

1.036

E = Average absolute bias; EAP = Average absolute error; PDA = Percentage in accumulated difference; R2 = Coefficient of determination; RMSE = Root mean square error; β1 = Value of the slope.

 

The relationships between the observed volume against the estimate and between the observed diameter against the estimate of the S2 system show a linear trend with values of the slope β1 of 1.036 and 1.062, respectively, which are very close to unity, which confirms that the volume and taper models that make up S2 have a good fit in their predictions (Barrios et al., 2014).

Prior to fitting the commercial volume and taper models, the Schumacher-Hall total volume model was independently fitted to corroborate its efficiency in estimating total volume in P. oocarpa. The R2 and RMSE statistics in Table 5 show that this model presents a good fit. In turn, the estimated value of the slope of the linear regression between the observed and the estimated volume (β1=1.024), as well as the average bias at the tree level (0.00117) applied for validation confirm the good precision of the adjustment of the Schumacher-Hall model.

 

Table 5. Estimators of the parameters of the total Schumacher-Hall volume model and of the slope parameter of the linear regression applied in the validation in Pinus oocarpa Schiede ex Schltdl. 

V = Total volume estimated with the Schumacher-Hall equation; Vobs = Calculated volume with field data; Dn = Normal diameter of the stem at 1.30 m height; H = Total height of the stem; Bi = Parameter estimators.

 

 

Discussion

 

 

The decision to fit and apply the Schumacher-Hall volume model to the volume ratio models was made because this model has been successfully fitted to a high diversity of species and regions of Mexico. As examples, Corral-Rivas and Návar-Chaidez (2009), Tapia and Návar (2011), Ramos-Uvilla et al. (2014) and Hernández-Ramos et al. (2021). Furthermore, in recent years, this volume model has been extensively fitted simultaneously with taper models to estimate the commercial volume of several softwood and broadleaf species by Hernández-Ramos et al.(2017), Özçelik and Cao (2017), García-Espinoza et al. (2018), Zhao et al.(2018) and Hernández-Ramos et al. (2021). The analysis of the residuals resulting from the adjustment of the Schumacher-Hall volume model shows that, by including the weighting of the errors, the variance was partially corrected. According to Hernández-Ramos et al. (2018), avoiding weighting the errors when fitting the volume models results in an increase in them as the dependent variable increases.

When analyzing the parameter estimators of the implicit volume ratio models in the commercial volume models of the S1 and S2 systems, it is observed that they are within the specifications of Zhao and Kane (2017), who mention that the estimator of the parameter β1 of the implicit ratio model in the S1 commercial volume equation must be greater than one (β1=2.771476), and that parameter β1 associated with the ratio model of the equation to estimate the S2 commercial volume must also be greater than one (β1=1.824767), while that of β2 must be between zero and one (β2=0.834866).

In general, the S2 system showed the highest precision both in estimating trade volume and taper. The validation statistics of the models that make up S2, as well as the linear trend that forms the relationship between the observed data against the estimates, prove that the estimators of the S2 system parameters are efficient (Rachid et al., 2014). 

In turn, the statistics reported by Alemdag (1988), when deriving and adjusting several models of volume ratio to Pinus resinosa Aiton and Acer saccharum Marshall, as well as those of Hernández-Ramos et al. (2018), by adjusting various volume ratio equations that are a function of the proportion of diameter at different heights against the normal diameter and of the height at different sections of the stem against total height to estimate the commercial volume of Swietenia macrophylla King, indicate that the ratio models that are a function of the height proportion are more accurate than those that are a function of the diameter proportion.

In the case of this study, the commercial volume models that have implicit volume ratio models that use the proportion of height, show a high precision in the estimation of commercial volumes.

Garcia-Espinoza et al. (2018), when adjusting the Schumacher total volume model with six ratio models, whose independent variable was the proportion of heights  for Pinus pseudostrobus Lindl., considered as in this study, that both the commercial volume model and the taper model that make up S2 had good adjustments. The R2 reported by the aforementioned authors were 0.998 and 0.982, the RMSE equal to 0.028 and 1.722 for commercial volume and taper, respectively, statistics slightly higher than those estimated in the present study for P. oocarpa.

In turn, Zhao and Kane (2017), by adjusting eight ratio equations that comply with the four relative accumulation properties of the stems to estimate the accumulated volume of the Pinus taeda L. stem, also determined that S2 was the best, followed by S1.

Quiñonez-Barraza et al. (2019) revealed that, of 11 systems adjusted to five pine species, S2 was considered the most parsimonious for presenting fewer than six parameters, which is why they also selected the S2 system as the second best for predicting both commercial volume and the taper. Because the expression of the commercial height (h) is undefined for the taper model of the S2 system, it can be estimated through iterations using numerical methods designed for it (Lynch et al., 2017).

