Revista Mexicana de Ciencias Forestales Vol. 14 (78)

Junio - Agosto (2023)

Logotipo, nombre de la empresa

Descripción generada automáticamente

DOI: https://doi.org/10.29298/rmcf.v14i78.1330

Artículo de Investigación

 

Ecuaciones de razón de volumen para Pinus oocarpa Schiede ex Schltdl. del estado de Nayarit, México

Ratio volume equations of Pinus oocarpa Schiede ex Schltdl. from Nayarit State, Mexico

 

Francisco Javier Hernández1*, Luis Alberto Simental Serrano2, José Ciro Hernández Díaz3, Christian A. Wehenkel3, José Ángel Prieto Ruíz3, Juan Abel Nájera Luna1

 

Fecha de recepción/Reception date: 30 de diciembre de 2022

Fecha de aceptación/Acceptance date: 30 de junio del 2023

_______________________________

1Instituto Tecnológico de El Salto, División de Estudios de Posgrado e Investigación. México.

2Universidad Juárez del Estado de Durango, Facultad de Ciencias Forestales y Ambientales. México.

3Universidad Juárez del Estado de Durango, Instituto de Silvicultura e Industria de la Madera. México.

 

*Autor para correspondencia: correo-e: fcojhernan@yahoo.com.mx

*Corresponding author; e-mail: fcojhernan@yahoo.com.mx

 

Resumen

Las ecuaciones de razón de volumen son una opción viable para estimar con precisión el volumen comercial maderable de las especies forestales. El objetivo del presente estudio fue evaluar el ajuste de tres modelos de volumen comercial asociados a la razón de la altura y tres de ahusamiento para conformar un sistema de ecuaciones de volumen comercial-ahusamiento para Pinus oocarpa en el estado de Nayarit. Los datos provienen de la medición de 76 árboles para ajustar los modelos y 20 para validarlos. El ajuste se hizo con PROC MODEL, y se aplicaron regresiones aparentemente no relacionadas (SUR) en el software estadístico SAS 9.2. Los estadísticos de ajuste fueron el Coeficiente de Determinación Ajustado, Raíz del Cuadrado Medio del Error, Coeficiente de Variación y Criterio de Información de Akaike; los de validación fueron el sesgo promedio, error absoluto promedio, porcentaje de la diferencia agregada, Coeficiente de Determinación, Raíz del Cuadrado Medio del Error y los valores del parámetro de la pendiente de la regresión lineal entre datos observados y estimados. El Coeficiente de Determinación y la Raíz del Cuadrado Medio del Error que resultaron del ajuste del mejor modelo de volumen comercial fueron 0.9727 y 0.0651, mientras que los del mejor modelo de ahusamiento fueron 0.9579 y 2.7797. En conclusión, el proceso de validación permitió seleccionar al sistema de ecuaciones de volumen comercial y ahusamiento S2 como el mejor para estimar el volumen y el diámetro a cualquier altura del fuste para P. oocarpa.

Palabras clave: Ahusamiento, Pinus oocarpaSchiede ex Schltdl., Schumacher-Hall, volumen comercial, volumen de razón, volumen total.

Abstract

Ratio volume equations are precise mathematical alternatives to estimate merchantable volume of tree species. The objective of the present study was to evaluate the goodness of fit of three commercial volume models associated to height ratio and three taper models to conform a commercial volume-taper equations system of Pinus oocarpa growing at the state of Nayarit, Mexico. To carry out this study, 76 trees were selected for models fitting and 20 for validation over the entire study area. The models were fitted applying seemingly unrelated regression (SUR) in the statistic software SAR 9.2. The goodness of fit of the models was evaluated throughout the comparison of the Coefficient of determination, Root mean square error, Coefficient of variation and Akaike Information Criterium; meanwhile, it was considering the mean bias, absolute mean error, aggregate difference in percentage, Coefficient of determination, Root mean square error and the value of the slope parameter of a lineal regression model for equations validation. The Coefficient of determination and Root mean square error of the best commercial volume model were 0.9727 and 0.0651, and for taper models were 0.9579 and 2.7797, respectively. The validation process allowed to select the commercial volume and taper equations system S2 as the best to estimate volume and diameter at any stem height of P. oocarpa.

Key words: Tree taper, Pinus oocarpaSchiede ex Schltdl., Schumacher-Hall, commercial volume, ratio volume, total volume.

 

 

 

Introducción

 

 

Una de las actividades primarias en la valoración de los bosques es la estimación de las existencias volumétricas totales y comerciales de la madera en las especies arbóreas. Esto se ha logrado mediante la aplicación de modelos de volumen total y comercial ajustados de manera independiente (Demaerschalk, 1972; Burkhart, 1977; Clutter, 1980; Lynch et al., 1992) o integrados de manera simultánea (Fang et al., 2000; Cruz-Cobos et al., 2008; Crecente-Campo et al., 2009; Corral-Rivas et al., 2017; Silva-González et al., 2018; Flores et al., 2021). En el primer caso, aunque el ajuste de los modelos de regresión puede ser significativo, la estimación del volumen comercial a lo largo del fuste presenta inconsistencias evidenciadas por el cruzamiento de las curvas al estimar volúmenes comerciales de árboles de diferentes categorías diamétricas (Burkhart, 1977). Para el segundo caso, se han desarrollado ecuaciones de ahusamiento, las cuales se ajustan de manera simultánea con sus respectivas ecuaciones de volumen para estimar, tanto el volumen total como el volumen comercial (Fang et al., 2000; Cruz-Cobos et al., 2008; Silva-González et al., 2018; Flores et al., 2021).

Otra alternativa para estimar el volumen comercial de especies maderables es con el uso de ecuaciones de razón de volumen integradas a una de volumen total (Trincado et al., 1997; Zhao y Kane, 2017). Con base en el diámetro mínimo o longitud de las trozas requeridas para su transformación, el porcentaje del volumen comercial de los árboles individuales se estima como la razón de volumen comercial sobre el volumen total (Burkhart, 1977; Barrios et al., 2014). Aunque se reconoce que los sistemas de ahusamiento y volumen ajustados simultáneamente resultan en estimadores eficientes y precisos, los modelos de razón de volumen, aparte de ser precisos, tienen la ventaja de evitar métodos complejos de integración en la estimación del volumen comercial (Trincado et al., 1997); también permiten derivar a partir de ellos ecuaciones compatibles de ahusamiento basadas en las alturas relativas (García-Espinoza et al., 2018).

Pinus oocarpa Schiede ex Schltdl. se distribuye ampliamente de manera natural sobre la Sierra Madre Oriental, la Sierra Madre Occidental y el Eje Neovolcánico Transversal (Fabián-Plesníková et al., 2020), y en las zonas templadas propias de la media montaña del estado de Nayarit. Su madera suave, moderadamente pesada y de fácil secado se utiliza para la construcción pesada, estructuras de uso general, así como para durmientes, embalajes, ebanistería y carpintería, entre otros usos (Instituto Nacional de Bosques, 2017).

Con el fin de presentar opciones matemáticas que permitan hacer una valoración de los productos maderables de manera eficiente y precisa para contribuir al manejo forestal sostenible, el presente estudio tuvo como objetivo evaluar el ajuste de tres modelos de volumen comercial, compuestos por el modelo de volumen total de Schumacher-Hall (Schumacher y Hall, 1933) y la razón de altura, además de tres de ahusamiento para conformar un sistema de ecuaciones de volumen comercial y de ahusamiento para Pinus oocarpa en el estado de Nayarit, México.

 

 

Materiales y Métodos

 

 

Área de estudio

 

 

La investigación se realizó en el ejido Santa María de Picachos, municipio Huajicori, Nayarit, México; ubicado en la región fisiográfica de la Sierra Madre Occidental que atraviesa la parte noreste del estado. La extensión del ejido es de 34 000 ha, en su mayoría cubierto por especies mezcladas de pino y encino que habitan entre los 1 800 y 2 180 m de altitud (Figura 1). El clima es semicálido húmedo del grupo C, la temperatura media anual de 18 °C, y la precipitación pluvial media anual de 1 294 mm. Los suelos dominantes son de tipo Regosol éutrico, seguido de Cambisol éutrico y Luvisol órtico (Inegi, 2017).

 

Figura 1. Ubicación del área de estudio en el ejido Santa María de Picachos, municipio Huajicori, Nayarit, México.

 

 

Muestreo

 

 

La información del ahusamiento y el volumen se obtuvo de una muestra de 96 árboles de P. oocarpa caracterizados por ser sanos, rectos y sin daños, ni defectos físicos. La muestra fue representativa de todas las condiciones donde se distribuye la especie dentro de la zona forestal del ejido. Los árboles se cortaron lo más cerca posible a la superficie del suelo, y una vez derribados, se midieron los diámetros del fuste con corteza a la altura del corte, a 1.3 m a partir del suelo y posteriormente a intervalos de 2.6 m hasta llegar a la punta del árbol. Para ello se utilizó una cinta diamétrica Forestry Suppliers® modelo 283D, las longitudes de las secciones fueron medidas con un flexometro Trupper® modelo FH-8M, y se registraron como las respectivas alturas a lo largo del fuste.

La base de datos incluyó 1 201 pares de datos de diámetros (dij) y alturas (hij), incluidos el diámetro normal (Dni) y la altura total (Hi), en los que los subíndices i y j indican el número de árbol y cualquier punto en el fuste, respectivamente. Del total de pares de datos obtenidos de 76 árboles, 888 se utilizaron para ajustar los modelos de volumen comercial y de ahusamiento, el complemento se usó para el proceso de validación.