 

 

Conclusions

 

 

The analysis on the simultaneous and compatible adjustment of commercial volume and taper systems, showed that the volume ratio models are a reliable option to estimate the commercial volume of Pinus oocarpa trees. According to the adjustment statistics and the validation process, the commercial volume and taper models of the S2 system allow to reliably determine the commercial volume, the total volume, as well as the stem profile in specimens of P. oocarpa in the study area.

 

Acknowledgements

 

The authors thank the owners of the Santa María de Pichachos ejido for allowing the information to be collected within their land, as well as the Tecnológico Nacional de México through the Instituto Tecnológico de El Salto for the financial facilities granted to obtain the field information.

 

Conflict of interest

 

The authors declare that they have no conflict of interest regarding the publication of this document.

 

Contribution by author

 

Francisco Javier Hernández and Luis Alberto Simental Serrano: design, data collection and analysis and writing of the manuscript; José Ciro Hernández Díaz, Christian A. Wehenkel, José Ángel Prieto Ruíz and Juan Abel Nájera Luna: data analysis, discussion process and review of the manuscript. 

 

 

References

Alemdag, I. S. 1988. A ratio method for calculating stem volume to variable merchantable limits, and associated taper equations. The Forestry Chronicle 64(1):18-26. Doi: 10.5558/tfc64018-1.

Álvarez-González, J. G., R. Rodríguez-Soalleiro y A. Rojo-Alboreca. 2007. Resolución de problemas del ajuste simultáneo de sistemas de ecuaciones: heterocedasticidad y variables dependientes con distinto número de observaciones. Cuadernos de la Sociedad Española de Ciencias Forestales 23:35-42. Doi: 10.31167/csef.v0i23.9603.

Barrios, A., A. M. López y V. Nieto. 2014. Predicción de volúmenes comerciales de Eucalyptus grandis a través de modelos de volumen total y de razón. Colombia Forestal 17(2):137-149. Doi: 10.14483/udistrital.jour.colomb.for.2014.2.a01.

Burkhart, H. E. 1977. Cubic-foot volume of loblolly pine to any merchantable top limit. Southern Journal of Applied Forestry 1(2):7-9. Doi: 10.1093/sjaf/1.2.7.

Cancino C., J. O. 2012. Dendrometría básica. Departamento Manejo de Bosques y Medio Ambiente, Facultad de Ciencias Forestales, Universidad de Concepción. Concepción, CCP, Chile. 163 p. http://repositorio.udec.cl/bitstream/11594/407/2/Dendrometria_Basica.pdf. (9 de junio de 2023).

Clutter, J. L. 1980. Development of taper functions from variable-top merchantable volume equations. Forest Science 26(1):117-120. Doi: 10.1093/forestscience/26.1.117.

Corral-Rivas, J. J., D. J. Vega-Nieva, R. Rodríguez-Soalleiro, C. A. López-Sánchez, … and A. D. Ruiz-González. 2017. Compatible system for predicting total and merchantable stem volume over and under bark, branch volume and whole-tree volume of pine species. Forests 8(11):417. Doi: 10.3390/f8110417.

Corral-Rivas, S. y J. de J. Návar-Cháidez. 2009. Comparación de técnicas de estimación de volumen fustal total para cinco especies de pino de Durango, México. Revista Chapingo Serie Ciencias Forestales y del Ambiente 15(1):5-13. http://www.scielo.org.mx/pdf/rcscfa/v15n1/v15n1a1.pdf. (28 de febrero de 2023).

Crecente-Campo, F., A. Rojo A. and U. Diéguez-Aranda. 2009. A merchantable volume system for Pinus sylvestris L. in the major mountain ranges of Spain. Annals of Forest Science 66(8):1-12. Doi: 10.1051/forest/2009078.

Cruz-Cobos, F., H. M. De los Santos-Posadas y J. R. Valdez-Lazalde. 2008. Sistema compatible de ahusamiento-volumen para Pinus cooperi Blanco en Durango, México. Agrociencia 42(4):473-485. https://www.redalyc.org/articulo.oa?id=30211241010. (28 de febrero de 2023).

Demaerschalk, J. P. 1972. Converting volume equations to compatible taper equations. Forest Science 18(3):241-245. Doi: 10.1093/forestscience/18.3.241.

Diéguez A., U., M. Barrio A., F. Castedo D. y M. Balboa M. 2003. Estimación del diámetro normal y del volumen del tronco a partir de las dimensiones del tocón para seis especies forestales comerciales de Galicia. Investigación Agraria: Sistemas y Recursos Forestales 12(2):131-139.