Los volúmenes del tocón, trozas y punta de los fustes de cada árbol se estimaron con las ecuaciones geométricas del cilindro, Smalian y cono respectivamente (Cancino, 2012). La suma de los volúmenes del tocón, fuste y punta de cada árbol es igual a su volumen total del fuste con corteza.

 

 

Modelos de razón de volumen, volumen comercial y ahusamiento

 

 

Los modelos de razón de volumen  que utilizan como variable independiente la proporción  de las alturas dadas a lo largo del fuste (h) sobre la altura total (H) (Cuadro 1) fueron seleccionados de Zhao y Kane (2017). Tales modelos cumplen con las siguientes propiedades:

  1. La razón del volumen comercial con el volumen total es igual a cero a la base del árbol, cuando la razón de la altura comercial con la total es igual a cero.
  2. La razón del volumen comercial con el volumen total es igual a uno a la altura total del árbol, cuando la razón de la altura comercial con la total es igual a uno.
  3. El incremento de la razón del volumen comercial con el volumen total con respecto al de la proporción de la razón de la altura comercial con la altura total sería igual o mayor a cero.
  4. El incremento de la razón del volumen comercial con respecto al incremento de la razón de la altura disminuye a medida que la razón de la altura comercial del árbol se incrementa.

 

Cuadro 1. Modelos de volumen comercial y ahusamiento ajustados de manera simultánea para Pinus oocarpaSchiede ex Schltdl. en el ejido Santa María de Picachos, municipio Huajicori, Nayarit, México.

S1, S2, S3 = Sistemas de ecuaciones de volumen comercial-ahusamiento; Dn= Diámetro a 1.3 m de altura a partir del suelo; h = Altura comercial del fuste; p = ; H = Altura total del árbol; k = ;  = 3.141592; αi y βi = Parámetros por estimar.

 

Los modelos de volumen comercial (Vh), compuestos por el modelo de volumen total de Schumacher-Hall implícito en los de razón de volumen y que se ajustaron de manera simultánea con los modelos de ahusamiento (Vh) fueron derivados y referidos por Lynch et al. (2017). El ajuste simultáneo de los modelos permite la compatibilidad algebraica, de tal manera que las ecuaciones de volumen comercial comparten los estimadores de los parámetros con los de ahusamiento, y minimizan los errores del volumen comercial y de los diámetros (Álvarez-González et al., 2007; Quiñonez-Barraza et al., 2019).

La estimación del volumen comercial a partir de la razón del volumen requiere la aplicación de una ecuación de volumen total, para este caso se seleccionó el modelo de volumen total de Schumacher-Hall, el cual considera el diámetro normal (Dn) y la altura total del fuste (H) como variables predictoras:

 

    

 

Donde:

Vt = Volumen total (m3)

Dn = Diámetro normal (cm)

H = Altura total (m)

 = Término de error

Bi = Parámetros a ser estimados

 

El ajuste simultáneo de los modelos de volumen comercial con los de ahusamiento se realizó con el comando PROC MODEL en el que se aplicaron regresiones aparentemente no relacionadas (SUR) en el programa estadístico SAS 9.1 (Statistical Analysis System, 2004).

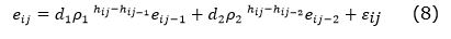
Normalmente, las estimaciones del volumen presentan problemas de heterocedasticidad, lo que hace necesario eliminar su impacto. En este estudio, el problema de heterocedasticidad se corrigió en los modelos de volumen comercial mediante regresión ponderada. El factor de ponderación de los modelos fue el reciproco del , donde Dn y H son las variables alométricas utilizadas en el modelo de volumen y θ el parámetro que se estima de la regresión potencial  (Parresol, 1999; Zhang et al., 2016; Simental-Cano et al., 2017). El diagnóstico de la autocorrelación entre los errores de los modelos de volumen comercial y ahusamiento se hizo al aplicar la prueba de Durbin Watson (DW) y la corrección con el modelo autorregresivo de segundo orden CAR(2) (Zimmerman et al., 2001) mediante la siguiente estructura:

 

    

 

Donde:

eij = j-ésimo residual ordinario del i-ésimo árbol

d1 = 1 para j>1

d1 = 0 para j=1

d2 = 1 para j>2

d2 = 0 para j≤2

hij-hij-1 y hij-hij-2 = Distancias entre las observaciones j a j-1 y j a j-2 dentro de cada árbol, hij>hij-1 y hij>hij−2

ρ1 y ρ2 = Parámetros autorregresivos del primer y segundo orden, respectivamente

 

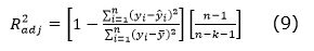
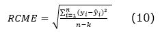
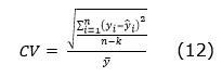
La bondad de ajuste de los sistemas volumen comercial-ahusamiento se evaluaron a través de la comparación del Coeficiente de Determinación Ajustado (), Raíz del Cuadrado Medio del Error (RCME), Criterio de Información de Akaike (AIC) y Coeficiente de Variación (CV), mientras que la validación se determinó a través del sesgo promedio (E), error absoluto promedio (EAP) y el porcentaje de la diferencia agregada (PDA) (Diéguez et al., 2003; Barrios et al., 2014; García et al., 2017). Además, se analizó la relación de los valores observados y los estimados utilizando el coeficiente de determinación (R2) y la RCME (García et al., 2017).

 

    

 

     

 

   

 

     

 

    

 

    

 

    

 

Donde:

 

 

Resultados

 

 

Los estadísticos R2adj, RCME, AIC y CV derivados del ajuste simultáneo de los modelos compatibles de volumen comercial y ahusamiento indicaron que los que conforman el sistema S2 eran los que mejor se ajustaron. A su vez, al aplicar la estructura del error autorregresivo de segundo orden CAR (2) a los datos utilizados en el ajuste de los modelos de volumen comercial, se obtuvieron valores de DW alrededor de 1.98, mientras que los de ahusamiento variaron entre 1.43 y 1.75, lo que evidenció que se cumple la corrección de la autocorrelación de los errores en la estimación del volumen comercial (Cuadro 2).

 

Cuadro 2. Estadísticos de la bondad de ajuste de los modelos de volumen comercial (Vh) y ahusamiento (d) para Pinus oocarpaSchiede ex Schltdl. en el ejido Santa María de Picachos, municipio Huajicori, Nayarit, México.

Sistema

Modelo

R2adj

RCME

AIC

CV

DW

S1

Vh

d

0.9702

0.9319

0.0687

3.7485

836.1585

-1 666.7140

15.1914

11.9578

1.9794

1.4411

S2

Vh

d

0.9727

0.9579

0.0651

2.7797

-1 734.9126

614.3040

15.1408

8.3741

1.9805

1.4299

S3

Vh

d

0.8187

0.6412

0.1694

8.6036

-1 101.5739

1 356.2510

32.8997

31.4545

1.9830

1.7540

R2adj = Coeficiente de Determinación Ajustado; RCME = Raíz del Cuadrado Medio del Error; AIC = Criterio de Información de Akaike; CV = Coeficiente de Variación; DW = Valor del estadístico de Durbin-Watson.

 

Con base en el nivel de significancia de 0.05, todos los estimadores de los parámetros de los modelos ajustados son altamente significativos (Pr<0.0001) (Cuadro 3), por lo tanto, son confiables para predecir el volumen comercial y el ahusamiento de los árboles de P. oocarpa.

 

Cuadro 3. Estimadores de los parámetros y estadísticos asociados de los sistemas de volumen comercial y ahusamiento ajustados en Pinus oocarpaSchiede ex Schltdl. en el ejido Santa María de Picachos, municipio Huajicori, Nayarit, México.

 

La validación de los sistemas ajustados del volumen comercial y ahusamiento indica que el S2 presenta los mejores estadísticos. El sesgo promedio es próximo a cero, mientras que el sesgo absoluto promedio, el porciento en diferencia acumulada y la RCME presentan los valores menores, así como mayor R2. Además del buen ajuste de los modelos de volumen comercial y de ahusamiento que conforman el sistema S2, estos modelos son parsimoniosos y, por lo tanto, más sencillos de aplicar que otros con mayor número de parámetros (Cuadro 4).

 

Cuadro 4. Estadísticos del proceso de validación de los modelos de volumen comercial (Vh) y ahusamiento (d) ajustados para Pinus oocarpa Schiede ex Schltdl. en el ejido Santa María de Picachos, municipio Huajicori, Nayarit, México.

Sistema

Modelo

E

EAP

PDA

R2

RCME

β1

S1

Vh

d

-0.0299

2.1253

0.0496

2.9145

16.29

12.15

0.9761

0.9546

0.0614

3.0593

0.985

0.977

S2

Vh

d

-0.0017

1.4181

0.0397

1.8153

13.13

6.78

0.9773

0.9751

0.0599

2.1336

1.036

1.062

S3

Vh

d

0.1035

2.8761

0.1127

5.4071

30.34

18.89

0.9057

0.8098

0.1222

5.9083

1.166

1.036

E = Sesgo absoluto promedio; EAP = Error absoluto promedio; PDA = Porciento en diferencia acumulada; R2 = Coeficiente de Determinación; RCME = Raíz del cuadrado medio del error; β1= Valor de la pendiente.

 

Las relaciones entre el volumen observado contra el estimado y entre el diámetro observado contra el estimado del sistema S2 presentan una tendencia lineal con valores de la pendiente  de 1.036 y 1.062, respectivamente; los cuales están muy cercanos a la unidad, lo que ratifica que los modelos de volumen y ahusamiento que componen el S2 presentan buen ajuste en sus predicciones (Barrios et al., 2014).