Fabián-Plesníková, I., C. Sáenz-Romero, J. Cruz de L., M. Martínez-Trujillo y N. M. Sánchez-Vargas. 2020. Parámetros genéticos de caracteres de crecimiento en un ensayo de progenies de Pinus oocarpa. Madera y Bosques 26(3):1-14. Doi: .10.21829/myb.2020.2632014.

Fang, Z., B. E. Bordes and R. L. Bailey. 2000. Compatible volume-taper models for loblolly and slash pine based on a system with segmented-stem form factors. Forest Science 46(1):1-12. Doi: 10.1093/forestscience/46.1.1.

Flores M., E. A., A. C. Rodríguez A., O. A. Aguirre C., E. Alanís R. y G. Quiñonez B. 2021. Sistema compatible de ahusamiento-volumen para Pinus pseudostrobus Lindl. en el ejido Corona del Rosal, Nuevo León, México. Madera y Bosques 27(2):1-12. Doi: 10.21929/myb.2021.2722130.

García C., X., J. Hernández R., A. Hernández R., G. Quiñonez B., J. C. Tamarit U. y G. G. García E. 2017. Predicción del diámetro normal, altura y volumen a partir del diámetro del tocón en especies tropicales. Revista Mexicana de Ciencias Forestales 8(43):89-116. Doi: 10.29298/rmcf.v8i43.67.

García-Espinoza, G. G., O. A. Aguirre-Calderón, G. Quiñonez-Barraza, E. Alanís-Rodríguez, H. M. De Los Santos-Posadas and J. J. García-Magaña. 2018. Taper and volume systems based on ration equations for Pinus pseudostrobus Lindl. in Mexico. Forest 9(6):1-14. Doi: 10.3390/f9060344.

Hernández-Ramos, J., A. Hernández-Ramos, X. García-Cuevas, J. C. Tamarit-Urias, L. Martínez-Ángel y J. García-Magaña. 2018. Ecuaciones de volumen total y de razón para estimar el volumen comercial de Swietenia macrophylla King. Colombia Forestal 21(1):34-46. Doi: 10.14483/2256201X.11965.

Hernández-Ramos, J., H. M. De los Santos-Posadas, J. R. Valdéz-Lazalde, J. C. Tamarit-Urias, … y A. Peduzzi. 2017. Estimación del volumen comercial en plantaciones de Eucalyptus urophylla con modelos de volumen total y de razón. Agrociencia51:561-580. http://www.scielo.org.mx/pdf/agro/v51n5/1405-3195-agro-51-05-00561.pdf. (28 de febrero de 2023).

Hernández-Ramos, J., X. García-Cuevas, A. Hernández-Ramos, J. C. Tamarit-Urias y E. Buendía-Rodríguez. 2021. Modelos para estimar volumen fustal y ahusamiento para Manilkara zapota (L.) P. Royen en Quintana Roo, México. Acta Universitaria 31:e3067. Doi: 10.15174/au.2021.3067.

https://www.researchgate.net/publication/28063129_Estimacion_del_diametro_normal_y_del_volumen_del_tronco_a_partir_de_las_dimensiones_del_tocon_para_seis_especies_forestales_comerciales_de_Galicia (6 de junio de 2023).

Instituto Nacional de Bosques (Inab). 2017. Pino de Ocote Pinus oocarpa Schiede ex Schltdl. Paquete tecnológico forestal. Informe Final. Inab y Ministerio de Ambiente y Recursos Naturales Renovables. Ciudad de Guatemala, GU, Guatemala. 40 p. https://www.itto.int/files/itto_project_db_input/2802/Technical/PINO%20OCOTE.pdf. (8 de junio de 2023).

Instituto Nacional de Estadística y Geografía (INEGI). 2017. Anuario estadístico y geográfico de Nayarit 2017. INEGI. Aguascalientes, Ags., México. 469 p. https://www.inegi.org.mx/contenidos/productos/prod_serv/contenidos/espanol/bvinegi/productos/nueva_estruc/anuarios_2017/702825092054.pdf. (28 de febrero de 2023).

Lynch, T. B., D. Zhao, W. Harges and J. P. McTague. 2017. Deriving compatible taper functions from volume ratio equations based on upper-stem height. Canadian Journal of Forest Research 47(10):1424-1431. Doi: 10.1139/cjfr-2017-0108.

Lynch, T. B., S. T. Chang and J. P. Chandler. 1992. Estimation of individual tree volume by importance sampling and antithetic variates from the cylindrical shells integral. Canadian Journal of Forest Research 22(3):326-335. Doi: 10.1139/x92-042.