Previo al ajuste de los modelos de volumen comercial y ahusamiento, el modelo de volumen total de Schumacher-Hall se ajustó de manera independiente para corroborar su eficiencia en la estimación del volumen total de P. oocarpa. Los estadísticos R2 y RCME en el Cuadro 5 demuestran que dicho modelo presenta un buen ajuste. A su vez, el valor estimado de la pendiente de la regresión lineal entre el volumen observado y el estimado (β1=1.024), así como el del sesgo promedio a nivel árbol (0.00117) aplicado para la validación confirman la buena precisión del ajuste del modelo de Schumacher-Hall.

 

Cuadro 5. Estimadores de los parámetros del modelo de volumen total de Schumacher-Hall y del parámetro de la pendiente de la regresión lineal aplicado en la validación en Pinus oocarpa Schiede ex Schltdl.

Modelo

Parámetros

Estimación

Error estándar

Valor de t

P<t

Ajustado de Schumacher-Hall

B0

0.000065

2.18×10-5

3.002

<0.003

B1

1.647

0.0635

25.920

<0.001

B2

1.190

0.112

10.564

<0.0001

Regresión lineal para la validación

Vobs = B1 V

B1

1.024

0.0136

75.209

<0.0001

V = Volumen total estimado con la ecuación de Schumacher-Hall; Vobs = Volumen calculado con los datos de campo; Dn = Diámetro normal del fuste a 1.30 m de altura; H = Altura total del fuste; Bi = Estimadores de los parámetros. 

 

 

Discusión

 

 

La decisión de ajustar y aplicar el modelo de volumen de Schumacher-Hall a los modelos de razón de volumen fue porque este modelo se ha ajustado exitosamente a una gran diversidad de especies y regiones de México. Como ejemplos se citan a Corral-Rivas y Návar-Chaidez (2009), Tapia y Návar (2011), Ramos-Uvilla et al. (2014) y Hernández-Ramos et al. (2021). Además, en años recientes, ha sido extensamente ajustado de manera simultánea con modelos de ahusamiento para estimar el volumen comercial de varias especies de coníferas y latifoliadas (Hernández-Ramos et al., 2017; Özçelik y Cao, 2017; García-Espinoza et al., 2018; Zhao et al., 2018; Hernández-Ramos et al., 2021).

El análisis de los residuales que resultaron del ajuste del modelo de volumen de Schumacher-Hall demuestra que al incluir la ponderación de los errores, la varianza se corrigió parcialmente. De acuerdo a Hernández-Ramos et al. (2018) evadir ponderar los errores al ajustar los modelos de volumen resulta en un incremento de ellos a medida que la variable dependiente aumenta.

Al analizar los estimadores de los parámetros de los modelos de razón de volumen implícitos en los modelos de volumen comercial de los sistemas S1 y S2, se observa que están dentro de lo especificado por Zhao y Kane (2017), quienes señalan que el estimador del parámetro β1 del modelo de razón implícito en la ecuación del volumen comercial del S1 debe ser mayor a uno (β1=2.771476), y que el del parámetro β1 asociado al modelo de razón de la ecuación para estimar el volumen comercial del S2 también tiene que ser mayor a uno (β1=1.824767), mientras el del β2 debe estar entre cero y uno (β2=0.834866).

En general, el sistema S2 registró la más alta precisión tanto en la estimación del volumen comercial, como del ahusamiento. Los estadísticos de validación de los modelos que conforman el S2, así como la tendencia lineal que forma la relación entre los datos observados contra los estimados prueban que los estimadores de los parámetros del sistema S2 son eficientes (Rachid et al., 2014).

A su vez, los estadísticos que refirió Alemdag (1988) al derivar y ajustar diversos modelos de razón de volumen a Pinus resinosa Aiton y Acer saccharum Marshall, así como los de Hernández-Ramos et al. (2018), al ajustar diversas ecuaciones de razón de volumen que están en función de la proporción de diámetro a diferentes alturas contra el diámetro normal , y de la altura a diferentes secciones del fuste contra la altura totalpara estimar el volumen comercial de Swietenia macrophylla King, indican que los modelos de razón que están en función de la proporción de la altura son más precisos que los dependientes de la proporción del diámetro.

En el caso de este estudio, los modelos de volumen comercial que tienen implícitos a los modelos de razón de volumen que utilizan la proporción de la altura evidencian una alta precisión en la estimación de los volúmenes comerciales.

García-Espinoza et al. (2018) al ajustar el modelo de volumen total de Schumacher con seis modelos de razón y cuya variable independiente fue la proporción de las alturas  para Pinus pseudostrobus Lindl., consideraron al igual que en el presente estudio, que tanto el modelo de volumen comercial como el de ahusamiento que componen al S2 tuvieron buenos ajustes. Los R2 consignados por los autores citados fueron 0.998 y 0.982, las RCME iguales a 0.028 y 1.722 para el volumen comercial y el ahusamiento, respectivamente; estadísticos ligeramente superiores a los estimados en este estudio para P. oocarpa.

A su vez, Zhao y Kane (2017), al ajustar ocho ecuaciones de razón que cumplen con las cuatro propiedades de acumulación relativa de los fustes para estimar el volumen acumulado del fuste de Pinus taeda L., también determinaron que el S2 fue el mejor, seguido del S1.

Por su parte, Quiñonez-Barraza et al. (2019) revelaron que de 11 sistemas ajustados a cinco especies de pino, el S2 fue el más parsimonioso por presentar menos de seis parámetros, razón por la que también seleccionaron al sistema S2 como el segundo mejor para predecir tanto el volumen comercial, como el ahusamiento. Debido a que la expresión de la altura comercial (h) es indefinida para el modelo de ahusamiento del sistema S2, esta se puede estimar a través de interacciones mediante métodos numéricos diseñados para ello (Lynch et al., 2017).

 

 

Conclusiones

 

 

El análisis sobre el ajuste simultáneo y compatible de sistemas de volumen comercial y ahusamiento, evidenció que los modelos de razón de volumen son una opción confiable para estimar el volumen comercial de árboles de Pinus oocarpa. De acuerdo a los estadísticos de ajuste y al proceso de validación, los modelos de volumen comercial y ahusamiento del sistema S2 permiten determinar de forma confiable, el volumen comercial, el volumen total, así como el perfil fustal en ejemplares de P. oocarpa en la zona de estudio.

 

Agradecimientos

 

Los autores agradecen a los titulares del ejido Santa María de Picachos por permitir tomar la información dentro de su ejido, así como al Tecnológico Nacional de México, a través del Instituto Tecnológico de El Salto, por las facilidades financieras otorgadas para obtener la información de campo.

 

Conflicto de interés

 

Los autores declaran no tener ningún conflicto de interés sobre la publicación del presente documento.

 

Contribución por autor

 

Francisco Javier Hernández y Luis Alberto Simental Serrano: diseño, toma y análisis de datos, y redacción del manuscrito; José Ciro Hernández Díaz, Christian A. Wehenkel, José Ángel Prieto Ruíz y Juan Abel Nájera Luna: análisis de datos, proceso de discusión y revisión del manuscrito.

 

 

Referencias

Alemdag, I. S. 1988. A ratio method for calculating stem volume to variable merchantable limits, and associated taper equations. The Forestry Chronicle 64(1):18-26. Doi: 10.5558/tfc64018-1.

Álvarez-González, J. G., R. Rodríguez-Soalleiro y A. Rojo-Alboreca. 2007. Resolución de problemas del ajuste simultáneo de sistemas de ecuaciones: heterocedasticidad y variables dependientes con distinto número de observaciones. Cuadernos de la Sociedad Española de Ciencias Forestales 23:35-42. Doi: 10.31167/csef.v0i23.9603.

Barrios, A., A. M. López y V. Nieto. 2014. Predicción de volúmenes comerciales de Eucalyptus grandis a través de modelos de volumen total y de razón. Colombia Forestal 17(2):137-149. Doi: 10.14483/udistrital.jour.colomb.for.2014.2.a01.

Burkhart, H. E. 1977. Cubic-foot volume of loblolly pine to any merchantable top limit. Southern Journal of Applied Forestry 1(2):7-9. Doi: 10.1093/sjaf/1.2.7.

Cancino C., J. O. 2012. Dendrometría básica. Departamento Manejo de Bosques y Medio Ambiente, Facultad de Ciencias Forestales, Universidad de Concepción. Concepción, CCP, Chile. 163 p. http://repositorio.udec.cl/bitstream/11594/407/2/Dendrometria_Basica.pdf. (9 de junio de 2023).

Clutter, J. L. 1980. Development of taper functions from variable-top merchantable volume equations. Forest Science 26(1):117-120. Doi: 10.1093/forestscience/26.1.117.

Corral-Rivas, J. J., D. J. Vega-Nieva, R. Rodríguez-Soalleiro, C. A. López-Sánchez, … and A. D. Ruiz-González. 2017. Compatible system for predicting total and merchantable stem volume over and under bark, branch volume and whole-tree volume of pine species. Forests 8(11):417. Doi: 10.3390/f8110417.

Corral-Rivas, S. y J. de J. Návar-Cháidez. 2009. Comparación de técnicas de estimación de volumen fustal total para cinco especies de pino de Durango, México. Revista Chapingo Serie Ciencias Forestales y del Ambiente 15(1):5-13. http://www.scielo.org.mx/pdf/rcscfa/v15n1/v15n1a1.pdf. (28 de febrero de 2023).

Crecente-Campo, F., A. Rojo A. and U. Diéguez-Aranda. 2009. A merchantable volume system for Pinus sylvestris L. in the major mountain ranges of Spain. Annals of Forest Science 66(8):1-12. Doi: 10.1051/forest/2009078.

Cruz-Cobos, F., H. M. De los Santos-Posadas y J. R. Valdez-Lazalde. 2008. Sistema compatible de ahusamiento-volumen para Pinus cooperi Blanco en Durango, México. Agrociencia 42(4):473-485. https://www.redalyc.org/articulo.oa?id=30211241010. (28 de febrero de 2023).