Özçelik, R. and Q. V. Cao. 2017. Evaluation of fitting and adjustment methods for taper and volume prediction of black pine in Turkey. Forest Science63(4):349-355. Doi: 10.5849/FS.2016-067.

Parresol, B. R. 1999. Assessing tree and stand biomass: A review with examples and critical comparisons. Forest Science 45(4):573-593. Doi: 10.1093/forestscience/45.4.573.

Quiñonez-Barraza, G., D. Zhao and H. M. De los Santos-Posadas. 2019. Compatible taper and stem volume equations for five pine species in mixed-species forest in Mexico. Forest Science 65(5):602-613. Doi: 10.1093/forsci/fxz030.

Rachid C., C., G. Mason E., R. Woollons and F. Resquin. 2014. Volume and taper equations for P. taeda (L.) and E. grandis (Hill ex. Maiden). Agrociencia Uruguay 18(2):47-60. http://www.scielo.edu.uy/pdf/agro/v18n2/v18n2a06.pdf. (28 de febrero de 2023).

Ramos–Uvilla, J. A., J. J. García-Magaña, J. Hernández-Ramos, X. García-Cuevas, … y G. G. García E. 2014. Ecuaciones y tablas de volumen para dos especies de Pinus de la Sierra Purhépecha, Michoacán. Revista Mexicana de Ciencias Forestales 5(23):92-109. Doi: 10.29298/rmcf.v5i23.344.

Schumacher, F. X. and F. D. Hall. 1933. Logarithmic expression of timber-tree volume. Journal of Agricultural Research 47:719-734. https://naldc.nal.usda.gov/download/IND43968352/PDF. (28 de febrero de 2023).

Silva-González, E., M. A. Nava-Moreno, F. J. Hernández y J. G. Colín. 2018. Funciones compatibles de ahusamiento-volumen para tres especies de Pinus en la Unidad de Manejo Forestal 0808 del estado de Chihuahua. Investigación y Ciencia de la Universidad Autónoma de Aguascalientes 26(73):58-67. Doi: 10.33064/iycuaa201873207.

Simental-Cano, B., C. A. López-Sánchez, C. Wehenkel, B. Vargas-Larreta, J. G. Álvarez-González and J. J. Corral-Rivas. 2017. Species-specific and regional volume models for 12 forest species in Durango, Mexico. Revista Chapingo Serie Ciencias Forestales y del Ambiente 23(2):155-171. Doi: 10.5154/r.rchscfa.2016.01.004.

Statistical Analysis System (SAS). 2004. SAS/STAT® 9.1 User’s Guide. SAS Institute Inc. Cary, NC, United States of America. 5121 p. https://support.sas.com/documentation/onlinedoc/91pdf/sasdoc_91/stat_ug_7313.pdf. (24 de noviembre de 2022).

Tapia, J. y J. Návar. 2011. Ajuste de modelos de volumen y funciones de ahusamiento para Pinus pseudostrobus Lind. en bosques de pino de la Sierra Madre Oriental de Nuevo León, México. Foresta Veracruzana 13(2):19-28. https://www.redalyc.org/pdf/497/49721457004.pdf. (28 de febrero de 2023).

Trincado, G., K. von Gadow y V. Sandoval. 1997. Estimación de volumen comercial en latifoliadas. Bosque 18(1):39-44. Doi: 10.4206/bosque.1997.v18n1-05.

Zhang, C., D. L. Peng, G. S. Huang and W. S. Zheng. 2016. Developing aboveground biomass equations both compatible with tree volume equations and additive systems for single-trees in poplar plantations in Jiangsu Province, China. Forest 7(2):1-15. Doi: 10.3390/f7020032.

Zhao, D. and M. Kane. 2017. New variable-top merchantable volume and weight equations derived directly from cumulative relative profiles for loblolly pine. Forest Science 63(3):261-269. Doi: 10.5849/FS-2016-076.

Zhao, D., T. B. Lynch, J. Westfall, J. Coulston, M. Kane and D. E. Adams. 2018. Compatibility, development, and estimation of taper and volume equations systems. Forest Science 65(1):1-13. Doi: 10.1093/forsci/fxy036.

Zimmerman, D. L., V. Nuñez-Antón, T. G. Gregoire, O. Schabenberger, … and P. Vieu. 2001. Parametric modeling of growth curve data: An overview. Test10:1-73. Doi: 10.1007/BF02595823.

 

        

Todos los textos publicados por la Revista Mexicana de Ciencias Forestales sin excepción– se distribuyen amparados bajo la licencia Creative Commons 4.0 Atribución-No Comercial (CC BY-NC 4.0 Internacional), que permite a terceros utilizar lo publicado siempre que mencionen la autoría del trabajo y a la primera publicación en esta revista.