Demaerschalk, J. P. 1972. Converting volume equations to compatible taper equations. Forest Science 18(3):241-245. Doi: 10.1093/forestscience/18.3.241.

Diéguez A., U., M. Barrio A., F. Castedo D. y M. Balboa M. 2003. Estimación del diámetro normal y del volumen del tronco a partir de las dimensiones del tocón para seis especies forestales comerciales de Galicia. Investigación Agraria: Sistemas y Recursos Forestales 12(2):131-139.

Fabián-Plesníková, I., C. Sáenz-Romero, J. Cruz de L., M. Martínez-Trujillo y N. M. Sánchez-Vargas. 2020. Parámetros genéticos de caracteres de crecimiento en un ensayo de progenies de Pinus oocarpa. Madera y Bosques 26(3):1-14. Doi: .10.21829/myb.2020.2632014.

Fang, Z., B. E. Bordes and R. L. Bailey. 2000. Compatible volume-taper models for loblolly and slash pine based on a system with segmented-stem form factors. Forest Science 46(1):1-12. Doi: 10.1093/forestscience/46.1.1.

Flores M., E. A., A. C. Rodríguez A., O. A. Aguirre C., E. Alanís R. y G. Quiñonez B. 2021. Sistema compatible de ahusamiento-volumen para Pinus pseudostrobus Lindl. en el ejido Corona del Rosal, Nuevo León, México. Madera y Bosques 27(2):1-12. Doi: 10.21929/myb.2021.2722130.

García C., X., J. Hernández R., A. Hernández R., G. Quiñonez B., J. C. Tamarit U. y G. G. García E. 2017. Predicción del diámetro normal, altura y volumen a partir del diámetro del tocón en especies tropicales. Revista Mexicana de Ciencias Forestales 8(43):89-116. Doi: 10.29298/rmcf.v8i43.67.

García-Espinoza, G. G., O. A. Aguirre-Calderón, G. Quiñonez-Barraza, E. Alanís-Rodríguez, H. M. De Los Santos-Posadas and J. J. García-Magaña. 2018. Taper and volume systems based on ration equations for Pinus pseudostrobus Lindl. in Mexico. Forest 9(6):1-14. Doi: 10.3390/f9060344.

Hernández-Ramos, J., A. Hernández-Ramos, X. García-Cuevas, J. C. Tamarit-Urias, L. Martínez-Ángel y J. García-Magaña. 2018. Ecuaciones de volumen total y de razón para estimar el volumen comercial de Swietenia macrophylla King. Colombia Forestal 21(1):34-46. Doi: 10.14483/2256201X.11965.

Hernández-Ramos, J., H. M. De los Santos-Posadas, J. R. Valdéz-Lazalde, J. C. Tamarit-Urias, … y A. Peduzzi. 2017. Estimación del volumen comercial en plantaciones de Eucalyptus urophylla con modelos de volumen total y de razón. Agrociencia51:561-580. http://www.scielo.org.mx/pdf/agro/v51n5/1405-3195-agro-51-05-00561.pdf. (28 de febrero de 2023).

Hernández-Ramos, J., X. García-Cuevas, A. Hernández-Ramos, J. C. Tamarit-Urias y E. Buendía-Rodríguez. 2021. Modelos para estimar volumen fustal y ahusamiento para Manilkara zapota (L.) P. Royen en Quintana Roo, México. Acta Universitaria 31:e3067. Doi: 10.15174/au.2021.3067.

https://www.researchgate.net/publication/28063129_Estimacion_del_diametro_normal_y_del_volumen_del_tronco_a_partir_de_las_dimensiones_del_tocon_para_seis_especies_forestales_comerciales_de_Galicia (6 de junio de 2023).

Instituto Nacional de Bosques (Inab). 2017. Pino de Ocote Pinus oocarpa Schiede ex Schltdl. Paquete tecnológico forestal. Informe Final. Inab y Ministerio de Ambiente y Recursos Naturales Renovables. Ciudad de Guatemala, GU, Guatemala. 40 p. https://www.itto.int/files/itto_project_db_input/2802/Technical/PINO%20OCOTE.pdf. (8 de junio de 2023).

Instituto Nacional de Estadística y Geografía (INEGI). 2017. Anuario estadístico y geográfico de Nayarit 2017. INEGI. Aguascalientes, Ags., México. 469 p. https://www.inegi.org.mx/contenidos/productos/prod_serv/contenidos/espanol/bvinegi/productos/nueva_estruc/anuarios_2017/702825092054.pdf. (28 de febrero de 2023).

Lynch, T. B., D. Zhao, W. Harges and J. P. McTague. 2017. Deriving compatible taper functions from volume ratio equations based on upper-stem height. Canadian Journal of Forest Research 47(10):1424-1431. Doi: 10.1139/cjfr-2017-0108.

Lynch, T. B., S. T. Chang and J. P. Chandler. 1992. Estimation of individual tree volume by importance sampling and antithetic variates from the cylindrical shells integral. Canadian Journal of Forest Research 22(3):326-335. Doi: 10.1139/x92-042.

Özçelik, R. and Q. V. Cao. 2017. Evaluation of fitting and adjustment methods for taper and volume prediction of black pine in Turkey. Forest Science63(4):349-355. Doi: 10.5849/FS.2016-067.

Parresol, B. R. 1999. Assessing tree and stand biomass: A review with examples and critical comparisons. Forest Science 45(4):573-593. Doi: 10.1093/forestscience/45.4.573.

Quiñonez-Barraza, G., D. Zhao and H. M. De los Santos-Posadas. 2019. Compatible taper and stem volume equations for five pine species in mixed-species forest in Mexico. Forest Science 65(5):602-613. Doi: 10.1093/forsci/fxz030.

Rachid C., C., G. Mason E., R. Woollons and F. Resquin. 2014. Volume and taper equations for P. taeda (L.) and E. grandis (Hill ex. Maiden). Agrociencia Uruguay 18(2):47-60. http://www.scielo.edu.uy/pdf/agro/v18n2/v18n2a06.pdf. (28 de febrero de 2023).

Ramos–Uvilla, J. A., J. J. García-Magaña, J. Hernández-Ramos, X. García-Cuevas, … y G. G. García E. 2014. Ecuaciones y tablas de volumen para dos especies de Pinus de la Sierra Purhépecha, Michoacán. Revista Mexicana de Ciencias Forestales 5(23):92-109. Doi: 10.29298/rmcf.v5i23.344.

Schumacher, F. X. and F. D. Hall. 1933. Logarithmic expression of timber-tree volume. Journal of Agricultural Research 47:719-734. https://naldc.nal.usda.gov/download/IND43968352/PDF. (28 de febrero de 2023).

Silva-González, E., M. A. Nava-Moreno, F. J. Hernández y J. G. Colín. 2018. Funciones compatibles de ahusamiento-volumen para tres especies de Pinus en la Unidad de Manejo Forestal 0808 del estado de Chihuahua. Investigación y Ciencia de la Universidad Autónoma de Aguascalientes 26(73):58-67. Doi: 10.33064/iycuaa201873207.

Simental-Cano, B., C. A. López-Sánchez, C. Wehenkel, B. Vargas-Larreta, J. G. Álvarez-González and J. J. Corral-Rivas. 2017. Species-specific and regional volume models for 12 forest species in Durango, Mexico. Revista Chapingo Serie Ciencias Forestales y del Ambiente 23(2):155-171. Doi: 10.5154/r.rchscfa.2016.01.004.

Statistical Analysis System (SAS). 2004. SAS/STAT® 9.1 User’s Guide. SAS Institute Inc. Cary, NC, United States of America. 5121 p. https://support.sas.com/documentation/onlinedoc/91pdf/sasdoc_91/stat_ug_7313.pdf. (24 de noviembre de 2022).

Tapia, J. y J. Návar. 2011. Ajuste de modelos de volumen y funciones de ahusamiento para Pinus pseudostrobus Lind. en bosques de pino de la Sierra Madre Oriental de Nuevo León, México. Foresta Veracruzana 13(2):19-28. https://www.redalyc.org/pdf/497/49721457004.pdf. (28 de febrero de 2023).

Trincado, G., K. von Gadow y V. Sandoval. 1997. Estimación de volumen comercial en latifoliadas. Bosque 18(1):39-44. Doi: 10.4206/bosque.1997.v18n1-05.

Zhang, C., D. L. Peng, G. S. Huang and W. S. Zheng. 2016. Developing aboveground biomass equations both compatible with tree volume equations and additive systems for single-trees in poplar plantations in Jiangsu Province, China. Forest 7(2):1-15. Doi: 10.3390/f7020032.

Zhao, D. and M. Kane. 2017. New variable-top merchantable volume and weight equations derived directly from cumulative relative profiles for loblolly pine. Forest Science 63(3):261-269. Doi: 10.5849/FS-2016-076.

Zhao, D., T. B. Lynch, J. Westfall, J. Coulston, M. Kane and D. E. Adams. 2018. Compatibility, development, and estimation of taper and volume equations systems. Forest Science 65(1):1-13. Doi: 10.1093/forsci/fxy036.

Zimmerman, D. L., V. Nuñez-Antón, T. G. Gregoire, O. Schabenberger, … and P. Vieu. 2001. Parametric modeling of growth curve data: An overview. Test10:1-73. Doi: 10.1007/BF02595823.

 

 

 

 

        

Todos los textos publicados por la Revista Mexicana de Ciencias Forestales sin excepción– se distribuyen amparados bajo la licencia Creative Commons 4.0 Atribución-No Comercial (CC BY-NC 4.0 Internacional), que permite a terceros utilizar lo publicado siempre que mencionen la autoría del trabajo y a la primera publicación en esta revista.